Патент на изобретение №2183455
|
||||||||||||||||||||||||||
(54) ПРИМЕНЕНИЕ ФОРСКОЛИНА ИЛИ ЭКСТРАКТОВ, СОДЕРЖАЩИХ ЕГО, ДЛЯ ПРОИЗВОДСТВА ЛЕКАРСТВЕННОГО ПРЕПАРАТА ДЛЯ ЛЕЧЕНИЯ ХРОНИЧЕСКОГО АЛКОГОЛИЗМА
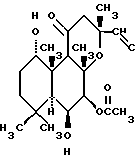
(57) Реферат: Изобретение относится к медицине. Предложено применение форсколина и содержащих его экстрактов для лечения хронического алкоголизма. Средство значительно понижает потребление алкоголя. 2 с.п.ф-лы, 1 ил. Изобретение относится к фармацевтическим композициям для лечения хронического алкоголизма, характеризующимся тем, что они содержат в качестве активного начала форсколин или экстракты, содержащие его. Злоупотребление алкоголем и хронический алкоголизм – феномены, которые совместно могут быть отнесены к термину алкоголизм, представляющему серьезную проблему всего современного общества (Gessa G.L., Bisogno compulsive di bere e “principio del piacere” [The compulsive need to drink and the pleasure principle] in Medicina delle tossicodipendenze [Drug Addiction Medicine] 11, 5, (1994)). В Италии, например, более, чем 9% населения (около 5 миллионов человек) являются алкоголиками и более, чем 1 миллион человек являются зависимыми от алкоголя (Calamo-Specchia F.P. – Epidemiologia dell’ alcogolismo in Italia [Epidemiology of alcogolism in Italy] in Atti del VII Congresso Nazionale della S.I.A. [Records of the 7th National Congress of the S.I.A.] Mediserve, Rome, 295-301 (1991)). Эти цифры становятся значительно выше, если рассматривать такие страны, как Соединенные Штаты Америки, где более, чем 13 миллионов человек являются зависимыми от алкоголя. Злоупотребление алкоголем и действительный хронический алкоголизм приводят к огромным расходам общественных средств (недавно, начиная с 1991 года в Соединенных Штатах Америки в год расходуется около 200 тысяч миллионов долларов) и являются причиной огромного общественного и психологического ущерба пристрастившихся лиц. Существующие подходы для лечения алкоголизма в дополнение к подходам психологической природы (групповая терапия и т.п.) состоят в использовании лекарственных средств, таких как дисульфирам и карбамид кальция, которые действуют на метаболизм алкоголя, ингибируя (подавляя) альдегиддегидрогеназу печени и, следовательно, повышая уровень ацетальдегида в крови, вместе с нежелательными феноменами, которые наблюдаются каждый раз, когда принимают этиловый спирт. В соответствии с настоящим состоянием уровня техники единственным растением, производные которого используются для лечения алкоголизма, является Pueraria lobata (Radix puerarie), которое широко используется в традиционной китайской медицине и составляет предмет Патентной Заявки WO 93/00896. Было неожиданно обнаружено, что форсколин с успехом может быть использован для снижения добровольного потребления алкоголя и других наркотиков, которые вызывают пристрастие. Форсколин,тоесть,17- -ацетокси-8,13-эпокси-1 ,6 ,9 -тригидроксилабд-14-ен-11-он, формулы![]() представляет дитерпеноид, выделенный из растения Coleus forskohlii, родина которого Индия, который способен активировать аденилатциклазу. Его фармакологическая активность описывается De Souza и Shah в Economic and Medicinal Plant Research, том. 2, H. Wagner, H. Hihino and N. Farusuworth ed.. Academic Press. 1988. Известно использование форсколина для лечения сердечно-циркуляторных заболеваний, заболеваний дыхательных путей и глаукомы; для обзора см., например, цитируемую выше ссылку; Seamon and Daly, Adv. Cyclic Nucleotide Res. 20, 1. Определение ингибирующего действия на потребление алкоголя проводили при использовании линии крыс, потребляющих алкоголь, называемых “Sardinian alcohol-preferring” (Sp) (Fadda F., Mosca E., Colimbo G., Gessa G.L., Alcohol-preferring rats: Genetic sensitivity to alcohol-induced stimulation of dopamine metabolism, in Ph siol. Behav. 47, 727 (1990)). В последние несколько лет для определения действия различных веществ на добровольное потребление алкоголя с успехом использовали тех животных, которые имели свободный выбор между алкоголем и водой и потребляли ежедневно от 6 до 7 г алкоголя на 1 кг веса тела (при соотношении воды к алкоголю более, чем 2:1), см., например, Balakleevsky A., Colombo G., Fadda F., Gessa G. L., Ro 19-4603, a benzodiazepine receptor inverse aqonist, attenuates voluntary ethanol consumption in rats selectively bred for high ethanol preference, in Alcohol Alcohol. 25, 449-452 (1990)); Fadda F., Garau В., Colombo G. , Gessa G.L., Isradipine and other calcium channel antagonists attenuate athanol consumption in ethanol-preferring rats, in Alcoholism: Clinical and Experimental Research 16(3), 449-452 (1992). Животные, которых содержали в нормальных условиях, получали свободный выбор между водой (которая всегда имелась) и алкоголем (10% раствор об/об), который предлагали в течение 4 часов в день (то есть, первые 4 часа темноты в течение цикла день/ночь). Потребляемое количество воды и алкоголя записывали каждый день в одно и то же время. Пища предоставлялась без ограничения. При достижении постоянного потребления алкоголя и воды, вводили перорально форсколин при дозировке 50 мг/кг, растворенный в диметилсульфоксиде, в объемном количестве 2 мл/кг один раз в день в течение 7 последовательных дней. В качестве контроля использовали равный объем носителя. В конце курса лечения записывали потребление воды и алкоголя до тех пор, пока записанные значения перед лечением не были повторно установлены. На фиг. 1А показано действие повторяющегося перорального введения 50 мг/кг форсколина на потребление алкоголя; на фиг.1В показано действие на потребление воды. Из анализа фиг. 1 можно заключить, что форсколин значительно понижает потребление алкоголя. Снижение потребления алкоголя сохраняется постоянным вплоть до седьмого дня и затем регрессируется после прекращения лечения. Более того, неожиданно необходимо отметить, что эта тенденция сопровождается тенденцией постепенного увеличения потребления воды, как, если бы животное заменяло его вместо алкоголя. Это последнее наблюдение является особенно важным, поскольку оно показывает, что лечение, проведенное с тестированным продуктом, является совершенно хорошо переносимым, и животное возвращается без каких-либо затруднений к более физиологическому жизненному циклу, используя воду вместо алкоголя. Изобретение, следовательно, обеспечивает фармацевтические композиции, которые могут быть введены перорально и которые содержат в качестве активного начала форсколин. Композиции по изобретению в дополнение к общепринятым наполнителям или носителям будут содержать от примерно 10 до примерно 500 мг активного начала. Пример 1. Состав в саше (пакетике). Каждая саше 2300 мг содержит, мг: Форсколин – 100 Сахароза – 2000 Мальтодекстрин – 110 Лимонная кислота – 30 Апельсиновая вкусовая добавка – 40 Гидрогенезированные растительные масла – 20 Пример 2. Состав таблетки. Каждая таблетка 100 мг содержит, мг: Форсколин – 25 Микрокристаллическая целлюлоза – 25 Лактоза – 37 Коллоидный кремнезем – 1 Поперечно-сшитая натрий карбокси-метилцеллюлоза – 6 Поливинилпирролидон – 5 Стеарат магния – 1в Формула изобретения
РИСУНКИ
MM4A Досрочное прекращение действия патента из-за неуплаты в установленный срок пошлины за
Дата прекращения действия патента: 10.05.2010
Дата публикации: 7.03.2011
|
||||||||||||||||||||||||||

-ацетокси-8,13-эпокси-1
,6