Патент на изобретение №2183622
|
||||||||||||||||||||||||||
(54) АНАЛОГИ ВИТАМИНА D, СПОСОБ ИХ ПОЛУЧЕНИЯ, ФАРМАЦЕВТИЧЕСКАЯ КОМОПЗИЦИЯ
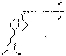
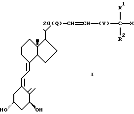
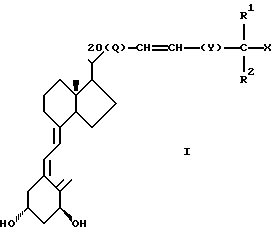
(57) Реферат: Изобретение относится к аналогам витамина D общей формулы I, где Х – гидрокси; R1 и R2 – одинаковые или разные, Н, СН3, С2Н5 или их циклопропил; Q – метилен, этилен, три- или тетраметилен, необязательно замещенный гидроксигруппой или группой -ОR3, где R3-Н, метил или этил; Y – одинарная связь или С1-С2– гидроксикарбилен. Описан способ получения I. Соединения обладают способностью индуцировать аномальную дифференциацию и/или пролиферацию клеток. 3 с. и 6 з.п. ф-лы, 3 табл.
Данное изобретение относится к неизвестному до сих пор классу соединений, которые проявляют сильную активность в индуцировании дифференциации и ингибировании нежелательной пролиферации некоторых клеток, включая клетки кожи и раковые клетки, а также иммуномодулирующее и противовоспалительное действие, фармацевтическим препаратам, содержащим эти соединения, стандартным дозам (дозированным единицам) таких препаратов, и их использованию для лечения и/или профилактики болезней, характеризующихся аномальной дифференциацией клеток и/или пролиферацией клеток, например псориаза и других нарушений кератинизации, ВИЧ-связанных дерматозов, заживления ран, рака, включая рак кожи, и болезни иммунной системы или дисбаланса в иммунной системе, такого как реакция “хозяин против трансплантата” и “трансплантат против хозяина” и отторжение трансплантата, и аутоиммунных болезней, таких как дискоидная и системная красная волчанка, сахарный диабет и хронические дерматозы аутоиммунного типа, например, склеродермия и обыкновенная пузырчатка, и воспалительных болезней, таких как ревматоидный артрит и астма, а также ряда других болезненных состоянии, включая гиперпаратиреоз, особенно вторичный гиперпаратиреоз, связанный с почечной недостаточностью, недостаточность познавательной способности или старческое слабоумие (болезнь Альгеймера) и другие нейродегенеративные болезни, гипертензии, акне, алопеции, атрофии кожи, например, индуцированной стероидами атрофии кожи, старение кожи, включая фотостарение, и их использованию для стимулирования остеогенеза и лечения/профилактики остеопороза и остеомаляции. Соединения изобретения образуют новый класс аналогов витамина D, представленных общей формулой 1: ![]() где Х представляет водород или гидрокси; R1 и R2, которые могут быть одинаковые или разные, представляют водород или С1-С5-гидрокарбил (углеводородный радикал); Q представляет метилен, этилен, три- или тетраметилен и может быть необязательно замещен оксигруппой; -OR3, где R3 представляет водород, метил или этил; Y представляет либо одинарную связь, либо C1-С2-гидрокарбилен (углеводородный бирадикал); и один или несколько углеводородов в R1, R2 и/или Y могут быть необязательно замещены одним или несколькими атомами фтора или гидроксильной группой. В контексте этого изобретения гидрокарбил (гидрокарбилен) обозначает радикал (бирадикал), полученный после удаления 1(/2) атома(ов) водорода у неразветвленного, разветвленного или циклического насыщенного или ненасыщенного углеводорода. Примеры R1 и R2, когда они взяты по отдельности, включают, но не ограничиваются ими, водород, метил, трифторметил, гидроксиметил, этил, 1- или 2 гидроксиэтил, винил, этинил, нормальный, изо- и циклопропил, пропен-2-ил и 3-пентил. Примеры R1 и R2, когда они взяты вместе, включают этилен, три-, тетра- и пентаметилен. Примеры Q с оксизаместителем включают, но не ограничиваются ими, гидроксиметилен, 1- или 2-гидроксиэтилен, 1-, 2- или 3-гидрокситриметилен и соответствующие бирадикалы, в которых гидрокси образует простой эфир с метилом или этилом. Примеры Y (когда он не представляет одинарную связь) включают, но не ограничиваются ими, метилен, гидроксиметилен, дифторметилен, этилен, этилиден (:СН-СН3), СН=СН, C C, 1- или 2-гидроксиэтилен.
Соединения формулы 1 включают более, чем одну диастереоизомерную форму (конфигурации Е и Z двойной связи боковой цепи и дополнительно, например, конфигурации R и S у углерода, имеющего группу X, когда R1 и R2 отличаются друг от друга и от X, и конфигурации Е или Z, когда двойная связь присутствует в группах Y или R (1 или 2). Изобретение включает все эти диастереоизомеры в чистой форме и также их смеси. Кроме того, рассматриваются также пролекарства 1, в которых одни или несколько гидроксигрупп замаскированы как группы, которые можно снова превратить в гидроксигруппы in vivo.
Соединения 1, у которых Х является гидрокси, представляют предпочтительные соединения, но соединения 1, у которых Х представляет водород, являются действительно другим типом пролекарства. Эти соединения относительно неактивны in vitro, но превращаются в активные соединения формулы 1 ферментативным гидроксилированием боковой цепи в одном или нескольких положениях в части -(Y)СНR1R2 молекулы после введения пациенту.
Соединения 1 можно получить в кристаллической форме либо непосредственно концентрированием из органического растворителя, либо кристаллизацией или перекристаллизацией из органического растворителя или смеси этого растворителя и сорастворителя, который может быть органическим или неорганическим, таким как вода. Кристаллы можно выделить в форме, по существу не содержащей растворитель, или в виде сольвата, такого как гидрат. Это изобретение включает все кристаллические модификации и формы, а также их смеси.
Недавно был описан ряд аналогов витамина D, которые проявляют некоторую степень селективности в пользу активности по индуцированию дифференциации клеток/ингибированию пролиферации клеток in vitro по сравнению с действием на метаболизм кальция in vivo (как измерено при повышенной концентрации кальция в сыворотке крови и/или повышенной мочевой экскреции кальция), который неблагоприятно ограничивает дозу, которую можно было бы ввести безопасно. Одно из первых появившихся таких соединений, кальципотриол (INN) или кальципотриен (USAN), было разработано на основе этой селективности и теперь признается во всем мире как эффективное и безопасное лекарственное средство для местного лечения псориаза.
Исследование с другими аналогами (ЕВ 1089), выбранными на этой основе подтверждает концепцию, что системно введенные аналоги витамина D могут ингибировать пролиферацию клеток рака молочной железы in vivo при субтоксичных дозах (Colston, K.W. et al., Biochem/Pharmacol. 44, 2273-2280 (1992).
Был сделан обзор подающих надежды иммуносупрессивной активности аналогов витамина (D. Binderup, L., Biochem. Pharmacol. 43, 1885-1892 (1992)). Так, ряд аналогов 20-эпи-витамина D был идентифицирован в качестве сильнодействующих ингибиторов активации Т-лимфоцитов in vitro (Binderup, L., Biochem. Pharmacol. 42, 1569-1575 (1991)). Два из этих аналогов, МС 1288 и КН 1060, вводимых системно, обнаружили иммуносупрессивную активность in vivo на экспериментальных моделях животных. Дополнительное или синергическое действие наблюдали в сочетании с низко токсичным циклоспорином А. Было показано, что КН 1060, отдельно или в комбинации с циклоспорином А, предотвращает аутоиммунную деструкцию трансплантированных островков у диабетических мышей NOD (Bouillon, R.Et al. In; Vitamin D, Procсedings of the Ninth Workshop on Vitamin D, Oriando, Florida, Walter de Gruyter, Berlin, 1994, pp. 551-552). MC 1288 был способен пролонгировать срок жизнеспособности трансплантатов сердца и тонкой кишки у крыс (Johnsson, С. et al. In: Vitamin D, Procсedings of the Ninth Workshop on Vitamin D, Orlando, Florida, Walter de Gruyter, Berlin, 1994, pp. 549-550). Однако во всех этих исследованиях дозы аналога, которые оказывали значительную иммуносупрессию, вызывали также повышение уровней кальция в сыворотке крови. Следовательно, существует постоянная потребность в новых аналогах с приемлемой комбинацией пролонгированной терапевтической активности и минимальным токсичным действием.
Соединения настоящего изобретения представляют собой до сих пор нераскрытый ряд аналогов 1 -гидрокси-20-эпи-витамина D, характеризующихся присутствием дистальной углерод-углеродной двойной связи в боковой цепи, т. е. расположенной таким образом, что несвязанный двойной связью атом непосредственно соединяется с С-20. [Ряд аналогов 20-эпи-витамина D, которые не содержат двойную связь в боковой цепи или 22,23-двойную связь (С-22 связывается непосредственно с С-20), описываются в Международной патентной заявке с номером публикации WO 91/00271. Появились сообщения о соединениях, имеющих природную конфигурацию у С-20 и содержащих 23,24- или 24,24а-двойную связь (Uskokovic, M. R. et al. In; Vitamin D: Gene Regulation, Structure-Function Analysis and Clinical Appjication, edited by Norman, A.W., Bouillon, R. And Thomasset, M. Berlin; Walter de Gruyter, 1991, pp. 139-145, Baggiolini E.G. et al. , US 5 087 619-A (1992), Chodynski M. Et al., Steroids 56, 311-315 (1991)]. С даты подачи настоящей заявки была опубликована заявка (Kutner, А. Et al., ЕП 742 203 (1966), описывающая ряд, который, по-видимому, формально частично совпадает с соединениями 1. Однако просмотр этой заявки еще раз показывает, что рассматриваются исключительно соединения, имеющие природную конфигурацию у С-20, так как несмотря на неоднозначность общей формулы, нет указания на конфигурацию, и называют только промежуточные продукты, имеющие природную конфигурацию. Можно указать, что единственным указываемым в качестве примера соединением является фактически 20-эпимер соединения 0106. Отмечается, что приведенное в качестве примера соединение не является более сильнодействующим (“в равной степени активно”, стр. 13, строчка 27), чем природный гормон витамин D (кальцитриол), в его действии на дифференциацию раковых клеток. В противоположность этому, наши испытания с соединением 0106 показывают, что оно действует по меньшей мере в 10 раз сильнее. Аналогично этому, было обнаружено, что три других соединения данного изобретения (0101, 0103, 0105), более сильнодействующие в их действии на раковые клетки, чем их 20-эпимеры, синтезированные для целей сравнения. Действительно, было обнаружено, что ряд соединений, описанных в данной заявке, обладают исключительно высокой активностью по ингибированию пролиферации раковых клеток в сочетании с высокой иммуносупрессивной активностью.
Соединения формулы 1 можно получить общим способом схемы 1. В этой схеме исходным материалом является альдегид II, являющийся блоком образования кольца витамина D, у которого альдегидный углерод находится в положении, подходящем для образования двойной связи боковой цепи, указанной в формуле 1. В дальнейшем символ Qа означает, что эта связующая группа может быть либо идентичной с Q в соединении I, либо, альтернативно, может быть группой, которую можно превратить в Q в любой последующей стадии синтеза. Кроме того, идентичность Qa может изменяться от одного промежуточного продукта к другому промежуточному продукту по схеме реакций. Однако действительная идентичность будет очевидна из конкретного контекста.
По показанной синтетической схеме:1. II подвергают реакции с реагентом для введения двойной связи боковой цепи и удлинения цепи. Типично, это может быть реакция Виттига (или типа реакции Виттига) или реакции типа Julia). Эти способы хорошо известны в области химии витаминов D. Промежуточные продукты, имеющие Е- или Z-конфигурацию двойной связи, образованной в условиях стереоспецифической реакции, можно удобно отделить на этой стадии. Символы Ya используют для обозначения необязательной идентичности с Y или способности превращаться в Y (см. выше для аналогичного использования Qa) и символ W имеет аналогичное отношение к группе C(R1) (R2) (X) в I. Остальные стадии в синтезе включают: 2. Необязательное превращение группы Qa в Q; 3. Необязательное превращение группы Yа в Y; 4. Необязательное превращение группы W в (C(R1) (R2) (X); 5. Сенсибилизированную триплетом фотоизомеризацию триенового витамина D (5E в 5Z) и 6. Удаление силильных защитных групп кольца витамина D. Последовательность стадий от 1 до 6 может быть изменена (например, стадия (5) фотоизомеризации может предшествовать реакции (стадия 1), вводящей двойную связь) и несколько стадий могут быть объединены (например, условия стадии (6) десилилирования могут вызвать также удаление защитной группы Х спирта (стадия 4). Примеры условий и реагентов для указанных реакций (т. е. для стадий 5 и 6) хорошо известны в предшествующем уровне синтезов аналогов витамина D. Пути, альтернативные путям, показанным для любого из промежуточных продуктов II, III или IV или соединения I, доступны и будут очевидны специалисту данной области. Соединения настоящего изобретения предназначаются для использования в фармацевтических композициях, которые можно использовать при локальном или системном лечении нарушений у человека и нарушений в ветеринарии, как описано выше. Данные соединения можно использовать в комбинации с другими фармацевтическими средствами или другими способами лечения. При лечении псориаза данные соединения можно использовать в комбинации, например, со стероидами или другими способами лечения, например, фототерапией или УФ-терапией или комбинированной PUVA-терапией. При лечении рака данные соединения можно использовать в комбинации с другими антираковыми лекарственными средствами или антираковыми терапиями, такими как лучевая терапия. При профилактике отторжения трансплантата и реакции “трансплантат против хозяина” или при лечении аутоиммунных болезней данные соединения можно успешно использовать в комбинации с другими иммуносупрессивными /иммунорегулирующими лекарственными средствами или терапиями, например, с циклоспорином А. Количество соединения формулы 1 (далее называемого активным ингредиентом), требуемое для терапевтического действия, будет, конечно, изменяться в зависимости как от конкретного соединения, пути введения, так и млекопитающего, подвергаемого лечению. Соединения изобретения можно вводить парентеральным, внутрисуставным, энтеральным или местным путем. Они хорошо абсорбируются при энтеральном введении, и это предпочтительный путь введения при лечении системных нарушений. При лечении дерматологических нарушений, подобных псориазу или глазных болезней предпочтительны местные или энтеральные формы. Хотя активный ингредиент можно вводить отдельно в виде необработанного химического продукта, предпочтительно, чтобы он присутствовал в виде готовой препаративной фармацевтической формы. Пригодно, когда активный ингредиент содержится в количестве от 0,1 м. д. до 0,1 мас.% готовой препаративной формы. Готовые препаративные формы данного изобретения, как для использования в ветеринарии, так и для медицинского использования при лечении людей, таким образом, включают активный ингредиент в сочетании с его фармацевтически приемлемым носителем и необязательно другим терапевтическим ингредиентом(ами). Носитель(и) должен быть “приемлем” в том смысле, что он совместим с другими ингредиентами готовых препаративных форм и не вреден для его реципиента. Готовые препаративные формы включают, например, формы, подходящие для перорального, офтальмического, ректального, парентерального (включая подкожный, внутримышечный и внутривенный), чрескожного, внутрисуставного и местного, назального или трансбуккального введения. Термин “единица дозы” означает стандартную дозу, т.е. разовую дозу, которую можно вводить пациенту и с которой можно легко обращаться и которую можно упаковать, оставляя в виде физически и химически стабильной стандартной дозы, включающей либо активный материал как таковой, либо этот материал в смеси с твердыми или жидкими фармацевтическими разбавителями или носителями. Готовые препаративные формы можно удобно представить в стандартной лекарственной форме и можно получить любым из способов, хорошо известных в области фармации. Все способы включают стадию ассоциации активного ингредиента с носителем, который состоит из одного или нескольких дополнительных ингредиентов. В общем, готовые препаративные формы получают путем создания однородной и тесной ассоциации активного ингредиента с жидким носителем или тонко измельченным твердым носителем или тем и другим и затем, если необходимо, формование продукта в целевую готовую препаративную форму. Готовые препаративные формы данного изобретения, пригодные для перорального введения, могут быть в форме дискретных единиц, например капсул, саше, таблеток или лепешек, причем каждая содержит предварительно определенное количество активного ингредиента; в форме порошка или гранул; в форме раствора или суспензии в водной жидкости или неводной жидкости; или в форме эмульсии типа масло-в-воде или эмульсии типа вода-в-масле. Активный ингредиент можно ввести также в форме болюса, лекарственной кашки или пасты. Готовые препаративные формы для ректального введения могут быть в форме суппозитория, включающего активный ингредиент и носитель, или в форме клизмы. Готовые препаративные формы, подходящие для парентерального введения, удобно включают стерильный масляный или водный препарат активного ингредиента, который, предпочтительно, изотоничен с кровью реципиента. Чрескожные готовые препаративные формы могут быть в форме пластыря. Готовые препаративные формы, подходящие для внутрисуставного или офтальмического введения, могут быть в форме стерильного водного препарата активного ингредиента, который может быть в микрокристаллической форме, например, в форме водной микрокристаллической суспензии. Липосомные готовые препаративные формы или биоразлагаемые полимерные системы можно также использовать для введения активного ингредиента как внутрисуставным, так и офтальмическим путем. Готовые препаративные формы, подходящие для местного или офтальмического введения, включают жидкие или полужидкие препараты, такие как линименты, лосьоны, гели, примочки, эмульсии типа масло-в-воде или вода-в-масле, такие как кремы, мази или пасты; растворы или суспензии, такие как капли. Готовые препаративные формы, подходящие для введения в нос или щечный карман, включают порошок, самодиспергируемые и распыляемые готовые препаративные формы, такие как аэрозоли и распылители. Кроме вышеуказанных ингредиентов готовые препаративные формы данного изобретения могут включать один или несколько дополнительных ингрединентов, таких как разбавители, связующие, консерванты и так далее. Композиции могут дополнительно содержать другие терапевтически активные соединения, обычно применяемые при лечении вышеуказанных патологических состояний, такие как другие иммуносупрессанты при лечении иммунологических болезней или стероиды при лечении дерматологических болезней. Данное изобретение далее относится к способу лечения пациентов, страдающих одним из вышеуказанных патологических состояний, причем этот способ состоит из введения пациенту, нуждающемуся в лечении, эффективного количества одного или нескольких соединений формулы 1, взятого отдельно или в комбинации с одним или несколькими другими терапевтически активными соединениями, обычно применяемыми при лечении этих патологических состояний. Лечение данными соединениями и/или дополнительными терапевтически активными соединениями можно проводить одновременно или с интервалами. При системном лечении вводят суточные дозы от 0,001 до 2 мкг на килограмм массы тела, предпочтительно от 0,002 до 0,3 мкг/кг массы тела млекопитающего, например, 0,003-0,3 мкг/кг соединения формулы 1, типично соответствующие суточной дозе для взрослого человека от 0,2 до 25 мкг. При местном лечении дерматологических нарушений наносят мази, кремы или лосьоны, содержащие от 0,1 до 500 мкг/г, предпочтительно, от 0,1 до 100 мкг/г, соединения формулы I. Для местного использования в офтальмологии вводят мази, капли или гели, содержащие от 0,1 до 500 мкг/г, предпочтительно, от 0,1 до 100 мкг/г, соединения формулы I. Пероральные композиции изготавливают, предпочтительно, в форме таблеток, капсул или капель, содержащих от 0,05 до 50 мкг, предпочтительно, от 0,1 до 25 мкг, соединения формулы I на стандартную лекарственную дозу (единица дозы). Изобретение далее иллюстрируется следующими неограничивающими его способами получения и примерами: ПОЛУЧЕНИЯ И ПРИМЕРЫ В таблице 1 перечисляются указываемые в качестве примеров соединения 1, тогда как исходные материалы и промежуточные продукты общих формул II, III и IV перечисляются в таблице 2. В таблице 3 перечисляются соединения, которые являются промежуточными продуктами в иллюстрированном взаимном превращении соединений II. Структуры этих промежуточных продуктов приводятся в схеме 2, и включенные в схему реакции хорошо известны в области химии витаминов D. В описании используют следующие аббревиатуры: Me = метил, Et = этил, TBS = трет-бутилдиметилсилил. ОБЩИЕ ЗАМЕЧАНИЯ Термин простой эфир относится к простому диэтиловому эфиру. Петролейный эфир относится к пентановой фракции. Тетрагидрофуран (ТГФ) сушили над системой натрий/бензофенон. Реакции проводили обычным образом в атмосфере аргона, если не оговорено особо. При очистке продуктов колоночной хроматографией указывают только последнюю композицию элюента: обычно элюирование начиналось со смеси, содержащей больше петролейного эфира. Для спектров 1H ядерного магнитного резонанса (300 МГц) величины химических сдвигов ( ) (в м.д.) указываются, если не оговорено особо, для растворов в дейтериохлороформе относительно внутреннего тетраметилсилана ( =0,00) или хлороформа ( =7,25). Величина для мультиплета приводится либо определенная (дублет (д), триплет (т), квартет (к), либо неопределенная (м), приблизительно в средней точке, если только не указывается диапазон (с= синглет, шир=широкий). Кажущиеся константы взаимодействия (J) вычисляют как абсолютные величины (часто до самой приблизительной единицы) в Герцах для выбранных определенных мультиплетов. Следующие неполные спектры были общими для определенных типов описанных соединений и поэтому не приводятся для индивидуального соединения: для соединений типа II (включая промежуточные продукты от 0001 до 007 в схеме 2) и III: 0,05 (12Н, шир.с), 0,86 (9Н, с), 0,89 (9Н, с), 2,30 (1Н, шир.с, J 14), 2,55 (1H, дд, J 5 14), 2,86 (1Н, шир. д), 4,21 (1Н, м), 4,52 (1Н, м), 4,93 (1Н, м), 4,98 (1Н, м), 5,81 (1Н, д, J 11), 6,45 (1Н, д, J 11); соединений типа IV: 0,05 (12Н, м), 0,87 (18Н, с), 2,20 (1Н, дд), 2,44 (1Н, дд), 2,81 (Н, шир. д, J 11), 4,18 (Н, м), 4,36 (Н, м), 4,85 (1Н, м), 5,17 (1Н, м), 6,00 (Н, д, J 11),6,22 (Н, д, J 11); соединений типа I: 2,31 (1Н, дд, J 6,5 13); 2,59 (1H, дд, J 3 13), 2,83 (1Н, дд, J 4 11), 4,22 (1Н, м), 4,42 (1H, м), 5,00 (1H, шир. с), 5,33 (1H, шир.с), 6,02 (1H, д, J 11), 6,37 (1H, д, J 11). Некоторые или все из характеристичных сигналов не включены в общие спектры и приводятся для индивидуальных соединений. Получение 01: Соединения 0001 и 0002 К выдерживаемому при около 25oС раствору соединения 0201 (2,013 г, 3,5 ммоль) в сухом ТГФ (6 мл) добавляли через шприц винилмагнийбромид (1 М в ТГФ) (9 ммоль). После перемешивания при такой же температуре в течение 30 мин реакционную смесь распределяли между простым эфиром и насыщенным раствором хлорида аммония. Органический слой отделяли, промывали насыщенным раствором хлорида натрия, сушили над безводным сульфатом магния и фильтровали и концентрировали в вакууме, получая масло. Очистка хроматографией на силикагеле (100 г) (элюент: 20% простой эфир в петролейном эфире) давала указанные в заголовке соединения. 0001 (элюируется первым): 0,57 (3Н, с), 0,83 (3Н, д, J 6,6), от 1,25 до 2 (14Н, м), 2,07 (1Н, т, J 9), 4,41 (1Н, шир. с), 5,13 (1Н, дт, J 2 11), 5,22 (1Н, дт, J 2 17), 5,86 (1Н, ддд, J 5 11 17); 0002: 0,58 (3Н, с), 0,85 (3Н, д, J 7), от 1,2 до 2,1 (15Н, м), 4,36 (1Н, м), 5,2 (1Н, шир. д, J 11), 5,28 (1Н, шир. д, J 17), 5,92 (1Н, ддд, J 5 11 17).
Получение 02а: Соединение 0004К выдерживаемому приблизительно при -40oС раствору 18-краун-6 (0,35 г, 1,33 ммоль) и соединения 0001 (0,637 г, 1,06 ммоль) в сухом ТГФ (20 мл) добавляли порциями гидрид калия (20% дисперсия в масле) (3 ммоль), затем бромэтан (1 мл, 14 ммоль). После перемешивания при такой же температуре в течение 10 мин и затем при 25oС в течение 90 мин реакционную смесь распределяли между простым эфиром и водой. Органический слой отделяли, промывали насыщенным раствором хлорида натрия, сушили над безводным сульфатом магния и фильтровали и концентрировали в вакууме, получая масло. Очистка хроматографией на силикагеле (150 г) (элюент: 02% простой эфир в петролейном эфире) давала указанное в заголовке соединение: 0,54 (3Н, с), от 0,8 до 0,97 (3Н, д), от 1,05 до 1,97 (13Н, м), 1,16 (3Н, т, J 7), 2,04 (1Н, т, J 9), 3,25 (1Н, м), 3,51 (1 Н, м), 3,75 (1Н, дд, J 3 47), 5,13 (1Н, м), 5,15 (Н, м), 5,76 (1Н, м).
Получение 02b: Соединение 0005К выдерживаемому приблизительно при 5oС раствору 2,6-лутидина (0,75 мл, 6,5 ммоль) и соединения 0001 (0,955 г, 1,67 ммоль) в сухом дихлорметане (5 мл) добавляли через шприц трет-бутилдиметилсилилтрифторметансульфонат (0,860 г, 3,3 ммоль). После перемешивания при такой же температуре в течение 1 час реакционную смесь распределяли между простым эфиром и водой. Органический слой отделяли, промывали насыщенным раствором хлорида натрия, сушили над безводным сульфатом магния и фильтровали и концентрировали в вакууме, получая масло. Очистка хроматографией на силикагеле (100 г) (элюент: 2% простой эфир в петролейном эфире) давала указанное в заголовке соединение. Получение 02с: Соединение 0006а К выдерживаемому приблизительно при -40oС раствору 18-краун-6 (0,35 г, 1,33 ммоль) и соединения 0003 (0,617 г, 1,00 ммоль) в сухом ТГФ (20 мл) добавляли порциями гидрид калия (20% дисперсии в масле) (3 ммоль), затем иодметан (0,9 мл, 14 ммоль). После перемешивания при такой же температуре в течение 10 мин и затем при 25oС в течение 90 мин реакционную смесь распределяли между простым эфиром и водой. Органический слой отделяли, промывали насыщенным раствором хлорида натрия, сушили над безводным сульфатом магния и фильтровали и концентрировали в вакууме, получая масло. Очистка хроматографией на силикагеле (150 г) (элюент: 2% простой эфир в петролейном эфире) давала указанное в заголовке соединение. Получение 03а: Соединение 0008 К выдерживаемому приблизительно при -40oС раствору соединения 0004 (0,630 г, 1 ммоль) в простом эфире (6 мл) быстро добавляли жидкий диоксид серы (100 мл). После перемешивания при такой же температуре в течение 10 мин и затем при -10oС в течение 40 мин реакционную смесь концентрировали в вакууме. Остаток сушили в вакууме, получая твердый продукт. Без дальнейшей очистки этот продукт, содержащий указанное в заголовке соединение, использовали в следующей стадии. Получение 03b: Соединение 0009 Указанное в заголовке соединение получали аналогично методике получения 03а, но с использованием соединения 0005 (1,060 г, 1,48 ммоль) в простом эфире (3 мл) в качестве исходного материала. Получение 03с; Соединение 0010а Указанное в заголовке соединение получали аналогично методике получения 03а, но с использованием соединения 0006а (0,820 г, 1,3 ммоль) в простом эфире (3 мл) в качестве исходного материала. Получение 04 а: Соединение 0012 Выдерживаемый приблизительно при -70oС раствор соединения 0008, полученного в виде сырого продукта из соединения 0004 (0,630 г, 1 ммоль), в дихлорметане (8 мл) и метаноле (3 мл) обрабатывали озонированным кислородом до тех пор, пока исходный материал не мог больше обнаруживаться тонкослойной хроматографией. Раствор затем продували азотом и добавляли трифенилфосфин (0,4 г). После перемешивания при такой же температуре в течение 10 мин и затем при 0oС в течение 30 мин реакционную смесь концентрировали в вакууме. Остаток сушили в высоком вакууме, получая твердый продукт. Очистка хроматографией на силикагеле (100 г) (элюент: 30% простой эфир в петролейном эфире) давала указанное в заголовке соединение. Получение 04b: Соединение 0013 Указанное в заголовке соединение получали аналогично методике получения 03а, но с использованием в качестве исходного материала соединения 0009, полученного в виде сырого продукта из соединения 0005 (1,48 ммоль), в дихлорметане (12 мл) и метаноле (4 мл). Использование трифенилфосфин (0,650 г). Получение 04с: Соединение 0014а Указанное в заголовке соединение получали аналогично методике получения 03а, но с использованием в качестве исходного материала соединения 0010а, полученного в виде сырого продукта из соединения 0006а (1,3 ммоль), в дихлорметане (12 мл) и метаноле (4 мл). Использовали трифенилфосфин (0,650 г). Получение 05: Соединение 0205 К энергично перемешиваемой и выдерживаемой приблизительно при 25oС смеси соединения 0012 (0,300 г, 0,43 ммоль) в толуоле (5 мл) добавляли 5% водный раствор бикарбоната натрия (5 мл) и смесь дегазировали. После перемешивания при такой же температуре в течение 5 мин и затем при 85oС в течение 90 мин реакционную смесь распределяли между простым эфиром и водой. Органический слой отделяли, промывали насыщенным раствором хлорида натрия, сушили над безводным сульфитом магния и концентрировали в вакууме, получая масло. Очистка хроматографией на силикагеле (30 г) (элюент: 20% простой эфир в петролейном эфире) давала указанное в заголовке соединение. 0,59 (3Н, с), от 0,75 до 0,95 (3Н, д), от 1,15 до 2,15 (14Н, м), 1,26 (3Н, т, J 7), 3,42 (1Н, м), 3,71 (1Н, м), 3,82 (1H, м), 9,72 (1Н, д, J 1).
Получение 06: Соединение 0206Указанное в заголовке соединение получали аналогично методике получения 05, но с использованием соединения 0013 (0,468 г, 0,59 ммоль) в качестве исходного материала в толуоле (7 мл) и 5% водного раствора бикарбоната натрия (7 мл). Очистка хроматографией на силикагеле (50 г) (элюент: 2% простой эфир в петролейном эфире) давала указанное в заголовке соединение. 0,06 (6Н, с), 0,55 (3Н, с), от 0,8 до 0,95 (3Н, д), 0,94 (9Н, с), от 1,15 до 2,1 (14Н, м), 4,09 (1H, м), 9,62 (1H, м).
Получение 07: Соединение 0207Указанное в заголовке соединение получали аналогично методике получения 0,6, но с использованием соединения 0014 в качестве исходного материала. 0,05 (6Н, с), 0,49 (3Н, с), 0,85 (3Н, д),0,88 (9Н, с), от 1,15 до 2,05 (14Н, м), 2,52 (2Н, м), 4,24 (1Н, м), 9,77 (1Н, т, J 2).
Получение 08: Соединение 0208Указанное в заголовке соединение получали аналогично методике получения 06, но с использованием соединения 0015 в качестве исходного материала. Получение 09: Соединение 0301а и 0302а К смеси бензойной кислоты (10 мг) и метил (трифенилфосфоранилиден)ацетата (0,646 г, 1,93 ммоль) в сухом метаноле (8 мл), выдерживаемой приблизительно при -20oС, по каплям добавляли соединение 0202 (0,630 г, 1,07 ммоль) в сухом ТГФ (2 мл). После перемешивания при такой же температуре в течение 15 мин и затем при 22oС в течение ночи реакционную смесь распределяли между этилацетатом и водой. Органический слой отделяли, промывали насыщенным раствором хлорида натрия, сушили над безводным сульфатом магния и концентрировали в вакууме, получая масло. Очистка хроматографией на силикагеле (100 г) (элюент: 2% этилацетат в петролейном эфире) давала указанные в заголовке соединения. 0301 (элюирован первым): 0,56 (3Н, с), 0,84 (3Н, д), от 1,1 ДО 2,15 (15Н, м), 2,49 (1Н, м), 3,71 (3Н, с), 5,8 (1Н, д, J 16), 6,94 (1Н, м); 0302а: 0,57 (3Н, с), от 0,75 до 1 (3Н, д), от 1,2 до 2,1 (14Н, м), 2,6 (1Н, м), 2,86 (1Н, м), 3,69 (3Н, с), 5,82 (1Н, м), 6,25 (1Н, д).
Получение 10: Соединение 0303аК выдерживаемому приблизительно при 25oС раствору соединения 0203 (0,360 г, 0,6 ммоль) в дегазированном толуоле (20 мл) в виде одной порции добавляют метил(трифенилфосфоранилиден)ацетат (0,400 г, 1,2 ммоль). После перемешивания при такой же температуре в течение 5 мин и затем при 100oС в течение 2 ч, реакционную смесь частично концентрировали в вакууме и разбавляли простым эфиром и метанолом. Раствор оставляли для кристаллизации и фильтровали, получая указанное в заголовке соединение. Игольчатые кристаллы, т.пл. 82-83oС; 0,53 (3Н, с), 0,85 (3Н, д), от 1,2 до 2,15 (17Н, м), 2,27 (1Н, м), 3,72 (3Н, с), 5,81 (1Н, д, J 16), 6,97 (1Н, дт, J 7 16).
Получение 11: Соединения 0304а и 0305аК выдерживаемому приблизительно при 25oС раствору соединения 0204 (0,110 г, 0,16 ммоль) в дегазированном толуоле (20 мл) в виде одной порции добавляют метил(трифенилфосфоранилиден)ацетат (0,130 г, 0,39 ммоль). После перемешивания при такой же температуре в течение 5 мин и затем при 100oС в течение 3 ч, реакционную смесь частично концентрировали в вакууме и разбавляли простым эфиром. Раствор оставляли для кристаллизации и фильтровали и концентрировали в вакууме, получая масло. Очистка хроматографией на силикагеле (30 г) (элюент: 5% простой эфир в петролейном эфире) давала указанные в заголовке соединения. 0304а; 0,52 (3Н, с), 0,83 (3Н, д, J 6,4), от 1,1 до 2,5 (18Н, м), 2,16 (2Н, м), 3,71 (3Н, с), 5,8 (1Н, д, J 16), 6,97 (1Н, дт, J 7 16); 0305а (элюирован первым) 0,52 (3Н, с), 0,84 (3Н, с), от 1,1 до 2,05 (18Н, м), 2,63 (2Н, м), 3,69 (3Н, с), 5,76 (Н, дт, J 2 11,5), 6,22 (1Н, дт, J 7,5, 11,5).
Получение 12: Соединение 0306аУказанное в заголовке соединение получали аналогично методике получения 11, но с использованием соединения 0206 (0,520 г, 0,72 ммоль) в качестве исходного материала. Использовали метил(трифенилфосфоранилиден)ацетат (0,500 г, 1,5 ммоль). 0,05 (6Н, с), 0,48 (3Н, с), от 0,8 до 0,95 (3Н, д), 0,92 (9Н, с), от 1,1 до 2,05 (14Н, м), 3,74 (3Н, с), 4,24 (1Н, м), 5,94 (1Н, дд, J 1,5 16), 6,95 (1H, дд, J 5 16).
Получение 13: Соединение 0307аУказанное в заголовке соединение получали аналогично методике получения 12, но с использованием соединения 0208 в качестве исходного материала. Получение 14: Соединение 0308а Указанное в заголовке соединение получали аналогично методике получения 11, но с использованием соединения 0205 (0,216 г, 0,34 ммоль) в качестве исходного материала. Использовали метил(трифенилфосфоранилиден)ацетат (0,220 г, 0,66 ммоль). Очистка хроматографией на силикагеле (15 г) (элюент: 5% простой эфир в петролейном эфире) давала указанное в заголовке соединение. 0,53 (3Н, с), 0,85 (3Н, д), от 1,15 до 2 (13Н, м), 1,18 (3Н, т, J 7), 2,05 (1Н, т, J 9), 3,31 (1H, м), 3,48 (1H, м), 3,74 (3Н, с), 4,01 (1Н, м), 5,93 (1Н, дд, J 1 16), 6,87 (1Н, дд, J 6 16).
Получение 15: Соединение 0309аУказанное в заголовке соединение получали аналогично методике получения 11, но с использованием соединения 0207 (0,045г, 0,06 ммоль) в качестве исходного материала в дегазированном толуоле (2 мл). Использовали метил(трифенилфосфоранилиден)ацетат (0,045 г, 0,12 ммоль). Очистка хроматографией на силикагеле (30 г) (элюент: 10% простой эфир в петролейном эфире) давала указанное в заголовке соединение. 0,05 (6Н, с), 0,46 (3Н, с), 0,83 (3Н, д, J 7), 0,88 (9Н, с), от 1,2 до 2,1 (14Н, м), 2,32 (2Н, м), 3,72 (3Н, с), 3,81 (1Н, м), 5,83 (1Н, д, J 16), 6,9 (1Н, дт, J 8 16).
Получение 16: Соединение 0301bК выдерживаемому приблизительно при -20oС раствору соединения 0301а (0,091 г, 0,14 ммоль) в сухом простом эфире (5 мл) добавляли через шприц метиллитий (1,6 М в простом эфире) (1,6 ммоль). После перемешивания при такой же температуре в течение 1 час реакционную смесь гасили водой и распределяли между простым эфиром и водой. Органический слой отделяли, промывали насыщенным раствором хлорида натрия, сушили над безводным сульфатом магния и концентрировали в вакууме, получая масло. Очистка хроматографией на силикагеле (50 г) (элюент: 5% этилацетат в петролейном эфире) давала указанное в заголовке соединение. 0,55 (3Н, с), 0,81 (3Н, д), от 1 до 2,06 (16Н, м), 1,29 (6Н, с), 2,3 (1Н, м), 5,57 (2Н, м).
Получение 17: Соединение 0302bУказанное в заголовке соединение получали аналогично методике получения 16, но с использованием соединения 0302а (0,84 г, 0,286 ммоль) в сухом ТГФ (3 мл) в качестве исходного материала. 10% этилацетат в петролейном эфире использовали в качестве элюента. 0,55 (3Н, с), 0,85 (3Н, д), от 1 до 2,08 (15Н, м), 1,35 (6Н, с), 2,18 (1Н, м), 5,28 (1Н, м), 5,5 (1Н, д, J 2).
Получение 18: Соединение 0303bУказанное в заголовке соединение получали аналогично методике получения 16, но с использованием соединения 0303а (0,237 г, 0,36 ммоль) в сухом ТГФ (3 мл) в качестве исходного материала и этиллития (1,4 М в простом эфире) (0,9 ммоль) в качестве реагента. 20% простой эфир в петролейном эфире использовали в качестве элюента. 0,52 (3Н, с), 0,85 (6Н, т, J 7,5), 0,85 (3Н, д), от 1,1 до 2,25 (19Н, м), 1,51 (2Н, к, J 7,5); 1,52 (2Н, к, J 7,5), 1,52 (2Н, к, J 7,5), 5,38 (1Н, д, J 16), 5,57 (1Н, дт, J 7 16).
Получение 19: Соединение 0304bУказанное в заголовке соединение получали аналогично методике получения 16, но с использованием соединения 0304а (0,067 г, 0,1 ммоль) в сухом ТГФ (3 мл) в качестве исходного материала и метиллития (1,6 М в простом эфире) (0,5 ммоль). Очистка хроматографией на силикагеле (15 г) (элюент: 20% простой эфир в петролейном эфире) давала указанное в заголовке соединение. 0,52 (3Н, с), 0,83 (3Н, д, J 6,5) от 1,1 до 2,1 (21Н, м), 1, 29 (6Н, с), 5,59 (2Н, м).
Получение 20: Соединение 0305bУказанное в заголовке соединение получали аналогично методике получения 16, но с использованием соединения 0305а (0,055 г, 0,082 ммоль) в сухом ТГФ (3 мл) в качестве исходного материала и метиллития (1,6 М в простом эфире) (0,4 ммоль). Очистка хроматографией на силикагеле (15 мл) (элюент: 20% простой эфир в петролейном эфире) давала указанное в заголовке соединение. 0,53 (3Н, с), 0,83 (3Н, д, J 6,4), от 1,1 до 2,1 (19Н, м), 1,36 (6Н, с), от 2,15 до 2,37 (2Н, м), 5,3 (1Н, дт, J 7,4 12), 5,47 (1Н, шир. д, J 12).
Получение 21: Соединение 0306bУказанное в заголовке соединение получали аналогично методике получения 16, но с использованием соединения 0306а (0,100 г, 0,13 ммоль) в сухом ТГФ (3 мл) в качестве исходного материала и метиллития (1,6 М в простом эфире) (0,64 ммоль). Очистка хроматографией на силикагеле (15 г) (элюент: 20% простой эфир в петролейном эфире) давала указанное в заголовке соединение. 0,00 (3Н, с), 0,03 (3Н, с), 0,49 (3Н, с), 0,82 (3Н, д), 0,9 (9Н, с), от 1,15 до 2,05 (15Н, м), 1,31 (6Н, с), 4,08 (1Н, дд, J 3 6), 5,6 (1Н, дд, J 6 16), 5,68 (1Н, д, J 16).
Получение 22: Соединение 0307bУказанное в заголовке соединение получали аналогично методике получения 16, но с использованием соединения 0307а (0,073 г, 0,094 ммоль) в сухом ТГФ (3 мл) в качестве исходного материала и метиллития (1,6 М в простом эфире)(0,5 ммоль). Очистка хроматографией на силикагеле (15 г) (элюент: 20% простой эфир в петролейном эфире) давала указанное в заголовке соединение. 0,00 (3Н, с), 0,03 (3Н,с), 0,54 (3Н, с), 0,8 (3Н, д, J 6,8), 0,89 (9Н, с), т 1,15 до 2,05 (15Н, м), 1,32 (6Н, с), 4,3 (1Н, м), 5,64 (1Н, дд, J 5 16), 5,79 (1Н, дд, J 1 16).
Получение 23: Соединение 0308bУказанное в заголовке соединение получали аналогично методике получения 16, но с использованием соединения 0308а (0,133 г, 0,19 ммоль) в сухом ТГФ (3 мл) в качестве исходного материала и метиллития (1,6 М в простом эфире) (0,96 ммоль). Очистка хроматографией на силикагеле (15 г) (элюент: 20% простой эфир в петролейном эфире) давала указанное в заголовке соединение. 0,53 (3Н, с), 0,85 (3Н, д), от 1 до 1,97 (14Н, м), 1,16 (3Н, т, J 7), 1,33 (6Н, с); 2,03 (1Н, т, J 9,5), 3,24 (1Н, м), 3,48 (1Н, м), 3,77 (1Н, дд, J 3,7), 5,57 (1Н, дд, J 7 16), 5,73 (1Н, д, J 16).
Получение 24: Соединение 0309bУказанное в заголовке соединение получали аналогично методике получения 16, но с использованием соединения 0309а (0,024 г, 0,03 ммоль) в сухом ТГФ (3 мл) в качестве исходного материала и метиллития (1,2 М в простом эфире) (0,1 ммоль) в качестве реагента. Очистка хроматографией на силикагеле (15 г) (элюент: 10% простой эфир в петролейном эфире) давала указанное в заголовке соединение. 0,05 (6Н, с), 0,46 (3Н, с), 0,83 (3Н, д), 0,85 (6Н, т), 0,89 (9Н, с), от 1,15 до 2,05 (15Н, м), 1,51 (4Н, к, J 7,5), 2,2 (2Н, м), 3,82 (1Н, т, J 7), 5,42 (1Н, 1, О 16), 5,53 (1Н, дт, J 7 16).
Получение 25: Соединение 0401bК выдерживаемому приблизительно при 10oС раствору соединения 0301b (0,091 г, 0,141 ммоль) в дегазированном дихлорметане (10 мл) добавляли антрацен (0,091 г, 0,512 ммоль) и триэтиламин (0,1 мл). После освещения УФ-лампой (тип: Hanau TQ 718Z2) при такой же температуре в течение 22 мин реакционную смесь частично концентрировали в вакууме и разбавляли петролейным эфиром. Раствор фильтровали и концентрировали в вакууме, получая масло. Очистка хроматографией на силикагеле (50 г) (элюент: 20% этилацетата в петролейном эфире) давала указанное в заголовке соединение. 0,54 (3Н, с), 0,81 (3Н, д), от 1,15 до 2,05 (16Н, м), 1,3 (6Н, с), 2,32 (1Н, м), 5,57 (2Н, м).
Получение 26: Соединение 0405bУказанное в заголовке соединение получали аналогично методике получения 25, но с использованием соединения 0303b (0,120 г, 0,17 ммоль) в дихлорметане (7 мл) в качестве исходного материала с антраценом (0,150 г, 0,84 ммоль). Время освещения было 35 мин. Очистка хроматографией на силикагеле (15 г)(элюент: 10% простой эфир в петролейном эфире) давала указанное в заголовке соединение. Получение 27: Соединение 0406b Указанное в заголовке соединение получали аналогично методике получения 25, но с использованием соединения 0304b (0,063 г, 0,093 ммоль) в дегазированном толуоле (4 мл) в качестве исходного материала с антраценом (0,075 г, 0,42 ммоль). Время освещения было 35 мин. Очистка хроматографией на силикагеле (15 г) (элюент: 20% простой эфир в петролейном эфире) давала указанное в заголовке соединение. 0,51 (3 Н, с), 0,82 (3Н, д, J 6,4), от 1,05 до 2,05 (21Н, м), 1,29 (6Н, с), 5,59 (2Н, м).
Получение 28: Соединение 0407bУказанное в заголовке соединение получали аналогично методике получения 27, но с использованием соединения 0305b (0,033 г, 0,049 ммоль) в качестве исходного материала с антраценом (0,036 г, 0,2 ммоль). Очистка хроматографией на силикагеле (15 г) (элюент: 20% простой эфир в петролейном эфире) давала указанное в заголовке соединение. Получение 29: Соединение 0408b Указанное в заголовке соединение получали аналогично методике получения 27, но с использованием соединения 0306b (0,080 г, 0,103 ммоль) в качестве исходного материала с антраценом (0,030 г, 0,17 ммоль). Очистка хроматографией на си-ликагеле (15 г) (элюент: 20% простой эфир в петролейном эфире) давала указанное в заголовке соединение. 0,01 (3Н, с), 0,02 (3Н, с), 0,48 (3Н, с), 0,82 (3Н, д, J 6,8), 0,88 (9Н, с), от 1,15 до 2 (15Н, м), 1,3 (3Н, с), 1,31 (3Н, с), 4,07 (1Н, дд, J 3 6), 5,6 (1Н, дд, J 6 16), 5,67 (1Н, д, J 16).
Получение 30: Соединение 0409bУказанное в заголовке соединение получали аналогично методике получения 27, но с использованием соединения 0307b в качестве исходного материала. Получение 31: Соединение 0410b Указанное в заголовке соединение получали аналогично методике получения 27, но с использованием соединения 0308b (0,060 г, 0,087 ммоль) в качестве исходного материала с антраценом (0,020 г, 0,12 ммоль). 0,52 (3Н, с), 0,86 (3Н, д), от 1,05 до 1,95 (14Н, м), 1,16 (3Н, т, J 7), 1,32 (3Н, с), 1,33 (3Н, с), 1,98 (1Н, т, J 9), 3,24 (1Н, м), 3,48 (1Н, м), 3,76 (1Н, дд, J 3 7), 5,57 (1Н, дд, J 7 16), 5,73 (11Н, д, J 16).
Получение 32: Соединение 0411bУказанное в заголовке соединение получали аналогично методике получения 27, но с использованием соединения 0309b (0,020 г, 0,025 ммоль) в качестве исходного материала с антраценом (0,010 г, 0,06 ммоль). Очистка хроматографией на силикагеле (15 г) (элюент: 10% простой эфир в петролейном эфире) давала указанное в заголовке соединение. Получение 33: Соединение 0402b Указанное в заголовке соединение получали аналогично методике получения 25, но с использованием соединения 0302b (0,137 г, 0,213 ммоль) в дихлорметане (6 мл) в качестве исходного материала с антраценом (0,137 г, 0,77 ммоль). Время освещения было 25 мин. Очистка хроматографией на силикагеле (50 г) (элюент: 5% этилацетат в петролейном эфире) давала указанное в заголовке соединение. 0,54 (3Н, с), от 0,8 до 1 (3Н, д), от 1,5 до 2,08 (15Н, м), 1,36 (6Н, с), 2,18 (1Н, м), 2,59 (Н, м), 5,28 (1Н, м), 5,5 (1Н, д, J 12).
Получение 34: Соединение 0401аУказанное в заголовке соединение получали аналогично методике получения 25, но с использованием соединения 0302а (0,389 г, 0,6 ммоль) в дихлорметане (6 мл) в качестве исходного материала с антраценом (0,389 г, 2,2 ммоль). Время освещения было 30 мин. Очистка хроматографией на силикагеле (50 г) (элюент: 2% этилацетат в петролейном эфире) давала указанное в заголовке соединение. 0,54 (3Н, с), 0,84 (3Н, д), от 1,2 до 2,15 (5Н, м), 2,45 (1Н, м), 3,72 (3Н, с), 5,8 (1 Н, д, J 16), 6,94 (1Н, д).
Получение 35: Соединение 0402аУказанное в заголовке соединение получали аналогично методике получения 25, но с использованием соединения 0301а (0,153 г, 0,238 ммоль) в дихлорметане (6 мл) в качестве исходного материала с антраценом (0,153 г, 0,858 ммоль). Время освещения было 25 мин. Очистка хроматографией на силикагеле (50 г) (элюент: 1% этилацетат в петролейном эфире) давала указанное в заголовке соединение, 0,56 (3Н, с), от 0,8 до 1 (3Н, д), от 1,2 до 2,1 (14Н, м), 2,61 (1Н, м), 2,84 (1Н, м), 3,69 (3Н, с), 5,8 (1Н, д), 6,24 (1Н, м).
Получение 36: Соединение 0403bУказанное в заголовке соединение получали аналогично методике получения 16, но с использованием соединения 0401а (0,252 г, 0,392 ммоль) в сухом ТГФ (8 мл) в качестве исходного материала и этиллития (1,4 М в простом эфире) (2,4 ммоль) в качестве реагента. Очистка хроматографией на силикагеле (50 г) (элюент: 5% этилацетат в петролейном эфире) давала указанное в заголовке соединение. 0,54 (3Н, с), 0,83 (3Н, д), 0,85 (6Н, т) от 1,2 до 2,1 (20Н, м), 2,2 (1Н, дд), 2,35 (1Н, м), 5,35 (1Н, д, J 16), 5,54 (1Н, м).
Получение 37: Соединение 0404bУказанное в заголовке соединение получали аналогично методике получения 16, но с использованием соединения 0402а (0,082 г, 0,127 ммоль) в сухом ТГФ (3 мл) в качестве исходного материала и этиллития (1,4 М в простом эфире) (1,2 ммоль) в качестве реагента. Очистка хроматографией на силикагеле (50 г) (элюент: 2% этилацетат в петролейном эфире) давала указанное в заголовке соединение. 0,54 (3Н, с), 0,85 (3H, д), 0,89 (6Н, т), от 1,15 до 2,08 (19Н, м), 2,18 (1Н, м), 2,6 (1Н, м), 5,25 (1Н, д, J 12), 5,39 (1Н, м).
Получение 38: Соединение 0207аУказанное в заголовке соединение получали аналогично методике получения 06, но с использованием соединения 0014а в качестве исходного материала. Получение 39: Соединение 0310а Указанное в заголовке соединение получали аналогично методике получения 11, но с использованием соединения 0207а (0,050 г, 0,08 ммоль) в дегазированном толуоле (2 мл) в качестве исходного материала. Использовали метил(трифенилфософоранилиден)ацетат (0,045 г, 0,12 ммоль). Очистка хроматографией на силикагеле (30 г) (элюент: 10% простой эфир в петролейном эфире) давала указанное в заголовке соединение. Получение 40: Соединение 0310b Указанное в заголовке соединение получали аналогично методике получения 16, но с использованием соединения 0310а (0,034 г, 0,05 ммоль) в сухом ТГФ (2 мл) в качестве исходного материала и этиллития (1,2 М в простом эфире) (0,1 ммоль) в качестве реагента. Очистка хроматографией на силикагеле (15 г) (элюент: 10% простой эфир в петролейном эфире) давала указанное в заголовке соединение. Получение 41: Соединение 0412b Указанное в заголовке соединение получали аналогично методике получения 27, но с использованием соединения 0310b (0,018 г, 0,025 ммоль) в качестве исходного материала с антраценом (0,010 г, 0,06 ммоль). Очистка хроматографией на силикагеле (15 г) (элюент: 10% простой эфир в петролейном эфире) давала указанное в заголовке соединение. Получение 42: Соединение 0204а Указанное в заголовке соединение получали аналогично методике повторной гомологизации, описанной в: Calverley, M.J. and Pedersen, H. Novel vitamin D analogues, WO 9410139-A1 (1994), получение 3, но с использованием тозилата, полученного из соединения 10 этого патента. Очистка хроматографией на силикагеле (100 г) (элюент: 5% этилацетата в петролейном эфире) давала указанное в заголовке соединение. 0,53 (3Н, с), 0,83 (3Н, д), от 1,1 до 2,5 (20Н, м), 2,41 (2Н, дт), 9,76 (1Н, т).
Получение 43: Соединение 0311аУказанное в заголовке соединение получали аналогично методике получения 11, но с использованием соединения 0204а (0,380 г, 0,6 ммоль) в качестве исходного материала. Использовали метил(трифенилфосфоранилиден)ацетат (0,500 г, 1,5 ммоль). 0,52 (3Н, с), 0,83 (3Н, д, J 6,4) от 1,1 до 2,05 (20Н, м), 2,16 (2Н, м), 3,71 (3Н, с), 5,8 (1Н, д, J 16), 7,0 (1Н, дт, J 7 16).
Получение 44: Соединение 0311bУказанное в заголовке соединение получали аналогично методике получения 16, но с использованием соединения 0311а (0,069 г, 0,1 ммоль) в сухом ТГФ (3 мл) в качестве исходного материала и метиллития (1,6 М в простом эфире) (0,5 ммоль) в качестве реагента. Очистка хроматографией на силикагеле (15 г) (элюент: 20% простой эфир в петролейном эфире) давала указанное в заголовке соединение. 0,52 (3Н, с), 0,83 (3Н, д, J 6,5), от 1,1 до 2,1 (23Н, м), 1,29 (6Н, с), 5,6 (2Н, м).
Получение 45: Соединение 0413bУказанное в заголовке соединение получали аналогично методике получения 25, но с использованием соединения 0311b (0,055 г, 0,08 ммоль) в дегазированном толуоле (4 мл) в качестве исходного материала с антраценом (0,038 г, 0,21 ммоль). Время освещения было 35 мин. Очистка хроматографией на силикагеле (15 г) (элюент: 20% простой эфир в петролейном эфире) давала указанное в заголовке соединение. 0,51 (3Н, с), 0,82 (3Н, д, J 6,4), от 1,05 до 2,05 (23Н, м), 1,29 (6Н, с), 5,6 (2Н, м).
Получение 46: Соединение 0312аК выдерживаемому приблизительно при 25oС раствору соединения 0202 (0,120 г, 0,20 ммоль) в дегазированном толуоле (6 мл) в виде одной порции добавляли циклопропилкарбонилметилентрифенилфосфоран (0,138 г, 0,40 ммоль). После перемешивания при такой же температуре в течение 5 мин и затем при 100oС в течение 3 ч реакционную смесь частично концентрировали в вакууме и разбавляли простым эфиром. Раствор оставляли для кристаллизации и фильтровали и концентрировали в вакууме, получая масло. Очистка хроматографией на силикагеле (30 г) (элюент: 5% простой эфир в петролейном эфире) давала указанное в заголовке соединение. 0,57 (3Н, с), от 0,8 до 0,9 (3Н, д), от 0,8 до 0,9 (4Н, м), 1,07 (1Н, м), 2,52 (1Н, м), 6,21 (1Н, д, J 16), 6,88 (1Н, ддд).
Получение 47: Соединение 0312bК выдерживаемому приблизительно при 5oС соединению 0312а (0,090 г, 0,14 ммоль) в ТГФ (1 мл) и метаноле (2 мл), содержащему гептагидрат хлорида церия (0,2 ммоль) в виде одной порции добавляли борогидрид натрия (0,02 г, 0,5 ммоль). После перемешивания при такой же температуре в течение 10 мин реакционную смесь распределяли между этилацетатом и водой. Органический слой отделяли, промывали насыщенным раствором хлорида натрия, сушили над безводным сульфатом магния и концентрировали в вакууме, получая масло. Очистка хроматографией на силикагеле (30 г) (элюент: 10% этилацетат в петролейном эфире) давала указанное в заголовке соединение в виде смеси приблизительно 1: 1 эпимеров. Эпимеры можно разделить хроматографией на этой стадии, если необходимо. 0,22 (1Н, м), 0,32 (1H, м), 0,5 (2Н, м), 0,56 (3Н, с), от 0,8 до 0,9 (3Н, д), 0,98 (1H, м), 2,34 (1H, м), 3,46 (1Н, м), 5,52 (1H, дд, J 6,5 15), 5,62 (1H, дт, J 7 15).
Получение 48: Соединение 0414bУказанное в заголовке соединение получали аналогично методике получения 25, но с использованием соединения 0312b (0,078 г, 0,12 ммоль) в дихлорметане (5 мл) в качестве исходного материала с антраценом (0,015 г, 0,084 ммоль). Время освещения было 35 мин. Очистка хроматографией на силикагеле (15 г) (элюент: 10% этилацетат в петролейном эфире) давала указанное в заголовке соединение. Получение 49: Соединение 0313b К выдерживаемому приблизительно при -25oС 3-этил-3-гидроксипентилфенилсульфону (155 мг, 0,60 ммоль) в сухом ТГФ (4 мл) добавляли через шприц диизопропиламид лития (3 мл, 1,2 ммоль, 0,4 М раствор в смеси ТГФ-гексаны, 3: 1). После перемешивания при такой же температуре в течение 30 мин реакционную смесь охлаждали до -40oС для добавления раствора соединения 0202 (0,293 г, 0,50 ммоль) в ТГФ (2 мл). После перемешивания при такой же температуре в течение 30 мин по каплям добавляли бензоилхлорид (0,15 мл, 1,3 ммоль) и смесь оставляли для нагревания до комнатаной температуры в течение дополнительных 30 мин. Реакционную смесь распределяли между простым эфиром и водой. Органический слой отделяли, промывали насыщенным раствором хлорида натрия, сушили над безводным сульфатом магния и фильтровали и концентрировали в вакууме, получая масло. Его снова растворяли в этилацетате (2 мл) и разбавляли метанолом (12 мл, насыщен динатрийгидрофосфатом и содержит суспендированный динатрийгидрофосфат). К этому раствору, выдерживаемому приблизительно при 5oС, добавляли приблизительно 5% амальгаму натрия (4 г) и перемешивание продолжали при такой же температуре в течение 15 мин. Реакционную смесь распределяли между этилацетатом и водой (вода декантации ртути) и органический слой отделяли, промывали насыщенным раствором хлорида натрия, сушили над безводным сульфатом магния и фильтровали и концентрировали в вакууме, получая масло. Очистка хроматографией на силикагеле (50 г) (элюент: 10% простой эфир в петролейном эфире) давала указанное в заголовке соединение. Получение 50: Соединение 0415b Указанное в заголовке соединение получали аналогично методике получения 25, но с использованием соединения 0313b (0,120 г, 0,18 ммоль) в дихлорметане (7 мл) в качестве исходного материала с антраценом (0,075 г, 0,42 ммоль). Время освещения было 35 мин. Очистка хроматографией на силикагеле (15 г) (элюент: 10% простой эфир в петролейном эфире) давала указанное в заголовке соединение. Получение 51: Соединение 0314а К выдерживаемому приблизительно при 25oС соединению 0202 (1,00 г, 1,70 ммоль) в хлороформе (6 мл) добавляли в виде одной порции метил-4-(трифенилфосфоранилиден)кротонат (0,645 г, 1,79 ммоль). После перемешивания при такой же температуре в течение 5 мин и затем при 60oС в течение 24 ч реакционную смесь частично концентрировали в вакууме и разбавляли простым эфиром. Раствор оставляли для кристализации и фильтровали и концентрировали в вакууме, получая масло. Очистка хроматографией на силикагеле (100 г) (элюент: 1% этилацетат в петролейном эфире) давала указанное в заголовке соединение. Получение 52: Соединение 0314b Указанное в заголовке соединение получали аналогично методике получения 16, но с использованием соединения 0314а (0,20 г, 0,3 ммоль) в сухом ТГФ (3 мл) в качестве исходного материала и этиллития (1,4 М в простом эфире) (0,9 ммоль) в качестве реагента. 20% простой эфир в петролейном эфире использовали в качестве элюента. Получение 53: Соединение 0416b Указанное в заголовке соединение получали аналогично методике получения 25, но с использованием соединения 0314b (0,104 г, 0,15 ммоль) в дихлорметане (7 мл) в качестве исходного материала с антраценом (0,075 г, 0,42 ммоль). Время освещения было 35 мин. Очистка хроматографией на силикагеле (15 г) (элюент: 10% простой эфир в петролейном эфире) давала указанное в заголовке соединение. ПРИМЕРЫ ОТ 1 ДО 16: Для удаления силильных защитных групп и выделения и очистки использовали следующую общую методику. К раствору исходного материала соединения IV (приблизительно от 0,02 до 0,16 ммоль) в сухом ТГФ (от 2 до 5 мл; х мл), выдерживаемому приблизительно при 5oС, добавляли в виде одной порции тригидрат фторида тетрабутиламмония (приблизительно от 0,2 до 1,6 ммоль, у г). После перемешивания при такой же температуре в течение 5 мин и затем при 60oС в течение 1 ч реакционную смесь распределяли между этилацетатом и 5% раствором бикарбоната натрия. Органический слой отделяли, промывали насыщенным раствором хлорида натрия, сушили над безводным сульфатом магния и концентрировали в вакууме, получая масло. Очистка хроматографией на силикагеле (15 г) (элюент: этилацетат) давала указанное в заголовке соединение. ПРИМЕР 1: 1(S), 3(R), 25-Тригидрокси-20(S)-9,10-секохолеста-5(Z), (7E), 10(19), 23(Е)-тетраен (соединение 0101) Исходный материал: соединение 0401b (0,063 г, 0,098 ммоль); х=5; у= 0,308. 0,56 (3Н, с), 0,82 (3Н, д), от 1,2 до 2,1 (18Н, м), 1,31 (6Н, с), 2,31 (1Н, м), 5,57 (2Н, м).
ПРИМЕР 2:(1S), 3(R), 25-Тригидрокси-20 (S)-9,10-секохолеста-5(Z), (7E),10(19), 23(Z)-тетраен (соединение 0102) Исходный материал: соединение 0402b (0,024 г, 0,037 ммоль); х=5; у= 0,132. 0,56 (3Н, с), 0,86 (3Н, д), от 1,1 до 1,2 (17Н, м), 1,37 (6Н, с), 2,18 (1Н, м), 2,6 (1Н, м), 5,28 (1Н, м), 5,51 (1Н, д, J 12).
ПРИМЕР 3:26,27-Диметил-1(S),3(R),25-тригидрокси-20(S)-9,10-секохолестa-5(Z),(7E), 10(19),23(Е)-тетраен (соединение 0103) Исходный материал: соединение 0403b (0,108 г, 0,16 ммоль); х=5; у=0,51. 0,57 (3Н, с), 0,83 (3Н, д), 0,86 (6Н, т), от 1,15 до 2,1 (22Н, м), 2,34 (1Н, м), 5,36 (1Н, д), 5,55 (1Н, м).
ПРИМЕР 4:26,27-Диметил-1(S),3(R),25-тригидрокси-20(S)-9,10-секохолеста-5(Z),(7E), 10(19),23(Z)-тетраен (соединение 0104). Исходный материал: соединение 0404b (0,036 г, 0,054 ммоль); х=5; у=0,17. 0,56 (3Н, с), 0,86 (3Н, д), 0,9 (6Н, т), от 1,2 до 2,1 (21Н, м), 2,18 (1Н, м), 2,6 (1Н, м ), 5,26 (1Н, д, J 12), 5,4 (1Н, м).
ПРИМЕР 5;1(S), 3(R)-Дигидрокси-20(S)-(5′-гидрокси-5-этил-3′(Е)-гептен-1′-ил] -9,10-секопрегна-5(Z),(7Е),10(19)-триен (соединение 0105) Исходный материал: соединение 0405b (0,048 г, 0,07 ммоль); х=4; у=0,10. 0,54 (3Н, с), 0,85 (6Н, т, J 7,5), 0,85 (3Н, д, J 6), от 1,15 до 2,25 (21Н, м), 1,51 (2Н, к, J 7,5), 1,52 (2Н, к, J 7,5), 5,38 (1Н, д, J 16), 5,57 (1Н, дт, J 7 16).
ПРИМЕР 6:1(S), 3(R)-Дигидрокси-20(S)-(6′-гидрокси-6′-метил-4′(Е)-гептен-1′-ил)-9,10-секопрегна-5(Z),(7Е),10(19)-триен (соединение 0106) Исходный материал; соединение 0406b (0,043 г, 0,06 ммоль); х=3; у=0,21. 0,54 (3Н, с), 0,83 (3Н, д), от 1,05 до 2,1 (23Н, м), 1,3 (6Н, с), 5,6 (2Н, м).
ПРИМЕР 7:1(S), 3(R)-Дигидрокси-20(S)-(6′-гидрокси-6′-метил-4′(Z)-гептен-1′-ил)-9,10-секопрегна-5(Z),(7Е),10(19)-триен (соединение 0107). Исходный материал: соединение 0407b (0,026 г, 0,04 ммоль); х=3; у=0,13. 0,54 (3Н, с), 0,83 (3Н, д), от,05 до 2,1 (21Н, м), 1,36 (6Н, с), 2,3 (2Н, м), 5,3 (1Н, дт, J 7,12), 5,47 (1Н, шир. д, J 12).
ПРИМЕР 8:1(S), 3(R), 22(S), 25-Тетрагидрокси-20(R)-9,10-секохолеста-5(Z), (7Е), 10(19),23(Е)-тетраен (соединение 0108) Исходный материал соединение 0408b (0,069 г, 0,09 ммоль); х=3; у=0,25. 0,57 (3Н, с), 0,82 (3Н, д, J 6,5), от 1,2 до 2,1 (18Н, м), 1,33 (6Н, с), 4,42 (1Н, м), 5,67(1Н, дд, J 5 16), 5,81 (1Н, дд, J 1 16).
ПРИМЕР 9:(1S), 3(R), 22(R), 25-Тетрагидрокси-20(R)-9,10-секохолеста-5(Z), (7E), 10(19),23(Е)-тетраен (соединение 0109) Исходный материал: соединение 0409b (0,039 г, 0,05 ммоль); х=3; у=0,10. 0,58 (3Н, с), 0,85 (3Н, д, J 6,8), от 1,2 до 2,1 (18Н, м), 1,35 (6Н, с), 4,36 (1Н, т, J 4,5), 5,74 (1Н, дд, J 5,5 16), 5,87 (1Н, д, J 16).
ПРИМЕР 10:22(S)-Этокси-1(S), 3(R),25-тригидрокси-20(R)-9,10-секохолеста-5(Z),(7Е), 10(19),23(Е)-тетраен (соединение 0110) Исходный материал: соединение 0410b (0,040 г, 0,058 ммоль); х=3; у=0,07. 0,54 (3Н, с), 0,86 (3Н, д, J 7), от 1,1 до 2,1 (17Н, м), 1,17 (3Н, т, J 7), 1,34 (6Н, с), 3, 25 (1Н, м), 3,48 (1Н, м,), 3,76 (1Н, дд, J 3 7), 5,58 (1Н, дд, J 7 16), 5,74 (1Н, д, J 16).
ПРИМЕР 11:1(S), 3(R)-Дигидрокси-20(R)-(1′(R), 5′-дигидрокси-5′-этил-3′(Е)-гептен-1′-ил)-9,10-секопрегна-5(Z),(7Е),10(19)-триен (соединение 0111) Исходный материал: соединение 0411b (0,015 г, 0,018 ммоль); х=2; у=0,05 ПРИМЕР 12: 1(S), 3(R)-Дигидрокси-20(R)-(1′(R)-метокси-5′-гидрокси-5′-этил-3′(Е)-гептен-1′-ил)-9,10-секопрегна-5(Z),(7Е),10(19)-триен (соединение 0112) Исходный материал: соединение 0412b (0,015 г, 0,021 ммоль); х=2; у=0,05. ПРИМЕР 13: 1(S), 3(R)-Дигидрокси-20(S)-(1′-гидрокси-7′-метил-5′(Е)-октен-1′-ил)-9,10-секопрегна-5(Z),(7Е),10(19)-триен (соединение 0113) Исходный материал: соединение 0413b (0,034 г, 0,05 ммоль); х=3; у=0,21. 0,54 (3Н, с), 0,83 (3Н, д), от 1,05 до 2,1 (25Н, м), 1,3 (6Н, с), 5,6 (2Н, м).
ПРИМЕР 14:1(S), 3(R)-Дигидрокси-20(S)-(4′-гидрокси-4′-циклопропил-2′(Е)-бутен-1′-ил)-9,10-секопрегна-5(Z),(7Е),10(19)-триен (соединение 0114). Исходный материал: соединение 0414b (0,035 г, 0,053 ммоль); х-3; у=0,15. 0,22 (1Н, м), 0,32 (1Н, м), 0,5 (2Н, м), 0,56 (3Н, с), 0,83 (3Н, м), 0,98 (1Н, м), 2,34 (1Н, м), 3,46 (1Н, м), 5,52 (1Н, дд), 5,62 (1Н, дт).
ПРИМЕР 15:1(S), 3(R)-Дигидрокси-20(S)-(5′-гидрокси-5′-этил-2′(Е)-гептен-1′-ил)-9,10-секопрегна-5(Z),(7Е),10(19)-триен (соединение 0115) Исходный материал; соединение 0415b (0,050 г, 0,073 ммоль); х=3; у=0,18. ПРИМЕР 16: 1(S), 3(R)-Дигидрокси-20(S)-(6′-гидрокси-6′-этилокта-2′(Е), 4′(Е)-диен-1′-ил)-9,10,-секопрегна-5(Z),(7Е),10(19)-триен (соединение 0116) Исходный материал: соединение 0416b (0,052 г, 0,075 ммоль); х=3; у=0,20. ПРИМЕР 17: Капсулы, содержащие соединение 0110 Соединение 0110 растворяли в арахисовом масле до конечной концентрации 1 мкг соединения 0110/мл масла. 10 частей по массе желатина, 5 частей по массе глицерина, 0,08 частей по массе сорбата калия и 14 частей по массе дистиллированной воды смешивали вместе с нагреванием и формовали в мягкие желатиновые капсулы. Каждую из них затем заполняли 100 мкл соединения 0110 в растворе масла так, чтобы каждая капсула содержала 0,1 мкг соединения 0110. ПРИМЕР 18: Дерматологический препарат, содержащий соединение 0110. В 1 г миндального масла растворяли 0,05 мг соединения 0110. К этому раствору добавляли 40 г минерального масла и 20 г самоэмульгирующегося пчелиного воска. Смесь нагревали до разжижения. После добавления 40 мл горячей воды смесь хорошо перемешивали. Получаемый крем содержит приблизительно 0,5 мкг соединения 0110 на грамм крема. Формула изобретения
![]() в которой Х представляет гидрокси; R1 и R2 – одинаковые или различные, представляют водород, метил, этил или циклопропил; Q представляет метилен, этилен, три- или тетраметилен, который может быть замещен гидроксигруппой или OR3 группой, где R3 представляет метил или этил; Y представляет одинарную связь или С1-С2-гидрокарбилен. 2. Соединение формулы I по п.1, в которой Х представляет гидрокси и Y представляет одинарную связь. 3. Соединение формулы I по пп.1 и 2, в которой R1 и R2 – одинаковые и представляют метил, или этил, или разные и представляют водород и циклопропил. 4. Соединение по любому из пп.1 и 2, отличающееся тем, что представлено в чистой форме диастереоизомера или смеси таких диастереоизомеров, причем соединение выделяют либо в кристаллической форме непосредственно или в виде сольвата, такого, как гидрат, либо в аморфной форме. 5. Соединение по п.1, которое представляет собой: а) 1(S), 3(R), 25-тригидрокси-20(S)-9,10-секохолеста-5(Z), 7(E), 10(19), 23 (Е)-тетраен; б) 1(S), 3(R)-дигидрокси-20(S)-(6′-гидрокси-6′-метил-4′(Е)-гептен-1′-ил)-9,10-секопрегна-5(Z), 7(Е), 10(19)-триен; в) 1(S), 3(R), 22(S), 25-тетрагидрокси-20(R)-9,10-секохолеста-5(Z), 7(Е), 10(19), 23(Е)-тетраен; г) 22(S)-этокси-1(S), 3(R), 25-тригидрокси-20(R)-9,10-секохолеста-5(Z), 7(E), 10(19), 23(Е)-тетраен; д) 1(S), 3(R)-дигидрокси-20(R)-(1′-(R)-метокси-5′-гидрокси-5′-этил-3′(Е)-гептен-1′-ил)-9,10-секопрегна-5(Z), 7(E), 10(19)-триен; е) 1(S), 3(R)-дигидрокси-20(S)-(4’гидрокси-4′-циклопропил-2′(Е)-бутен-1′-ил)-9,10-секопрегна-5(Z), 7(Е), 10(19)-триен. 6. Способ получения соединения формулы I по п.1, в котором альдегид, который представляет собой 1(S), 3(R)-бис-(трет-бутилдиметилсилилокси)-20(S)-формилметил-9,10-секопрегна-5(Е), 7(Е), 10(19)-триен или 1(S), 3(R)-бис-(трет-бутилдиметилсилилокси)-20(S)-(2-формилэтил)-9,10-секопрегна-5(Е), 7(Е), 10(19)-триен, или 1(S), 3(R)-бис-(трет-бутилдиметилсилилокси)-20(R)-(3-формилпропил)-9,10-секопрегна-5(Е), 7(Е), 10(19)-триен, или соответствующее производное одного из этих соединений, у которого метилен, связанный с С-20, имеет в качестве заместителя метокси, этокси или трет-бутилдиметилсилилокси, подвергают действию либо реагента Виттига, содержащего карбонильную группу, такого, как метил(трифенилфосфоранилиден)ацетат, и полученный продукт подвергают действию органолитиевого реагента или реактива Гриньяра, или восстанавливающего агента, либо производного лития необязательно гидроксилированного алкилфенилсульфона с последующим восстановительным элиминированием, например, амальгамой натрия, для получения продукта, который подвергают произвольной последовательности из изомеризации УФ-светом в присутствии триплетного сенсилибизатора (например антрацена) и удаления силильных групп, например, фторидом тетрабутиламмония. 7. Фармацевтическая композиция, индуцирующая дифференциацию и ингибирующая нежелательную пролиферацию клеток, содержащая эффективное количество одного или нескольких соединений по пп.1-5 вместе с фармацевтически приемлемыми нетоксичными носителями и/или вспомогательными агентами. 8. Фармацевтическая композиция по п.7 в стандартной лекарственной форме, содержащая от 0,1 м. д. до 0,1% от массы стандартной лекарственной формы соединения формулы I. 9. Соединение по любому из пп.1-5, обладающее активностью индуцирования дифференциации клеток и ингибирования нежелательной пролиферации клеток. РИСУНКИ
|
||||||||||||||||||||||||||


C, 1- или 2-гидроксиэтилен.
Соединения формулы 1 включают более, чем одну диастереоизомерную форму (конфигурации Е и Z двойной связи боковой цепи и дополнительно, например, конфигурации R и S у углерода, имеющего группу X, когда R1 и R2 отличаются друг от друга и от X, и конфигурации Е или Z, когда двойная связь присутствует в группах Y или R (1 или 2). Изобретение включает все эти диастереоизомеры в чистой форме и также их смеси. Кроме того, рассматриваются также пролекарства 1, в которых одни или несколько гидроксигрупп замаскированы как группы, которые можно снова превратить в гидроксигруппы in vivo.
Соединения 1, у которых Х является гидрокси, представляют предпочтительные соединения, но соединения 1, у которых Х представляет водород, являются действительно другим типом пролекарства. Эти соединения относительно неактивны in vitro, но превращаются в активные соединения формулы 1 ферментативным гидроксилированием боковой цепи в одном или нескольких положениях в части -(Y)СНR1R2 молекулы после введения пациенту.
Соединения 1 можно получить в кристаллической форме либо непосредственно концентрированием из органического растворителя, либо кристаллизацией или перекристаллизацией из органического растворителя или смеси этого растворителя и сорастворителя, который может быть органическим или неорганическим, таким как вода. Кристаллы можно выделить в форме, по существу не содержащей растворитель, или в виде сольвата, такого как гидрат. Это изобретение включает все кристаллические модификации и формы, а также их смеси.
Недавно был описан ряд аналогов витамина D, которые проявляют некоторую степень селективности в пользу активности по индуцированию дифференциации клеток/ингибированию пролиферации клеток in vitro по сравнению с действием на метаболизм кальция in vivo (как измерено при повышенной концентрации кальция в сыворотке крови и/или повышенной мочевой экскреции кальция), который неблагоприятно ограничивает дозу, которую можно было бы ввести безопасно. Одно из первых появившихся таких соединений, кальципотриол (INN) или кальципотриен (USAN), было разработано на основе этой селективности и теперь признается во всем мире как эффективное и безопасное лекарственное средство для местного лечения псориаза.
Исследование с другими аналогами (ЕВ 1089), выбранными на этой основе подтверждает концепцию, что системно введенные аналоги витамина D могут ингибировать пролиферацию клеток рака молочной железы in vivo при субтоксичных дозах (Colston, K.W. et al., Biochem/Pharmacol. 44, 2273-2280 (1992).
Был сделан обзор подающих надежды иммуносупрессивной активности аналогов витамина (D. Binderup, L., Biochem. Pharmacol. 43, 1885-1892 (1992)). Так, ряд аналогов 20-эпи-витамина D был идентифицирован в качестве сильнодействующих ингибиторов активации Т-лимфоцитов in vitro (Binderup, L., Biochem. Pharmacol. 42, 1569-1575 (1991)). Два из этих аналогов, МС 1288 и КН 1060, вводимых системно, обнаружили иммуносупрессивную активность in vivo на экспериментальных моделях животных. Дополнительное или синергическое действие наблюдали в сочетании с низко токсичным циклоспорином А. Было показано, что КН 1060, отдельно или в комбинации с циклоспорином А, предотвращает аутоиммунную деструкцию трансплантированных островков у диабетических мышей NOD (Bouillon, R.Et al. In; Vitamin D, Procсedings of the Ninth Workshop on Vitamin D, Oriando, Florida, Walter de Gruyter, Berlin, 1994, pp. 551-552). MC 1288 был способен пролонгировать срок жизнеспособности трансплантатов сердца и тонкой кишки у крыс (Johnsson, С. et al. In: Vitamin D, Procсedings of the Ninth Workshop on Vitamin D, Orlando, Florida, Walter de Gruyter, Berlin, 1994, pp. 549-550). Однако во всех этих исследованиях дозы аналога, которые оказывали значительную иммуносупрессию, вызывали также повышение уровней кальция в сыворотке крови. Следовательно, существует постоянная потребность в новых аналогах с приемлемой комбинацией пролонгированной терапевтической активности и минимальным токсичным действием.
Соединения настоящего изобретения представляют собой до сих пор нераскрытый ряд аналогов 1
-гидрокси-20-эпи-витамина D, характеризующихся присутствием дистальной углерод-углеродной двойной связи в боковой цепи, т. е. расположенной таким образом, что несвязанный двойной связью атом непосредственно соединяется с С-20. [Ряд аналогов 20-эпи-витамина D, которые не содержат двойную связь в боковой цепи или 22,23-двойную связь (С-22 связывается непосредственно с С-20), описываются в Международной патентной заявке с номером публикации WO 91/00271. Появились сообщения о соединениях, имеющих природную конфигурацию у С-20 и содержащих 23,24- или 24,24а-двойную связь (Uskokovic, M. R. et al. In; Vitamin D: Gene Regulation, Structure-Function Analysis and Clinical Appjication, edited by Norman, A.W., Bouillon, R. And Thomasset, M. Berlin; Walter de Gruyter, 1991, pp. 139-145, Baggiolini E.G. et al. , US 5 087 619-A (1992), Chodynski M. Et al., Steroids 56, 311-315 (1991)]. С даты подачи настоящей заявки была опубликована заявка (Kutner, А. Et al., ЕП 742 203 (1966), описывающая ряд, который, по-видимому, формально частично совпадает с соединениями 1. Однако просмотр этой заявки еще раз показывает, что рассматриваются исключительно соединения, имеющие природную конфигурацию у С-20, так как несмотря на неоднозначность общей формулы, нет указания на конфигурацию, и называют только промежуточные продукты, имеющие природную конфигурацию. Можно указать, что единственным указываемым в качестве примера соединением является фактически 20-эпимер соединения 0106. Отмечается, что приведенное в качестве примера соединение не является более сильнодействующим (“в равной степени активно”, стр. 13, строчка 27), чем природный гормон витамин D (кальцитриол), в его действии на дифференциацию раковых клеток. В противоположность этому, наши испытания с соединением 0106 показывают, что оно действует по меньшей мере в 10 раз сильнее. Аналогично этому, было обнаружено, что три других соединения данного изобретения (0101, 0103, 0105), более сильнодействующие в их действии на раковые клетки, чем их 20-эпимеры, синтезированные для целей сравнения. Действительно, было обнаружено, что ряд соединений, описанных в данной заявке, обладают исключительно высокой активностью по ингибированию пролиферации раковых клеток в сочетании с высокой иммуносупрессивной активностью.
Соединения формулы 1 можно получить общим способом схемы 1. В этой схеме исходным материалом является альдегид II, являющийся блоком образования кольца витамина D, у которого альдегидный углерод находится в положении, подходящем для образования двойной связи боковой цепи, указанной в формуле 1. В дальнейшем символ Qа означает, что эта связующая группа может быть либо идентичной с Q в соединении I, либо, альтернативно, может быть группой, которую можно превратить в Q в любой последующей стадии синтеза. Кроме того, идентичность Qa может изменяться от одного промежуточного продукта к другому промежуточному продукту по схеме реакций. Однако действительная идентичность будет очевидна из конкретного контекста.
По показанной синтетической схеме:
) (в м.д.) указываются, если не оговорено особо, для растворов в дейтериохлороформе относительно внутреннего тетраметилсилана (