Патент на изобретение №2184529
|
||||||||||||||||||||||||||
(54) КОМПОЗИЦИЯ С ЗАГУСТИТЕЛЯМИ, ИМЕЮЩИМИ ГРУППЫ, СПОСОБНЫЕ К ОБРАЗОВАНИЮ ВОДОРОДНЫХ СВЯЗЕЙ
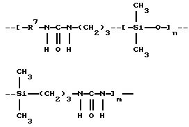
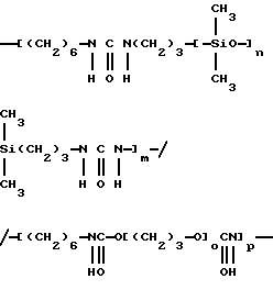
(57) Реферат: Изобретение относится к косметологии и касается композиции основы, пригодной для получения косметической композиции, содержащей по крайней мере одну силиконовую жидкость и по крайней мере один гелеобразователь, который содержит силоксановые группы и группы, способные к образованию водородных связей, для загущения композиций, и является нелетучим твердым веществом при комнатной температуре, а также растворяется в жидкости, которая содержит силикон, при температуре 25-250oС с образованием полупрозрачного или прозрачного раствора при температуре в указанном интервале. Кроме того, изобретение относится к косметической композиции для уменьшения неприятного запаха от человека, к способу уменьшения неприятного запаха от человека. Композиция, содержащая антиперспирант, имеет привлекающий внешний вид и высокоэффективна. 3 с. и 62 з. п. ф-лы, 5 ил., 3 табл. Предпосылки создания изобретения Изобретение относится к косметической композиции (например, твердой косметической композиции, такой как гель, твердо-мягкая или полутвердая форма (крем) или карандаш), состоящей из композиции основы, содержащей по крайней мере одну силиконовую жидкость (например, силиконовые масла), загущенную с использованием гелеобразования, причем композиция основы может содержать увеличенные количества силиконовых жидкостей; носителя, в который включены косметически активные вещества; и по крайней мере одного активного компонента, обеспечивающего активность такой косметической композиции. Конкретные варианты осуществления настоящего изобретения включают дезодорирующие и антиперспирационные композиции (и композиции основы для них), в которых косметически активным компонентом является дезодорирующее активное вещество и/или антиперспирационное активное вещество и которые могут иметь повышенное содержание силиконовых жидкостей. Однако настоящее изобретение не ограничивается такими антиперспирационными и/или дезодорирующими композициями и касается также других косметических композиций, содержащих другие косметически активные компоненты, таких как солнцезащитные композиции, содержащих солнцезащитные вещества в качестве активного материала. В частности, настоящее изобретение относится к косметическим композициям, предпочтительно прозрачным, включая твердые прозрачные композиции, в частности прозрачные дезодорирующие и/или антиперспирационные композиции, которые могут иметь повышенное содержание жидкостей. Хотя предлагаемые композиции предпочтительно являются прозрачными композициями, они не обязательно должны быть такими и могут быть полупрозрачными или непрозрачными. Соединения, используемые в настоящем изобретении в качестве гелеобразователей, включают избранные силоксановые полимеры с группами, способными к образованию водородных связей, например, из группы, содержащей сложноэфирные группы, уретановые группы, карбамидные группы, тиокарбамидные группы, амидные группы и группы, имеющие более одной из вышеуказанных групп, например мочевино-уретановые соединения. Конкретные варианты осуществления настоящего изобретения включают прозрачные антиперспирационные композиции в форме карандаша или геля. В частности, они касаются прозрачной композиции в форме геля или карандаша, содержащей полимочевинный, полиуретановый или полиамидный гелеобразователь и активный компонент (например, антиперспирационное активное вещество), причем композиция имеет улучшенные аппликационные и косметические свойства (включая пониженные липкость и клейкость). Антиперспиранты (средства от потения) хорошо известны в данной области. Антиперспиранты появились на рынке в различных формах дозирования, таких как карандаши, гели, “шарики”, аэрозоли и кремы. Обычно эти формы дозирования включают раствор активного компонента в растворителе, суспензию активного компонента или многофазную дисперсию или эмульсию, в которой раствор активного компонента диспергирован в какой-либо дисперсионной среде или в которой растворенный активный компонент образует непрерывную фазу. Из вышеуказанных форм дозирования шарик является примером композиции в жидкой форме, карандаш является примером композиции в твердой форме и гель является загущенной формой, которая может быть или не быть твердой (например, при некоторых обстоятельствах гели могут течь). Карандашная форма может отличаться от геля тем, что в виде карандаша изделие может сохранять свою форму в течение длительного периода времени вне упаковки без сколь-нибудь существенной ее потери (допустима некоторая усадка из-за испарения растворителя), а гель к этому не способен. Для получения формы геля или карандашной формы можно использовать регулирование количества гелеобразователей (загустителей), таких как бентоны, коллоидальный диоксид кремния, или полиэтилен, или стеариловый спирт и гидрированное касторовое масло. Гели, пасты и кремы (которые также известны как твердо-мягкие или полутвердые формы) могут быть соответствующим образом упакованы в виде карандаша, но с возможностью выпуска через отверстия (например, прорези или поры) на верхней поверхности упаковки. Эти изделия названы мягкими карандашами или “помазками”. Далее эти изделия упоминаются под родовым названием “гели”. Можно сделать ссылку на патенты США 5102656 (выдан на имя Kasat), 5069897 (Orr) и 4937069 (Shin), в каждом из которых раскрыты такие гели, а также их физические характеристики, такие как вязкость и твердость. Композиция, которая может подаваться через отверстия, описана в патенте США 5102656 (Kasat). Эта композиция представляет собой кремообразный гетерогенный безводный антиперспирационный продукт, содержащий (в процентах по массе) от общей массы композиции 30-70% летучего силикона в качестве носителя, 7-30% подходящего гелеобразователя или гелеобразователей и примерно 12-30% физиологически приемлемого антиперспирационного вещества. В этом патенте сказано, что гелеобразователем может быть любое из ряда веществ, включающих, например, гидрогенизированное растительное масло, гидрогенизированное касторовое масло, жирные кислоты, имеющие от 14 до 36 атомов углерода, пчелиный воск, парафин, жирные спирты, имеющие от 14 до 24 атомов углерода, полиэтилен и тому подобное. В последнее время проводились значительные работы с целью создания прозрачных или полупрозрачных антиперспирационных карандашей и гелей. Уже описаны прозрачные или полупрозрачные карандаши, состоящие в основном из раствора активного антиперспирационного вещества в многоатомном спиртовом носителе, желированного дибензилиденмоносорбитацеталем. Поскольку гелеобразователь от природы неустойчив в кислой среде и поскольку традиционные активные антиперспирационные вещества являются кислыми веществами, то необходимо было найти подходящие стабилизирующие или буферные вещества для предотвращения или замедления кислотной атаки на ацеталевый гелеобразователь. Однако работы в этом направлении были безуспешными. Кроме того, прозрачные или полупрозрачные антиперспирационные карандаши, содержащие ацеталевый гелеобразователь и растворенное активное антиперспирационное вещество, имеют недостаток, заключающийся в присущей им липкости. Поэтому работа по совершенствованию этих прозрачных или полупрозрачных антиперспирационных карандашей, содержащих ацеталевый гелеобразователь, была сосредоточена на поиске подходящих антиадгезивов для этой формы дозирования. Однако поскольку кислотный гидролиз гелеобразователя происходит быстрее в водных растворах, разработчики состава старались избежать использования воды в составляемых композициях. Это сильно ограничивает возможность разработчика состава создать косметически приемлемые композиции, которые были бы одновременно химически устойчивы, оптически прозрачны, малоклейки и которые давали бы незначительный остаток и были эстетически приемлемы при использовании. На рынке существуют прозрачные или полупрозрачные антиперспирационные гели в виде карандаша, состоящие из вязких высокодисперсных эмульсий. Эти гели имеют некоторые преимущества над вышеописанными прозрачными карандашами на основе ацеталя, заключающиеся в том, что выбор компонентов состава менее ограничен (можно, например, использовать воду) и можно значительно уменьшить липкость. Но эти эмульсии имеют различные недостатки, например часто требуют применения этанола для обеспечения необходимой эстетики. Кроме того, эти эмульсии относительно дороги. Эти эмульсии известны из патента США 4673570 (выдан на имя Solsati) и (международной заявки) WO 92/05767. В патенте США 5403580 (Bujanowski, et al) раскрыто антиперспирационное изделие, представляющее собой кремнийорганический гель, содержащий в качестве компонентов по крайней мере одно вещество, выбранное из группы, состоящей из вяжущих антиперспирационных соединений, летучего силикона, суспендирующего агента, воскообразного вещества, мягчительных веществ, ароматизаторов, красящих веществ и других компонентов, обычно применяемых в производстве антиперспирационных изделий. В этой композиции используют в качестве гелеобразователя органическое соединение, которое включает полициклические ароматические и стероидальные группы, связанные сложноэфирными связями. Эти гели термически необратимы. Гелеобразователь предварительно растворяют в органическом растворителе, выбранном из галогенированных органических соединений, таких как хлороформ, и гелеобразование происходит в результате кристаллизации гелеобразователя из смеси силикона и растворителя. В заявке 636361 (Mougin, et al) на европейский патент раскрыта косметическая композиция, содержащая в косметическом носителе по крайней мере один псевдолатекс на основе многопоследовательного поликонденсата, имеющего цепь, образованную (а) по крайней мере одной полисилоксановой последовательностью и (b) по крайней мере одной полиуретановой и/или поликарбамидной последовательностью, содержащей анионные или катионные компоненты. В этой публикации раскрыты косметические композиции, которые особенно полезны в качестве композиций для лечения волос и композиций для грима. В патенте США 5120531 (Wells, et al) раскрыты кондиционирующие композиции для ополаскивания волос, полезные как для кондиционирования, так и для укладки волос. Описанные композиции содержат определенные количества вещества для кондиционирования волос, полимера для укладки волос, образованного из определенных мономеров, неводный растворитель для растворения полимера и водный носитель. В этом патенте раскрыто, что кондиционирующий агент полезен не только для кондиционирования волос, но и как загущенный носитель с гель-сеткой для укладочного полимера и растворителя. В этом патенте описаны в качестве кондиционирующего агента различные силоксаны, включающие полидиорганосилоксаны, имеющие четвертичным аммонием замещенные группы, присоединенные к силикону, и полидиорганосилоксаны, имеющие связанные с силиконом заместители, являющиеся аминозамещенными углеводородными группами. В заявке на патент США 500209 описан гель или карандаш, который содержит активные дезодорирующие и/или антиперспирационные компоненты, полиамидный гелеобразователь и растворитель для полиамидного гелеобразователя, причем композиция геля или карандаша может быть прозрачной или полупрозрачной. В этой патентной заявке раскрыто, что полиамидный гелеобразователь растворим в коммерчески доступном растворителе при повышенных температурах и отверждается (образует гель) при охлаждении, причем приемлемыми растворителями являются различные спирты, включая различные гликоли. Хотя описанный полиамидсодержащий карандаш или гель имеет желаемые свойства в отношении стабильности композиции, в частности в присутствии кислых антиперспирационных активных веществ, и с точки зрения получения прозрачных или полупрозрачных композиций геля или карандаша, но различные свойства нуждаются в улучшении. В частности, композиции в соответствии с патентом США 500209, содержащие гликолевые растворители для полиамидного гелеобразователя и/или для антиперспирационного активного вещества, могут быть чрезмерно липкими и клейкими как до, так и после нанесения на кожу. В заявке 8/426672 на патент США, поданной 21 апреля 1995 г., которая посвящена проблеме липкости и клейкости косметических композиций с полиамидным гелеобразователем, раскрыто применение определенной растворительной системы для твердой композиции, содержащей антиперспирационное активное вещество и полиамидный гелеобразователь. Эта растворительная система свободна от гликоля и содержит неионное поверхностно-активное вещество и полярный растворитель. Полярным растворителем является вода, которая вместе с неионным поверхностно-активным веществом действует как диспергирующая среда для антиперспирационного активного вещества, причем воду используют в количестве, достаточном для получения прозрачного(ой) или полупрозрачного(ой) раствора или эмульсии антиперспирационного активного вещества. Типичным методом уменьшения липкости, например, антиперспирационных композиций является введение циклометикона (смесь пента- и гексациклодиметилсилоксанов). Этот циклометикон является жидкостью очень низкой вязкости с отличной смазывающей способностью, что устраняет чувство липкости. Кроме того, циклометикон слабо летуч и потому не оставляет пятен на коже и/или одежде. Более чем 50% (по массе) циклометикона вводят в твердые карандашные антиперспирационные композиции, например, используя восковой затвердитель. Однако циклометикон является нерастворителем для полиамидов на основе димера, описанных в качестве гелеобразователей в патенте США 5500209. Кроме того, лишь ограниченные количества циклометикона (например, 37% по массе) можно ввести в твердые композиции, гелированные с использованием такого полиамидного гелеобразователя, без нарушения прозрачности гелированной композиции. Выше указанного количества гелированная композиция становится мутной вследствие либо чрезмерной кристаллизации полиамида, либо несмешиваемости циклометикона в смеси. В патенте США 5243010 (Choi, et al), раскрыты ароматические полиамидные смолы, имеющие боковые силильные группы: такая смола имеет превосходные теплостойкость, механическую прочность, электрическую проводимость и другие физические свойства, а также превосходную растворимость в обыкновенных органических растворителях и улучшенные технологические свойства в расплавленном состоянии. В этом патенте не раскрыто применение ароматической полиамидной смолы в качестве гелеобразователя, а тем более в качестве гелеобразователя в косметических композициях для получения твердых косметических композиций. В патенте США 5272241 (Lucarelli, et al), раскрыты органофункциональные силоксаны, полезные в промышленности средств личного ухода и в промышленности пластмасс, причем силоксаны являются силиконами, функционализированными аминокислотами. В этом патенте сказано, что силоксаны имеют применение в качестве пластических добавок, гидравлических жидкостей, средств гашения колебаний, смазки для форм, противовспенивателей, диэлектрических сред, водоотталкивающих материалов, поверхностно-активных веществ, добавок к косметическим и лечебным продуктам, смазок и т.д. В этом патенте не раскрыто применение силоксанов в качестве гелеобразователей. Несмотря на описанное выше все еще существует потребность в композициях основ, загущенных гелеобразователем, которые могут включать повышенное содержание силиконовых жидкостей (как летучих так и нелетучих) и полезны при составлении косметических композиций. Такие повышенные содержания силиконовых жидкостей требуются потому, что они придают композиции хорошие косметические характеристики. В частности, эти жидкости желательны из-за их ощущения кожей, летучести и низкой токсичности. Кроме того, нужно также создать такие композиции основ, загущенные с использованием такого гелеобразователя, которые были бы светлыми и прозрачными и могли бы быть превращены в продукты с разной степенью твердости, такие как продукты от крема до карандаша, в зависимости от количества загустителя в композиции. В частности желательно создание прозрачной антиперспирационной и/или дезодорирующей композиции, которая бы имела хорошую эффективность и привлекательный внешний вид и не оставляла видимого (белого) остатка при нанесении и после высыхания. Таким образом, задачей настоящего изобретения является создание композиции основы, в которую может быть введено косметически активное вещество для образования косметической композиции, например антиперспиранта и/или дезодоранта, причем композиция основы была бы загущена посредством гелеобразователя и могла бы иметь повышенные (высокие) уровни силиконовой жидкости (например, летучей и нелетучей силиконовых жидкостей). Задачи настоящего изобретения включают также создание косметической композиции, содержащей эту композицию основы и косметически активные вещества, и способов применения этой косметической композиции. Другой задачей настоящего изобретения является создание композиций основ, не нуждающихся в применении материалов в виде частиц и/или традиционных гелеобразователей (таких как стеариловый спирт и гидрогенизированное касторовое масло) в качестве загустителей и имеющих повышенное содержание силиконовых жидкостей. Следующей задачей настоящего изобретения является создание таких композиций основ и изготовленных из них косметических композиций, которые бы могли содержать повышенные количества силиконовых жидкостей, а также были прозрачными. Очередной задачей настоящего изобретения является создание таких композиций основ и косметических композиций, которые бы могли содержать большие количества силиконовой жидкости и могли быть получены в загущенной форме в виде крема (полутвердая или твердо-мягкая форма), в виде геля или в виде карандаша, в зависимости от количества загустителя, введенного в композицию. Еще одной задачей настоящего изобретения является создание антиперспирационной или дезодорирующей композиции, которая была бы высокоэффективной и не оставляла видимого (белого) остатка, была загущена посредством гелеобразователя и могла содержать увеличенные (высокие) количества силиконовых жидкостей. Задачей настоящего изобретения является также создание прозрачной антиперспирационной или дезодорирующей композиции, которая бы имела привлекательный внешний вид и была высокоэффективной, содержала композицию основы, загущенную введением в нее гелеобразователя, и могла содержать большие количества силиконовых жидкостей, и создание способа применения такой композиции. Общей задачей настоящего изобретения является создание силоксановых полимеров, которые можно было бы использовать в качестве гелеобразователей для загущения косметических композиций, которые были бы совместимы с большими количествами силиконовых жидкостей и могли бы превращать в гель силиконовые жидкости (например, летучие или нелетучие силиконовые жидкости). К вариантам осуществления настоящего изобретения относится создание носителя для загущенной (например, твердой) косметической композиции, в которую может быть введен косметический активный компонент, с использованием, например, полиуретанового, поликарбамидного или полиамидного гелеобразователя, который обеспечивает косметической композиции улучшенные аппликационные свойства (включая пониженную липкость), и создание способа получения такого носителя. Задачей этого конкретного варианта изобретения является также создание гелеобразователя или согелеобразователя для такого носителя и такой косметической композиции. Одним из вариантов осуществления настоящего изобретения является создание твердой косметической композиции (например, гелеобразной или карандашной композиции), содержащей косметически активный компонент и полиуретановый, поликарбамидный и/или полиамидный гелеобразователи, которая бы могла быть прозрачной композицией и имела пониженную липкость как до, так и после нанесения, и создание способа получения такой композиции. Следующей задачей конкретных вариантов осуществления настоящего изобретения является создание твердой косметической композиции с применением полиуретанового, поликарбамидного и/или полиамидного гелеобразователя, имеющего повышенную совместимость с силиконовыми жидкостями (например, циклометиконовыми или диметиконовыми жидкостями), позволяющую создать композицию с высоким содержанием силиконовых жидкостей (таких как указанные силиконовые масла), и создание способа получения такой композиции. Одним из вариантов осуществления настоящего изобретения является создание твердых косметических композиций с применением полиуретанового, поликарбамидного и полиамидного гелеобразователей, которые имели бы улучшенные косметические и аппликационные свойства, включая пониженные липкость и клейкость, и создание способа получения таких композиций. И еще одной задачей конкретных вариантов осуществления настоящего изобретения является создание антиперспирационной и/или дезодорирующей твердой (например, гель или карандаш) композиции, содержащей дезодорирующие и/или антиперспирационные активные вещества и загущенной с применением полиуретанового, поликарбамидного или полиамидного гелеобразователя, которая могла бы быть прозрачной или по крайней мере полупрозрачной, содержала повышенные количества силиконовых жидкостей (например, циклометикона и/или диметикона) и имела пониженные липкость и клейкость как до, так. и после нанесения, и создание способа получения такой композиции. Краткое изложение сущности изобретения Указанные выше задачи решаются с помощью настоящего изобретения, которое заключается в использовании в качестве гелеобразователей полимеров, которые (1) содержат как силоксановые группы, так и группы, способные к образованию водородных связей, для загущения композиций, содержащих силиконовые жидкости (летучие и/или нелетучие силиконовые жидкости); (2) являются нетекучими твердыми веществами при комнатной температуре; и (3) растворяются в жидкости, которая содержит силикон, при температуре 25-250oС с образованием полупрозрачного или прозрачного раствора при температуре в указанном диапазоне. Образованную из полимера композицию основы и силиконовые жидкости (необязательно с добавлением других растворителей) затем объединяют с по крайней мере одним активным компонентом (который сам может нуждаться в дополнительном носителе для введения в композицию основы) и другими, необязательными компонентами, такими как ароматизатор, мягчители (в частности, мягчители, способные смешиваться с силиконом), красители, наполнители, антибактериальные (антимикробные) средства и другие традиционные компоненты/ известные специалистам в области составления рецептуры таких продуктов, с образованием косметических композиций. Композиции основ согласно изобретению включают (1) по крайней мере одну силиконовую жидкость и (2) в качестве загустителя гелеобразователь, который представляет собой полимер, который растворим в силиконовой жидкости и может образовывать гель из раствора в силиконовой жидкости, причем этот силоксановый полимер имеет (а) силоксановые группы и (b) группы, способные к образованию водородных связей, благодаря которым может быть образован гель. Под растворимостью в силиконовой жидкости, подразумевается то, что полимер может быть растворен в силиконовой жидкости по крайней мере при повышенных температурах (но ниже температуры кипения силиконовой жидкости). Под силоксановыми группами подразумеваются группы, имеющие в полимере силоксановые звенья, например: ![]() где R1 и R2 независимо выбраны каждый из группы, состоящей из метила, этила, пропила, изопропила и фенила, причем фенил является необязательно замещенным независимо 1,2 или 3 группами, выбранными из метила и этила. Силоксановые звенья могут находиться в основной цепи, в боковых цепях или и в основной, и в боковых цепях. Силоксановые звенья расположены в полимере сегментами ![]() где каждый сегмент повторяющихся силоксановых звеньев имеет число “n” (среднее число силоксановых звеньев), независимо выбранное из диапазона 1-1000, более конкретно из диапазона 1-300 и еще более конкретно из диапазона 10-100. Полимеры, описанные в качестве загустителей (также называемых в данном описании как гелеобразователи), содержат также группы, способные к образованию водородных связей (то есть полярные группы), выбранные из группы, состоящей из сложноэфирных групп, уретановых групп, карбамидных групп, тиокарбамидных групп, амидных групп и комбинаций таких групп в одном и том же полимере. Примерами полимеров, которые содержат более одной такой группы, являются карбамидоуретановые соединения. В объем настоящего изобретения включены также смеси полимеров, каждый из которых содержит только один тип группы, образующей водородные связи. Следует отметить, что сложноэфирные группы способны к образованию водородных связей только в сочетании с Х-Н группами (где Х представляет, например, азот или кислород), такими как амидные, уретановые, карбамидные и тиокарбамидные группы. Сложные полиэфиры лишь сами по себе не могут действовать как гелеобразователи, тогда как сложноэфирные сополимеры, содержащие другие труппы, такие как карбамидные труппы, могут действовать как загустители композиций согласно изобретению. Таким образом, образование водородных связей наиболее важно в веществах, в которых атом водорода связан с азотом или кислородом. Диполи связей N-H и O-Н способны к взаимодействию с неподеленной электронной парой на атоме азота или кислорода соседней молекулы. Это электростатическое притяжение между диполем связи Х-Н одной молекулы и неподеленной электронной парой другой молекулы и обеспечивает образование водородной связи. Возможны расположения водородных связей типа Х-Н.. . Y для случаев, когда Х и Y представляют, например, N или O (отрезок пунктирной линии между “Н” и “Y” относится к водородной связи между диполем Х-Н и неподеленной электронной парой Y). Группы, способные к образованию водородных связей, могут находиться в различных местах полимера. То есть группы, способные к образованию водородных связей, могут находиться внутри основной цепи, на боковых цепях, отходящих от основной цепи, у концевых групп основной цепи или в таких местах, что получается полимер с четырьмя обрывами цепи группами, образующими водородные связи. Число и расположение силоксановых звеньев и звеньев, образующих водородные связи, выбирают так, чтобы полимеры были нетекучими твердыми веществами при комнатной температуре (например, 16-30oС, а более конкретно 18-25oС) и растворялись в жидкости, содержащей силикон, при температуре 25-250oС с образованием полупрозрачного или прозрачного раствора при температуре в указанном диапазоне. Силиконовые жидкости, вводимые в композиции согласно изобретению, являются жидкостями, традиционно используемыми в косметических композициях. Они включают линейные силоксаны, известные как диметиконы, линейные силоксаны, содержащие ароматический заместитель, такие как фенилтриметикон, и различные циклические силоксаны с 4-6 членами в кольце, необязательно замещенные С1-С6 алкилом или фенилом, в частности циклические диметилсилоксаны, такие как циклометиконы. Могут быть использованы также смеси таких силиконовых жидкостей. Подходящие летучие силиконовые жидкости описаны в указанном выше патенте США 5102656 (Kazat). Примеры других известных силиконовых жидкостей для применения в косметических композициях раскрыты в указанном выше патенте США 4853214 (Orr) и пригодны для применения в настоящем изобретении. Другие конкретные примеры включают линейные летучие силиконовые жидкости, например силиконовые жидкости, традиционно используемые в косметических композициях. Косметические композиции согласно изобретению содержат по крайней мере одну силиконовую жидкость и силоксансодержащий полимер, а также по крайней мере одно косметически активное вещество, введенное в композицию в количестве, достаточном для обеспечения функционального эффекта. Такие активные вещества включают (но не ограничиваются ими) ароматизаторы, солнцезащитные вещества, антиперспиранты, дезодоранты и антибактериальные вещества. Например, когда композиция предназначена для защиты кожи от воздействия солнца, в композицию вводят достаточное количество солнцезащитного вещества, чтобы, нанеся композицию на кожу, защитить кожу от вредных воздействий солнца (например, защитить от идущих от солнца ультрафиолетовых лучей). Прозрачные композиции основ и прозрачные косметические композиции, которые более густы (более вязки) по сравнению с силиконовыми жидкостями, могут быть получены и использованием указанных силоксансодержащих полимеров в качестве загущающих агентов. Композиции согласно изобретению могут быть также использованы для образования прозрачных антиперспирационных композиций, имеющих многофазные системы, содержащие полярную (например, воду) фазу (включающую антиперспирационное активное вещество) и масляную фазу (включающую силиконовые жидкости и силоксановый полимер). Чтобы получить прозрачную многофазную систему, нужно согласовать, как это обычно делается в данной области, показатели преломления масляной и полярной фаз. Как было указано выше, полимеры, используемые в качестве загустителей в композициях основ и косметических композициях согласно изобретению, содержат как силоксановые звенья, так и группы, способные к образованию водородных связей. Силоксановые звенья обеспечивают совместимость с силиконовой жидкостью, например с циклометиконами, а группы, способные к образованию водородных связей, облегчают гелеобразование путем образования водородных связей, например, при охлаждении раствора силоксанового полимера в силиконовой жидкости. Полимеры, содержащие силоксановые звенья и группы, способные к образованию водородных связей, введенные в качестве загустителей в композиции основ, и косметические композиции по настоящему изобретению могут быть сополимерами, в которых (1) силоксандиамин (то есть молекула, которая содержит по крайней мере одно силоксановое звено и две аминогруппы) подвергают взаимодействию с дикарбоновой кислотой (или производным дикарбоновой кислоты), диизоцианатом и/или диизотиоцианатом с получением соответственно амидных групп, карбамидных групп или тиокарбамидных групп в качестве групп, способных к образованию водородных связей; (2) силоксандикарбоновую кислоту (или производное силоксандикарбоновой кислоты) подвергают взаимодействию с диолом или диамином с получением сложноэфирных групп или амидных групп соответственно; или (3) силоксандиол подвергают взаимодействию с диизоцианатом с получением уретановых групп в качестве групп, способных к образованию водородных связей. Как было указано выше, полимеры, используемые в настоящем изобретении, могут быть также образованы так, чтобы они содержали комбинацию групп, способных к образованию водородных связей, путем подходящего осуществления взаимодействия подходящих мономеров, таких как, например, силоксандиамин, – дикарбоновая кислота или – диол, с комбинацией диизоцианатов и дикарбоновых кислот, диизоцианатов и диолов. В соответствии с одним вариантом осуществления настоящего изобретения, который дает полиуретаны, силоксандиол может быть подвергнут взаимодействию с диизоцианатом с образованием полиуретана. Подходящие диолы включают диолы, в которых n=1-100 повторяющихся звеньев, необязательно замещенные по по крайней мере одним из силиконов сополимерными звеньями, имеющими по крайней мере одну из метильных, этильных, пропильных, изопропильных или арильных (например, фенильных) групп. Подходящие диизоцианаты включают: (а) С1-С15 неразветвленные или разветвленные алифатические группы, необязательно замещенные по крайней мере одним членом группы, состоящей из С1-С15 алкила и С5-С10 арила; (b) C5-C10 циклические алифатические и ароматические группы, необязательно замещенные по крайней мере одним членом группы, состоящей из С1-С15 алкила и C5-C10 арила. Примеры конкретных диизоцианатов включают гексаметилендиизоцианат, толуолдиизоцианат и изофорондиизоцианат. Гребнеобразно разветвленные варианты, содержащие гидроксильные группы, также могут быть использованы в качестве реагентов и подвергнуты взаимодействию с моноизоцианатом, таким как фенилизоцианат. В соответствии с другим вариантом осуществления настоящего изобретения, который дает полимочевины, силоксандиамин может быть подвергнут взаимодействию с диизоцианатом (например, гексаметилендиизоцианатом, толуолдиизоцианатом или изофорондиизоцианатом) с образованием полиуретана. Гребнеобразно разветвленные варианты, содержащие аминогруппы, также могут быть использованы в качестве реагентов и подвергнуты взаимодействию с моноизоцианатом, таким как фенилизоцианат. В соответствии с еще одним вариантом осуществления настоящего изобретения, который дает полиамиды, полимер является сополимером, образованным из мономеров или олигомеров, включая силоксановый олигомер, таким как сополимер, образованный путем осуществления взаимодействия олигосилоксандиамина с димерной кислотой. Полиамидные гелеобразователи, пригодные для использования в настоящем изобретении, могут также быть образованы путем: (1) силиламидирования или силилэтерификации полиамидов на основе димера (например, осуществления взаимодействия свободных кислотных крайних центров на исходном полиамиде с олигосилоксанами, содержащими каждый по крайней мере одну аминогруппу, или с олигосилоксановыми спиртами или диолами); (2) замещения олигосилоксандиамина на диамин в исходном полиамиде (переамидирования при повышенных температурах, таких как по крайней мере 150oС, а более конкретно по крайней мере 200oС); (3) прививки боковых олигосилоксановых групп на исходном полиамиде; или получены традиционными методами, некоторые из которых описаны ниже. Соединения согласно изобретению проявляют желаемые свойства с точки зрения их совместимости с соединениями, содержащими силоксановые звенья, такими как циклометикон. В этом состоит различие с недавно выданным данным заявителем патентом США 5500209, в котором раскрыто применение полиамидов в качестве гелеобразователей. Например, в случае амидного загустителя по настоящему изобретению такой амидный загуститель улучшает совместимость силиконовой жидкости, такой как циклометикон и/или диметикон, в композиции, благодаря чему в композицию может быть введено увеличенное количество силиконовой жидкости без вредного влияния на другие свойства (например, прозрачность) композиции. Например, композиция может содержать более 50% (по массе) силиконового масла. Кроме того, путем введения в композицию повышенных количеств силиконовой жидкости можно уменьшить липкость и клейкость. И еще, многие из амидных загущающих агентов (а также другие описанные здесь агенты, такие как полиуретановые и поликарбамидные агенты), имеющих кремнийсодержащие фрагменты, как таковые описанные ниже, дают гель, менее липкий или клейкий, чем, например, многие полиамидные загустители, описанные в вышеуказанном патенте США 5500209, даже без увеличения количества силиконового масла. Косметические композиции согласно изобретению могут также содержать поверхностно-активные вещества и/или растворители для косметически активного вещества. Например, когда композиция представляет собой антиперспирационную композицию, содержащую антиперспирационное активное вещество, это активное вещество может быть введено в композицию в виде раствора, например, в воде, этаноле и/или пропиленгликоле, несмешивающегося с силиконовой жидкостью, причем композиция может также содержать поверхностно-активные вещества для диспергирования раствора антиперспирационного активного вещества в композиции. Когда композиция согласно изобретению представляет собой дезодорирующую композицию, она может содержать традиционные ароматизаторы и/или антибактериальные (противомикробные) средства в качестве активных веществ дезодоранта. Композиции основ и косметические композиции по настоящему изобретению могут быть легко изготовлены способами, известными специалистам в данной области, например с использованием известных методов смешивания. Например, силиконовые жидкости и силоксансодержащие полимеры могут быть смешаны при повышенных температурах, чтобы растворить полимер в силиконовых жидкостях, с косметически активными компонентами, добавляемыми к смеси силиконовых жидкостей и полимера. При охлаждении смеси полимер образует из раствора гель с образованием целевого продукта. Композиции основ по настоящему изобретению являются термически обратимыми гелями, то есть они образуют гели при охлаждении и сжижаются при нагревании. Когда изделие имеет вид карандаша, расплавленный при повышенных температурах продукт может быть вылит в контейнеры, где ему дают остыть и затвердеть. Когда изделие имеет твердо-мягкую форму или форму крема, продукт может быть упакован в традиционные контейнеры, снабженные, как это обычно делают в данной области, прорезями в их верхней поверхности. Композиции согласно изобретению могут быть использованы потребителем как обычно в виде карандашей, гелей и кремов. Например, когда композиции по настоящему изобретению представляют собой дезодорирующую или антиперспирационную композицию, содержащую дезодорирующие и/или антиперспирационные активные вещества, они могут быть втерты в кожу (например, в подмышечных областях тела человека) для нанесения на кожу активного вещества с целью уменьшения неприятного запаха от тела и/или уменьшения выделения пота, например, из подмышечных областей. Когда косметическая композиция согласно изобретению изготовлена в форме карандаша, она может быть нанесена путем выдвижения карандаша из упаковки для обнажения конца карандаша и затем трения концом карандаша по коже для нанесения материала карандаша (содержащего косметически активное вещество) на кожу. Когда композиция по настоящему изобретению изготовлена в форме геля, упакованного в контейнер, имеющий верхнюю поверхность с прорезями или порами, гель выдавливают из контейнера через прорези или поры и наносят на кожу путем растирания геля, выдавленного через верхнюю поверхность контейнера, по коже. Таким образом, в соответствии с настоящим изобретением косметическая композиция может быть получена с использованием в качестве загустителя полимерного гелеобразователя, содержащего силоксановые звенья и группы, способные к образованию водородных связей, для обеспечения повышенной совместимости с силиконовой жидкостью (чтобы можно было использовать в композиции больше силиконовой жидкости) при сохранении при этом возможности образования геля из раствора в силиконовой жидкости. Используя этот полимер в качестве загустителя в композициях, содержащих силиконовые жидкости, можно получить кремы, гели и карандаши и мягкие (и пористые) или плотные (и твердые) композиции, композиции, в зависимости от концентрации загустителя (включающего полимер, содержащий силоксановые звенья и группы, способные к образованию водородных связей), введенного в композицию. Кроме того, в зависимости от введенных косметически активных веществ могут быть получены различные косметические композиции, а также могут быть получены светлые (например, прозрачные) косметические композиции. В частности, используя настоящее изобретение, можно получить дезодорирующие и/или антиперспирационные композиции в форме кремов (включающих твердо-мягкие и полутвердые формы), гелей и карандашей, которые имеют высокую эффективность и привлекательный внешний вид (например, которые могут быть прозрачными или по крайней мере полупрозрачными) и по существу не оставляют видимого (белого) остатка ни при нанесении, ни после высыхания. Краткое описание чертежей На фиг 1-5 схематически показаны полимерные гелеобразователи, которые могут быть введены в качестве загустителей в композиции согласно изобретению и которые имеют силоксановые звенья в основной цепи и группы, способные к образованию водородных связей, соответственно в пяти разных местах полимера. Силоксановые звенья могут быть иллюстративно представлены как часть основной цепи полимера (например, полимера, являющегося силоксановым полимером). Группы, способные к образованию водородных связей, могут быть представлены как часть основной цепи, например, полимера, содержащего силоксановые звенья в основной цепи, на концах основной цепи (концевые обрывы основной цепи) или на боковых цепях, отходящих от основной цепи. Различные структуры силоксанового полимера схематически показаны на фиг. 1-5. На этих фигурах числа х, у и n звеньев являются переменными и могут иметь значения (которые фактически являются средними значениями) в диапазоне: х=1-500, более предпочтительно 1-100 и наиболее предпочтительно 1-50; у=0-500, более предпочтительно 0-100 и наиболее предпочтительно 0-50; n=1-500, более предпочтительно 1-300 и наиболее предпочтительно 1-100. На этих фигурах позиция 1 представляет силоксансодержащую основную цепь, а позиция 2 – группу, образующую водородную связь. На фиг.1 группа, образующая водородную связь, предусмотрена на концах основной цепи. На фиг.2 основная цепь 1 заканчивается четырьмя концевыми группами 2, образующими водородные связи (четыре группы, образующие водородные связи, предусмотрены на концах основной цепи, то есть имеется две группы, образующих водородные связи, на каждом конце цепи, что дает четыре группы, образующих водородные связи, на молекулу). На фиг.2А основная цепь заканчивается четырьмя отдельными группами, по две на каждом конце. На фиг.3 группы 2, образующие водородные связи, предусмотрены в основной цепи 1 как часть повторяющегося звена. На фиг. 4 и 5 группы 2, образующие водородные связи, предусмотрены на боковых цепях, отходящих от основной цепи 1. На фиг. 4 и 5 соответственно показаны структуры с одной и с двумя группами, образующими водородные связи, на каждом ответвлении. На фигурах n, x и у являются переменными числами, но каждое из n и х не может иметь значение, равное нулю. Конкретные значения для каждого из чисел n, х и у выбирают так, чтобы удовлетворить ограничения, предъявляемые к полимерам, используемым в качестве гелеобразователей. Подробное описание изобретения В соответствии с описанием настоящее изобретение включает композицию основы, состоящую из по крайней мере одной силиконовой жидкости и по крайней мере одного гелеобразователя (также называемого загустителем), выбранного из группы соединений, содержащей силоксановые группы и группы, способные к образованию водородных связей. Если общее количество силиконовой жидкости и гелеобразователя не равно 100% по массе, то добавляют еще и растворитель. Затем могут быть получены косметические композиции путем смешивания композиции основы с одним или несколькими дополнительными растворителями, активными компонентами, одним или несколькими носителями, обеспечивающими возможность более легкого (или с более желаемыми свойствами) смешения активного компонента с композицией основы, и другими компонентами, используемыми в данной области для изготовления косметически приемлемых изделий, которые включают ароматизаторы, красители, наполнители, мягчители и антибактериальные вещества. В композиции основы гелеобразователь может быть использован в количестве 1-60% по массе, более предпочтительно 5-30% по массе и наиболее предпочтительно 1-20% по массе. Является предпочтительным, чтобы гелеобразователь не превышал 50% (по массе) композиции основы. Доля силиконовых жидкостей находится в диапазоне 0,5-95% по массе, более предпочтительно 10-80% по массе, еще более предпочтительно 20-75% по массе и наиболее предпочтительно 30-70% по массе. Для образования композиции основы можно, хотя и не обязательно, добавлять дополнительный растворитель или смеси растворителей. Подходящими дополнительными растворителями являются те, которые либо сами по себе, либо в смесях с другими растворителями способны смешиваться с первоначально выбранной силиконовой жидкостью (например, С14-С20 жирные спирты, изопропилмиристат, адипатпальмитат и изостеарат). При использовании композиций основ и косметических композиций согласно изобретению количество силиконовых жидкостей, которое может быть введено в гель, превышает количество, которое может быть введено в традиционные композиции. Возможно, гелеобразователь может быть блокирован по концам. Концевое блокирование может быть осуществлено с применением агента, выбранного из группы, состоящей из С1-С20 алифатических одноатомных спиртов, С1-С6 алифатических аминов, фениламина, необязательно замещенного 1-3 членами, выбранными из С1-С6 алифатических углеводородов, С1-С20 алифатических кислот и хлоридов С1-С20 алифатических кислот. Композицию основы затем смешивают с другими компонентами, перечисленными выше и в результате может быть получена конечная косметическая композиция. Такие дополнительные компоненты можно использовать в количествах 0,5-85%, более предпочтительно 1-75% и еще более предпочтительно 2-55%, где проценты взяты по массе от массы композиции основы, принятой за 100%. Нижние пределы процентного содержания охватывают составы, в которых используют только ароматизаторы, а верхние пределы охватывают составы, включающие активные антиперспирационные компоненты. Сами антиперспирационные активные компоненты (исключая какой-либо носитель для введения активного вещества в состав) могут быть представлены в конечном составе косметической композиции в количестве 5-25%. Хотя силоксановые звенья уже были определены выше, более предпочтительно R1 и R2 представляют метил, этил и фенил, а еще более предпочтительно R1 и R2 представляют метил. Различные группы, способные к образованию водородных связей, уже были описаны выше, но более предпочтительно такие группы включают мочевину, уретан и амид, более предпочтительной группой является мочевина. Особенно предпочтительным полимером является тот, который содержит более чем одну функциональную группу мочевины, полученные, например, с использованием силоксандиаминов, в которых n=10-300. Предпочтительным полимером является полимер, полученный с использованием силоксандиамина, в котором n=30, и гексаметилендиизоцианата, такой как описанный в примере 1 синтеза и использованный в примере 1 состава. Хотя различные силиконовые жидкости уже описаны выше, но предпочтительные силиконовые жидкости, полезные в настоящем изобретении, включают циклометикон, диметикон и фенилдиметикон. Настоящее изобретение представлено в основном в связи с антиперспирационными и/или дезодорирующими композициями в форме гелей или карандашей, включая прозрачные гелевидные или карандашевидные антиперспирационные или дезодорирующие композиции. Однако настоящее изобретение не ограничивается композициями в форме гелей или карандашей или антиперспирационными или дезодорирующими композициями. Например, композиция согласно изобретению может представлять собой солнцезащитную композицию. Таким образом, в зависимости от косметически активных компонентов, введенных в композицию, композиция может быть любой из самых разнообразных косметических композиций. Различные косметически активные вещества, вводимые в косметические композиции, раскрыты в патенте США 4322400 (Yuhas). По всему данному описанию речь идет о “антиперспирационных активных” и “дезодорирующих активных” веществах. Оба типа веществ способствуют уменьшению неприятного запаха от тела, например, неприятного запаха из-под мышек. Под уменьшением неприятного запаха от тела подразумевается, что обычно после нанесения на кожу человека композиции неприятный запах от тела становится меньше по сравнению с неприятным запахом без нанесения композиции. Такое уменьшение может быть обусловлено маскировкой неприятного запаха, поглощением и/или химической реакцией неприятно пахнущего вещества, уменьшением количества бактерий, производящих неприятно пахнущие вещества, например, в результате потовыделения, уменьшением потовыделения и т.д. Антиперспирационные активные вещества при использовании в соответствующих количествах в основном уменьшают неприятный запах путем уменьшения потовыделения, но они могут также иметь дезодорантную функцию, например, могут служить в качестве противомикробного или бактериостатического (задерживающего размножение микробов) средства. Дезодорирующие активные вещества по существу не уменьшают потовыделение, но уменьшают неприятный запах другими путями, например, как ароматизаторы, маскирующие неприятный запах или снижающие интенсивность неприятного запаха, как противомикробные (бактериостатические) средства, как средства, химически взаимодействующие с неприятно пахнущим веществом. Согласно описанию изобретения всякая описанная композиция согласно изобретению может состоять в основном или полностью из указанных компонентов или веществ и всякий описанный способ согласно изобретению может состоять в основном или полностью из перечисленных стадий. Желательный признак согласно изобретению состоит в том, что может быть получена прозрачная косметическая композиция (например, прозрачная дезодорирующая или антиперспирационная композиция). Подразумевается, что значение термина прозрачный (то есть прозрачность) при использовании в настоящем изобретении соответствует его обычному словарному определению; так, прозрачная, например, антиперспирационная композиция по настоящему изобретению в форме геля или карандаша позволяет легко видеть предметы позади нее. Наоборот, полупрозрачная композиция, хотя и позволяет свету проходить сквозь нее, но заставляет свет рассеиваться, в результате чего ясно видеть предметы позади полупрозрачной композиции невозможно. Непрозрачная композиция не позволяет свету проходить сквозь нее. В контексте настоящего изобретения гель или карандаш считается прозрачным, если максимальный коэффициент пропускания света любой длины волны в диапазоне 400-800 нм через образец толщиною 1 см составляет по крайней мере 35%, предпочтительно по крайней мере 50%. Гель или карандаш считается полупрозрачным, если максимальный коэффициент пропускания такого света через образец находится между 2% и менее чем 35%. Гель или карандаш считается непрозрачным, если максимальный коэффициент пропускания света менее 2%. Коэффициент пропускания может быть измерен путем помещения образца вышеуказанной толщины на пути светового луча в спектрофотометре с рабочим диапазоном, включающим видимый спектр, таком как спектрофотометр Bausch & Lomb Spectronic 88. (см. публикацию заявки 291334А2 заявки на европейский патент). Таким образом, согласно изобретению существуют различия между прозрачными, полупрозрачными и непрозрачными композициями. В конкретном варианте осуществления настоящего изобретения полиуретан, поликарбамид, поликарбамид-уретан или полиамид используют для получения твердой композиции по настоящему изобретению, которая представляет собой прозрачный или по крайней мере полупрозрачный гель или карандаш (например, антиперспирационную композицию в форме геля или карандаша). Указанным полимерным гелеобразователем, например, может быть силоксановый полимер (силоксановые звенья в основой цепи), содержащий группы, способные к образованию водородных связей. Загуститель может состоять из этого полимера (или смеси таких полимеров) или может содержать этот полимер в смеси с другими загустителями (включая традиционные гелеобразователи). Силоксановые звенья обеспечивают совместимость с силиконовыми жидкостями. Группы, способные к образованию водородных связей (которые являются полярными группами), используют для образования поперечных связей с тем, чтобы образовать гель. Настоящее изобретение также предполагает введение косметически активного компонента (такого, как ароматизатор, антиперспирационное активное вещество, солнцезащитное вещество и т.д.) в композицию основы для получения косметической композиции. В одном конкретном варианте осуществления настоящего изобретения композиция основы представляет собой гель полимера, образованный из раствора гелеобразователя (содержащего силоксановые звенья и группы, способные к образованию водородных связей) и силиконовой жидкости, и является прозрачной. Кроме того, косметические композиции согласно изобретению, имеющие активное вещество, введенное в композицию основы, также могут быть изготовлены прозрачными, например, путем согласования показателей преломления дополнительных компонентов с композицией основы. Загуститель должен быть введен в косметическую композицию в количестве, достаточном для образования композиции требуемой твердости (например, крем или твердо-мягкая форма, гель или карандаш). Композиция основы или косметическая композиция согласно изобретению может быть мягкой (и пористой) или твердой (и плотной), в зависимости от количества загустителя, введенного в композицию. Таким образом, в зависимости от количества загустителя (например, полимера, содержащего силоксановые звенья и группы, способные к образованию водородных связей), введенного в композицию, композиция может быть в форме крема (например, полутвердого или твердо-мягкого) или геля и может даже быть изготовлена в виде карандаша. Композиции согласно изобретению являются термообратимыми гелями, то есть гели образуют путем охлаждения раствора полимера в силиконовых жидкостях, но гель можно разрушить (опять превратить в жидкость) путем его нагревания. Гели по настоящему изобретению включают силиконовые текучие среды (например, силиконовые жидкости). Эти жидкости могут быть летучими или нелетучими и включают (иллюстративно, а не ограничительно) фенилтриметикон, циклометиконы и/или диметиконы. Предпочтительно силиконовая жидкость включает циклометиконы. Использованный циклометикон (а именно размер кольца циклометикона) влияет на твердость образованных гелей. То есть циклометикон с пятичленным кольцом (а именно D5, использованный в жидкости Доу Корнинг 245) дает более мягкий гель, чем получаемый с использованием циклометикона D6 (жидкость Доу Корнинг 246). С увеличением размера кольца циклометикона повышается твердость образованной гельсистемы. Как описано выше, конкретные примеры подходящих циклометиконов включают те циклометиконы, которые имеют кольца с 4-6 членами. Когда композиция содержит антиперспирационные активное вещество, может быть использовано любое из известных антиперспирационных активных веществ. Они включают (в качестве примера, а не ограничения) хлоргидрат алюминия, хлорид алюминия, сесквихлоргидрат алюминия, цирконилгидроксихлорид, алюминиевоциркониевый глициновый комплекс (например, алюминийцирконийтрихлоргидрекс гли, алюминийцирконийпентахлоргидрекс гли, алюминийцирконийтетрахлоргидрекс гли и алюминийцирконийоктохлоргидрекс гли), алюминийхлоргидрекс PG (пропиленгликоль), алюминийхлоргидрекс PEG (полиэтиленгликоль), алюминийдихлоргидрекс PG и алюминийдихлоргидрекс TEG. Алюминийсодержащие вещества могут быть обычно названы как антиперспирационные активные соли алюминия. Как правило, вышеупомянутые металлические антиперспирационные активные вещества являются антиперспирационными активными солями металлов. В вариантах, которые представляют собой антиперспирационные композиции по настоящему изобретению, такие композиции не обязательно должны включать алюминийсодержащие металлические соли и могут содержать другие антиперспирационные активные вещества, включающие другие антиперспирационные активные соли металлов. Обычно могут быть использованы активные антиперспирационные компоненты категории I, перечисленные в Food and Drug Administration’s Monograph о антиперспирационных лекарственных средствах для нелимитируемого применения человеком. Кроме того, любое новое лекарственное средство, не перечисленное в монографии, такое как нитратогидрат алюминия и его сочетания с цирконийгидроксихлоридами и нитридами или хлоргидраты алюминий-олова (II), может быть введено в качестве антиперспирационного активного компонента в антиперспирационные композиции по настоящему изобретению. Антиперспирационные активные вещества могут быть введены в композиции по настоящему изобретению в количествах в интервале 0,1-30%, предпочтительно 15-25% (по массе) от общей массы композиции. Используемое количество зависит от состава композиции. Например, при количествах на нижнем пределе более широкого интервала (например, 0,1-10%) антиперспирационное активное вещество существенно не уменьшает потоотделения, но ослабляет неприятный залах, например, действуя как противомикробное вещество. Когда в композицию, согласно изобретению, вводят дезодорирующие активные вещества для получения дезодорирующих композиций, могут быть введены в качестве дезодорирующих активных веществ традиционные дезодорирующие ароматизаторы и/или противомикробные средства. Ароматизатор может быть введен, например, в количестве 0,5%-3,0% (по массе) от общей массы композиции, а противомикробное или бактериостатическое вещество, такое как Триклозан (Triclosan), может быть введено, к примеру, в количестве от 0,1% до примерно 0,5% (по массе) от общей массы композиции. Композиции согласно изобретению могут включать другие, традиционно вводимые в косметические композиции компоненты, включающие (но не ограничиваемые ими) отдушки, косметические пудры, красители, эмульгаторы и т.д. В отношении различных других компонентов, которые могут быть введены, следует обратить внимание на необязательные компоненты, такие как красители, отдушки и наполнители, описанные в патентах США; 5019375 (Tanner, et al), 5102656 (Kasat), 4 937069(Shin). В композиции согласно изобретению могут быть также введены инертные наполнители, такие как кукурузный крахмал, оксид алюминия и карбонат кальция. Однако при использовании этих инертных наполнителей, а также других необязательных компонентов, когда требуется прозрачная композиция, необязательные компоненты не должны очень уж неблагоприятно влиять на прозрачность. Когда композиция представляет собой антиперспирационную композицию, она может также содержать растворитель для антиперспирационного активного вещества. Этим растворителем, не смешивающимся с силиконовой жидкостью, может, например, быть вода, этанол, пропиленгликоль и/или дипропиленгликоль. В случае использования антиперспирационного активного вещества в виде раствора в растворителе может быть необходимым согласование показателей преломления антиперспирационного активного раствора с показателем преломления масляной части композиции для получения прозрачной композиции. Когда антиперспирационное активное вещество суспендируют в композиции основы в виде частиц, также может быть необходимым согласование показателей преломления активного вещества и композиции основы для получения прозрачной композиции. Такое согласование показателей преломления является известным в данной области методом и показано в РСТ (международная заявка) публикации WO/05767. Растворитель для антиперспирационного активного материала может быть введен в композицию в количестве в интервале 0-75%, предпочтительно 0-25% (по массе) от общей массы композиции. Растворитель для загустителя вводят в композицию в количестве, достаточном для обеспечения возможности растворения загустителя в нем и образования геля из него, он включает силиконовую жидкость (например, силиконовое масло, такое как циклометикон и/или диметикон). Таким образом, загуститель может быть растворен в растворителе и из раствора может быть образован гель, например, при охлаждении композиции во время ее изготовления. Растворитель не ограничивается лишь теми веществами, которые содержат силиконовую жидкость, и может содержать другие растворители для загустителя, лишь бы эти растворители были совместимы, например, с активным косметическим веществом и не оказывали вредного влияния, например, на прозрачность композиции, в частности, когда нужно получить прозрачную косметическую композицию. Например, как указано в международном словаре косметических компонентов CTFA International Cosmetic Ingredient Dictionary (4-ое изд., 1991), дополнительным растворителем, введенным в композицию, может быть С12-15 алкиллактат (который является сложным эфиром молочной кислоты и С12-15 спиртов); один такой С12-15 алкиллактат продает Van Dyk & Co., Inc. под маркой “Geraphyl 41”. В композициях согласно изобретению могут быть использованы растворители для полиамидного гелеобразователя, раскрытого в патенте США 5500209. Неограничивающие примеры растворителей могут включать сложные эфиры (например, описанный выше С12-15 алкиллактат Ceraphyl 41), силиконовые жидкости (например, циклометикон, диметикон), гебет (guerbet)-спирты, имеющие 8-30 углеродных атомов, предпочтительно 12-22 углеродных атома (например, изолауриловый спирт, изоцетиловый спирт, изостеариловый спирт), жирные спирты (например, стеариловый спирт, миристиловый спирт, олеиловый спирт), этанол и этоксилированные спирты (например, полиэтиленгликолевый эфир лаурилового спирта, соответствующий формуле СН3(СН2)10СН2 (ОСН2СН2)nОН, где n имеет среднее значение 4 (также называемый как лаурэф (laureth)-4)). Другие иллюстративные растворители включают: (a) PPG-14 бутиловый эфир, где часть “PPG-14” является полимером пропиленоксида, который обычно соответствует формуле Н(ОСН2С(СН3)Н)nОН, где n имеет среднее значение 14; (b) изопропилмиристат; (c) пропионат PPG-2 миристилового эфира, который представляет собой сложный эфир пропионовой кислоты и полипропиленгликолевого эфира миристилового спирта и соответствует формуле СН3(СН2)12СН2(ОСН(СН3)СН2)2O-С(O)СН2СН3; и (d) PPG-13 миристиловый эфир, который представляет собой полипропиленгликолевый эфир миристилового спирта, соответствующий формуле СН3(СН2)12CH2(ОСН(СН3)СН2)nОН, где n имеет среднее значение 13. Могут быть также использованы смеси растворителей. Разумеется, гелеобразователь должен быть растворимым в растворительной системе, по крайней мере при повышенных температурах, как описано в патенте США 5500209. Композиции согласно изобретению желательно включают смешивающиеся с силиконом мягчители. Иллюстративные мягчители, которые не ограничивают настоящее изобретение, включают гебет-спирты (такие, как изоцетиловый или изостеариловый спирт); сложные эфиры (такие, как изопропилпальмитат, изопропилизостеарат, октилстеарат, гексиллаурат и изостеариллактат); жидкие смеси углеводородов, которые представляют собой жидкости при температурах окружающей среды (такие, как нефтяные дистилляты и легкие минеральные масла), и этанол. Смешивающиеся с силиконами растворители (также называемые мягчителями) могут быть введены в композиции по настоящему изобретению в количествах в интервале 0-70%, предпочтительно 0-25% (по массе) от общей массы композиции. Когда в качестве композиции согласно изобретению используют многофазнеую систему, композиция предпочтительно содержит поверхностно-активное вещество или смесь поверхностно-активных веществ. Примеры поверхностно-активных веществ включают алканоламиды (такие, как N-алкилпирролидон), этоксилированные амиды (например, полиэтиленгликолевый амид кислоты из твердого животного жира, который в общем соответствует формуле RC(O)-NH-(CH2CH2O)nH, где RCO – представляет жирные кислоты, полученные из твердого животного жира, и n имеет среднее значение 50 (также называемый как PEG-50 талловый амид)), аминооксиды (например, кокамидопропиламинооксид), этоксилированные карбоновые кислоты (например, полиэтиленгликолевый диэфир лауриновой кислоты, который в общем соответствует формуле СН3(СН3)10С(O)-(ОСН2СН2)nО-С(O)(CH2)10СН3, где n имеет среднее значение 8 (также называемый как PEG-8 дилаурат), этоксилированные глицериды (например, полиэтиленгликолевое производное касторового масла со средним количеством этиленоксида 4 моль (также называемое как PEG-4 касторовое масло)), сложные гликолевые эфиры (например, пропиленгликолевый рицинолеат), моноглицериды (например, глицеролмиристат), сложные полиглицериловые эфиры (например, полиглицерил-4 олеиловый эфир), сложные и простые эфиры многоатомных спиртов (например, сахарозодистеарат), сорбитан/сложные сорбитановые эфиры (например, сорбитансесквиизостеарат), сложные триэфиры фосфорной кислоты (например, триолэф-8 фосфат (вещество, которое представляет собой преимущественно сложный триэфир фосфорной кислоты и этоксилированного олеилового спирта со средним количеством этиленоксида 8 моль)), этоксилированные спирты (например, лаурэф-4), этоксилированный ланолин (например, полиэтиленгликолевое производное ланолина со средним количеством этиленоксида 20 моль (также называемое как PEG-20 ланолин)), этоксилированные полисилоксаны (например, диметиконсополиол), пропоксилированные простые полиоксиэтиленовые эфиры (например, полиоксипропилен, полиоксиэтиленовый эфир цетилового спирта, который в общем соответствует формуле СН3(СН2)14(СН2(ОСН(СН3)СН2)х(ОСН2СН2)уОН, где х имеет среднее значение 5 и у имеет среднее значение 20 (также называемый как PPG-5 цетэф-20)) и алкилполигликозиды (например, лауилглюкоза). Поверхностно-активное вещество (или смесь поверхностно-активных веществ) включает неионные соединения и может также включать их смеси с катионными (например, полиэтиленгликолевый амин кислоты твердого животного жира, в общем соответствующий формуле R-NH-(CH2CH20)nН (также называемый как PEG-15 талловый амин)) или анионными (например, лауроиллаурат натрия, который представляет собой натриевую соль сложного эфира лауриновой кислоты) поверхностно-активными веществами. Поверхностно-активное вещество или смесь поверхностно-активных веществ, введенное(ая) в композиции по настоящему изобретению, может, например, быть введено(а) в количествах 0-15%, предпочтительно 0-4% (по массе) от общей массы композиции. Как было указано ранее, композиции по настоящему изобретению могут представлять собой кремы (полутвердые или твердо-мягкие формы), гели или карандаши, в зависимости от количества загустителя, введенного в композицию. Трудно сделать количественное различие между косметическим “гелем” и косметическим “карандашом”. Как правило, гель более вязок, чем жидкость или паста, которая не способна сохранить свою форму, однако он не так тверд, как карандаш. Понятно, что обычно гели представляют собой мягкие деформируемые продукты, а карандаши являются свободностоящими твердыми телами. В области косметики системы классифицируют как гели или карандаши только в зависимости от их вязкости или твердости и понятно, что обычно гели представляют собой мягкие деформируемые продукты, а карандаши являются строго свободностоящими твердыми телами. Например, путем реологического анализа было определено, что коммерческий дезодорирующий карандаш имеет динамический модуль упругости на прямолинейном участке кривой G ( ) (приблизительно 105 Па и комплексную вязкость 106 Па секунду (и то, и другое при угловой частоте 0,1 рад-сек). С другой стороны, было определено, что коммерческий антиперспирационный гель имеет значение G ( ), равное приблизительно 103 Па и комплексную вязкость 104 Па сек (при 0,1 рад-сек).
Косметические композиции согласно изобретению содержат и загуститель, и растворитель для загустителя (в данной заявке загуститель и растворитель для загустителя являются носителем для активного косметического вещества и потому были названы носителем).
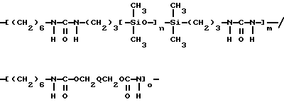
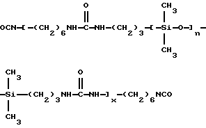
Полимерные гелеобразователи, используемые согласно изобретению, могут быть определены с точки зрения методов получения этих полимеров. Например, одна конкретная группа полимерных гелеобразователей включает силоксановые сополимеры, в которых силоксандиамин подвергают взаимодействию с дикарбоновой кислотой и/или производным дикарбоновой кислоты (общее название – дикарбоновые кислоты), диизоцианатом или диизотиоцианатом с получением сополимера с амидными группами, сополимера с карбамидными группами и сополимера с тикарбамидными группами соответственно. Вторая группа полимерных гелеобразователей, которые могут быть введены в композиции по настоящему изобретению, включает силоксановые полимеры, в которых силоксандикарбоновую кислоту и/или производное силоксандикарбоновой кислоты подвергают взаимодействию с диолом или диамином с получением сополимеров со сложноэфирными или амидными группами соответственно. Сополимеры со сложноэфирными группами должны быть использованы с другими сополимерами, имеющими, например, карбамидные или амидные группы, или сополимеры со сложноэфирными группами также должны иметь, например, карбамидные или амидные группы, чтобы обеспечить, как было описано ранее, образование водородных связей. Третьей группой илллюстративных сополимеров являются те сополимеры, в которых силоксандиол подвергают взаимодействию с диизоцианатом с получением полиуретана.
Полимер может иметь образующие водородные связи группы, обрывающие концевые части основных цепей. Например, бифункционально и тетрафункционально оборванные силоксановые полимеры могут быть подвергнуты реакции с образованием силоксановых полимеров с двумя и с четырьмя оборванными группами, образующими водородные связи.
Полимер по настоящему изобретению, содержащий силоксановые звенья и группы, образующие водородные связи, может также представлять собой силоксановый полимер, образованный путем осуществления взаимодействия силоксановых полимеров с гребнеобразным разветвлением, имеющих боковые аминогруппы (например, аминогруппы на боковой цепи), с кислотой, изоцианатом и/или изотиоцианатом для образования полимеров с амидными, карбамидными и/или тиокарбамидными группами. Таким образом, эти силоксановые полимеры с гребнеобразным разветвлением подвергают взаимодействию с монофункциональными соединениями, например моноизоцианатами, с получением полимеров, содержащих силоксановые звенья и группы, образующие водородные связи, и действующих как загустители в композициях по настоящему изобретению. Гребнеобразно разветвленные силоксановые полимеры могут иметь одну аминогруппу на ответвление (например, аминопропильные ответвления) или же могут иметь диаминовые ответвления (например, аминоэтиламинопропильные или аминоэтиламиноизобутильные ответвления) или могут содержать смесь аминовых и диаминовых ответвлений. Иллюстративный силоксановый полимер с диаминовыми ответвлениями представляет собой аминофункциональный силиконовый полимер, такой как жидкость Доу Корнинг Q2-8220 (триметилсилиламодиметикон), которая является силиконовым полимером, в общем соответствующая формулеCH3Si(CH3)2O[Si(CH3)2O]x[Si(CH3)(СН2СН(СН3)СН2NНСН2СН2NН2] уSi(CH3)2CH3 где х и у являются собственностью ф. Доу Корнинг. Как у всех силоксановых полимеров, которые могут быть введены в композиции по настоящему изобретению, длину основной цепи (то есть число силоксановых звеньев) можно изменять для оптимизации свойств гелеобразователя и, кроме того, при использовании гребнеобразно разветвленных силоксановых полимеров можно для оптимизации свойств гелеобразователя изменять густоту ответвлений. Следующие ниже структуры (А) и (В) представляют иллюстративные гребнеобразно разветвленные силоксаны, соответственно имеющие аминовые и диаминовые ответвления: ![]() y=57; x=3 ![]() y=56: x=4 где знак “/” указывает, что сегменты могут иметь разную длину и могут быть расположены в случайном порядке, и где R представляет неразветвленную алифатическую группу, предпочтительно имеющую 1-6 углеродных атомов, а более предпочтительно 1-3 углеродных атома. Полимер, содержащий силоксановые звенья и группы, способные к образованию водородных связей, может, например, быть получен взаимодействием силооксанового полимера, содержащего по крайней мере три аминогруппы на молекулу полимера, с соединением, имеющим одну монофункциональную группу, причем соответственные монофункциональные группы (например, кислота, изоционат или изотиоцианат) взаимодействуют с одной из аминогрупп с образованием групп, способных к образованию водородных связей. Аминогруппы могут находиться на боковых цепях, отходящих от основной цепи силоксанового полимера, при этом группы, способные к образованию водородных связей, образуются на этих боковых цепях, или аминогруппы могут находиться на концах основной цепи, при этом группы, способные к образованию водородных связей, являются концевыми группами полимера (например, когда на реагирующем полимере имеется четыре аминогруппы, по две на каждом конце, полимерный продукт, имеющий группы, образующие водородные связи, является полимером с четырьмя концевыми группами). В соответствии с конкретным способом получения полимера, содержащего силоксановые звенья и группы, способные к образованию водородных связей, и затем получения композиции по настоящему изобретению полимер может быть получен взаимодействием, например, силоксандиамина и диизоцианата в силиконовом растворителе с непосредственным получением геля. То есть взаимодействие компонентов с образованием полимеров или сополимеров, содержащих силоксановые звенья и группы, способные к образованию водородных связей, может быть осуществлено в силиконовой жидкости, причем продукт получают при повышенных температурах растворенным в силиконовой жидкости, после чего температуру системы понижают для образования геля. Предпочтительными полимерами для введения в композиции согласно изобретению являются сополимеры силоксана и мочевины (карбамида), которые являтся линейными и содержат карбамидные группы в качестве групп, образующих водородные связи в основной цепи полимера. Иллюстративный полисилоксан, заканчивающийся четырьмя карбамидными группами (полисилоксан с четырьмя концевыми группами), представлен следующей формулой (I) и является продуктом реакции силоксанового полимера с фенилизоцианатом, как показано на схеме I реакции (см. в конце описания). Полимер с четырьмя концевыми группами оптически прозрачен и растворим в хлороформе, тетрагидрофуране и ацетоне. Он вспучивает силиконовые жидкости, такие как циклометикон (жидкость Доу Корнинг 345) и диметикон (жидкость Доу Корнинг 200). Циклометикон может быть превращен в гель при комнатной температуре полимером формулы I, когда массовый процент полимера составляет приблизительно 50% общей массы композиции. Конечный гель имеет температуру плавления около 25oС и является изотропным, прозрачным и бесцветным. Следует отметить, что блокирование концевых групп полимеров формулы I может также быть осуществлено с использованием агента, выбранного из группы, состоящей из С1-С20 алифатических одноатомных спиртов, С1-С6 алифатических аминов, фениламина, необязательно замещенного 1-3 членами, выбранными из С1-С6 алифатических углеводородов, С1-С20 алифатических кислот и хлоридов С1-С20 алифатических кислот. В другой иллюстрации такой сополимеризации используют олигосилоксан, который заканчивается на обоих концах аминопропильными группами. Такой олигосилоксан называют силоксандиамином, диаминосилоксановым олигомером или , -бис(аминопропил)олигодиметилсилоксаном. Такие олигомеры имеют следующую структуру, обозначенную как формула III:H2NCH2CH2CH2-Me2Si-(OMe2Si)nOMe2SiCH2CH2CH2NH2 III где n имеет среднее значение в интервале 1-300, более предпочтительно 10-100, еще более предпочтительно 10-40 и особенно предпочтительно 10-30 и Me представляет метил. Один пример мономера формулы III производят при различных средних длинах в интервале 9-300 фирмы United Chemical Technologies (Бристоль, Пельсильвания), Wacker Silicones (Адриан, Мичиган), Shin Etsu (Токио, Япония) и Gelest (Туллитаун, Пенсильвания). Сополимер, полученный из диаминов и либо дикарбоновых кислот, либо диизоционатов, может содержать силоксандиамин в качестве единственного диаминового материала, входящего в состав сополимера, или предпочтительно сополимер может также включать дополнительный диамин (такой как этилендиамин и/или гексаметилендиамин). Включение такого дополнительного диамина способствует получению твердого полимера, который может быть полезен в превращении жидкостей в гель. Желательно, чтобы силоксандиамин имел п (в качестве среднего значения), равное по крайней мере 10 (например, в применении к формуле III), для получения более хороших продуктов. Значение для п как среднего числа повторения силоксановых звеньев в каждом случае полимера, используемого в качестве гелеобразователя, находится, как уже было указано, в широком интервале 1-300, но является предпочтительным, когда оно находится в пределах между 10 и 30. Силоксаны с низким “n” относительно дороги, а силоксаны с высоким “n” (n выше 30) могут затруднять реакцию. Сополимеры силоксана и карбамида, например, получают взаимодействием силоксандиамина с гексаметилдиизоцианатом и затем блокированием концевых групп. Блокирование концевых групп может, например, быть осуществлено с использованием анилина в качестве блокирующего агента с образованием фенилкарбамидных концевых групп, но в качестве блокираторов концевых групп могут быть использованы и другие аминосодержащие соединения (такие, как диэтиламин). Кроме того, могут быть использованы спирты и другие подходящие реагенты. В конце описания представлена схема II реакции получения этих сополимеров, где сополимер силоксана и карбамида показан структурной формулой II. Затем блокируют сополимер анилином с получением фенилкарбамидных концевых групп или гидролизуют (например, в присутствии основания) с образованием аминовых концевых групп. Этот сополимер силоксана и карбамида формулы II затем блокируют с образованием фенилкарбамидных концевых групп, размягчают при 120oС и используют в количестве примерно 15% по массе для превращения циклометикона в гель. Гель может быть получен следующим образом. Силоксан-карбамидный сополимер формулы II с фенилкарбамидными концевыми группами и циклометикон нагревают до температуры выше 160oС и перемешивают, в результате чего образуется прозрачный раствор. Гелеобразование происходит при охлаждении до комнатной температуры, причем такие гели совершенно прозрачны, а их твердость определяется концентрацией полимера. Температура плавления геля зависит от концентрации полимера. Один пример настоящего изобретения включает полиамиды, имеющие по крайней мере одну силоксановую группу в качестве носителя для твердой косметической композиции, например композиции в форме геля или карандаша, причем носитель содержит загуститель и растворитель для загустителя, растворитель включает силиконовую жидкость, а амидный загуститель включает кремнийсодержащие фрагменты для улучшения совместимости силиконовой жидкости в композиции. Варианты осуществления настоящего изобретения также включают твердую косметическую композицию, содержащую косметически активный компонент в указанном носителе. Иллюстративный загуститель включает, например, амидный загуститель, который имеет кремнийсодержащие фрагменты. В соответствии с одним из вариантов осуществления настоящего изобретения таким амидным загустителем является полиамидный гелеобразователь, имеющий кремнийсодержащие фрагменты. Такой модифицированный кремнием полиамид может быть получен методом сополимеризации, который включает полимеризацию полиамида из мономеров, включающих силоксановый мономер. Например, модифицированный кремнием полиамид может быть сополимером, являющимся продуктом сополимеризации дикарбоновой кислоты с диаминосилоксановыми олигомерами. В общем, выбранный сополимер может быть получен по схеме III реакции (см. в конце описания). Таким образом, как видно из вышепоказанной реакции силиконсодержащий мономер может быть либо дикарбоновой кислотой, либо диамином. Можно использовать в полимеризации смеси дикарбоновых кислот и смеси диаминов. Иллюстративные дикарбоновые кислоты для получения сополимера включают димерные кислоты (гидрированные или негидрированные), адипиновую кислоту, бутандикислоту, винную кислоту, глюконовую кислоту, щавелевую кислоту, дигликолевую кислоту, малоновую кислоту, янтарную кислоту, глутаровую кислоту, яблочную кислоту, малеиновую кислоту, додекандикислоту, терефталевую кислоту и изофталевую кислоту и их смеси. При использовании дикарбоновой кислоты на основе кремния для получения полиамида могут быть использованы самые разнообразные диамины (например, этилендиамин, гексаметилендиамин, пиперизин, фенилендиамин, декаметилендиамин, ксилолдиамин, полиэтиленгликольдиамин). Кроме того, могут быть использованы диамины, содержащие силикон, такие как те, которые имеют сегменты из 1-300 силоксановых групп. Альтернативно кремнийсодержащий полиамидный гелеобразователь может быть получен путем силиламидирования полиамидов на основе димеров. В этом варианте осуществляется взаимодействие свободных кислотных центров, существующих на исходном полиамиде в виде концевых центров, с олигосилоксанаминами и/или олигосилоксандиаминами (реакция амидирования) или, альтернативно, с олигосилоксанспиртами или олигосилоксандиолами (реакция этерификации). Реакция этерификации требует, как известно в данной области, присутствия кислотных катализаторов. Желательно, чтобы полиамид со свободными кислотными центрами, используемый для реакции амидирования или этерификации имел относительно большое число кислотных концевых групп (например, полиамиды с высокими кислотными числами, например 15-20). Для амидирования свободных кислотных центров можно использовать (в качестве неограничивающего примера) для взаимодействия полиамидами на основе димеров силоксандиамины с n (силоксановые группы), равным 1-300, более предпочтительно 2-50 и еще более предпочтительно выбранным из группы, состоящей из значений 2;6;9,5;12;13,5;23 и 31. Наиболее предпочтительное значение для n равно 13,5. Наилучшие результаты были получены при использовании силоксандиамина, имеющего п= 13,5, и полиамидов с высоким содержанием концевых групп в виде остатков карбоновых кислот. Реакции проводили либо в ксилоле с удалением из раствора выделившейся воды путем азеотропной перегонки, либо при повышенных температурах (около 180-200oС) без растворителей. Обычно с удлинением (более высокое значение п) силоксандиамина снижаются эффективность амидирования и скорости реакций. Свободные аминовые центры могут быть блокированы после начальной реакции амидирования диаминосилоксанов путем осуществления взаимодействия с силоксановой кислотой или с органической кислотой, такой как бензойная кислота. Этерификация свободных кислотных центров на полиамидах может быть осуществлена в кипящем ксилоле с использованием примерно 1% по массе (от общей массы реакционных материалов) паратолуолсульфоновой кислоты в качестве катализатора. При амидировании свободных кислотных центров способность введения циклометикона повышается с увеличением числа силоксановых групп на амидную группу, как показано в таблице 1. Пример этого амидирования показан на схеме IV реакции. Продукт этой реакции имеет полиамидную основную цепь с силоксановыми концевыми центрами. В этих реакциях силиконовые фрагменты введены только на концах цепи. Полученные полимеры имеют относительно высокую совместимость с силиконовыми жидкостями, причем повышенная совместимость становится еше выше, когда исходные полиамиды имеют высокие кислотные числа. В качестве исходного полиамида, к примеру (но не для ограничения), можно назвать термоплавкий адгеэивный полиамид на основе димеров, такой как Unirez 2973 производства Union Camp Corp. Этот полиамид имеет от 5% до 10% свободных кислотных центров. При использовании силоксандиаминов (то есть использовании реакции амидирования) в полимер вводится свободная аминогруппа. Эта свободная аминогруппа может быть подвергнута взаимодействию с различными органическими или на основе силикона карбоновыми кислотами (например, дисилоксандипропионовой кислотой) для образования другой амидной связи. Думается, что конечный продукт не должен иметь свободных аминовых центров, потому что эти группы могут привести к снижению стабильности продукта. В соответствии с предпочтительным вариантом модифицированный силиконом полиамид, образованный в результате этого силиламидирования, получают взаимодействием полиамида с высоким кислотным числом с олигосилоксандиаминами, имеющими в среднем от 10 до 13 повторяющихся силоксановых звеньев. Реагенты нагревают с обратным холодильником в ксилоле с использованием реакционного устройства, состоящего из азеотропного пальца, для постоянного отвода выделенной воды. Если исходный полимер (полиамид) содержит свободные аминовые центры, а не свободные кислотные центры, силоксановый реагент должен содержать кислотную группу вместо амина, чтобы обеспечить возможность реакции амидирования. В соответствии с третьим вариантом получения модифицированного кремнием полиамидного гелеобразователя исходный полиамид, имеющий, например, этилендиаминовый компонент, подвергают взаимодействию с олигосилоксандиамином при повышенных температурах (например, 200-300oС) для осуществления переамидирования с заменой этилендиаминового компонента в исходном полиамиде на олигосилоксандиамин. Является предпочтительным, чтобы уровень замены составлял не более 50%, с тем, чтобы ограничить снижение гелеобразующей способности полиамида. Полиамиды, модифицированные путем переамидирования указанным образом, проявляют более высокую совместимость с силиконовыми жидкостями (например, могут быть получены прозрачные гелеобразные композиции, в которых растворительная система содержит приблизительно 60% циклометикона). Для осуществления переамидирования в качестве исходного полиамида можно использовать, например, полиамиды, описанные в упомянутом ранее патенте США 5500209, или полиамид с высоким кислотным числом. Переамидирование проводят при температурах выше 200oС. При использовании более высоких температур время реакции очень коротко (например, 0,5 часа при температурах до 300oС). Силоксандиамины с n (число силоксановых групп) от 10 до 15 наиболее пригодны для этих реакций. Свободные аминовые центры, образованные во время переамидирования, могут быть блокированы взаимодействием с силоксанкарбоновой кислотой или с органической кислотой, такой как бензойная кислота. Во время переамидирования могут быть также разорваны полиамидные цепи. Полученные полимерные продукты не столь тверды, как образованные в результате реакций амидирования по концевым центрам, но они менее липки. Эта реакция очень проста и легкоуправляема. Еще одним вариантом получения модифицированных кремнием полиамидов является реакция полисилоксанов, несущих аминовые или кислотные группы, которые могут взаимодействовать соответственно с органическими кислотами или аминами с образованием полиамидосилоксана, имеющего олигосилоксановые группы. Аминопропилсилоксановые сополимеры в качестве исходного полимера, подвергаемого взаимодействию с органической кислотой, коммерчески доступны. Этот вариант показан на схеме V реакции (см. в конце описания). Основная цепь полимера в этом случае основана на силоксановых мономерных звеньях, а амидные группы являются боковыми. Кроме того, исходные полиамиды (не имеющие кремнийсодержащих фрагментов) могут быть модифицированы (при использовании модифицированных полиамидов в композиции по настоящему изобретению в качестве полиамидного гелеобразователя) путем прививки к полиамиду боковых олигосилоксановых групп. Это может быть сделано многими способами, включающими (но не ограниченными ими): (a) гидросилилирование ненасыщенных связей в негидрированных полиамидах на основе димеров; (b) силилирование амидных групп в полиамидах; и (c) силилирование ненасыщенных полиамидов через окисление. Замещение путем гидросилилирования ненасыщенных функциональных групп, находящихся в полимерном скелете в виде сложных разновидностей димерной кислоты, использованной в качестве сополимерного звена в полиамиде, дает очень устойчивые связи Si-C. Этот вариант показан на схеме VI реакции (см. в конце описания), где полимер С является полиамидом на основе димеров, таким как полученный с использованием негидрированной димерной кислоты + этилендиамина. Подходящими примерами для “(R11) (R12) (R13)SiH” являются (для иллюстрации): (СН3)3SiН, (СН3)rРh3–rSiH (где r представляет число в интервале 0-3), (СН3)3SiO-[(СН3)2SiO] n-(СН3)2SiH (где n является средним значением и представляет число от 1 до 100) и (СН3)rВu3–rSiH (где Вu означает бутил и r представляет число в интервале 0-3). Подходящими примерами катализаторов являтся металлоорганические катализаторы, такие как Н2РtСl6, Ru3(СО)12, (Ph3P)3RhCl и другие, которые обладают эффектом снижения энергии активации реакции. В данном случае (гидросилилирование ненасыщенных связей), а также в других описанных здесь схемах реакций R группы силилированных соединений и число заместителей у полимера могут влиять на свойства полимера (например, маслянистость, кристалличность). При получении полиамидов путем гидросилилирования ненасыщенных связей является предпочтительным применение исходных полиамидов, имеющих более высокие концентрации ненасыщенности. Это может быть обеспечено путем получения исходного полиамида с использованием высоконенасыщенной димерной кислоты или различных дикарбоновых кислот (таких, как итаконовая кислота, яблочная кислота, малеиновая кислота и т.д.), которые содержат реакционноспособные группы, или путем блокирования концевых групп ненасыщенной монокислотой (такой, как линолевая кислота). В этих случаях полимеры сначала подвергают взаимодействию с силоксанаминами или спиртами для исключения всяких свободных кислотных центров и затем полностью высушивают. После этих стадий осуществляют гидросилилирование. Как было указано ранее, кремнийсодержащие полиамидные гелеобразователи, используемые в настоящем изобретении, могут быть получены путем силилирования амидных групп в исходных полиамидах. Это обеспечивает замещение в амидных функциональных центрах. Это замещение в амидных функциональных центрах производят путем каталитической реакции между водородзамещенным силаном (SiH) и амидом, которая может привести к образованию трех возможных замещенных упаковок атомов, как показано на схеме VII реакции (см. в конце описания). Хотя силилирование амидных групп улучшает совместимость с силиконовыми маслами, но деструкция амидных групп снижает гелеобразующую способность. Кроме того, модифицированные кремнием полиамиды могут быть получены путем силилирования ненасыщенных полиамидов через окисление. То есть ненасыщенные группы могут быть окислены до спиртов или диолов и затем вновь образованные гидроксильные группы могут быть подвергнуты взаимодействию с силоксанкарбоновыми кислотами или с силоксановыми спиртами. В соответствии с другим вариантом олефиновые центры ненасыщенных полиамидов могут быть эпоксидированы с последующим обычным размыканием эпоксидного кольца силоксанаминами или силоксановыми спиртами. В ряду предпочтительных вариантов композиции основ и косметические композиции по настоящему изобретению содержат достаточное количество загустителя, чтобы готовая косметическая композиция представляла собой твердую композицию, например гель или карандаш. Композиция согласно изобретению может включать другие компоненты, традиционно вводимые в твердые косметические композиции, например дезодорирующие или антиперспирационные гели и/или карандаши, особенно, если прозрачность не является важным фактором. Указанные другие компоненты могут включать активную фазу (которая может включать воду или спирт), воски, другие загустители, поверхностно-активные вещества, стабилизаторы, пигменты и ароматизаторы. Что касается разных других компонентов, которые могут быть введены в композиции, следует обратить внимание на необязательные компоненты, такие как отвердители, упрочнители, хелатообразователи, красители, отдушки, эмульгаторы и наполнители, описанные в различных патентных документах, перечисленных ниже. патент США 3255082 (Barton) патент США 4049792 (Elsanu) патент США 4137306 (Rubino, et al) патент США 4279658 (Hooper, et al). Следует также обратить внимание на патент США 5500209 в отношении различных необязательных компонентов и их количеств, которые могут быть введены в композиции по настоящему изобретению. Степень свободы введения необязательных компонентов повышается в случае необязательности получения прозрачной композиции (например, в случае получения полупрозрачной или, особенно, непрозрачной композиции). Композиции основ по настоящему изобретению могут быть получены путем смешивания различных компонентов при повышенной температуре (то есть путем нагревания и смешивания различных компонентов) и затем охлаждения с целью образования желатинированной (отвержденной) композиции, например, в виде геля или карандаша. В косметические композиции дополнительные компоненты вводят методами и в моменты производственного процесса, которые известны специалистам в данной области. Летучие компоненты (такие как ароматизаторы) желательно добавлять к смеси на относительно поздней стадии смешения, с тем, чтобы ограничить испарение летучих компонентов. Обычно растворитель и загуститель (например, полиамидный гелеобразователь) смешивают и нагревают, чтобы полностью растворить загуститель в растворителе. Активный компонент (например, антиперспирационное активное вещество, например, в сухом виде или как часть раствора) может быть введен после полного растворения загустителя, после чего осуществляют перемешивание. Перемешивание продолжают при охлаждении, например, с последующим добавлением красителя и ароматизатора. После этого полученную композицию, все еще жидкую, выливают в емкости, например упаковки для выдачи, и отверждают в случае традиционных карандашеобразных и гелеобразных композиций. Композиции по настоящему изобретению могут быть использованы так же, как и традиционные гелеобразные или карандашеобразные композиции, путем выпуска из, например, контейнеров для выдачи. Например, гелем или карандашом, высвобожденым из выдающей упаковки, трут по коже для нанесения активного вещества (например, антиперспирационных и/или дезодорирующих веществ) на кожу. Например, когда композиция представляет собой антиперспирационную композицию, содержащую антиперспирационное активное вещество для уменьшения потоотделения в подмышечных областях, открытой частью композиции трут в подмышечных областях тела человека, чтобы нанести антиперспирационное активное вещество и, если оно присутствует, дезодорирующее активное вещество на кожу в подмышечной области. Композиция, как во время нанесения на кожу, так и после нанесения, имеет, как было указано ранее, уменьшенные липкость и клейкость. Далее представлены иллюстративные предлагаемые примеры композиций, входящие в объем настоящего изобретения. Эти предлагаемые примеры приведены для иллюстрации настоящего изобретения и не являются ограничивающими. Количества компонентов в этих примерах даны в массовых процентах от общей массы композиции. Композиции согласно изобретению могут быть изготовлены следующим методом. Этот метод иллюстративен и не ограничивает настоящее изобретение. Полимер может быть растворен в силиконовой жидкости, например, при повышенных температурах (например, до 160oС) для образования раствора с последующим охлаждением для образования геля. Является предпочтительным не нагревать раствор слишком долго или при слишком высокой температуре, поскольку это может привести к образованию окрашенного геля (а не прозрачного и бесцветного). Косметическое активное вещество может быть введено в раствор силиконовой жидкости и смешано с ним с обеспечением гомогенного распределения в продукте. Косметическая композиция согласно изобретению может быть упакована в традиционные контейнеры с использованием традиционных методов. Например, в случае карандашной композиции она, еще находящаяся в жидкой форме, может быть введена в упаковку для выдачи так, как это обычно делают в данной области, и охлаждена в ней для загущения. В случае получения гелеобразной или твердо-мягкой косметической композиции она может быть введена в упаковку, обычно используемую в косметике, например в упаковку с прорезями или порами в верхней поверхности, благодаря чему продукт высвобождается из упаковки и наносится, например, на кожу. Когда продуктом является изделие в форме твердого карандаша, продукт может быть выдвинут из упаковки и этим обнаженным концом композиция, включающая активное вещество, наносится на кожу. Когда продукт представляет собой гелеобразную или твердо-мягкую форму, он может быть выдан путем выдавливания из упаковки на верхнюю поверхность упаковки через поры или прорези в ее верхней поверхности, после чего выдавленный продукт растирают по коже для нанесения активного вещества на кожу. Далее описаны конкретные примеры синтеза для получения силоксановых полимеров, имеющих группы, образующие водородные связи, и конкретные примеры композиций в объеме настоящего изобретения. Эти конкретные примеры синтеза и примеры композиций иллюстрируют настоящее изобретение и не являются ограничивающими. Далее, как и во всем данном описании, использованы названия, которые использует CTFA (Cosmetics, Toiletry and Fragrance Association, Inc) в CTFA International Cosmetic Ingredient Dictionary (Международный словарь косметических компонентов) (4-е изд., 1991), содержание которого полностью включено в данное описание путем ссылки. Пример 1 синтеза Линейный сополимер силоксана и мочевины (карбамида) синтезируют в тетрагидрофуране (ТГФ) в качестве растворителя. Раствор 1 молярной части гексаметилендиизоцианата прибавляют по каплям к раствору 1 молярной части жидкого телехелатного диаминосилоксана (молярная масса: 2500 г/моль). В конце прибавления раствор становится вязким. После полимеризации растворитель удаляют путем выпаривания и в результате получают прозрачный бесцветный полимер (молярная масса: 31030 г/моль; молекулярно-массовое распределение: 1,9; определение методом гельпроникающей хроматографии (ГПХ) (полистирольный стандарт)). Сополимер из примера 1 синтеза: ![]() где n имеет среднее значение в интервале 1-30 и m имеет среднее значение в интервале 1-12, причем полимер может содержать разные n и m, каждые из которых имеют разное число и могут быть расположены беспорядочно. Пример 2 синтеза Линейный сополимер силоксана и мочевины синтезируют в тетрагидрофуране (ТГФ) в качестве растворителя. Раствор 1 молярной части изофоронаддиизоцианата прибавляют по каплям к раствору 1 молярной части жидкого телехелатного диаминосилоксана (молярная масса: 2500 г/моль). (Примечание: полимер можно считать телехелатным, если он содержит концевые группы, которые избирательно взаимодействуют с образованием связи с другой молекулой, включая продолжение цепи посредством бифункциональных связывающих агентов. Телехелатные материалы, которые можно называть макромолекулярными мономерами, макромономерами или макромерами или реакционноспособными олигомерами, содержат повторяющиеся звенья, такие как 1Z-(A)n-Z2, где Z1 и Z2 представляют реакционноспособные кислоты, А представляет цепь, например, содержащую алифатические и/или ароматические звенья или силоксановые звенья, и n>1. Короче он представляет собой молекулы, которые имеют реакционноспособные концевые группы и которые содержат повторяющиеся звенья в молекуле). В конце прибавления раствор становится вязким. После полимеризации растворитель удаляют путем выпаривания. Полученный полимер растворяют в ТГФ и прибавляют диэтиламин. По окончании реакции удаляют путем выпаривания растворитель и в результате получают прозрачный бесцветный полимер (молярная масса: 50090 г/моль: молекулярномассовое распределение: 2,2: определение методом ГПХ (полистирольный стандарт)). Сополимер на примера 2 синтеза: ![]() где R7= ![]() где n имеет среднее значение 30 и m имеет среднее значение 19, причем полимер может содержать разные n и m звенья, каждые из которых имеют разное число и могут быть расположены беспорядочно. Следует отметить, что в других вариантах этого сополимера n может быть выбран в интервале 1-303, предпочтительно 1-100, более предпочтительно 1-30, а m может быть выбран в интервале 1-19. Пример 3 синтеза Линейный сополимер силоксана и мочевины синтезируют в циклометиконе (жидкость Доу Корнинг 245). В жидкости Доу Корнинг 245 диспергируют при комнатной температуре 1 молярную часть гексаметилендиизоцианата. Он нерастворим в растворителе при комнатной температуре. Смесь нагревают до 90oС. Смесь становится гомогенной. Теперь добавляют по каплям раствор 1 молярной части телехелатного диаминосилоксана (молярная масса: 2500 г/моль). В конце прибавления раствор становится вязким. При охлаждении в результате взаимодействия водородных связей происходит образование геля (молярная масса; 18600 г/моль; молекулярно-массовое распределение: 2,2; определение методом ГПХ (полистирольный стандарт)). Сополимер из примера 3 синтеза; ![]() где n имеет среднее значение 30 и m имеет среднее значение 7, причем полимер может содержать разные n и m звенья, каждые из которых имеют разное число и могут быть расположены беспорядочно. Следует отметить, что в других вариантах этого сополимера п может быть выбран в интервале 1-300, предпочтительно 1-100, более предпочтительно 1-30, а m может быть выбран в интервале 1-100, предпочтительно 1-19 и более предпочтительно 1-7. Этот синтез показывает, что силоксановый полимер может быть образован непосредственно в силиконовой жидкости. Это позволяет избежать необходимости выпаривания растворителя, в котором получают силоксановый полимер. Пример 4 синтеаа Линейный сополимер силоксана и мочевины синтезируют в ТГФ в качестве растворителя. Раствор 0,75 молярной части жидкого телехелатного диаминосилоксана (молярная масса: 2500 г/моль) прибавляют по каплям к раствору 1 молярной части гексаметилендиизоцианата. Таким же образом прибавляют раствор 0,25 молярной части второго диамина, смеси 2,2,4-триметил 1,6-диаминогексана и 2,4,4-триметил 1,6-диаминогексана (молярное отношение 1:1). После полимеризации удаляют путем выпаривания растворитель с получением прозрачного бесцветного полимера (молярная масса: 35040 г/моль; молекулярно-массовое распределение: 1,5; определение методом ГПХ (полистирольный стандарт)). Сополимер из примера 4 синтеза: ![]() где в каждом случае R8 независимо выбран из группы, состоящей из: ![]() ![]() где m имеет среднее значение 13; n имеет среднее значение 30, и о имеет среднее значение 4; и части в скобках, обозначенные m и о, могут быть в виде блока или беспорядочных сегментов в полимерной цепи. Следует отметить, что в других вариантах этого сополимера m может быть выбран в интервале 1-100, предпочтительно 1-20, более предпочтительно 3-19; n может быть выбран в интервале 1-300, предпочтительно 1-100 и более предпочтительно 30-60; и о может быть выбран в интервале 1-100, предпочтительно 1-20 и более предпочтительно 3-7. Этот пример синтеза демонстрирует применение ряда диаминовых мономеров, включая диаминосилоксан, для получения силоксанового полимера. Совокупность мономеров может изменять свойства геля (например, может обеспечить получение геля с более высокой температурой гелеобразования, получение менее эластичного и более мягкого геля и т.д.). Пример 5 синтеза Линейный сополимер силоксана и мочевины синтезируют в тетрагидрофуране (ТГФ) в качестве растворителя. Раствор 0,66 молярной части жидкого телехелатного диаминосилоксана (молярная масса: 5000 г/моль) прибавляют по каплям к раствору 1 молярной части гексаметилендиизоцианата. Таким же образом прибавляют раствор 0,33 молярной части второго телехелатного силоксандиамина (молярная масса: 2500 г/моль). После полимеризации удаляют путем выпаривания растворитель с получением прозрачного бесцветного полимера (молярная масса: 88400 г/моль; молекулярно-массовое распределение: 1,9; определение методом ГПХ (полистирольный стандарт)). Сополимер из примера 5 синтеза: ![]() где m имеет среднее значение 14; n имеет среднее значение 60; о имеет среднее значение 30; и р имеет среднее значение 7; и части в скобках, обозначенные m и p, могут быть в виде блока или беспорядочных сегментов в полимерной цепи. Следует отметить, что в других вариантах этого сополимера m может быть выбран в интервале 1-100, предпочтительно 1-20, более предпочтительно 3-19; n может быть выбран в интервале 1-300, предпочтительно 1-100 и более предпочтительно 30-60: о может быть выбран в интервале 1-300, предпочтительно 1-100 и более предпочтительно 30-60; и р может быть выбран в интервале 1-300, предпочтительно 1-100 и более предпочтительно 30-60. Пример 6 синтеза Линейный сополимер силоксана и мочевины синтезируют в тетрагидрофуране (ТГФ) в качестве растворителя. Раствор 0,66 молярной части жидкого телехелатного диаминосилоксана (молярная масса: 5000 г/моль) прибавляют по каплям к раствору 1 молярной части гексаметилендиизоцианата. Таким же образом прибавляют раствор 0,33 молярной части второго телехелатного силоксандиамина (молярная масса: 1000 г/моль). После полимеризации удаляют путем выпаривания растворитель. Полученный полимер растворяют в ТГФ и прибавляют диметиламин. По окончании реакции удаляют путем выпаривания растворитель с получением прозрачного бесцветного полимера (молярная масса: 48670 г/моль; молекулярно-массовое распределение: 1,7; определение методом ГПХ (полистирольный стандарт)). Сополимер из примера 6 синтеза: ![]() где m имеет среднее значение 9; n имеет среднее значение 30; о имеет среднее значение 10; и р имеет среднее значение 4; и части в скобках, обозначенные m и p, могут быть в виде блока или беспорядочных сегментов в полимерной цепи, а концевые части могут заканчиваться такой группой, как (O)= С-N(СН2СН3)2. Следует отметить, что в других вариантах этого сополимера m может быть выбран в интервале 1-100, предпочтительно 1-20, более предпочтительно 3-19; п может быть выбран в интервале 1-300, предпочтительно 1-100 и более предпочтительно 30-60; о может быть выбран в интервале 1-300, предпочтительно 1-100 и более предпочтительно 30-60; и р может быть выбран в интервале 1-300, предпочтительно 1-100 и более предпочтительно 30-60. Пример 7 синтеза Линейный “сополимер VII” силоксана, мочевины и уретана синтезируют в ТГФ в качестве растворителя. Раствор 0,25 молярной части 1,4-бензолдиметанола вместе с дибутилоловодилауратом прибавляют по каплям к раствору 1 молярной части гексаметилендиизоцианата. Затем раствор нагревают до 67oC в течение 3 часов. Таким же образом прибавляют раствор 0,75 молярной части жидкого телехелатното диаминосилоксана (молярная масса 2500 г/моль). После полимеризации удаляют путем выпаривания растворитель с получением прозрачного бесцветного полимера. Масса полимера: 48030 г/моль; молекулярно-массовое распределение: 3,0; определение методом ГПХ (полистирольный стандарт). Сополимер иа примера 7 синтеза (“сополимер VII”): ![]() где Q представляет фенил; m имеет среднее значение 17; n имеет среднее значение 30, о имеет среднее значение 6; и части в скобках, обозначенные m и о, могут быть в виде блока или беспорядочных сегментов в полимерной цепи. Следует отметить, что в других вариантах этого сополимера m может быть выбран в интервале 1-100, предпочтительно 1-20, более предпочтительно 3-19; n может быть выбран в интервале 1-300, предпочтительно 1-100 и более предпочтительно 30-60; и о может быть выбран в интервале 1-100, предпочтительно 1-20 и более предпочтительно 3-7. Пример 8 синтеза Линейный “сополимер VIII” силоксана, мочевины и уретана синтезируют в ТГФ в качестве растворителя. Раствор 0,75 молярной части жидкого телехелатното диаминосилоксана (молярная масса: 2500 г/моль) прибавляют по каплям к раствору 1 молярной части гексаметилендиизоцианата. Таким же образом прибавляют раствор 0,25 молярной части полиэтиленгликоля (молярная масса: 600 г/моль) вместе с дибутилоловолауратом. Затем раствор нагревают до 67oС в течение 3 часов. После полимеризации удаляют путем выпаривания растворитель с получением прозрачного бесцветного полимера. Сополимер иа примера 8 синтеза (“сополимер VIII”): ![]() где m имеет среднее значение 10; n имеет среднее значение 30; о имеет среднее значение 25; и р имеет среднее значение 4; и части в скобках, обозначенные m и p, могут быть в виде блока или беспорядочных сегментов в полимерной цепи. Следует отметить, что в других вариантах этого сополимера m может быть выбран в интервале 1-100, предпочтительно 1-20, более предпочтительно 3-19; n может быть выбран в интервале 1-300, предпочтительно 1-100 и более предпочтительно 30-60; о может быть выбран в интервале 1-1000, предпочтительно 1-100, более предпочтительно 1-30 и, в частности, может иметь значение 25; и р может быть выбран в интервале 1-100, предпочтительно 1-20 и более предпочтительно 3-7. Пример 9 синтеза Разветвленную полисилоксанмочевину синтезируют в ТГФ в качестве растворителя. Раствор 1 молярной части фениленизоционата прибавляют по каплям к раствору 0,5 молярной части аминогрупп жидкого силоксана (молярная масса: 2900 г/моль, 7 мол.% аминогрупп). Жидким силоксаном был AMS-162 производства Gelest, Inc. (Туллитаун, Пенсильвания), т.е. сополимер аминопропилметилсилоксана и аминопропилдиметилсилоксана с вязкостью 80-100 сПз. В конце прибавления раствор становится вязким. Реакцию продолжают 2 часа при комнатной температуре. По окончании реакции удаляют путем выпаривания растворитель с получением желтого полимера (молярная масса: 6600 г/моль; молекулярно-массовое распределение: 1,6; определение методом ГПХ (полистирольный стандарт)). Полученный полимер представлял собой гребнеобразно разветвленную молекулу мочевины типа показанной на фиг.4. ![]() где R10 представляет фенил и n выбран с обеспечением возможности получения молекулярной массы 6600 г/моль. Следует отметить, что в других вариантах этого сополимера m может быть выбран в интервале 1-300, предпочтительно 1-100, более предпочтительно 30-60, а n может быть выбран в интервале 1-300, предпочтительно 1-100 и более предпочтительно 30-60. Пример 10 синтеза Полисилоксанмочевину с четырьмя концевыми группами синтезируют в диоксане в качестве растворителя. Раствор 1,5 молярной части фениленизоционата прибавляют по каплям к раствору 1,0 молярной части аминогрупп жидкого силоксана (молярная масса: 900 г/моль, 4 аминогруппы на цепь). В конце прибавления раствор становится вязким. По окончании реакции удаляют путем выпаривания растворитель с получением желтого полимера (молярная масса: 3900 г/моль; молекулярно-массовое распределение: 8,6: определение методом ГПХ (полистирольный стандарт)). Полимер из примера 10 синтеза ![]() где Q представляет фенил и каждый Q присоединен к азоту (показано), а n выбран с обеспечением возможности получения молекулярной массы 3900 г/моль. Следует отметить, что в других вариантах этого сополимера n может быть выбран в интервале 1-300, предпочтительно 1-100, более предпочтительно 30-60. Пример 11 синтеза Линейный “сополимер XI” силоксана, мочевины и уретана синтезируют в ТГФ в качестве растворителя. Раствор 0,5 молярной части жидкого телехелатного диаминосилоксана (молярная масса: 2500 г/моль) прибавляют по каплям к раствору 1,0 молярной части гексаметилендиизоцианата. Таким же образом прибавляют раствор 0,5 молярной части жидкого телехелатного гидрокси-блокированного силоксана (молярная масса: 4200 г/моль) вместе с дибутилоловодилауратом. Затем раствор нагревают до 67oС в течение 12 часов. После полимеризации удаляют путем выпаривания растворитель с получением прозрачного бесцветного полимера. Молярная масса: 19340 г/моль; молекулярно-массовое распределение: 1,6; определение методом ГПХ (полистирольный стандарт). Сополимер из примера 11 синтеза (“сополимер XI”): ![]() где m имеет среднее значение 3; n имеет среднее значение 30; о имеет среднее значение 57; и р имеет среднее значение 3; и части в скобках, обозначенные m и р, могут быть в виде блока или беспорядочных сегментов в полимерной цепи. Следует отметить, что в других вариантах этого сополимера m может быть выбран в интервале 1-100, предпочтительно 1-20, более предпочтительно 1-5; n может быть выбран в интервале 1-300, предпочтительно 1-100 и более предпочтительно 10-60; о может быть выбран в интервале 1-300, предпочтительно 1-100 и более предпочтительно 10-60; и р может быть выбран в интервале 1-100, предпочтительно 1-20 и более предпочтительно 1-5. В следующих далее примерах, как и во всем данном описании, использованы названия, которые использует CTFA (Cosmetics, Toiletry and Fragrance Association, Inc) и которые представлены в CTFA International Cosmetic Ingredient Dictionary (4-ое изд., 1991). В следующей ниже таблице 2 показаны конкретные модифицированные кремнием полиамидные гелеобразователи и амидные восковые совместные гелеобразователи. Примеры 1, 4 и 5 – это примеры согласно изобретению. Примеры 2 и 3 касаются получения амидных восковых совместных гелеобразователей и являются предметом отдельной, одновременно рассматриваемой заявки. В таблице 3 показаны составы примеров 1-5 из таблицы 3 в различных растворах. В таблице 4 С-41 означает Ceraphyl 41 и вместе с циклометиконом является растворителем для показанных составов. Использовали один (1) грамм каждого состава, кроме случаев с массовым отношением “0,5/10”, где использовали 1,5 г состава. В этих примерах использованным полиамидом (ПА) был Unirez, продукт Union Camp Corp. Таким образом, в соответствии с настоящим изобретением предлагается твердая (например, гель или карандаш) композиция, имеющая повышенную совместимость с силиконовыми жидкостями. Композиция обеспечивает возможность получения прозрачных косметических (например, антиперспирационных и/или дезодорирующих) композиций, в которых использован полиамидный гелеобразователь, с улучшенными аппликационными и косметическими свойствами, такими как липкость и клейкость. Ниже представлены составы, которые могут быть использованы для получения реальных продуктов. Композиция согласно изобретению могла быть названа как “модифицированный кремнием полиамид (гелеобразователь)”. Примеры составов Пример 1 Использованный полимер (обозначен далее как гелеобразователь А) аналогичен описанному выше примеру 4, за исключением того, что молярное отношение составляет 3/1 вместо 1/1. Этот сополимер представляет собой сополимер полисилоксана и мочевины, полимеризованный из гексаметилендиизоцианата и из (1) DMS-A15 (силоксандиамин со средним значением n=30) и (2) 2,2(4), 4-триметил 1,6-диаминогексана (молярное отношение 3/1). Гелеобразователь А – 20% Циклометикон (смесь жидкостей Доу Корнинг 245 и 345) – 69% Изоцетиловый спирт – 10% Ароматизатор – 1% Этот состав представляет собой прозрачный дезодорирующий карандаш, могущий дать хорошую выгоду. Пример 2 Использованный полимер (обозначен далее как гелеобразователь В) имеет структурную формулу (I), приведенную ранее. Гелеобразователь В – 32% Циклометикон (жидкость Доу Корнинг 345) – 67% Ароматизатор – 1% Этот состав представляет собой прозрачный дезодорирующий гель. Пример 3 Использованный полимер (обозначен далее как гелеобразователь С) имеет структурную формулу (II), имеющую, как описано ранее, концевые фенилкарбамидные группы. Гелеобразователь С – 24,5% Циклометикон (жидкость Доу Корнинг 246) – 27,3% Изоцетиловый спирт – 9,8% Сорбитанолеат (Arlacel 80, поверхностно-актив. вещ.) – 4,9% Антиперспирационное активное вещество Rezal 36GP) – 19,5% Дистиллированная вода – 14,1% Метод получения этого состава заключается в следующем: полимер, циклометикон и изоцетиловый спирт перемешивали при нагревании до получения прозрачного гомогенного жидкого раствора. Добавляли при интенсивном перемешивании Arlacel 80 и Rezal 36GP. Затем медленно добавляли воду. В результате получили нелипкий непрозрачный антиперспирационный крем. Пример 4 Продукт из примера 9 синтеза – 47,7% Циклометикон (жидкость Доу Корнинг 245) – 51,3% Ароматизатор – 1% Все компоненты перемешивали при нагревании до образования прозрачного раствора. При охлаждении получили слегка желтый прозрачный дезодорирующий гель. Примеры с использованием амида Следующие примеры показывают составы, пригодные для использования с амидами, но в таких составах вместо “модифицированного кремнием полиамида (гелеобразователя)” можно использовать также карбамиды и уретаны по настоящему изобретению. 1) Дезодорирующий карандаш модифицированный кремнием полиамид (гелеобразователь) – 12% С12-15 алкиллактат (Ceraphyl 41) (мягчитель) – 35% циклометикон (силиконовая жидкость) – 52% ароматизатор (дезодорирующее активное вещество) – 1% 2) Антиперспирационный карандаш модифицированный кремнием полиамид (гелеобразователь) – 12% хлоргидрат алюминия (антиперспирационное акт.вещ.) – 25% сиклометикон (силиконовая жидкость) – 35% С12-15 алкиллактат (Ceraphyl 41) (мягчитель) – 28% 3) Дезодорирующий гель модифицированный кремнием полиамид (гелеобразователь) – 6% С12-15 алкиллактат (Ceraphyl 41) (мягчитель) – 38% циклометикон (силиконовая жидкость) – 55% ароматизатор (дезодорирующее активное вещество) – 1% Таким образом, согласно изобретению может быть получена композиция основы, которая представляет собой композицию, загущенную до состояния геля, твердо-мягкой формы или карандаша, и которая может содержать увеличенные количества силиконовых жидкостей. Эта композиция может дополнительно содержать косметически активные вещества, включающие антиперспирационные и/или дезодорирующие активные вещества, что дает возможность создавать косметические композиции, для уменьшения неприятного запаха тела. Композиции основ и косметические композиции могут быть получены в виде прозрачных и полупрозрачных композиций, имеющих хорошие косметические свойства, особенно с точки зрения больших количеств силиконовых жидкостей, которые могут быть введены в композиции. В виде антиперспирационной композиции предлагаемая композиция имеет высокую эффективность, привлекательный внешний вид и по существу не оставляет видимого (белого) остатка ни при нанесении, ни после высыхания композиции. Хотя показано и описано несколько вариантов осуществления настоящего изобретения, но понятно, что изобретение не ограничивается описанными конкретными вариантами и в него могут быть внесены самые разнообразные изменения и дополнения, очевидные специалистам в данной области, которые не выходят за пределы объема прилагаемой формулы изобретения. Формула изобретения
полиэтиленгликолевого производного касторового масла со средним количеством этиленоксида 4 моль, пропиленгликолевого рецинолеата, глицеролмиристата, полиглицерил-4 олеилового эфира, сахарозодистеарата, сорбитансесквиизостеарата, триолэф-8 фосфата, лаурэф-4, полиэтиленгликолевого производного ланолина со средним количеством этиленоксида 20 моль, диметиконсополиола, полиоксипропилена, полиоксиэтиленового эфира цетилового спирта, который в общем соответствует формуле СН3(СН2)14СН2(ОСН(СН3)СН2)x(ОСН2СН2)уОН, где x имеет среднее значение 5 и y имеет среднее значение 20, и лаурилглюкозы. 34. Композиция по п. 30, отличающаяся тем, что поверхностно-активное вещество присутствует в количестве 0-15 мас. %. 35. Композиция по п. 25, отличающаяся тем, что поверхностно-активное вещество присутствует в количестве 0-4 мас. %. 36. Композиция по п. 1, отличающаяся том, что косметическая композиция на ее основе представляет собой крем, гель, карандаш. 37. Композиция по п. 1, отличающаяся тем, что полимер выбран из группы, состоящей из сополимеров силоксана и мочевины (карбамида), которые являются линейными и содержат карбамидные группы в качестве групп, образующих водородные связи в основной цепи полимера. 38. Композиция по п. 1, отличающаяся тем, что полимер представляет собой полисилоксан с четырьмя карбамидными концевыми группами, представленными формулой I ![]() где Ph означает фенил; n представляет среднее значение для числа диметилсилоксановых звеньев и выбрано в интервале 0-300. 39. Композиция по п. 38, отличающаяся тем, что n является средним значением и представляет число в интервале 0-100. 40. Композиция по п. 39, отличающаяся тем, что n = 50. 41. Композиция по п. 1, отличающаяся тем, что гелеобразователь блокирован по концам. 42. Композиция по п. 41, отличающаяся тем, что блокирование концевых групп осуществлено с использованием агента, выбранного из группы, состоящей из С1-С20 алифатических одноатомных спиртов, С1-С6 алифатических аминов, фениламина, необязательно замещенного 1-3 членами, выбранными из С1-С6 алифатических углеводородов, С1-С20 алифатических кислот и хлоридов С1-С20 алифатических кислот. 43. Композиция по п. 1, отличающаяся тем, что полимер представляет собой блокированный по концам сополимер силоксана и мочевины, имеющий формулу II ![]() где x является средним значением и представляет число в интервале 1-100. 44. Композиция по п. 43, отличающаяся тем, что x = 2 – 40. 45. Композиция по п. 42, отличающаяся тем, что указанное блокирование концевых групп осуществляют анилином. 46. Композиция по п. 41, отличающаяся тем, что блокирование концевых групп осуществляют путем гидролиза с образованием концевой аминогруппы. 47. Композиция по п. 1, отличающаяся тем, что полимер представляет собой линейный сополимер силоксана и мочевины (карбамида), имеющий следующую формулу: ![]() где n имеет среднее значение в интервале 1-30; m имеет среднее значение в интервале 1-12, причем полимер может содержать разные n и m звенья, каждые из которых имеют разное число и могут быть расположены беспорядочно. 48. Композиция по п. 1, отличающаяся тем, что полимер представляет собой линейный сополимер силоксана и мочевины, имеющий следующую формулу: ![]() где n имеет среднее значение в интервале 1-300, 1-100 или 1-30; m имеет среднее значение в интервале 1-100 или 1-19, причем полимер может содержать разные n и m звенья, каждые из которых имеют разное число и могут быть расположены бecпорядочно, и где R7 представляет ![]() 49. Композиция по п. 1, отличающаяся тем, что полимер представляет собой линейный сополимер силоксана и мочевины, имеющий следующую формулу: ![]() где n имеет среднее значение в интервале 1-300, 1-100 или 1-30; m имеет среднее значение в интервале 1-100, 1-19 или 1-7, причем полимер может содержать разные n и m звенья, каждые из которых имеют разное число и могут быть расположены беспорядочно. 50. Композиция по п. 1, отличающаяся тем, что полимер представляет собой линейный сополимер силоксана и мочевины, имеющий следующую формулу ![]() где R8 независимо выбран из ![]() ![]() где m имеет среднее значение в интервале 1-100, 1-20 или 3-19; n имеет среднее значение в интервале 1-300, 1-100 или 30-60; o имеет среднее значение в интервале 1-100, 1-20 или 3-7; и части в скобках, обозначенные m и o, могут быть в виде блока или беспорядочных сегментов в полимерной цепи. 51. Композиция по п. 1, отличающаяся тем, что полимер представляет собой линейный сополимер силоксана и мочевины, имеющий следующую формулу: ![]() где n имеет среднее значение в интервале 1-300, 1-100 или 30-60; m имеет среднее значение в интервале 1-100, 1-20 или 3-19; o имеет среднее значение в интервале 1-300, 1-100 или 30-60; p имеет среднее значение в интервале 1-300, 1-100 или 30-60; и части в скобках, обозначенные m и p, могут быть в виде блока или беспорядочных сегментов в полимерной цепи. 52. Композиция по п. 1, отличающаяся тем, что полимер представляет собой линейный сополимер силоксана и мочевины, имеющий следующую формулу: ![]() где n имеет среднее значение в интервале 1-300, 1-100 или 30-60; m имеет среднее значение в интервале 1-100, 1-20 или 3-19; o имеет среднее значение в интервале 1-300, 1-100 или 30-60; р имеет среднее значение в интервале 1-300, 1-100 или 30-60; и части в скобках, обозначенные m и p, могут быть в виде блока или беспорядочных сегментов в полимерной цепи, а концевые части могут заканчиваться группой (О) = C-N (СН2СН3)2. 53. Композиция по п. 1, отличающаяся тем, что полимер представляет собой линейный сополимер силоксана, мочевины и уретана, имеющий следующую формулу: ![]() где Q представляет фенил; m имеет среднее значение в интервале 1-100, 1-20 или 3-19; n имеет среднее значение в интервале 1-300, 1-100 или 30-60; o имеет среднее значение в интервале 1-100, 1-20 или 3-7; и части в скобках, обозначенные m и o, могут быть в виде блока или беспорядочных сегментов в полимерной цепи. 54. Композиция по п. 1, отличающаяся тем, что полимер представляет собой линейный сополимер силоксана, мочевины и уретана, имеющий следующую формулу: ![]() где n имеет среднее значение в интервале 1-300, 1-100 или 30-60; m имеет среднее значение в интервале 1-100, 1-20 или 3-19; o имеет среднее значение в интервале 1-1000, 1-100, 1-30 или 25; p имеет среднее значение в интервале 1-100, 1-20 или 3-7; и части в скобках, обозначенные m и p, могут быть в виде блока или беспорядочных сегментов в полимерной цепи. 55. Композиция по п. 1, отличающаяся тем, что полимер представляет собой гребнеобразно разветвленную полисилоксанмочевину, имеющую сегменты следующей формулы: ![]() где R10 представляет фенил; n имеет среднее значение в интервале 1-300, 1-100 или 30-60; m имеет среднее значение в интервале 1-300, 1-100 или 30-60. 56. Композиция по п. 1, отличающаяся тем, что полимер представляет собой полисилоксанмочевину с четырьмя концевыми группами, имеющую сегменты следующей формулы: ![]() где Q представляет фенил; n имеет среднее значение в интервале 1-300, 1-100 или 30-60. 57. Композиция по п. 1, отличающаяся тем, что полимер имеет следующую формулу: ![]() где m имеет среднее значение в интервале 1-100, 1-20 или 1-5; n имеет среднее значение в интервале 1-300, 1-100 или 10-60; o имеет среднее значение в интервале 1-300, 1-100 или 10-60; p имеет среднее значение в интервале 1-100, 1-20 или 1-5; и части в скобках, обозначенные m и p, могут быть в виде блока или беспорядочных сегментов в полимерной цепи. 58. Композиция по п. 1, отличающаяся тем, что гелеобразователем является полиамид. 59. Композиция по п. 1, отличающаяся тем, что гелеобразователь содержит силоксановые сополимеры, в которых силоксандиамин взаимодействует с дикарбоновой кислотой, производным дикарбоновой кислоты, диизоцианатом или диизотиоционатом. 60. Композиция по п. 57, отличающаяся тем, что силоксановые полимеры получают взаимодействием члена группы, состоящей из силоксандикарбоновых кислот и силоксановых производных кислот, с членом группы, состоящей из диолов и диаминов. 61. Композиция по п. 1, отличающаяся тем, что гелеобразователь содержит силоксановые сополимеры, полученные по схеме III реакции: Схема III реакции: Y(CH2)nSiR2O(R2SiO)mR2Si(CH2)nY+X-R1-X –> -[C(= O)NH(CH2)nSiR2O(R2SiO)mR2Si] (CH2)nNHC(= O)-R1] X- где R в каждом случае независимо выбран из группы, состоящей из метила, этила, пропила, изопропила и фенила, причем фенил может быть необязательно замещенным 1-3 членами группы, состоящей из метила и этила; R1 представляет алкильную цепь, выбранную из группы, состоящей из алкильных цепей, имеющих 1-40 атомов углерода, 2-20 атомов углерода и 2-6 атомов углерода, и необязательно замещенную членом, выбранным из группы, состоящей из С1-С4 алкила, фенила, гидроксила, карбоксила и амино, и необязательно содержащую, по крайней мере, одну алкенильную или ароматическую группу в основной цепи или боковой группе; и Х представляет NH2, когда Y представляет CO2H, и Х представляет CO2H, когда Y представляет NH2. 62. Композиция по п. 57, отличающаяся тем, что полимер, содержащий полиамид без силиконовых фрагментов, модифицирован путем прививки к полиамиду боковых олигосилоксановых групп с использованием метода, выбранного из группы, состоящей из гидроксилилирования ненасыщенных связей в негидрированных полиамидах на основе димеров; силилирования амидных групп в полиамидах и силилирования ненасыщенных полиамидов путем окисления. 63. Композиция по п. 1 или 2, отличающаяся тем, что силиконовая жидкость является циклометиконом. 64. Косметическая композиция для уменьшения неприятного запаха от человека, содержащая композицию основы по любому из пп. 8-13 и 25-27. 65. Способ уменьшения неприятного запаха от человека, включающий нанесение косметической композиции по п. 64 на подмышечные области человека. РИСУНКИ
|
||||||||||||||||||||||||||



(
) (приблизительно 105 Па и комплексную вязкость 106 Па
секунду (и то, и другое при угловой частоте 0,1 рад-сек). С другой стороны, было определено, что коммерческий антиперспирационный гель имеет значение G

,




























