Патент на изобретение №2183637
|
||||||||||||||||||||||||||
(54) СПОСОБ СОВМЕСТНОГО ПОЛУЧЕНИЯ 1-ЭТИЛ-2-АЛКИЛИДЕНАЛЮМАЦИКЛОПЕНТАНОВ И 1-ЭТИЛ-2-МЕТИЛЕН-3-АЛКИЛАЛЮМАЦИКЛОПЕНТАНОВ
(57) Реферат: Описывается способ совместного получения 1-этил-2-алкилиденалюмациклопентанов общей формулы (1) и 1-этил-2-метилен-3-алкилалюмациклопентанов общей формулы (2), где R=н-С6Н13, н-C8H17, отличающийся тем, что алкилалкилен общей формулы R-= =, где R, как определено выше, подвергают взаимодействию с триэтилалюминием Еt3Аl в мольном соотношении R-= =: Еt3AlCl2=10: (10 -14) соответственно в присутствии катализатора цирконацендихлорида (Cp2ZrCl2) в количестве 2-6 мол.% по отношению к алкилаллену в среде гексана и реакцию проводят в атмосфере аргона, при комнатной температуре (~20oС) и нормальном давлении в течение 8-12 ч. Предлагаемый способ получения может найти применение в промышленном органическом синтезе, в частности полимеризационных процессах, где получаемые соединения играют роль катализаторов. 1 табл.
![]()
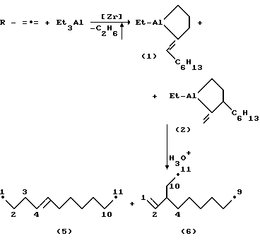
Изобретение относится к способам получения новых алюминийорганических соединений (АОС), конкретно к совместному способу получения 1-этил-2-алкилиденалюмациклопентанов (1) и 1-этил-2-метилен-3-алкилалюмациклопентанов (2) общей формулы: ![]() ![]() где R=н-С6Н13, н-С8Н17 Предлагаемый способ AOC может найти применение в промышленном органическом синтезе, в частности полимеризационных процессах, где играют роль сокатализаторов. Сочетание соединений металлов переменной валентности и АОС представляет собой высокоактивные катализаторы стереорегулярной поли- и олигомеризации олефинов и диенов. В тонком органическом и металлоорганическом синтезах высокая реакционная способность АОС позволяет решать важные задачи – создание новых связей С-С и преобразование функциональных групп. Поэтому АОС широко используются в качестве промежуточных соединений в синтезе большого ассортимента функциональных производных органических соединений ([1] , Кучин А.В., Толстиков Г.А. Препаративный алюминийорганический синтез. Сыктывкар, 1997, 208 с). Известен способ ([1] Джемилев У.М., Ибрагимов А.Г., Золотарев А.П. Известия Академии наук, 1979, 1, с. 207) получения пятичленных циклических АОС, а именно 1-этил-3-алкилалюмациклопентанов (3) взаимодействием -олефинов с триэтилалюминием в присутствии Ср2ZrCl2, взятых в мольном соотношении 1:(1-1,2):0,02, при температуре ~200C за 6-8 ч по схеме:![]() где R=C5H11; С7Н15; С8Н17. Известный способ не позволяет получать непредельные циклические АОС (1) и (2). Известен способ ([2] Dzhemilev U. M., Ibragimov A.G., Zolotarev A.P. Mendeleev Commun. , 1992, 4, p. 135) получения непредельных пятичленных циклических АОС, а именно 1-этил-2,3-диалкил(фенил)алюмациклопент-2-енов (4) взаимодействием диалкил-(фенил)ацетиленов с триэтилалюминием, взятых в мольном соотношении соответственно 1:2,5 в присутствии 3-5 мол. % Cp2ZrCl2 при температуре 23-25oС за 10-12 ч по схеме: ![]() Известный способ не позволяет получать АОС (1)и(2). Таким образом, в литературе отсутствуют сведения по синтезу 1-этил-2-алкилиденалюмациклопентанов (1) и 1-этил-2-метилен-3-алкилалюмациклопентанов (2). Предлагается новый способ селективного синтеза 1-этил-2-алкилиденалюмациклопентанов (1) и 1-этил-2-метилен-3-алкилалюмациклопентанов (2). Сущность способа заключается во взаимодействии алкилалленов общей формулы R-= = , где R=н-С6Н13, н-C8H17, с триэтилалюминием (Еt3Аl), взятыми в мольном соотношении R-= =: Еt3Аl=10:(10-14) преимущественно 10:12, в присутствии катализатора цирконацендихлорида (Ср2ZrСl2) в количестве 2-6 мол. % по отношению к алкилаллену, предпочтительно 4 мол. %, в атмосфере аргона при комнатной температуре (~20oС) и нормальном давлении в гексане. Время реакции 8-12 ч, предпочтительно 10 ч. Общий выход 1-этил-2-алкилиденалюмациклопентанов (1) и 1-этил-2-метилен-3-алкилалюмациклопентанов (2) составляет 76-92%, соотношение (1):(2) ~ 2:1.
Реакция протекает по схеме:![]() где R=С6Н13; C8H17. 1-Этил-2-алкилиденалюмациклопентаны (1) и 1-этил-2-метилен-3-алкилалюмациклопентаны (2) образуются только лишь с участием Еt3А1 и циркониевого катализатора Cp2ZrCl2. В присутствии других соединений алюминия (например, Bu2 iAlCl, Вu3 iА1, Bu2 iAlH, EtAlCl2, Et2AlCl) или другого катализатора (например, Cp2TiCl2, Zr(acac)4, Pd(acac)2, Ni(acac)2, NiCl2, FеС13) целевые продукты (1) и (2) не образуются. Проведение указанной реакции в присутствии циркониевого катализатора Cp2ZrCl2 больше 6 мол. % не приводит к существенному увеличению выхода целевых продуктов. Использование катализатора менее 2 мол. % снижает выход АОС (1) и (2), что связано, возможно, со снижением каталитически активных центров в реакционной массе. Синтезы осуществляли при температуре ~20oС. При более высокой температуре (например, 40oС) не наблюдается существенного увеличения выхода целевых продуктов, а при меньшей температуре (например, 0oС) снижается скорость реакции. Изменение соотношения исходных реагентов в сторону увеличения содержания Еl3Аl по отношению к исходному килаллену не приводит к существенному повышению выхода целевых продуктов (1) и (2). Существенные отличия предлагаемого способа: 1. В предлагаемом способе используются в качестве исходных непредельных соединений алкилаллены (R-= =), которые обуславливают формирование 1-этил-2-алкилиденалюма-циклопентанов (1) и 1-этил-2-метилен-3-алкилалюмациклопентанов (2). В известном способе применяются в качестве исходных непредельных соединений дизамещенные ацетилены, которые способствуют формированию 1-этил-2,3-диалкил(фенил)алюма-циклопент-2-енов (4).
Предлагаемый способ обладает следующими преимуществами:1. Способ позволяет получать с высокой селективностью 1-этил-2-алкилиденалюмациклопентаны (1) и 1-этил-2-метилен-3-алкилалюмациклопентаны (2), синтез которых в литературе не описан. Способ поясняется следующими примерами: Пример 1. В стеклянный реактор объемом 50 мл, установленный на магнитной мешалке в атмосфере аргона, помещают 5 мл гексана, 10 ммолей н-гексилаллена, 0,4 ммолей Cp2ZrCl2, при температуре ~0oС 12 ммолей Еt3Аl, перемешивают 10 ч при ~20oС. Получают 1-этил-2-гексилиденалюмациклопентан (1) и 1-этил-2-метилен-3-гексилалюмациклопентан (2) с общим выходом 83% и соотношением (1):(2)~ 2: 1. Общий выход целевых продуктов (1), (2) определяли по продуктам гидролиза. При гидролизе полученных 1-этил-2-гексилиденалюмациклопентано- (1) и 1-этил-2-метилен-3-гексилалюмациклопентана (2) образуются ундецен-4 (5) и 3-этилнонен-1(6), идентифицированные с помощью ЯМР13С, а также сравнением с известными образцами: ![]() Спектр ЯМР13С ( , м. д. ) ундецена-4 (5): 13,89 к (С1), 22,74 т (С2), 27,35 т (С3), 129,71 д (С4), 130,17 д (С5), 31,90 т (С6), 29,43 т (С7), 29,11 т (С8), 29,89 д (С9), 23,00 д (С10), 14,15 т (С11).
Спектр ЯМР13С ( , м. д. ) 3-этилнонена-1 (6): 114,04 т (С1), 143,50 д (С2), 45,95 д (С3), 34,77 т (С4), 27,29 т (С5), 29,56 т (С6), 32,04 т (С7), 22,80 к (С8), 14,22 к (С9), 27,81 т (С10), 11,68 к (С11).
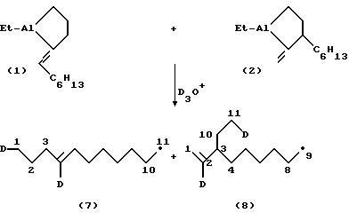
Целевые продукты (1) и (2) идентифицировали анализом продуктов дейтеролиза (7) и (8).Идентификация с прмощью ЯМР13 C непосредственно АОС (1) и (2) затруднена из-за уширения сигналов –глеродных атомов за счет квадрупольной релаксациии на ядрах . При дейтеролизе АОС (1) и (2) получены соответственно 1,4-дидейтероундецен-4 (7) и 2-дейтеро-3(2,-дейтероэтил)нонен-1 (8)![]() Спектр ЯМР13С ( , м.д.) 1,4-дидейтероундецена-4 (7): 13,89 (С1), 22,80 (С2), 27,29 (С3), 129,38 (слабо интенс.) (С4), 130,17 (С5), 31,90 (С6), 29,30 (С7), 29,11 (С8), 29,89 (С9), 22,82 (С10), 14,22 (С11).
Спектр ЯМР13С ( , м.д.) 2-дейтеро-3(2,дейтероэтил)нонена-1 (8): 113,91 (С1), 45,82 (С3), 34,77 (С4), 27,74 (С5), 29,56 (С6), 32,69 (С7), 22,80 (С8), 14,22 (С9), 27,29 (С10), 12,74 (С11).
Другие примеры, подтверждающие способ, приведены в таблице.
Реакции проводили при комнатной температуре (~20oС) в гексане. Соотношение целевых продуктов (1) и (2) составляло во всех опытах ~2:1.
Формула изобретения
![]() ![]() где R=н-С6Н13, н-C8H17, отличающийся тем, что алкилалкилен общей формулы R- = =, где R как определено выше, подвергают взаимодействию с триэтилалюминием Et3Al в мольном соотношении R- = =: Еt3АlCl2=10:(10-14) соответственно, в присутствии катализатора цирконацендихлорида (CpZrCl2) в количестве 2-6 мол.% по отношению к алкилаллену в среде гексана и реакцию проводят в атмосфере аргона, при комнатной температуре (~20oС) и нормальном давлении в течение 8-12 ч.
РИСУНКИ
MM4A Досрочное прекращение действия патента Российской Федерации на изобретение из-за неуплаты в установленный срок пошлины за поддержание патента в силе
Дата прекращения действия патента: 26.09.2002
Номер и год публикации бюллетеня: 16-2004
Извещение опубликовано: 10.06.2004
|
||||||||||||||||||||||||||

=, где R, как определено выше, подвергают взаимодействию с триэтилалюминием Еt3Аl в мольном соотношении R-=


-олефинов с триэтилалюминием в присутствии Ср2ZrCl2, взятых в мольном соотношении 1:(1-1,2):0,02, при температуре ~200C за 6-8 ч по схеме:



, м. д. ) ундецена-4 (5): 13,89 к (С1), 22,74 т (С2), 27,35 т (С3), 129,71 д (С4), 130,17 д (С5), 31,90 т (С6), 29,43 т (С7), 29,11 т (С8), 29,89 д (С9), 23,00 д (С10), 14,15 т (С11).
Спектр ЯМР13С (
. При дейтеролизе АОС (1) и (2) получены соответственно 1,4-дидейтероундецен-4 (7) и 2-дейтеро-3(2,-дейтероэтил)нонен-1 (8)

