Патент на изобретение №2183450
|
||||||||||||||||||||||||||
(54) КОМПОЗИЦИЯ ДЛЯ ОКИСЛИТЕЛЬНОГО ОКРАШИВАНИЯ КЕРАТИНОВЫХ ВОЛОКОН, СПОСОБ ИХ ОКРАШИВАНИЯ, НАБОР ДЛЯ ОКРАШИВАНИЯ КЕРАТИНОВЫХ ВОЛОКОН
(57) Реферат: Объектом изобретения является композиция для окислительного окрашивания кератиновых волокон, в частности содержащая в подходящей для окрашивания среде окисляемое основание, 1,3-бис-( -гидрокси-этил)амино-2-метилбензол и/или один из их солевых аддуктов с кислотами в качестве первого краскообразующего вещества и замещенный м-фенилендиамин в качестве второго краскообразующего вещества, а также способ окрашивания с использованием этой композиции и набор для окрашивания кератиновых волокон. Изобретение позволяет получить хроматичные окраски, устойчивые к агрессивным воздействиям на волокна. 3 с. и 19 з.п. ф-лы, 4 табл.
Предметом изобретения является окислительное окрашивание кератиновых волокон и, в частности, кератиновых волокон человека, таких как волосы, содержащая в подходящей для окрашивания среде, по меньшей мере, одно окисляемое основание, 1,3-бис-( -гидроксиэтил) амино-2-метилбензол и/или, по меньшей мере, один из его солевых аддуктов с кислотами в качестве первого краскообразующего вещества и, по меньшей мере, один замещенный м-фенилендиамин в качестве второго краскообразующего вещества, а также способ окрашивания с использованием этой композиции.
Известны способы окрашивания кератиновых волокон, в частности, волос человека, красящими композициями, содержащими предшественники окислительного красителя, в частности, о- и п-фенилендиамины, о- и п-аминофенолы, гетероциклические основания, обычно называемые окисляемыми основаниями. Предшественники окислительных красителей, или окисляемые основания, являются бесцветными или слабоокрашенными соединениями, которые, соединяясь с окислительными соединениями, могут в результате окислительной конденсации дать окрашенные и красящие продукты.
Известно также, что можно варьировать цветовые оттенки, получаемые с этими окисляемыми основаниями, соединяя их с краскообразующими веществами или модификаторами окрашивания, которые, в частности, выбирают из числа ароматических м-диаминов, м-аминофенолов, м-дифенолов и некоторых гетероциклических соединений.
Разнообразие применяемых окисляемых оснований и краскообразующих веществ дает возможность получения богатой палитры цветов.
Называемое “перманентным” окрашивание, получаемое благодаря окислительным красителям, должно вместе с тем удовлетворять определенному ряду требований. Оно, в частности, должно обеспечивать получение оттенков желаемой интенсивности и быть устойчивым к внешним агентам (свету, непогоде, мытью, перманентной завивке, потению и воздействиям, связанным с трением).
Красители должны также позволять закрашивать седые волосы и, наконец, быть в наименьшей степени избирательными, т.е. обеспечивать наименьшую возможную разницу в окраске вдоль одного и того же кератинового волокна, которое, в действительности, может быть в различной степени сенсибилизированным (т.е. поврежденным) на протяжении между его концом и корнем.
Ранее предлагались, в частности, в патентных заявках FR-A-2681860 и DE-A-19637371, композиции для окислительного окрашивания кератиновых волокон, содержащие одно или несколько окисляемых оснований, одно или несколько производных 2,6-диаминотолуола в качестве краскообразующих веществ и, возможно, один или несколько дополнительных краскообразующих веществ, выбираемых из числа краскообразующих веществ, традиционно используемых в области окислительного окрашивания. Однако, несмотря на то, что окраски, получаемые при использовании таких композиций, обладают высокой хроматичностью, они не в полной мере удовлетворяют требованиям, в частности, с точки зрения их устойчивости в отношении различных обработок и естественных агрессивных воздействий на кератиновые волокна.
Заявитель установил, что возможно получение новых красящих средств, способных давать сильные и высокохроматичные окраски и при этом являющихся высокоустойчивыми к различным агрессивным воздействиям на волокна, путем комбинирования по меньшей мере одного окисляемого основания, 1,3-бис-( -гидроксиэтил) амино-2-метилбензола и/или по меньшей мере одного из его солевых аддуктов с кислотами в качестве первого краскообразующего вещества и по меньшей мере одного, соответствующим образом выбранного, замещенного м-фенилендиамина в качестве второго краскообразующего вещества.
Это открытие является основой настоящего изобретения.
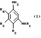
Таким образом, первым предметом изобретения является композиция для окислительного окрашивания кератиновых волокон и, в частности, кератиновых волокон человека, таких как волосы, отличающаяся тем, что она содержит в подходящей для окрашивания среде:– по меньшей мере, одно окисляемое основание; -1,3-бис-( -гидроксиэтил) амино-2-метилбензол и/или по меньшей мере один из их солевых аддуктов с кислотами в качестве первого краскообразующего вещества;– и, по меньшей мере, одно второе краскообразующее вещество, выбранное из числа замещенных м-фенилендиаминов приведенной ниже формулы (I) и их солевых аддуктов с кислотами: ![]() в которой R1 обозначает атом водорода, С1-С4-алкил, моногидрокси-С1-С4-алкил или полигидрокси-С2-С4-алкил; R2 и R3, одинаковые или разные, обозначают атом водорода, С1-С4-алкил или гидрокси-С1-С4-алкокси; R4 обозначает С1-С4-алкокси, амино-С1-С4-алкокси, моногидрокси-С1-С4-алкокси, полигидрокси-С2-С4-алкокси или 2,4-диаминофеноксиалкокси; при условии, что когда R1, R2 и R3 одновременно являются атомами водорода, R4 не является радикалом метокси. Красящая композиция по изобретению дает сильные, высокохроматичные окраски, обладающие великолепной устойчивостью как в отношении атмосферных агентов, таких как свет и непогода, так и в отношении пота и различных обработок, которым могут быть подвергнуты волосы. Эти свойства особенно замечательны в том, что касается устойчивости окрасок в отношении перманента. Предметом изобретения является также способ окислительного окрашивания кератиновых волокон, в котором используется названная выше красящая композиция. Из числа замещенных м-фенилендиаминов приведенной выше формулы I можно, в частности, назвать 2,4-диаминофеноксиэтанол, 2,4-диамино-1-этоксибензол, 2-амино-4-N-( -гидроксиэтил) аминоанизол, 3,5-диамино-1-этил-2-метоксибензол, 3,5-диамино-2-метокси-1-метилбензол, 1,3-бис-(2,4-диаминофенокси)пропан, бис-(2,4-диаминофенокси)метан, 1-( -аминоэтилокси)-2,4-диаминобензол, 2-амино-1-( -гидроксиэтилокси)-4-метиламинобензол, 2,4-диамино-1-этокси-5-метилбензол, 2,4-диамино-5-( -гидроксиэтилокси) -1-метилбензол, 2,4-диамино-1-( , -дигидроксипропилокси)бензол, 2-амино-4-N-( -гидроксиэтил) амино-1-метоксибензол и их солевые аддукты с кислотами.
Природа окисляемых оснований, используемых в готовой к применению красящей композиции, не является лимитирующей. Они, в частности, могут быть выбраны из числа п-фенилендиаминов, двойных оснований, п-аминофенолов, о-аминофенолов и гетероциклических окисляемых оснований.
Из числа п-фенилендиаминов, пригодных для использования в качестве окисляемых оснований в красящих композициях по изобретению, следует, в частности, назвать соединения приведенной ниже формулы II и их солевые аддукты с кислотами:![]() в которой R5 обозначает атом водорода, С1-С4-алкил, моногидрокси-С1-С4-алкил, полигидрокси-С2-С4-алкил, С1-С4-алкокси-С1-С4-алкил, С1-С4-алкил, замещенный азотсодержащей группой, фенилом или 4′-аминофенилом; R6 обозначает атом водорода, С1-С4-алкил, моногидрокси-С1-С4-алкил, полигидрокси-С2-С4-алкил, С1-С4-алкокси-С1-С4-алкил или С1-С4-алкил, замещенный азотсодержащей группой; R7 обозначает атом водорода, атом галогена: хлор, бром, йод или фтор, С1-С4-алкил, моногидрокси-С1-С4-алкил, гидрокси-С1-С4-алкокси, ацетиламино-С1-С4-алкокси, мезил-амино-С1-С4-алкокси или карбамоиламино-С1-С4-алкокси; и R8 обозначает атом водорода, атом галогена или С1-С4-алкил. Из числа азотсодержащих групп в приведенной выше формуле I следует, в частности, назвать группы амино, моно-С1-С4-алкиламино, ди-С1-С4-алкиламино, три-С1-С4-алкиламино, моногидрокси-С1-С4-алкиламино, имидазолиниевую и аммониевую. Из числа п-фенилендиаминов приведенной выше формулы II можно, в частности, назвать п-фенилендиамин, п-толуилендиамин, 2-хлор-п-фенилендиамин, 2,3-диметил-п-фенилендиамин, 2,6-диметил-п-фенилендиамин, 2,6-диэтил-п-фенилендиамин, 2,5-диметил-п-фенилендиамин, N, N-диметил-п-фенилендиамин, N, N-диэтил-п-фенилендиамин, N, N-дипропил-п-фенилендиамин, 4-амино-N,N-диэтил-3-метиланилин, N, N-бис( -гидроксиэтил)-п-фенилендиамин, 4-N, N-бис( -гидроксиэтил) амино-2-метиланилин, 4-N,N-бис( -гидроксиэтил) амино-2-хлоранилин, 2-( -гидроксиэтил)-п-фенилендиамин, 2-фтор-п-фенилендиамин, 2-изопропил-п-фенилендиамин, N-( -гидроксипропил)-п-фенилендиамин, 2-гидроксиметил-п-фенилендиамин, N,N-диметил-3-метил-п-фенилендиамин, N-этил-N-( -гидроксиэтил)-п-фенилендиамин, N-( , -дигидроксипропил)-п-фенилендиамин, N-(4′-аминофенил)-п-фенилендиамин, N-фенил-п-фенилендиамин, 2-( -гидроксиэтокси)-п-фенилендиамин, 2-( -ацетиламиноэтокси)-п-фенилендиамин, N-( -метоксиэтил)-п-фенилендиамин и их солевые аддукты с кислотами.
Наиболее предпочтительными из приведенных выше п-фенилендиамина формулы II являются п-фенилендиамин, п-толуилендиамин, 2-изопропил-п-фенилендиамин, 2-( -гидроксиэтил)-п-фенилендиамин, 2-( -гидроксиэтокси)-п-фенилендиамин, 2,6-диметил-п-фенилендиамин, 2,6-диэтил-п-фенилендиамин, 2,3-диметил-п-фенилендиамин, N, N-бис( -гидроксиэтил)-п-фенилендиамин, 2-хлор-п-фенилендиамин, 2-( -ацетиламиноэтокси)-п-фенилендиамин и их солевые аддукты с кислотами.
Согласно изобретению, под двойными основаниями подразумеваются соединения, содержащие, по меньшей мере, два ароматических ядра, замещенные амино и/или гидроксильной группами.
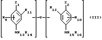
Из числа двойных оснований, пригодных для использования в качестве окисляемых оснований в красящих композициях по изобретению, могут быть, в частности, названы соединения, соответствующие приведенной ниже формуле III, и их солевые аддукты с кислотами:![]() в которой Z1 и Z2, одинаковые или разные, обозначают радикал гидроксил или -NH2, которые могут быть замещены С1-С4-алкилом или связкой Y; связка Y обозначает линейную или разветвленную алкиленовую цепь с 1-14 атомами углерода, которая может быть прервана или завершена одной или несколькими азотсодержащими группами и/или одним или несколькими гетероатомами, такими как кислород, сера или азот, и возможно замещена одним или несколькими гидроксильными или C1-С6-алкокси- группами; R9 и R10 обозначают атом водорода или галогена, С1-С4-алкил, моногидрокси-С1-С4-алкил, полигидрокси-С2-С4-алкил, амино-С1-С4-алкил или связку Y; R11, R12, R13, R14, R15 и R16, одинаковые или разные, обозначают атом водорода, связку Y или С1-С4-алкил; при условии, что соединения формулы III содержат только одну связку Y на молекулу. Из числа азотсодержащих групп в приведенной выше формуле III могут быть, в частности, названы группы амино, моно-С1-С4-алкиламино, ди-С1-С4-алкиламино, три-С1-С4-алкиламино, моногидрокси-С1-С4-алкиламино, имидазолиниевая и аммониевая. Из числа двойных оснований приведенной выше формулы III можно, в частности, выделить N, N’-бис( -гидроксиэтил)-N,N’-бис(4′-аминофенил)-1,3-диаминопропанол, N,N’-бис( -гидроксиэтил)-N,N’-(4′-аминофенил)этилендиамин, N, N’-бис(4-аминофенил)тетраметилендиамин, N, N’-бис( -гидроксиэтил)-N, N’-бис(4-аминофенил)тетраметилендиамин, N,N’-бис(4-метил-аминофенил)тетраметилендиамин, N, N’-бис(этил)-N, N-бис(4′-амино-3′-метилфенил)этилендиамин, 1,8-бис(2,5-диаминофенокси)-3,5-диоксаоктан и их солевые аддукты с кислотами.
Из этих двойных оснований формулы III особенно предпочтительны N,N’-бис( -гидроксиэтил)-N, N’-бис(4′-аминофенил)-1,3-диаминопропанол, 1, 8-бис(2,5-диамино-фенокси)-3,5-диоксаоктан и их солевые аддукты с кислотами.
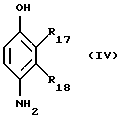
Из числа п-аминофенолов, пригодных в качестве окисляемых оснований в красящих композициях по изобретению, могут быть, в частности, названы соединения, соответствующие приведенной ниже формуле IV и их солевые аддукты с кислотами:![]() в которой R17 обозначает атом водорода или галогена, С1-С4-алкил, моногидрокси-С1-С4-алкил, С1-С4-алкокси-С1-С4-алкил, амино-С1-С4-алкил или гидрокси-С1-С4-алкиламино-С1-С4-алкил; R18 обозначает атом водорода или галогена, С1-С4-алкил, моногидрокси-С1-С4-алкил, полигидрокси-С2-С4-алкил, амино-С1-С4-алкил, циано-С1-С4-алкил или С1-С4-алкокси-С1-С4-алкил, при условии, что по меньшей мере один из радикалов R17 и R18 является атомом водорода. Из числа п-аминофенолов приведенной выше формулы IV можно, в частности, назвать п-аминофенол, 4-амино-3-метилфенол, 4-амино-3-фторфенол, 4-амино-3-гидроксиметилфенол, 4-амино-2-метилфенол, 4-амино-2-гидроксиметил фенол, 4-амино-2-метоксиметилфенол, 4-амино-2-аминометил-фенол, 4-амино-2-( -гидроксиэтиламинометил)фенол, 4-амино-2-фторфенол и их солевые аддукты с кислотами.
Из числа о-аминофенолов, пригодных в качестве окисляемых оснований в красящих композициях по изобретению, можно, в частности, назвать 2-аминофенол, 2-амино-5-метилфенол, 2-амино-6-метилфенол, 5-ацетамидо-2-аминофенол и их солевые аддукты с кислотами.
Из числа гетероциклических оснований, пригодных в качестве окисляемых оснований в красящих композициях по изобретению, можно, в частности, назвать пиридиновые производные, пиримидиновые производные, производные пиразола и их солевые аддукты с кислотами.
Из пиридиновых производных можно, в частности, назвать соединения, описанные, например, в патентах GB 1026978 и GB 1153196, такие как 2,5-диаминопиридин, 2-(4-метоксифенил) амино-3-аминопиридин, 2,3-диамино-6-метоксипиридин, 2-( -метоксиэтил) амино-3-амино-6-метоксипиридин, 3,4-диаминопиридин и их солевые аддукты с кислотами.
Из пиримидиновых производных можно, в частности, назвать соединения, описанные, например, в германском патенте DE 2359399 или японских патентах JP 88-169571 и JP 91-10659 или патентной заявке WO 96/15765, такие как 2,4,5,6-тетрааминопиримидин, 4-гидрокси-2,5,6-триамино-пиримидин, 2-гидрокси-4,5,6-триаминопиримидин, 2,4-дигидрокси-5,6-диаминопиримидин, 2,5,6-триаминопиримидин и пиразолопиримидиновые производные такие, которые названы в патентной заявке FR-A-2750048 и из которых могут быть названы пиразоло-[1,5-а] -пиримидин-3,7-диамин, 2,5-диметилпиразоло-[1,5-а]-пиримидин-3,7-диамин, пиразоло-[1,5-а] -пиримидин-3,5-диамин, 2,7-диметилпиразоло-[1,5-а] -пиримидин-3,5-диамин, 3-аминопиразоло-[1,5-а] -пиримидин-7-ол, 3-аминопиразоло-[1,5-а] -пиримидин-5-ол, 2-(3-аминопиразоло-[1,5-а]-пиримидин-7-иламино)этанол, 2-(7-аминопиразоло-[1,5-а] – пиримидин-3-иламино)этанол, 2-[(3-аминопиразоло-[1,5-а] -пиримидин-7-ил)-(2-гидроксиэтил) амино] этанол, 2-[(7-аминопиразоло-[1,5-а] -пиримидин-3-ил)-(2-гидроксиэтил) амино]этанол, 5,6-диметилпиразоло-[1,5-а] -пиримидин-3,7-диамин, 2,6-диметилпиразоло-[1,5-а]-пиримидин-3,7-диамин, 2,5,N7,N7-тетраметилпиразоло-[1,5-а]-пиримидин-3,7-диамин и их солевые аддукты, а также их таутомерные формы при наличии таутомерного равновесия и их солевые аддукты с кислотами.
Из производных пиразола можно, в частности, назвать соединения, описанные, например, в патентах DE 3843892 и DE 4133957 и патентных заявках WO 94/08969, WO 94/08970, FR-A-2733749 и DE 19543988, такие как 4,5-диамино-1-метилпиразол, 3,4-диаминопиразол, 4,5-диамино-1-(4′-хлор-бензил)пиразол, 4,5-диамино-1,3-диметилпиразол, 4,5-диамино-3-метил-1-фенилпиразол, 4,5-диамино-1-метил-3-фенилпиразол, 4-амино-1,3-диметил-5-гидразинопиразол, 1-бензил-4,5-диамино-3-метилпиразол, 4,5-диамино-3-трет-бутил-1-метилпиразол, 4,5-диамино-1-трет-бутил-3-метилпиразол, 4, 5-диамино-1-( -гидроксиэтил)-3-метилпиразол, 4,5-диамино-1-этил-3-метилпиразол, 4,5-диамино-1-этил-3-(4′-метоксифенил) пиразол, 4,5-диамино-1-этил-3-гидроксиметилпиразол, 4,5-диамино-3-гидроксиметил-1-метилпиразол, 4,5-диамино-3-гидроксиметил-1-изопропилпиразол, 4,5-диамино-3-метил-1-изопропил-пиразол, 4-амино-5-(2′-аминоэтил) амино-1,3-диметилпиразол, 3,4,5-триаминопиразол, 1-метил-3,4,5-триаминопиразол, 3,5-диамино-1-метил-4-метиламинопиразол, 3,5-диамино-4-( -гидроксиэтил) амино-1-метилпиразол и их солевые аддукты с кислотами.
Окисляемое основание или окисляемые основания преимущественно составляют приблизительно от 0,0005 до 12 и, более предпочтительно, приблизительно от 0,005 до 6% от общей массы красящей композиции.
1,3-бис-( -гидроксиэтил) амино-2-метилбензол и/или его солевые аддукты с кислотами, используемые в качестве первого краскообразующего вещества согласно изобретению, преимущественно составляют приблизительно от 0,001 до 10 и, более предпочтительно, приблизительно от 0,01 до 5% от общей массы красящей композиции.
Замещенный м-фенилендиамин или м-фенилендиамины формулы I по изобретению преимущественно составляют приблизительно от 0,0001 до 10 и, более предпочтительно, приблизительно от 0,005 до 5% от общей массы красящей композиции.
Красящая композиция по изобретению может кроме того содержать одно или несколько дополнительных краскообразующих веществ, отличных от 1,3-бис-( -гидроксиэтил) амино-2-метилбензола и замещенных м-фенилендиаминов формулы I и/или один или несколько прямых красителей для модифицирования оттенков и обогащения отлива.
Из дополнительных краскообразующих веществ, которые могут присутствовать в красящей композиции по изобретению, могут быть, в частности, названы м-аминофенолы, м-дифенолы, гетероциклические краскообразующие вещества, их солевые аддукты с кислотами.
В случае их присутствия, дополнительные краскообразующие вещества преимущественно составляют приблизительно от 0,0001 до 10 и, более предпочтительно, приблизительно от 0,005 до 5% от общей массы красящей композиции.
В целом, пригодные для использования в красящих композициях по изобретению солевые аддукты с кислотами, окисляемые основания и краскообразующие вещества выбирают, в частности, из числа гидрохлоридов, гидробромидов, сульфатов, тартратов, лактатов и ацетатов.
Подходящая для окрашивания среда (или носитель) для красящей композиции по изобретению обычно состоит из воды или смеси воды с по меньшей мере одним органическим растворителем для растворения не достаточно хорошо растворимых в воде соединений. В качестве органического растворителя могут быть, например, названы С1-С4-алканолы, такие как этанол и изопропиловый спирт.
Растворители могут присутствовать в количествах, преимущественно составляющих приблизительно от 1 до 40 и, более предпочтительно, от 5 до 30% от общей массы красящей композиции.
Обычно величина рН составляет приблизительно от 3 до 12 и, предпочтительно, приблизительно от 5 до 12. Она может быть доведена до желаемого значения с помощью подкисляющих или подщелачивающих агентов, обычно используемых при окрашивании кератиновых волокон.
Из числа подкисляющих агентов в качестве примера могут быть названы такие минеральные или органические кислоты, как хлористоводородная, ортофосфорная, серная кислота и карбоновые кислоты: уксусная, винная, лимонная, молочная, а также сульфоновые кислоты.
Из числа подщелачивающих агентов в качестве примера могут быть названы аммиак, карбонаты щелочных металлов, алканоламины, такие как моно-, ди- и триэтаноламины, 2-метил-2-аминопропанол, а также их производные, гидроксиды натрия или калия и соединения приведенной ниже формулы V:![]() в которой W обозначает пропилен, который может быть замещен гидроксилом или С1-С4-алкилом, a R19, R20, R21 и R22, одинаковые или разные, обозначают атом водорода, С1-С4-алкил или гидрокси-С1-С4-алкил. Красящая композиция по изобретению может также содержать различные вспомогательные добавки, обычно используемые в композициях для окрашивания волос. Само собой разумеется, что специалист должен предусмотреть, чтобы выбранные им дополнительные соединения не изменили или существенно не изменили полезные свойства, изначально присущие красящим композициям по изобретению. Красящая композиция по изобретению может быть представлена в различных формах в виде жидкостей, кремов, гелей, возможно в аэрозольной упаковке, или в любой другой форме, позволяющей производить окрашивание кератиновых волокон, в частности, человеческих волос. Предметом изобретения является также способ окрашивания кератиновых волокон, в частности, кератиновых волокон человека, таких как волосы, с использованием определенной выше красящей композиции. В соответствии с этим способом на волокна наносят определенную выше красящую композицию, формируя окраску при кислом, нейтральном или щелочном рН с помощью окислительного агента, либо добавляемого в момент применения к красящей композиции, либо присутствующего в окислительной композиции, которая наносится отдельно одновременно красящей композицией или после нее. В соответствии с особенно предпочтительным вариантом осуществления способа окрашивания по изобретению, определенную выше красящую композицию смешивают в момент применения с окислительной композицией, содержащей в подходящей для окрашивания среде, по меньшей мере, один окислительный агент, присутствующий в количестве, достаточном для проявления окраски. Полученную смесь затем наносят на кератиновые волокна и воздействуют ею на волокна в течение приблизительно от 3 до 50 и, предпочтительно, от 5 до 30 мин, после чего волокна ополаскивают, промывают шампунем, повторно ополаскивают и сушат. Окислительный агент, присутствующий в названной выше окислительной композиции выбирают из окислительных агентов, традиционно используемых для окислительного окрашивания кератиновых волокон, из которых могут быть названы перекись водорода, перекись мочевины, броматы щелочных металлов, персоли, такие как пербораты и персульфаты, надкислоты, ферменты, такие двухэлектронные оксидоредуктазы, пероксидазы и лакказы. Особенно предпочтительна перекись водорода. Величина рН окислительной композиции, содержащей определенный выше окислительный агент, такова, что после смешения окислительной композиции с красящей композицией значение рН результирующей композиции, наносимой на кератиновые волокна, преимущественно составляет приблизительно от 3 до 12 и, еще более предпочтительно, от 5 до 11. Это значение корректируется желаемым образом с помощью подкисляющих или подщелачивающих агентов, обычно используемых при окрашивании кератиновых волокон и определенных выше. Определенная выше окислительная композиция может также содержать различные вспомогательные добавки, обычно используемые в композициях для окрашивания волос и определенные выше. Композиция, которую в итоге наносят на кератиновые волокна, может быть представлена в различных формах, таких как жидкости, кремы, гели или в любой другой форме, пригодной для осуществления окрашивания кератиновых волокон, в частности, человеческих волос. Еще одним предметом изобретения является устройство с несколькими отделениями, или “набор” для окрашивания или любая другая система упаковки с несколькими отделениями, из которых первое отделение содержит определенную выше красящую композицию, а второе отделение содержит определенную выше окислительную композицию. Устройства могут быть также снабжены приспособлениями, позволяющими нанесение на волосы желаемой смеси, подобными тем, которые описаны в патенте FR-2586913, выданном на имя заявителя. Далее приведены конкретные примеры, иллюстрирующие изобретение, не ограничивая его объема. Примеры Примеры окрашивания 1-3 в щелочной среде приведены в табл.1. В момент применения каждую из красящих композиций смешивают с эквивалентным весовым количеством 20-объемной (6%-ной) перекиси водорода, имеющей рН приблизительно 3. Каждую из полученных смесей, характеризующихся значением рН приблизительно 10 0,2, наносят на 30 мин на подвергнутые перманентной обработке седые волосы с 90% седины.
Волосы после этого ополаскивают водой, моют стандартным шампунем, вновь ополаскивают и сушат.
В приведенной табл.2 указаны полученные оттенки окраски волос.
В момент применения описанную выше красящую композицию смешивают с эквивалентным весовым количеством 20-объемной (6%-ной) перекиси водорода, имеющей рН приблизительно 3.
Полученную смесь, характеризующуюся значением рН приблизительно 6,8 0,2, наносят на 30 мин на подвергнутые перманентной обработке седые волосы с 90% седины.
Волосы после этого ополаскивают водой, моют стандартным шампунем, вновь ополаскивают и сушат.
Обработанные волосы имеют глубокую пепельно-фиолетовую окраску.
Сравнительные примеры 5 И 6 приведены в табл.3.
В момент применения каждую из описанных выше красящих композиций смешивают с эквивалентным весовым количеством 20-объемной (6%-ной) перекиси водорода, имеющей pH приблизительно 3.
Каждую из полученных смесей, характеризующихся значением pH приблизительно 10 0,2, наносят на 30 мин на подвергнутые перманентной обработке седые волосы с 90% седины.
Волосы после этого ополаскиваются водой, моют стандартным шампунем, вновь ополаскивают и сушат.
Цвет прядей оценивался по системе MUNSELL с помощью спектрофотометра MINOLTA CM 2002 .На окрашенных таким образом прядях волос производится тест на устойчивость к перманенту. С этой целью пряди волос погружают на 10 мин в раствор восстановителя из расчета 2 г описанного ниже восстановительного раствора на 1 г пряди: Восстановительный раствор: Тиогликолевая кислота – 6,7 г 48%-ный водный раствор тиогликолята аммония – 5,0 г Подщелачивающий агент – В достаточном количестве до pH 7,9 Деминерализованная вода – В достаточном количестве до 100,0 г После ополаскивания пряди волос погружают на 5 мин в окислительный раствор (состоящий из 8-объемной перекиси водорода с pH 3) из расчета 2 г окислительного раствора на 1 г пряди. Пряди после этого ополаскивают водой и сушат 1 ч при 60oC. Цвет прядей волос затем вновь оценивался по системе MUNSELL с помощью спектрофотометра MINOLTA CM 2002 .Разницу между цветом пряди до перманента и цветом пряди после перманента рассчитывали с использованием формулы NICKERSON: E = 0,4Co H+6 V+3 Cкак это описано, например, в “Couleur, Industrie et Technique”, стр. 14-17, том 5, 1978. В приведенной формуле E обозначает разницу в цвете двух прядей, H, V и C – отклонения абсолютных значений параметров H, V и C и Co обозначает чистоту пряди, по отношению к которой оценивается разница в цвете (до тестирования на устойчивость к перманенту).
Ухудшение цвета возрастает с увеличением указанных ниже значений величины E.
Результаты приведены в табл.4.
Приведенные результаты показывают, что красящая композиция из примера 5, соответствующая изобретению и содержащая комбинацию окисляемого основания (п-фенилендиамина), 1,3-бис-( -гидроксиэтил) амино-2-метилбензола в качестве первого краскообразующего вещества и 2,4-диаминофеноксиэтанолдигидрохлорида в качестве дополнительного краскообразующего вещества, соответствующего формуле I, дает окраску, гораздо более устойчивую к действию перманента по сравнению с окраской, полученной с использованием не относящейся к изобретению композиции из примера 6, поскольку в последнем вместо 2,4-диаминофеноксиэтанол-дигидрохлорида содержится 2,4-диамино-1-метоксибензол-дигидрохлорид, не отвечающий формуле I и описанный, например, в патентной заявке Fr 2681860.
Формула изобретения
-гидроксиэтил)амино-2-метилбензол и/или, по меньшей мере, один из их солевых аддуктов с кислотами в качестве первого краскообразующего вещества, и, по меньшей мере, одно второе краскообразующее вещество, выбранное из числа замещенных м-фенилендиаминов приведенной ниже формулы I и их солевых аддуктов с кислотами![]() в которой R1 обозначает атом водорода, С1-С4-алкил, моногидрокси-С1-С4-алкил или полигидрокси-С2-С4-алкил; R2 и R3, одинаковые или разные, обозначают атом водорода, С1-С4-алкил или гидрокси-С1-С4-алкокси; R4 обозначает С1-С4-алкокси, амино-С1-С4-алкокси, моно и гидрокси-С1-С4-алкокси, полигидрокси-С2-С4-алкокси или 2,4-диаминофеноксиалкокси; при условии, что когда R1, R2 и R3 одновременно являются атомами водорода, R4 не является радикалом метокси. 2. Композиция по п.1, отличающаяся тем, что замещенный м-фенилендиамин или м-фенилендиамины формулы I выбирают из числа следующих соединений: 2,4-диаминофеноксиэтанол, 2,4-диамино-1-этоксибензол, 2-амино-4-N-( -гидроксиэтил)аминоанизол, 3,5-диамино-1-этил-2-метоксибензол, 3,5-диамино-2-метокси-1-метилбензол, 1,3-бис-(2,4-диаминофенокси)пропан, бис-(2,4-диаминофенокси)метан, 1-( -аминоэтилокси)-2,4-диаминобензол, 2-амино-1-( -гидроксиэтилокси)-4-метиламинобензол, 2,4-диамино-1-этокси-5-метилбензол, 2,4-диамино-5-( -гидроксиэтилокси)-1-метилбензол, 2,4-диамино-1-( , -дигидроксипропилокси)бензол,2-амино-4-N-( -гидроксиэтил)амино-1-метоксибензол и их солевых аддуктов с кислотами.
3. Композиция по п.1 или 2, отличающаяся тем, что окисляемое основание или окисляемые основания выбирают из п-фенилендиаминов, двойных оснований, п-аминофенолов, о-аминофенолов и гетероциклических окисляемых оснований.
4. Композиция по п.3, отличающаяся тем, что п-фенилендиамины выбирают из соединений приведенной ниже формулы II и их солевых аддуктов с кислотами![]() в которой R5 обозначает атом водорода, С1-С4-алкил, моногидрокси-С1-С4-алкил, полигидрокси-С2-С4-алкил, С1-С4-алкокси-С1-С4-алкил, С1-С4-алкил, замещенный азотсодержащей группой, фенил или 4′-аминофенил; R6 обозначает атом водорода, С1-С4-алкил, моногидрокси-С1-С4-алкил, полигидрокси-С2-С4-алкил, С1-С4-алкокси-С1-С4-алкил или С1-С4-алкил, замещенный азотсодержащей группой; R7 обозначает атом водорода, атом галогена: хлор, бром, йод или фтор, С1-С4-алкил, моногидрокси-С1-С4-алкил, гидрокси-С1-С4-алкокси, ацетиламино-С1-С4-алкокси, мезиламино-С1-С4-алкокси или карбамоиламино-С1-С4-алкокси; R8 обозначает атом водорода, атом галогена или С1-С4-алкил. 5. Композиция по п.4, отличающаяся тем, что п-фенилендиамины формулы II выбирают из числа следующих соединений: п-фенилендиамин, п-толуилендиамин, 2-хлор-п-фенилендиамин, 2,3-диметил-п-фенилендиамин, 2,6-диметил-п-фенилендиамин, 2,6-диэтил-п-фенилендиамин, 2,5-диметил-п-фенилендиамин, N,N-диметил-п-фенилендиамин, N,N-диэтил-п-фeнилeндиaмин, N,N-дипропил-п-фенилендиамин, 4-амино-N, N-диэтил-3-метиланилин, N,N-бис( -гидроксиэтил)-п-фенилендиамин, 4-N,N-бис( -гидроксиэтил)амино-2-метиланилин, 4-N,N-бис( -гидроксиэтил)амино-2-хлоранилин, 2-( -гидроксиэтил)-п-фенилендиамин, 2-фтор-п-фенилендиамин, 2-изопропил-п-фенилендиамин, N-( -гидроксипропил)-п-фенилендиамин, 2-гидроксиметил-п-фенилендиамин, N,N-диметил-3-метил-п-фенилендиамин, N-этил-N-( -гидроксиэтил)-п-фенилендиамин, N-( , -дигидроксипропил)-п-фенилендиамин, N-(4′-аминофенил)-п-фенилендиамин, N-фенил-п-фенилендиамин, 2-( -гидроксиэтокси)-п-фенилендиамин, 2-( -ацетиламиноэтокси)-п-фенилендиамин, N-( -метоксиэтил)-п-фенилендиамин и их солевые аддукты с кислотами.
6. Композиция по п.3, отличающаяся тем, что двойные основания выбирают из числа соединений приведенной ниже формулы III и их солевых аддуктов с кислотами![]() в которой Z1 и Z2, одинаковые или разные, обозначают радикал гидроксил или -NH2, которые могут быть замещены С1-С4-алкилом или связкой Y; связка Y обозначает линейную или разветвленную алкиленовую цепь с 1-14 атомами углерода, которая может быть прервана или завершена одной или несколькими азотсодержащими группами и/или одним или несколькими гетероатомами, такими как кислород, сера или азот, и возможно замещена одним или несколькими гидроксильными или C1-С6-алкокси-группами; R9 и R10 обозначают атом водорода или галогена, С1-С4-алкил, моногидрокси-С1-С4-алкил, полигдирокси-С2-С4-алкил, амино-С1-С4-алкил или связку Y; R11, R12, R13, R14, R15 и R16, одинаковые или разные, обозначают атом водорода, связку Y или С1-С4-алкил; при условии, что соединения формулы III содержат только одну связку Y на молекулу. 7. Композиция по п.6, отличающаяся тем, что двойные основания формулы III выбирают из числа следующих соединений: N,N’-бис( -гидроксиэтил)-N,N’-бис(4′-аминофенил)-1,3-диаминопропанол, N,N’-бис( -гидроксиэтил)-N,N’-(4′-аминофенил) этилендиамин, N,N’-бис(4-аминофенил)тетраметилендиамин, N,N’-биc( -гидpoкcиэтил)-N, N’-биc(4-аминофенил)тетраметилендиамин, N,N’-бис(4-метил-аминофенил) тетраметилендиамин, N, N’-бис(этил)-N,N’-бис(4′-амино-3’метилфенил) этилендиамин, 1,8-бис(2,5-диаминофенокси)-3,5-диоксаоктан и их солевых аддуктов с кислотами.
8. Композиция по п.3, отличающаяся тем, что п-аминофенолы выбирают из соединений приведенной ниже формулы IV и их солевых аддуктов с кислотами![]() в которой R17 обозначает атом водорода или галогена, С1-С4-алкил, моногидрокси-С1-С4-алкил, С1-С4-алкокси-С1-С4-алкил, амино-С1-С4-алкил или гидрокси-С1-С4-алкиламино-С1-С4-алкил; R18 обозначает атом водорода или галогена, С1-С4-алкил, моногидрокси-С1-С4-алкил, полигидрокси-С2-С4-алкил, амино-С1-С4-алкил, циано-С1-С4-алкил или С1-С4-алкокси-С1-С4-алкил, при условии, что, по меньшей мере, один из радикалов R17 и R18 является атомом водорода. 9. Композиция по п.8, отличающаяся тем, что п-аминофенолы формулы IV выбирают из числа следующих соединений: п-аминофенол, 4-амино-3-метилфенол, 4-амино-3-фторфенол, 4-амино-3-гидроксиметилфенол, 4-амино-2-метилфенол, 4-амино-2-гидроксиметилфенол, 4-амино-2-метоксиметилфенол, 4-амино-2-аминометилфенол, 4-амино-2-( -гидроксиэтиламинометил)фенол, 4-амино-2-фторфенол и их солевых аддуктов с кислотами.
10. Композиция по п.3, отличающаяся тем, что о-аминофенолы выбирают из числа следующих соединений: 2-аминофенол, 2-амино-5-метилфенол, 2-амино-6-метилфенол, 5-ацетамидо-2-аминофенол и их солевых аддуктов с кислотами.
11. Композиция по п.3, отличающаяся тем, что гетероциклические окисляемые основания выбирают из пиридиновых производных, пиримидиновых производных, производных пиразола и их солевых аддуктов с кислотами.
12. Композиция по п.1, отличающаяся тем, что окисляемое основание или окисляемые основания составляют от 0,0005 до 12% от общей массы красящей композиции.
13. Композиция по п.12, отличающаяся тем, что окисляемое основание или окисляемые основания составляют от 0,005 до 6% от общей массы красящей композиции.
14. Композиция по п.1, отличающаяся тем, что 1,3-бис-( -гидроксиэтил)амино-2-метилбензол и/или его солевые аддукты с кислотами составляют от 0,001 до 10% от общей массы красящей композиции.
15. Композиция по п.14, отличающаяся тем, что 1,3-бис-( -гидроксиэтил)амино-2-метилбензол и/или его солевые аддукты с кислотами составляют от 0,01 до 5% от общей массы красящей композиции.
16. Композиция по п.1, отличающаяся тем, что замещенные м-фенилендиамины формулы I составляет от 0,0001 до 10% от общей массы красящей композиции.
17. Композиция по п.16, отличающаяся тем, что замещенные м-фенилендиамины формулы I составляют от 0,005 до 5% от общей массы красящей композиции.
18. Композиция по любому из предыдущих пунктов, отличающаяся тем, что она содержит одно или несколько дополнительных краскообразующих веществ отличных от 1,3-бис-( -гидроксиэтил)амино-2-метилбензола и определенных в п.1 замещенных м-фенилендиаминов формулы I, и/или один или несколько прямых красителей.
19. Композиция по п.1, отличающаяся тем, что солевые аддукты с кислотами выбирают из числа гидрохлоридов, гидробромидов, сульфатов, тартратов, лактатов и ацетатов.
20. Способ окрашивания кератиновых волокон, в частности волос, отличающийся тем, что на названные волокна наносят по меньшей мере одну красящую композицию по одному из пп.1-19 и формируют окраску при кислом, нейтральном или щелочном рН с помощью окислительного агента, либо добавляемого непосредственно в момент применения к красящей композиции, либо присутствующего в окислительной композиции, которую наносят одновременно с красящей композицией или после нее.
21. Способ по п.20, отличающийся тем, что содержащийся в окислительной композиции окислительный агент выбирают из числа следующих соединений: перекись водорода, перекись мочевины, броматы щелочных металлов, персоли, такие как пербораты и персульфаты, надкислоты и ферменты.
22. Набор для окрашивания кератиновых волокон, в частности волос, с отделением под красящую композицию по пп.1-19 и отделением под окислительную композицию.
РИСУНКИ
MM4A Досрочное прекращение действия патента Российской Федерации на изобретение из-за неуплаты в установленный срок пошлины за поддержание патента в силе
Дата прекращения действия патента: 20.11.2003
Извещение опубликовано: 20.10.2005 БИ: 29/2005
|
||||||||||||||||||||||||||

-гидрокси-этил)амино-2-метилбензол и/или один из их солевых аддуктов с кислотами в качестве первого краскообразующего вещества и замещенный м-фенилендиамин в качестве второго краскообразующего вещества, а также способ окрашивания с использованием этой композиции и набор для окрашивания кератиновых волокон. Изобретение позволяет получить хроматичные окраски, устойчивые к агрессивным воздействиям на волокна. 3 с. и 19 з.п. ф-лы, 4 табл.

-дигидроксипропилокси)бензол, 2-амино-4-N-(



0,2, наносят на 30 мин на подвергнутые перманентной обработке седые волосы с 90% седины.
Волосы после этого ополаскивают водой, моют стандартным шампунем, вновь ополаскивают и сушат.
В приведенной табл.2 указаны полученные оттенки окраски волос.
В момент применения описанную выше красящую композицию смешивают с эквивалентным весовым количеством 20-объемной (6%-ной) перекиси водорода, имеющей рН приблизительно 3.
Полученную смесь, характеризующуюся значением рН приблизительно 6,8
.
E = 0,4Co


