Патент на изобретение №2185378
|
||||||||||||||||||||||||||
(54) ГЕТЕРОЦИКЛИЧЕСКИЕ О-ДИКАРБОНИТРИЛЫ
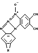
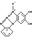
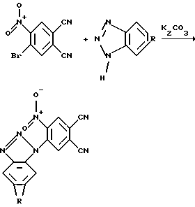
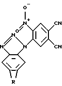
(57) Реферат: Описываются новые гетероциклические о-дикарбонитрилы формулы I, где ![]() ![]() которые могут быть использованы для получения гексазоцикланов-флуорофоров, в качестве фрагмента-донора для получения гексазоцикланов-бифлуорофоров и гексазоцикланов-трифлуорофоров. Такие гексазоцикланы перспективны для использования в качестве активных сред жидких и твердых лазеров, сцинтилляторов, особенно для индикации жесткого излучения, для трансформации коротковолнового излучения в длинноволновое при передаче информации по волоконно-оптическим линиям связи, для увеличения мощности солнечных батарей, для защиты ценных бумаг, для изготовления рекламных щитов и т.д. 2 табл. Изобретение относится к области получения новых гетероциклических о-дикарбонитрилов. о-Дикарбонитрилы могут быть использованы для получения гексазоцикланов-флуорофоров в качестве фрагмента-донора для получения гексазоцикланов-бифлуорофоров и гексазоцикланов-трифлуорофоров. Такие гексазоцикланы перспективны для использования в качестве активных сред жидких и твердых лазеров, сцинтилляторов, особенно для индикации жесткого излучения для трансформации коротковолнового излучения в длинноволновое при передаче информации по волоконно-оптическим линиям связи, для увеличения мощности солнечных батарей, для защиты ценных бумаг, для изготовления рекламных щитов и т.д. Данный гексазоциклан обладает следующими спектральными характеристиками: полоса излучения 540 нм при возбуждении в полосу 312 нм. Задачей, решаемой настоящим изобретением, является получение новых гетероциклических о-дикарбонитрилов. Заявляются гетероциклические о-дикарбонитрилы общей формулы ![]() где ![]() К заявляемым соединениям относятся: 4-(1H-1,2,3-бензотриазол-1-ил)-5-нитрофталонитрил (I): ![]() 4-(1H-нафто[2,3-d][1,2,3]триазол-1 -ил)-5-нитрофталонитрил (II): ![]() Данные соединения получают реакцией ароматического нуклеофильного замещения атома брома в 4-бром-5-нитрофталонитриле на нуклеофил, образующийся in situ в присутствии карбоната калия из соответствующего триазола по схеме: ![]() Данную реакцию проводят в ДМФА в присутствии карбоната калия при температуре 20…30oС в течение 1… 1,5 ч. Изобретение иллюстрируется следующими примерами: Пример 1. К 30 мл ДМФА при перемешивании последовательно прибавляют 2.52 г (0.01 моль) 4-бром-5-нитрофталонитрила, 1.38 г (0.01 моль) безводного К2СО3, и 1.19 г (0.01 моль) бензотриазола. Полученную смесь интенсивно перемешивают при 20…30oС в течение 1…1,5 ч и выливают в 100 мл воды. Образовавшийся осадок -целевой продукт – отфильтровывают, промывают водой и кристаллизуют из ДМФА. Получают 2,85 г (83,8% от теории 4-(1H-1,2,3-бензотриазол-1-ил)-5-нитрофталонитрила. Это желтый кристаллический порошок, Тпл. 234…236oС. Найдено, %: С 57,77; Н 2,15; N 28,62. Вычислено, %: С 57,94; Н 2,08; N 28,95. Экв.327,2; C14H6N6O2 1H ЯМР ([2H6] ДМСО): , м.д.: 9.05 (s, 1H), 8.79 (s, 1H), 7.96 (m, 2H, J= 16 Гц), 7.55 (m, 2H, J=16 Гц).
Пример 2. Реакцию проводят аналогично примеру 1, за исключением того, что в качестве реагента (бензотриазола) используется 1H-нафто[2,3-d(][1,2,3] триазол. Условия и результаты проведенных синтезов представлены в табл. 1.
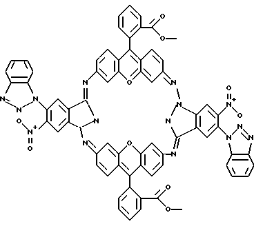
Пример 3. Конденсация I с родамином 123. В колбу, снабженной мешалкой, термометром, обратным холодильником и капилляром для ввода аргона, загружают 2.9 г (0.01 моль) I, 3.8 г (0.01 моль) родамина 123 и 10 г фенола. Полученную смесь медленно нагревают при перемешивании до 175… 185oС. Образовавшийся расплав выдерживают при перемешивании в токе аргона до прекращения выделения аммиака. После окончания реакции реакционную смесь выливают в 20 мл этанола, выпавший осадок отфильтровывают, промывают 3 мл этанола и сушат при Т=60oС в течение 2 ч, затем в вакууме над Р2О5. Получают 5,76 г (93% от теории) гексазоциклана.
Найдено, %: С 67,81; Н 3,43; N 15,80.
Вычислено, %: С 67,84; Н 3,42; N 15,83.
С70H42N114O10В ИК-спектре гексазоциклана отсутствует полоса 2220 см-1 – C N, присутствует полоса – 680 см-1 -C=N -.
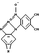
Структурная формула гексазоциклана, полученного на основе I и родамина 123:![]() Макрогетероцикл, полученный на основе I и родамина 123, имеет следующие спектральные характеристики: максимум спектра излучения – 398 нм при максимумах спектра поглощения – 351 и 390 нм. Пример 4. Реакцию проводят аналогично примеру 3, за исключением того, что вместо фталонитрила I используются эквимолярное количество фталонитрила II. Условия и результаты проведенного синтеза, а так же спектральные характеристики полученного макрогетероцикла приведены в табл. 2. Формула изобретения
![]() где
РИСУНКИ
MM4A Досрочное прекращение действия патента Российской Федерации на изобретение из-за неуплаты в установленный срок пошлины за поддержание патента в силе
Дата прекращения действия патента: 23.06.2003
Извещение опубликовано: 20.11.2004 БИ: 32/2004
|
||||||||||||||||||||||||||








, м.д.: 9.05 (s, 1H), 8.79 (s, 1H), 7.96 (m, 2H, J= 16 Гц), 7.55 (m, 2H, J=16 Гц).
Пример 2. Реакцию проводят аналогично примеру 1, за исключением того, что в качестве реагента (бензотриазола) используется 1H-нафто[2,3-d(][1,2,3] триазол. Условия и результаты проведенных синтезов представлены в табл. 1.
Пример 3. Конденсация I с родамином 123. В колбу, снабженной мешалкой, термометром, обратным холодильником и капилляром для ввода аргона, загружают 2.9 г (0.01 моль) I, 3.8 г (0.01 моль) родамина 123 и 10 г фенола. Полученную смесь медленно нагревают при перемешивании до 175… 185oС. Образовавшийся расплав выдерживают при перемешивании в токе аргона до прекращения выделения аммиака. После окончания реакции реакционную смесь выливают в 20 мл этанола, выпавший осадок отфильтровывают, промывают 3 мл этанола и сушат при Т=60oС в течение 2 ч, затем в вакууме над Р2О5. Получают 5,76 г (93% от теории) гексазоциклана.
Найдено, %: С 67,81; Н 3,43; N 15,80.
Вычислено, %: С 67,84; Н 3,42; N 15,83.
С70H42N114O10
N, присутствует полоса – 680 см-1 -C=N -.
Структурная формула гексазоциклана, полученного на основе I и родамина 123:
