Патент на изобретение №2183451
|
||||||||||||||||||||||||||
(54) КОМПОЗИЦИЯ ДЛЯ ОКИСЛИТЕЛЬНОГО ОКРАШИВАНИЯ КЕРАТИНОВЫХ ВОЛОКОН, СПОСОБ ИХ ОКРАШИВАНИЯ, НАБОР ДЛЯ ОКРАШИВАНИЯ КЕРАТИНОВЫХ ВОЛОКОН
(57) Реферат: Объектом изобретения является композиция для окислительного окрашивания кератиновых волокон, в частности, волос, содержащая в подходящей для окрашивания среде окисляемое основание, 1,3-бис( -гидроксиэтил)амино-2-метилбензол и/или, по меньшей мере, один из их солевых аддуктов с кислотами в качестве первого краскообразующего вещества и гетероциклическое краскообразующее вещество в качестве второго краскообразующего вещества, а также способ окрашивания с использованием этой композиции. Изобретение обеспечивает стойкую и высокохроматичную окраску волос. 3 с. и 26 з.п. ф-лы, 1 табл.
Объектом изобретения является композиция для окислительного окрашивания кератиновых волокон и, в частности, кератиновых волокон человека, таких как волосы, содержащая в подходящей для окрашивания среде по меньшей мере одно окисляемое основание, 1,3-бис-( -гидроксиэтил)амино-2-метилбензол и/или по меньшей мере один из его солевых аддуктов с кислотами в качестве первого краскообразующего вещества и по меньшей мере одно гетроциклическое краскообразующее вещество в качестве второго краскообразующего вещества, а также способ окрашивания с использованием этой композиции.
Известны способы окрашивания кератиновых волокон, в частности, волос человека, красящими композициями, содержащими предшественники окислительного красителя, в частности, о- или п-фенилендиамины, о- или п-аминофенолы, гетероциклические основания, обычно называемые окисляемыми основаниями. Предшественники окислительных красителей, или окисляемые основания, являются бесцветными или слабоокрашенными соединениями, которые, соединяясь с окислительными соединениями, могут в результате окислительной конденсации дать окрашенные и красящие продукты.
Известно также, что можно варьировать цветовые оттенки, получаемые с этими окисляемыми основаниями, соединяя их с краскообразующими веществами или модификаторами окрашивания, которые, в частности, выбирают из числа ароматических м-диаминов, м-аминофенолов, м-дифенолов и некоторых гетероциклических соединений.
Разнообразие применяемых окисляемых оснований и краскообразующих веществ дает возможность получения богатой палитры цветов.
Называемое “перманентным” окрашивание, получаемое благодаря окислительным красителям, должно вместе с тем удовлетворять определенному ряду требований. Оно, в частности, должно обеспечивать получение оттенков желаемой интенсивности и быть устойчивым к внешним агентам (свету, непогоде, мытью, перманентной завивке, потению и воздействиям, связанным с трением).
Красители должны также позволять закрашивать седые волосы и, наконец, быть в наименьшей степени избирательными, т.е. обеспечивать наименьшую возможную разницу в окраске вдоль одного и того же кератинового волокна, которое, в действительности, может быть в различной степени сенсибилизированным (т.е. поврежденным) на протяжении между его концом и корнем.
Ранее предлагались, в частности, в патентных заявках DE-A-4132615 и DE-A-19637371, композиции для окислительного окрашивания кератиновых волокон, содержащие одно или несколько окисляемых оснований, одно или несколько производных 2,6-диаминотолуола в качестве краскообразующих веществ и, возможно, одно или несколько дополнительных краскообразующих веществ, выбираемых из числа краскообразующих веществ, традиционно используемых в области окислительного окрашивания, таких как резорцин и его производные, нафталиновые производные, а также пиридиновые производные. Однако, несмотря на то, что окраски, получаемые при использовании таких композиций, обладают высокой хроматичностью, они не достаточно хороши, в частности, с точки зрения их устойчивости в отношении различных обработок и естественных агрессивных воздействий на кератиновые волокна.
Заявитель установил, что возможно получение новых красящих средств, способных давать сильные и высокохроматичные окраски и при этом являющихся высокоустойчивыми к различным агрессивным воздействиям на волокна, путем комбинирования по меньшей мере одного окисляемого основания, 1,3-бис-( -гидроксиэтил)амино-2-метилбензола и/или по меньшей мере одного из его солевых аддуктов с кислотами в качестве первого краскообразующего вещества и по меньшей мере одного соответствующим образом подобранного гетероциклического краскообразующего вещества в качестве второго краскообразующего вещества.
Это открытие является основой настоящего изобретения.
Таким образом, первым предметом изобретения является композиция для окислительного окрашивания кератиновых волокон и, в частности, кератиновых волокон человека, таких как волосы, отличающаяся тем, что она содержит в подходящей для окрашивания среде:– по меньшей мере одно окисляемое основание; -1,3-бис-( -гидроксиэтил)амино-2-метилбензол и/или по меньшей мере один из их солевых аддуктов с кислотами в качестве первого краскообразующего вещества;– и по меньшей мере одно гетероциклическое краскообразующее вещество в качестве второго краскообразующего вещества; при условии, что, когда красящая композиция содержит пиримидиновое окисляемое основание и/или 2-( -гидроксиэтил)-п-фенилендиамин и/или один из их солевых аддуктов с кислотами, гетероциклическое краскообразующее вещество является пиридиновым.
Красящая композиция согласно изобретению дает сильные, высокохроматичные окраски, обладающие великолепной устойчивостью как в отношении атмосферных агентов, таких как свет и непогода, так и в отношении пота и различных обработок, которым могут быть подвергнуты волосы.
Предметом изобретения является также способ окислительного окрашивания кератиновых волокон, в котором используется названная выше красящая композиция.
Из гетероциклических краскообразующих веществ, пригодных для использования в качестве второго краскообразующего вещества в красящей композиции по изобретению, могут быть, в частности, названы индольные производные, индолиновые производные, бензимидазольные производные, производные бензоморфолина, производные сесамола, пиразоло-азольные производные, пирроло-азольные производные, имидазоло-азольные производные, пиразоло-пиримидиновые производные, производные пиразолин-3,5-дионов, пирроло-[3,2-d]-оксазольные производные, пиразоло-(3,4-d] -тиазольные производные, S-оксид-тиазоло-азольные производные, S,S-диоксид-тиазоло-азольные производные, пиридиновые производные и их солевые аддукты с кислотами.
Из индольных производных, пригодных в качестве гетероциклических краскообразующих веществ в красящей композиции по изобретению, могут быть, в частности, названы соединения приведенной ниже формулы I и их солевые аддукты с кислотами:![]() в которой R1 обозначает атом водорода, С1-С4-алкил, моно- или полигидрокси-С2-С4-алкил или амино-С1-С4-алкил, в котором аминогруппа может быть моно- или дизамещенной С1-С4-алкилом; – R2 обозначает атом водорода или С1-С4-алкил; – R3 обозначает атом водорода, С1-С4-алкил или гидроксил; – Х обозначает гидроксил или группу NHR4, в которой R4 обозначает атом водорода, C1-C4-алкил или гидрокси-С1-С4-алкил. Из индольных производных приведенной выше формулы I можно выделить 4-гидроксииндол, 6-гидроксииндол, 7-аминоиндол, 6-аминоиндол, 7-гидроксииндол, 7-этил-6-( -гидроксиэтил)аминоиндол, 4-аминоиндол, 6-гидрокси-1-метилиндол, 5,6-дигидроксииндол, 4-гидрокси-1-N-метилиндол, 4-гидрокси-2-метилиндол, 4-гидрокси-5-метилиндол, 4-гидрокси-1-N-( -гидроксиэтил) индол, 4-гидрокси-1-N-( -гидроксипропил)индол, 1-N-( , -дигидроксипропил)-4-гидроксииндол, 4-гидpoкcи-1-N-( -гидроксиэтил)-5-метилиндол,1-N-( -диметиламинопропил)-4-гидроксииндол и их солевые аддукты с кислотами.
Из индолиновых производных, пригодных в качестве гетероциклических краскообразующих веществ в красящей композиции по изобретению, могут быть, в частности, названы 4-гидроксииндолин, 6-гидроксииндолин, 6-аминоиндолин, 5,6-дигидроксииндолин и их солевые аддукты с кислотами.
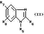
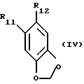
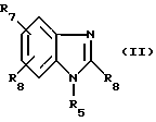
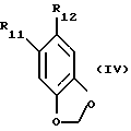
Из бензимидазольных производных, пригодных для использования в качестве гетероциклических краскообразующих веществ в красящих композициях по изобретению, могут быть, в частности, названы соединения приведенной ниже формулы II и их солевые аддукты с кислотами:![]() в которой R5 обозначает атом водорода или С1-С4-алкил; – R6 обозначает атом водорода, C1-C4-алкил или фенил; – R7 обозначает гидроксил, амино- или метокси-группу; – R8 обозначает атом водорода, гидроксил, метокси или C1-C4-алкил; при условии, что – когда R7 является аминогруппой, он находится в положении 4, – когда R7 занимает положение 4, тогда R8 находится в положении 7, – когда R7 занимает положение 5, тогда R8 находится в положении 6. Из бензимидазольных производных приведенной выше формулы II могут быть названы (4-гидроксибензимидазол, 4-аминобензимидазол, 4-гидрокси-7-метилбензимидазол, 4-гидрокси-2-метилбензимидазол, 1-бутил-4-гидроксибензимидазол, 4-амино-2-метилбензимидазол, 5,6-дигидроксибензимидазол, 5-гидрокси-6-метоксибензимидазол, 4,7-дигидроксибензимидазол, 4,7-дигидрокси-1-метилбензимидазол, 4,7-диметоксибензимидазол, 5,6-дигидрокси-1-метилбензимидазол, 5,6-дигидрокси-2-метилбензимидазол, 5,6-диметоксибензимидазол и их солевые аддукты с кислотами. Из производных бензоморфолина, пригодных в качестве гетероциклических краскообразующих веществ в красящей композиции по изобретению, могут быть, в частности, названы соединения приведенной ниже формулы III и их солевые аддукты с кислотами: ![]() в которой – R9 и R10, одинаковые или разные, обозначают атом водорода или С1-С4-алкил; – Z обозначает гидроксил или аминогруппу. Из производных бензоморфолина приведенной выше формулы III можно выделить 6-гидрокси-1,4-бензоморфолин, N-метил-6-гидрокси-1,4-бензоморфолин, 6-амино-1,4-бензоморфолин и их солевые аддукты с кислотами. Из производных сесамола, пригодных в качестве гетероциклических краскообразующих веществ в красящей композиции по изобретению, могут быть, в частности, названы соединения приведенной ниже формулы IV и их солевые аддукты с кислотами: ![]() в которой R11 обозначает гидроксил, аминогруппу, С1-С4-алкиламино-, моногидрокси-С1-С4-алкиламино- или полигидрокси-С2-С4-алкиламино-группу; R12 обозначает атом водорода или галогена или C1-C4-алкокси-группу. Из производных сесамола приведенной выше формулы IV можно выделить 2-бром-4,5-метилендиоксифенол, 2-метокси-4,5-метилендиоксианилин, 2-( -гидроксиэтил)амино-4,5-метилендиоксибензол и их солевые аддукты с кислотами.
Из пиразоло-азольных производных, пригодных в качестве гетероциклических краскообразующих веществ в красящей композиции по изобретению, можно выделить соединения, описанные в следующих патентных заявках и патентах: FR 2075583, ЕР-А-119860, ЕР-А-285274, ЕР-А-244160, ЕР-А-578248, GB 1458377, US 3227554, US 3419391, US 3061432, US 4500630, US 3725067, US 3926631, US 5457210, JP 84/99437, JP 83/42045, JP 84/162548, JP 84/171956, JP 85/33552, JP 85/43659, JP 85/172982, JP 85/190779, а также в следующих публикациях: Chem. Ber. 32, 797 (1899), Chem. Ber. 89, 2550 (1956), J. Chem. Soc. Perkin trans 1, 2047 (1977), J. Pract. Chem., 320, 533 (1978), содержание которых является составляющей частью настоящей заявки.
Из пиразоло-азольных производных можно особо выделить:– 2-метилпиразоло[1,5-b]-1,2,4-триазол, – 2-этилпиразоло[1,5-b]-1,2,4-триазол, – 2-изопропилпиразоло[1,5-b]-1,2,4-триазол, – 2-фенилпиразоло[1,5-b]-1,2,4-триазол, – 2,6-диметилпиразоло[1,5-b]-1,2,4-триазол, – 7-хлор-2,6-диметилпиразоло[1,5-b]-1,2,4-триазол, – 3,6-диметилпиразоло[3,2-с]-1,2,4-триазол, – 6-фенил-3-метилтиопиразоло[3,2-с]-1,2,4-триазол, – 6-аминопиразоло[1,5-а]-бензимидазол, и их солевые аддукты с кислотами. Из пирроло-азольных производных, пригодных в качестве гетероциклических краскообразующих веществ в красящей композиции по изобретению, могут быть названы соединения, описанные в следующих патентных заявках и патентах: US 5256526, ЕР-А-557851, ЕР-А-578248, ЕР-А-518238, ЕР-А-456226, ЕР-А-488909, ЕР-А-488248, а также в следующих публикациях: – D.R. Liljegren Ber. 1964, 3436; – E.J. Browne, J.C.S., 1962, 5149; – P. Magnus, J.A.C.S., 1990, 112, 2465; – P. Magnus, J.A.C.S., 1987, 109, 2711; – Angew. Chem. 1960, 72, 956; – и Rec. Trav. Chim. 1961, 80, 1075; содержание которых является составляющей частью настоящей заявки. Из пирроло-азольных производных можно выделить: -5-циано-4-этоксикарбонил-8-метиппирроло-[1,2-b]-1,2,4-триазол, -5-циано-8-метил-4-фенилпирроло-[1,2-b]-1,2,4-триазол, -7-амидо-6-этоксикарбонилпирроло-[1,2-а]-бензимидазол, и их солевые аддукты с кислотами. Из имидазоло-азольных производных, пригодных в качестве гетероциклических краскообразующих веществ в красящей композиции по изобретению, можно выделить соединения, описанные в следующих патентных заявках и патентах: US 5441863, JP 62-279337, JP 06-236011 и JP 07-092632, содержание которых является составляющей частью настоящей заявки. Из имидазоло-азольных производных можно выделить: – 7,8-дицианоимидазоло-[3,2-а]-имидазол, – 7,8-дициано-4-метилимидазоло-[3,2-а] -имидазол и их солевые аддукты с кислотами. Из пиразоло-пиримидиновых производных, пригодных в качестве гетероциклических краскообразующих веществ в красящей композиции по изобретению, можно выделить соединения, описанные в следующей патентной заявке: ЕР-А-304001, содержание которой является составляющей частью настоящей заявки. Из пиразоло-пиримидиновых производных можно выделить: – пиразоло[1,5-а]пиримидин-7-он, – 2,5-диметилпиразоло[1,5-а]пиримидин-7-он, – 2-метил-6-этоксикарбонилпиразоло[1,5-а]пиримидин-7-он, – 2-метил-5-метоксиметилпиразоло[1,5-а]пиримидин-7-он, – 2-(трет-бутил)-5-трифторметилпиразоло[1,5-а]пиримидин-7-он, – 2,7-диметилпиразоло[1,5-а] пиримидин-5-он и их солевые аддукты с кислотами. Из производных пиразолин-3,5-дионов, пригодных в качестве гетероциклических краскообразующих веществ в красящей композиции по изобретению, можно выделить соединения, описанные в следующих патентных заявках и патентах: JP 07-036159, JP 07-084348 и US 4128425, а также в следующих публикациях: – L. WYZGOWSKA, Acta. Pol. Pharm. 1982, 39 (1-3), 83, – E. HANNIG, Pharmazie. 1980, 35 (4), 231, – M.H. ELNAGDI, Bull. Chem. Soc. Jap., 46 (6), 1830, 1973, – G. CARDILLO, Gazz. Chim. Ital. 1966, 96 (8-9), 973, рекомендации которых являются составляющей частью настоящей заявки. Из производных пиразолин-3,5-дионов можно выделить: -1,2-дифенилпиразолин-3,5-дион, -1,2-диэтилпиразолин-3,5-дион и их солевые аддукты с кислотами. Из пиразоло-[3,2-d] -оксазольных производных, пригодных в качестве гетероциклических краскообразующих веществ в красящей композиции по изобретению, можно выделить соединения, описанные в патентной заявке JP 07325375, содержание которой является составляющей частью настоящей заявки. Из пиразоло-[3,4-d]-тиазольных производных, пригодных в качестве гетероциклических краскообразующих веществ в красящей композиции по изобретению, можно выделить соединения, описанные в патентной заявке JP 07244361 и в J. Heterocycl. Chem. 16, 13 (1979). Из S-оксид-тиазоло-азольных и S,S-диоксид-тиазолоазольных производных, пригодных в качестве гетероциклических краскообразующих веществ в красящей композиции по изобретению, можно выделить соединения, описанные в следующих документах: – JP 07098489; – Khim. Geterotsilk. Soedin. 1967, р.93; – J. Prakt. Chem., 318, 1976, р.12; – Indian. J. Heterocycl. Chem. 1995, 5 (2), р.135; – Acta Pol. Pharm., 1995. 52 (5), 415; – Hetericycl. Commun 1995, 1 (4), 297; – Arch. Pharm. (Weinhetm, Ger), 1994, 327 (12), 825. Как было отмечено выше, когда красящая композиция по изобретению не содержитнипиримидиновогоокисляемогооснования,ни2-( -гидроксиэтил)-п-фенилендиамина или одного их его солевых аддуктов с кислотами, гетероциклические краскообразующие вещества могут быть также выбраны из пиридиновых краскообразующих веществ.
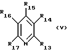
Из пиридиновых краскообразующих веществ, пригодных для использования в красящей композиции по изобретению, можно, в частности, назвать 3-(3′,5′-диамино-2′-пиридилокси) -2-гидроксипропанол, производные пиридина приведенной ниже формулы V и их солевые аддукты с кислотами:![]() в которой R13 обозначает атом водорода, гидроксил, аминогруппу или группу -ОСН2СН2СОСН2СН2ОН, R14 и R16, одинаковые или разные, обозначают атом водорода, гидроксил, аминогруппу или C1-C4-алкил; R15 обозначает атом водорода или С1-С4-алкил; R17 обозначает атом водорода, гидроксил или аминогруппу; при условии, что эти соединения формулы V не содержат более двух аминогрупп (замещенных или незамещенных) или более двух гидроксильных групп или более одной аминогруппы и одной гидроксильной группы на молекулу, причем эти амино и/или гидроксильные группы обязательно находятся в мета-положении друг относительно друга. Из производных пиридина приведенной выше формулы V можно назвать 2,6-дигидрокси-4-метилпиридин, 2,6-дигидрокси-3,4-диметилпиридин, 2,6-диаминопиридин, 3-оксо-5-(3′, 5′-диамино-2′-пиридилокси)пентанол, 3-(3′,5′-диамино-2′-пиридилокси)-2-гидроксипропанол и их солевые аддукты с кислотами. Природа окисляемых оснований, используемых в красящей композиции, не является лимитирующей. Они, в частности, могут быть выбраны из числа п-фенилендиаминов, двойных оснований, п-аминофенолов, о-аминофенолов и гетероциклических окисляемых оснований. Из числа п-фенилендиаминов, пригодных для использования в качестве окисляемых оснований в красящих композициях настоящего изобретения, следует конкретно назвать соединения приведенной ниже формулы VI и их солевые аддукты с кислотами: ![]() в которой – R18 обозначает атом водорода, C1-C4-алкил, моногидрокси-С1-С4-алкил, полигидрокси-С1-С4-алкил, С1-С4-алкокси-С1-С4-алкил, С1-С4-алкил, замещенный азотсодержащей группой, фенилом или 4′-аминофенилом; – R19 обозначает атом водорода, С1-С4-алкил, моногидрокси-С1-С4-алкил, полигидрокси-С2-С4-алкил, С1-С4-алкокси-С1-С4-алкил или С1-С4-алкил, замещенный азотсодержащей группой; – R20 обозначает атом водорода, атом галогена: хлор, бром, иод или фтор, С1-С4-алкил, моногидрокси-С1-С4-алкил, гидрокси-С1-С4-алкокси, ацетиламино-С1-С4-алкокси, мезиламино-С1-С4-алкокси или карбамоиламино-С1-С4-алкокси; и – R21 обозначает атом водорода, атом галогена или С1-С4-алкил. Из числа азотсодержащих групп в приведенной выше формуле VI можно конкретно назвать группы амино, моно-С1-С4-алкиламино, ди-С1-С4-алкиламино, три-С1-С4-алкиламино, моно-гидрокси-С1-С4-алкиламино, имидазолиниевую и аммониевую. Из числа п-фенилендиаминов приведенной выше формулы VI следует особо выделить п-фенилендиамин, п-толуилендиамин, 2-хлор-п-фенилендиамин, 2,3-диметил-п-фенилендиамин, 2,6-диметил-п-фенилендиамин, 2,6-диэтил-п-фенилендиамин, 2,5-диметил-п-фенилендиамин, N, N-диметил-п-фенилендиамин, N,N-диэтил-п-фенилендиамин, N,N-дипропил-п-фенилендиамин, 4-амино-N, N-диэтил-3-метиланилин, N,N-бис( -гидроксиэтил)-п-фенилендиамин, 4-N, N-бис( -гидроксиэтил)амино-2-метиланилин, 4-N, N-бис( -гидроксиэтил)амино-2-хлоранилин, 2-( -гидроксиэтил)-п-фенилендиамин, 2-фтор-п-фенилендиамин, 2-изопропил-п-фенилендиамин, N-( -гидроксипропил)-п-фенилендиамин, 2-гидроксиметил-п-фенилендиамин, N, N-диметил-3-метил-п-фенилендиамин, N-этил-N-( -гидроксиэтил)-п-фенилендиамин, N-( , -дигидроксипропил)-п-фенилендиамин, N-(4′-аминофенил)-п-фенилендиамин, N-фенил-п-фенилендиамин, 2-( -гидроксиэтокси)-п-фенилендиамин, 2-( -ацетиламиноэтокси)-п-фенилендиамин, N-( -метоксиэтил)-п-фенилендиамин и их солевые аддукты с кислотами.
Наиболее предпочтительными из приведенных выше п-фенилендиаминов формулы VI являются п-фенилендиамин, п-толуилендиамин, 2-изопропил-п-фенилендиамин, 2-( -гидроксиэтил)-п-фенилендиамин, 2-( -гидроксиэтокси)-п-фенилендиамин, 2,6-диэтил-п-фенилендиамин, 2,3-диметил-п-фенилендиамин, N, N-бис( -гидроксиэтил)-п-фенилендиамин, 2-хлор-п-фенилендиамин, 2-( -ацетиламиноэтокси)-п-фенилендиамин и их солевые аддукты с кислотами.
Согласно изобретению, под двойными основаниями подразумеваются соединения, содержащие по меньшей мере два ароматических ядра, замещенные амино и/или гидроксильной группами.
Из числа двойных оснований, пригодных для использования в качестве окисляемых оснований в красящих композициях настоящего изобретения, могут быть конкретно названы соединения, соответствующие приведенной ниже формуле VII, и их солевым аддуктам с кислотами:![]() в которой – Z1 и Z2, одинаковые или разные, обозначают радикал гидроксил или -NH2, которые могут быть замещены С1-С4-алкилом или связкой Y; – связка Y обозначает линейную или разветвленную алкиленовую цепь с 1-14 атомами углерода, которая может быть прервана или завершена одной или несколькими азотсодержащими группами и/или одним или несколькими гетероатомами, такими как кислород, сера или азот, и возможно замещена одним или несколькими гидроксильными или 1-С6-алкокси-группами; – R22 и R23 обозначают атом водорода или галогена, С1-С4-алкил, моногидрокси-С1-С4-алкил, полигидрокси-С2-С4-алкил, амино-С1-С4-алкил или связку Y; – R24, R25, R26, R27, R28 и R29, одинаковые или разные, обозначают атом водорода, связку Y или С1-С4-алкил; при условии, что соединения формулы VII содержат только одну связку Y на молекулу. Из числа азотсодержащих групп в приведенной выше формуле VII могут быть, в частности, названы группы амино, моно-С1-С4-алкиламино, ди-С1-С4-алкиламино, три-С1-С4-алкиламино, моногидрокси-С1-С4-алкиламино, имидазолиниевая и аммониевая. Из числа двойных оснований приведенной выше формулы VII можно, в частности, назвать N,N’-бис( -гидроксиэтил)-N,N’-бис(4′-аминофенил)-1,3-диаминопропанол, N, N’-бис( -гидроксиэтил)-N,N’-(4′-аминофенил)этилендиамин, N, N’-бис(4-аминофенил)тетраметилендиамин, N, N’-бис(( -гидроксиэтил)-N, N’-бис(4-аминофенил)тетраметилендиамин, N,N’-бис(4-метиламинофенил)тетраметилендиамин, N, N’-бис(этил)-N, N’-бис(4′-амино-3′-метилфенил)этилендиамин, 1,8-бис(2,5-диаминофенокси)-3,5-диоксаоктан и их солевые аддукты с кислотами.
Из этих двойных оснований формулы VII особенно предпочтительны N, N’-бис( -гидроксиэтил)- N,N’-бис(4′-аминофенил)-1,3-диаминопропанол, 1, 8-бис(2,5-диаминофенокси)-3,5-диоксаоктан и их солевые аддукты с кислотами.
Из числа п-аминофенолов, пригодных в качестве окисляемых оснований в красящих композициях по изобретению, могут быть, в частности, названы соединения, соответствующие приведенной ниже формуле VIII и их солевые аддукты с кислотами:![]() в которой – R30 обозначает атом водорода или галогена, С1-С4-алкил, моногидрокси-С1-С4-алкил, С1-С4-алкокси-С1-С4-алкил, амино-С1-С4-алкил или гидрокси-С1-С4-алкиламино-С1-С4-алкил, – R31 обозначает атом водорода или галогена, С1-С4-алкил, моногидрокси-С1-С4-алкил, полигидрокси-С2-С4-алкил, амино-С1-С4-алкил, циано-С1-С4-алкил или С1-С4-aлкокси-С1-С4-алкил, при условии, что по меньшей мере один из радикалов R30 и R31 является атомом водорода. Из числа п-аминофенолов приведенной выше формулы VIII можно выделить п-аминофенол, 4-амино-3-метилфенол, 4-амино-3-фторфенол, 4-амино-3-гидроксиметилфенол, 4-амино-2-метилфенол, 4-амино-2-гидроксиметилфенол, 4-амино-2-метоксиметилфенол, 4-амино-2-аминометилфенол, 4-амино-2-( -гидроксиэтиламинометил)фенол, 4-амино-2-фторфенол и их солевые аддукты с кислотами.
Из числа о-аминофенолов, пригодных в качестве окисляемых оснований в красящих композициях по изобретению, можно выделить 2-аминофенол, 2-амино-5-метилфенол, 2-амино-6-метилфенол, 5-ацетамидо-2-аминофенол и их солевые аддукты с кислотами.
Из числа гетероциклических оснований, пригодных в качестве окисляемых оснований в красящих композициях по изобретению, можно выделить пиридиновые производные, пиримидиновые производные, производные пиразола и их солевые аддукты с кислотами.
Из пиридиновых производных можно выделить соединения, описанные, например, в патентах GB 1026978 и GB 1153196, такие как 2,5-диаминопиридин, 2-(4-метоксифенил)амино-3-аминопиридин, 2,3-диамино-6-метоксипиридин, 2-( -метоксиэтил) амино-3-амино-6-метоксипиридин, 3,4-диаминопиридин и их солевые аддукты с кислотами.
Из пиримидиновых производных можно выделить соединения, описанные, например, в германском патенте DE 2359399 или японских патентах JP 88-169571, JP 91-10659 или патентной заявке WO 96/15765, такие как 2,4,5,6-тетрааминопиримидин, 4-гидрокси-2,5,6-триаминопиримидин, 2-гидрокси-4,5,6-триаминопиримидин, 2,4-дигидрокси-5,6-диаминопиримидин, 2,5,6-триаминопиримидин и пиразоло-пиримидиновые производные такие, которые указаны в патентной заявке FR-A-2750048 и из которых могут быть названы пиразоло-[1,5-а]-пиримидин-3,7-диамин, 2,5-диметилпиразоло-[1,5-а] -пиримидин-3,7-диамин, пиразоло-[1,5-а] – пиримидин-3,5-диамин, 2,7-диметилпиразоло-[1,5-а]-пиримидин-3,5-диамин, 3-аминопиразоло-[1,5-а]-пиримидин-7-ол, 3-аминопиразоло-[1,5-а]-пиримидин-5-ол, 2-(3-аминопиразоло-[1,5-а]-пиримидин-7-иламино)этанол, 2-(7-аминопиразоло-[1,5-а] – пиримидин-3-иламино)-этанол, 2-[(3-аминопиразоло-[1,5-а] -пиримидин-7-ил)-(2-гидроксиэтил)амино] этанол, 2-[(7-аминопиразоло-[1,5-а] -пиримидин-3-ил)- (2-гидроксиэтил)амино]этанол, 5,6-диметилпиразоло-[1,5-а] -пиримидин-3,7-диамин, 2,6-диметилпиразоло-[1,5-а]-пиримидин-3, 7-диамин, 2,5, N’, N’-тетраметилпиразоло-[1,5-а]-пиримидин-3,7-диамин и их солевые аддукты с кислотами, а также их таутомерные формы при наличии таутомерного равновесия и их солевые аддукты с кислотами.
Из производных пиразола можно выделить соединения, описанные, например, в патентах DE 3843892 и DE 4133957 и патентных заявках WO 94/08969, WO 94/08970, FR-A-2733749 и DE 19543988, такие как 4,5-диамино-1-метилпиразол, 3,4-диаминопиразол, 4,5-диамино-1-(4′-хлорбензил)пиразол, 4,5-диамино-1,3-диметилпиразол, 4,5-диамино-3-метил-1-фенилпиразол, 4,5-диамино-1-метил-3-фенилпиразол, 4-амино-1,3-диметил-5-гидразинопиразол, 1-бензил-4,5-диамино-3-метилпиразол, 4,5-диамино-3-трет-бутил-1-метилпиразол, 4,5-диамино-1-трет-бутил-3-метилпиразол, 4,5-диамино-1-( -гидроксиэтил)-3-метилпиразол, 4,5-диамино-1-этил-3-метилпиразол, 4,5-диамино-1-этил-3-(4′-метоксифенил)пиразол, 4,5-диамино-1-этил-3-гидроксиметилпиразол, 4,5-диамино-3-гидрокси метил-1-метилпиразол, 4,5-диамино-3-гидроксиметил-1-изопропилпиразол, 4,5-диамино-3-метил-1-изопропилпиразол, 4-амино-5-(2′-аминоэтил)амино-1,3-диметилпиразол, 3,4,5-триаминопиразол, 1-метил-3,4,5-триаминопиразол, 3,5-диамино-1-метил-4-метиламинопиразол, 3,5-диамино-4-( -гидроксиэтил)амино-1-метилпиразол и их солевые аддукты с кислотами.
Окисляемое основание или окисляемые основания по изобретению преимущественно составляют приблизительно от 0,0005 до 12 и, более предпочтительно, приблизительно от 0,005 до 6% от общей массы красящей композиции.
1,3-бис-( -гидроксиэтил)амино-2-метилбензол и/или его солевые аддукты с кислотами, используемые в качестве первого краскообразующего вещества согласно изобретению, преимущественно составляют приблизительно от 0,001 до 10 и, более предпочтительно, приблизительно от 0,01 до 5% от общей массы красящей композиции.
Гетероциклическое краскообразующее вещество или вещества в соответствии с изобретением преимущественно составляют приблизительно от 0,0001 до 10 и, более предпочтительно, приблизительно от 0,005 до 5% от общей массы красящей композиции.
Красящая композиция по изобретению может кроме того содержать одно или несколько дополнительных краскообразующих веществ, отличных от 1,3-бис-( -гидроксиэтил)амино-2-метилбензола, гетероциклических краскообразующих веществ по изобретению и их солевых аддуктов с кислотами и/или один или несколько прямых красителей для модифицирования оттенков и обогащения отлива.
Из дополнительных краскообразующих веществ, которые могут присутствовать в красящей композиции по изобретению, могут быть, в частности, названы бензольные краскообразующие вещества такие, например, как м-аминофенолы, м-фенилендиамины, м-дифенолы и их солевые аддукты с кислотами.
В случае их присутствия, дополнительные краскообразующие вещества преимущественно составляют приблизительно от 0,0001 до 10 и, более предпочтительно, приблизительно от 0,005 до 5% от общей массы красящей композиции.
В целом, пригодные для использования в красящих композициях по изобретению солевые аддукты с кислотами (окисляемые основания и краскообразующие вещества) выбирают, в частности, из числа гидрохлоридов, гидробромидов, сульфатов, тартратов, лактатов и ацетатов.
Подходящая для окрашивания среда (или носитель) для красящей композиции по изобретению обычно состоит из воды или смеси воды с по меньшей мере одним органическим растворителем для растворения не достаточно хорошо растворимых в воде соединений. В качестве органического растворителя могут быть, например, названы С1-С4-алканолы, такие как этанол и изопропиловый спирт.
Растворители могут присутствовать в количествах, преимущественно составляющих приблизительно от 1 до 40 и, более предпочтительно, от 5 до 30% от общей массы красящей композиции.
Обычно величина рН красящей композиции по изобретению составляет приблизительно от 3 до 12 и, предпочтительно, приблизительно от 5 до 12. Она может быть доведена до желаемого значения с помощью подкисляющих или подщелачивающих агентов, обычно используемых при окрашивании кератиновых волокон.
Из числа подкисляющих агентов в качестве примера могут быть названы такие минеральные или органические кислоты, как хлористоводородная, ортофосфорная, серная кислота и карбоновые кислоты: уксусная, винная, лимонная, молочная, а также сульфоновые кислоты.
Из числа подщелачивающих агентов в качестве примера могут быть названы аммиак, карбонаты щелочных металлов, алканоламины, такие как моно-, ди- и триэтаноламины, 2-метил-2-аминопропанол, а также их производные, гидроксиды натрия или калия и соединения приведенной ниже формулы IX:![]() в которой W обозначает пропилен, который может быть замещен гидроксилом или С1-С4-алкилом, а R32, R33, R34 и R35, одинаковые или разные, обозначают атом водорода, С1-С4-алкил или гидрокси-С1-С4-алкил. Красящая композиция по изобретению может также содержать различные вспомогательные добавки, обычно используемые в композициях для окрашивания волос. Само собой разумеется, что специалист должен предусмотреть, чтобы выбранные им дополнительные соединения не изменили или существенно не изменили полезные свойства, изначально присущие композициям по изобретению. Красящая композиция по изобретению может быть представлена в различных формах: в виде жидкостей, кремов, гелей, возможно в аэрозольной упаковке, или в любом другом виде, позволяющем производить окрашивание кератиновых волокон, в частности, человеческих волос. Предметом изобретения является также способ окрашивания кератиновых волокон, в частности, кератиновых волокон человека, таких как волосы с использованием определенной выше красящей композиции. В соответствии с этим способом на волокна наносят определенную выше красящую композицию, формируя окраску при кислом, нейтральном или щелочном рН с помощью окислительного агента, либо добавляемого в момент применения к красящей композиции, либо содержащегося в окислительной композиции, которую наносят отдельно одновременно с красящей композицией или после нее. В соответствии с особенно предпочтительным вариантом осуществления способа окрашивания по изобретению, определенную выше красящую композицию смешивают в момент применения с окислительной композицией, содержащей в подходящей для окрашивания среде по меньшей мере один окислительный агент, присутствующий в количестве, достаточном для проявления окраски. Полученную смесь затем наносят на кератиновые волокна и оставляют на время приблизительно от 3 до 50 и, предпочтительно, от 5 до 30 мин, после чего волокна ополаскивают, промывают шампунем, повторно ополаскивают и сушат. Окислительный агент, присутствующий в названной выше окислительной композиции, выбирают из окислительных агентов, традиционно используемых для окислительного окрашивания кератиновых волокон, из которых могут быть названы перекись водорода, перекись мочевины, броматы щелочных металлов, персоли, такие как пербораты и персульфаты, надкислоты, ферменты, такие двухэлектронные оксидоредуктазы, пероксидазы и лактазы. Особенно предпочтительна перекись водорода. Величина рН окислительной композиции, содержащей определенный выше окислительный агент, такова, что после смешения окислительной композиции с красящей композицией значение рН результирующей композиции, наносимой на кератиновые волокна, преимущественно составляет приблизительно от 3 до 12 и, еще более предпочтительно, от 5 до 11. Это значение корректируется желаемым образом с помощью подкисляющих или подщелачивающих агентов, обычно используемых при окрашивании кератиновых волокон и определенных выше. Определенная выше окислительная композиция может также содержать различные вспомогательные добавки, обычно используемые в композициях для окрашивания волос и определенные выше. Композиция, которую в конечном итоге наносят на кератиновые волокна, может быть представлена в различных формах, таких как жидкости, кремы, гели или в любой другой форме, пригодной для осуществления окрашивания кератиновых волокон, в частности, человеческих волос. Еще одним предметом изобретения является устройство с несколькими отделениями, или “набор” для окрашивания, или любая другая система упаковки с несколькими отделениями, из которых первое отделение содержит определенную выше красящую композицию, а второе отделение содержит определенную выше окислительную композицию. Устройства могут быть также снабжены приспособлениями, позволяющими нанесение на волосы желаемой смеси, подобными тем, которые описаны в патенте FR-2586913, выданном на имя заявителя. Далее приведены конкретные примеры, иллюстрирующие изобретение, не ограничивая его объема. Примеры Примеры 1-3 окрашивания в щелочной среде Приготовлены следующие красящие композиции (содержание в граммах) (см. таблицу). В момент применения каждую из описанных выше красящих композиций смешивают с эквивалентным весовым количеством 20-объемной (6%-ной по весу) перекиси водорода, имеющей рН приблизительно 3. Каждую из полученных смесей, характеризующихся значением рН приблизительно 10 0,2, наносят на 30 мин на подвергнутые перманентной обработке седые волосы с 90% седины.
Волосы после этого ополаскивают водой, моют стандартным шампунем, вновь ополаскивают и сушат.
Ниже указаны полученные оттенки окраски волос:Пример – Полученный оттенок 1 – Радужно-фиолетовый 2 – Цвет красного дерева 3 – Радужно-пепельный Пример 4 окрашивания в кислой среде Приготовили следующую красящую композицию согласно изобретению: – Сульфат N,N-бис-( -гидроксиэтил)-п-фенилендиамин (окисляемое основание) – 0,63 г– 1,3-Бис-( -гидроксиэтил)амино-2-метилбензол (первое краскообразующее вещество) – 0,21 г– 2,6-Дигидрокси-3,4-диметилпиридин (второе краскообразующее вещество) – 0,14 г – 96o-ный этанол – 18 г – 35%-ный водный раствор метабисульфита натрия – 0,68 г – Пентанатриевая соль диэтилентриаминопентауксусной кислоты – 1,1 г – Буфер К2НРО4/КН2РО4 (1,5 М/1 М) – 10 г – Деминерализованная вода в достаточном количестве до – 100 г В момент применения описанную выше красящую композицию смешивают с эквивалентным весовым количеством 20-объемной (6%-ной по весу) перекиси водорода, имеющей рН приблизительно 3. Полученную смесь, характеризующуюся значением рН приблизительно 6,8 0,2, наносят на 30 мин на подвергнутые перманентной обработке седые волосы с 90% седины.
Волосы после этого ополаскивают водой, моют стандартным шампунем, вновь ополаскивают и сушат.
Обработанные волосы имеют пепельно-фиолетовую окраску.
Формула изобретения
-гидроксиэтил)амино-2-метилбензол и/или, по меньшей мере, один из их солевых аддуктов с кислотами в качестве первого краскообразующего вещества и, по меньшей мере, одно гетероциклическое краскообразующее вещество в качестве второго краскообразующего вещества, при условии, что, когда красящая композиция содержит пиримидиновое окисляемое основание и/или 2-( -гидроксиэтил)-п-фенилендиамин и/или один из их солевых аддуктов с кислотами, гетероциклическое краскообразующее вещество отлично от пиридинового краскообразующего вещества.
2. Композиция по п.1, отличающаяся тем, что гетероциклическое краскообразующее вещество или вещества выбирают из следующих соединений: индольные производные, индолиновые производные, бензимидазольные производные, производные бензоморфолина, производные сесамола, пиразоло-азольные производные, пирроло-азольные производные, имидазоло-азольные производные, пиразоло-пиримидиновые производные, производные пиразолин-3,5-дионов, пирроло-[3,2-d]-оксазольные производные, пиразоло-[3,4-d]-тиазольные производные, S-оксид-тиазоло-азольные производные, S, S-диоксид-тиазоло-азольные производные, пиридиновые производные, и их солевые аддукты с кислотами.
3. Композиция по п.2, отличающаяся тем, что индольное производное или производные выбирают из соединений приведенной ниже формулы I и их солевых аддуктов с кислотами![]() в которой R1 обозначает атом водорода, С1-С4-алкил, моно- или полигидрокси-С2-С4-алкил или амино-С1-С4-алкил, в котором аминогруппа может быть моно- или дизамещенной С1-С4-алкилом; R2 обозначает атом водорода или С1-С4-алкил; R3 обозначает атом водорода, С1-С4-алкил или гидроксил; Х обозначает гидроксил или группу NHR4, в которой R4 обозначает атом водорода, С1-С4-алкил или гидрокси-С1-С4-алкил. 4. Композиция по п.3, отличающаяся тем, что индольные производные формулы I выбирают из числа следующих соединений: 4-гидроксииндол, 6-гидроксииндол, 7-аминоиндол, 6-аминоиндол, 7-гидроксииндол, 7-этил-6-( -гидроксиэтил)аминоиндол, 4-аминоиндол, 6-гидрокси-1-метилиндол, 5,6-дигидроксииндол, 4-гидрокси-1-N-метилиндол, 4-гидрокси-2-метил-индол, 4-гидрокси-5-метилиндол, 4-гидрокси-1-N-( -гидроксиэтил)-индол, 4-гидрокси-1-N-( -гидроксипропил)индол, 1-N-( , -дигидрокси-пропил)-4-гидроксииндол, 4-гидрокси-1-N-( -гидроксиэтил)-5-метилиндол,1-N-( -диметиламино-пропил)-4-гидроксииндол и их солевые аддукты с кислотами.
5. Композиция по п. 2, отличающаяся тем, что индолиновые производные выбирают из числа следующих соединений: 4-гидроксииндолин, 6-гидроксииндолин, 6-аминоиндолин, 5,6-дигидроксииндолин, и их солевых аддуктов с кислотами.
6. Композиция по п.2, отличающаяся тем, что бензимидазольные производные выбирают из соединений приведенной ниже формулы II и их солевых аддуктов с кислотами![]() в которой R5 обозначает атом водорода или С1-С4-алкил; R6 обозначает атом водорода, С1-С4-алкил или фенил; R7 обозначает гидроксил, амино- или метоксигруппу; R8 обозначает атом водорода, гидроксил, метокси или С1-С4-алкил; при условии, что когда R7 является аминогруппой, он находится в положении 4; когда R7 занимает положение 4, тогда R8 находится в положении 7, когда R7 занимает положение 5, тогда R8 находится в положении 6. 7. Композиция по п.6, отличающаяся тем, что бензимидазольные производные формулы II выбирают из числа следующих соединений: 4-гидроксибензимидазол, 4-аминобензимидазол, 4-гидрокси-7-метилбензимидазол, 4-гидрокси-2-метилбензимидазол, 1-бутил-4-гидроксибенз-имидазол, 4-амино-2-метилбензимидазол, 5,6-дигидроксибензимидазол, 5-гидрокси-6-метоксибензимидазол, 4,7-дигидроксибензимидазол, 4,7-дигидрокси-1-метилбензимидазол, 4,7-диметоксибензимидазол, 5,6-дигидрокси-1-метилбензимидазол, 5,6-дигидрокси-2-метилбензимидазол, 5,6-диметоксибензимидазол и их солевых аддуктов с кислотами. 8. Композиция по п.2, отличающаяся тем, что производные бензоморфолина выбирают из соединений приведенной ниже формулы III и их солевых аддуктов с кислотами ![]() в которой R9 и R10 одинаковые или разные, обозначают атом водорода или С1-С4-алкил; Z обозначает гидроксил или аминогруппу. 9. Композиция по п.8, отличающаяся тем, что производные бензоморфолина формулы III выбирают из следующих соединений: 6-гидрокси-1,4-бензоморфолин, N-метил-6-гидрокси-1,4-бензоморфолин, 6-амино-1,4-бензоморфолин и их солевых аддуктов с кислотами. 10. Композиция по п.2, отличающаяся тем, что производные сесамола выбирают из числа соединений приведенной ниже формулы IV и их солевых аддуктов с кислотами ![]() в которой R11 обозначает гидроксил, аминогруппу, С1-С4-алкиламино-, моногидрокси-С1-С4-алкиламино- или полигидрокси-С2-С4-алкиламино-группу; R12 обозначает атом водорода или галогена или С2-С4-алкокси-группу. 11. Композиция по п.10, отличающаяся тем, что производные сесамола выбирают из числа следующих соединений: 2-бром-4,5-метилендиоксифенол, 2-метокси-4,5-метилендиоксианилин,2-( -гидроксиэтил)амино-4,5-метилендиоксибензол и их солевых аддуктов с кислотами.
12. Композиция по п. 2, отличающаяся тем, что пиразолоазольные производные выбирают из числа следующих соединений: 2-метилпиразоло[1,5-b]-1,2,4-триазол, 2-этилпиразоло[1,5-b] -1,2,4-триазол, 2-изопропилпиразоло[1,5-b] -1,2,4-триазол, 2-фенилпиразоло[1,5-b]-1,2,4-триазол, 2,6-диметилпиразоло[1,5-b] -1,2,4-триазол, 7-хлор-2,6-диметил-пиразоло[1,5-b]-1,2,4-триазол, 3,6-диметилпиразоло[3,2-с] -1,2,4-триазол, 6-фенил-3-метилтиопиразоло[3,2-с] -1,2,4-триазол, 6-аминопиразоло[1,5-а]-бензимидазол и их солевых аддуктов с кислотами.
13. Композиция по п. 2, отличающаяся тем, что пирроло-азольные производные выбирают из числа следующих соединений: 5-циано-4-этоксикарбонил-8-метилпирроло-[1,2-b] -1,2,4-триазол, 5-циано-8-метил-4-фенилпирроло-[1,2-b] -1,2,4-триазол, 7-амидо-6-этоксикарбонилпирроло-[1,2-а] -бензимидазол и их солевых аддуктов с кислотами.
14. Композиция по п.2, отличающаяся тем, что имидазоло-азольные производные выбирают из числа следующих соединений: 7,8-дициано-имидазоло-[3,2-а] -имидазол, 7,8-дициано-4-метилимидазоло-[3,2-а]-имидазол и их солевых аддуктов с кислотами.
15. Композиция по п.2, отличающаяся тем, что пиразоло-пиримидиновые производные выбирают из числа следующих соединений: пиразоло[1,5-а]пиримидин-7-он, 2,5-диметилпиразоло [1,5-а]пиримидин-7-он, 2-метил-6-этоксикарбонилпиразоло [1,5-а] пиримидин-7-он, 2-метил-5-метоксиметилпиразоло[1,5-а]пиримидин-7-он, 2-(трет-бутил)-5-трифторметилпиразоло[1,5-а] пиримидин-7-он, 2,7-диметилпиразоло[1,5-а]-пиримидин-5-он и их солевых аддуктов с кислотами.
16. Композиция по п. 2, отличающаяся тем, что производные пиразолин-3,5-дионов выбирают из 1,2-дифенилпиразолин-3,5-диона, 1,2-диэтилпиразолин-3,5-диона и их солевых аддуктов с кислотами.
17. Композиция по п.2, отличающаяся тем, что пиридиновые краскообразующие вещества выбирают из 3-(3′,5′-диамино-2′-пиридилокси)-2-гидроксипропанола, производных пиридина приведенной ниже формулы V и их солевых аддуктов с кислотами![]() в которой R13 обозначает атом водорода, гидроксил, аминогруппу или группу -ОCH2СН2СОСН2CН2ОН; R14 и R16, одинаковые или разные, обозначают атом водорода, гидроксил, аминогруппу или С1-С4-алкил; R15 обозначает атом водорода или С1-С4-алкил; R17 обозначает атом водорода, гидроксил или аминогруппу; при условии, что эти соединения формулы V не содержат более двух аминогрупп (замещенных или незамещенных) или более двух гидроксильных групп или более одной аминогруппы и одной гидроксильной группы на молекулу, причем эти амино и/или гидроксильные группы обязательно находятся в мета-положении друг относительно друга. 18. Композиция по п.17, отличающаяся тем, что производные пиридина формулы V выбирают из числа следующих соединений: 2,6-дигидрокси-4-метилпиридин, 2,6-дигидрокси-3,4-диметилпиридин, 2,6-диаминопиридин, 3-оксо-5-(3′, 5′-диамино-2′-пиридилокси)пентанол, 3-(3′, 5′-диамино-2′-пиридилокси)-2-гидроксипропанол и их солевых аддуктов с кислотами. 19. Композиция по п.1, отличающаяся тем, что окисляемое основание или окисляемые основания выбирают из числа п-фенилендиаминов, двойных оснований, п-аминофенолов, о-амино-фенолов и гетероциклических окисляемых оснований. 20. Композиция по любому из предыдущих пунктов, отличающаяся тем, что окисляемое основание или окисляемые основания составляют от 0,0005 до 12% от общей массы красящей композиции. 21. Композиция по п.20, отличающаяся тем, что окисляемое основание или окисляемые основания составляют от 0,005 до 6% от общей массы красящей композиции. 22 Композиция по п.1, отличающаяся тем, что 1,3-бис-( -гидроксиэтил)амино-2-метилбензол и/или его солевые аддукты с кислотами составляют от 0,001 до 10% от общей массы красящей композиции.
23. Композиция по п.22, отличающаяся тем, что 1,3-бис-( -гидроксиэтил)амино-2-метилбензол и/или его солевые аддукты с кислотами составляют от 0,01 до 5% от общей массы красящей композиции.
24. Композиция по п.1, отличающаяся тем, что гетероциклическое краскообразующее вещество или вещества составляют от 0,0001 до 10% от общей массы красящей композиции.
25. Композиция по п.24, отличающаяся тем, что гетероциклическое краскообразующее вещество или вещества составляют от 0,005 до 5% от общей массы красящей композиции.
26. Композиция по любому из предыдущих пунктов, отличающаяся тем, что солевые аддукты с кислотами выбирают из гидрохлоридов, гидробромидов, сульфатов, тартратов, лактатов и ацетатов.
27. Способ окрашивания кератиновых волокон, в частности, волос, отличающийся тем, что на волокна наносят по меньшей мере одну красящую композицию по одному из пп.1-26 и формируют окраску при кислом, нейтральном или щелочном рН с помощью окислительного агента, либо добавляемого непосредственно в момент применения к красящей композиции, либо содержащегося в окислительной композиции, которую наносят одновременно с красящей композицией или после нее.
28. Способ по п.27, отличающийся тем, что содержащийся в окислительной композиции окислительный агент выбирают из числа следующих соединений: перекись водорода, перекись мочевины, броматы щелочных металлов, персоли такие как пербораты, перкарбонаты и персульфаты, надкислоты и ферменты.
29. Набор для окрашивания кератиновых волокон, в частности, волос, с отделением под красящую композицию по пп.1-26 и отделением под окислительную композицию.
РИСУНКИ
MM4A Досрочное прекращение действия патента Российской Федерации на изобретение из-за неуплаты в установленный срок пошлины за поддержание патента в силе
Дата прекращения действия патента: 20.11.2003
Извещение опубликовано: 20.10.2005 БИ: 29/2005
|
||||||||||||||||||||||||||

-гидроксиэтил)амино-2-метилбензол и/или, по меньшей мере, один из их солевых аддуктов с кислотами в качестве первого краскообразующего вещества и гетероциклическое краскообразующее вещество в качестве второго краскообразующего вещества, а также способ окрашивания с использованием этой композиции. Изобретение обеспечивает стойкую и высокохроматичную окраску волос. 3 с. и 26 з.п. ф-лы, 1 табл.

-дигидроксипропил)-4-гидроксииндол, 4-гидpoкcи-1-N-(







0,2, наносят на 30 мин на подвергнутые перманентной обработке седые волосы с 90% седины.
Волосы после этого ополаскивают водой, моют стандартным шампунем, вновь ополаскивают и сушат.
Ниже указаны полученные оттенки окраски волос:



