Патент на изобретение №2185382
|
||||||||||||||||||||||||||
(54) СПОСОБ ПОЛУЧЕНИЯ 2,3-ПИРИДИНДИКАРБОКСИМИДА И ПРОМЕЖУТОЧНОЕ ВЕЩЕСТВО ДЛЯ ЕГО ПОЛУЧЕНИЯ
(57) Реферат: Изобретение относится к новому способу получения 2,3-пиридиндикарбоксимида формулы (I), где R означает водород, C1-С6 алкил или C1-С6 алкоксиметил, R1 означает водород, C1-С6 алкил, С(O)R2, фенил, бензил, R2 означает C1-С6 алкил, бензил или фенил, который заключается в том, что соединение формулы (II), где R имеет вышеуказанные значения, R6 означает C1-С6 алкил, R7 означает OR8 или NR9R10, R8 означает водород, C1-С6 алкил, С(O)R11, фенил, бензил, R11 означает C1-С6 алкил, OR12, NR12, R13, бензил или фенил, R12 и R13 обозначают водород, C1-С6 алкил, бензил или фенил, R9 и R10 обозначают водород, C1-С6 алкил, бензил или фенил, подвергают взаимодействию с имидом малеиновой кислоты формулы (III), где R1 имеет вышеуказанные значения. Описываемый способ является приемлемым для реализации его в промышленных условиях и позволяет получить целевой продукт с высоким выходом или высокой степенью чистоты. Изобретение также относится к новому промежуточному веществу формулы (IV), где R обозначает водород, C1-C4 алкил или C1-C4 алкоксиметил, R6 означает С1-С4 алкил, R8 означает водород или С1-С6 алкил. Соединение формулы (IV) используется для получения соединения формулы (I). 2 с. и 6 з.п. ф-лы, 1 табл. ![]() ![]() ![]() (IV)
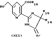
Предпосылки создания изобретения 2,3-Пиридиндикарбоксимиды используют в качестве промежуточных продуктов для получения 2-(2-имидазолин-2-ил)никотиновых кислот и их эфиров и солей, обладающих гербицидной активностью. Способы получения 2,3-пиридиндикарбоксимидов описаны в литературе (см., например, U.S. 4748244; U.S. 4754033 и ЕР 308084-Al). Однако способы, описанные в указанных патентах и заявке, не во всех отношениях приемлемы для промышленного получения 2,3-пиридиндикарбоксимидов. Поэтому объектом данного изобретения является разработка эффективного и продуктивного способа получения 2,3-пиридиндикарбоксимидов. Объектом данного изобретения также является получение соединения, которое полезно в способе данного изобретения. Эти и другие объекты и отличительные признаки данного изобретения станут более понятными из подробного описания, приведенного далее. Краткое описание изобретения Данное изобретение обеспечивает эффективный и продуктивный способ получения 2,3-пиридиндикарбоксимидов, имеющих структурную формулу I ![]() где R – водород, С1-С6 алкил или C1-C6 алкоксиметил; R1 – водород, C1-C6 алкил, С(О)R2, фенил, необязательно замещенный в любом сочетании от одного до четырех заместителями, выбранными из группы, включающей галоген, С1-С4алкил, С1-C4алкокси-, нитро- или цианогруппы, бензил, необязательно замещенный в фенильном кольце, в любом сочетании, от одного до четырех заместителями, выбранными из группы, включающей галоген, С1-С4 алкил, С1-С4 алкокси-, нитро- или цианогруппы или ![]() R2 – С1-C6 алкил, бензил или фенил, необязательно замещенный в любом сочетании от одного до четырех заместителями, выбранными из группы, включающей галоген, С1-С4 алкил, С1-С4 алкокси-, нитро- или цианогруппы; R3 и R4 каждый независимо предствляет собой С1-С4 алкил и R5 – цианогруппа или CONH2, способ включает взаимодействие оксима или гидразона, имеющего структурную формулу II ![]() где R принимает указанные выше значения; R6 – С1-С6 алкил, R7 – OR8 или NR9R10; R8 – водород, С1-С6 алкил, С(О)R11; фенил, необязательно замещенный, в любом сочетании, от одного до четырех заместителями, выбранными из группы, включающей галоген, С1-С4 алкил, С1-С4 алкокси-, нитро- или цианогруппы, бензил, необязательно замещенный в фенильном кольце, в любом сочетании, от одного до четырех заместителями, выбранными из группы, включающей галоген, С1-С4 алкил, С1-С4 алкокси-, нитро- или цианогруппы или R11 – С1-С6 алкил, ОR12, NR12R13, бензил или фенил, необязательно замещенный, в любом сочетании, от одного до четырех заместителями, выбранными из группы, включающей галоген, С1-С4 алкил, С1-С4 алкокси-, нитро- или цианогруппы; R12 и R13 каждый независимо представляет собой водород, С1-С6 алкил, бензил или фенил, необязательно замещенный, в любом сочетании, от одного до четырех заместителями, выбранными из группы, включающей галоген, С1-С4 алкил, С1-С4 алкокси-, нитро- или цианогруппы, R9 и R10 каждый независимо представляет собой водород, С1-С6 алкил, бензил или фенил, необязательно замещенный, в любом сочетании, от одного до четырех заместителями, выбранными из группы, включающей галоген, С1-С4 алкил, С1-С4 алкокси-, нитро- или цианогруппы, с имидом малеиновой кислоты структурной формулы III ![]() где R1 принимает описанные выше значения. Данное изобретение относится к оксимам формулы II, описанным выше. Подробное описание изобретения В одном из предпочтительных воплощений данного изобретения, оксим или гидразон, представленный формулой II, взаимодействует с имидом малеиновой кислоты, представленным формулой III, предпочтительно при температуре в интервале от приблизительно 20oС до 160oС, в присутствии растворителя. В настоящее время было установлено, что 2,3-пиридиндикарбоксимиды могут быть преимущественно получены с высоким выходом и/или с высокой степенью чистоты с помощью эффективного и продуктивного способа данного изобретения. 2,3-Пиридиндикарбоксимиды могут быть выделены разбавлением реакционной смеси водой и фильтрованием продукта формулы I из водной смеси. Соединения формулы 1 также могут быть выделены выпариванием реакционной смеси в вакууме и фильтрованием продукта формулы I из концентрированной смеси. В соответствии с другим способом, реакционная смесь может быть собрана и использована для получения конечного гербицида без выделения соединения формулы I. Типичными примерами указанного выше галогена являются фтор, хлор, бром и йод. В другом воплощении данного изобретения может присутствовать кислота Льюиса. Предпочтительно, кислота Льюиса присутствует в количестве до приблизительно одного молярного эквивалента относительно соединения формулы II, когда R8 представляет собой водород. Кислоты Льюиса, приемлемые для применения в данном изобретении, включают любые доступные кислоты Льюиса. Предпочтительными кислотами Льюиса являются хлорид алюминия и хлорид титана (IV). Растворители, подходящие для применения в способе данного изобретения, предпочтительно имеют температуру кипения, по меньшей мере, приблизительно 60oС, к ним относятся ароматические углеводороды, такие как толуол, ксилол, мезитилен и их смеси; галогенированные ароматические углеводороды, такие как моно- и дигалогенбензолы и их смеси; полиядерные ароматические углеводороды, такие как нафталин, алкилнафталины и их смеси; гликоли, такие как 1,2-диэтоксиэтан и их смеси; алифатические карбоновые кислоты, такие как уксусная кислота, пропионовая кислота и их смеси; смесь алифатическая карбоновая кислота/вода, такая как уксусная кислота/вода; ацетонитрил; смесь ацетонитрил/вода; и их смеси. Предпочтительными растворителями являются толуол, ксилол, мезитилен, ацетонитрил, смесь ацетонитрил/вода, причем уксусная кислота и ее смеси с толуолом и ацетонитрилом являются более предпочтительными. В еще одном предпочтительном воплощении данного изобретения, оксимы формулы II, где R7 представляет собой OR8, взаимодействуют с имидом малеиновой кислоты формулы III, предпочтительно, при температуре в интервале от приблизительно 60oС до 160oС, более предпочтительно от приблизительно 75oС до 135oС. И гидразоны формулы II, где R представляет собой NR9R10, взаимодействуют с имидами малеиновой кислоты формулы III, предпочтительно при температуре в интервале от приблизительно 20oС до 160oС, более предпочтительно от приблизительно 20oС до 135oС. В следующем предпочтительном воплощении данного изобретения присутствует основание, когда R представляет собой C1-C6 алкоксиметил. Основание используют для уменьшения количества 5-метил-2,3-пиридиндикарбоксимида, который образуется в качестве нежелательного побочного продукта, когда R представляет собой C1-C6 алкоксиметил. Основания, подходящие для применения в данном изобретении, включают, но не ограничиваются, три(С2-С4алкил)амины, такие как триэтиламин, N,N-диэтилизопропиламин, N, N-диизопропиленэтиламин и т.п., соли уксусной кислоты и щелочных металлов, такие как ацетат натрия, ацетат калия и т.п. и их смеси. Предпочтительными основаниями являются триэтиламин, ацетат натрия и ацетат калия. Основание предпочтительно присутствует в количестве, по меньшей мере, приблизительно одного молярного эквивалента относительно соединения формулы II. В еще одном предпочтительном воплощении данного изобретения присутствует катализатор межфазного переноса, когда присутствует основание. Предпочтительно катализатор межфазного переноса присутствует в том случае, когда присутствует ацетат щелочного металла. Катализаторы межфазного переноса, подходящие для применения в данном изобретении, включают любые известные катализаторы межфазного переноса. Предпочтительными катализаторами межфазного переноса являются краун-эфиры, такие как 18-краун-6 и 15-краун-5. В предпочтительных способах данного изобретения R представляет собой водород, С1-C4 алкил или С1-C4 алкоксиметил; R1 представляет собой водород, С1-C4 алкил, фенил, необязательно замещенный, в любом сочетании, от одного до четырех заместителями, выбранными из группы, включающей галоген, С1-C4 алкил, С1-C4 алкокси-, нитро- или цианогруппы, или ![]() R3 и R4 каждый независимо представляет С1-С4 алкил; R5 представляет собой цианогруппу или СОNН2; R6 – С1-С4 алкил; R7 – OR8 и R8 – водород или С1-С6 алкил. В более предпочтительном способе данного изобретения R – водород, метил, этил или метоксиметил; R1 – метил, фенил или ![]() R5 – цианогруппа или СОNН2; R6 – метил или этил; R7 – OR8 и R8 – водород или метил. Оксимы формулы II, где R7 представляет собой OR8 и R8 – водород, C1-C6 алкил, фенил, необязательно замещенный, в любом сочетании, от одного до четырех заместителями, выбранными из группы, включающей галоген, С1-С4 алкил, С1-С4 алкокси-, нитро или цианогруппы, бензил, необязательно замещенный в фенильном кольце, в любом сочетании, от одного до четырех заместителями, выбранными из группы, включающей галоген, C1-C4 алкил, С1-С4 алкокси-, нитро- или цианогруппы, может быть получен взаимодействием 3-алкокси-2-акролеина формулы IV с замещенным гидроксиламином формулы V, необязательно в присутствии основания. В общем виде реакция представлена на схеме I. В соответствии с другим способом, оксимы формулы II, где R8 представляет собой C1-C6 алкил, могут быть получены взаимодействием соединения формулы II, где R8 представляет собой водород, с диалкилсульфатом формулы VI в присутствии основания, такого как гидроксид натрия или алкоксид щелочного металла. В общем виде реакция представлена на схеме II. Оксимы формулы II, где R8 представляет собой С(О)R11, могут быть получены взаимодействием соединения формулы II, где R8 представляет собой водород, с хлорангидридом кислоты формулы VII или ангидридом формулы VIII, как показано на схеме III. Гидразоны формулы II могут быть получены взаимодействием 3-алкокси-2-акролеина формулы IV с гидразином формулы IX необязательно в присутствии кислотного катализатора, такого как уксусная кислота. В общем виде реакция представлена на схеме IV. 3-Алкокси-2-акролеины формулы IV могут быть получены в соответствии с методикой, описанной E. Breitmaier et аl. в Synthesis, pages 1-9 (1987). Имиды малеиновой кислоты формулы III описаны в литературе и могут быть получены по методикам, описанным M.Cava et al. в Organic Synthesis, 41, page 93 (1961). В соответствии с другим способом, соединения формулы IV, где R – метоксиметил, могут быть получены реакцией 3-(диалкиламино)-2-акролеина формулы X с формальдегидом и метанолом в присутствии минеральной кислоты, такой как серная кислота, с образованием 3-(диалкиламино)-2-(метоксиметил)-2-акролеина формулы XI и реакцией соединения формулы XI с основанием, таким как гидроксид щелочного металла и диалкилсульфат формулы VI. В общем виде этот способ получения представлен на схеме V. Данное изобретение обеспечивает также способ получения обладающих гербицидной активностью 5-(алкоксиметил)-2-(2-имидазолин-2-ил)никотиновой кислоты и ее сложного эфира и соли формулы ![]() где R принимает значения, определенные выше; R14 – C1-C4 алкил; R15 – C1-С4 алкил, С3-C6 циклоалкил или R14 и R15 вместе с атомом, к которому присоединены, образуют С3-C6 циклоалкил, необязательно замещенный метилом, и R16 – водород, ди(низший алкил)амино, С1-С12 алкил, необязательно замещенный одной из следующих групп: С1-С3 алкоксигруппа, галоген, гидроксильная группа, С3-С6 циклоалкил, бензилоксигруппа, фурил, фенил, галогенфенил, (низший алкил)фенил, (низший алкокси)фенил, нитрофенил, карбоксил, (низший алкокси)карбонил, цианогруппа или три(низший алкил)аммоний; С3-С12 алкенил, необязательно замещенный одной из следующих групп: С1-С3 алкоксигруппа, фенил, галоген или (низший алкокси)карбокил или две С1-С3алкоксигруппы или два атома галогена; С3-С6 циклоалкил, необязательно замещенный одной или двумя С1-С3 алкильными группами или катион, предпочтительно выбранный из группы, включающей щелочные металлы, щелочноземельные металлы, магний, медь, железо, цинк, кобальт, свинец, серебро, никель, аммоний или органический аммоний. Способ включает: (а) получение соединения формулы I ![]() где R и R1 принимают значения, определенные выше и (b) превращение соединения формулы I в соединение формулы XII. Термин “низший”, используемый в отношении алкильной и алкокси-групп, означает, что алкильная или алкокси-группа содержит от 1 до 6, предпочтительно от 1 до 4, атомов углерода. Превращение соединения формулы I в соединение формулы XII может осуществляться различными способами. Одним из способов может быть сочетание известных реакций, используемых для превращения одного производного карбоновой кислоты в другое. Способы, которые могут использоваться для получения гербицидов – производных имидазолинона, описаны в книге “The Imidazolinon Herbicides” под редакцией D.L.Shaner и S.L. О’Connor, опубликованной в 1991 г. в СRС Press, Boca Raton, Florida, в частности в Главе 2, озаглавленной “Synthesis of Imidazolinine Herbicides” (стр. 8-14) и в приведенных здесь ссылках. В приведенных ниже ссылках на патентную литературу также описаны способы, которые можно использовать для превращения производных карбоновых кислот в конечные продукты – производные имидазолинона: Патенты США 5371229; 5334576; 5250694; 5276157; 5110930; 5122608; 5206368; 4925944; 4921961; 4959476; 5103009; 4816588; 4748244; 4754033; 4757146; 4798619; 4766218; 5001254; 5021078; 4723011; 4709036; 4658030; 4608079; 4719303; 4562257; 4518780; 4474962; 4623726; 4750978; 4638068; 4439607; 4459408; 4459409; 4460776; 4125727; 4758667 и Европейские заявки ЕР-А-0-041 и ЕР-А-308084. Для более точного понимания данного изобретения и с целью более детального описания далее приводятся примеры. Изобретение не следует ограничивать этими примерами, так как область данного изобретения определена в формуле изобретения. Пример 1 Получение оксима 3-этокси-2-метил-2-пропен-1-она, (Е)- и (Z)- (см. схему к примеру 1). 3-Этокси-2-метил-2-акролеин (Е)- и (Z)- (30,0 г, 0,25 моля) по каплям добавляют к смеси гидроксиламинсульфата (33,0 г, 0,2 моля) и ацетата натрия (33,4 г, 0,4 моля) в воде (200 г). Полученную реакционную смесь перемешивают в течение ночи и фильтруют для получения твердого продукта. Твердый осадок промывают водой и сушат с получением указанного в заглавии продукта в виде твердого белого вещества (23,2 г, т. пл. 78oС, выход 71%). Используя эту же методику, но заменяя гидроксиламинсульфат гидрохлоридом метоксиамина, получают О-метилоксим 3-этокси-2-метил-2-пропен-1-она, (Е)- и (Z)- в виде желтого масла. Пример 2 Получение О-метилоксима 3-этокси-2-метил-2-пропен-1-она, (Е)- и (Z)- (см. схему к примеру 2). Смесь оксима 3-этокси-2-метил-2-пропен-1-она, (Е)- и (Z)- (0,5 г, 3,87 ммоля) и трет-бутоксида калия (0,48 г, 4,2 ммоля) в тетрагидрофуране перемешивают в течение 10 минут при 10oС, обрабатывают диметилсульфатом (0,59 г, 4,6 ммоля), добавляя его по каплям, перемешивают еще два часа и фильтруют. Полученный фильтрат выпаривают в вакууме, в результате получают указанный в заглавии продукт в виде желтого масла (0,74 г, выход 100%). Пример 3 Получение 5-метил-N-фенил-2,3-пиридиндикарбоксимида (см. схему к примеру 3). Раствор N-фенилимида малеиновой кислоты (1,69 г, 9,8 ммоля) в толуоле (16 г) кипятят с обратным холодильником в течение 24 часов. В процессе кипячения в реакционную смесь небольшими порциями добавляют O-метилоксим 3-этокси-2-метил-2-пропен-1-она, (Е)- и (Z)- (1,57 г, 11 ммолей). Полученную реакционную смесь затем выпаривают в вакууме, в результате получают указанный в заглавии продукт в виде твердого вещества оранжевого цвета (1,2 г, выход 52%). Примеры 4-7 По методике, описанной в примере 3, но заменяя О-метилоксим 3-этокси-2-метил-2-пропен-1-она, (Е)- и (Z)- 3-этокси-2-метил-2-пропен-1-оном, получают 5-метил-N-фенил-2,3-пиридиндикарбоксимид с выходами, представленными в таблице I. Пример 8 Получение 3-(диметиламино)-2-(метоксиметил)-2-акролеина, (Е)- и (Z)- (см. схему к примеру 8). Концентрированную серную кислоту (1 мл) медленно добавляют к раствору 3-(диметиламино)акролеина (200 г, 2,01 моля) и параформальдегида (90 г, 3 моля) в метаноле (1 л). Полученный раствор кипятят с обратным холодильником в течение ночи, выпаривают в вакууме до объема 200 мл, разбавляют толуолом и отгоняют до тех пор, пока температура паров равна 105oС. Затем раствор выпаривают в вакууме, в результате получают указанный в заглавии продукт в виде оранжевого масла (251,4 г, выход 87%). Пример 9 Получение 3-метокси-2-(метоксиметил)-2-акролеина, (Е)- и (Z)- (см. схему к примеру 9) Раствор 3-(диметиламино)-2-(метоксиметил)-2-акролеина, (E)- и (Z)- (53,06 г, 0,37 моля) и раствор гидроксида натрия (29,7 г, 50%, 0,37 моля) в метаноле (60 мл) кипятят с обратным холодильником в течение 20 минут и выпаривают в вакууме до получения твердого белого вещества. Раствор этого твердого вещества в воде (250 мл) обрабатывают диметилсульфатом (46,75 г, 0,37 моля), добавляя его по каплям, перемешивают при комнатной температуре в течение часа и экстрагируют метиленхлоридом. Органический экстракт сушат безводным сульфатом натрия, выпаривают под вакуумом и отгоняют, в результате получают указанный в заглавии продукт в виде бесцветной жидкости (19,66 г, т. кип. 80oС/0,5 мм Нg, выход 41%). Пример 10 Получение 5-(метоксиметил)-N-фенил-2,3-пиридиндикарбоксимида (см. схему к примеру 10) Раствор метоксиамина гидрохлорида (1,7 г, 20 ммолей) и ацетата натрия (2,1 г, 25,6 ммолей) в воде (30 мл) обрабатывают 3-метокси-2-(метоксиметил)-2-акролеином, (Е)- и (Z)- (2,2 г, 16,7 ммолей), добавляя его по каплям, затем перемешивают при комнатной температуре в течение 30 минут и экстрагируют метиленхлоридом. Органический экстракт сушат над безводным сульфатом натрия и упаривают в вакууме с получением О-метилоксима 3-метокси-2-(метоксиметил)-2-пропен-1-она. Смесь полученных О-метилоксима 3-метокси-2-(метоксиметил)-2-пропен-1-она, N-фенилимида малеиновой кислоты (2,9 г, 16,8 ммолей) и диизопропилэтиламина (2,2 г, 17,0 ммолей) в толуоле (50 мл) кипятят с обратным холодильником в течение 23 часов. Во время кипячения в реакционную смесь добавляют дополнительное количество N-фенилимида малеиновой кислоты (2,9 г, 16,8 ммолей). Полученную реакционную смесь концентрируют в вакууме, получая указанный в заглавии продукт в виде твердого вещества (0,36 г, выход 8%), в котором соотношение 5-(метоксиметил)-N-фенил-2,3-пиридиндикарбоксимида и 5-метил-N-фенил-2,3-пиридиндикарбоксимида составляет 50:1. Пример 11 Получение 3-этокси-2-метилакролеина диметилгидразона, (Е)- и (Z)- (см. схему к примеру 11). Смесь 3-этокси-2-метил-2-акролеина, (E)- и (Z)- (4,0 г, 35 ммоля), 1,1-диметилгидразина (2,73 г, 46 ммолей) и уксусной кислоты (0,04 г, 0,7 ммоля) в диэтиловом эфире кипятят с обратным холодильником в течение одного часа, охлаждают, промывают последовательно водой и рассолом, сушат над безводным сульфатом магния и выпаривают в вакууме, в результате получают указанный в заглавии продукт в виде желтого масла. Пример 12 Получение 5-метил-N-2,3-пиридиндикарбоксимида из N-фенилимида малеиновой кислоты и 3-этокси-2-метилакролеина диметилгидразона, (Е)- и (Z)- (см. схему к примеру 12). Раствор N-фенилимида малеиновой кислоты (1,1 г, 6,4 ммоля) в ацетонитриле кипятят с обратным холодильником в течение 19 часов. В процессе кипячения с обратным холодильником в реакционную смесь порциями добавляют 3-этокси-2-метилакролеин диметилгидразон, (E)- и (Z)- (1,2 г, 7,6 ммоля). Полученную реакционную смесь затем выпаривают в вакууме, в результате получают указанный в заглавии продукт в виде темного масла (0,23 г, выход 15%). Формула изобретения
![]() где R означает водород, С1-С6алкил или C1-C6 алкоксиметил; R1 означает водород, C1-C6алкил, С(O)R2, фенил, необязательно замещенный, в любом сочетании от 1 до 4 заместителями, выбранными из группы, включающей галоген, С1-С4алкил, С1-C4алкокси-, нитро- или цианогруппы, бензил, необязательно замещенный в фенильном кольце, в любом сочетании, от 1 до 4 заместителями, выбранными из группы, включающей галоген, С1-С4алкил, С1-С4алкокси-, нитро- или цианогруппы или группу ![]() R2 означает C1-C6алкил, бензил или фенил, необязательно замещенный, в любом сочетании, от 1 до 4 заместителями, выбранными из группы, включающей галоген, С1-С4алкил, С1-С4алкокси-, нитро- или цианогруппы; R3 и R4 каждый независимо предствляет собой С1-С4алкил; R5 означает цианогруппу или CONH2, отличающийся тем, что включает взаимодействие оксима или гидразона, имеющего структурную формулу II ![]() где R принимает указанные выше значения; R6 означает С1-С6алкил; R7 означает OR8 или NR9R10; R8 означает водород, С1-С6алкил, С(О)R11, фенил, необязательно замещенный, в любом сочетании, от 1 до 4 заместителями, выбранными из группы, включающей галоген, С1-С4алкил, С1-С4алкокси-, нитро-, или цианогруппы, бензил, необязательно замещенный в фенильном кольце, в любом сочетании, от 1 до 4 заместителями, выбранными из группы, включающей галоген, С1-С4алкил, С1-С4алкокси-, нитро- или цианогруппы; R11 означает С1-С6алкил, ОR12, NR12R13, бензил или фенил, необязательно замещенный, в любом сочетании, от 1 до 4 заместителями, выбранными из группы, включающей галоген, С1-С4алкил, С1-С4алкокси-, нитро- или циано-группы; R12 и R13 каждый независимо представляет собой водород, С1-С6алкил, бензил или фенил, необязательно замещенный, в любом сочетании, от 1 до 4 заместителями, выбранными из группы, включающей галоген, С1-С4алкил, С1-С4алкокси-, нитро- или цианогруппы, R9 и R10 каждый независимо представляет собой водород, С1-С6алкил, бензил или фенил, необязательно замещенный, в любом сочетании, от 1 до 4 заместителями, выбранными из группы, включающей галоген, С1-С4алкил, С1-С4алкокси-, нитро- или цианогруппы, с имидом малеиновой кислоты структурной формулы III ![]() где R1 принимает указанные выше значения. 2. Способ по п. 1, отличающийся тем, что R представляет собой водород, С1-C4алкил или С1-С4алкоксиметил; R1 представляет собой водород, С1-С4алкил, фенил, необязательно замещенный, в любом сочетании от 1 до 4 заместителями, выбранными из группы, включающей галоген, С1-С4алкил, С1-С4алкокси-, нитро- или цианогруппы, или ![]() R6 означает С1-С4алкил; R7 означает OR8; и R8 означает водород или С1-С6алкил. 3. Способ по п. 1, отличающийся тем, что оксим формулы II или гидразон взаимодействует с имидом малеиновой кислоты формулы III в растворителе, выбранном из группы, включающей ароматический углеводород, галогенированный ароматический углеводород, полициклический ароматический углеводород, гликоль, алкановую кислоту, смесь алкановая кислота/вода, ацетонитрил, смесь ацетонитрил/вода и их смеси, и температура кипения растворителя составляет, по меньшей мере, приблизительно 60oС. 4. Способ по п. 1, отличающийся тем, что оксим формулы II или гидразон взаимодействует с имидом малеиновой кислоты формулы III при температуре от приблизительно 20 до 160oС. 5. Способ по п. 1, отличающийся тем, что в нем дополнительно используют кислоту Льюиса, выбранную из группы, которую составляют хлорид алюминия и хлорид титана (IV). 6. Способ по п. 1, отличающийся тем, что в нем дополнительно используют основание, выбранное из группы, которую составляют три(С2-С4алкил)-амин, ацетат щелочного металла и их смеси, когда R представляет собой С1-С6алкоксиметил. 7. Соединение структурной формулы ![]() где R представляет собой водород, С1-С4алкил или С1С4алкоксиметил; R6 означает С1-С4алкил, R8 означает водород или С1-С6алкил. 8. Соединение по п. 7, выбранное из группы, включающей 0-метилоксим 3-этокси-2-метил-2-пропен-1-она; 0-метилоксим 3-метокси-2(метоксиметил)-2-пропен-1-она; оксим 3-этокси-2-метил-2-пропен-1-она; и оксим 3-метокси-2-(метоксиметил)-2-пропен-1-она. РИСУНКИ
MM4A Досрочное прекращение действия патента Российской Федерации на изобретение из-за неуплаты в установленный срок пошлины за поддержание патента в силе
Дата прекращения действия патента: 10.06.2003
Извещение опубликовано: 10.05.2005 БИ: 13/2005
|
||||||||||||||||||||||||||




(IV)













