Патент на изобретение №2183642
|
||||||||||||||||||||||||||
(54) ИНГИБИТОРЫ СЕРИНОВЫХ ПРОТЕАЗ
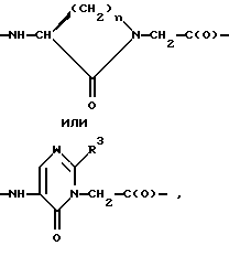
(57) Реферат: Изобретение относится к группе новых соединений общей формулы 1: R1 – SO2 – B – X – Z – C(O) – Y, где R1 представляет собой (1-12С)алкил, который необязательно может быть замещен СF3, (7-15С)аралкил или камфорил; В представляет собой связь, аминокислоту формулы -NH-CH[(CH2)pC(O)OH]-C(O)-, где р = 1, 2 или 3, D-3-Tiq или L- или D-аминокислоту, содержащую гидрофобную или нейтральную боковую цепь; Х представляет собой аминокислоту с гидрофобной боковой цепью, глутамин, циклическую аминокислоту, -NR2-CH2-C(O)- или группу: ![]() где n = 2, 3 или 4, W представляет собой СН; R3 представляет собой Н, (1-6С)алкил; Z представляет собой лизин или 4-аминоциклогексилглицин; Y представляет собой -NH-(1-6C)алкилен-C6H5, -OR4, где R4 представляет собой Н, (2-6С)алкил, или NR5R6 и R5 и R6 независимо представляют собой Н, (1-6С)алкокси или (1-6С)алкил, необязательно замещенные галогеном, или R5 и R6 вместе представляют собой (3-6С)алкилен, или R5 и R6 вместе с атомом азота, к которому они присоединены, представляют собой ![]() где V обозначает О, S или SO2; или его пролекарство, или фармацевтически приемлемая соль, при условии, что исключены нафтил-SO2-Asp-Pro-Lys [COCO]-OH, обладающих антикоагуляционной активностью; и фармацевтической композиции, обладающей ингибирующей тромбинактивностью. 2 с. и 8 з.п. ф-лы, 4 табл.
Изобретение относится к новым ингибиторам сериновых протеаз, содержащим их фармацевтическим композициям, а также к применению указанных ингибиторов при получении лекарственного препарата для лечения и профилактики связанных с тромбином заболеваний. Сериновые протеазы являются ферментами, которые помимо прочего играют важную роль в последовательности реакций свертывания крови. Представителями этой группы протеаз являются, например, тромбин, трипсин, факторы VIIa, IXa, Xa, XIa, XIIa и белок С. Тромбин является сериновой протеазой, которая регулирует последнюю стадию последовательности реакций свертывания крови. Основной функцией тромбина является расщепление фибриногена с образованием фибринмономеров, которые с помощью поперечных сшивок образуют нерастворимый сгусток. Кроме того, тромбин регулирует свою собственную продукцию путем активирования факторов V и VIII в последовательности реакций ранее. Он также имеет важное действие на клеточном уровне, где он воздействует на специфические рецепторы для того, чтобы вызвать склеивание тромбоцитов, активацию эндотелиальных клеток и пролиферацию фибробластов. Таким образом, тромбин играет центральную роль в гемостазе и образовании тромба. Поскольку ингибиторы тромбина могут широко использоваться для лечения, в этой области проводились интенсивные исследования. При разработке синтетических ингибиторов сериновых протеаз и, в частности, тромбина возрос интерес к небольшим синтетическим пептидам, которые распознаются протеолитическими ферментами, подобно природным субстратам. В результате были получены новые пептидоподобные ингибиторы, такие как ингибиторы переходного состояния тромбина. Продолжается неослабевающий поиск более эффективных и более селективных ингибиторов тромбина, с целью получения ингибиторов тромбина, которые можно было бы назначать в низких дозах и которые имели бы немногочисленные и менее выраженные побочные эффекты. Кроме того, особое внимание уделяется биодоступности при пероральном введении. Сильные ингибиторы тромбина для внутреннего введения являются клинически эффективными в острых случаях лечения сгущения крови, требующих лечения связанных с тромбином заболеваний. Однако, в частности, для профилактики связанных с тромбином заболеваний, таких как инфаркт миокарда, тромбоз и паралич, необходимо длительное лечение, предпочтительно при пероральном введении антикоагулянта. Многие из пептидоподобных ингибиторов сериновых протеаз, в частности ингибиторы тромбина, описанные в предыдущих публикациях, основаны на последовательности -D-Phe-Pro-Arg-, смотри, например, соединения, описанные Brady et al. [Bioorganic & Medical Chemistry, 3 (1995), 1063-78] и в патенте США 5597804. Ингибиторы тромбина могут также содержать боковые цепи из лизина вместо аргинина, такие как другие ингибиторы, описанные Brady et al. и Lewis et al. [Thrombosis and Haemostasis, 74(4), 1995, 1107-12] и, кроме того, Jones et al. [J. Enzyme Inhibition, 9, 1995, 43-60]. В последней публикации сообщалось, что трипептидные соединения, включающие -кетометиловые функциональные группы сложного эфира, являются неустойчивыми соединениями и, следовательно, не подходят для дальнейшей разработки в качестве ингибиторов тромбина. Кроме того, известны ингибиторы тромбина, имеющие аминоциклогексильную группу вместо лизина или аргинина в боковой цепи [WO 94/25051]. Из этих и других источников [например, патент США 5523308] известен целый ряд вариаций по С-концу этих пептидоподобных ингибиторов тромбина. Развитие данной области углубило понимание о том, как следует модулировать биологические свойства ингибиторов тромбина этого типа. Однако, несмотря на то, что значительные усилия затрачиваются на поиск селективных ингибиторов тромбина, имеющих хорошую биодоступность при пероральном введении, по-прежнему в этой области известно немного ингибиторов переходного состояния тромбина, которые отвечали этим требованиям.
Неожиданно было обнаружено, что соединения формулыR1SO2-B-X-Z-C(O)-Y (I) где R1 обозначает R2OOC-(CHR2)m– или R2NH-CO-(CHR2)m-, или выбран из (1-12С)алкила, (2-12С)алкенила, которые могут быть необязательно замещены (3-12С)циклоалкилом, (1-6С)алкокси, ОН, COOR2, СF3 или галогеном, и из (6-14С)арила, (7-15С)аралкила и (8-16С)аралкенила, арильные группы которых могут быть необязательно замещены (1-6С)алкилом, (3-8С)циклоалкилом, (1-6С)алкокси, ОН, СООН, СF3 или галогеном; m равно 1, 2 или 3; каждая группа R2 независимо представляет Н, (1-12С)алкил, (3-8С)циклоалкил, (6-14С)арил или (7-15С)аралкил, арильные группы которых могут быть замещены (1-6С)алкилом, (1-6С)алкокси или галогеном; В является связью, аминокислотой формулы -NH-СН[(CH2)pC(O)OH]-C(O)- или ее производным сложного эфира, где р равно 1, 2 или 3, Gly, D-l-Piq, D-3-Piq, D-l-Tiq, D-3-Tiq, D-Atc, Aic или L- или D-аминокислотой, содержащей гидрофобную, основную или нейтральную боковую цепь; Х является аминокислотой с гидрофобной боковой цепью, глутамином, серином, треонином, циклической аминокислотой, необязательно содержащей дополнительный гетероатом, выбранный из N, О или S, и необязательно замещенной (1-6С)алкилом, (1-6С)алкокси, бензилокси или оксо, или Х является 2-амино-изомасляной кислотой, -NR2-CH2-C(O)- или группой: ![]() или ![]() где n равно 2, 3 или 4, W представляет СН или N, и R3 представляет Н, (1-6С)алкил или фенил, которые могут быть необязательно замещены гидроксилом, (1-6С)алкокси, СООН, СОО(1-6С)алкилом, CONH2 или галогеном; Z представляет лизин или 4-аминоциклогексилглицин; Y представляет -NH-(1-6C)алкилен-С6Н5, фенильная группа которого может быть замещена (1-6C)алкилом, (1-6C)алкокси или галогеном, или Y представляет -OR4 или -NR5R6, где R4 представляет Н, (2-6С)алкил или бензил, и R5 и R6 независимо представляют Н, (1-6C)алкокси или (1-6С)алкил, необязательно замещенные галогеном, или R5 и R6 вместе представлют (3-6С)алкилен, или R5 и R6 вместе с атомом азота, к которому они присоединены, представляют где V обозначает О, S или SO2;или его пролекарство или фармацевтически приемлемая соль, являются сильными и селективными ингибиторами сериновых протеаз. Конкретно, соединения по настоящему изобретению являются ингибиторами тромбина, фактора VIIa/тканевого фактора и фактора Ха. Соединения по изобретению демонстрируют улучшенную фармакокинетику и, в частности, хорошую биодоступность после пероральното введения. У -(2-6C)-кето-сложноэфирных производных, которые являются частью настоящего изобретения, отсутствуют недостатки, присущие нестабильным описанным ранее -кето-метиловым производным сложного эфира.
Соединения по настоящему изобретению могут использоваться для лечения и профилактики заболеваний, опосредованных тромбином или связанных с тромбином. Это включает ряд тромботических и протромботических состояний, при которых активируется последовательность реакций свертывания крови, которые включают, но не ограничиваются, тромбозом глубоких вен, легочной эмболией, тромбофлебитом, закупоркой артерий в результате тромбоза или эмболии, вторичной закупоркой артерий во время или после ангиопластики или тромболизиса, вторичным стенозом после повреждения артерий или инвазивных кардиологических процедур, послеоперационным венозным тромбозом или эмболией, острым или хроническим атеросклерозом, параличом, инфарктом миокарда, раком и метастазами и нейродегенеративными заболеваниями. Соединения по изобретению можно также использовать в качестве антикоагулянтов при экстракорпоральном кровообращении, как это необходимо при диализе и операциях.
Соединения по изобретению можно также использовать в качестве антикоагулянтов in vitro.
Предпочтительными ингибиторами сериновых протеаз по этому изобретению являются соединения, где Z представляет лизин. Более предпочтительными являются соединения, где Х является циклической аминокислотой, аминокислотой с гидрофобной боковой цепью, глутамином, серином, треонином, -NR2-CH2-C(O)- или группой![]() или ![]() где R3 представляет Н, (1-6С)алкил или фенил. Особенно предпочтительными являются соединения, где Х представляет пролин, лейцин, глутамин, треонин, фенилаланин, -NR2-CH2-C(O)-, где R2 обозначает метил, циклопентил или циклогексил или группу ![]() или ![]() где R3 представляет Н или метил. Другими предпочтительными соединениями являются такие, где В обозначает связь или D-аминокислоту, содержащую гидрофобную или нейтральную боковую цепь. Наиболее предпочтительными соединениями по изобретению являются те, в которых R1 представляет (1-6С)алкил или бензил. Предпочтительно, R4 в определении Y обозначает (2-6С)алкил или бензил. Особенно предпочтительны соединения, где Y обозначает -ОСН(СН3)2. Также предпочтительны соединения, содержащие Y, обозначающий NH2. Термин (1-12С)алкил означает разветвленную или неразветвленную алкильную группу, содержащую от 1 до 12 атомов углерода, такую как метил, этил, трет-бутил, изопентил, гептил, додецил и тому подобное. Предпочтительными алкильными группами являются (1-6С)алкильные группы, содержащие 1-6 атомов углерода. (2-12С) Алкенильная группа обозначает разветвленную или неразветвленную ненасыщенную углеводородную группу, содержащую от 2 до 12 атомов углерода. Предпочтительными являются (2-6С)алкенильные группы. Примерами являются этенил, пропенил, аллил и тому подобное. Термин (1-6С)алкилен означает разветвленную или неразветвленную алкиленовую группу, содержащую от 1 до 6 атомов углерода, такую как -(CH2)s-, и s равно от 1 до 6, -СН(СН3)-, -СН(СН3)-(CH2)- и тому подобное. Предпочтительные алкиленовые группы в определении Y обозначают этилен или метилен. Термин (1-6С)алкокси означает алкоксигруппу, содержащую 1-6 атомов углерода, алкильная часть которого имеет значение, как определено выше. Термин (3-12С)циклоалкил означает моно- или бициклоалкильную группу, содержащую 3-12 атомов углерода, где циклоалкильная группа может быть необязательно замещена оксогруппой. Предпочтительным является (3-8С)циклоалкил, такой как циклопропил, циклобутил, циклопентил, циклогексил, циклогептил, циклооктил и тому подобное. Циклопентил и циклогексил являются даже более предпочтительными циклоалкильными группами. Предпочтительным циклоалкилом, замещенным алкильной группой, в определении R1 является камфорная группа. (6-14С) Арильная группа представляет ароматическую группу из 6-14 атомов углерода. Арильная группа может дополнительно содержать один или несколько гетероатомов, таких как N, S или О. Примерами арильных групп являются фенил, нафтил, (изо)хинолил, инданил и тому подобное. (7-15С) Аралкильные и (8-16С)аралкенильные группы представляют алкильные и алкенильные группы соответственно, замещенные одним или несколькими арильными группами, общее число атомов углерода составляет от 7 до 15 и от 8 до 16 соответственно. Термин галоген означает фтор, хлор, бром или йод. Термин сложноэфирное производное означает соответствующее сложноэфирное производное, предпочтительно (1-4С)алкиловые сложные эфиры, такие как метиловый, этиловый или трет-бутиловый сложные эфиры. Термин Atс означает 2-аминотетралин-2-карбоновую кислоту и Aic означает аминоинданкарбоновую кислоту. Термины 1- или 3-Tiq означают 1,2,3,4-тетрагидроизохинолин-1- и -3-карбоновую кислоту соответственно; 1- и 3-Piq являются пергидроизохинолин-1- и -3-карбоновой кислотой соответственно. Термин аминокислота, содержащая гидрофобную боковую цепь, означает аминокислоту, имеющую боковую цепь, представляющую собой (3-8С)циклоалкил, (6-14С)арил или (1-6С)алкил, где алкильная группа может быть необязательно замещена одним или несколькими (3-8С)циклоалкильными группами или (6-14С)арильными группами. Гидрофобная боковая цепь может быть необязательно замещена одним или несколькими заместителями, такими как гидроксил, галоген, трифторметил, -OSO2СF3, (1-4С)алкил (например, метил или этил), (1-4С)алкокси (например, метокси), фенилокси, бензилокси и тому подобное. Предпочтительными аминокислотами с гидрофобной боковой цепью являются лейцин, валин, циклогексилаланин, 4-метоксициклогексилаланин, циклооктилаланин, фенилаланин, D-нафтилаланин, тирозин, О-метилтирозин (или: п-метоксифенилаланин), 3,3-дифенилаланин, норлейцин и лейцин. Аминокислотами, содержащими основную боковую цепь, являются, например, но не ограничиваются ими, аргинин и лизин, предпочтительно аргинин. Термин аминокислоты, содержащие нейтральную боковую цепь, относится к аминокислотам, таким как глутамин (Gln), метионинсульфон, аспарагин (Asn) и тому подобное. Предпочтительными являются Gln и Asn. Циклическими аминокислотами являются, например, 2-азетидинкарбоновая кислота, пролин, пипеколиновая кислота, 1-амино-1-карбокси-(3-8С)циклоалкан (предпочтительно, 4С, 5С или 6С), 4-пиперидинкарбоновая кислота, 4-тиазолидинкарбоновая кислота, 3,4-дегидропролин, азапролин, 2-октагидроиндолкарбоновая кислота и тому подобное. Предпочтительными являются 2-азетидинкарбоновая кислота, пролин, пипеколиновая кислота, 4-тиазолидинкарбоновая кислота, 3,4-дегидропролин и 2-октагидроиндолкарбоновая кислота. В определениях термин замещенный означает: замещенный одним или несколькими заместителями. Изобретение также включает пролекарства соединений формулы I, которые после введения метаболизируются в активные соединения. Пригодными пролекарствами являются, например, N-алкоксикарбонил (предпочтительно N-этоксикарбонил), защищенные производные соединений формулы I. Изобретение также включает способ получения соединения формулы I, включающий связывание соответствующим образом защищенных аминокислот или аминокислотных аналогов с последующим удалением защитных групп. Соединения формулы I можно получить обычным для получения подобных соединений способом. То есть, соответственно N защищенные (и защищенные в боковой цепи, если имеются реакционноспособные боковые цепи) аминокислотные производные или пептиды активируются и связываются с соответствующими карбоксизащищенными производными аминокислот или пептидов либо в растворе, либо на твердой подложке. Защита функциональных -аминогрупп обычно проводится с помощью функциональных уретановых групп, таких как неустойчивая в кислой среде трет-бутилоксикарбонильная группа (Вос), бензилоксикарбонильная группа (Cbz) и замещенные аналоги, или неустойчивая в щелочной среде 9-флуоренилметилоксикарбонильная группа (Fmoc). Группа Cbz может быть удалена также каталитическим гидрированием. Другие подходящие аминозащитные группы включают Nps, Врос, Мsс и т.д. Хороший обзор по аминозащитным группам дан в The Peptides, Analysis, Synthesis, Biology, Vol. 3. E. Gross and J. Meienhofer, Eds. (Academic Press, New York, 1981). Защита карбоксильных групп осуществляется путем образования сложного эфира, например неустойчивых в щелочной среде эфиров, таких как метиловый или этиловый сложные эфиры, неустойчивых в кислой среде эфиров, таких как трет-бутиловые сложные эфиры, или неустойчивых при гидрировании сложных эфиров, таких как бензиловые эфиры. Защиту функциональных групп боковой цепи лизина или 4-аминоциклогексилглицина можно проводить при использовании вышеуказанных групп. Активацию карбоксильной группы подходящих защищенных аминокислот или пептидов можно проводить способами с участием азида, смешанного ангидрида, активного эфира или карбодиимида, в частности, при добавлении катализаторов и подавляющих рацемизацию соединений, таких как 1-гидроксибензотриазол, N-гидроксисукцинимид, 3-гидрокси-4-оксо-3,4-дигидро-1,2,3-бензотриазин, N-гидрокси-5-нор-борнен-2,3-дикарбоксимид. См. , например, The Peptides, Analysis, Synthesis, Biology (см. выше) и Pure and Applied Chem. 59(3), 331-344 (1987).
Соединения по изобретению, которые могут быть в виде свободного основания, можно выделить из реакционной смеси в виде фармацевтически приемлемой соли. Фармацевтически приемлемые соли можно также получить обработкой свободного основания формулы I органической или неорганической кислотой, такой как хлористоводородная, бромистоводородная, йодистоводородная, серная кислота, фосфорная кислота, уксусная кислота, пропионовая кислота, гликолевая кислота, малеиновая кислота, малоновая кислота, метансульфокислота, фумаровая кислота, янтарная кислота, винная кислота, лимонная кислота, бензойная кислота и аскорбиновая кислота.
Соединения по изобретению имеют один или несколько хиральных углеродных атомов и, следовательно, могут быть получены в виде чистого энантиомера или в виде смеси энантиомеров, или в виде смеси, содержащей диастереоизомеры. Способы получения чистых энантиомеров хорошо известны в этой области, например, путем кристаллизации солей, которые получают из оптически активных кислот и рацемической смеси, или хроматографией с использованием хиральных колонок. Для диастереоизомеров можно использовать колонки с нормальной фазой или с обращенной фазой.
Соединения по изобретению можно вводить энтерально или парентерально, для людей предпочтительно в суточной дозе 0,001-100 мг на кг массы тела, предпочтительно 0,01-10 мг на кг массы тела. Смешанные с фармацевтически приемлемыми вспомогательными веществами, например, описанными в общеизвестной ссылке Gennaro et al., Remington’s Pharmaceutical Sciences (18th ed. , Mack Publishing Company, 1990, в частности, часть 8: Pharmaceutical Preparations and Their Manufacture), соединения могут быть спрессованы в виде твердых стандартных лекарственных форм, таких как пилюли, таблетки, или представлены в виде капсул или суппозиториев. С помощью фармацевтически приемлемых жидкостей соединения могут использоваться в виде раствора, суспензии, эмульсии, например, для использования в виде инъекционного препарата или спрея, например, для использования в виде спрея для носа.
Для приготовления дозированных форм, например таблеток, предполагается использование обычных добавок, таких как наполнители, красители, полимерные связующие вещества и тому подобное. Обычно можно использовать любую фармацевтически приемлемую добавку, которая не препятствует действию активных соединений.
Приемлемые носители, которые могут быть введены вместе с композицией, включают лактозу, крахмал, производные целлюлозы и тому подобное или их смеси, используемые в приемлемых количествах.
Далее изобретение поясняется следующими иллюстративными примерами.
ОБЩЕЕСокращения: Et = этил Bzl = бензил Воc = трет-бутилоксикарбонил Cbz = бензилоксикарбонил Сhа = циклогексилаланил Pro = пролил Lys = лизил Асg=4-аминоциклогексилглицил ТФУ = трифторуксусная кислота Рас = фенилацетил Nps = нитрофенилсульфонил Врос=2-п-бифенилизопропилоксикарбонил Asp = аспартил Glu = глутамил Dpa = дифенилаланил H-Aad-OH=аминоадипиновая кислота Туr(Me) = (O-метил)тирозил Phe = фенилаланил Nal = нафтилен-2-ил-аланинил H-3-Tiq-OH = 1,2,3,4-тетрагидроизохинолин-3-карбоновая кислота Msc = метилсульфонилэтилоксикарбонил Теос = 2-(триметилсилил)этоксикарбонил norLeu(cyclo)-Gly-OH = (S)-3-амин-оксо-гексагидро-1-азепинуксусная кислота norVal(cyclo)-Gly-OH = (S)-3-амино-2-оксо-1-пиперидинуксусная кислота Эксперимент: Системами растворителей, используемыми для ВЭЖХ, являются: А: 0,5М фосфатный буфер рН = 2,1; В: вода; С: ацетонитрил/вода 3/2 объем/объем. Если не указано особо, время удерживания (Rt (ЖХ)) определяли на аналитической колонке для ВЭЖХ Supelcosil LC-18-DB (размер частиц 5 мкм; 250 2,1 мм), которую элюировали градиентом (как указано) систем растворителей А, В и С при скорости потока 0,25 мл/мин при 35oС.
Примеры 1-45 приведены в конце описания.
Биологическую активность соединений по настоящему изобретению определяли следующими аналитическими методами.
I. Антитромбиновый тестТромбин (фактор IIа) является фактором в последовательности реакций свертывания крови. Антитромбиновую активность соединений по настоящему изобретению оценивали путем спектрофотометрического определения скорости гидролиза хромогенного субстрата s-2238, используемого тромбином. Этот тест на антитромбиновую активность в буферной системе использовали для определения значения IC50 указанного в заголовке соединения. Среда исследования: Буфер на основе трометамин-NaCl-полиэтиленгликоля 6000 (ТНП) Ссылочное соединение: 12581 (Kabi) Растворитель: буфер ТНП Солюбилизации может способствовать диметилсульфоксид, метанол, этанол, ацетонитрил или трет-бутиловый спирт, которые не оказывают побочных эффектов в концентрациях до 2,5% в конечной реакционной смеси. Методика: Реактивы* 1. Трометамин-NaCl (ТН) буфер Состав буфера: Трометамин (Трис) 6,057 г (50 ммоль) NaCl 5,844 г (100 ммоль) Вода до 1 л рН раствора устанавливают 7,4 при 37oС с помощью НС1 (10 ммоль л-1)2. ТНП буфер Полиэтиленгликоль 6000 растворяют в ТН буфере до достижения концентрации 3 г л-1.
3. Раствор S-2238Одну ампулу с S-2238 (25 мг; Kabi Diagnostica, Швеция) растворяют в 20 мл ТН буфера до достижения концентрации 1,25 мг мл-1 (2 ммоль л-1).
4. Раствор тромбинаЧеловеческий тромбин (16000 nKat ампулу-1, Centraal Laboratorium voor Bloedtransfusie, Амстердам, Нидерланды) растворяют в ТНП буфере с получением маточного раствора 835 nKat мл-1.
Непосредственно перед использованием этот раствор разбавляют ТНП буфером до достижения концентрации 3,34 nKat мл-1.
* – Все используемые ингредиенты аналитической чистоты– Для водных раствор использовали сверхчистую воду (качество Milli-Q). Приготовление растворов исследуемых соединений и ссылочных соединений. Все исследуемые соединения и ссылочные соединения растворяли в воде Milli-Q с получением исходных концентраций 10-2 моль л-1. Каждую концентрацию постепенно уменьшали путем разбавления растворителем с получением концентраций 10-3, 10-4 и 10-5 моль л-1. Разбавленные растворы, включая маточный раствор, использовали при исследовании (конечные концентрации в реакционной смеси: 3 10-3; 10-3, 3 10-4; 10-4; 3 10-5; 10-5; 3 10-6 и 10-6 моль л-1 соответственно).
Ход анализаПри комнатной температуре в лунки планшета для микротитрования поочередно пипеткой вносили по 0,075 мл и 0,025 мл растворов исследуемого соединения или ссылочного соединения или растворителя и эти растворы разбавляли 0,115 мл и 0,0165 мл ТНП буфера соответственно. В каждую лунку вносили по 0,030 мл раствора S-2238 и планшет предварительно нагревали и предварительно инкубировали при встряхивании в инкубаторе (Amersham) в течение 10 минут при 37oС. После предварительной инкубации начинали гидролиз 3-2238 при добавлении в каждую лунку по 0,030 мл раствора тромбина. Планшет инкубировали (при встряхивании в течение 30 секунд) при 37oС. Исходя из 1 минуты инкубации каждые 2 минуты замеряли поглощение каждой пробы при 405 нм в течение 90 минут, используя планшет-ридер для кинетического микротитрования (Twinreader plus, Flow Laboratories). Все данные собирали в персональном компьютере IBM, используя LOTUS-MEASURE. Для каждой концентрации соединения (выраженной в моль л-1 реакционной смеси) и для контрольной пробы строили график зависимости поглощения против времени реакции в минутах.
Оценка реакций: Для каждой конечной концентрации по графику определяли максимальное поглощение. Вычисляли значение IC50 (конечная концентрация, выраженная в мкмоль л-1, вызывающая 50% ингибирование максимального поглощения в контроле), используя логит преобразующий анализ по Hafner et al., (Arzneim.-Forsch./Drug Res. 1977; 27(II): 1871-3).
Значения IC50 соединений по настоящему изобретению представлены в таблице 2.
II. Антифакторное Ха исследованиеАктивированный фактор Х (Ха) является фактором в цепи реакций свертывания крови. Антифакторную Ха активность соединений по настоящему изобретению оценивали путем спектрофотометрического определения скорости гидролиза хромогенного субстрата S-2222, используемого Ха. Это исследование на антифакторную Ха активность в буферной системе использовали для определения значения IC50 тестируемого соединения. В целом последующий ход анализа и условия исследования были аналогичны тем, что использовались в антитромбиновом исследовании, как описано выше. Различия указаны ниже. Ссылочное соединение: бензамидин Растворитель: ТНП буфер Солюбилизации может способствовать диметилсульфоксид, метанол, этанол, ацетонитрил или трет-бутиловый спирт, которые не оказывают побочных эффектов в концентрациях до 1% (для ДМСО) и 2,5% (для других растворителей) в конечной реакционной смеси. Методика: Реактивы* 3. Раствор S-2222 Одну ампулу S-2222 (15 мг; Kabi Diagnostica, Швеция) растворяли в 10 мл воды до достижения концентрации 1,5 мг.мл-1 (2 ммоль л-1)4. Раствор Ха Бычий фактор Ха человека (71 nKat ампулу-1, Kabi Diagnostica) растворяют в 10 мл ТНП буфера и затем еще разбавляли 30 мл ТНП буфера с получением концентрации 1,77 nKat мл-1. Разведенный раствор должен быть свежеприготовленным.
Ход анализаВместо раствора S-2238 (в антитромбиновом тесте) в каждую лунку в этом тесте добавляли вышеуказанный раствор S-2222. Антифакторная Ха активность представлена в таблице 3. III. Антифакторный VIIa/тканевое факторное исследование Повреждение сосудов начинает ряд ферментативных порождающих реакций, в конечном счете приводящих к образованию фибринового сгустка в месте ранения. Основной ферментативной порождающей реакцией является образование активированного фактора VII (VIIa) из проэнзимного фактора VII. Эта реакция активации протекает по еще неизвестному механизму. Одна гипотеза заключается в том, что небольшие количества фактора Ха, присутствующего в плазме, связываются со связанным с мембраной белковым тканевым фактором (ТФ) – белок, который в норме не контактирует с кровью, но который становится доступным для нее при ранении, – и что этот комплекс связанного с мембраной ТФ и фактора Ха активирует фактор VII (источник 1). Активированный фактор VII затем также связывается со связанным с мембраной ТФ и этот внутренний теназный комплекс затем превращает фактор Х в фактор Ха. Тромбоз происходит, когда имеется недостаточная регуляция свертывания крови. Одним путем восстановления этого контроля является ингибирование основных ферментов свертывания крови, таких, например, как комплекс, связанного с мембраной ТФ и фактора VIIa. Поскольку ингибиторы фактора VIIa или комплекса фактора VIIa/ТФ наиболее вероятно будут также ингибировать теназный комплекс, ингибиторы последнего комплекса можно также установить при определении ингибирования фактора VIIa или комплекса фактора VIIa/ТФ под действием исследуемых соединений. Описывается метод, с помощью которого можно установить ингибирующую способность соединений в отношении комплекса фактора VIIa/ТФ. Исследуемые соединения смешивают в различных концентрациях с фактором VIIa и ТФ и с хромогенным субстратом, о котором известно, что он значительно лучше расщепляется под действием связанного с ТФ фактора VIIa, чем свободного фактора VIIa. Имеющую место амидолитическую реакцию постоянно прослеживают планшет-ридером для микротитрования. Ингибирующая способность исследуемых соединений выражается в виде IC50, определяемой как концентрация соединений, дающая 50% ингибирование амидолитической реакции, в течение девяноста минут после начала реакции. Реактивы: Буфер Hepes 10-кратно концентрированный буфер Hepes готовят растворением 29,40 г СаС12 2Н2О, 47,66 г Hepes, 87,66 г NaCl и 30,00 г полиэтиленгликоля (ПЭГ) с молекулярной массой 6000 в 1000 мл бидистиллированной воды. После того, как раствор нагревают до 37oС, рН буфера устанавливают 7,40 с помощью 10 молярного NaOH. Концентрированный буферный раствор хранят при 4oС и он стабилен по меньшей мере в течение двух месяцев в этих условиях. Перед использованием буфер разбавляют бидистиллированной водой в 1-8 раз с получением конечной концентрации в лунках (смотри ход анализа) 20 мМ CaCl2, 20 мМ Hepes, 150 мМ NaCl и 0,3% ПЭГ 6000. Если соединения растворяют и разбавляют в бидистиллированной воде или другом растворителе, вследствие недостаточной растворимости буфер Нерез можно разбавить в 1-6 раз для сохранения той же ионной силы в исследовании.
Рекомбинантный человечий фактор VIIaРекомбинантный человечий фактор VIIa получают из American Diagnostica Inc. , Greenwich, СТ. Каждая ампула содержит 1,2 мг рекомбинантного человечьего фактора VIIa, который лиофилизуют в 2 мл буфера, состоящего из 10 мМ глицилглицина, 50 мМ NaCl, 10 мМ CaCl2, 30 мг/мл маннита, 0,1% Твина, рН 5,5. Содержание каждой из ампул растворяют в 2 мл бидистиллированной воды, как указано производителем. Полученное таким образом 2 мл 1,2 10-5 М маточного раствора разделяют на меньшие фракции, которые хранят при -30oС. При этих условиях эти пробы фактора VIIa стабильны по меньшей мере в течение 6 месяцев.
Рекомбинантный человечий тканевый факторРекомбинантный человечий тканевый фактор получают из American Diagnostica Inc. , Greenwich, СТ. Каждая ампула содержит 25 мкг рекомбинантного человечьего тканевого фактора (нелипидизированного; молекулярная масса 35000 дальтон), который лиофилизуют в 1 мл Трис/НСl буфера (рН 8,0), состоящего из 150 мМ NaCl, 200 мМ маннита и 10 CHAPS (стероидное производное, используемое для солюбилизации мембранных белков; смотри Merck Index). Содержание каждой из ампул растворяют в 1 мл бидистиллированной воды, как указано производителем. Полученный таким образом 1 мл 7,14 10-7 М маточного раствора разделяют на меньшие фракции, которые хранят при -30oС. Хранящиеся таким образом пробы фактора VIIa стабильны по меньшей мере в течение 6-7 месяцев.
Пефахром VIIaПефахром VIIa – СН3SО2-D-Сhа-бут-Аrg-рNа АсОН (молекулярная масса 670,8) получают из Pentapharm Ltd. , Базель, Швейцария, в ампулах, содержащих 10 мкмоль этого хромогенного субстрата. В день постановки опыта содержимое ампулы растворяют в 8,33 мл бидистиллированной воды, получая 1,2 мМ раствор пефахрома VIIa. To, что остается от этого раствора, хранят при -30oС, и он стабилен в этих условиях по меньшей мере в течение 6 месяцев.
Раствор рекомбинантного ТФ/рекомбинантного фактора VIIaВ день постановки опыта находящуюся при глубокой заморозке пробу 1,2 10-5 М рекомбинантного фактора VIIa и находящуюся при глубокой заморозке 7,14 10-7 М рекомбинантного человечьего тканевого фактора размораживают. Размороженный 7,14 10-7 М раствор рекомбинантного человечьего ТФ разбавляют до 4 10-7 М и 30 мкл этого раствора смешивают с 1 мкл размороженного 1,2 10-5 М раствора рекомбинантного фактора VIIa и с 449 мкл буфера Hepes, получая раствор буфера Hepes, содержащего 25 нМ рекомбинантного фактора VIIa и 25 нМ ТФ. Количество в 480 мкл раствора ТФ/фактора VIIa достаточно для исследования ингибирования восьми растворов одного исследуемого соединения. N число такого количества необходимо для установления IC50 N исследуемых соединений.
Приготовление исследуемых соединений:Исследуемые соединения растворяют в буфере Нерез с получением 5 10-5 М маточных растворов (А). Из этого раствора готовят семь дополнительных растворов с концентрациями 1,67 10-3 М (В), 5,56 10-4 М (С), 1,85 10-4 М (Д), 6,17 10-5 М (Е), 2,06 10-5 М (F), 6,86 10-6 М (G) и 2,29 10-6 М (Н) разбавлением каждого предшествующего раствора в три раза буфером Hepes. Такой ряд растворов готовят для стандарта Оrg 34593 и также для каждого из N-1 исследуемых соединений. Если полагается, что будет удобнее, можно приготовить другие ряды растворов с другими концентрациями соединений.
Ход анализаСоединения распределяют ряд за рядом на планшете для микротитрования и один ряд из восьми лунок оставляют для неингибированных реакций. Во все (N+1) 8 лунок восьмиканальной пипеткой вносят по 100 мкл буфера Нереs. Здесь N означает число различных исследуемых соединений, включая стандарт Оrg 34593. Затем восьмиканальной пипеткой вносят по 50 мкл 1,2 мМ раствора пефахрома VIIa к 100 мкл Нереs буфера во все (N+1) 8 лунок, приготовленных для исследования соединений и контрольных реакций.
Затем 50 мкл каждого из восьми растворов первого, второго, третьего и до N-ного соединения смешивают в порядке снижения концентрации с содержимым первой (А) до восьмой (Н) лунки рядов 1, 2, 3 до N соответственно так, чтобы получить одно соединение на ряд при распределении сверху вниз в порядке снижения концентраций соединения на ряд. Наконец в восемь лунок N+1-го ряда, приготовленных для контрольных реакций, вносят по 50 мкл буфера Нереs.
После того, как приготовлен весь планшет, его встряхивают в течение 1 минуты во встряхивателе/инкубаторе для планшетов для микротитрования (Amersham) и растворы нагревают до 37oС при инкубировании планшета в том же аппарате в течение 10 минут.
Реакцию начинают при добавлении в каждую из (N+1) 8 лунок с помощью восьмиканальной пипетки по 50 мкл раствора 25 нМ фактора VIIa/25 нМ ТФ, который предварительно нагревают при 37oС. После встряхивания планшета в течение 30 секунд его помещают в термостатированный планшет-ридер для микротитрования и в каждой лунке определяют поглощение при 405 нм с интервалом I минуту в течение 90 минут. Значения поглощения собирают в LOTUS 1.2.3, нагруженный в ПК, соединенный с кинетическим ридером.
Оценка:Для конечных значений поглощения на 90 минут делают поправку на контрольное поглощение в начале теста вычитанием соответствующего первого значения поглощения, замеренного через 1 минуту после начала реакции. Скорректированные значения конечного поглощения в присутствии (Abs[I]) и отсутствии (Abs[0]) для исследованного соединения превращают в логит значения, высчитав +log((Abs[0] /Abs[I]-1) для каждой концентрации [I] исследуемого соединения. Строят график зависимости этих логит значений против -log концентраций исследуемого соединения. Подобный график логит значений обычно показывает линейную зависимость между 20% и 80% ингибированием конечного поглощения. Значение pIC50 определяют как -log(концентрации в М) исследуемого соединения, для которого логит значение равно нулю. Это значение высчитывают линейной регрессией отношения логит значений против -log[I] предпочтительно около нулевого логит значения. Когда исследуемое соединение является таким активным в отношении фактора VIIa/ТФ, что pIC50 можно высчитать экстраполяцией вместо интерполяции, лучше всего приготовить дополнительный ряд разведении этого исследуемого соединения и вновь поставить тест. Этот метод определения pIC50 описывается Hafner et al. (источник 2). Соответствующее значение IC50 определяется, как 10-pIC50 и выражается в молях. Необходимое количество: Для определения IC50 исследуемого соединения необходимо примерно 1 мг. Ссылочное соединение: В качестве ссылочного соединения можно использовать Org 34593 (РРАСК). У этого соединения IC50 равна 3 10-7 М.
В виде единичной точки определения антифакторной VIIa/тканевой факторной активности соединений по настоящему изобретению процент ингибирования при концентрации 1 10-5 М представлен в таблице 4. Определения процентов проводили методами, описанными выше. В таблице 4 представлена антифакторная VIIa/тканевая факторная активность (процент ингибирования при концентрации 1 10-5 М).
Источники информации1. The structural biology of expression and function of Tissue Factor: Edgington, T.S., et al. in Thrombosis and Haemostasis 66(1), 67-79 (1991). 2. Mathematical analysis of concentration response relationships: Hafner, D. et al. in Arzneim. Forsch. /Drug Research 27, 1871-1873 (1977). Формула изобретения
R1-SO2-B-X-Z-C(O)-Y, где R1 представляет собой (1-12С)алкил, который необязательно может быть замещен СF3, (7-15С)аралкил или камфорил; В представляет собой связь, аминокислоту формулы -NH-CH[(CH2)pC(O)OH]-C(O)-, где р = 1, 2 или 3, D-3-Tiq или L- или D-аминокислоту, содержащую гидрофобную или нейтральную боковую цепь; Х представляет собой аминокислоту с гидрофобной боковой цепью, глутамин, циклическую аминокислоту, -NR2-CH2-C(O)- или группу: ![]() или ![]() где n = 2, 3 или 4, W представляет собой СН; R3 представляет собой Н, (1-6С)алкил; Z представляет собой лизин или 4-аминоциклогексилглицин; Y представляет собой -NH-(1-6C)алкилен-C6H5, -OR4, где R4 представляет собой Н, (2-6С)алкил, или NR5R6 и R5 и R6 независимо представляют собой Н, (1-6С)алкокси или (1-6С)алкил, необязательно замещенные галогеном, или R5 и R6 вместе представляют собой (3-6С)алкилен, или R5 и R6 вместе с атомом азота, к которому они присоединены, представляют собой ![]() где V обозначает О, S или SO2; или его пролекарство, или фармацевтически приемлемая соль, при условии, что исключены нафтил-SO2-Asp-Pro-Lys [COCO]-OH, бензил-SO2-нopLeu(цикло)Gly-Lys [COCO]-OH и этил-SO2-D-Phe-Pro-Lys -[COCO]-OH.2. Соединение по п.1, где Z представляет собой лизин. 3. Соединение по п.1 или 2, где Х представляет собой циклическую аминокислоту, аминокислоту с гидрофобной боковой цепью, глутамин, -NR2-CH2-C(O)- или группу ![]() или ![]() где R3 представляет собой Н, (1-6С)алкил или фенил. 4. Соединение по любому из пп.1-3, где Х представляет собой пролин, лейцин, глутамин, фенилаланин или группу ![]() или ![]() где R3 обозначает Н или метил. 5. Соединение по любому из пп.1-4, где В представляет собой связь, D-аминокислоту, содержащую гидрофобную или нейтральную боковую цепь. 6. Соединение по любому из пп.1-5, где R1 представляет собой (1-6С)алкил или бензил. 7. Соединение по любому из пп.1-6, где Y представляет собой -ОСН(СН3)2. 8. Соединение по п.1, представляющее собой ![]() или его пролекарство или фармацевтически приемлемая соль. 9. Соединение по любому из пп.1-8, обладающее антикоагуляционной активностью. 10. Фармацевтическая композиция, обладающая ингибирующей тромбинактивностью, содержащая соединение по любому из пп.1-9 и фармацевтически приемлемые лекарственные вещества. РИСУНКИ
MM4A Досрочное прекращение действия патента Российской Федерации на изобретение из-за неуплаты в установленный срок пошлины за поддержание патента в силе
Дата прекращения действия патента: 29.04.2003
Извещение опубликовано: 20.11.2004 БИ: 32/2004
|
||||||||||||||||||||||||||



[COCO]-OH,
обладающих антикоагуляционной активностью; и фармацевтической композиции, обладающей ингибирующей тромбинактивностью. 2 с. и 8 з.п. ф-лы, 4 табл.
-кетометиловые функциональные группы сложного эфира, являются неустойчивыми соединениями и, следовательно, не подходят для дальнейшей разработки в качестве ингибиторов тромбина. Кроме того, известны ингибиторы тромбина, имеющие аминоциклогексильную группу вместо лизина или аргинина в боковой цепи [WO 94/25051]. Из этих и других источников [например, патент США 5523308] известен целый ряд вариаций по С-концу этих пептидоподобных ингибиторов тромбина. Развитие данной области углубило понимание о том, как следует модулировать биологические свойства ингибиторов тромбина этого типа. Однако, несмотря на то, что значительные усилия затрачиваются на поиск селективных ингибиторов тромбина, имеющих хорошую биодоступность при пероральном введении, по-прежнему в этой области известно немного ингибиторов переходного состояния тромбина, которые отвечали этим требованиям.
Неожиданно было обнаружено, что соединения формулы

где V обозначает О, S или SO2;



2,1 мм), которую элюировали градиентом (как указано) систем растворителей А, В и С при скорости потока 0,25 мл/мин при 35oС.
Примеры 1-45 приведены в конце описания.
Биологическую активность соединений по настоящему изобретению определяли следующими аналитическими методами.
I. Антитромбиновый тест






