Патент на изобретение №2185607
|
||||||||||||||||||||||||||
(54) СПОСОБ ИЗМЕРЕНИЯ СКОРОСТИ УЛЬТРАЗВУКА В КРИСТАЛЛАХ
(57) Реферат: Изобретение относится к технике измерения свойств материалов, в частности светопрозрачных диэлектриков и пьезоэлектриков, и может быть использовано для измерения скорости ультразвука в упомянутых материалах на сверхвысоких частотах. Сущность изобретения: ультразвук в кристалле возбуждают посредством плоской противофазной решетки пьезопреобразователей, период расположения которых выбирают равным d, а от лазерного источника на одну из граней исследуемого кристалла подают световой луч под двойным углом Брэгга Б и регистрируют частоту f0 возбуждаемого плоской противофазной решеткой пьезопреобразователей ультразвука, соответствующую условию появления максимума интенсивности дважды продифрагированного на учетверенный угол Брэгга светового луча, причем по измеренной частоте f0 ультразвука значение его скорости v вычисляют в соответствии с выражением![]() где n – показатель преломления среды кристалла. Технический результат заключается в упрощении измерения скорости ультразвука в кристаллах и повышении его точности. 2 ил. Изобретение относится к технике измерения свойств материалов, в частности светопрозрачных диэлектриков и пьезоэлектриков, и может быть использовано для измерения скорости ультразвука в упомянутых материалах на сверхвысоких частотах. Известен способ измерения скорости ультразвука в кристаллах, описанный в книге [Гусев О. Б. , Клудзин В.В. Акустооптические измерения. – Л.: Издательство ленинградского университета.-1987.-28 с.], который основан на сравнении скоростей акустических волн в эталонном образце, свойства которого заранее известны, и в исследуемом материале. Для измерения скорости ультразвука используют два акустооптических элемента, один из которых выполняют из эталонного материала с заранее известными параметрами и с высокой стабильностью свойств, второй акустооптический элемент выполняют из материала, скорость в котором необходимо измерить. В данном способе нет необходимости учитывать особенности режима и геометрии акустооптического взаимодействия и поэтому по сформированным дифракционным максимумам регистрируют среднюю частоту f=[f0-fa], а скорость ультразвука вычисляют по формуле ![]() где v0, f0 – скорость и частота эталонного элемента, fa – частота исследуемого материла. Погрешность измерения скорости ультразвука в данном способе будет определяться точностью фиксации максимума входного сигнала и точностью измерения частоты fa, если полагать, что параметры эталонного элемента v0, f0 известны с заведомо большой точностью. Причинами, препятствующими достижению заявленного технического результата, являются недостаточная точность измерения частоты fa, характерная для данного способа измерения, а также низкая точность измерения скорости ультразвука на сверхвысоких частотах. Известен еще способ измерения скорости ультразвука в кристаллах, описанный в книге [Гусев О.Б., Клудзин В.В. Акустооптические измерения. – Л.: Издательство ленинградского университета. -1987.-36 с.], в котором используют метод акустической интерференции. В этом способе на исследуемый образец подают акустический сигнал большой длительности, и получение экстремальных значений дифракционного порядка осуществляют путем медленного изменения частоты акустического сигнала f, а по полученным интерференционным картинам вычисляют скорость ультразвука по формуле ![]() где l – длина исследуемого образца, М – количество экстремумов на полученной интерференционной картине, f- интервал частот, в пределах которого присутствует (М+1) подсчитанных экстремумов.
Точность измерения скорости в этом способе будет определяться точностью отсчета интервала частоты f и качеством выполнения торцовых граней кристалла.
Причинами, препятствующими достижению заявленного технического результата, являются недостаточная точность измерения интервала частоты f, а также низкая точность измерения скорости ультразвука на сверхвысоких частотах.
Наиболее близким по технической сущности к заявляемому способу является способ, описанный в книге [Физическая акустика. Принципы и методы. Под ред. У. Мэзона и Р. Терстона.-т.6. – М.: Мир.-1974, на с. 340-341], который и выбран в качестве прототипа.
Известный способ измерения скорости ультразвука в светопрозрачных кристаллах основан на использовании явления дифракции света. Дифракция света обеспечивает удобство измерения длины звуковой волны, по которой путем расчета определяют скорость ультразвука в исследуемом материале. Известный способ включает в себя регистрацию угла отклонения Б, дифрагированного на ультразвуке известной частоты f светового луча с длиной волны , и последующего вычисления скорости ультразвука из формулы Брэгга![]() (В данном случае предполагается, что угол Брэгга регистрируется в воздушной среде). В оптически прозрачном кристалле возбуждают ультразвук заданной частоты f c помощью пластинчатых или пленочных пьезопреобразователей, а затем на одну из граней исследуемого кристалла под углом Брэгга – Б к нормали распространяющегося ультразвукового пучка от лазерного источника подают луч света длиной волны , при этом регистрируют угол между падающим лучом света и дифрагированным – 2 Б, а значение скорости ультразвука вычисляют по формуле (1).
Поскольку длину оптической волны и частоту упругих волн можно определить с заданной степенью точности, то точность самого метода измерения v определяется точностью регистрации угла 2 Б,Причинами, препятствующими достижению заявленного технического результата, являются недостаточная точность регистрации угла отклонения Б, характерная для данного способа измерения, а также низкая точность измерения скорости ультразвука на сверхвысоких частотах.
Технический результат предлагаемого изобретения заключается в упрощении измерения скорости ультразвука в кристаллах и повышении его точности.
Для достижения технического результата в способе измерения скорости ультразвука в кристалле на одну из граней исследуемого кристалла под углом Брэгга Б к нормали распространяющегося ультразвукового пучка от лазерного источника подают луч света длиной волны , в кристалле возбуждают ультразвук заданной частоты f посредством плоской противофазной решетки пьезопреобразователей, период расположения которых выбирают равным d, а световой луч подают на кристалл под двойным углом Брэгга и регистрируют частоту f0, возбуждаемого плоской противофазной решеткой пьезопреобразователей ультразвука, соответствующую условию появления максимума интенсивности дважды продифрагированного на учетверенный угол Брэгга светового луча, причем по измеренной частоте ультразвука f0 значение его скорости вычисляют в соответствии с выражением![]() где n – показатель преломления среды кристалла. Для доказательства наличия причинно-следственной связи между заявленными признаками и достигаемым техническим результатом, а также оценки степени улучшения точности измерения скорости ультразвука v по заявленному способу рассмотрим процесс акустооптического (АО) взаимодействия в изотропном пьезокристалле (АО дефлекторе на основе изотропного LiNbO3 Z среза), в котором возбуждение ультразвука осуществляется непосредственно с поверхности плоской противофазной решетки преобразователей типа встречно-штыревых (ВШП), причем направление падающего луча света близко к удвоенному углу Брэгга. На фиг. 1 изображена геометрия рассматриваемого АО взаимодействия. Известно [см. Магдич Л.Н., Молчанов В.Я. Акустооптические устройства и их применение. – М.: Сов. Радио.-1978.-112 с.], что плоская противофазная решетка пьезопреобразователей с периодом d и протяженностью L в дальней зоне кристалла возбуждает два звуковых луча с относительной интенсивностью (2/ )2 = 0,4 и шириной по уровню -4 дБ, равной ![]() = v/fL.Амплитудное распределение возбуждаемого звука при этом описывается выражением: ![]() S = 2/![]() S0sinc[kL/(sin -sin![]() )],где S0– амплитуда звукового поля в плоскости Х=0; ![]() v, f – скорость распространения и частота подводимых к ВШП колебаний. Отклонение этих двух лучей от нормали происходит в разные стороны и зависит от частоты в соответствии ![]() = arcsinv/fd v/fd.В обычных применениях используют один из максимумов звукового поля, на который с целью получения максимальной эффективности и полосы рабочих частот, подачу света осуществляют под двойным углом Брэгга, равным ![]() причем с ориентацией, автоматически обеспечивающей подстройку под угол Брэгга Б угла отклонения одного из максимумов звукового поля. Приравнивая значения приращений по частоте угла Брэгга Б = arcsin f/2nv![]() и угла поворота одного из лучей + = arcsinv/fd![]() получим, что при равномерном шаге ВШП наилучшая коррекция и, следовательно, интенсивность дифракции будет иметь место на частоте ![]() Из приведенных рассуждений и рассмотрения фиг.1 следует, что вблизи частоты f0 в дефлекторе возможно и повторное взаимодействие дифрагированного светового пучка на втором максимуме звукового поля. Это взаимодействие возможно именно в окрестности частоты f0, для которой угол падения дифрагированного пучка света на второй звуковой луч также равен углу Брэгга. Сказанное с очевидностью иллюстрирует фиг.1. Вместе с тем, насколько известно авторам, на возможность использования в полезных целях явления повторной дифракции ранее внимания не обращалось. При повторной дифракции направление “движения” угла Брэгга и угла отклонения второго луча противоположны, и, следовательно, полоса повторного АО взаимодействия будет узкой. Именно эта особенность позволяет повысить точность регистрации f0 и, как следствие, – v. Оценим точность регистрации f0, для чего рассчитаем полосу повторного АО взаимодействия – f. При расчете f примем во внимание, что значение углов, в пределах которых относительная интенсивность при двойной дифракции превышает (2/ )2, определяются H(f) = | (f)|+![]() /4; (2) B(f) = | (f)|-![]() /4, (3)а функция, описывающая частотную зависимость угла Брэгга при двойной дифракции, имеет вид (f) = | (f0)|-2| Б(f0)|+2| Б(fX)|. (4)Из совместного решения (2), (3) и (4) получим формулу для полосы пропускания в виде ![]() Учитывая, что повторная дифракция существует только вблизи частоты f0 выражение (5) можно существенно упростить f = f0 d/4L = f0 1/4m, (6)где m – число пар электродов ВШП. Таким образом, повторная дифракция имеет место в очень узкой полосе. Например в рядовом для практики случае на частоте f= 1 ГГц и числе пар ВШП m=25 в соответствии с (6) f составит 10 МГц.
Следует отметить, что при более подробном рассмотрении процесса дифракции в кристалле, ультразвук в котором возбуждается ВШП, можно обнаружить и дополнительные лепестки диаграммы направленности, на которых в окрестности 0 также возможна дифракция, причем еще более узкополосная, чем на первых двух главных лепестках. Т.е. можно было бы думать, что возможно еще более повысить точность измерения 0, если учесть дифракцию на этих дополнительных лепестках. Однако это не так. Из антенной техники известно [Сканируемые антенные системы СВЧ. т.2. /Пер. с англ. под ред. Г.Т. Маркова и А.Ф. Чаплина. – M. : Сов. Радио.-1966.-496 с.], что углы наклона максимумов побочных лепестков зависят от ориентации главных лепестков, частоты входного сигнала, параметров ВШП и других факторов. Именно по этому в предлагаемом способе авторы ограничились рассмотрением только процесса двойной дифракции, анализ которой не вызывает сомнений.
Приведенное теоретическое обоснование диктует следующую последовательность действий при измерении скорости ультразвука v предлагаемым способом.
В основе способа положено то обстоятельство, что в кристалле ограниченных размеров ультразвук возбуждают посредством плоской противофазной решетки пьезопреобразователей, например, типа ВШП, число пар которых составляет m. Световой луч подают на кристалл под двойным углом Брэгга и регистрируют частоту f0, соответствующую условию появления максимума интенсивности дважды продифрагировавшего на учетверенный угол Брэгга светового луча. Значение скорости ультразвука при этом рассчитывают по формуле![]() Таким образом, в предложенном способе исключена трудоемкая необходимость измерения углов дифракции. Экспериментальная проверка предложенного способа проводилась с использованием хорошо известного материала LiNbО3, значения скоростей в котором для различных направлений известно. Использовался кристалл с размерами 4х4х18 мм вдоль граней х, у и z соответственно. На одной из граней кристалла (плоскость XY) напылялись ВШП с ориентацией штырей вдоль направления у. Система электродов содержала 20 пар ВШП с периодом d=30мкм, длиной L=0,61мм и шириной b=0,64мм. Период расположения ВШП соответствовал частоте f0 МГц, на которой выполнялись условия для полной коррекции угла Брэгга и, соответственно, для существования двойной дифракции свет подавался в направлении оси х. В эксперименте использовался одномодовый одночастотный лазер с = 0,63 мкм и углом расходимости 2 10-3 рад. Экспериментальные АЧХ повторной дифракции приведены на фиг.2. АЧХ получены в диапазоне частот 1700-1750 МГц, при отклонении падения угла света от угла Брэгга в пределах 25o; этот угол отклонения указан вблизи каждой из парциальных АЧХ; по оси ординат на фиг.2 отложены величины, пропорциональные интенсивности света. Из сопоставления расчетных (по формуле (6)) и экспериментальных полос пропускания повторной дифракции следует, что, во-первых, они находятся в хорошем соответствии, а во-вторых, что значение центральной частоты АО взаимодействия, на которой имеет место максимум эффективности дифракции, может быть отсчитано с точностью 0,5-1 МГц. Из экспериментальных АЧХ следует, что значение f0 составляет 1725 МГц. Подставив это значение в формулу (1,а), получим значение v, равное 3,575 103 м/с. Измеренное значение v соответствует справочному значению для данного направления: 3,59 103 м/с [см. Акустические кристаллы: Справочник. Под ред. Шаскольской М.П. – М.: Наука.-1982.- С. 632].
Время, затраченное на сам процесс измерения v по предлагаемому способу, составило 5-10 мин. При этом заметим, что отсчет f0 проведен непосредственно по графику фиг. 2. Никаких дополнительных методов обработки результатов эксперимента не использовалось.
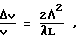
Можно показать, что погрешность измерения скорости по данному способу определяется в соответствии с выражением![]() где – длина волны звука в кристалле, L – протяженность пьезопреобразователя, и для частот ~109 Гц и размеров пьезопреобразователя, равных 1-5 мм, составляет ~ 0,1%.
Частоту f0, на которой реализуется максимум дифракционной эффективности, в этом случае можно достаточно просто отсчитать с точностью 1-2 МГц. Эта же частота соответствует центру полосы пропускания, определяемой в соответствии с соотношением (6). Измерив только f0 с точностью 1-2 МГц, можно с точностью 10-3 измерить и скорость ультразвука в кристалле, на основе которого выполнен дефлектор.
Таким образом из рассмотренного следует, что заявляемый технический результат заключается в увеличении точности измерения скорости ультразвука в 10-20 раз в сопоставлении с аналогами и прототипом, а также в упрощении способа измерения скорости ультразвука в кристаллах. При этом наличие причинно-следственной связи между заявляемыми признаками и достигаемым техническим результатом определяют тем, что в предлагаемом способе непосредственно не регистрируют величину угла отклонения Б, а регистрируют более удобную величину – частоту f0, на которой имеет место максимум дважды продифрагировавшего света.
В заключении укажем, что предложенный способ может быть распространен и на не пьезоэлектрические кристаллы, в которых возбуждение ультразвука с поверхности ВШП невозможно. В таких кристаллах, как известно [Балакший В.И., Парыгин В.Н., Чирков Л.Е. Физические основы акустооптики. – М.: Радио и связь. -1985. -280 с. ] , получение двухлепестковых диаграмм направленности ультразвука и, соответственно, применение данного способа измерения возможно путем использования системы фазированных пленочных или пластинчатых пьезопреобразователей.
Формула изобретения
Б к нормали распространяющегося ультразвукового пучка от лазерного источника подают световой луч длиной волны , отличающийся тем, что в кристалле возбуждают ультразвук заданной частоты f посредством плоской противофазной решетки пьезопреобразователей, период расположения которых выбирают равным d, а световой луч подают на кристалл под двойным углом Брэгга и регистрируют частоту f0 возбуждаемого плоской противофазной решеткой пьезопреобразователей ультразвука, соответствующую условию появления максимума интенсивности дважды продифрагированного на учетверенный угол Брэгга светового луча, причем по измеренной частоте f0 ультразвука значение его скорости v вычисляют в соответствии с выражением![]() где n – показатель преломления среды кристалла. РИСУНКИ
MM4A Досрочное прекращение действия патента Российской Федерации на изобретение из-за неуплаты в установленный срок пошлины за поддержание патента в силе
Дата прекращения действия патента: 19.05.2003
Извещение опубликовано: 7.04.2005 БИ: 12/2005
|
||||||||||||||||||||||||||

Б и регистрируют частоту f0 возбуждаемого плоской противофазной решеткой пьезопреобразователей ультразвука, соответствующую условию появления максимума интенсивности дважды продифрагированного на учетверенный угол Брэгга светового луча, причем по измеренной частоте f0 ультразвука значение его скорости v вычисляют в соответствии с выражением


f- интервал частот, в пределах которого присутствует (М+1) подсчитанных экстремумов.
Точность измерения скорости в этом способе будет определяться точностью отсчета интервала частоты
, и последующего вычисления скорости ультразвука из формулы Брэгга

)2 = 0,4 и шириной по уровню -4 дБ, равной 
= v/fL.
= 2/
S0sinc[kL/(sin




(f) = |


– длина волны звука в кристалле, L – протяженность пьезопреобразователя, и для частот ~109 Гц и размеров пьезопреобразователя, равных 1-5 мм, составляет ~ 0,1%.
Частоту f0, на которой реализуется максимум дифракционной эффективности, в этом случае можно достаточно просто отсчитать с точностью 1-2 МГц. Эта же частота соответствует центру полосы пропускания, определяемой в соответствии с соотношением (6). Измерив только f0 с точностью 1-2 МГц, можно с точностью 10-3 измерить и скорость ультразвука в кристалле, на основе которого выполнен дефлектор.
Таким образом из рассмотренного следует, что заявляемый технический результат заключается в увеличении точности измерения скорости ультразвука в 10-20 раз в сопоставлении с аналогами и прототипом, а также в упрощении способа измерения скорости ультразвука в кристаллах. При этом наличие причинно-следственной связи между заявляемыми признаками и достигаемым техническим результатом определяют тем, что в предлагаемом способе непосредственно не регистрируют величину угла отклонения 