Патент на изобретение №2185463
|
||||||||||||||||||||||||||
(54) ЭЛЕКТРОЛИТ ДЛЯ НАНЕСЕНИЯ МЕДНОГО ПОКРЫТИЯ
(57) Реферат: Изобретение относится к гальваностегии, в частности к нанесению медных покрытий, и может найти применение в различных отраслях промышленности. Предложен электролит для нанесения медных покрытий, содержащий, г/л: сульфат меди пятиводный – 5-100; диглицинат меди Сu(Gly)2 – 40-150; аминоуксусную кислоту – Gly 0,25-1; сульфат натрия – 30-130; органическую добавку – 0,5-5. Кроме того, в электролите в качестве органической добавки могут быть использованы моносахариды или полисахариды. Техническим результатом изобретения является повышение сцепления покрытия с металлом и прочности покрытия за счет осаждения меди из нетоксичного комплексного аминоацетатного соединения в присутствии фонового электролита (сульфата натрия) и буферной системы на основе аминоуксусной кислоты. 3 з.п.ф-лы, 2 табл. Изобретение относится к гальваностегии, в частности к нанесению медных покрытий, и может найти применение в различных отраслях промышленности . Известен электролит для нанесения цинкового покрытия (“Гальванические покрытия в машиностроении”, справочник в 2 т., т. 1, под ред. Шлугера М.А., М.: Машиностроение, – 1985 г., с.95, табл. 3, 2), содержащий цианистый комплекс меди (20-30 г/л), цианиды щелочных металлов (5-10 г/л), едкий натр (5-10 г/л). Известный электролит обладает высокой рассеивающей способностью и позволяет получать покрытия с мелкокристаллической структурой, хорошо сцепленные с остальной основой. Основным недостатком известного электролита является его токсичность, требующая выполнения строгих мер безопасности, и, следовательно, большие затраты на обезвреживание сточных вод, а также относительно низкая устойчивость электролита при эксплуатации. Кроме того, с увеличением плотности тока, из-за увеличения катодного потенциала меди, быстро падает выход по току (для известного электролита – 40-60%). Наиболее близким по существенным признакам и достигаемому эффекту является электролит для нанесения медных покрытий (патент РФ 2149225 C1, C 25 D 1/04, опубликованный 20.05.2000), содержащий сульфат меди (в перерасчете на медь 40-150 г/л), серную кислоту (70-170 г/л), органическую добавку. Главным недостатком такого электролита является невозможность получения прочносцепленного покрытия на более электроотрицательных, чем медь, металлах и сплавах. Это обусловлено рядом причин. Во-первых, особенностями работы короткозамкнутых гальванических элементов “железо-медь”, “цинк-медь” и т.д., так как в этих элементах анодами являются железо, цинк и т.д., то независимо от продолжительности электролиза металлы, находящиеся в контакте с медью, в таком электролите растворяются, что обусловливает отслаивание покрытия. Во-вторых, при погружении таких металлов в электролит происходит контактное вытеснение меди в виде плохо сцепленного (иногда рыхлого) осадка. Задачей предлагаемого изобретения является разработка нетоксичного электролита для нанесения медных покрытий, обеспечивающего хорошее сцепление покрытия с металлом и высокую твердость покрытия. Для решения поставленной задачи предлагается в электролит для нанесения медных покрытий, включающий сульфат меди и органическую добавку, ввести диглицинат меди, аминоуксусную кислоту, сульфат натрия в следующем соотношении компонентов, г/л: Сульфат меди пятиводный – 5-100 Диглицинат меди Cu(Gly)2 – 40-150 Аминоуксусная кислота – Gly – 0,25-1,0 Сульфат натрия – 30-130 Органическая добавка – 0,5-5,0 Предлагаемый состав электролита позволяет повысить сцепление покрытия с металлом и прочность покрытия за счет осаждения меди из нетоксичного комплексного аминоацетатного соединения в присутствии фонового электролита (сульфата натрия) и буферной системы на основе аминоуксусной кислоты. Константа нестойкости комплекса диаминоацетата меди (диглицината меди) мала (Kнест= 5 10-15), поэтому электродный потенциал меди в растворе становится отрицательнее, чем у железа и других, более электроотрицательных, чем медь, металлов и контактного вытеснения меди не происходит. Кроме того, электроосаждение меди из комплексных ионов Cu(Gly)2 протекает с высокой поляризацией, что обеспечивает равномерное распределение меди на поверхности изделия и повышение прочности сцепления покрытия с металлом.
В качестве органической добавки предлагается использовать по меньшей мере одну добавку из класса моносахаридов (например, гексозы, пентозы) или из класса полисахаридов (например, сахарозу, лактозу, мальтозу, крахмал, гликоген, инулин, пектиновые вещества).
Введение в состав электролита органической добавки позволяет получать твердые блестящие или полублестящие покрытия.
В известных электролитах для нанесения медных покрытий не использовались диглицинат меди и аминоуксусная кислота (глицин) в предлагаемых соотношениях. Следовательно, предлагаемый электролит для нанесения медных покрытий отвечает критерию “новизна”.
Использование диглицината меди и аминоуксусной кислоты в составах электролитов с целью повышения микротвердости, адгезии покрытия к основе и уменьшения токсичности электролита заявителю не известно. Следовательно, предлагаемый состав электролита отвечает критерию “изобретательский уровень”.
Предлагаемый электролит готовят следующим образом.
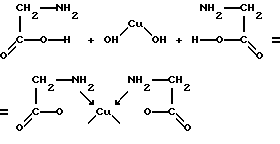
Первый вариант. Отдельно готовят комплекс меди с аминоуксусной кислотой путем взаимодействия гидроксида меди (II) с избытком аминоуксусной кислоты (глицином):![]() Остальные компоненты последовательно растворяют в дистиллированной воде. Затем смешивают этот раствор с предварительно полученным комплексом меди и хорошо перемешивают. Второй вариант. Гидроксид меди, аминоуксусную кислоту, сульфат меди, сульфат натрия и органическую добавку последовательно растворяют в дистиллированной воде и перемешивают. При этом также образуется комплекс меди с аминоуксусной кислотой. Электроосаждение меди из предлагаемого электролита проводят при плотности тока 0,1-3 А/дм2, температуре 18-30o С, рН 3,5-5,5. Составы электролитов и результаты испытаний приведены в табл. 1 и 2 соответственно. Оптимальные концентрации исходных компонентов, входящих в состав электролита, обусловлены тем, что при уменьшении концентрации ниже указанных пределов невозможно получить качественное сплошное покрытие, а при увеличении концентрации выше указанных пределов ухудшается прочность сцепления, твердость и рассеивающая способность покрытия. Как видно из таблицы, предлагаемый электролит позволяет получать качественные твердые блестящие или полублестящие покрытия с хорошим сцеплением покрытия и металла без предварительного осаждения никелевого подслоя. Предлагаемый электролит нетоксичен, так как не содержит и не образует в процессе эксплуатации токсичных веществ. Следовательно, при использовании электролита не требуется дополнительных природоохранных мероприятий и специфических мер техники безопасности. Формула изобретения
Сульфат меди – 5-100 Диглицинат меди – 40-150 Аминоуксусная кислота – 0,25-1,00 Сульфат натрия – 30-130 Органическая добавка – 0,5-5,0 2. Электролит по п. 1, отличающийся тем, что он в качестве органической добавки содержит моносахариды. 3. Электролит по п. 1, отличающийся тем, что он в качестве органической добавки содержит полисахариды. 4. Электролит по п. 3, отличающийся тем, что он в качестве полисахаридов содержит по меньшей мере один полисахарид, выбранный из группы, включающей сахарозу, лактозу, мальтозу, крахмал, гликоген, инулин, пектиновые вещества. РИСУНКИ
MM4A Досрочное прекращение действия патента Российской Федерации на изобретение из-за неуплаты в установленный срок пошлины за поддержание патента в силе
Дата прекращения действия патента: 26.06.2002
Номер и год публикации бюллетеня: 36-2003
Извещение опубликовано: 27.12.2003
|
||||||||||||||||||||||||||

10-15), поэтому электродный потенциал меди в растворе становится отрицательнее, чем у железа и других, более электроотрицательных, чем медь, металлов и контактного вытеснения меди не происходит. Кроме того, электроосаждение меди из комплексных ионов Cu(Gly)2 протекает с высокой поляризацией, что обеспечивает равномерное распределение меди на поверхности изделия и повышение прочности сцепления покрытия с металлом.
В качестве органической добавки предлагается использовать по меньшей мере одну добавку из класса моносахаридов (например, гексозы, пентозы) или из класса полисахаридов (например, сахарозу, лактозу, мальтозу, крахмал, гликоген, инулин, пектиновые вещества).
Введение в состав электролита органической добавки позволяет получать твердые блестящие или полублестящие покрытия.
В известных электролитах для нанесения медных покрытий не использовались диглицинат меди и аминоуксусная кислота (глицин) в предлагаемых соотношениях. Следовательно, предлагаемый электролит для нанесения медных покрытий отвечает критерию “новизна”.
Использование диглицината меди и аминоуксусной кислоты в составах электролитов с целью повышения микротвердости, адгезии покрытия к основе и уменьшения токсичности электролита заявителю не известно. Следовательно, предлагаемый состав электролита отвечает критерию “изобретательский уровень”.
Предлагаемый электролит готовят следующим образом.
Первый вариант. Отдельно готовят комплекс меди с аминоуксусной кислотой путем взаимодействия гидроксида меди (II) с избытком аминоуксусной кислоты (глицином):