Патент на изобретение №2185638
|
||||||||||||||||||||||||||
(54) ПОРОГОВЫЙ БИНАРНЫЙ ОБНАРУЖИТЕЛЬ
(57) Реферат: Изобретение относится к радиотехнике и может быть использовано в системах обнаружения и в беспоисковых устройствах определения частоты, в измерительных устройствах параллельного спектрального анализа. Пороговый бинарный обнаружитель содержит полосовой фильтр (ПФ) (1), вход которого является входом обнаружителя, и пороговое устройство (ПУ) (3), выход которого является выходом обнаружителя. Между ПФ (1) и ПУ (3) последовательно включены первый и второй узкополосные полосно-заграждающие фильтры (ПЗФ) (4) и (5) и фазовый детектор (ФД) (2), второй вход которого подключен к выходу ПФ (1). За счет перемножения АЧХ и ФЧХ высокодобротных ПЗФ с АЧХ ПФ и за счет использования отрицательности значений подинтегральных выражений в (2) на выходе ФД при предложенном структурном построении обнаружителя, т.е. по полярности сигнала, на выходе ФД можно различить присутствие сигнала в заданной полосе частот. Технический результат: повышение избирательности и снижение вероятности ложного обнаружения радиосигналов. 5 ил. Изобретение относится к области радиотехники и может быть использовано в системах обнаружения и в беспоисковых устройствах определения частоты, в измерительных устройствах параллельного спектрального анализа. Для целей мгновенного обнаружения радиосигналов в отмеченных областях техники широко используются пороговые обнаружители радиосигналов радиометрического типа, корреляционного типа [1-3] и др. Большинство из них предназначено для обнаружения только заранее известного радиосигнала, что сужает их использование в условиях неопределенности по типу радиосигнала. Так, например, известен используемый для обнаружения слабых сигналов бинарный пороговый обнаружитель, содержащий последовательно соединенные полосовой фильтр (ПФ), квадратичный детектор, на выходе которого включена схема, компенсирующая постоянную шумовую составляющую, после которой подключается пороговое устройство [4, 5]. Такой обнаружитель является радиометрическим компенсационным обнаружителем. Наличие полосового фильтра на входе обуславливает общий недостаток подобных обнаружителей, а именно: возникновение ложных тревог при попадании мощного сигнала на скат АЧХ ПФ. Наибольшее распространение для мгновенного определения присутствия произвольного сигнала в заданной полосе частот получил функционально простой пороговый бинарный обнаружитель [1], содержащий (см. фиг.3) последовательно соединенные полосовой фильтр (ПФ) 1, амплитудный детектор (АД) 6 и пороговое устройство (ПУ) 3. Этот обнаружитель наиболее близок по функциональному построению к предлагаемому устройству, поэтому он принят за прототип. Такой обнаружитель применяется в многоканальных приемниках [1], в матричных приемниках [1] и в измерительных устройствах параллельного спектрального анализа [2]. В устройствах такого типа стоит задача последовательного уточнения частоты приходящего сигнала (или спектра частот) в заданном диапазоне частот, которую и решает прототип, входящий в каждый канал подобных устройств [1, 2]. Обнаружитель-прототип работает следующим образом: ПФ обеспечивает селекцию сигналов в заданной полосе частот f (fi, f2 – граничные частоты работы данного обнаружителя). Высокая избирательность ПФ при достаточно широкой полосе пропускания достигается путем применения многозвенного ПФ с большим числом избирательных звеньев (контуров) [6]. Прямоугольная форма резонансной кривой ПФ порогового бинарного обнаружителя является идеальной и характеризует его предельную избирательность.
АД обеспечивает детектирование мощности смеси сигнала с шумом, которая на выходе детектора в полосе обнаружения f определяется выражением [7]:![]() где K(j ) – передаточная функция ПФ, S(j ) – спектральная плотность мощности приходящего сигнала.
ПУ по превышению заданного порога определяет и индицирует наличие сигнала в полосе обнаружения.
Однако прототип имеет недостаточно высокую избирательность, обуславливаемую отличием амплитудно-частотных характеристик (АЧХ) ПФ от идеальной прямоугольной формы.
Для оценки избирательных свойств ПФ пользуются понятием коэффициента прямоугольности резонансной кривой. Коэффициент прямоугольности Кп определяется как отношение полосы пропускания f3 на заданном уровне (например, на уровне 0,01) к полосе пропускания ПФ fПФ на уровне 0,7: .
Чем меньше значение коэффициента прямоугольности, тем круче скаты резонансной кривой и тем лучше избирательность обнаружителя.
Устройства, в которых используется прототип, работают в условиях приема сигнала в широком интервале мощностей (более 20 дБ [1, 6, 13]). При попадании мощного сигнала на стык каналов возможно срабатывание двух смежных обнаружителей, что приводит к возникновению неоднозначности определения частоты приходящего сигнала (фиг.4).
Ложное обнаружение возможно и при попадании мощного сигнала на скат АЧХ ПФ.
Мощность вне заданной полосы частот определяется выражением:![]() В случае, когда РЛО вне полосы частот превышает заданный порог, происходит ложное обнаружение. В идеальном случае, если передаточная функция ПФ K(j ) вне полосы обнаружения равна нулю, то ложного обнаружения не происходит. В реальных устройствах K(j ) вне полосы обнаружения не равна нулю [10, 11] и возможно ложное обнаружение при попадании мощного сигнала на скат АЧХ ПФ. Область частот, занимаемая скатами АЧХ ПФ для первых ступеней существующих в настоящее время СВЧ приемников-обнаружителей, составляет 15-48% (см. фиг.5, взятую из [14, 15]), что приводит к недопустимо высоким уровням ложных тревог.
Техническим результатом предлагаемого изобретения является повышение избирательности и снижение вероятности ложного обнаружения радиосигналов.
Технический результат в предлагаемом устройстве достигается за счет перемножения АЧХ и ФЧХ высокодобротных ПЗФ с АЧХ ПФ и за счет использования отрицательности значений подынтегральных выражений в (2) на выходе ФД при предложенном структурном построении обнаружителя, т.е. по полярности сигнала на выходе ФД можно различить присутствие сигнала в заданной полосе частот.
Для достижения указанного технического результата предлагается пороговый бинарный обнаружитель, содержащий ПФ, вход которого является входом обнаружителя и пороговое устройство, выход которого является выходом обнаружителя. Согласно изобретению между ПФ и ПУ последовательно включены первый и второй узкополосные полосно-заграждающие фильтры (ПЗФ) и фазовый детектор (ФД), второй вход которого подключен к выходу ПФ.
На фиг.1 изображена структурная схема предлагаемого порогового бинарного обнаружителя.
На фиг.2 показан процесс формирования АЧХ предлагаемого устройства.
На фиг.3 изображена структурная схема прототипа.
На фиг.4 показано возникновение неоднозначности определения частоты при попадании мощного сигнала на скат АЧХ ПФ.
На фиг.5 изображены АЧХ реального приемника, использующего пороговые бинарные обнаружители.
Предлагаемый пороговый бинарный обнаружитель содержит последовательно соединенные ПФ 1, вход которого является входом обнаружителя, ФД 2 и ПУ 3, выход которого является выходом обнаружителя. Между ПФ 1 и вторым входом ФД 2 последовательно включены узкополосные полосно-заграждающие фильтры (ПЗФ) 4, 5.
Работа устройства основана на следующем принципе:Напряжение на выходе ФД 2 определяется выражением: [7]: V = KVoVпcos( п– o), (3)где К – крутизна фазовых характеристик (ФХ) ФД, Vи – напряжение сигнала на выходе измерительного плеча, Vo – напряжение сигнала на выходе опорного плеча (плеча, напрямую соединенного с выходом ПФ), o и и – фазовые сдвиги сигнала на выходах опорного и измерительного плеч соответственно.
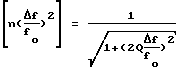
В данной схеме опорное плечо не содержит фазосдвигающих элементов и поэтому o= 0.Фазовый сдвиг измерительного плеча определяется суммой ФХ ПЗФ 4, 5 поскольку они соединены каскадно, а при каскадном соединении четырехполюсников их ФХ суммируются [8]. ФХ узкополосных ПЗФ 4, 5 ![]() ( 1) и ![]() ( 2) (фиг.2б, в), через обобщенную расстройку , описывается выражениями [8, 9]:![]() где Q – добротность узкополосных ПЗФ 4, 5, 01, 02– частоты заграждения ПЗФ 4, 5 соответственно.
Результирующий фазовый сдвиг измерительного плеча равен и = arctg 1+arctg 2 (фиг.2(г))Поэтому результирующий сигнал на выходе ФД 2 будет пропорционален cos(arctg 1+arctg 2) (5)Зависимость (5) показана на фиг.2(д). С учетом АЧХ ПЗФ 4, 5 (фиг.2(а)) на выходе ФД 2 получили ЧХ, показанную на фиг.2ж: V = KVoVи( 1, 2)cos(arctg 1+arctg 2) (6)Анализ (6) показывает, что вне полос заграждения, где коэффициент передачи ПЗФ 4, 5 близок к единице (Vи( 1, 2) Vo), уменьшение Vи( 1, 2) в полосах заграждения ведет к росту крутизны ЧХ по выходу ФД на скатах.
Результирующая ЧХ предлагаемого обнаружителя (фиг.2ж) является результатом произведения АЧХ ПФ 1 (фиг.2е) с АЧХ вводимой цепи (фиг. 2д).
Из сравнения фиг.2ж и фиг.4 видно, что в предлагаемом устройстве принципиально снижается вероятность ложного обнаружения за счет использования высокодобротных ПЗФ 4, 5, так как значение подинтегральных выражений в (2), отрицательно (т.е. по полярности сигнала на выходе ФД2 можно различить присутствие сигнала в заданной полосе частот).
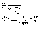
Предлагаемый пороговый бинарный обнаружитель работает следующим образом. При подаче сигнала на вход ПФ 1 часть сигнала попадает на первый вход ФД 2, другая часть сигнала, со второго выхода ПФ 1, после последовательного прохождения через узкополосные ПЗФ 4, 5 с соответствующим сдвигом по фазе попадает на второй вход ФД 2. В частности, если сигналfi ![]() t,то напряжение – положительно, а если сигнал попадает на скат АЧХ ПФ, т. е. fi ![]() f,то напряжение – отрицательно. Если интервал мощностей приходящих сигналов превышает 15 дБ (в реальных условиях работы больших радиотехнических систем, этот интервал значительно шире [1, 6, 13] ), а полоса ПФ 1 задана по уровню 5 дБ, то для второго и третьего каналов приемника (в диапазонах частот 46-50 ГГц и 50-54 ГГц соответственно – см. фиг. 5), описанного в [11, 12], использующего пороговые бинарные обнаружители, ширина полосы частот, в которой возможны ложные тревоги, составит соответственно 48 и 15%. При использовании предлагаемого устройства, ширина полосы частот скатов АЧХ, в которой возможны ложные тревоги, будет в данном случае определяться шириной полосы узкополосного ПЗФ 4, 5 по уровню 20 дБ. Известно [7], что нормированная резонансная кривая одиночного контура описывается выражением: .
Следовательно,![]() Если в качестве узкополосных ПЗФ 4, 5 используются диэлектрические резонаторы, у которых в диапазоне 40 ГГц типичное значение нагруженной добротности Q= 105 [14], то максимальная относительная ширина полосы частот, в которой возможны ложные тревоги, будет равна: ![]() что на три порядка уже, чем у лучших из существующих в настоящее время устройств [11, 12]. Это и свидетельствует о снижении на три порядка уровня ложных тревог. Из приведенных обоснований и сравнения фиг.2ж и фиг.5 также следует, что и избирательность предлагаемого устройства по относительной ширине полосы частот улучшается на десятки процентов. При использовании предлагаемого устройства может быть получен следующий технический результат: – повышение избирательности (на десятки процентов, что видно из сравнения фиг.2ж и фиг.5 и приведенных обоснований); – снижение (примерно на три порядка, как показано выше) вероятности ложного обнаружения; – упрощение схемы и ее настройки, за счет применения простых (с небольшим количеством звеньев) ПФ. Источники информации 1. Вакин С. А. , Шустов Л.Н. Основы радиопротиводействия и радиотехнической разведки. – М.: Сов. радио, 1968. 2. Мирский Г.Я. Радиоэлектронные измерения. – М.: Энергия, 1969. 3. Тузов Г.И. Статическая теория приема сложных сигналов. – М.: Сов. радио, 1977. 4. Есепкина Н.А., Корольков Д.В., Парийский Ю.Н. Радиотелескопы и радиометры. – М.: Наука, 1973. – прототип, стр. 257-270. 5. Николаев А. Г. , Перцов С.В. Радиотеплолокация. – М.: ВИМО, 1970. – прототип. 6. Вартанесян В.А. Радиоэлектронная разведка. – М.: ВИМО, 1975. 7. Гоноровский И.С. Радиотехнические цепи и сигналы. – М.: Сов. радио, 1977. 8. Зернов Н.В., Карпов ВТ. Теория радиотехнических цепей. – Л.: Энергия, 1972. 9. Белоцерковский Г.Б. Основы радиотехники. Ч.1. – М., 1973. 10. Microwave Systems News 7, July 1979, р.36-47, 98. 11. Microwave Systems News 12, December 1981, р.60-80. 12. Microwave Systems News 7, July 1984, р.233-262. 13. Палий А.И. Радиоэлектронная борьба. – М.: ВИМО, 1981. 14. Исследование фильтров на диэлектрических волноводных резонаторах. Отчет по НИР, кн. 1, ВНТИЦ, 1984. Формула изобретения
РИСУНКИ
MM4A Досрочное прекращение действия патента Российской Федерации на изобретение из-за неуплаты в установленный срок пошлины за поддержание патента в силе
Дата прекращения действия патента: 06.07.2003
Извещение опубликовано: 27.09.2004 БИ: 27/2004
|
||||||||||||||||||||||||||

f (fi, f2 – граничные частоты работы данного обнаружителя). Высокая избирательность ПФ при достаточно широкой полосе пропускания достигается путем применения многозвенного ПФ с большим числом избирательных звеньев (контуров) [6]. Прямоугольная форма резонансной кривой ПФ порогового бинарного обнаружителя является идеальной и характеризует его предельную избирательность.
АД обеспечивает детектирование мощности смеси сигнала с шумом, которая на выходе детектора в полосе обнаружения 
) – передаточная функция ПФ, S(j
.
Чем меньше значение коэффициента прямоугольности, тем круче скаты резонансной кривой и тем лучше избирательность обнаружителя.
Устройства, в которых используется прототип, работают в условиях приема сигнала в широком интервале мощностей (более 20 дБ [1, 6, 13]). При попадании мощного сигнала на стык каналов возможно срабатывание двух смежных обнаружителей, что приводит к возникновению неоднозначности определения частоты приходящего сигнала (фиг.4).
Ложное обнаружение возможно и при попадании мощного сигнала на скат АЧХ ПФ.
Мощность вне заданной полосы частот определяется выражением:
п–
(
1) и 
Vo), уменьшение Vи(

.
Следовательно,
