Патент на изобретение №2185810
|
||||||||||||||||||||||||||
(54) КОМПОЗИЦИЯ ДЛЯ ОКИСЛИТЕЛЬНОЙ ОКРАСКИ КЕРАТИНОВЫХ ВОЛОКОН И СПОСОБ ОКРАСКИ, ПРИ КОТОРОМ ИСПОЛЬЗУЮТ ЭТУ КОМПОЗИЦИЮ
(57) Реферат: Предметом изобретения является композиция для окислительной окраски кератиновых волокон и, в частности, кератиновых волокон человека, таких, как волосы, включающая в подходящей для окраски среде по крайней мере одно первое окисляющееся основание, выбираемое среди пиразол[1,5-а]пиримидинов, N, N-бис( -гидроксиэтил)-п-фенилендиамин в качестве второго окисляющегося основания и по крайней мере один краскообразующий компонент, выбираемый среди м-аминофенолов и м-фенилендиаминов, а также способ окраски, при котором используют эту композицию и набор для окраски. Технический результат: изобретение позволяет получать новые краски, способные приводить к интенсивным, мало избирательным и очень устойчивым к различным агрессивным воздействиям окрашивания волос. 3 с. и 8 з.п. ф-лы, 1 табл.
Предметом изобретения является композиция для окислительной окраски кератиновых волокон и, в частности, кератиновых волокон человека, таких, как волосы, включающая в подходящей для окраски среде по крайней мере одно первое окисляющееся основание, выбираемое среди пиразол [1,5-а]пиримидинов, N, N-бис( -гидроксиэтил)-п-фенилендиамин в качестве второго окисляющегося основания и по крайней мере один краскообразующий компонент, выбираемый среди м-аминофенолов и м-фенилендиаминов, а также способ окраски, при котором используют эту композицию.
Известно окрашивание кератиновых волокон и, в частности, человеческих волос с помощью красящих композиций, содержащих предшественники окислительного красителя, в частности, о- или п-фенилендиамины, о- или п-аминофенолы, гетероциклические основания, обычно называемые окисляющимися основаниями. Предшественники окислительных красителей или окисляющиеся основания представляют собой бесцветные или слегка окрашенные соединения, которые в сочетании с окислителями могут в результате окислительной конденсации приводить к образованию окрашенных и красящих соединений.
Также известно, что можно изменять оттенки, получаемые с помощью этих окисляющихся оснований, путем сочетания их с краскообразующими компонентами или модификаторами окраски, причем эти последние выбирают, в частности, среди ароматических м-диаминов, м-аминофенолов, м-дифенолов и некоторых гетероциклических соединений.
Разнообразие молекул, используемых в качестве окисляющихся оснований и краскообразующих компонентов, позволяет получать богатую палитру тонов.
Так называемая “перманентная” окраска, получаемая благодаря этим окислительным красителям, кроме того, должна удовлетворять некоторому числу требований. Так, она должна позволять получать оттенки желаемой интенсивности и обладать хорошей устойчивостью по отношению к внешним факторам (свет, непогода, мытье, перманентная завивка, потение, трения).
Красители также должны обладать способностью закрашивать седые волосы и, наконец, должны быть как можно менее избирательными, то есть позволять получать по возможности незначительные различия в окраске вдоль одного и того же кератинового волокна, которое на самом деле может быть в различной степени сенсибилизировано (то есть разрушено) между его концом и его корнем.
Уже были предложены, в частности, в заявке на патент Франции 2750048 композиции для окислительной окраски кератиновых волокон, содержащие в качестве окисляющегося основания пиразол[1,5-а]пиримидины, в случае необходимости ассоциированные с одним или несколькими краскообразующими компонентами. Однако получаемые окраски не всегда достаточно интенсивные, хроматические или устойчивые к различным агрессивным воздействиям, которым могут подвергаться волосы.
Заявитель в настоящее время обнаружил, что можно получать новые краски, способные приводить к интенсивным, мало избирательным и очень устойчивым к различным агрессивным воздействиям, которым могут подвергаться волокна, окрашиванием путем сочетания по крайней мере одного пиразол[1,5-а]пиримидина нижеприведенной формулы (I) в качестве первого окисляющегося основания, N, N-бис( -гидроксиэтил)-п-фенилендиамина и/или по крайней мере одной из его солей присоединения с кислотой в качестве второго окисляющегося основания и по крайней мере одного краскообразующего компонента, выбираемого среди надлежащим образом выбранных м-аминофенолов и м-фенилендиаминов.
Это открытие составляет основу настоящего изобретения.
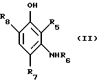
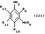
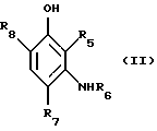
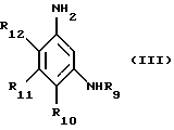
Таким образом, первым предметом изобретения является композиция для окислительной окраски кератиновых волокон и, в частности, кератиновых волокон человека, таких, как волосы, отличающаяся тем, что она включает в подходящей для окраски среде:– по крайней мере одно первое окисляющееся основание, выбираемое среди пиразол[1,5-а]пиримидинов следующей формулы (I): ![]() в которой R1, R2, R3 и R4, одинаковые или разные, означают атом водорода, (C1-C4)-алкил, арил, гидрокси-(C1-C4)-алкил, полигидрокси-(С2-С4)-алкил, (C1-C4)-алкокси-(C1-C4)-алкил, амино-(C1-C4)-алкил (причем аминогруппа может быть защищена ацетилом, уреидо, сульфонилом), (C1-C4)-алкиламино-(C1-C4)-алкил, ди[(C1-C4)-алкил)] амино-(С1-С4)-алкил (причем диалкилы могут образовывать пяти- или шестичленный алифатический цикл или гетероцикл), гидрокси-(С1-С4)-алкил- или ди[гидрокси-(C1-С4)-алкил] амино-(C1-C4)-алкил; радикалы X, одинаковые или разные, означают атом водорода, (C1-C4)-алкил, арил, гидрокси-(C1-C4))-алкил, полигидрокси-(C2-C4)-алкил, амино-(С1-С4)-алкил, (C1-C4)-алкиламино-(C1-C4)-алкил, ди[(C1-C4)-алкил)] амино-(C1-C4)-алкил (причем диалкилы могут образовывать пяти- или шестичленный алифатический цикл или гетероцикл), гидрокси-(C1-С4)-алкил- или ди[гидрокси-(C1-C4)-алкил] амино-(C1-C4)-алкил, аминогруппу, (C1-C4)-алкил- или ди[(С1-С4)-алкил]-аминогруппу, атом галогена, карбоксильную группу, сульфогруппу; i означает 0, 1, 2 или 3; р означает 0 или 1; q означает 0 или 1; n означает 0 или 1, при условии, что (i) сумма (p+q) отлична от нуля; (ii) когда сумма (p+q) равна 2, тогда n означает нуль и группы NR1R2 и NR3R4 занимают положения (2, 3); (5, 6); (6, 7); (3, 5) или (3, 7); (iii) когда сумма (p+q) равна 1, тогда n означает 1 и группа NR1R2 (или NR3R4) и группа ОН занимают положения (2, 3); (5, 6); (6, 7); (3, 5) или (3, 7); их солей присоединения с кислотой или основанием; – по крайней мере одно второе окисляющееся основание, выбираемое среди N,N-бис( -гидроксиэтил)-п-фенилендиамина и его солей присоединения с кислотой; и– по крайней мере один краскообразующий компонент, выбираемый среди м-фенилендиаминов и м-аминофенолов, следующей формулы (II): ![]() в которой R5 и R8, одинаковые или разные, означают атом водорода; атом галогена, такой, как атом хлора, брома, иода или фтора; (C1-C4)-алкил, моногидрокси-(C1-C4)-алкил, полигидрокси-(С2-С4)-алкил, (C1-C4)-алкоксил, моногидрокси-(C1-C4)-алкоксил или полигидрокси-(С2-С4) -алкоксил; R6 означает атом водорода, (C1-C4)-алкил, моногидрокси-(C1-C4)-алкил или полигидрокси-(C1-C4)-алкил, амино-(C1-C4)-алкил; R7 означает атом водорода, (С2-С4)-алкил, (C1-C4)-алкоксил или атом галогена, выбираемый среди атомов хлора, брома или фтора; при условии, что, когда R5 означает атом хлора и R6 и R7 одновременно означают атом водорода, тогда R8 отличается от метила, и их солей присоединения с кислотой. Красящая композиция согласно изобретению приводит к интенсивным хроматическим окрашиваниям, обладающим незначительной избирательностью и превосходной устойчивостью одновременно по отношению к атмосферным факторам, таким, как свет и непогода, и по отношению к потению и различным обработкам, которым могут подвергаться волосы. Предметом изобретения также является способ окислительной окраски кератиновых волокон, при котором используют эту красящую композицию. Пиразол[1,5-а] пиримидины формулы (I), используемые в качестве первого окисляющегося основания в красящей композиции согласно изобретению, представляют собой известные соединения, описанные в заявке на патент Франции 2750048, содержание которой входит составной частью в настоящую заявку. Из пиразол[1,5-а]пиримидинов формулы (I), используемых в качестве окисляющегося основания в красящих композициях согласно изобретению, можно, в частности, назвать: – пиразол[1,5-а]пиримидин-3,7-диамин; – 2-метилпиразол[1,5-а]пиримидин-3,7-диамин; – 2,5-диметилпиразол[1,5-а]пиримидин-3,7-диамин; – пиразол[1,5-а]пиримидин-3,5-диамин; – 2,7-диметилпиразол[1,5-а]пиримидин-3,5-диамин; – 3-аминопиразол[1,5-а]пиримидин-7-ол; – 3-амино-5-метилпиразол[1,5-а]пиримидин-7-ол; – 3-аминопиразол[1,5-а]пиримидин-5-ол; – 2-(3-аминопиразол[1,5-а]пиримидин-7-иламино)этанол; – 3-амино-7- -гидроксиэтиламино-5-метилпиразол[1,5-а]пиримидин;– 2-(7-аминопиразол[1,5-а]пиримидин-3-иламино)этанол; – 2-[(3-аминопиразол[1,5-а] пиримидин-7-ил)- (2-гидроксиэтил)амино]этанол; – 2-[(7-аминопиразол[1,5-а] пиримидин-3-ил)- (2-гидроксиэтил)амино]этанол; – 5,6-диметилпиразол[1,5-а]пиримидин-3,7-диамин; – 2,6-диметилпиразол[1,5-а)пиримидин-3,7-диамин; – 2,5, N-7, N-7-тетраметилпиразол[1,5-а]пиримидин-3,7-диамин, и их соли присоединения с кислотой или основанием. м-фенилендиамины, используемые в качестве краскообразующего компонента в красящей композиции согласно изобретению, предпочтительно выбирают среди соединений следующей формулы (III); ![]() в которой R9 означает атом водорода, (C1-C4)-алкил, моногидрокси-(C1-C4)-алкил или полигидрокси-(C2-C4)-алкил; R10 и R11, одинаковые или разные, означают атом водорода, (C1-C4)-алкил, моногидрокси-(C1-C4)-алкоксил или полигидрокси-(C2-C4)-алкоксил; R12 означает атом водорода, (C1-C4)-алкоксил, амино-(С1-С4)-алкоксил, моногидрокси-(C1-C4)-алкоксил, полигидрокси-(С2-С4)-алкоксил или 2,4-диаминофеноксиалкоксил, и их солей присоединения с кислотой. Из м-фенилендиаминов вышеприведенной формулы (III) можно, в частности, назвать м-фенилендиамин, 3,5-диамино-1-этил-2-метоксибензол, 3,5-диамино-2-метокси-1-метилбензол, 2,4-диамино-1-этоксибензол, 1,3-бис(2,4-диаминофенокси)-пропан, бис[2,4-диаминофенокси)метан, 1-( -аминоэтилокси)-2,4-диаминобензол, 2-амино-1-( -гидроксиэтилокси)-4-метиламинобензол, 2,4-диaминo-l-этокcи-5-мeтилбeнзoл, 2,4-диамино-5-( -гидроксиэтилокси)-1-метилбензол, 2,4-диамино-1-( , -дигидроксипропилокси)бензол, 2,4-диамино-1-( -гидроксиэтилокси)бензол, 2-aмино-4-N-( -гидроксиэтил)амино-1-метоксибензол, и их соли присоединения с кислотой.
Из м-аминофенолов формулы (II), используемых в качестве краскообразующего компонента в красящей композиции согласно изобретению, в частности, можно назвать м-аминофенол, 5-амино-2-метоксифенол, 5-амино-2-( -гидроксиэтилокси)-фенол, 5-амино-2-метилфенол, 5-N-( -гидроксиэтил)амино-2-метилфенол, 5-N-( -гидроксиэтил)амино-4-метокси-2-метилфенол, 5-aминo-4-мeтoкcи-2-мeтилфeнол, 5-амино-4-хлор-2-метилфенол, 5-aминo-2,4-диметоксифенол, 5-( -гидроксипропиламино)-2-метилфенол, 3-амино-6-хлорфенол, 3-амино-6-бромфенол, 3-( -аминоэтил)-амино-6-хлорфенол, 3-( -гидроксиэтил)амино-6-хлорфенол, и их соли присоединения с кислотой.
Пиразол[1,5-а] пиримидин или пиразол[1,5-а]пиримидины формулы (I) согласно изобретению и/или их соль или соли присоединения с кислотой или основанием составляют предпочтительно около 0,0005-12 мас.% по отношению к общей массе красящей композиции согласно изобретению и еще более предпочтительно около 0,005-6 мас.% по отношению к этой массе.
N, N-бис( -гидроксиэтил)-п-фенилендиамин и/или его соль или соли присоединения с кислотой, используемые в качестве второго окисляющегося основания в красящей композиции согласно изобретению, составляют предпочтительно около 0,0005-12 мас.% по отношению к общей массе красящей композиции согласно изобретению и еще более предпочтительно около 0,005-6 мас.% по отношению к этой массе.
м-фенилендиамин или м-фенилендиамины и/или м-аминофенол или м-аминофенолы формулы (II) и/или их соль или соли присоединения с кислотой составляют предпочтительно около 0,0001-10 мас.% по отношению к общей массе красящей композиции и еще более предпочтительно около 0,005-5 мас.% по отношению к этой массе.
Красящая композиция согласно изобретению, кроме того, может содержать один или несколько краскообразующих компонентов, отличающихся от м-фенилендиаминов и м-аминофенолов формулы (II) и/или один или несколько прямых красителей, в частности, для модификации оттенков и обогащения их отливами.
Из краскообразующих компонентов, которые могут присутствовать в качестве дополнительных в красящей композиции согласно изобретению, можно, в частности, назвать м-дифенолы, гетероциклические краскообразующие компоненты и их соли присоединения с кислотой.
Как правило, соли присоединения с кислотой, используемые в рамках красящих композиций согласно изобретению (окисляющиеся основания и краскообразующие компоненты), выбирают, в частности, среди гидрохлоридов, гидробромидов, сульфатов и тартратов, лактатов и ацетатов. Соли присоединения с основанием, используемые в рамках красящих композиций согласно изобретению, представляют собой, в частности, соли, получаемые с гидроксидом натрия, гидроксидом калия, гидроксидом аммония или аминами.
Подходящая для окраски среда (или носитель) красящей композиции согласно изобретению обычно образована водой или смесью воды по крайней мере с одним органическим растворителем для солюбилизации соединений, которые недостаточно растворимы в воде. В качестве органического растворителя можно назвать, например, (C1-C4)-алканолы, такие, как этанол и изопропанол; глицерин; гликоли и простые эфиры гликолей, такие, как 2-бутоксиэтанол, пропиленгликоль, монометиловый эфир пропиленгликоля, моноэтиловый и монометиловый эфиры диэтиленгликоля, а также ароматические спирты, такие, как бензиловый спирт или феноксиэтанол, аналогичные продукты и их смеси.
Растворители могут находиться в количествах, составляющих предпочтительно около 1-40 мас.% по отношению к общей массе красящей композиции и еще более предпочтительно около 5-30 мас.%.
Величина рН красящей композиции согласно изобретению обычно составляет около 3-12 и предпочтительно около 5-12. Ее можно устанавливать при желаемом значении с помощью подкисляющих или подщелачивающих компонентов, обычно используемых при окраске кератиновых волокон.
Из подкисляющих компонентов в качестве примера можно назвать неорганические или органические кислоты, такие, как соляная кислота, ортофосфорная кислота, серная кислота, карбоновые кислоты, такие, как уксусная кислота, винная кислота, лимонная кислота, молочная кислота, сульфокислоты.
Из подщелачивающих компонентов в качестве примера можно назвать гидроксид аммония, карбонаты щелочных металлов, алканоламины, такие, как моно-, ди- и триэтаноламины, 2-метил-2-аминопропанол, а также их производные, гидроксиды натрия или калия и соединения следующей формулы (IV):![]() в которой W означает пропиленовый остаток, не замещенный или замещенный гидроксилом или (C1-C4)-алкилом; R13, R14, R15 и R16, одинаковые или разные, означают атом водорода, (C1-C4)-алкил или гидрокси-(С1-С4)-алкил. Красящая композиция согласно изобретению также может включать различные добавки, обычно используемые в композициях для окраски волос, такие, как анионные, катионные, неионные, амфотерные, цвиттерионные поверхностно-активные вещества или их смеси; анионные, катионные, неионные, амфотерные, цвиттерионные полимеры или их смеси; неорганические или органические загустители, такие, как, например, неионные гуаровые смолы; антиоксиданты; ферменты, такие, как оксидоредуктазы с двумя электронами, пероксидазы или лакказы, способствующие пенетрации компоненты, комплексообразователи, отдушки, буферы, диспергаторы; компоненты с кондиционирующим действием, такие, как, например, летучие или нелетучие, модифицированные или немодифицированные силиконы; пленкообразующие компоненты; керамиды; консерванты; матирующие компоненты. Разумеется, специалист должен выбирать это или эти возможные дополнительные соединения таким образом, чтобы не ухудшать или существенно не ухудшать за счет предусматриваемой добавки или предусматриваемых добавок предпочтительные свойства, присущие красящей композиции согласно изобретению. Красящая композиция согласно изобретению может находиться в различных формах, таких, как жидкости, порошки, кремы, гели, возможно герметизированные, или в любой другой соответствующей форме для осуществления окраски кератиновых волокон и, в частности, человеческих волос. Предметом изобретения также является способ окраски кератиновых волокон, в частности кератиновых волокон человека, таких, как волосы, при котором используют красящую композицию, такую, как указанная выше. Согласно этому способу на волокна наносят красящую композицию, такую, как указанная выше, причем цвет проявляют при кислом, нейтральном или щелочном значении рН с помощью окислителя, который добавляют к красящей композиции непосредственно в момент применения или который находится в окисляющей композиции, наносимой одновременно с красящей или отдельно после нее. Согласно особенно предпочтительному варианту осуществления способа окраски согласно изобретению в момент применения вышеуказанную красящую композицию смешивают с окисляющей композицией, содержащей в подходящей для окраски среде по крайней мере один окислитель, присутствующий в количестве, достаточном для проявления окраски. Полученную смесь затем наносят на кератиновые волокна и выдерживают в течение примерно 3-50 минут, предпочтительно примерно 5-30 минут, после чего ополаскивают, моют шампунем, снова ополаскивают и высушивают. Окислитель, присутствующий в окисляющей композиции, такой, как указанная выше, может быть выбран среди окислителей, обычно используемых для окислительной окраски кератиновых волокон, и из которых можно назвать пероксид водорода, пероксид мочевины, броматы щелочных металлов, персоли, такие, как пербораты и персульфаты, надкислоты, ферменты, такие, как оксидоредуктазы с двумя электронами, пероксидазы и лакказы. Особенно предпочтительным является пероксид водорода. Величина рН окисляющей композиции, включающей окислитель, такой, как указанный выше, является такой, что после смешения с красящей композицией значение рН, полученной в результате композиции, наносимой на кератиновые волокна, предпочтительно составляет примерно от 3 до 12 и еще более предпочтительно от 5 до 11. Величину рН можно устанавливать при желаемом значении с помощью подкисляющих или подщелачивающих компонентов, обычно используемых при окраске кератиновых волокон и таких, как указанные выше. Окисляющая композиция, такая, как указанная выше, также может включать различные добавки, обычно используемые в композициях для окраски волос и такие, как указанные выше. Композиция, которую в итоге наносят на кератиновые волокна, может находиться в различных формах, таких, как жидкости, кремы, гели, или в любой другой форме, подходящей для осуществления окраски кератиновых волокон и, в частности, человеческих волос. Другим предметом изобретения является устройство с несколькими отделениями или “набор” для окраски, или любая другая система упаковки с несколькими отделениями, из которых первое отделение содержит красящую композицию, такую, как указанная выше, а второе отделение содержит окисляющую композицию, такую, как указанная выше. Эти устройства могут быть снабжены средством, позволяющим наносить на волосы желаемую смесь, таким, как приспособления, описанные в патенте Франции 2586913 на имя заявителя. Нижеследующие примеры предназначены для иллюстрации изобретения, не ограничивая его объема охраны. Примеры окраски 1 и 2 Готовят следующие красящие композиции (содержание в граммах) (см. таблицу). В момент применения смешивают из расчета масса на массу каждую из вышеописанных красящих композиций с 20%-ным раствором пероксида водорода (6 мас.%). Каждую из таким образом полученных смесей наносят на пряди седых натуральных волос с 90% седины при времени выдержки 30 минут. Пряди затем ополаскивают, моют обычным шампунем, снова ополаскивают, затем высушивают. Волосы окрашиваются в оттенок, указанный ниже. Пример 1. Полученный оттенок – ярко-фиолетовый пепельный. Пример 2. Полученный оттенок – синий. Формула изобретения
![]() в которой: R1, R2, R3 и R4, одинаковые или разные, означают атом водорода, (C1-C4)алкил, арил, гидрокси-(С1-С4)алкил, полигидрокси-(С2-С4)-алкил, (C1-C4)алкокси-(С1-С4)алкил, амино-(С1-С4)-алкил (причем аминогруппа может быть защищена ацетилом, уреидо, сульфонилом), (С1-С4)-алкиламино-(С1-С4)-алкил, ди [(С1-С4)-алкил] амино-(С1-С4)-алкил (причем диалкилы могут образовывать пяти- или шестичленный алифатический цикл или гетероцикл), гидрокси-(С1-С4)-алкил- или ди[гидрокси-(С1-С4)-алкил] амино-(С1-С4)-алкил; радикалы X, одинаковые или разные, означают атом водорода, (C1-C4)-алкил, арил, гидрокси-(С1-С4)-алкил, полигидрокси-(С2-С4)-алкил, амино-(С1-С4)-алкил, (С1-С4)-алкиламино-(С1-С4)-алкил, ди [(С1-С4)-алкил)] амино-(С1-С4)-алкил (причем диалкилы могут образовывать пяти- или шестичленный алифатический цикл или гетероцикл), гидрокси-(С1-С4)-алкил- или ди[гидрокси-(С1-С4)-алкил] амино-(С1-С4)-алкил; аминогруппу, (С1-С4)-алкил- или ди [(С1-С4)-алкил] -аминогруппу, атом галогена, карбоксильную группу, сульфогруппу; i означает 0, 1, 2 или 3; р означает 0 или 1; q означает 0 или 1; п означает 0 или 1; при условии, что (i) сумма (p+q) отлична от нуля; (ii) когда сумма (p+q) равна 2, тогда n означает нуль и группы NR1R2 и NR3R4 занимают положения (2,3); (5,6); (6,7); (3,5); или (3,7); (iii) когда сумма (p+q) равна 1, тогда n означает 1 и группа NR1R2 (или NR3R4) и группа ОН занимают положения (2,3); (5,6); (6,7); (3,5); или (3,7), их солей присоединения с кислотой или основанием; от 0,0005 до 12 мас. %, по отношению к общей массе композиции, по меньшей мере одного второго окисляющего основания, выбираемого среди N, N-бис( -гидроксиэтил)-п-фенилендиамина и его солей присоединения с кислотой; и от 0,0001 до 10 мас. % по отношению к общей массе композиции, по меньшей мере одного краскообразующего компонента, выбираемого среди м-аминофенолов следующей формулы (II):![]() в которой R5 и R8, одинаковые или разные, означают атом водорода; атом галогена, такой, как атом хлора, брома, иода или фтора; (С1-С4)-алкил, моногидрокси-(С1-С4)-алкил, полигидрокси-(С2-С4)-алкил, (С1-С4)-алкоксил, моногидрокси-(С1-С4)-алкоксил или полигидрокси-(С2-С4)-алкоксил; R6 означает атом водорода, (С1-С4)-алкил, моногидрокси-(С1-С4)-алкил или полигидрокси-(С2-С4)-алкил, амино-(С1-С4)-алкил; R7 означает атом водорода, (С1-С4)-алкил, (С1-С4)-алкоксил или атом галогена, выбираемый среди атомов хлора, брома или фтора, при условии, что, когда R5 означает атом хлора и R6 и R7 одновременно означают атом водорода, тогда R8 отличается от метила, и их солей присоединения с кислотой и м-фенилендиаминов следующей формулы (III): ![]() в которой R9 означает атом водорода, (С1-С4)-алкил, моногидрокси-(С1-С4)-алкил или полигидрокси-(С2-С4)-алкил; R10 и R11, одинаковые или разные, означают атом водорода, (C1-C4)-алкил, моногидрокси-(С1-С4)-алкоксил или полигидрокси-(С2-С4)-алкокси; R12 означает атом водорода, (С1-С4)-алкоксил, амино-(С1-С4)-алкоксил, моногидрокси-(С1-С4)-алкоксил, полигидрокси-(С2-С4)-алкоксил или 2,4-диаминофеноксиалкоксил, и их солей присоединения с кислотой. 2. Композиция по п. 1, отличающаяся тем, что пиразол[1,5-а] пиримидины формулы (1) выбирают из: пиразол[1,5-а] пиримидин-3,7-диамина; 2-метилпиразол[1,5-а] пиримидин-3,7-диамина; 2,5-диметилпиразол[1,5-а] пиримидин-3,7-диамина; пиразол[1,5-а] пиримидин-3,5-диамина; 2,7-диметилпиразол[1,5-а] пиримидин-3,5-диамина; 3-аминопиразол[1,5-а] пиримидин-7-ола; 3-амино-5-метилпиразол[1,5-а] пиримидин-7-ола; 3-аминопиразол[1,5-а] пиримидин-5-ола; 2-(3-аминопиразол[1,5-а] пиримидин-7-иламино)этанола; 3-амино-7- -гидроксиэтиламино-5-метилпиразол[1,5-а] пиримидина;2-(7-аминопиразол[1,5-а] пиримидин-3-иламино)этанола; 2-[(3-аминопиразол[1,5-а] пиримидин-7-ил)-(2-гидроксиэтил)амино] этанола; 2-[(7-аминопиразол[1,5-а] пиримидин-3-ил)-(2-гидроксиэтил)амино] этанола; 5,6-диметилпиразол[1,5-а] пиримидин-3,7-диамина; 2,6-диметилпиразол[1,5-а] пиримидин-3,7-диамина; 2,5, N-7, N-7-тетраметилпиразол[1,5-а] пиримидин-3,7-диамина, и их солей присоединения с кислотой или основанием. 3. Композиция по п. 1, отличающаяся тем, что м-фенилендиамины формулы (III) выбирают из м-фенилендиамина, 3,5-диамино-1-этил-2-метоксибензола, 3,5-диамино-2-метокси-1-метилбензола, 2,4-диамино-1-этоксибензола, 1,3-бис(2,4-диаминофенокси)-пропана, бис(2,4-диаминофе-нокси)метана, 1-( -аминоэтилокси)-2,4-диаминобензола, 2-амино-1-( -гидроксиэтилокси)-4-метиламинобензола, 2,4-диамино-1-этокси-5-метилбензола, 2,4-диамино-5-( -гидроксиэтилокси)-1-метилбензола, 2,4-диамино-1-( , -дигидроксипропилокси)бензола, 2,4-диамино-1-( -гидроксиэтилокси)бензола, 2-амино-4-N-( -гидроксиэтил)амино-1-метоксибензола, и их солей присоединения с кислотой.
4. Композиция по п. 1 или 2, отличающаяся тем, что м-аминофенолы формулы (II) выбирают из м-аминофенола, 5-амино-2-метоксифенола, 5-амино-2-( -гидроксиэтилокси)-фенола, 5-амино-2-метилфенола, 5-N-( -гидроксиэтил)амино-2-метилфенола, 5-N( -гидроксиэтил)амино-4-метокси-2-метилфенола, 5-амино-4-метокси-2-метилфенола, 5-амино-4-хлор-2-метилфенола, 5-амино-2,4-диметоксифенола, 5-( -гидроксипропиламино)-2-метилфенола, 3-амино-6-хлорфенола, 3-амино-6-бромфенола, 3-( -аминоэтил)-амино-6-хлорфенола, 3-( -гидроксиэтил)амино-6-хлорфенола, и их солей присоединения с кислотой.
5. Композиция по п. 1, отличающаяся тем, что пиразол [1,5-а] пиримидин или пиразол [1,5-а] пиримидины формулы (I) и/или их соль или соли присоединения с кислотой или основания составляют 0,005-6 мас. %, по отношению к общей массе красящей композиции.
6. Композиция по п. 1, отличающаяся тем, что N, N-бис( -гидроксиэтил)-п-фенилендиамин и/или его соль или соли присоединения с кислотой составляют 0,005-6 мас. %, по отношению к общей массе красящей комиозиции.
7. Композиция по п. 1, отличающаяся тем, что м-фенилендиамин или м-фенилендиамины и/или м-аминофенол или м-аминофенолы формулы (II) и/или соль или их соли присоединения с кислотой составляют 0,005-5 мас. %, по отношению к общей массе красящей композиции.
8. Композиция по любому из пп. 1-7, отличающаяся тем, что соли присоединения с кислотой выбирают из гидрохлоридов, гидробромидов, сульфатов и тартратов, лактатов и ацетатов и соли присоединения с основанием выбирают среди солей, получаемых с гидроксидом натрия, гидроксидом калия, гидроксидом аммония или аминами.
9. Способ окраски кератиновых волокон, в частности, кератиновых волокон человека, таких, как волосы, отличающийся тем, что на вышеуказанные волокна наносят красящую композицию, такую, как определенно в любом из пп. 1-8, и цвет проявляют при кислом, нейтральном или щелочном значении рН с помощью окислителя, который добавляют к красящей композиции непосредственно в момент применения или который находится в окисляющей композиции, наносимой одновременно с красящей или после нее.
10. Способ по п. 9, отличающийся тем, что окислитель, присутствующий в окисляющей композиции, выбирают из пероксида водорода, пероксида мочевины, броматов щелочных металлов, персолей, надкислот и ферментов.
11. Набор для окраски с несколькими отделениями, из которых первое отделение содержит красящую композицию, такую, как указанная в любом из пп. 1-8, а второе отделение содержит окисляющую композицию.
РИСУНКИ
MM4A Досрочное прекращение действия патента Российской Федерации на изобретение из-за неуплаты в установленный срок пошлины за поддержание патента в силе
Дата прекращения действия патента: 03.06.2003
Извещение опубликовано: 20.10.2005 БИ: 29/2005
|
||||||||||||||||||||||||||

-гидроксиэтил)-п-фенилендиамин в качестве второго окисляющегося основания и по крайней мере один краскообразующий компонент, выбираемый среди м-аминофенолов и м-фенилендиаминов, а также способ окраски, при котором используют эту композицию и набор для окраски. Технический результат: изобретение позволяет получать новые краски, способные приводить к интенсивным, мало избирательным и очень устойчивым к различным агрессивным воздействиям окрашивания волос. 3 с. и 8 з.п. ф-лы, 1 табл.



-дигидроксипропилокси)бензол, 2,4-диамино-1-(


