Патент на изобретение №2185139
|
||||||||||||||||||||||||||
(54) СПОСОБ СОЗДАНИЯ ПЕРМАНЕНТА С ПРЕДВАРИТЕЛЬНЫМ НАНЕСЕНИЕМ КОМПОЗИЦИИ, СОДЕРЖАЩЕЙ ПО МЕНЬШЕЙ МЕРЕ ОДИН АНИОННЫЙ ПОЛИМЕР
(57) Реферат: Предметом изобретения является способ перманентной деформации волос, состоящий в последовательном нанесении восстановительной композиции и затем фиксирующей композиции, из которых по крайней мере одна композиция содержит по меньшей мере один катионный полимер, в котором перед нанесением восстановительной композиции на волосы предварительно наносят отдельную третью композицию, отличную от восстановительной и фиксирующей композиций, которая содержит по меньшей мере один анионный полимер, а ополаскивание волос производят только после нанесения композиции или по крайней мере одной из композиций, содержащей катионный полимер или полимеры, а также набор для перманентной деформации волос согласно вышеописанному способу. Технический результат: способ позволяет придавать волосам хорошие косметические свойства, долговременную завивку волос и обеспечивает их легкое расчесывание. 2 с. и 17 з.п.ф-лы. Предметом изобретения является способ перманентной деформации волос, включающий предварительное нанесение композиции, содержащей по меньшей мере один анионный полимер. Изобретение относится также к применению такой композиции при создании перманента перед нанесением восстановительной композиции, а также к набору, содержащему кроме восстановительной и фиксирующей композиций третью отдельную композицию, содержащую по меньшей мере один анионный полимер. Известно использование катионных полимеров в восстановительных или фиксирующих композициях для перманентной деформации волос. В общем случае известно, что эти полимеры улучшают косметические свойства волос после обработки. В частности, волосы при этом мягче на ощупь и с виду являются более гладкими по сравнению с волосами, обработанными составами, не содержащими таких полимеров. Однако катионные полимеры обычно обладают тем недостатком, что они утяжеляют волосы, которые становятся при этом более мягкими и теряют силу. Естественно, что это невыгодно как в процессе создания прически, так и для ее дальнейшего состояния. Действительно, вопреки желанию, образовавшиеся при создании перманента завитки начинают деформироваться и затем быстро исчезают. Наконец, катионные полимеры часто затрудняют расчесывание волос. Таким образом, существует необходимость найти такой способ перманентной деформации волос, который бы не обладал названными выше недостатками и который бы, в частности, придавал волосам хорошие косметические свойства, долговременную деформацию, пряди и завивку и при этом обеспечивал бы легкое расчесывание волос. Заявитель совершенно неожиданным образом обнаружил, что названные выше проблемы могут быть решены путем предварительного нанесения на волосы отдельной композиции, отличающейся от восстановительной и фиксирующей композиций и содержащей по меньшей мере один анионный полимер, перед нанесением восстановительной и фиксирующей композиций. Предметом изобретения является также способ перманентной деформации волос, включающий последовательное нанесение восстановительной композиции (а) и затем фиксирующей композиции (b), из которых по крайней мере одна композиция содержит по меньшей мере один катионный полимер, и отличающийся тем, что перед нанесением восстановительной композиции (а) волосы обрабатывают отдельной третьей композицией (с), отличающейся от композиций (а) и (b) и содержащей по меньшей мере один анионный полимер, а ополаскивают волосы только после нанесения композиции или по крайней мере одной из композиций, содержащей катионный полимер или полимеры. Еще один предмет изобретения касается применения в перманенте композиции (с), содержащей по меньшей мере один анионный полимер, перед нанесением восстановительной композиции (а). Еще один предмет изобретения касается набора, содержащего восстановительную композицию (а) и фиксирующую композицию (b), из которых по крайней мере одна композиция содержит по меньшей мере один катионный полимер, причем в наборе отдельно содержится еще одна композиция (с), содержащая по меньшей мере один анионный полимер. В соответствии с одним из предпочтительных вариантов осуществления способа по изобретению только восстановительная композиция (а) содержит катионный полимер, а между применениями восстановительной композиции (а) и фиксирующей композиции (b) может проводиться или не проводиться ополаскивание. В соответствии со вторым предпочтительным вариантом осуществления способа по изобретению катионный полимер содержится только в фиксирующей композиции (b). В этом случае в соответствии с общим определением способа по изобретению волосы не ополаскивают между применениями восстановительной композиции (а) и фиксирующей композиции (b). В соответствии с третьим предпочтительным вариантом осуществления способа по изобретению как восстановительная композиция (а), так и фиксирующая композиция (b) содержат катионный полимер, и волосы либо ополаскивают, либо не ополаскивают между применениями восстановительной композиции (а) и фиксирующей композиции (b). Более предпочтительно, волосы не ополаскивают между нанесением восстановительной (а) и фиксирующей (b) композиций. В более общем случае выражение “катионный полимер” в рамках настоящего изобретения обозначает любой полимер, содержащий катионные группы или группы, способные ионизироваться с образованием катионных групп. Предпочтительные катионные полимеры выбирают из полимеров, содержащих звенья, включающие первичные, вторичные и третичные аминогруппы и/или четвертичноаммониевые группы, которые могут либо составлять часть главной полимерной цепи, либо входить в боковой заместитель, непосредственно связанный с главной полимерной цепью. Используемые катионные полимеры обычно имеют среднечисленную молекулярную массу приблизительно от 500 до 106, предпочтительно приблизительно от 103 до 3 106.
Из числа катионных полимеров можно более конкретно назвать полимеры полиаминного, полиаминоамидного и поличетвертичноаммониевого типа. Эти полимеры являются известными.
Семейство катионных полимеров является семейством катионных кремний-содержащих полимеров. Из последних могут быть названы:(а) кремний-содержащие полимеры, отвечающие приведенной ниже формуле IV: ![]() в которой: – G5, G6, G7 и G8, одинаковые или разные, обозначают атом водорода, фенильную группу, ОН, C1-C18-алкил, например метил, С2-С18-алкенил или C1-C18-алкокси; – а, а’, одинаковые или разные, обозначают 0 или целое число от 1 до 3, преимущественно 0; – b обозначает 0 или 1, преимущественно 1; – m и n являются числами, сумма которых (m+n) может варьировать от 1 до 2000 и, преимущественно, от 50 до 150, причем n может составлять от 0 до 1999 и, преимущественно, от 49 до 149, a m может составлять от 1 до 2000 и, преимущественно, от 1 до 10; – R6, R7, R8, одинаковые или разные, обозначают одновалентный радикал формулы CqH2qOsRt 9L, в которой q обозначает число от 1 до 8, s и t, одинаковые или разные, равны 0 или 1, R9 обозначает алкиленовую группу, которая может быть замещена гидроксилом, и L обозначает аминосодержащую группу, которая может быть кватернизована и которую выбирают из следующих групп: -NR”-CH2-CH2-N'(R”)2 -N(R”)2 -N (R )3A–-N H(R )2A–-N H2(R )2A–-N(R )-CH2-CH2-N R H2A–,в которых R” может обозначать водород, фенил, бензил или одновалентный насыщенный углеводородный радикал, например алкил с 1-20 атомами углерода, а А– обозначает галогенид-ион, такой, например, как фторид, хлорид, бромид или иодид. Соединениями, соответствующими приведенному выше определению, являются, например, полисилоксаны, имеющие в словаре CTFA название “амодиметикон” и отвечающие приведенной ниже формуле V: ![]() в которой x’ и у’ являются целыми числами, зависящими от молекулярной массы, которая обычно составляет приблизительно от 5000 до 20000. Соединение, отвечающее формуле IV, представляет собой полимер, имеющий в словаре CTFA название “триметилсилиламодиметикон” и отвечающий формуле ![]() в которой n и m имеют приведенные выше значения (см. формулу IV). Промышленным продуктом, соответствующим данному выше определению, является смесь (90/10 по массе) полидиметилсилоксана с аминоэтильными и аминоизобутильными группами и полидиметилсилоксана, поставляемого фирмой DOW CORNING под названием Q2-8220. Такие полимеры описаны, например, в патентной заявке ЕР-А-95238. Другие полимеры, отвечающие формуле IV, представляют собой кремнийсодержащие полимеры приведенной ниже формулы VI: ![]() в которой: R10 обозначает одновалентный углеводородный радикал с 1-18 атомами углерода, преимущественно C1-C18-алкил или C2-C18-алкенил, например метил; R11 обозначает двухвалентный углеводородный радикал, в частности C1-C18-алкилен или двухвалентный C1-C18-алкиленоксирадикал, например, радикал C1-C8-алкиленокси, Q– обозначает галогенид-ион, в частности, хлорид-ион; r обозначает среднестатистическое значение от 2 до 20, преимущественно от 2 до 8; s обозначает среднестатистическое значение от 20 до 200, преимущественно от 20 до 50. Такие полимеры, в частности, описаны в патенте US 4185087. (b) соединения формулы NН-[(СН2)3-Si[OSi(СН3)3] ] 3, соответствующие названию CTFA “аминобиспропилдиметикон”. Входящий в этот класс полимер является полимером, поставляемым фирмой Union Carbide под названием “Ucar Sillicone ALE 56”. Если используются кремнийсодержащие полимеры, наиболее интересной формой осуществления изобретения является использование этих полимеров совместно с катионными и/или неионными поверхностно-активными агентами. Может быть, например, использован продукт, поставляемый фирмой DOW CORNING под названием “Emulsion Cationic DC 939”, который кроме амодиметикона содержит катионный поверхностно-активный агент, содержащий смесь соединений, отвечающих формуле VII: ![]() в которой R12 обозначает алкенильные и/или алкильные радикалы с 14-22 атомами углерода, получаемые из кислот животного жира, в сочетании с неионным ПАВ формулы СН3(СН2)11-СН2-(ОС2Н4)n-ОН, в которой среднее значение n составляет 20. Другим промышленным продуктом, пригодным для использования в настоящем изобретении, является продукт, поставляемый фирмой DOW CORNING под названием “Dow Corning 02 7224”, который в сочетании с триметилсилиламодиметиконом формулы IV содержит неионное ПАВ формулы С8Н17-С6H4(OСH2СН2)n-OН, где n=40, называемое также октоксинол-40, другое неионное ПАВ формулы C12H25-(OCH2-CH2)n-OH, где n=6, называемое также изолаурет-6, и гликоль. Заслуживающими упоминания полимерами полиаминного, полиаминоамидного и поличетвертичноаммониевого типа, пригодными для использования в настоящем изобретении, являются полимеры, которые описаны во французских патентах 2505348 или 2542997. Из числа этих полимеров могут быть названы: (1) Кватернизованные или некватернизованные сополимеры винилпирролидона с диалкиламиноалкилакрилатами или метакрилатами, поставляемые фирмой ISP под названием Gafquat![]() , такие, например, как Gafquat 734, 755 или HS100, или же продукт, имеющий название “Copolymer 937”. Эти полимеры детально описаны во французских патентах 2077143 и 2393573.
(2) Производные простых эфиров целлюлозы, содержащие четвертичноаммониевые группы, описанные во французском патенте 1492597, и в частности, полимеры, поставляемые фирмой Union Carbide Corporation под названиями “JR” (JR 400, JR 125, JR 30М) или “LR” (LR 400, LR 30М). В словаре CTFA эти полимеры определены также как четвертичноаммониевые производные гидроксиэтилцеллюлозы, прореагировавшие с эпоксидом, замещенным триметиламмониевой группой.
(3) Катионные производные целлюлозы, такие как сополимеры целлюлозы или производные целлюлозы, привитые водорастворимым четвертичноаммониевым мономером, описанные, в частности, в патенте US 4131576, такие как гидроксиалкилцеллюлозы, например гидроксиметил-, гидроксиэтил- или гидроксипропилцеллюлозы, привитые, в частности, солью метакрилоилэтил(триметил)аммония, метакриламидопропил(триметил) аммония или диметилдиаллиламмония.
Соответствующими данному выше определению промышленными продуктами являются, в частности, продукты, поставляемые фирмой National Starch под названиями “Celquat L 200” и “Celquat H 100”.
(4) Катионные полисахариды, описанные, в частности, в патентах US 3589578 и 4031307, и преимущественно продукт, поставляемый фирмой MEYHALL под названием “Jaguar С.13 S”.
(5) Полимеры, построенные из пиперазинильных звеньев и двухвалентных алкиленовых и гидроксиалкиленовых радикалов с нормальными или разветвленными цепями, в которые могут быть встроены атомы кислорода, серы, азота или циклы ароматической или гетероциклической природы, а также продукты окисления и/или кватернизации этих полимеров. Такие полимеры описаны, в частности, во французских патентах 2162025 и 2280361.
(6) Водорастворимые полиаминоамиды, получаемые, в частности, поликонденсацией кислотного соединения с полиаминами; эти полиаминоамиды могут быть сшиты эпигалогенгидрином, диэпоксидом, диангидридом, ненасыщенным диангидридом, бис-ненасыщенным производным, бис-галогенгидрином, бис-азетидинием, бис-галогенацилдиамином, алкил-бис-галогенидом или олигомером, образующимся при реакции бифункционального соединения и способного реагировать с бис-галогенгидрином, бис-азетидинием, бис-галогенацилдиамином, алкил-бис-галогенидом, эпигалогенгидрином, диэпоксидом или бис-ненасыщенным производным; причем сшивающий агент применяется в количествах от 0,025 до 0,35 моль на одну аминогруппу в полиаминоамиде; эти полиаминоамиды могут быть алкилированы или, если они содержат одну или несколько третичных аминных функций, кватернизованы. Такие полимеры описаны, в частности, во французских патентах 2252840 и 2368508.
(7) Производные полиаминоамидов, образующиеся при конденсации полиалкиленполиаминов с поликарбоновыми кислотами с последующим алкилированием бифункциональными агентами. В качестве примеров могут быть названы полимеры адипиновой кислоты с диалкиламино(гидроксиалкил)диалкилентриамином, в которых радикал алкил содержит 1-4 атома углерода и является предпочтительно метилом, этилом или пропилом. Такие полимеры описаны, в частности, во французском патенте 1583363.
Из этих производных можно более конкретно назвать полимеры адипиновой кислоты с диметиламино(гидроксипропил)ди-этилентриамином, поставляемые фирмой Sandoz под названием “Cartaretin F, F4 или F8”.
(8) Полимеры, получаемые реакцией полиалкиленполиаминов, содержащих две первичные аминогруппы и по меньшей мере одну вторичную аминогруппу, с дикарбоновыми кислотами, выбранными из дигликолевой кислоты и насыщенных алифатических дикарбоновых кислот с 3-8 атомами углерода. Молярное отношение полиалкиленполиамина к дикарбоновой кислоте составляет при этом от 0,8:1 до 1,4:1. Образующийся полиаминоамид вводят в реакцию с эпихлоргидрином при его отношении к вторичной аминогруппе полиаминоамида от 0,5:1 до 1,8:1. Такие полимеры описаны, в частности, в американских патентах 3227615 и 2961347.
Полимеры этого типа поставляются, в частности, фирмой Hercules под названием “Hercosett 57” или, в случае сополимеров адипиновой кислоты с эпоксипропилдиэтилентриамином, фирмой Hercules под названием “PD 170” или “Delsette 101”.
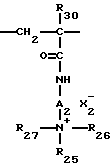
(9) Циклополимеры метилдиаллиламина или диаллилдиметиламмония, такие как гомополимеры или сополимеры, содержащие в качестве главного структурного компонента цепи звенья, строение которых соответствует формуле VIII или VIII’:![]() ![]() в которых k и t равны 0 или 1, а сумма k+t равна 1; R15 обозначает атом водорода или радикал метил; R13 и R14, независимо друг от друга, обозначают алкильную группу с 1-22 атомами углерода, гидроксиалкильную группу, в которой алкильная группа имеет преимущественно от 1 до 5 атомов углерода, низшую амидоалкильную группу или же R13 и R14 образуют совместно с атомом азота, к которому они присоединены, гетероциклическую группу, такую как пиперидинил или морфолинил; Y– обозначает анион, такой как хлорид, ацетат, борат, цитрат, тартрат, бисульфат, бисульфит, сульфат, фосфат. Такие полимеры, описаны, в частности, во французском патенте 2080759 и в дополнительном свидетельстве к нему 2190406. В качестве примера можно назвать гомополимер хлорида диалкилдиметиламмония, поставляемый фирмой MERCK под названием “MERQUAT 100”, и сополимеры хлорида диаллилдиметиламмония и акриламида, поставляемые под названием “MERQUAT 550”. (10) Полимер четвертичного аммония, содержащий повторяющиеся звенья, отвечающие формуле IX: ![]() в которой: R16, R17, R18 и R19, одинаковые или разные, обозначают алифатические, алициклические или арилалифатические радикалы, содержащие от 1 до 20 атомов углерода, или R16, R17, R18 и R19, совместно или по отдельности, образуют вместе с атомами азота, к которым они присоединены, гетероциклы, которые могут содержать второй отличный от азота гетероатом, или же 16, R17, R18 и R19 обозначают нормальный или разветвленный C1-С6-алкил, замещенный нитрильной, сложноэфирной, ацильной, амидной группой, или группой формулы -CO-О-R20-D или -CO-NH-R20-D, где R20 обозначает алкилен, a D обозначает четвертичную аммониевую группу; A1 и B1 обозначают линейные или разветвленные, насыщенные или ненасыщенные полиметиленовые группы, содержащие от 2 до 20 атомов углерода, которые могут содержать присоединенные к или встроенные в главную цепь один или несколько ароматических циклов, один или несколько атомов кислорода, серы или групп: сульфоксидной, сульфоновой, дисульфидной, аминной, диалкиламинной, гидроксильной, четвертичной аммониевой, уреидной, амидной или сложноэфирной, и X– обозначает анион минеральной или органической кислоты; A1, R16 и R18 могут образовывать вместе с двумя атомами азота, к которым они присоединены, пиперазиновый цикл; и, кроме того, если A1 обозначает линейный или разветвленный, насыщенный или ненасыщенный алкиленовый или гидроксиалкиленовый радикал, тогда B1 может также обозначать группу (СН2)n-CO-D-OC-(CH2)n-, в которой D обозначает: (а) остаток гликоля формулы -O-Z-O-, где Z обозначает линейный или разветвленный радикал или группу, отвечающую одной из приведенных ниже формул: -(СН2-СН2-O)x-СН2-СН2– -[СН2-СН(СН3)-O]y-СН2-СН(СН3)-, в которых х и у равны целому числу от 1 до 4, обозначая при этом определенную и невариантную полимеризацию или же х и у равны любому числу от 1 до 4, обозначая при этом среднюю степень полимеризации; (b) остаток бис-вторичного диамина, такого как производные пиперазина; (c) остаток бис-первичного диамина формулы -NH-Y-NH-, где Y обозначает линейный или разветвленный углеводородный радикал или двухвалентный радикал CH2-CH2-S-S-СН2-СН2-; (d) уреиленовую группу формулы -NH-CO-NH-; причем X– в формуле IX преимущественно является хлорид- или бромиданионом. Эти полимеры обладают среднечисленной молекулярной массой, обычно составляющей от 1000 до 100000. Полимеры этого типа описаны, в частности, во французских патентах 2320330, 2270846, 2316271, 2336434 и 2413907 и в патентах США 2273780, 2375853, 2388614, 2454547, 3206462, 2261002, 2271378, 3874870, 4001432, 3929990, 3966904, 4005193, 4025617, 4025627, 4025653, 4026945 и 4027020. (11) Четвертично-полиаммониевые полимеры, построенные из звеньев формулы X: ![]() в которой: R21, R22, R23 и R24, одинаковые или разные, обозначают атом водорода или радикалы: метил, этил, пропил, -гидроксиэтил, -гидроксипропил или -СН2СН2(ОСН2СН2)pОН, где р равно 0 или целому числу от 1 до 6, при условии, что R21, R22, R23 и R24 не являются одновременно атомами водорода;r и s, одинаковые или разные, являются целыми числами от 1 до 6; q равен 0 или целому числу от 1 до 34; Х обозначает атом галогена; и A3обозначаетлибогалогенид-ион,либо,предпочтительно,-СН2-СН2-O-СН2-СН2-. Такие соединения описаны, в частности, в патентной заявке ЕР-А-122324. В качестве примеров этих соединений могут быть названы поставляемые фирмой Mirapol продукты “Mirapol A-15″, “Mirapol AD1″, “Mirapol AZ1″ и “Mirapol 175″.(12) Гомополимеры или сополимеры, получаемые из акриловой или метакриловой кислот и содержащие звенья ![]() ![]() и/или ![]() в которых группы R30 независимо обозначают Н или СН3; группы А2 независимо обозначают нормальный или разветвленный алкил с 1-6 атомами углерода или гидроксиалкильную группу с 1-4 атомами углерода; группы R25, R26 и R27, одинаковые или разные, независимо обозначают алкильную группу с 1-18 атомами углерода или бензильную группу; группы R28 и R29 обозначают атом водорода или алкильную группу с 1-6 атомами углерода; Х2 – обозначают анион, например, метосульфат или галогенид, такой как хлорид или бромид. Сомономер или сомономеры, пригодные для использования при приготовлении соответствующих сополимеров, принадлежат к группе соединений, включающей акриламиды, метакриламиды, диацетонакриламиды, акриламиды и метакриламиды, замещенные по атому азота низшими алкилами, сложные алкиловые эфиры, акриловую и метакриловую кислоты, винилпирролидон и сложные виниловые эфиры. (13) Четвертичные полимеры винилпирролидона и винилимидазола, такие, например, как продукты, поставляемые фирмой BASF под названиями LUVIQUAT FC 905, FC 550 и FC 370.
(14) Полиамины, такие как Polyquart H, поставляемый фирмой HENKEL, имеющий в словаре CTFA название “POLYETHYLENEGLYCOL (15) TALLOW POLYAMINE”.
(15) Сшитые полимеры хлорида метакрилоилоксиэтил(триметил)аммония, такие как полимеры, получаемые гомополимеризацией кватернизованного метилхлоридом диметиламиноэтилметакрилата или сополимеризацией акриламида с кватернизованным метилхлоридом диметиламиноэтилметакрилатом, в обоих случаях с последующей сшивкой с помощью олефиновоненасыщенного соединения, в частности, метилен-бис-акриламида. В более конкретном случае можно использовать сшитый сополимер акриламида с хлоридом метакрилоилоксиэтил(триметил)аммония (20/80 по массе) в виде дисперсии, содержащей 50% маc. названного сополимера в минеральном масле. Такая дисперсия поставляется фирмой ALLIED COLLOIDS под названием “SALCARE SC 92”. Могут быть также использованы сшитые гомополимеры хлорида метакрилоилоксиэтил(триметил)аммония в виде дисперсии, содержащей приблизительно 50% маc. гомополимера в минеральном масле. Такую дисперсию поставляет фирма ALLIED COLLOIDS под названием “SALCARE SC 95″.Другими катионными полимерами, пригодными для использования в настоящем изобретении, являются полиалкиленимины, в частности полиэтиленимины, полимеры, содержащие звенья винилпиридина и винилпиридиния, продукты конденсации полиаминов с эпихлоргидрином, кватернизованные полиуреилены и производные хитина. Из катионных полимеров, пригодных для использования в настоящем изобретении, предпочитают использовать циклополимеры, в частности гомополимеры хлорида диметилдиаллиламмония, поставляемые фирмой MERCK под названием “MERQUAT 100″, четвертичноаммониевые полимеры формулы IX или формулы X.
Согласно изобретению могут быть также использованы катионные полимеры в виде латекса или псевдолатекса, т.е. в виде дисперсии нерастворимых частиц полимера.
Согласно изобретению катионный полимер или полимеры могут составлять от 0,01 до 20, предпочтительно от 0,1 до 15 и, еще более предпочтительно, от 0,5 до 5% от общей массы готовой композиции.
Обычно используемыми анионными полимерами являются полимеры, содержащие группы, происходящие от карбоновой, сульфоновой или фосфорной кислот, и обладающие среднемассовой молекулярной массой от приблизительно 500 до 5000000.
1) Карбоксильные группы происходят от мономеров ненасыщенных моно- и дикарбоновых кислот, отвечающих следующей формуле:![]() в которой n обозначает целое число от 0 до 10; А обозначает метиленовую группу, которая может быть связана с атомом углерода при двойной связи или с соседней метиленовой группой в том случае, когда n больше 1, посредством гетероатома, такого как кислород или сера; R5 обозначает атом водорода, фенильную или бензильную группу; 3 обозначает атом водорода, низшую алкильную группу или карбоксил; и R4 обозначает атом водорода, низшую алкильную группу, группу -СН2-СООН, фенил или бензил. Низшим алкильным радикалом в приведенной формуле является преимущественно группа с 1-4 атомами углерода и, в частности, метил и этил. Предпочтительными для настоящего изобретения анионными полимерами с карбоксильными группами являются: A) Гомо- и сополимеры акриловой или метакриловой кислоты или их соли и, в частности, продукты под названием VERSICOL Е или К, поставляемые фирмой ALLIED COLLOID, и ULTRAHOLD, поставляемый фирмой BASF. Сополимеры акриловой кислоты и акриламида, поставляемые в виде их натриевой соли фирмой HERCULES под названиями RETEN 421,423 или 425, натриевые соли полигидроксикарбоновых кислот. B) Сополимеры акриловой и метакриловой кислот с моноэтиленовым мономером, таким как этилен, стирол, сложные виниловые эфиры, эфиры акриловой или метакриловой кислоты. Эти сополимеры могут быть привиты к полиалкиленгликолю, такому как полиэтиленгликоль. Такие полимеры описаны, в частности, во французском патенте 1222944 и немецкой заявке на патент 1330956. В частности, могут быть названы сополимеры, содержащие в цепи звено возможно N-алкилированного и/или гидроксиалкилированного акриламида, такие, которые описаны, в частности, в люксембургских патентных заявках 75370 и 75371 или предложены фирмой AMERICAN CYANAMID под названием QUADRAMER. Можно также назвать сополимеры акриловой кислоты с С1-С4-алкилметакрилатом и тройные сополимеры винилпирролидона, (мет)акриловой кислоты и С1-С20-алкил(мет)акрилата, например, лаурил(мет)акрилата (такого, как поставляемый фирмой ISP продукт под названием ACRYLIDONE LM), трет-бутил(мет)акрилата (LUVIFLEX VBM 70, поставляемый фирмой BASF) или метил(мет)акрилата (STEPANHOLD EXTRA, поставляемый фирмой STEPAN) и тройные сополимеры метакриловой кислоты с этилакрилатом и трет-бутилакрилатом, такие как продукт, поставляемый фирмой BASF под названием LUVIMER 100 Р. С) Сополимеры на основе кротоновой кислоты, такие, которые содержат в своей цепи звенья винилацетата или винилпропионата и, возможно, других мономеров, таких как сложные аллиловые и металлиловые эфиры, простые виниловые эфиры или виниловые эфиры нормальных или разветвленных насыщенных карбоновых кислот с длинной углеводородной цепью, содержащих, например, не менее 5 атомов углерода, причем названные полимеры могут быть привитыми, или виниловый, аллиловый или металлиловый эфир – или -циклической карбоновой кислоты. Такие полимеры наряду с другими описаны во французских патентах 1222944, 1580545, 2265782, 2265781, 1564110 и 2439798. Входящими в этот класс промышленными продуктами являются смолы 28-29-30, 26-13-14 и 28-13-10, поставляемые фирмой NATIONAL STARCH.
D) Сополимеры на основе С4-С8-мононенасыщенных карбоновых кислот и ангидридов, выбираемые из следующих соединений:– сополимеры, содержащие (а) один или несколько мономеров из числа малеиновой, фумаровой и итаконовой кислот или их ангидридов и (б) по меньшей мере один мономер из числа сложных виниловых эфиров, простых виниловых эфиров, винилгалогенидов, фенилвиниловых производных, акриловой кислоты и ее эфиров, причем ангидридные функции этих сополимеров могут быть моноэстерифицированы или моноамидированы. Такие полимеры описаны, в частности, в патентах US 2047398, 2723248, 2102113, GB 839805 и поставляются, в частности, фирмой ISP под названиями GANTREZ AN или ES и AVANTAGE СР; – сополимеры, содержащие (а) один или несколько мономеров из числа малеинового, цитраконового и итаконового ангидридов и (б) один или несколько мономеров из числа сложных аллиловых или металлиловых эфиров, которые могут содержать в своей цепи одну или несколько групп акриламида, метакриламида, -олефина, эфиров акриловой или метакриловой кислоты, акриловой или метакриловой кислоты или винилпирролидона,причем ангидридные функции этих сополимеров могут быть моноэстерифицированы или моноамидированы. Такие полимеры описаны, например, во французских патентах заявителя под номерами 2350384 и 2350241. Е) Полиакриламиды, содержащие карбоксилатные группы, Полимеры, содержащие сульфоновые группы представляют собой полимеры, содержащие винилсульфоновые, стиролсульфоновые, нафталинсульфоновые или акриламидоалкилсульфоновые звенья. Такие полимеры выбирают, в частности, из числа следующих соединений: – соли поливинилсульфоновой кислоты со среднемассовой молекулярной массой приблизительно от 1000 до 100000, а также сополимеры с ненасыщенным сомономером, таким как акриловая и метакриловая кислота и их эфиры, а также акриламид и его производные, простые виниловые эфиры и винилпирролидон, – натриевые соли полистиролсульфоновой кислоты, обладающие среднемассовой молекулярной массой приблизительно 500000 и приблизительно 100000, поставляемые, соответственно, под названиями Flexan 500 и Flexan 130 фирмой National Starch. Эти соединения описаны в патенте FR 2198719, – соли полиакриламидсульфоновых кислот, упоминаемых в патенте US 4128631, и, в частности, полиакриламидоэтилпропан-сульфоновой кислоты, поставляемой фирмой Henket под названием COSMEDIAS POLYMER HSP 1180. Согласно изобретению анионные полимеры выбирают преимущественно из сополимеров акриловой кислоты, таких как тройные сополимеры акриловой кислоты с этилакрилатом и N-трет-бутилакриламидом, поставляемые фирмой BASF под названием ULTRAHOLD STRONG; сополимеров на основе кротоновой кислоты, таких как тройные сополимеры винилацетата с виниловым эфиром трет-бутилбензойной кислоты и кротоновой кислотой, и тройные сополимеры кротоновой кислоты с винилацетатом и винилнеододеканоатом, поставляемые фирмой NATIONAL STARCH под названием Resine 28-29-30; полимеров на основе малеиновой, фумаровой и итаконовой кислот или их ангидридов со сложными виниловыми эфирами, простыми виниловыми эфирами, винилгалогенидами, фенилвинильными производными, акриловой кислотой и ее эфирами, таких как сополимеры метилвинилового эфира с моноэстерифицированным малеиновым ангидридом, поставляемые, например, фирмой ISP под названием GANTREZ, сополимеры метакриловой кислоты с метилметакрилатом, поставляемые фирмой ROHM PHARMA под названием EUDRAGIT L, сополимеры метакриловой кислоты с метилметакрилатом, С1-С4-алкилакрилатом и акриловой кислотой или гидрокси-С1-С4-алкилметакрилатом, поставляемые в виде дисперсий под названием AMERHOLD DR 25 фирмой AMERCHOL или под названием ACUDYNE 255 фирмой ROHM & HAAS, сополимеры метакриловой кислоты с этилакрилатом, поставляемые фирмой BASF под названием LUVIMER МАЕХ или МАЕ, сополимеры винилацетат/кротоновая кислота и сополимеры винилацетат/кротоновая кислота, привитые полиэтиленгликолем, поставляемые фирмой BASF под названием ARISTOFLEX А, гомополимеры акриловой или метакриловой кислоты, поставляемые, например, под названием VERSICOL Е 5. Особенно предпочтительные анионные полимеры выбирают из сополимеров метилвинилового эфира с моноэстерифицированным малеиновым ангидридом, поставляемых фирмой ISP под названием GANTREZ ES 425, тройных сополимеров акриловой кислоты с этилакрилатом и N-трет-бутилакриламидом, поставляемых фирмой BASF под названием ULTRAHOLD STRONG, сополимеров метакриловой кислоты с метилметакрилатом, поставляемых фирмой ROHM PHARMA под названием EUDRAGIT L, тройных сополимеров винилацетата с виниловым эфиром трет-бутилбензойной кислоты и кротоновой кислотой и тройных сополимеров кротоновой кислоты с винилацетатом и винилнеододеканоатом, поставляемых фирмой NATIONAL STARCH под названием Resine 28-29-30, сополимеров метакриловой кислоты с этилакрилатом, поставляемых фирмой BASF под названием LUVIMER МАЕХ или МАЕ, тройных сополимеров винилпирролидона с акриловой кислотой и лаурилметакрилатом, поставляемых фирмой ISP под названием ACRYLIDONE LM, и гомополимеров акриловой или метакриловой кислоты, поставляемых, например, под названием VERSICOL Е 5. Согласно изобретению, могут быть также использованы анионные полимеры в виде латекса или псевдолатекса, т.е. в виде дисперсии нерастворимых частиц полимера. Согласно изобретению могут быть также использованы анионные полимеры типа привитых кремнийсодержащих полимеров, состоящих из полисилоксановой части и части, представляющей собой не содержащую кремния органическую цепь, из которых одна часть представляет собой главную цепь полимера, а другая является привитой к главной цепи. Эти полимеры описаны, например, в патентных заявках ЕР-А-0412704, ЕР-А-0412707, ЕР-А-0640105 и WO 95/00578, ЕР-А-0582 и WO 93/23009 и патентах US 4693935, US 4728571 и US 4972037. Такими полимерами являются, например, сополимеры, которые могут быть получены радикальной полимеризацией смеси мономеров, содержащей: а) 50-90% маc. трет-бутилакрилата, b) 1-40% маc. акриловой кислоты, c) 5-40% маc. кремнийсодержащего макромера формулы ![]() в которой v является числом от 5 до 700, а весовые проценты рассчитаны по отношению к общей массе мономеров. Семейство кремнийсодержащих полимеров с полисилоксановым скелетом, к которому привиты не содержащие кремния органические мономеры, пригодные для использования в настоящем изобретении, состоит из кремнийсодержащих полимеров, имеющих в своей структуре звенья приведенной ниже формулы III: ![]() в которой радикалы G1, одинаковые или разные, обозначают водород или C1-С10-алкил или же радикал фенил; радикалы G2, одинаковые или разные, обозначают C1-С10-алкиленовую группу; G3 обозначает полимерный остаток, образующийся в результате (гомо)полимеризации по меньшей мере одного этиленовоненасыщенного анионного мономера; G4 обозначает полимерный остаток, образующийся в результате (гомо)полимеризации по меньшей мере одного этиленовоненасыщенного гидрофобного мономера; m и n равны 0 или 1; а обозначает целое число от 0 до 50; b обозначает целое число в пределах от 10 до 350; с обозначает целое число в пределах от 0 до 50; при условии, что параметры а и с отличны от 0. Предпочтительно, чтобы звено в приведенной выше формуле III обладало по меньшей мере одной или, более предпочтительно, рядом следующих характеристик: – радикалы G1 обозначают C1-С10-алкильный радикал, преимущественно метил; – n не равно 0, а радикалы G2 обозначают двухвалентный C1-С3-радикал, преимущественно пропилен; – G3 обозначает полимерный радикал, образующийся в результате (гомо)полимеризации по меньшей мере одного мономера типа этиленовоненасыщенной карбоновой кислоты, преимущественно акриловой кислоты и/или метакриловой кислоты; – G4 обозначает полимерный радикал, образующийся в результате (гомо)полимеризации по меньшей мере одного мономера типа C1-С10-алкил(мет)акрилата, преимущественно изобутил- или метил(мет)акрилата. Предпочтительно, чтобы звено приведенной выше формулы III обладало также следующими характеристиками: – радикалы G1 обозначают алкильный радикал, преимущественно метил; – n не равно 0, а радикалы G2 обозначают двухвалентный C1-С3-радикал, преимущественно пропилен; G3 обозначает полимерный радикал, образующийся в результате (гомо)полимеризации по меньшей мере одного мономера типа этиленовоненасыщенной карбоновой кислоты, преимущественно акриловой кислоты и/или метакриловой кислоты; – с равно нулю. Примерами привитых кремнийсодержащих полимеров являются, в частности, полидиметилсилоксаны, к которым через связующее звено типа тиопропилена привиты смешанные полимерные звенья типа поли(мет)акриловой кислоты и типа полиалкил(мет)акрилата, такие как полиизобутил(мет)акрилат. В частности, используются привитые кремнийсодержащие полимеры формулы III со структурой полиметил/метилсилоксана, содержащей группы 3-пропилтио-полиметакриловой кислоты и группы 3-пропилтио-полиметилметакрилата и привитые кремнийсодержащие полимеры формулы III со структурой полиметил/метилсилоксана, содержащей группы 3-пропилтио-полиакриловой кислоты. Третья композиция (с), которую наносят перед восстановительной композицией (а), преимущественно содержит от 0,01 до 20, предпочтительно от 0,1 до 10 и, еще более предпочтительно, от 0,2 до 5% анионного полимера. Согласно способу по изобретению могут быть использованы любые типы восстановительной (а) и фиксирующей (b) композиций, например те, которые описаны в принадлежащих заявителю европейских патентах ЕР 465342, ЕР 568695, ЕР 636358, ЕР 681828 или ЕР 723772 и во французских патентных заявках, опубликованных под номерами FR 2773071, FR 2773072 и FR 2769499. В композиции может быть использован любой известный восстанавливающий агент. Целесообразно наличие в восстановительной композиции по крайней мере одного восстанавливающего агента, выбранного из группы, в которую входят тиогликолевая кислота, тиомолочная кислота, цистеин, цистеамин и тиогликолят глицерина. В фиксирующей композиции (b) может быть использован любой известный окисляющий агент. Целесообразно наличие в фиксирующей композиции по меньшей мере одного окисляющего агента, выбранного из перекиси водорода, перекиси мочевины, броматов щелочных металлов и персолей, таких как пербораты и персульфаты. Предпочтительно, чтобы восстановительная композиция (а) содержала дополнительно по меньшей мере один щелочной агент, который может быть выбран, в частности, из числа следующих соединений: аммиак, моноэтаноламин, диэтаноламин, триэтаноламин, изопропаноламин, 1,3-диаминопропан, карбонат или бикарбонат щелочного металла или аммония, органический карбонат, такой как карбонат гуанидина, а также гидроксид щелочного металла, используемых по отдельности или в смеси. Восстановительная композиция (а) может быть приготовлена в одной или в двух частях. Предпочтительно также, чтобы фиксирующая (b) или восстановительная (а) композиция содержали добавки из числа поверхностно-активных веществ, силиконов, восков, загустителей, агентов набухания и пенетрации, жирных спиртов, производных ланолина, керамидов, активных ингредиентов, агентов против выпадения волос, средств против перхоти, суспендирующих агентов, комплексообразователей, матирующих агентов, красителей, содержащих и не содержащих кремний солнечных фильтров, консервантов и отдушек. Изобретение может быть лучше понято из приведенных ниже не ограничивающих объема изобретения примеров, которые демонстрируют предпочтительный способ осуществления способа по изобретению. Указанные в примерах процентные содержания относятся к массе активных веществ (АВ), а ОЕ обозначает оксиэтиленовое звено. ПРИМЕРЫ Пример 1 Приготовляют три описанные ниже композиции: применяемые для перманента композицию, содержащую анионный полимер, восстановительную композицию (а) и фиксирующую композицию (b). Отдельная композиция (с), содержащая анионный полимер Анионный сополимер метакриловой кислоты с этилакрилатом (50/50) в виде водной дисперсии(1) – 1% АВ Моноэтаноламин – Достаточное кол-во до рН 7 Деминерализованная вода – Достаточное кол-во до 100 г Восстановительная композиция (а) Восстановитель состоит из двух частей Часть А: (порошок) Цистеин – 3 г Пихтовая мука – 5 г Таровая мука – 2 г Часть В: (жидкость) Моноэтаноламин – 2,2 г Отдушка – 0,5 г Оксиэтиленированный олеиновый спирт (20 ОЕ)(2) – 1 г Пятинатриевая соль диэтилентриаминпентауксусной кислоты в виде 40%-ного водного раствора – 0,4 г Гексадиметринхлорид (Chimex) – 1,2 г АВ Фиксирующая композиция (b) Перекись водорода – 8 об.% Гомополимер диметилдиаллиламмонийхлорида в виде 40%-ного водного раствора(3) – 1 г АВ Кокоиламидопропил(диметил)гидроксипропилсульфобетаин в виде 50%-ного водного раствора(4) – 1 г АВ Лимонная кислота – В достаточном кол-ве до рН 3 Деминерализованная вода – В достаточном кол-ве до 100 г (1) LUVIMER МАЕ фирмы BASF (2) BRIJ 98V фирмы Uniqema (3) MERQUAT 100 фирмы Calgon (4) REWOTERIC AMCAS фирмы Witco На промытые и отжатые волосы наносят отдельную третью композицию (с), содержащую анионный полимер. После этого, не проводя ополаскивания, немедленно после смешивания частей А и В наносят восстановительную композицию (а). С помощью пальцев и расчески волосам придают форму. После выдерживания в течение 15 мин, по-прежнему не прибегая к ополаскиванию волос, наносят фиксирующую композицию (b). После выдержки в течение 5 мин волосы ополаскивают. Получают устойчивую форму волос. Волосы приятны на ощупь, обладают хорошими косметическими свойствами и тонусом. Кроме того, они легко расчесываются. Пример 2 Приготовляют следующую восстановительную композицию (а): Тиогликолевая кислота – 9 г Пятинатриевая соль диэтилентриаминпентауксусной кислоты в виде 40%-ного водного раствора – 0,4 г 20%-ный раствор аммиака в достаточном количестве – До рН 9 Деминерализованная вода в достаточном количестве – До 100 г На промытые и отжатые волосы наносят композицию из примера 1, содержащую анионный полимер. После этого, не производя ополаскивания, немедленно наносят восстановительную композицию (а) из примера 2. После выдерживания в течение 15 мин волосы ополаскивают и наносят на них фиксирующую композицию (b) из примера 1. Волосы оставляют на 5 мин и после удаления бигуди ополаскивают. Получают устойчивые, с хорошим тонусом пряди. Волосы приятны на ощупь и легко расчесываются. Формула изобретения
![]() в которой n обозначает целое число от 0 до 10; А обозначает метиленовую группу, которая может быть связана с атомом углерода при двойной связи или с соседней метиленовой группой в том случае, когда n больше 1, посредство гетероатома, такого как кислород или сера; R5 обозначает атом водорода, фенильную или бензильную группу; R3 обозначает атом водорода, низшую алкильную группу или карбоксил; R4 обозначает атом водорода, низшую алкильную группу, группу -СН2-СООН, фенил или бензил, полимеров, содержащих звенья, происходящие от сульфоновой кислоты, такие, как винилсульфоновые, стиролсульфоновые и акриламидоалкилсульфоновые звенья. 6. Способ по п. 5, отличающийся тем, что анионный полимер выбирают из следующих соединений: А) гомо- и сополимеры акриловой или метакриловой кислоты или их соли, сополимеры акриловой кислоты и акриламида и их натриевые соли и натриевые соли полигидроксикарбоновых кислот; B) сополимеры акриловой и метакриловой кислот с моноэтиленовым мономером, таким, как этилен, стирол, сложные виниловые эфиры, эфиры акриловой или метакриловой кислоты, которые могут быть привиты к полиалкиленгликолю, такому, как полиэтиленгликоль, причем сополимеры этого типа могут содержать в цепи звено возможно N-алкилированного и/или гидроксиалкилированного акриламида, сополимеры акриловой кислоты с C1-C4-алкилметакрилатом и тройные сополимеры винилпирролидона, акриловой кислоты и C1-С20-алкилметакрилата; C) сополимеры на основе кротоновой кислоты, такие, которые содержат в своей цепи звенья винилацетата или винилпропионата и, возможно, других мономеров, таких, как сложные аллиловые и металлиловые эфиры, простые виниловые эфиры или виниловые эфиры нормальных или разветвленных насыщенных карбоновых кислот с длинной углеводородной цепью, содержащих, например, не менее 5 атомов углерода, причем названные полимеры могут быть привитыми; D) сополимеры на основе малеиновой, фумаровой и итаконовой кислот или их ангидридов со сложными виниловыми эфирами, простыми виниловыми эфирами, винилгалогенидами, фенилвиниловыми производными, акриловой кислотой и ее эфирами; сополимеры малеинового, цитраконового и итаконового ангидридов со сложными аллиловыми или металлиловыми эфирами, которые могут содержать в своей цепи группу акриламида, метакриламида, -олефина, эфиров акриловой или метакриловой кислоты, акриловой или метакриловой кислоты или винилпирролидона, причем ангидридные функции могут быть моноэстерифицированы или моноамидированы; Е) полиакриламиды, содержащие карбоксилатные группы.
7. Способ по п. 6, отличающийся тем, что анионный полимер выбирают из числа следующих соединений: гополимеры акриловой или метакриловой кислот, сополимеры акриловой кислоты, такие, как тройные сополимеры акриловая кислота /этилакрилат/N-трет-бутилакриламид, сополимеры на основе кротоновой кислоты, такие, как тройные сополимеры винилацетат/виниловый эфир трет-бутил-бензойной кислоты /кротоновая кислота и тройные сополимеры кротоновая кислота /винилацетат/винилнеододеканоат, сополимеры на основе малеиновой, фумаровой и итаконовой кислот или соответствующих ангидридов со сложными виниловыми эфирами, простыми виниловыми эфирами, винилгалогенидами, фенилвиниловыми производными, акриловой кислотой и ее эфирами, такие, как сополимеры метилвинилового эфира с моноэстерифицированным малеиновым ангидридом; сополимеры метакриловой кислоты с метилметакрилатом; сополимеры метакриловой кислоты с этилакрилатом; тройные сополимеры винилпирролидона с акриловой кислотой и лаурилметакрилатом; сополимеры винилацетата с кротоновой кислотой; тройные сополимеры винилацетата с кротоновой кислотой и полиэтиленгликолем.
8. Способ по любому из пп. 1-4, отличающийся тем, что анионный полимер выбирают из анионных полимеров типа привитых кремнийсодержащих полимеров, состоящих из полисилоксановой части и части, представляющей собой не содержащую кремния органическую цепь, из которых одна часть представляет собой главную цепь полимера, а другая является привитой к главной цепи.
9. Способ по п. 8, отличающийся тем, что привитой кремнийсодержащий полимер выбирают из кремнийсодержащих полимеров, в структуре которых имеется звено приведенной ниже формулы III![]() в которой радикалы G1, одинаковые или разные, обозначают водород или C1-С10-алкил или же радикал фенил; радикалы G2, одинаковые или разные, обозначают C1-С10-алкиленовую группу; G3 обозначает полимерный остаток, образующийся в результате (гомо)полимеризации по меньшей мере одного этиленовоненасыщенного анионного мономера; G4 обозначает полимерный остаток, образующийся в результате (гомо)полимеризации по меньшей мере одного этиленовоненасыщенного гидрофобного мономера; m и n равны 0 или 1; а обозначает целое число от 0 до 50; b обозначает целое число в пределах от 10 до 350; с обозначает целое число в пределах от 0 до 50, при условии, что один из параметров а и с отличен от 0. 10. Способ по п. 9, отличающийся тем, что звено формулы III обладает по меньшей мере одной из следующих характеристик: радикалы G1 обозначают C1-С10-алкильный радикал, n не равно 0, а радикалы G2 обозначают двухвалентный C1-С3-радикал, G3 обозначает полимерный радикал, образующийся в результате (гомо)полимеризации по меньшей мере одного мономера типа этиленовоненасыщенной карбоновой кислоты, G4 обозначает полимерный радикал, образующийся в результате (гомо)полимеризации по меньшей мере одного мономера типа C1-С10-алкил(мет)акрилата. 11. Способ по п. 9 или 10, отличающийся тем, что звено формулы III обладает одновременно следующими характеристиками: радикалы G1 обозначают радикал метил, n не равно 0, а радикалы G2 обозначают радикал пропилен, G3 обозначает полимерный радикал, образующийся в результате (гомо)полимеризации по меньшей мере акриловой кислоты и/или метакриловой кислоты, G4 обозначает полимерный радикал, образующийся в результате (гомо)полимеризации по меньшей мере изобутил- или метил(мет)акрилата. 12. Способ по п. 9, отличающийся тем, что звено формулы III обладает по меньшей мере одной из следующих характеристик: радикалы G1 обозначают C1-С10-алкильный радикал, n не равно 0, а радикалы G2 обозначают двухвалентный C1-С3-радикал, G3 обозначает полимерный радикал, образующийся в результате (гомо)полимеризации по меньшей мере одного мономера типа этиленовоненасыщенной карбоновой кислоты, с равно 0. 13. Способ по любому из предыдущих пунктов, отличающийся тем, что катионный полимер выбирают из кватернизованных производных простых эфиров целлюлозы, сополимеров целлюлозы с водорастворимым четвертичноаммониевым мономером, циклополимеров, катионных полисахаридов, катионных кремнийсодержащих полимеров, сополимеров винилпирролидона с кватернизованными или некватернизованными диалкиламиноалкилакрилатами или метакрилатами, кватернизованных полимеров винилпирролидона и винилимидазола, полиаминоамидов и их смесей. 14. Способ по любому из пп. 1-13, отличающийся тем, что анионный полимер применяют в отдельной третьей композиции (с) в количестве от 0,01 до 20, предпочтительно от 0,1 до 10 и, еще более предпочтительно, от 0,2 до 5% от общей массы композиции. 15. Способ по любому из предыдущих пунктов, отличающийся тем, что восстановительная композиция (а) содержит по меньшей мере один восстанавливающий агент, выбранный из группы, в которую входят тиогликолевая кислота, тиомолочная кислота, цистеин, цистеамин и тиогликолят глицерина. 16. Способ по любому из предыдущих пунктов, отличающийся тем, что фиксирующая композиция (b) содержит по меньшей мере один окисляющий агент, выбранный из группы, в которую входят перекись водорода, перекись мочевины, броматы щелочных металлов, персоли, такие, как пербораты и персульфаты. 17. Способ по любому из предыдущих пунктов, отличающийся тем, что восстановительная композиция (а) содержит, кроме того, по меньшей мере один щелочной агент, который может быть выбран из числа следующих соединений: аммиак, моноэтаноламин, диэтаноламин, триэтаноламин, изопропаноламин, 1,3-диаминопропан, карбонат или бикарбонат щелочного металла или аммония, органический карбонат, такой, как карбонат гуанидина, а также гидроксид щелочного металла, используемых по отдельности или в смеси. 18. Способ по любому из предыдущих пунктов, отличающийся тем, что восстановительная (а) или фиксирующая (b) композиция содержит, кроме того, добавки из числа поверхностно-активных веществ, силиконов, восков, загустителей, агентов набухания и пенетрации, жирных спиртов, производных ланолина, керамидов, активных ингредиентов, агентов против выпадения волос, средств против перхоти, суспендирующих агентов, комплексообразователей, матирующих агентов, красителей, содержащих и не содержащих кремний солнечных фильтров, консервантов и отдушек. 19. Набор для перманентной деформации волос согласно способу по любому из пп. 1-18, содержащий восстановительную композицию (а) и фиксирующую композицию (b), из которых по крайней мере одна композиция содержит по меньшей мере один катионный полимер, отличающийся тем, что он, кроме того, содержит отдельную третью композицию (с), содержащую по меньшей мере один анионный полимер. MM4A – Досрочное прекращение действия патента СССР или патента Российской Федерации на изобретение из-за неуплаты в установленный срок пошлины за поддержание патента в силе
Дата прекращения действия патента: 28.06.2006
Извещение опубликовано: 20.12.2007 БИ: 35/2007
|
||||||||||||||||||||||||||

106, предпочтительно приблизительно от 103 до 3
(R
)3A–








-гидроксиэтил, 



– или 


