Патент на изобретение №2185140
|
||||||||||||||||||||||||||
(54) КОСМЕТИЧЕСКАЯ КОМПОЗИЦИЯ ДЛЯ КЕРАТИНОВЫХ МАТЕРИАЛОВ, СПОСОБ ИХ КОСМЕТИЧЕСКОЙ ОБРАБОТКИ
(57) Реферат: Изобретение относится к косметическим композициям, содержащим в косметически приемлемой водной среде один анионный полимер и тройной акриловый сополимер, а также к применению этих композиций для обработки кератиновых материалов. Тройной акриловый сополимер содержит a) приблизительно 20-70 мас. % карбоновой кислоты с , -моноэтиленовой ненасыщенностью; b) приблизительно 20-80 мас.% отличного от компонента (а) мономера с моноэтиленовой ненасыщенностью, не обладающего поверхностно-активными свойствами, и c) приблизительно 0,5-60,0% неоинного уретанового мономера, представляющего собой продукт реакции неионного одноатомного ПАВ с моноизоцианатом с моноэтиленовой ненасыщенностью. Изобретение, в частности, относится к несмываемым средствам для волос, таким как гели, пены, лаки, а также к солнцезащитным композициям. Изобретение позволяет получить составы, которые нежирны, хорошо распределяются по коже и волосам, придавая им мягкость и способность расчесываться, обладают хорошими фиксирующими свойствами. 2 с. и 24 з.п.ф-лы.
Изобретение относится к косметическим композициям, содержащим в комбинации по меньшей мере один анионный полимер и один тройной акриловый сополимер, а также к применению этих композиций для обработки кератиновых материалов, в частности кожи и волос. Анионные полимеры обычно применяют из-за их фиксирующих свойств, в частности, в составах гелей для укладки и фиксации волос. Для целей ухода и укладки целесообразно приготовление композиций, содержащих анионные полимеры, которые обладают повышенной вязкостью и представляют собой хорошо распределяющиеся густые гели. Обычно такие свойства достигаются применением загущающих и/или гелеобразующих полимеров. Однако введение анионных полимеров в загустители часто приводит к проблемам разжижения и к потере прозрачности носителя, в результате чего косметическая эффективность получаемых средств для ухода и укладки волос иногда бывает недостаточной. Известны загущающие и/или гелеобразующие полимеры, имеющие в углеродной цепи гидрофильную часть и гидрофобную часть, представляющую собой жирную цепь, как, например, продукт РЕ-MULEN TRI, поставляемый фирмой GOODRICH или полимеры ACRYSOL, поставляемые фирмой ROHM & HAAS. Полимер PEMULEN TRI, применяемый в сочетании с анионными полимерами, не позволяет получить гель с нужной текстурой и прозрачностью и не дает хороших результатов в плане косметики, в частности, в том, что касается фиксирующей способности, расчесываемости волос, мягкости и естественности при прикосновении. Полимер ACRYSOL 44 в сочетании с анионными полимерами дает текучий и мутный продукт. Заявитель неожиданным образом обнаружил, что, используя в комбинации с анионными полимерами новое семейство загущающих и/или гелеобразующих полимеров, можно получить косметические составы с нужной вязкостью при относительно невысоком рН, которые непастообразны, нежирны, хорошо распределяются по коже и волосам, придавая им хорошую мягкость и способность расчесываться, обладая при этом хорошими фиксирующими свойствами. Таким образом, предметом настоящего изобретения являются косметические композиции для обработки кератиновых материалов, содержащие в косметически приемлемом водном носителе по меньшей мере один анионный полимер и один тройной акриловый сополимер, который ниже будет описан более подробно. Этот полимер позволяет, в частности, получать водные или водно-органические композиции, смываемые или не смываемые содержащие косметически приемлемые растворители, начиная от желатинированных продуктов до твердых палочек. Преимуществами тройного сополимера являются его способности оставаться устойчивым в электролитной среде и обладать очень высокой загущающей способностью при рН 5,5, позволяющем добиться хорошего уровня вязкости и использовать повышенные концентрации спирта.
Используемый в соответствии с изобретением тройной акриловый сополимер растворяется или набухает в щелочах. Этот сополимер характеризуется тем, что он содержит:a) приблизительно 20-70, преимущественно 25-55 вес. % карбоновой кислоты с , -моноэтиленовой ненасыщенностью;b) приблизительно 20-80, преимущественно 30-65 вес. % отличного от компонента (а) мономера с моноэтиленовой ненасыщенностью, не обладающего поверхностно-активными свойствами, и c) приблизительно 0,5-60, преимущественно 10-50 вес. % неионного уретанового мономера, представляющего собой продукт реакции неионного одноатомного ПАВ с моноизоцианатом с моноэтиленовой ненасыщенностью. Карбоновую кислоту (а) с , -моноэтиленовой ненасыщенностью выбирают из широкого ряда кислот, в частности из акриловой, метакриловой, итаконовой и малеиновой кислот, из которых метакриловая кислота является предпочтительной. Большое содержание кислоты существенно для придания полимерной структуре способности солюбилизироваться и для загущения при реакции с щелочным соединением, таким как гидроксид натрия, алканоламины, аминометилпропанол и аминометилпропандиол.
Тройной сополимер должен также содержать значительное количество названного выше мономера (b) с моноэтиленовой ненасыщенностью, не обладающего поверхностно-активными свойствами. Предпочтительными являются такие мономеры, которые дают при гомополимеризации нерастворимые в воде полимеры, каковыми, например, являются C1-C4-алкилакрилаты и -метакрилаты, такие как метилакрилат, этилакрилат, бутилакрилат или соответствующие метакрилаты. Особенно предпочтительны метил- и этилакрилаты. Другие пригодные для использования мономеры – это стирол, винилтолуол, винилацетат, акрилонитрил и винилиденхлорид. Предпочтительны нереакционноспособные мономеры, т.е. такие, у которых единственная этиленовая группа является в то же время и единственной реакционноспособной в условиях полимеризации группой. Однако в отдельных случаях могут быть также использованы и мономеры, содержащие группы, проявляющие реакционную способность при нагревании, например гидроксиэтилакрилат.
Одноосновные неионные ПАВ, используемые для получения неионного уретанового мономера (с), хорошо известны и обычно являются алкоксилированными гидрофобными соединениями, содержащими алкиленоксид, образующий гидрофильную часть молекулы. Гидрофобные соединения обычно представляют собой алифатические спирты или алкилфенолы, у которых углеродная цепочка, содержащая не менее шести атомов углерода, является гидрофобной частью ПАВ.
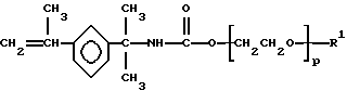
Предпочтительные одноосновные неионные ПАВ имеют формулу:![]() в которой R обозначает С6-С30-алкил, С8-С30-аралкил; R’ обозначает С1-С4-алкил; n обозначает среднее число приблизительно от 5 до 150 и m среднее число приблизительно от 0 до 50 при условии, что n составляет по меньшей мере столько же, сколько m, a n+m=5-150. Из предпочтительных С6-С30-алкильных групп могут быть названы радикалы додецил и С18-С26-алкил. Из аралкильных групп можно выделить группы С8-С13-алкилфенил. Предпочтительной группой R’ является метил. Моноизоцианат с моноэтиленовой ненасыщенностью, используемый для получения неионного уретанового мономера (с), может быть выбран из самых разных соединений. Может быть использовано соединение, содержащее любую способную к сополимеризации ненасыщенную группу, такую как акриловая или метакриловая ненасыщенные группы. Можно также использовать аллильную ненасыщенную группу аллилового спирта. Предпочтительным моноэтиленовым моноизоцианатом является , -диметил-м-изопропенилбензилизоцианат.
Определенный выше тройной акриловый сополимер получают обычной водоэмульсионной сополимеризацией соединений (а), (b) и (с), которая описана в заявке на патент ЕР-А0173109.
В качестве тройных сополимеров, которые могут быть использованы в соответствии с настоящим изобретением, могут быть названы продукты реакции метакриловой кислоты в качестве составляющей (а), этилакрилата в качестве составляющей (b) и неионного уретанового макромономера в качестве составляющей (с), который имеет следующее строение:![]() где р’ составляет от 6 до 150 и преимущественно равен 30, а R2 обозначает радикал С8-С13-алкил, такие как описаны в примере 3 заявки на патент ЕР-А-0173109. Предпочтительный используемый в соответствии с изобретением тройной акриловый сополимер получают из метакриловой кислоты в качестве составляющей (а), метилакрилата в качестве составляющей (b) и неионного уретанового макромономера в качестве составляющей (с), обладающего следующим строением: ![]() где р составляет от 6 до 150, а R1 обозначает С18-С26-алкил, преимущественно нормальный С20-С24-алкил растительного происхождения, например докозил. Тройной акриловый сополимер содержится в косметических композициях по изобретению в концентрациях от 0,01 до 20% от общей массы композиции и предпочтительно от 0,1 до 10 вес. %. Согласно изобретению может быть использован любой известный анионный полимер. Разумеется, могут быть использованы как один, так и несколько анионных полимеров. Обычно используемые анионные полимеры являются полимерами, содержащими группы, производные от карбоновой, сульфоновой или фосфорной кислот и имеющие молекулярные массы в пределах приблизительно от 500 до 5000000. Карбоксильные группы вводятся в полимеры с помощью мономерных одноосновных или двухосновных ненасыщенных карбоновых кислот, отвечающих следующей формуле: ![]() в которой n обозначает целое число от 0 до 10, А обозначает метиленовую группу, которая может быть связана с атомом углерода ненасыщенной группы или с соседней метиленовой группой в том случае, когда n > 1, через гетероатомы такой как кислород или сера, R1 обозначает атом водорода, фенильную или бензильную группу, 2 – атом водорода, низший алкил или карбоксил, R3 – атом водорода, низший алкил, группу -СН2СООН, фенил или бензил. В приведенной выше формуле низший алкильный радикал обозначает преимущественно группу с 1-4 атомами углерода, чаще всего метил и этил. Предпочтительными анионными полимерами с карбоксильными группами являются следующие. A) Гомо- или сополимеры акриловой или метакриловой кислот или их соли, в частности продукты, выпускаемые фирмой ALLIED COLLOID под названием VERSICOL Е или VERSICOL К и продукт ULTRAHOLD фирмы BASF; сополимеры акриловой кислоты и акриламида, выпускаемые в виде натриевых солей фирмой HERCULES под названиями RETEN 421, RETEN 432 или RETEN 425; натриевые соли полигидроксикарбоновых кислот. B) Сополимеры акриловой или метакриловой кислот с по меньшей мере одним моноэтиленовым мономером, таким как этилен, стирол, сложные виниловые эфиры, эфиры акриловой или метакриловой кислот, акриламид или его производные и винилпир-ролидон, которые могут быть привиты на полиалкиленгликоль, например, полиэтиленгликоль, и возможно поперечно сшиты, такие полимеры, в частности, описаны во французском патенте 1222944 и германской заявке 2330956. Полимеры этого типа, имеющие в цепи акриламидное структурное звено, которое может быть алкилировано или гидроксиалкилировано по атому азота, описаны, в частности, в патентах FR 2360615 и FR 2432528 и предлагаются под назанием QUADRAMER фирмой AMERICAN CYANA-MID. Можно также назвать сополимеры акриловой килсоты и C1-С4-алкилметакрилата и тройные сополимеры винилпирролидона, (мет)акриловой кислоты и С1-С20-алкил(мет)акрилата, например, лаурил(мет)акрилата такого, который выпускается фирмой ISP над названием ACRYLIDONE LM, трет-бутил(мет)акрилат, например, LUVIFLEX VBM 70 фирмы BASF или метил(мет)акрилат, такой как STEPANHOLD EXTRA, поставляемый фирмой STEPAN. Можно также назвать сополимеры метакриловой кислоты и этилакрилата, такие как выпускаемые фирмой BASF под названием LUVIMER МАЕХ и тройные сополимеры метакриловая кислота/этилакрилат/трет-бутилакрилат, такие как поставляемый фирмой BASF продукт LUVIMER 100Р. С) Сополимеры – производные кретоновой кислоты, такие как те, которые содержат в своей цепи в качестве структурных звеньев винилацетатные или винилпропионатные звенья и, возможно, другие мономеры, такие как аллиловые или металлиловые сложные эфиры, простой виниловый эфир или виниловый эфир насыщенной карбоновой кислоты с длинной нормальной или разветвленной углеводородной цепью, например цепью, содержащей не менее 5 атомов углерода, причем эти полимеры могут быть привиты на полиэтиленгликоль и поперечно сшиты; а также виниловый, аллиловый или металлиловый эфиры – или -циклической карбоновой кислоты. Такие полимеры, наряду с другими, описаны во французских патентах 1222944, 1580545, 2265782, 2265781, 1564110 и 2439798. Промышленными продуктами, входящими в этот класс полимеров, являются выпускаемые фирмой NATIONAL STARCH смолы 28-29-30, 26-13-14 и 28-12-10. Можно также упомянуть тройной сополимер винилацетат/виниловый эфир п-трет-бутилбензойной кислоты/кротоновая кислота (65/25/10).
D) Сополимеры – производные мононенасыщенных С4-С8-карбоновых кислот или их ангидридов, выбранные из числа:– сополимеров, содержащих (i) по меньшей мере одну малеиновую, фумаровую или итаконовую кислоту или ангидрид одной из этих кислот и (ii) по меньшей мере один мономер, выбранный из сложных или простых виниловых эфиров, винилгалогенидов, фенилвиниловых производных, акриловой кислоты и ее эфиров, причем ангидридные функции этих сополимеров могут быть моноэтерифицированы или моноамидированы. Такие полимеры, в частности, описаны в патентах US 2047398, 2723248, 2102113, патенте GB 839805 и выпускаются фирмой ISP, в частности, под названием GANTREZ AN, GANTREZ ES или AVANTAGE СР; – сополимеров, содержащих (i) по меньшей мере один малеиновый, цитраконовый или итаконовый ангидрид и (ii) по меньшей мере один мономер, выбранный из сложных аллиловых или металлиловых эфиров, которые могут содержать в цепи одну или несколько групп акриламида, метакриламида, -олефина, эфиров акриловой или метакриловой кислот, акриловой или метакриловой кислоты или винилпирролидона, причем ангидридные функции этих сополимеров могут быть моноэтерифицированы или моноамидированы. Такие полимеры описаны, например, во французских патентах 2350384 и 2357241, выданных на имя заявителя.
Е) Полиакриламиды, содержащие карбоксилатные группы.
Полимеры с сульфоновыми группами представляют собой полимеры, имеющие винилсульфоновые, стиролсульфоновые, нафталинсульфоновые или акриламидоалкилсульфоновые звенья.
Эти полимеры могут быть, в частности, выбраны из:– солей поливинилсульфокислот со средневесовыми молекулярными массами приблизительно от 1000 до 100000, а также их сополимеры с такими ненасыщенными сомономерам, как акриловая или метакриловая кислота и их эфиры, акриламид или его производные, простые виниловые эфиры ивинилпирролидон; – солей полистиролсульфокислот, их которых натриевые соли, имеющие средневесовые молекулярные массы приблизительно 500000 и 100000, продаются фирмой NATIONAL STARCH под названиями, соответственно, FLEXAN 500 и FLEXAN 130. Эти соединения описаны в патенте FR 2198719; – солей полиакриламидалкилсульфокислот, таких, которые описаны в патенте US 4128631, и более конкретно полиалкилами-доэтилпропансульфокислоты, выпускаемой фирмой HENKEL под названием COSMEDIA POLYMER HSP 1180 и поперечно сшитой полиакриламидометилпропансульфокислоты, частично (на 50%) нейтрализованной аммиаком, продаваемой фирмой HOECHST под названием HOSTACERIN AMPS. Согласно изобретению, анионные полимеры преимущественно выбирают из числа сополимеров акриловой или метакриловой кислоты с по меньшей мере одним моноэтиленовым мономером, которые могут быть привиты к полиалкиленгликолю, а также, возможно, подвергнуты поперечной сшивке, такие как тройной сополимер акриловая кислота/этилакрилат/N-трет-бутилакриламид, выпускаемый фирмой BASF под названием UL.TRAHOLD STRONG, сополимеры метакриловой кислоты и метилметкриалата, выпускаемые фирмой ROHM PHARMA под названием EUDRAGIT L, сополимер метакриловой кислоты и этилакрилата, выпускаемый фирмой BASF под названием LUVIMER MAEX, тройной сополимер винилпирролидон/акриловая кислота/лаурилметакрилат, вьшускаемый фирмой ISP под названием ACRYLIDONE LM, сополимеры – производные кротоновой кислоты, такие как тройной сополимер винилацет/виниловый эфир трет-бутилбензойной кислоты/кротоновая кислота, тройной сополимер кротоновая кислота/винилацетат/винилнеододеканоат, выпускаемый над названием Resine 28-29-30 фирмой NATIONAL STARCH, сополимер винилацетат/кротоновая кислота, выпускаемый фирмой BASF под названием LUVISET СА 66 и тройной сополимер винилацет/кротоновая кислота/полиэтиленгликоль, выпускаемый фирмой BASF под названием ARISTOFLEX А, сополимеры – производные малеиновой, фумаровой и итаконовой кислот или их ангидридов, такие как сополимер метилвинилового эфира и моноэтерифицированного малеинового ангидрида, поставляемый фирмой ISP под названием GANTREZ ES 425. Особенно предпочтительные анионные полимеры выбирают из числа следующих полимеров: тройной сополимер винилацетат/виниловый эфир трет-бутилбензойной кислоты/кротоновая кислота, сополимер метилвинилового эфира и моноэтерифицированного малеинового ангидрида, выпускаемый фирмой ISP под названием GANTREZ ES 425, сополимер метакриловой кислоты и метилметакрилата, выпускаемый фирмой ROHM PHARMA под названием EUDRAGIT L, сополимер метакриловой кислоты и этилакрилата, выпускаемый фирмой BASF под названием LUVIMER MAEX, и тройной сополимер винилпирролидон/акриловая кислота/лаурилметакрилат, выпускаемый фирмой ISP под названием ACRYLIDONE LM. Согласно изобретению можно также использовать анионные полимеры в виде латексов и псевдолатексов, т.е. в виде водных дисперсий нерастворимых частиц полимеров. Можно, например, использовать водную дисперсию, содержащую сополимер, образованный из одного или нескольких алкилак-рилатов, одного или нескольких алкилметакрилатов и из одной или нескольких карбоновых кислот этиленового ряда, имеющих от 3 до 5 атомов углерода, в то время как упомянутые алкильные радикалы содержат 1-5 атомов углерода и могут иметь гидроксильные заместители. Алкилакрилат преимущественно выбирают из метил-, этил-, пропил- и бутилакрилатов, из которых этилакрилат особенно предпочтителен. Концентрация алкилакрилата преимущественно составляет от 40 до 70, предпочтительно от 50 до 60% от общей массы сополимера. Алкилметакрилат преимущественно выбирают из метил-, этил-, пропил- и бутилметакрилатов, из которых метилметакрилат особенно предпочтителен. Концентрация алкилметакрилата преимущественно составляет от 30 до 50, предпочтительно от 30 до 40% от общей массы сополимера. Предпочтительными карбоновыми кислотами этиленового ряда являются кислоты акриловая, метакриловая, кротоновая, итаконовая или их смеси. Особенно предпочтительны акриловая и метакриловая кислоты. Согласно изобретению могут быть использованы соли названных карбоновых кислот. Концентрация этиленовых карбоновых кислот или их солей составляет преимущественно от 5 до 15, предпочтительно от 8 до 12% от общей массы сополимера. В наиболее предпочтительном способе осуществления изобретения акриловую кислоту применяют вместе с метакриловой кислотой, концентрация каждой из которых составляет от 2 до 10, а их суммарная концентрация не превышает 15% от общей массы сополимера. Сополимер может также содержать малые количества, то есть менее 10, предпочтительно менее 5 и еще более предпочтительно менее 2% полимеризующего мономера, отличного от названных выше. Согласно особенно предпочтительному способу осуществления изобретения используют сополимер, содержащий 50-60 маc.% этилакрилата, 30-40 маc.% метилметакрилата, 2-10 маc. % акриловой кислоты и 2-10 маc.% метакриловой кислоты, причем суммарная концентрация акриловой и метакриловой кислот не превышает 15% от общей массы сополимера. Такой сополимер описан, например, в заявке на патент ЕР-А-1590604, которая включена в настоящий документ в качестве ссылки. Водная дисперсия описанного выше акрилового сополимера, содержащего 25 маc.% сополимера этилакри-лат/метилметакрилат/метакриловая кислота/акриловая кислота поставляется, в частности, фирмой AMERCHOL под названием AMERHOLD DR-25. Согласно изобретению можно также использовать водную дисперсию сополимера гидроксиэтилметакрилат/метилметакрилат/метакриловая кислота/бутилакрилат, такого, каким, например, является продукт, поставляемый фирмой SEPPIC под названием ACUDYNE 255. Согласно изобретению можно также использовать водную дисперсию сополимера этилакрилат/метакриловая кислота/трет-бутилакрилат такого, какой, например, поставляется фирмой BASF под названием LUVIMER LOW VOC. Анионные полимеры применяются в композициях по изобретению в количествах от 0,01 до 20, предпочтительно от 0,1 до 8% от массы композиции. Композиции по изобретению содержат косметически приемлемую водную среду. рН этой среды может составлять от 3,5 до 11, предпочтительнее от 5,5 до 11, наиболее предпочтительно от 5,5 до 8,5. Косметически приемлемая среда композиций по изобретению более конкретно состоит из воды и, возможно, косметически приемлемых органических растворителей. Органические растворители могут составлять от 0,5 до 90% от общей массы композиции. Ими могут быть гидрофильные органические растворители, липофильные органические растворители, амфифильные растворители или их смеси. Из гидрофильных органических растворителей могут быть, например, названы нормальные или разветвленные низшие одноатомные спирты с 1-8 атомами углерода, полиэтиленгликоли, имеющие от 6 до 80 этиленоксидных звеньев, и полиолы. В качестве амфифильных органических растворителей могут быть названы производные полипропиленгликоля (ППГ), такие как эфиры полипропиленгликоля и жирной кислоты, эфиры ППГ и жирного спирта, например ППГ-23-олеиловый эфир и ППГ-36-олеат. В качестве липофильных органических растворителей могут быть, например, названы жирные эфиры, такие как диизопропила-дипат, диоктиладипат, алкилбензоаты, диоктилмалеат. Для того чтобы косметические композиции по изобретению были более приятны при использовании (более мягкие при нанесении, более питательные и в большей степени умягчающие), возможно добавление к среде композиций жировой фазы. Жировая фаза может составлять до 50% от общей массы композиции. Эта жировая фаза может содержать жидкое масло или воск или их смеси и может также содержать жирные кислоты, жирные спирты и эфиры жирных кислот. В качестве жидких масел могут быть использованы животные, растительные, минеральные или синтетические жидкие масла и, в частности, вазелиновое масло, парафиновое масло, изопарафины, поли- -олефины, фторированные и перфторированные масла. В качестве же восков могут быть использованы известные животные, ископаемые, растительные, минеральные или синтетические воски.
Композиции по изобретению могут содержать обычные в косметической практике добавки, такие как дополнительные традиционные гелеобразователи и/или загустители; эмульгаторы; ПАВ; увлажняющие агенты; мягчители; солнечные фильтры; гидрофильные или липофильные агенты, такие как керамиды; агенты, препятствующие образованию свободных радикалов; комплексообразователи; антиоксиданты; консерванты; подщелачивающие или подкисляющие агенты; отдушки; наполнители; окрашивающие вещества; модифицированные или немодифицированные, летучие или нелетучие силиконы; восстановители. Количества этих различных добавок таковы, какие приняты в рассматриваемых областях.
Само собой разумеется, специалист должен подбирать возможное соединение или соединения с целью добавления к композиции по изобретению таким образом, чтобы полезные свойства, присущие композиции, не были изменены или существенно изменены возможными добавками.
Композиции по изобретению могут находиться в различных формах, подходящих для топического нанесения, в частности в виде загущенного лосьона, в виде водных или водно-спиртовых гелей, везикулярных дисперсий, простых или сложных эмульсий (масло/вода, вода/масло, масло/вода/масло или вода/масло/вода) и обладать жидкой, полужидкой или твердой консистенцией как в случае таких продуктов как молочко, кремы, гели, гели-кремы, пасты, карандаши или в аэрозольной упаковке в виде пен и спрэев. Для приготовления таких композиций используют обычные способы.
Композиции по изобретению могут быть использованы в качестве смываемых или несмываемых средств для волос, в частности для мытья, окрашивания, ухода, кондиционирования, распрямления, поддерживания прически или перманентной или неперманентной укладки волос.
Эти композиции могут представлять собой такие продукты для укладки, как лосьоны для плиссировки, лосьоны для временной завивки, составы для фиксации и укладки. Лосьоны могут различным образом упаковываться, в частности, в пульверизаторы, в гибкие флаконы или в аэрозольные баллончики для обеспечения нанесения композиции в пульверизованном состоянии или в виде пены. Такие формы упаковки используют, например, в тех случаях, когда для фиксации или обработки волос желают получить спрэй или пену.
Композиции по изобретению могут также представлять собой шампуни, смываемые или несмываемые композиции, применяемые до или после шампуня, окрашивания, обесцвечивания, перманента или распрямления.
Композиции по изобретению могут быть также использованы в качестве средств ухода и гигиены, таких как кремы для защиты, лечения и ухода за лицом, руками или телом, молочко для защиты и ухода за телом, лосьоны, гели или пены для ухода или очистки кожи.
Композиции по изобретению могут также быть использованы в качестве составов для защиты от солнечных лучей.
Композиции могут быть также в виде твердых препаратов – мыла или очистительных брикетов.
Композиции по изобретению могут также быть использованы в качестве средств ухода за полостью рта, таких как зубные пасты или средства для полоскания рта.
Композиции по изобретению могут быть использованы также как средства для макияжа, такие как кремы для лица, тонизирующие крем-пудры, туши для ресниц и бровей, контурные карандаши, губные помады и лаки для ногтей.
Другим предметом изобретения является способ косметической нетерапевтической обработки кожи, кожи волосистой части головы, волос, ресниц, бровей, ногтей или слизистых оболочек, отличающийся тем, что на кератиновую основу наносят определенную выше композицию, с использованием обычных для этой композиции приемов, например, путем нанесения кремов, гелей, сывороток, лосьонов или молочка на кожу, кожу волосистой части головы или на слизистые ткани.
Следующие примеры иллюстрируют изобретение, не ограничивая его объема.
Пример 1. Несмываемое гелеобразное средство для ухода за волосами, г активного вещества: гТройной сополимер метакриловая кислота/ метакрилат/диметил-м-изопропенилбензилизоцианат этоксилированного (40 оксиэтиленовых звеньев) бегенилового спирта в виде 25%-ной водной дисперсии – 0,5 Тройной сополимер винилацетат/виниловый эфир п-трет-бутилбензойной кислоты/кротоновая кислота (65/25/10) – 0,5 2-Амино-2-метилпропанол-1 до рН – 7,5 Отдушка, консервант, краситель – В дост. кол-ве Деминерализованная вода – Остальное до 100 Получают густой, прозрачный, непастообразный и нежирный гель, очень хорошо распределяющийся по волосам. Этот гель придает волосам мягкость наощупь и хорошую способность к расчесыванию, обладая при этом хорошей фиксирующей способностью. Если названный выше тройной сополимер заменить таким же количеством полиуретана ACRYSOL 44 фирмы ROON и HAAS, то получается текучий и мутный гель. Если тройной сополимер заменить слитым сополимером акриловая кислота/С10/С30-алкилакрилат PEMULEN TR1, поставляемым фирмой GOODRICH, получают слегка пастообразный гель, обладающий очень посредственной фиксирующей способностью и гораздо худшими косметическими свойствами в отношении мягкости, естественности волос наощупь и их расчесываемости. Пример 2. Солнцезащитный гель с высокой степенью защиты, г: 4-трет-Бутил-4′-метокси (дибензоил) метан(PARASOL 1789, поставляемый фирмой ROCHE) – 2 Бензол-1,4-ди(3-метилиден-10-камфосульфоновая) кислота в виде 33%-ного водного раствора – 3 2-Этилгексиловый эфир 2-циано-3,3-дифенилакриловой кислоты (UVINUL N 539, поставляемый фирмой BASF) – 10 Тройной сополимер метакриловая кислота/ метилакрилат/диметил-м-изопропенилбензилизоцианат этоксилированного (40 оксиэтиленовых звеньев) бегенилового спирта в виде 25%-ной водной дисперсии, г активного вещества – 0,45 Поперечно сшитая и частично (на 50%) нейтрализованная аммиаком полиакриламидометилпропансульфокислота, поставляемая фирмой HOECHST под названием HOSTACERIN AMPS – 0,8 2, 2, 4, 4, 6, 6, 8-Гептаметилнонан – 9 Глицерин – 6 Пропиленгликоль – 6 Пятизамещенная натриевая соль этилендиаминтетра (метиленфосфоновой) кислоты в виде 33%-ного водного раствора – 0,3 Триэтаноламин – 0,85 Денатурированный 96%-ный этиловый спирт – 4,5 Стерилизованная деминерализованная вода – Остальное до 100 Получают маслянистый гель, хорошо распределяющийся по коже. Формула изобретения
, -моноэтиленовой ненасыщенностью; b) приблизительно 20-80, преимущественно 30-65 вес. % отличного от компонента (а) мономера с моноэтиленовой ненасыщенностью, не обладающего поверхностно-активными свойствами, и c) приблизительно 0,5-60,0, преимущественно 10-50 вес. % неионного уретанового мономера, представляющего собой продукт реакции неионогенного одноатомного ПАВ с моноизоцианатом с моноэтиленовой ненасыщенностью.
2. Композиция по п. 1, отличающаяся тем, что карбоновую кислоту с , -моноэтиленовой ненасыщенностью (а) выбирают из акриловой, метакриловой, итаконовой и малеиновой кислот.
3. Композиция по п. 2, отличающаяся тем, что карбоновой кислотой с , -моноэтиленовой ненасыщенностью (а) является метакриловая кислота.
4. Композиция по п. 1, отличающаяся тем, что мономер с моноэтиленовой ненасыщенностью, не обладающий поверхностно-активными свойствами, (b), выбирают из следующих соединений: С1-С4-алкилакрилаты, С1-С4-акрилметакрилаты, стирол, винилтолуол, винилацетат, акрилонитрил и винилиденхлорид.
5. Композиция по п. 4, отличающаяся тем, что мономером с моноэтиленовой ненасыщенностью, не обладающим поверхностно-активными свойствами, является метил- или этилакрилат.
6. Композиция по п. 1, отличающаяся тем, что одноатомное неионное ПАВ, используемое для получения неионного уретанового мономера (с), имеет формулу![]() в которой R – С6-С30-алкил, С8-С30-аралкил; R’ – С1-С4-алкил; n обозначает среднее число приблизительно от 5 до 150; m обозначает среднее число приблизительно от 0 до 50 при условии, что n составляет по меньшей мере столько же, сколько m, a n + m = 5-150. 7. Композиция по п. 6, отличающаяся тем, что R выбирают из радикалов додецил, С18-С25-алкил и С8-С13-алкилфенил, m= 0 и n равен среднему числу в пределах приблизительно от 5 до 150. 8. Композиция по п. 1, отличающаяся тем, что моноизоцианат с моноэтиленовой ненасыщенностью, используемый для получения неионного уретанового мономера (с), представляет собой , -диметил-м-изопропенбензилизоцианат.
9. Композиция по п. 1, отличающаяся тем, что тройной акриловый сополимер получают в водной дисперсии из метакриловой кислоты в качестве составляющей (а), метилакрилата в качестве составляющей (b) и неионного уретанового макромономера в качестве составляющей (с), имеющего следующее строение:![]() где р = 6 – 150; R1 – С18-С26-алкил, преимущественно нормальный С20-С24-алкил растительного происхождения, например докозил. 10. Композиция по п. 1, отличающаяся тем, что тройной акриловый сополимер содержится в концентрациях от 0,01 до 20,00 и предпочтительно 0,1 – 10,0% от общей массы композиции. 11. Композиция по п. 1, отличающаяся тем, что тройной анионный сополимер или сополимеры выбирают из числа полимеров, содержащих группы производных карбоновой, сульфоновой или фосфорной кислот. 12. Композиция по п. 11, отличающаяся тем, что анионные полимеры выбирают из полимеров, содержащих карбоксильные группы, происходящие от мономеров одно- или двухосновных ненасыщенных карбоновых кислот формулы ![]() в которой n – целое число от 0 до 10; А – метиленовая группа, которая может быть связана с атомом углерода ненасыщенной группы или с соседней метиленовой группой в том случае, когда n > 1, через гетероатом, такой, как кислород или сера; R1 – атом водорода, фенильная или бензильная группа; R2 – атом водорода, низший алкил или карбоксил; R3 – атом водорода, низший алкил, группа -СН2СООН, фенил или бензил, и полимеров, содержащих винилсульфоновые, стиролсульфоновые, нафталинсульфоновые или акриламидоалкил-сульфоновые звенья. 13. Композиция по п. 12, отличающаяся тем, что анионные полимеры выбирают из следующих соединений: A) гомо- или сополимеры акриловой или метакриловой кислоты или ее солей, сополимеры акриловой кислоты и акриламида или их солей и натриевые соли полигидроксикарбоновых кислот; B) сополимеры акриловой или метакриловой кислоты с по меньшей мере одним моноэтиленовым мономером, выбранным из этилена, стирола, сложных виниловых эфиров, эфиров акриловой или метакриловой кислоты, акриламида или его производных и винилпирролидона, которые могут быть привиты на полиалкиленгликоль и, возможно, поперечно сшиты; C) сополимеры – производные кротоновой кислоты, такие, как те, которые содержат в своей цепи в качестве структурных звеньев винилацетатные или винилпропионатные звенья и, возможно, другие мономеры, такие, как аллиловые или металлиловые сложные эфиры, простой виниловый эфир или виниловый эфир насыщенной карбоновой кислоты с длинной нормальной или разветвленной углеводородной цепью, содержащей по меньшей мере 5 атомов углерода, или виниловый, аллиловый или металлиловый эфиры – или -циклической карбоновой кислоты, причем эти полимеры могут быть привиты к полиалкиленгликолю и поперечно сшиты; D) сополимеры – производные мононенасыщенных C4-C8-карбоновых кислот или их ангидридов, выбранные из числа сополимеров, содержащих (i) по меньшей мере одну малеиновую, фумаровую или итаконовую кислоту или ангидрид одной из этих кислот и (ii) по меньшей мере один мономер, выбранный из сложных или простых виниловых эфиров, винилгалогенидов, фенилвиниловых производных, акриловой кислоты и ее эфиров, причем ангидридные функции этих сополимеров могут быть моноэтерифицированы или моноамидированы, и сополимеров, содержащих (i) по меньшей мере один малеиновый, цитраконовый или итаконовый ангидрид и (ii) по меньшей мере один мономер, выбранный из сложных аллиловых или металлиловых эфиров, которые могут содержать в цепи одну или несколько групп акриламида, метакриламида, -олефина, эфиров акриловой или метакриловой кислоты, акриловой или метакриловой кислоты или винилпирролидона, причем ангидридные функции этих сополимеров могут быть моноэтерифицированы или моноамидированы; Е) полиакриламиды, содержащие карбоксилатные группы.
14. Композиция по п. 13, отличающаяся тем, что анионные сополимеры выбирают из сополимеров метакриловой кислоты и метилметакрилата, сополимеров метакриловой кислоты и этилакрилата, тройных сополимеров винилпирролидон/акриловая кислота/лаурилметакрилат, тройных сополимеров метакриловая кислота/этилакрилат/трет-бутилакрилат, тройных сополимеров акриловая кислота/этилакрилат/N-трет-бутилакриламид, сополимеров винилацетат/кротоновая кислота, тройных сополимеров винилацетат/виниловый эфир трет-бутилбензойной кислоты/кротоновая кислота, тройных сополимеров кротоновая кислота/винил-ацетат/винилнеододеканоат, тройных сополимеров винилацетат/кротоновая кислота/полиэтиленгликоль и сополимеров метилвиниловый эфир/моноэтерифицированный малеиновый ангидрид.
15. Композиция по п. 14, отличающаяся тем, что анионные полимеры выбирают из тройных сополимеров винилацетат/виниловый эфир трет-бутилбензойной кислоты/кротоновая кислота, сополимеров метилвиниловый эфир/моноэтерифицированный малеиновый ангидрид, сополимеров метакриловой кислоты и метилметакрилата, сополимеров метакриловой кислоты и этилакрилата и тройных сополимеров винилпирролидон/акриловая кислота/лаурилметакрилат.
16. Композиция по п. 12, отличающаяся тем, что анионные полимеры выбирают из солей поливинилсульфокислоты со средневесовыми молекулярными массами приблизительно от 1000 до 100000, а также их сополимеров с акриловой или метакриловой кислотой или ее эфирами, акриламидом и его производными, простыми виниловыми эфирами и винилпирролидоном; солей полистиролсульфокислот; солей полиакриламидалкилсульфокислот.
17. Композиция по п. 16, отличающаяся тем, что анионные полимеры, содержащие сульфоновые группы, выбирают из полиакриламидоэтилпропансульфокислоты и поперечно сшитой и частично (на 50%) нейтрализованной аммиаком полиакриламидо-метилпропансульфокислоты.
18. Композиция по п. 1, отличающаяся тем, что анионные полимеры находятся в форме водной дисперсии нерастворимых частиц анионных полимеров, выбранных из числа сополимеров, образованных из одного или нескольких алкилакрилатов, одного или нескольких алкилметакрилатов и из одной или нескольких карбоновых кислот этиленового ряда, имеющих от 3 до 5 атомов углерода, в то время как упомянутые алкильные радикалы содержат 1-5 атомов углерода и могут иметь гидроксильные заместители.
19. Композиция по п. 18, отличающаяся тем, что водная дисперсия нерастворимых частиц анионных полимеров содержит сополимер этилакрилат/метилметакрилат/метакриловая кислота/акриловая кислота, сополимер гидроксиэтилметакрилат/метилметакрилат/метакриловая кислота/бутилакрилат или сополимер этилакрилат/метакриловая кислота/трет-бутилакрилат.
20. Композиция по п. 1, отличающаяся тем, что анионные полимеры присутствуют в концентрациях от 0,01 до 20,00, предпочтительно от 0,1 до 8,0% от общей массы композиции.
21. Композиция по п. 1, отличающаяся тем, что ее рН составляет от 3,5 до 11, предпочтительно от 5,5 до 11, еще более предпочтительно от 5,5 до 8,5.
22. Композиция по п. 1, отличающаяся тем, что косметически приемлемая водная среда состоит из воды или воды и по меньшей мере одного органического растворителя, выбранного из гидрофильных, липофильных и амфифильных органических растворителей или их смесей.
23. Композиция по п. 1, отличающаяся тем, что она дополнительно содержит по меньшей мере одну из обычных косметических добавок, выбранную из жиров, традиционных гелеобразователей и/или загустителей, ПАВ, увлажняющих агентов, мягчителей, солнечных фильтров, гидрофильных или липофильных агентов, таких, как керамиды, агентов, препятствующих образованию свободных радикалов, комплексообразователей, антиоксидантов, консервантов, подщелачивающих или подкисляющих агентов, отдушек, наполнителей, окрашивающих веществ, силиконов и восстановителей.
24. Композиция по п. 1, отличающаяся тем, что она находится в виде эмульсии, загущенного лосьона, геля, везикулярной дисперсии, пасты, твердой палочки или в аэрозольной упаковке в виде пены или спрэя.
25. Композиция по п. 1, отличающаяся тем, что она используется в качестве смываемого или несмываемого средства для мытья, окрашивания, ухода, кондиционирования и распрямления волос, для поддержания прически или перманентной или неперманентной укладки волос, а также в качестве состава для защиты от солнечных лучей.
26. Способ косметической обработки кератиновых материалов, таких, как волосы, ресницы, брови, ногти, кожа, слизистые оболочки, отличающийся тем, что на них наносят эффективное количество композиции по любому из пп. 1-25.
MM4A – Досрочное прекращение действия патента СССР или патента Российской Федерации на изобретение из-за неуплаты в установленный срок пошлины за поддержание патента в силе
Дата прекращения действия патента: 11.06.2006
Извещение опубликовано: 20.12.2007 БИ: 35/2007
|
||||||||||||||||||||||||||

,
-моноэтиленовой ненасыщенностью; b) приблизительно 20-80 мас.% отличного от компонента (а) мономера с моноэтиленовой ненасыщенностью, не обладающего поверхностно-активными свойствами, и c) приблизительно 0,5-60,0% неоинного уретанового мономера, представляющего собой продукт реакции неионного одноатомного ПАВ с моноизоцианатом с моноэтиленовой ненасыщенностью. Изобретение, в частности, относится к несмываемым средствам для волос, таким как гели, пены, лаки, а также к солнцезащитным композициям. Изобретение позволяет получить составы, которые нежирны, хорошо распределяются по коже и волосам, придавая им мягкость и способность расчесываться, обладают хорошими фиксирующими свойствами. 2 с. и 24 з.п.ф-лы.
5,5, позволяющем добиться хорошего уровня вязкости и использовать повышенные концентрации спирта.
Используемый в соответствии с изобретением тройной акриловый сополимер растворяется или набухает в щелочах. Этот сополимер характеризуется тем, что он содержит:





