Патент на изобретение №2184842
|
||||||||||||||||||||||||||
(54) СПОСОБ РАЗРАБОТКИ НЕФТЯНОЙ ЗАЛЕЖИ
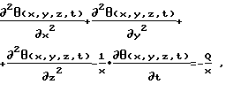
(57) Реферат: Изобретение относится к нефтедобывающей промышленности, а точнее к технологии повышения нефтеотдачи пластов. Обеспечивает наиболее полное извлечение нефти за счет изменения вязкости нефти, фазовой проницаемости коллектора для нефти и воды. Сущность изобретения: на продуктивный пласт воздействуют тепловым источником и источником упругих колебаний. Тепловой источник помещают внутри нагнетательной скважины. Воздействие тепловым источником производят с периодическим изменением во времени его мощности. Источник упругих колебаний устанавливают на земной поверхности у устья нефтедобывающей скважины. Тепловой источник и источник упругих колебаний работают с одинаковой частотой. Термовибрационные воздействия на пласт осуществляют по гармоническому закону с синхронно изменяющейся частотой и периодически постоянной разностью фаз. 1 з.п. ф-лы. Изобретение относится к нефтедобывающей промышленности, а точнее к технологии повышения нефтеотдачи пластов. Известен способ разработки нефтяных залежей, включающий обустройство на месторождении добывающих, нагнетательных и оборудованных генераторами импульсов воздействующих скважин, размещенных в застойных зонах и(или) вблизи этих зон (заявка 97114641/03, МПК (6) Е 21 В 43/24, Бриллиант Л.С., Журавлев B. C. Способ разработки нефтяных залежей, заявл. 20.08.97, опубл. 20.06.99, БИ 17, с.179). К недостаткам способа относится низкая эффективность извлечения нефти, т. к. небольшая энергия скважинных генераторов создает слабое механическое воздействие и не позволяет снизить вязкость нефти, а следовательно, отбор ее из пласта затруднен. Известен способ повышения нефтеотдачи, включающий воздействие на продуктивный пласт упругими колебаниями в диапазоне частот от 1 до 45 кГц, нарушение динамического равновесия на границе вода-нефть, выравнивание фронта замещения нефти водой, высвобождение капиллярно замещенной нефти и подачу в продуктивный пласт воды через гидродинамический излучатель, установленный в забое нагнетательной скважины (патент РФ 2122109, МПК (6) Е 21 В 43/25, Способ повышения нефтеотдачи, Новаковский Ю. М., Пастух П.И., Сухинин С.В., 96118034/03, заявл. 10.09.96, опубл. 20.11.98, БИ 32, с.418). Известен способ разработки нефтяной залежи, включающий закачку вытесняющего реагента в нагнетательные скважины, отбор жидкости из добывающих скважин, проведение вибросейсмического воздействия на продуктивный пласт упругими колебаниями. Вибрационное воздействие на продуктивный пласт осуществляется с помощью источника упругих колебаний, установленного в одной из скважин, расположенных в центральной части залежи, до тех пор, пока обводненность добываемой жидкости в целом по залежи не снизится на 3-5%, после чего производят периодически остановку и возобновление закачки вытесняющего агента в пласт (патент РФ 2103486, МПК (6) Е 21 В 43/20, Способ разработки нефтяной залежи, Алеев Ф.И., Кошторев Н.И., 95111338/03, заявл. 30.06.95, опубл. 27.01.98, БИ 3, с.284). Наиболее близким из аналогов к заявляемому является способ термошахтного извлечения высоковязкой нефти из пласта, при котором ведут двухгоризонтальную разработку с надпластового горизонта через вертикальные и горизонтальные нагнетательные скважины, оборудованные обсадными трубами, через которые нагнетают в продуктивный пласт теплоноситель, например, пар, а отбор нефти осуществляют из добывающих скважин, пробуренных из расположенной в пласте добывающей галереи, при этом сбор нефти производят в горной выработке, откуда ее насосами подают на поверхность (патент РФ 2044874, МПК (6) Е 21 В 43/24, Способ термошахтного извлечения высоковязкой нефти из пласта, Бакулин В. Н., Кушнер А.Н., Брохман В.Л., Вахмин Г.И., Бакулин А.В., Протосеня А.Г., 3 93014967/03, заявл. 22.03.93, опубл. 27.09.95, БИ 27, с.234). Через каждые 7-10 м часть обсадной трубы размером 3-5 м выполняют из пьезокерамики, обладающей магнитострикционными свойствами, подводят посредством электродов импульсное возбуждающее напряжение, осуществляя в пласте и окружающем его пространстве вибрационное воздействие, которое проводят поэтапно: вначале нагнетают в скважины разупрочняющие вещества одновременно с возбуждением в пласте упругих колебаний в диапазоне 1-27,0 кГц, вибровоздействие осуществляют в течение времени, при котором проницаемость пласта увеличивается от 80 до 300% и выше, и затем вибровоздействия прекращают и в скважину подают теплоноситель с температурой не выше 60oС в совокупности с вибровоздействием на частоте собственных колебаний горного массива в течение времени, при котором достигают положительного эффекта. Однако все перечисленные способы малоэффективны при их высокой себестоимости и не позволяют наиболее полно извлекать залегающую нефть из разработанных пластов. Технической задачей заявляемого решения является наиболее полное извлечение нефти за счет изменения вязкости нефти, фазовой проницаемости коллектора для нефти и воды. Поставленная задача решается путем синхронного воздействия на нефтяную залежь установленным на земной поверхности у устья нефтедобывающей скважины источником упругих колебаний и тепловым источником с периодическим изменением во времени его мощности, расположенным внутри нагнетательной скважины. Вибрационное воздействие на земной поверхности возбуждает непрерывные, заранее неограниченные во времени вынужденные упругие колебания при постоянных в течение всего времени возбуждения частоте, амплитуде и начальной фазе вибрационной силы, изменяющейся по гармоническому закону в пределах упругих свойств среды. Вибрационное и тепловое воздействия осуществляют по гармоническому закону с одинаковой частотой и периодически постоянной разностью фаз колебаний. При работе вибратора создаются ударные импульсы, которые передаются нефтяному коллектору. В результате действия упругих волн в пласте возбуждаются интенсивные волны растяжения-сжатия, образующие в нем сети трещин. Одновременно упругие волны влияют и на нефть, уменьшая ее вязкость, поверхностное натяжение и, тем самым, облегчая ее движение к забою скважины. Упругие волны влияют и на разрушение посторонних отложений против продуктивного пласта (Гадиев С.М. Использование вибрации в добыче нефти. – М.: Недра, 1977, С.4). Периодическое тепловое воздействие приводит к появлению периодически возникающих с той же частотой тепловых напряжений, наложение которых на периодические напряжения в породе с той же частотой, возникающие за счет вибрационного воздействия, приведут к возникновению явления интерференции, заключающегося в том, что пространственно, в одних точках нефтяной залежи амплитуды колебательных движений складываются, а в других точках – вычитаются. Сложение амплитуд напряжений в одних точках нефтяной залежи приводит к изменению вязкости, подвижности нефти и ее адгезионной способности. Синхронное изменение частоты теплового и вибрационного воздействий с периодически постоянной разностью фаз приводит к перемещению максимумов амплитуд колебательных движений в объеме нефтяной залежи и созданию более активного воздействия на другие ее участки. В результате этого происходит более полное извлечение нефти из залежи. Виброисточник располагают на земной поверхности у устья добывающей скважины, поскольку в этом случае наименьшее затухание упругих колебаний происходит в точке встречи с нефтяным пластом. Кроме того, расположение виброисточника на земной поверхности экономически более выгодно, чем размещение его внутри добывающей скважины. Если нефтедобывающая скважина, расположенная в центральной части залежи и имеющая отработанные скважины, образует укрупненный элемент (например, “большие треугольники”) или семиточечный элемент, то целесообразно отработанные скважины использовать в качестве нагнетательных, расположив внутри них тепловые источники, работающие согласованно. При этом воздействие будет более активным, а извлечение нефти более полным. Как известно, на механизм вытеснения нефти существенно влияют поверхностные свойства системы нефть-вода-порода. С повышением температуры уменьшается толщина адсорбционного слоя повехностно-активных молекул нефти на поверхности паровых каналов, в результате чего проницаемость пласта для нефти увеличивается. Значения коэффициентов вытеснения нефти также существенно зависят от ее вязкости. Наиболее высокий темп изменения коэффициентов вытеснения наблюдается в области снижения вязкости нефти (Байбаков К., Гарушев А.Р. Тепловые методы разработки нефтяных месторождений. – М.: Недра. – 1988. С. 37). В связи с этим были проведены численные расчеты снижения вязкости нефти в зависимости от изменения температуры при тепловом, вибрационном и термовибрационном (одновременно тепловом и вибрационном) воздействиях на примере нефтяных залежей месторождения Каражанбас, по которому продуктивные отложения расположены в интервалах глубин: пласт А: 288,8-292,0 м (скважина 134), 265,6-273,1 м (скважина 145), пласт Б: 279,4-284,0 м (скважина 145), пласт В: 294,6-298,2 м (скважина 145). Считалось, что все количество тепла, выделяемое тепловыми источниками, расходуется только на изменение температуры нефтяного пласта, т.е. не учитывались потери тепла через кровлю и подошву пласта. Тепловое воздействие осуществляли импульсным тепловым источником, расположенным в нагнетательной скважине 134 на расстоянии 125 м от нефтедобывающей скважины 145, при отсутствии источника возбуждения упругих колебаний. Введем прямоугольную систему координат 0xyz такую, что начало координат находится в устье нефтедобывающей скважины 145, ось 0х направлена от нефтедобывающей скважины 145 к нагнетательной скважине 134, ось 0у – по нефтедобывающей скважине 145 вверх, ось 0 перпендикулярна плоскости 0xz, причем координатные оси образуют правую тройку. В этой системе координат приращение температуры определяли, решив уравнение теплопроводности: ![]() с граничными условиями: ![]() где (x,y,z,t) – приращение температуры в точке с координатами (x,у,z) в момент времени t, 0 = 1,44 ккал/(м3 oС) – коэффициент теплопроводности, C = 326 Дж/(кг oС) – удельная теплоемкость в естественном состоянии, мощность теплового источника, (x0,у0,z0) – координаты теплового источника, х0= 125 м, у0=0 м, z0=290 м, частота, характеризующая периодические изменения во времени мощности теплового источника, внешняя нормаль к поверхности, * = 5,6 – коэффициент теплоотдачи на поверхности (Бабешко В.А., Гортинская В.В., Смирнова А.В. Влияние термовибрационных воздействий на глубинные слои Земли. – Деп. В ВИНИТИ 14.04.89, 2448-И89. – 16 с.). Т.к. пластовая температура колеблется в пределах 26-34ooС. При тепловом воздействии температура нефтяной залежи между нагнетательной 134 и нефтедобывающей 145 скважинами увеличилась на 20oС, что вызвало снижение вязкости в 3,5 раза, что близко к экспериментальным результатам, полученным при закачке в нефтяной пласт (начальная температура пласта – 27o , характеризующую периодические изменения во времени мощности теплового источника, можно добиться, чтобы при прогреве пласта температура на забое добывающей скважины была не ниже 70oС (при температуре, равной 70oС, вязкость нефти значительно уменьшается).
Вибрационные воздействия осуществляли установленным на земной поверхности у устья нефтедобывающей скважины 145 источником мощностью 100 кВт (сейсмическим вибратором СВ 10/100) возбуждения упругих колебаний при отсутствии теплового источника в нагнетательной скважине 134. Приращение температуры при вибрационных воздействиях при тех же геолого-геофизических параметрах среды определяли из системы уравнений (Новацкий В. Динамические задачи термоупругости. – М.: Мир, 1970. – С.25):![]() где вектор перемещения среды в точке с координатами (х,у,z) в момент времени t; = e(3 +2 ), = 0,1- коэффициент Пуассона, t = 7,1 10-6 – коэффициент объемного температурного расширения, = 2,5 109 H/м2, = 1010H/м2– упругие постоянные Ламе, = 2500 кг/м3– плотность нефтеносного пласта, Т0=30oС – начальная температура среды.
Граничные условия для этой системы уравнений:![]() ![]() ![]() ![]() U(x, y, z, t), V(x, y, z, t), W(x, y, z, t)–>0 при z _ – , где xz(x,y,z,t), yz(x,y,z,t), zz(x,y,z,t) – компоненты тензора напряжений, которые для изотропного тела определяются через компоненты вектора перемещений и температуру законом Дюамеля-Неймана (Новацкий В. Динамические задачи термоупругости. – М.: Мир, 1970. – С.21). Решение этой задачи (Бабешко В. А., Гортинская В.В. Связанная задача термоупругости для однородного полупространства. – Деп. В ВИНИТИ 19.01.00, 95-В00) показывает, что при вибрационных воздействиях температура нефтяной залежи между нагнетательной 134 и нефтедобывающей 145 скважинами увеличилась за счет изменения напряженно-деформированного состояния среды на 4oС, что дает снижение вязкости нефти в 1,1 раза.
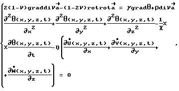
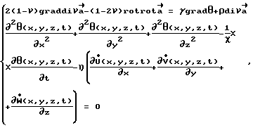
Синхронное термовибрационное воздействие на нефтеносную залежь осуществляли расположенным в нагнетательной скважине 134, отстоящей от нефтедобывающей скважины 145 на расстоянии 125 м, импульсным тепловым источником и установленным на земной поверхности у устья скважины 145 источником мощностью 100 кВт (сейсмические вибраторы СВ 10/100 или СВ 5/150) возбуждения упругих колебаний, работающих с одинаковой частотой 10 Гц и периодически изменяющейся в интервале от 0 до 2 (с шагом 0,1 )) разностью фаз. При синхронном воздействии на нефтяную залежь теплового и вибрационного источников колебаний приращение температуры определялось из системы уравнений:![]() с граничными условиями ![]() ![]() ![]() ![]() U(x, y, z, t), V(x, y, z, t), W(x, y, z, t)–>0 при z _ – .Полученное приращение температуры в пластах нефтяных залежей месторождения Каражанбас при одновременном тепловом и вибрационном воздействиях между нагнетательной 134 и нефтедобывающей 145 скважинами составляет 26oС, что влечет за собой снижение вязкости нефти в 4,5 раза, и, следовательно, извлечение из залежи будет наиболее полным. Простое сложение отдельных вибрационного и теплового воздействий без учета эффекта интерференции термоупругих волн позволяет повысить температуру пласта на 24oС и снизить вязкость нефти в 3,85 раза. Формула изобретения
|
||||||||||||||||||||||||||



(x,y,z,t) – приращение температуры в точке с координатами (x,у,z) в момент времени t,
0 = 1,44 ккал/(м3
oС) – коэффициент теплопроводности, C
= 326 Дж/(кг
мощность теплового источника, (x0,у0,z0) – координаты теплового источника, х0= 125 м, у0=0 м, z0=290 м,
частота, характеризующая периодические изменения во времени мощности теплового источника,
внешняя нормаль к поверхности,
, характеризующую периодические изменения во времени мощности теплового источника, можно добиться, чтобы при прогреве пласта температура на забое добывающей скважины была не ниже 70oС (при температуре, равной 70oС, вязкость нефти значительно уменьшается).
Вибрационные воздействия осуществляли установленным на земной поверхности у устья нефтедобывающей скважины 145 источником мощностью 100 кВт (сейсмическим вибратором СВ 10/100) возбуждения упругих колебаний при отсутствии теплового источника в нагнетательной скважине 134. Приращение температуры при вибрационных воздействиях при тех же геолого-геофизических параметрах среды определяли из системы уравнений (Новацкий В. Динамические задачи термоупругости. – М.: Мир, 1970. – С.25):
вектор перемещения среды в точке с координатами (х,у,z) в момент времени t;
=
e(3
),
= 0,1- коэффициент Пуассона,
= 2500 кг/м3– плотность нефтеносного пласта,
Т0=30oС – начальная температура среды.
Граничные условия для этой системы уравнений:



–
, где
xz(x,y,z,t),
zz(x,y,z,t) – компоненты тензора напряжений, которые для изотропного тела определяются через компоненты вектора перемещений и температуру законом Дюамеля-Неймана (Новацкий В. Динамические задачи термоупругости. – М.: Мир, 1970. – С.21). Решение этой задачи (Бабешко В. А., Гортинская В.В. Связанная задача термоупругости для однородного полупространства. – Деп. В ВИНИТИ 19.01.00, 95-В00) показывает, что при вибрационных воздействиях температура нефтяной залежи между нагнетательной 134 и нефтедобывающей 145 скважинами увеличилась за счет изменения напряженно-деформированного состояния среды на 4oС, что дает снижение вязкости нефти в 1,1 раза.
Синхронное термовибрационное воздействие на нефтеносную залежь осуществляли расположенным в нагнетательной скважине 134, отстоящей от нефтедобывающей скважины 145 на расстоянии 125 м, импульсным тепловым источником и установленным на земной поверхности у устья скважины 145 источником мощностью 100 кВт (сейсмические вибраторы СВ 10/100 или СВ 5/150) возбуждения упругих колебаний, работающих с одинаковой частотой 10 Гц и периодически изменяющейся в интервале от 0 до 2
(с шагом 0,1



