Патент на изобретение №2185377
|
||||||||||||||||||||||||||
(54) ГЕТЕРОЦИКЛИЧЕСКИЕ ТЕТРАКАРБОНИТРИЛЫ
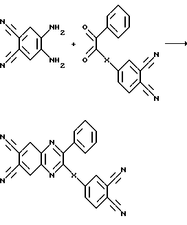
(57) Реферат: Изобретение относится к новым гетероциклическим тетракарбонитрилам общей формулы I ![]() где X = -связь,![]() Соединения могут быть использованы для получения полигексазоцикланов – флуорофоров, бифлуорофоров, трифлуорофоров. Такие полигексазоцикланы перспективны для использования в качестве активных сред жидких и твердых лазеров, сцинтилляторов, особенно для индикации жесткого излучения, для трансформации коротковолнового излучения в длинноволновое при передаче информации по волоконно-оптическим линиям связи, для увеличения мощности солнечных батарей, для защиты ценных бумаг, для изготовления рекламных щитов. 2 табл. Изобретение относится к области получения новых тетранитрилов гетероциклических тетракарбоновых кислот, которые могут быть использованы для получения не описанных ранее полигексазоцикланов – флуорофоров, бифлуорофоров, трифлуорофоров. Такие полигексазоцикланы перспективны для использования в качестве активных сред жидких и твердых лазеров, сцинтилляторов, особенно для индикации жесткого излучения, для трансформации коротковолнового излучения в длинноволновое при передаче информации по волоконно-оптическим линиям связи, для увеличения мощности солнечных батарей, для защиты ценных бумаг, для изготовления рекламных щитов и т.д. Полученный полигексазоциклан обладает следующими показателями: полоса излучения 532 нм при возбуждении в полосу 312 нм. Задачей, решаемой настоящим изобретением, является получение новых гетероциклических тетракарбонитрилов. Заявляются гетероциклические тетракарбонитрилы общей формулы: ![]() где X = -связь,![]() К заявляемым соединениям относятся 2-(3,4-дицианофенил)-3-фенил-6,7-хиноксалиндикарбонитрил (I): ![]() 2-[4-(3,4-дицианофенокси)фенил] -3-фенил-6,7-хиноксалиндикарбонитрил (II): ![]() Данные соединения получают реакцией конденсации 4,5-диаминофталонитрила с соответствующим дикетоном по схеме: ![]() Реакцию проводят в среде уксусной кислоты при температуре кипения в течение 1…1,5 часов. Изобретение иллюстрируется следующими примерами: Пример 1. В колбу, снабженную обратным холодильником, последовательно загружают 30 мл уксусной кислоты, 1,6 г (0,01 моль) 4,5-диаминофталонитрила, 2,6 г (0,01 моль) 4-(2-оксо-2-фенилацетил)фталонитрила. Реакционную смесь выдерживают при кипении в течение 1,5 часов. Затем реакционную массу выливают в 100 мл воды, отфильтровывают образовавшийся осадок, промывают его 50 мл воды и кристаллизуют из ДМФА. Получают 3,25 г (85,1% от теории) 2-(3,4-дицианофенил)-3-фенил-6,7-хиноксалиндикарбонитрила (I) – белого кристаллического порошка с т.пл. >300oС. Найдено, %: С 75,35; Н 2,65; N 21,93 Вычислено, %: С 75,38; Н 2,64; N 21,98 C24H10N6 1H-ЯМР ([2Н6] ДМСО): , м.д.: 9,00 (s, 2H), 8,20 (s, 1H), 8,10 (d, 1H, J=7,9 Гц), 7,95 (d, 1H, J=8 Гц), 7,55 (m, 2H), 7,45 (m, 2H)Пример 2. Реакцию проводят аналогично примеру 1, за исключением того, что в качестве реагента (4-(2-оксо-2-фенилацетил)фталонитрила) соответственно используются эквимолярное количество 4-[4-(2-оксо-2-фенилацетил)фенокси] фталонитрила. Условия и результаты проведенных синтезов приведены в табл. 1. Пример 3. Конденсация 2-(3,4-дицианофенил)-3-фенил-6,7-хиноксалиндикарбонитрила с родамином 123. В колбу, снабженной мешалкой, термометром, обратным холодильником и капилляром для ввода аргона загружают 3,2 г (0,01 моль) 2-(3,4-дицианофенил)-3-фенил-6,7-хиноксалиндикарбонитрила, 3,8 г (0,01 моль) родамина 123 и 10 г фенола. Полученную смесь медленно нагревают при перемешивании до 175. .. 185oС. Образовавшийся расплав выдерживают при перемешивании в токе аргона до прекращения выделения аммиака. После окончания реакции реакционную смесь выливают в 20 мл этанола, выпавший осадок отфильтровывают, промывают 3 мл этанола и сушат при Т=60oС в течение 2 часов, затем в вакууме над Р2O5. Получают 9,9 г (95% от теории) полигексазоциклана. Найдено, %: С 75,96; Н 4,09; N 10,71 Вычислено, %: С 75,99; Н 4,07; N 10,74 (C66H42N8O6)n В ИК-спектре полигексазоциклана отсутствует полоса 2220 см-1 -C N, присутствует полоса 680 см-1-C=N.
Структурная формула полигексазоциклана, полученного на основе 2-(3,4-дицианофенил)-3-фенил-6,7-хиноксалиндикарбонитрила и родамина 123:![]() Полигексазоциклан, полученный на 2-(3,4-дицианофенил)-3-фенил-6,7-хиноксалиндикарбонитрила и родамина 123 имеет следующие спектральные характеристики: максимум спектра излучения – 424 нм при максимумах спектра поглощения – 280 и 337 нм. Пример 4. Реакцию проводят аналогично примеру 3, за исключением того, что вместо дифталонитрила I используются эквимолярное количество дифталонитрила II. Условия и результаты проведенных синтезов, а так же спектральные характеристики полученного полигексазоциклана приведены в табл.2. Формула изобретения
![]() где Х= -связь,
РИСУНКИ
MM4A Досрочное прекращение действия патента Российской Федерации на изобретение из-за неуплаты в установленный срок пошлины за поддержание патента в силе
Дата прекращения действия патента: 04.10.2003
Извещение опубликовано: 10.01.2005 БИ: 01/2005
|
||||||||||||||||||||||||||


-связь,





, м.д.: 9,00 (s, 2H), 8,20 (s, 1H), 8,10 (d, 1H, J=7,9 Гц), 7,95 (d, 1H, J=8 Гц), 7,55 (m, 2H), 7,45 (m, 2H)
N, присутствует полоса 680 см-1-C=N.
Структурная формула полигексазоциклана, полученного на основе 2-(3,4-дицианофенил)-3-фенил-6,7-хиноксалиндикарбонитрила и родамина 123:
