Патент на изобретение №2183457
|
||||||||||||||||||||||||||
(54) ПРИМЕНЕНИЕ 5-НТ1F-АГОНИСТА ДЛЯ ИНГИБИРОВАНИЯ 5-НТ1F-ОПОСРЕДУЕМОЙ НЕЙРОГЕННОЙ МЕНИНГЕАЛЬНОЙ ТРАНССУДАЦИИ
(57) Реферат: Изобретение относится к медицине. Предложено применение 5-НТ1F-агониста для ингибирования 5-НТ1F-опосредуемой нейрогенной менингеальной транссудации и лечения мигреневой боли. Средства снижают транссудацию вазоактивных нейробелков, вызывающих нейрогенное воспаление, при этом обладают минимальным сосудосуживающим действием. 6 з.п.ф-лы, 5 табл. Разнообразная физиологическая активность, проявляемая нейромедиатором серотонином (5-НТ, 5-гидрокситриптамин), опосредуется по меньшей мере рецепторами семи классов: 5-НТ1, 5-НТ2, 5-НТ3, 5-НТ4, 5-НТ5, 5-НТ6 и 5-НТ7. Наиболее неоднородным из этих классов, как оказывается, является класс 5-НТ1, подклассы которого определяются как 5-НТ1A, 5-НТ1B, 5-НТ1C, 5-НТ1D (Hamon et al. , Neuropsychopharmacol. , 3 (5/6), 349-360 (1990)) и 5-HT1E (Leonhardt et al., J. Neurochem., 53 (2), 465-471 (1989)). Као с соавторами выделили человеческий ген, который дает экспрессию дополнительного подкласса 5-НТ1, 5-НТ1F (Proc. Natl. Acad. Sci. USA, 90, 408-412 (1993)). Этот 5-НТ1F-рецептор, как показано, обладает фармакологическим профилем, отличным от любого уже описанного серотонергического рецептора. Теории, связанные с патофизиологией мигрени, доминировали с 1938 г. благодаря работам Грэхама и Вольфа (Graham, Wolff, Arch. Neurol. Psychiatry, 39, 737-63 (1938)). Они предполагали, что причиной мигрени, сопровождающейся головной болью, является вазодилатация внечерепных сосудов. Это мнение подтверждается тем, что алкалоиды спорыньи и суматриптан, сокращающие гладкие мышцы сосудов, эффективны при лечении мигрени. Суматриптан представляет собой гидрофильный агонист для 5-НТ1-подобных рецепторов и не пересекает гематоэнцефалический барьер (Humhprey, et al., Ann. NY Acad. Sci., 600, 587-600 (1990)). В публикациях WO 94/03446, WO 93/11106, 92/13856, ЕР 0438230 и в WO 91/18897 описано несколько новых рядов соединений, которые могут быть использованы при лечении мигрени. Каждый из этих рядов соединений создан с целью оптимизации сосудосуживающей активности суматриптана, опосредуемой 5-НТ1-подобными рецепторами. Противопоказания суматриптана – коронарный вазоспазм, артериальная гипертония и стенокардия – также являются результатом его сосудосуживающей активности (Maclntyre, P. D., et al., British Journal of Clinical Pharmacology, 34, 541-546 (1992); Chester, A.H., et al., Cardiovascular Research, 24, 932-937 (1990); Conner, J.E., European Journal of Pharmacology, 161, 91-94 (1990)). Хотя такой сосудистый механизм мигрени получил широкое признание, общие аргументы его обоснованности отсутствуют. Moskowitz показал, что наличие головных болей при мигрени не зависит от изменения диаметра сосудов (Cephalalgia, 12, 5-7 (1992)). Кроме того, Moskowitz предположил, что до недавнего времени неизвестные пусковые механизмы стимулируют ганглий тройничного нерва, который раздражает сосудистую сеть в тканях головы, приводя к повышению высвобождения вазоактивных нейробелков из нейритов сосудистой цепи. Эти высвобожденные нейробелки затем инициируют ряд биохимических событий, приводящих к нейрогенному воспалению, следствием которого и является появление боли. Такое нейрогенное воспаление блокируется суматриптаном и алкалоидами спорыньи в дозе, аналогичной дозе, необходимой для лечения острой мигрени у человека. Хотя, как полагают, такая блокада транссудации нейрогенного белка, опосредуется с помощью 5-НТ1D-рецепторов, эффективные дозы 5-НТ1D-селективных соединений не коррелируют со связыванием in vitro с сайтом 5-НТ1D связывания. Отсутствие корреляции предполагает, что влияние суматриптана может опосредовать подтип рецептора, отличный от 5-НТ1D (Neurology, 43 (suppl. , 3), S16-S20 (1993)). Кроме того, сообщалось, что рецепторы , Н3, -опиоида и соматостатина также могут располагаться на тройничных сосудистых волокнах и могут быть блокированы нейрогенной плазменной транссудацией (Matsubara et al. , Eur. J. Pharmacol., 224, 145-150 (1992)). Weinshank с соавторами сообщили, что суматриптан и ряд алкалоидов спорыньи обладают высоким сродством к 5-НТ1F-рецепторам, подтверждая роль 5-НТ1F-рецепторов при мигрени (WO 93/14201).
Настоящее изобретение предлагает способ лечения мигрени и родственных заболеваний у млекопитающих, который включает введение эффективного количества 5-НТ1F-агониста или композиции, проявляющей активность 5-НТ1F-агониста, которые также обладают минимальным сосудосуживающим действием.
Настоящее изобретение предлагает способ лечения мигрени и родственных заболеваний, который основан на новом механизме действия. При лечении мигрени с помощью соединения или композиции, которые являются селективными агонистами 5-НТ1F-рецепторов, родственных другим серотониновым рецепторам, которые продуцируют нежелательные эффекты типа сужения сосудов, нейрогенная менингеальная транссудация, которая приводит к боли при мигрени, ингибируется и физиологическая ответственность соединений, проявляющих сосудосуживающее действие или другие побочные эффекты, исключена. Этот механизм имеет место у млекопитающих и предпочтительным млекопитающим является человек.
Дополнительный вариант осуществления изобретения включает введение композиции, которая проявляет активность селективного 5-НТ1F-агониста. Композиция может содержать один или несколько агентов, которые индивидуально или вместе, являются селективными агонистами 5-НТ1F-рецепторов, относительно других рецепторов серотонина, которые продуцируют нежелательные побочные эффекты, подобные сужению сосудов.
Термин “5-НТ1F-агонист”, который используется в описании настоящего изобретения, используется для обозначения полного или неполного агониста. Соединение, которое представляет собой частичный агонист 5-НТ1F-рецептора, должен обладать достаточной активностью агониста для ингибирования нейрогенной менингеальной транссудации при приемлемой дозе. Хотя неполный агонист любой активности может быть использован в способе настоящего изобретения, неполные агонисты с по меньшей мере 50%-ным действием агониста (Емакс) являются предпочтительными, при этом наиболее предпочтительными являются неполные агонисты с по меньшей мере 80%-ной активностью в качестве агониста (Емакс). Наиболее предпочтительны полные агонисты 5-НТ1F-рецептора.
Ингибирование только транссудации нейробелков является необходимым, но недостаточным условием для осуществления способа настоящего изобретения. Способ настоящего изобретения также требует того, чтобы при дозах, эффективных для ингибирования транссудации нейробелков, имело место только минимальное сужение сосудов. Отношение сужения сосудов ЕС50 в подкожной ножной вене кролика к ингибированию транссудации нейробелков ID50 у морских свинок определяется как Индекс Специфичности. Индекс Специфичности рассчитывают исходя из данных оценки соединений или композиций, которые способны обнаруживать различия между этими физиологическими событиями. Набор соединений, используемых для доказательства принципов настоящего изобретения, и фармакологические пробы, необходимые для определения Индекса Специфичности, описаны ниже.
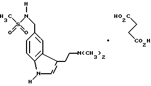
Соединение I3-[2-(диметиламино)этил] -N-метил-1Н-индол-5-метансульфонамида бутан-1,4-диоат (1:1) (Сукцинат суматриптана) ![]() Сукцинат суматриптана является коммерчески доступным под торговой маркой Imitrex TM или может быть получен в соответствии с описанием Патента США 5037845, выданного 6 августа 1991. Соединение II Гидрохлорид 5-фтор-3-{1-[2-[1-метил-1Н-пиразол-4-ил]этил] 4-пиперидинил} -1H-индола ![]() Соединение II может быть получено по следующей методике. 2-(1-метил-3-пиразоло)-1-этанол К смеси 200 г (2,85 моль) 2,3-дигидрофурана и 800 мл (4,81 моль) триэтилортоформиата по каплям добавляют 0,8 мл (6,5 ммоль) эфирата трифторида бора. После начального экзотермического эффекта реакционную смесь перемешивают при комнатной температуре в течение четырех дней. Затем к реакционной смеси добавляют 4,0 г карбоната натрия и реакционную смесь перегоняют при 6,0 мм рт.ст. Собирают фракции, кипящие между 60 и 130oС, получают 261,64 г (42,1%) светложелтого масла. Масс-спектр (м/е): 219 (М+). К раствору 87,2 г (0,40 моль) предварительно полученного желтого масла в 787 мл 1 н. НСl добавляют 21,3 мл (0,40 моль) метилгидразина и реакционную смесь кипятят с обратным холодильником при перемешивании в течение 4 часов. Затем реакционную смесь охлаждают до комнатной температуры и летучие вещества удаляют при пониженном давлении. Оставшееся масло обрабатывают 2 н. NaOH до получения основной среды и водный слой тщательно экстрагируют дихлорметаном. Объедиенные органические экстракты сушат над сульфатом натрия и концентрируют при пониженном давлении, получают 32,15 г (64,5%) названного соединения в виде коричневого масла. Масс-спектр (м/е): 126 (М+). Спектр ЯМР (ДМСО-d6, , м.д.): 7,45 (с, 1Н); 7,25 (с, 1Н); 4,65 (т, 1Н); 3,75 (с, 3Н); 3,55 (м, 2Н); 2,55 (т, 2Н).
1-метил-4-(2- метансульфонилоксиэтил)пиразолК раствору 16,0 г (127 ммоль) 2-(1-метил-3-пиразоло)-1-этанола и 27 мл (193 ммоль) триэтиламина в 550 мл тетрагидрофурана при охлаждении на ледяной бане добавляют 10,8 мл (140 ммоль) метансульфонилхлорида. После окончания добавления реакционную смесь перемешивают при комнатной температуре в течение 4 часов. Затем летучие вещества удаляют при пониженном давлении и остаток распределяют между водой и дихлорметаном. Органическую фазу промывают водой, затем насыщенным водным раствором хлорида натрия и оставшуюся органическую часть сушат сульфатом натрия. Растворитель удаляют при пониженном давлении, получают 28,4 г сырого продукта в виде коричневого масла, продукт используют без дополнительной очистки. 5-фтор-3[1, 2, 5, 6-тетрагидро-4-пиридил]-1H-индол К раствору 74 г гидроксида калия в 673 мл метанола добавляют 10,0 г (74 ммоль) 5-фториндола и 23,3 г (151 ммоль) 4-пиперидона НСl Н2O. Реакционную смесь перемешивают при нагревании с обратным холодильником в течение 18 часов. Реакционную смесь разбавляют 1,3 л воды и получающийся осадок отфильтровывают и сушат при пониженном давлении, получают 10,75 г (67,2%) 5-фтор-3-[1, 2, 5, 6-тетрагидро-4-пиридил]-1H-индола в виде желтого твердого вещества.
5-фтор-3-(4-пиперидинил)-1H-индолК раствору 10,75 г (50 ммоль) 5-фтор-3-[1, 2, 5, 6-тетрагидро-4-пиридил] -1Н-индола в 500 мл этанола добавляют 2,0 г 5%-ного палладия на угле и реакционную смесь гидрируют при комнатной температуре в течение 18 часов при начальном давлении водорода 420 кПа (60 фунтов/кв.дюйм). Затем реакционную смесь фильтруют через слой цеолита и фильтрат концентрируют в вакууме, получают практически белое твердое вещество. Твердое вещество перекристаллизовывают из метанола, получают 8,31 г (76,2%) названного соединения в виде бесцветного твердого вещества. Т.пл. 229-230oС. Масс-спектр (м/е): 218 (М+). Элементный анализ. Вычислено: С 71,53; Н 6,93; N 12,83. Брутто-формула: C13H15N2F. Найдено: С 71,81; Н 7,02; N 12,80. Алкилирование К раствору 2,0 г (9,2 ммоль) 5-фтор-3-(4-пиперидинил)-1H-индола и 2,4 г (23 ммоль) карбоната натрия в 50 мл диметилформамида добавляют 1,87 г (9,2 ммоль) 1-метил-4-(2-метансульфонилоксиэтил)пиразола в 5 мл диметилформамида. Реакционную смесь перемешивают при 100oС в течение 18 часов. Реакционную смесь охлаждают до комнатной температуры и растворитель удаляют при пониженном давлении. Остаток распределяют между дихлорметаном и водой и фазы разделяют. Органическую фазу тщательно промывают водой, затем насыщенным хлоридом натрия. Оставшуюся органическую фазу сушат сульфатом натрия и концентрируют при пониженном давлении. Оставшееся масло подвергают хроматографированию на силикагеле, элюент дихлорметан:метанол, 20:1. Фракции, содержащие требуемое соединение, объединяют и концентрируют при пониженном давлении, получают желтое масло. Масло переводят в хлоргидратную соль и кристаллизуют из смеси этилацетат: метанол. Выделяют 1,61 г (51,1%) Соединения II в виде бесцветных кристаллов. Т.пл. 239oС. Масс-спектр (м/е): 326 (М+). Элементный анализ. Вычислено: С 62,89, Н 6,67, N 15,44. Брутто-формула: С19Н23N4F НСl. Найдено С 62,80, Н 6,85, N 15,40.
Соединение IIIОксалат 5-гидрокси-3-(4-пиперидинил)-1H-индола ![]() Соединение III может быть получено по следующей методике. 5-бензилокси-3-[1, 2, 5, 6-тетрагидро-4-пиридил]-1H-индол Исходя из 5,0 г (22 ммоль) 5-бензилоксииндола и 6,88 г (45 ммоль) 4-пиперидона НСl Н2O получают 6,53 г (97,6%) 5-бензилокси-3-[1, 2, 5, 6-тетрагидро-4-пиридил] -1H-индола в виде светло-желтого твердого вещества по методике, описанной для синтеза 5-фтор-3-[1, 2, 5, 6-тетрагидро-4-пиридил]-1H-индола (см. выше). Это вещество используют в последующих стадиях без дополнительной очистки.
Гидрирование/гидрогенолизК раствору 1,23 г (4 ммоль) 5-бензилокси-3-[1,2,5,6-тетрагидро -4-пиридил]-1Н-индола в 50 мл смеси тетрагидрофу-ран:этанол, 1:1, добавляют 0,3 г 5%-ного палладия на угле и реакционную смесь гидрируют при комнатной температуре в течение 18 часов при начальном давлении водорода 420 кПа (60 фунтов/кв. дюйм). Затем реакционную смесь фильтруют через слой цеолита и фильтрат концентрируют при пониженном давлении. Остаток переводят в оксалат и выделяют 0,98 г (80,0%) Соединения III в виде коричневой пены. Т.пл. 67oС. Масс-спектр (м/е): 216 (М+). Элементный анализ. Вычислено: С 58,81, Н 5,92, N 9,14. Брутто-формула: C13H16N2O C2H2O4. Найдено С 58,70, Н 5,95, N 9,39.
Соединение IVГидрохлорид 8-хлор-2-диэтиламино-1,2,3,4-тетрагидронафталина ![]() Соединение IV может быть получено по следующей методике. 8-хлор-2-тетралон Смесь 30,0 г (0,176 моль) о-хлорфенилуксусной кислоты и 40 мл тионилхлорида перемешивают при комнатной температуре в течение 18 часов. Летучие вещества удаляют в вакууме, получают 32,76 г (99,0%) о-хлорфенилацетилхлорида в виде прозрачной бледно-желтой подвижной жидкости. Спектр ЯМР (СDСl3, , м.д.): 7,5-7,1 (м, 4Н), 4,2 (с, 2Н).
К суспензии 46,5 г (0,348 моль) АlСl3 в 400 мл дихлорметана при -78oС добавляют по каплям в течение 1 часа раствор 32,76 г (0,174 моль) предварительно приготовленного о-хлорфенилацетилхлорида в 100 мл дихлорметана. Баню сухой лед/ацетон заменяют баней лед/вода и через реакционную смесь барботируют этилен, при этом температура смеси поднимается до 15oС. Добавление этилена прекращают в конце выделения тепла и реакционную смесь перемешивают при температуре приблизительно 5oС в течение 4 часов. Затем для разрушения алюминиевых комплексов к реакционной смеси добавляют лед. При завершении выделения тепла реакционную смесь разбавляют 500 мл воды и быстро перемешивают до растворения всех твердых веществ. Фазы разделяют и органическую фазу промывают соляной кислотой (1 н., 3 х 400 мл) и насыщенным водным раствором бикарбоната натрия (2 х 400 мл). Оставшуюся органическую фазу затем сушат сульфатом натрия и концентрируют в вакууме, получают бледно-оранжевый остаток. Остаток растворяют в смеси гексан:диэтиловый эфир, 1:1, и наносят на колонку с силикагелем для быстрого хроматографирования, элюируют смесью гексан:диэтиловый эфир, 1:1, получают светло-желтый остаток, который кристаллизуют из смеси гексан:диэтиловый эфир, 4:1, получают 10,55 г названного соединения.
Спектр ЯМР (СDСl3, м.д.): 7,5-7,2 (м, 3Н), 3,7 (с, 2Н), 3,3-3,0 (т, J=7 Гц, 2Н), 2,8-2,4 (т, J=7 Гц, 2Н).
Масс-спектр: 180(60), 165(9), 138(100), 117(52), 115(50), 103(48), 89(20), 76(25), 74(18), 63(30), 57(9), 52(28), 51(20), 42(6), 39(32).
ИК-спектр (вазелиновое масло): 2950 см-1, 2927 см-1, 1708 см-1, 1464 см-1, 1450 см-1, 1169 см-1, 1141 см-1.
Восстановительное аминированиеК раствору 0,5 г (2,78 ммоль) 8-хлор-2-тетралона в 25 мл циклогексана добавляют 1,4 мл (13,9 ммоль) диэтиламина и затем 0,1 г моногидрата п-толуолсульфокислоты. Затем реакционную смесь кипятят с обратным холодильником с постоянным удалением воды (насадка Дина-Старка) в течение 18 часов. Реакционную смесь охлаждают до комнатной температуры и летучие вещества удаляют при пониженном давлении. Затем остаток растворяют в 15 мл метанола, к которому добавляют 1,5 мл уксусной кислоты, после чего порциями добавляют 0,5 г боргидрида натрия. Реакционную смесь перемешивают в течение 1 часа при комнатной температуре. Реакционную смесь затем разбавляют 20 мл 10%-ной НСl и перемешивают еще в течение часа. Далее реакционную смесь экстрагируют диэтиловым эфиром и оставшуюся водную фазу выливают в лед, подщелачивают гидроксидом аммония и тщательно экстрагируют дихлорметаном. Эти экстракты объединяют, сушат над сульфатом натрия и концентрируют при пониженном давлении. Остаток опять растворяют в дихлорметане и хроматографируют на основном оксиде алюминия, элюируя дихлорметаном. Фракции, содержащие продукт, объединяют и концентрируют при пониженном давлении. Оставшееся масло растворяют в диэтиловом эфире и раствор насыщают хлористым водородом. Вязкий остаток кристаллизуют из смеси ацетон/диэтиловый эфир, получают 0,20 г (23,2%) Соединения IV в виде бесцветных кристаллов. Т.пл. 158-159oС. Масс-спектр (м/е): 273. Элементный анализ. Вычислено: С 61,32, Н 7,72, N 5,11. Брутто-формула: C14H21NClHCl. Найдено С 61,62, Н 7,94, N 5,03. Соединение V 6-гидрокси-3-диметиламино -1,2,3,4-тетрагидрокарбазол ![]() Соединение V может быть получено по следующей методике. Этиленкеталь 4-диметиламино-1-циклогексанона К раствору 5,0 г (32 ммоль) моно-этиленкеталя 1,4-циклогександиона и 10,80 г (240 ммоль) диметиламина добавляют 2,0 мл уксусной кислоты и смесь перемешивают при oС в течение 1,5 часов. Затем к полученному раствору добавляют 3,62 г (58 ммоль) цианборгидрида натрия и реакционную смесь перемешивают при комнатной температуре еще один час. С помощью 16 мл уксусной кислоты рН реакционной смеси доводят до приблизительно 7 и перемешивают в течение 18 часов при комнатной температуре. Летучие вещества удаляют при пониженном давлении и остаток растворяют в холодном 5%-ном растворе винной кислоты и водную фазу подщелачивают с помощью 5 н. раствора гидроксида натрия. Водную фазу тщательно экстрагируют дихлорметаном. Органические экстракты объединяют и концентрируют при пониженном давлении, получают 5,04 г (85%) названного соединения в виде масла. 4-диметиламино-1-циклогексанон 4,96 г (26,8 ммоль) этиленкеталя 4-диметиламино-1-циклогексанона растворяют в 50 мл муравьиной кислоты и раствор перемешивают при кипячении с обратным холодильником в течение 18 часов. Реакционную смесь охлаждают до комнатной температуры и летучие вещества удаляют при пониженном давлении, получают 3,78 г (100%) названного соединения. 6-бензилокси-3-диметиламино -1,2,3,4-тетрагидрокарбазол К раствору 3,78 г (26,8 ммоль) 4-диметиламино-1-циклогексанона и 6,69 г (26,8 ммоль) гидрохлорида 4-бензилоксифенилгидразина в 50 мл этанола добавляют 2,17 мл (26,8 ммоль) пиридина. К полученному раствору добавляют порциями (5 х 10 мл) воду и реакционную смесь оставляют на 18 часов при температуре 0oС. Реакционную смесь разбавляют еще 50 мл воды и смесь тщательно экстрагируют метиленхлоридом. Объединенные органические экстракты сушат над сульфатом натрия и летучие вещества удаляют при пониженном давлении. Оставшееся масло подвергают быстрой хроматографии на силикагеле, элюент хлороформ: метанол, 9: 1. Фракции, содержащие требуемый продукт, объединяют и концентрируют при пониженном давлении, получают 2,14 г (24,9%) названного соединения. Гидрогенолиз К раствору 2,14 г (6,7 ммоль) 6-бензилокси-3-диметиламино-1,2,3,4- тетрагидрокарбазола в 50 мл этанола добавляют 0,20 г 10%-ного палладия на угле и реакционную смесь гидрируют при комнатной температуре при начальном давлении водорода 280 кПа (40 фунтов/кв.дюйм). Через 5 часов добавляют еще одну порцию 0,20 г 10%-ного палладия на угле и реакционную массу выдерживают при давлении водорода 280 кПа (40 фунтов/кв.дюйм) в течение 4 часов. Затем реакционную смесь фильтруют через слой цеолита и фильтрат концентрируют при пониженном давлении. Остаток подвергают хроматографии на Флорисиле (Florisil), элюируют смесью хлороформ: метанол, 9:1. Фракции, содержащие требуемое соединение, объединяют и концентрируют в вакууме. Остаток подвергают градиентной хроматографии на Флорисиле, элюируют хлороформом, содержащим 2-10% метанола. Фракции, содержащие требуемое соединение, объединяют и концентрируют в вакууме, получают Соединение V в виде кристаллического твердого вещества. Масс-спектр (м/е): 230 (М+). Элементный анализ. Вычислено: С 73,01; Н 7,88; N 12,16. Брутто-формула: C14H18N2O. Найдено: С 72,75; Н 7,83, N 11,97. Для того чтобы показать, что 5-НТ1F-рецептор ответственен за опосредование нейрогенной менингеальной транссудации, которая приводит к мигреневой боли, измеряют связующее сродство ряда новых соединений к серотониновым рецепторам, используя вначале стандартные методики. Например, способность соединения связываться с 5-НТ1F-рецептором оценивают по методике, описанной в работе N. Adham, et al., Proceedings of the National Academy of Sciences (USA), 90, 408-412 (1993). В целях сравнения определяют связующее сродство соединений к другим серотониновым рецепторам в соответствии с описанной ниже методикой, за исключением того, что вместо клона 5-НТ1F-рецептора используют различные клонированные рецепторы. Препараты мембран Мембраны получают из трансфецированных Ltk-клеток, которые выращивали до 100%-ного слияния. Клетки промывают дважды фосфатно-солевым буфером, соскабливают с чашек для культивирования и центрифугируют при 200 g в течение 5 мин при 4oС. Полученные пеллеты ресуспендируют в 2,5 мл охлажденного льдом буфера Трис (20 мМ Трис НСl, рН 7,4 при 23oС, 5 мМ ЭДТУК) и гомогенизируют с помощью гомогенизатора тканей Wheaton. Лизат затем центрифугируют при 200 г в течение 5 мин при 4oС для получения пеллет выделенных больших фрагментов. Надосадочную жидкость собирают и центрифугируют при 40000 g в течение 20 мин при 4oС. Полученные после этого центрифугирования пеллеты промывают охлажденным льдом буфером Трис и ресуспендируют в буфере, содержащем 50 мМ Трис НСl и 0,5 мМ ЭДТУК, рН 7,4 при 23oС. Препараты мембран хранят во льду и используют при проведении оценки связывания радиолигандов в течение 2-х часов. Концентрации белка определяют способом, описанным Брэдфордом (Bradford, Anal. Biochem., 72, 248-254 (1976)).
Связывание радиолигандов[3Н] 5-НТ-связывание проводят с использованием несколько измененных условий 5-НТ1D-оценки, описанных Херрик-Дависом и Тителером (Herrick-Davis, Titeler, J.Neurochem., 50, 1624-1631 (1988)), с исключением маскирующих лигандов. Исследования по связыванию радиолигандов проводят при 37oС в общем объеме 250 мкл буфера (50 мМ Трис, 10 мМ MgCl2, 0,2 мМ ЭДТУК, 10 мкМ паргилина, 0,1% аскорбата рН 7,4 при 37oС) в 96-луночных титрационных микропланшетах. Исследования по насыщению проводят с использованием [3Н]5-НТ в 12 различных концентрациях в интервале от 0,5 до 100 нМ. Исследования замещения осуществляют с использованием 4,5-5,5 нМ [3Н]5-НТ. Профили связывания лекарственных средств в конкурентных экспериментах определяют при использовании 10-12 концентраций соединения. Время выдерживания составляет 30 минут как при изучении насыщения, так и при изучении замещения, исходя из начальных исследований, в которых определяют условия равновесного связывания. Неспецифическое связывание определяют в присутствии 10 мкМ 5-НТ. Связывание инициируют путем добавления 50 мкл гомогенатов мембран (10-20 мкг). Взаимодействие останавливают с помощью быстрого фильтрования через предварительно пропитанные (0,5%-ным полиэтиленимином) фильтры с использованием коллектора клеток 48R Brandel Cell Harvester (Gaithersburg, MD). Затем фильтры промывают в течение 5 с охлажденным льдом буфером (50 мМ Трис НСl, рН 7,4, 4oС), сушат и помещают в сосуды, содержащие 2,5 мл Readi-Safe (Beckman, Fullerton, CA) и измеряют радиоактивность с использованием сцинтилляционного счетчика Бекмана-Beckman LS 5000ТА. Эффективность счета радиоактивности [3Н]5-НТ в среднем составляет 45-50%. Данные связывания анализируют с помощью компьютерного нелинейного регрессионного анализа (Accufit and Accucomp, Lunden Software, Chagrin Falls, ОН). Значения концентраций IC50 переводят в значение Ki с использованием уравнения Ченга-Прусофа (Cheng-Prusoff, Biochem. Pharmacol. , 22, 3099-3108 (1973)). Все опыты повторяют три раза. Результаты рассмотренных опытов по связыванию представлены в Таблице I. Как указывалось в WO 93/14201 (Weinshank et al.), 5-НТ1F -рецептор функционально сопряжен с G-белком, что измеряется по способности серотонина и серотонергических лекарственных средств ингибировать стимулируемое форсколином продуцирование цАМФ (сАМР) в NIH3T3-клетках трансфецированных 5-НТ1F-рецепторов. Аденилатциклазу определяют с использованием стандартных методик. Максимальный эффект достигается с помощью серотонина. Значение Eмакс определяют путем деления ингибирования для испытуемого соединения на максимальный эффект и определения процента ингибирования (см. N. Adham et al. , см. выше; R.L. Weinshank et al., Proceeding of the National Academy of Sciences (USA), 89, 3630-3634 (1992), а также приведенные там ссылки). Измерение образования цАМФ Трансфецированные NIH3T3-клетки (приблизительное значение Вмакс для одноточечных конкурентных исследований = 488 фмоль/мг белка) выдерживают в (DMEM), 5 мМ теофиллина, 10 мМ HEPES (4-2-гидроксиэтил-1-пиперазин-этансульфоновая кислота) и 10 мкМ паргилина, в течение 20 минут при 37oС, 5% СО2. Затем получают кривую зависимости концентрация лекарственного средства – эффект путем добавления 6-ти различных конечных концентраций лекарства с последующим немедленным добавлением форсколина (10 мкМ). Затем клетки выдерживают еще в течение 10 минут при 37oС, 5% СО2. Среду отсасывают и реакцию останавливают путем добавления 100 мМ НСl. Для того чтобы показать конкурентный антагонизм, параллельно получают кривую зависимости концентрация – ответ для 5-НТ с использованием фиксированной дозы метиотепина (0,32 мкМ). Чашки хранят при oС в течение 15 минут и затем центрифугируют в течение 5 минут при 500 g до получения пеллет клеточных осколков. Отбирают аликвоту надосадочной жидкости и хранят ее при -20oС до проведения оценки образования цАМФ с помощью радиоиммунологического анализа (с использованием набора для радиоиммунологического анализа цАМФ; Advanced Magnetics, Cambridge, MA). Количественное значение радиоактивности определяют с помощью автоматического счетчика гамма-излучения Packard COBRA Auto Gamma counter, снабженного программным обеспеченем. Все испытуемые соединения, как оказалось, являются агонистами при 5-НТ1F-рецепторе при проведении цАМФ-оценки. С целью определения способности ряда соединений ингибировать транссудацию белка проведен описанный ниже опыт, который представляет собой функциональную оценку нейронного механизма мигрени. Результаты проведенного опыта обобщены в Таблице II. Оценка белковой транссудации Крысам (Harlan Sprague-Dawley) весом 225-325 г или морским свинкам, полученным от Charles River Laboratories весом 225-325 г дают наркоз (пентобарбитал натрия, внутрибрюшинно, 65 мг/кг или 45 мг/кг соответственно) и помещают в стереотаксическую раму (David Kopf instruments) с набором комплектом переднерезцовых ограничителей при -3,5 мм для крыс или -4,0 мм для морских свинок. После серединного сагиттального рассечения скальпа через череп просверливают две пары двухсторонних отверстий (6 мм сзади, 2,0 и 4,0 мм по бокам у крыс; 4,0 мм сзади, 3,2 и 5,2 мм по бокам у морских свинок, все координаты соотнесены с брегмой). Пары стимулирующих электродов из нержавеющей стали, изолированных везде, кроме концов (Rhodes Medical Systems, Inc. ), опускают через отверстия в оба полушария на глубину 9 мм (крысы) или 10,5 мм (морские свинки) от твердой мозговой оболочки. Раскрывают бедренную вену и внутривенно вводят испытуемое соединение (1 мл/кг). Приблизительно через 7 минут также внутривенно вводят 50 мг/кг флуоресцентного красителя синий Эванс. Синий Эванс дает комплекс с белками в крови и выполняет функцию маркера белковой транссудации. Точно через 10 минут после инъекции испытуемого соединения стимулируют в течение 3 минут левый ганглий тройничного нерва при интенсивности тока 1,0 мА (5 Гц, продолжительность 4 мс) с помощью потенциостата/гальваностата (Model 273, EG&G Princeton Applied Research). Через 15 минут после стимуляции животных умерщвляют и выпускают кровь с помощью 20 мл физиологического раствора. Удаляют верхнюю часть скальпа для облегчения сбора дуральных мембран. Образцы мембран удаляют из обоих полушарий, промывают водой и распределяют по плоскости предметных стекол. После сушки ткани покрывают 70%-ным водным раствором глицерина. Для количественного определения синего Эванса в каждом образце используют флюоресцентный микроскоп (Zeiss), снабженный дифракционным монохроматором и спектрофотометром. Используют возбуждающую длину волны приблизительно 535 нм и определяют интенсивность эмиссии при 600 нм. Микроскоп снабжают механической платформой и соединяют с компьютером. Это обеспечивает контролируемое компьютером движение платформы для флюоресцентных измерений в 25 точках (500 мкм шаги) на каждом дуральном образце. С помощью компьютера определяют среднюю и стандартную ошибку измерений. Транссудация, индуцируемая путем электростимуляции ганглия тройничного нерва, является ипсилатеральным эффектом (т.е. имеет место только на стороне твердой мозговой оболочки, в которой стимулировали ганглий тройничного нерва). Это дает возможность использовать не подвергавшуюся стимуляции сторону твердой мозговой оболочки в качестве контроля. Рассчитывают отношение величины транссудации в стимулированной твердой мозговой оболочке к транссудации в нестимулированной стороне. Солевой контроль дает отношение приблизительно 2,0 в случае крыс и 1,8 в случае морских свинок. С другой стороны, соединение, которое эффективно предупреждает транссудацию в твердой мозговой оболочке из стимулированной стороны, должно иметь отношение приблизительно 1,0. Получают кривую зависимости доза – реакция и получают приближенное значение дозы, которая ингибирует транссудацию на 50% (ID50). Для определения соотношения, существующего между связующим сродством к каждому из рецепторов 5-HT1D , 5-HT1D , 5-HT1E и 5-НТ1F и транссудацией нейробелков, строят график зависимости связывающего сродства для каждого подтипа рецептора от их ID50 в модели белковой транссудации. Для каждого набора данных осуществляют линейный регрессионный анализ и вычисляют коэффициент корреляции R2. Полученные результаты представлены в Таблице III.
Идеально линейное соотношение будет давать коэффициент корреляции, равный 1,0, иллюстрирующий соотношение причины и эффекта между двумя переменными. Определенный опытным путем коэффициент корреляции между ингибированием транссудации нейробелка и связывающим сродством 5-НТ1F составляет 0,94. Такая почти идеальная зависимость ID50 в модели белковой транссудации от связующего сродства к 5-НТ1F-рецептору показывает, что 5-НТ1F-рецептор опосредует ингибирование нейробелковой транссудации, возникающей при стимуляции ганглия тройничного нерва.
Как показано выше, в способе настоящего изобретения также может быть использован неполный агонист 5-НТ1F-рецептора.
Дигидроэрготамин, например, представляет собой коммерческий препарат для лечения мигрени следующей формулы:![]() При оценке описанным выше способом дигидроэрготамин, как показано, связывается с 5-НТ1F-рецептором (Кi=276 нМ) и также является неполным агонистом 5-НТ1F-рецептора (Емакс= 49,5%). При оценке транссудации нейробелка дигидроэрготамин, как показано, является эффективным ингибитором нейробелковой транссудации (ID50= 2,43 10-8 ммоль/кг), достигая отношения 1,0 при сравнении сторон твердой мозговой оболочки. Дигидроэрготамин, как известно, является сильным сосудосуживающим средством (Goodman and Gilman, The Pharmacological Basis of Therapeutics, 8-th Edition, 943-947, Pergamon Press, New York (1990)) и сам по себе не может быть использован в настоящем изобретении.
Хотя для того чтобы соединение могло быть использовано в настоящем изобретении, оно должно обладать активностью агониста для 5-НТ1F-рецептора, обязательным условием является также то, чтобы оно не проявляло заметного сосудосуживающего действия. Соединения I, II, IV и V были проверены в следующих опытах с целью измерения их способности опосредовать вазоконстрикцию (сужение) подкожной вены ноги кролика. Полученные данные приведены в Таблице IV.
Сужение подкожной ножной вены кроликаСамцов новозеландских белых кроликов (3-6 фунтов, 1,36-2,72 кг) (Hazleton, Kalamazoo, MI) умерщвляют летальной дозой пентобарбитала натрия (325 мг), который вводят в ушную вену. Ткани отделяют от соединительной ткани, катетеризируют in situ полиэтиленовой трубкой (ПЭ50, внешний диаметр – 0,97 мм) и помещают в чашки Петри, содержащие бикарбонатный буфер Кребса (описан ниже). Наконечники двух игл для подкожных инъекций из нержавеющей стали (30-го калибра), изогнутых в L-образную форму, плавно переходят в полиэтиленовую трубку. Иглы затем разделяют и нижнюю иглу прикрепляют с помощью нити к стационарному стеклянному стержню, а верхнюю иглу привязывают с помощью нити к датчику. Ткани подвешивают в ваннах для органов, содержащих 10 мл модифицированного раствора Кребса: 118,2 ммоль NaCl, 4,6 ммоль КСl, 1,6 ммоль CaCl2 H2O, 1,2 ммоль КН2РO4, 1,2 ммоль MgSO4, 10,0 ммоль декстрозы и 24,8 ммоль NаНСО3. Растворы в ванне для тканей имеют температуру 37oС и насыщены 95% О2 и 5% СО2. К подкожной ножной вене прикладывают начальное оптимальное усилие покоя 1 г. Изометрические сокращения записывают в виде изменения усилия (в граммах) на приборе Beckman Dynograph с датчиком типа Statham UC-3 и вспомогательным приспособлением, имеющим микрошкалу. Перед воздействием лекарственного средства ткани выдерживают до уравновешивания в течение 1-2 часов. Для получения более чем двух кривых зависимости концентрация агониста – реакция получают кривые зависимости суммарная концентрация агониста/реакция в тканях и без ткани. Полученные результаты выражают в виде среднего значения ЕС50, а максимальную реакцию выражают как процент от реакции, вызванной 67 ммоль КСl, введенных вначале в каждую ткань.
При такой оценке сужения кровеносных сосудов измеряют два важных параметра – сужение подкожной ножной вены (ЕС50) и максимальное сужение как % от максимальной реакции на КСl. Сужение подкожной ножной вены (ЕС50) представляет собой величину дозы, необходимой для сужения ткани до 50% от максимальной реакции, которую конкретное соединение способно передать. Максимальную реакцию, которую подкожная ножная вена способна проявить, измеряют после введения высокой концентрации (67 ммоль) хлористого калия. Процент максимального KCl-сужения представляет собой отношение максимальной реакции, которую конкретное соединение способно опосредовать, поделенную на максимальную реакцию, которую может давать ткань.
Данные, представленные в Таблицах II и IV, показывают, что изученные соединения существенно отличаются по их способности ингибировать нейробелковую транссудацию и опосредовать сужение кровеносных сосудов. Специфичность, которая необходима для настоящего изобретения, определяется как разделение способности опосредовать сужение сосудов относительно ингибирования нейробелковой транссудации, опосредуемого 5-НТ1F. Количественное выражение такой специфичности представляет собой отношение сужения к эффективности ингибирования нейробелковой транссудации. Это отношение, называемое Индексом Специфичности, для изученных соединений представлено в Таблице V.
Соединения II и V, имеющие Индекс Специфичности соответственно 91,12 и >923, являются примерами типичных соединений, которые могут быть использованы в способе настоящего изобретения. Соединения I и IV, хотя и проявляют значительную 5-НТ1F-активность, не обладают требуемой специфичностью. Суматриптан (Соединение I), коммерческий препарат для лечения мигрени, имеет незначительные различия между двумя видами активности и проявляет более высокую эффективность при сужении кровеносных сосудов. Соединение IV обладает более высокой способностью опосредовать сужение сосудов, чем ингибировать нейробелковую транссудацию.
Следовательно, возможность применения соединения или композиции в способе настоящего изобретения определяется следующим образом:1. Определение сродства к 5-НТ1F-рецептору при проведении метода оценки связывания радиолигандов, описанного выше. 2. После установления сродства к 5-НТ1F-рецептору определение агониста, неполного агониста или свойств антагониста с использованием описанного ранее цАМФ-метода. 3. Если показано, что соединение или композиция являются агонистом или неполным агонистом со значением Емакс по меньшей мере приблизительно 50%, то измеряют его эффективность в качестве ингибитора белковой транссудации и его эффективность при сужении подкожной ножной вены с использованием описанных выше методов. 4. Рассчитывают Индекс Специфичности. Хотя соединение или композиция с Индексом Специфичности больше 1 могут быть использованы в способе настоящего изобретения, предпочтительны более высокие значения Индекса Специфичности. Более высокий Индекс Специфичности указывает на более высокую эффективность при ингибировании нейробелковой транссудации по сравнению с сужением кровеносных сосудов. Следующие интервалы значений Индекса Специфичности определяют специфичность соединений или композиций, которые могут быть использованы в настоящем изобретении, но никоим образом не ограничивают его. Индекс Специфичности более 1. Индекс Специфичности по меньшей мере 5. Индекс Специфичности в интервале 5-10000. Индекс Специфичности в интервале 5-1000. Индекс Специфичности в интервале 5-100. Индекс Специфичности в интервале 5-10. Индекс Специфичности по меньшей мере 10. Индекс специфичности в интервале 10-10000. Индекс Специфичности в интервале 10-1000. Индекс Специфичности в интервале 10-100. Индекс Специфичности по меньшей мере 100. Индекс Специфичности в интервале 100-10000. Индекс Специфичности в интервале 100-1000. Индекс Специфичности по меньшей мере 1000. Индекс Специфичности в интервале 1000-10000. Индекс Специфичности в интервале 2000-10000. Индекс Специфичности в интервале 2000-5000. Индекс Специфичности в интервале 4000-10000. Индекс Специфичности в интервале 6000-10000. Индекс Специфичности в интервале 8000-10000. Индекс Специфичности по меньшей мере 10000. В конечном итоге, полезность соединения или композиции в способе лечения боли при мигрени и родственных заболеваний без значительных побочных эффектов, вызванных сужением кровеносных сосудов, определяется величиной их Индекса Специфичности. Индекс Специфичности представляет собой отношение сужения сосудов к ингибированию нейробелковой транссудации. Измерение способности соединения или композиции ингибировать нейробелковую транссудацию представляет собой функциональную оценку физиологических событий, приводящих к мигреневой боли. Нейробелковая транссудация, как показано, ингибируется агонистами 5-НТ1F-рецептора. Хотя в рассматриваемом способе можно вводить соединения индивидуально без соответствующей лекарственной формы, эти соединения используют в форме фармацевтических композиций, содержащих фармацевтически приемлемый наполнитель и по меньшей мере один активный ингредиент. Эти композиции могут быть введены различными путями, включая пероральный, трансбуккальный, ректальный, трансдермальный, подкожный, внутривенный, внутримышечный и назальный. Многие соединения, используемые в способе настоящего изобретения, эффективны как в виде композиций для инъекций, так и в виде пероральных композиций. Такие композиции получают хорошо известными в фармакологии способами и содержат по меньшей мере одно активное соединение (см., например, Remington’s Pharmaceutical Science, 16th ed., 1980). При производстве композиций, используемых в способе настоящего изобретения, активный ингредиент обычно смешивают с наполнителем, разбавляют наполнителем или заключают в таком носителе, который может иметь форму капсул, саше, бумаги или другого контейнера. Когда наполнитель служит в качестве разбавителя, он может быть твердым, полутвердым или жидким материалом и может выполнять функцию наполнителя, носителя или среды для активного ингредиента. Таким образом, композиции могут иметь форму таблеток, пилюль, порошков, лепешек, саше, крахмальных облаток, эликсиров, суспензий, эмульсий, растворов, сиропов, аэрозолей (как твердых, так и в жидкой среде), мазей, содержащих, например, до 10 вес.% активного ингредиента, мягких и твердых желатиновых капсул, свечей, стерильных растворов для инъекций, а также стерильных упакованных порошков. При получении рецептур может быть необходимо измельчать активный ингредиент для получения необходимого размера частиц перед смешением с другими ингредиентами. Если активное соединение является практически нерастворимым, то его обычно размалывают до размера частиц менее чем 200 меш. Если активный ингрединет растворим в воде, то размер частиц обычно доводят путем помола до размера около 40 меш с целью однородного распределения в рецептуре. Некоторыми примерами приемлемых наполнителей являются лактоза, декстроза, сахароза, сорбит, манит, крахмалы, аравийская камедь, фосфат кальция, альгинаты, трагакант, желатин, силикат кальция, микрокристаллическая целлюлоза, поливинилпирролидон, целлюлоза, вода, сироп и метилцеллюлоэа. Рецептуры могут дополнительно включать: смазывающие агенты, такие как тальк, стеарат магния и минеральное масло; смачивающие агенты; эмульгирующие и суспендирующие агенты, такие как метил- и пропилгидроксибензоаты; подслащивающие агенты; и корригенты. Композиции настоящего изобретения могут быть приготовлены так, чтобы после введения лекарственного средства пациенту получить быстрое, отсроченное или замедленное выделение активного ингредиента. С этой целью используют методики, известные в данной области. Композиции предпочтительно получают в виде стандартных лекарственных форм. Понятие “стандартная лекарственная форма” относится к физически дискретным единицам, которые могут быть использованы в качестве стандартной дозы при лечении человека или млекопитающего, причем каждая единица содержит определенное количество активного материала, рассчитанное так, чтобы получить желаемый терапевтический эффект, в сочетании с приемлемым фармацевтическим наполнителем. Активные соединения обычно проявляют активность в широком интервале доз. Однако следует понимать, что количество вводимого соединения будет определяться врачом с учетом конкретного случая, то есть с учетом состояния, которое должно подвергаться лечению, выбранного способа введения, свойств используемого соединения или соединений возраста, веса и индивидуальной реакции пациента, а также с учетом серьезности симптомов заболевания у пациента. Далее приведены дозировки, которые иллюстрируют настоящее изобретение и никоим образом не ограничивают его объем. В некоторых случаях могут быть достаточны уровни дозировок ниже количества, приведенного в примерах, тогда как в других случаях могут быть использованы более высокие дозы без появления вредных побочных эффектов, при условии, что такие более высокие дозы делятся на несколько более мелких доз, которые вводятся в течение дня. Рецептурный Пример 1 Готовят твердые желатиновые капсулы, содержащие следующие ингредиенты: Ингредиент – Количество (мг/капсула) Соединение II – 30,0 Крахмал – 305,0 Стеарат магния – 5,0 Приведенные выше ингредиенты смешивают и вводят в твердые желатиновые капсулы в количестве 340 мг. Рецептурный Пример 2 Готовят таблетки, содержащие следующие ингредиенты: Ингредиент – Количество (мг/таблетка) Соединение V – 25,0 Целлюлоза микрокристаллическая – 200,0 Коллоидная двуокись кремния – 10,0 Стеариновая кислота – 5,0 Представленные выше компоненты смешивают и прессуют в форме таблеток, каждая весом 240 мг. Рецептурный Пример 3 Готовят сухой порошок для ингаляции, содержащий следующие ингредиенты: Ингредиент – Вес, % Соединение II – 5 Лактоза – 95 Активный компонент смешивают с лактозой и полученную смесь добавляют в приспособление для ингаляции сухим порошком. Рецептурный Пример 4 Готовят таблетки, каждая из которых содержит 30 мг активного ингредиента: Ингредиент – Количество (мг/таблетка) Соединение V – 30,0 Крахмал – 45,0 Микрокристаллическая целлюлоза – 35,0 Поливинилпирролидон (в виде 10%-ного раствора в воде) – 4,0 Натрий-карбоксиметилкрахмал – 4,5 Стеарат магния – 0,5 Тальк – 1,0 Итого – 120 Активный ингредиент, крахмал и целлюлозу пропускают через сито размером 20 меш ( 20 mesh U.S.) и тщательно смешивают. Раствор поливинилпирролидона смешивают с полученными порошками, которые затем пропускают через сито размером 16 меш. Полученные таким образом гранулы сушат при 50-60oС и пропускают через сито 16 меш. Натрий-карбоксиметилкрахмал, стеарат магния и тальк, предварительно просеянные через сито размером 30 меш, добавляют затем к гранулам, которые после смешения прессуют с помощью таблетирующей машины в таблетки весом 120 мг каждая. Рецептурный Пример 5 Капсулы, каждая из которых содержит по 40 мг лекарственного средства, получают следующим образом: Ингредиент – Количество (мг/капсула) Соединение II – 40,0 Крахмал – 109,0 Стеарат магния – 1,0 Итого – 150,0 мг Активный ингредиент, крахмал и стеарат магния смешивают, пропускают через сито размером 20 меш и полученную смесь вводят в твердые желатиновые капсулы по 150 мг в каждую. Рецептурный Пример 6 Свечи, содержащие по 25 г активного ингредиента, готовят следующим образом: Ингредиент – Количество Соединение V – 25 мг Глицериды насыщенных жирных кислот – до 2000 мг Активный ингредиент пропускают через сито размером 60 меш и суспендируют в глицеридах жирных кислот, которые предварительно расплавлены с использованием минимального количества тепла. Смесь затем выливают в форму для свечей с номинальной емкостью 2,0 г и охлаждают. Рецептурный Пример 7 Суспензии, содержащие 50 мг лекарственного средства в 5 мл, готовят следующим образом: Ингредиент – Количество, мг Соединение II – 50,0 Камедь – 4,0 Натрий-карбоксиметилцеллюлоза (11%), микрокристаллическая целлюлоза (89%) – 50,0 Сахароза – 1,75 Бензоат натрия – 10,0 Корригент и краситель – q.v. Очищенная вода – до 5, 0 мл Лекарственное средство, сахарозу и камедь смешивают, пропускают через сито размером 10 меш и затем смешивают с предварительно полученным раствором микрокристаллической целлюлозы и натрий-карбоксиметилцеллюлозы в воде. Бензоат натрия, корригент и краситель разбавляют небольшим количеством воды и добавляют при перемешивании. Затем добавляют воду в количестве, достаточном для получения необходимого объема. Рецептурный Пример 8 Капсулы, каждая из которых содержит по 15 мг лекарственного средства, получают следующим образом: Ингредиент – Количество (мг/капсула) Соединение V – 15,0 Крахмал – 407,0 Стеарат магния – 3,0 Итого – 425,0 мг Активный ингредиент, крахмал и стеарат магния смешивают, пропускают через сито размером 20 меш и полученную смесь вводят в твердые желатиновые капсулы по 425 мг в каждую. Рецептурный Пример 9 Внутривенные рецептуры готовят следующим образом: Ингредиент – Количество Соединение II – 250,0 Изотоничный солевой раствор – 1000 мл Рецептурный Пример 10 Препарат для местного применения готовят следующим образом: Ингредиент – Количество, г Соединение V – 1-10 Эмульгирующийся воск – 30 Вазелиновое масло – 20 Бесцветный мягкий парафин – до 100 г Бесцветный мягкий парафин нагревают до расплавления, вводят вазелиновое масло и эмульгирующийся воск и перемешивают до растворения. Затем добавляют активный ингредиент и перемешивают до получения дисперсии. Смесь охлаждают. Рецептурный Пример 11 Таблетки для подъязычного или трансбуккального применения, содержащие по 10 мг активного ингредиента, готовят следующим образом: Ингредиент – Количество, мг/табл. Соединение II – 10,0 Глицерин – 210,5 Вода – 143,0 Цитрат натрия – 4,5 Поливиниловый спирт – 26,5 Поливинилпирролидон – 15,5 Итого – 410,0 Глицерин, воду, цитрат натрия, поливиниловый спирт и поливинилпирролидон смешивают друг с другом при непрерывном перемешивании и при температуре приблизительно 90oС. После получения раствора полимеров этот раствор охлаждают приблизительно до 50-55oС и медленно добавляют лекарственное средство. Полученную гомогенную смесь выливают в формы, изготовленные из инертного материала и получают диффузионную матрицу толщиной приблизительно 2-4 мм, содержащие лекарственное средство. Матрицу разрезают на отдельные таблетки соответствующего размера. Другая предпочтительная рецептура, которая может быть использована в настоящем изобретении, использует трансдермальное распределяющее устройство (“пластырь”). Такие трансдермальные пластыри могут быть использованы для непрерывного или периодического вливания соединения настоящего изобретения в контролируемом количестве. Устройство и применение трансдермальных пластырей для подачи фармацевтических агентов хорошо известны в данной области (см., например, Патент США 5023252, выдан 11 июня 1991 г., который включен в данное описание в качестве ссылки). Такие пластыри могут быть выполнены для непрерывной или пульсирующей подачи фармацевтического средства или для подачи его по потребности. Часто существует необходимость или потребность вводить фармацевтические композиции в головной мозг или напрямую, или опосредованно. Методики прямого введения обычно включают размещение катетера, подающего лекарство, в вентрикулярную систему пациента, чтобы обойти гематоэнцефалический барьер. Одна из таких имплантируемых систем подачи лекарственного средства, используемых для переноса биологических факторов к конкретной анатомической области тела, описана в Патенте США 5011472 (выдан 30 апреля 1991 г., включен в данное описание в качестве ссылки). Методики непрямого введения, которые более предпочтительны, обычно включают получение композиций, обеспечивающих латентизацию лекарственного средства путем превращения гидрофильных соединений в липидорастворимые лекарства или пролекарства. Латентизация обычно достигается блокировкой гидроксильных, карбонильных, сульфатных и первичных аминных групп, присутствующих в лекарственном средстве, для придания соединению растворимости в липидах и способности проходить через гематоэнцефалический барьер. С другой стороны, доставка гидрофильных лекарственных средств может быть усилена с помощью внутриартериального вливания гипертонических растворов, которые могут временно открывать гематоэнцефалический барьер. Тип рецептуры, используемый для введения соединений при осуществлении способа настоящего изобретения, может определяться свойствами конкретного соединения, типом фармакокинетического профиля, необходимого способа введения и соединения(ний), а также состоянием пациента. Формула изобретения
РИСУНКИ
MM4A Досрочное прекращение действия патента Российской Федерации на изобретение из-за неуплаты в установленный срок пошлины за поддержание патента в силе
Дата прекращения действия патента: 04.10.2004
Извещение опубликовано: 20.04.2006 БИ: 11/2006
|
||||||||||||||||||||||||||

, Н3,
-опиоида и соматостатина также могут располагаться на тройничных сосудистых волокнах и могут быть блокированы нейрогенной плазменной транссудацией (Matsubara et al. , Eur. J. Pharmacol., 224, 145-150 (1992)). Weinshank с соавторами сообщили, что суматриптан и ряд алкалоидов спорыньи обладают высоким сродством к 5-НТ1F-рецепторам, подтверждая роль 5-НТ1F-рецепторов при мигрени (WO 93/14201).
Настоящее изобретение предлагает способ лечения мигрени и родственных заболеваний у млекопитающих, который включает введение эффективного количества 5-НТ1F-агониста или композиции, проявляющей активность 5-НТ1F-агониста, которые также обладают минимальным сосудосуживающим действием.
Настоящее изобретение предлагает способ лечения мигрени и родственных заболеваний, который основан на новом механизме действия. При лечении мигрени с помощью соединения или композиции, которые являются селективными агонистами 5-НТ1F-рецепторов, родственных другим серотониновым рецепторам, которые продуцируют нежелательные эффекты типа сужения сосудов, нейрогенная менингеальная транссудация, которая приводит к боли при мигрени, ингибируется и физиологическая ответственность соединений, проявляющих сосудосуживающее действие или другие побочные эффекты, исключена. Этот механизм имеет место у млекопитающих и предпочтительным млекопитающим является человек.
Дополнительный вариант осуществления изобретения включает введение композиции, которая проявляет активность селективного 5-НТ1F-агониста. Композиция может содержать один или несколько агентов, которые индивидуально или вместе, являются селективными агонистами 5-НТ1F-рецепторов, относительно других рецепторов серотонина, которые продуцируют нежелательные побочные эффекты, подобные сужению сосудов.
Термин “5-НТ1F-агонист”, который используется в описании настоящего изобретения, используется для обозначения полного или неполного агониста. Соединение, которое представляет собой частичный агонист 5-НТ1F-рецептора, должен обладать достаточной активностью агониста для ингибирования нейрогенной менингеальной транссудации при приемлемой дозе. Хотя неполный агонист любой активности может быть использован в способе настоящего изобретения, неполные агонисты с по меньшей мере 50%-ным действием агониста (Емакс) являются предпочтительными, при этом наиболее предпочтительными являются неполные агонисты с по меньшей мере 80%-ной активностью в качестве агониста (Емакс). Наиболее предпочтительны полные агонисты 5-НТ1F-рецептора.
Ингибирование только транссудации нейробелков является необходимым, но недостаточным условием для осуществления способа настоящего изобретения. Способ настоящего изобретения также требует того, чтобы при дозах, эффективных для ингибирования транссудации нейробелков, имело место только минимальное сужение сосудов. Отношение сужения сосудов ЕС50 в подкожной ножной вене кролика к ингибированию транссудации нейробелков ID50 у морских свинок определяется как Индекс Специфичности. Индекс Специфичности рассчитывают исходя из данных оценки соединений или композиций, которые способны обнаруживать различия между этими физиологическими событиями. Набор соединений, используемых для доказательства принципов настоящего изобретения, и фармакологические пробы, необходимые для определения Индекса Специфичности, описаны ниже.
Соединение I

, м.д.): 7,45 (с, 1Н); 7,25 (с, 1Н); 4,65 (т, 1Н); 3,75 (с, 3Н); 3,55 (м, 2Н); 2,55 (т, 2Н).
1-метил-4-(2- метансульфонилоксиэтил)пиразол
НСl


, 5-HT1E и 5-НТ1F и транссудацией нейробелков, строят график зависимости связывающего сродства для каждого подтипа рецептора от их ID50 в модели белковой транссудации. Для каждого набора данных осуществляют линейный регрессионный анализ и вычисляют коэффициент корреляции R2. Полученные результаты представлены в Таблице III.
Идеально линейное соотношение будет давать коэффициент корреляции, равный 1,0, иллюстрирующий соотношение причины и эффекта между двумя переменными. Определенный опытным путем коэффициент корреляции между ингибированием транссудации нейробелка и связывающим сродством 5-НТ1F составляет 0,94. Такая почти идеальная зависимость ID50 в модели белковой транссудации от связующего сродства к 5-НТ1F-рецептору показывает, что 5-НТ1F-рецептор опосредует ингибирование нейробелковой транссудации, возникающей при стимуляции ганглия тройничного нерва.
Как показано выше, в способе настоящего изобретения также может быть использован неполный агонист 5-НТ1F-рецептора.
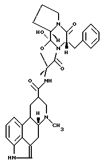
Дигидроэрготамин, например, представляет собой коммерческий препарат для лечения мигрени следующей формулы: