Патент на изобретение №2183449
|
||||||||||||||||||||||||||
(54) КОМПОЗИЦИЯ ДЛЯ УКЛАДКИ ВОЛОС, СОДЕРЖАЩАЯ ПОЛИМЕР С ОСОБЫМИ ХАРАКТЕРИСТИКАМИ И ПЛЕНКООБРАЗУЮЩИЙ ИОННЫЙ ПОЛИМЕР
(57) Реферат: Предметом изобретения является композиция для укладки волос, содержащая в косметически приемлемой среде: (1) по меньшей мере один полимер (А), выбираемый таким образом, что пленка, полученная при высыхании смеси этого сополимера (А) с этанолом или водой при комнатной температуре и при относительной степени влажности 50%, имеет механический профиль, определяемый по меньшей мере: (а) коэффициентом удлинения при разрыве ( r) больше или равным 300%; (б) коэффициентом восстановления через 300 с (R300) больше или равным 45%; и (в) когда коэффициент восстановления через 300 с составляет от 45 до 60%, тогда удлинение меньше 1300%; (2) по меньшей мере один пленкообразующий полимер (В), отличный от полимера (А) и выбираемый среди анионных, катионных или амфотерных пленкообразующих полимеров. Изобретение касается также способа укладки волос или сохранения прически при помощи этой композиции, применения композиции в составе средств для укладки волос, таких, как лаки, спреи или пены, предназначенных для сохранения прически или придания ей формы, а также аэрозольного устройства, содержащего вышеуказанную композицию. Технический результат: композиция позволяет осуществлять длительную фиксацию волос, придавая волосам хорошую расчесываемость, мягкость и приятный внешний вид. 3 с. и 5 з.п. ф-лы, 2 табл.
Предметом изобретения является композиция для укладки волос, содержащая в косметически приемлемой среде по меньшей мере один полимер (А) с особыми характеристиками и по меньшей мере один полимер (В), выбираемый среди анионных, катионных или амфотерных пленкообразующих полимеров. Равным образом предметом изобретения являются способ придания прическе формы или сохранения прически при помощи этой композиции, а также ее применение в составе средств для укладки волос, таких как лаки, спрэи или пены, с целью обеспечения сохранения прически или придания ей формы. Средствами для волос, предназначенными для фиксации волос, наиболее распространенными на рынке косметики, являются композиции для распыления в аэрозольной упаковке или во флаконах с насосом, такие как лаки, спрэи или пены, представляющие собой по существу раствор, наиболее часто спиртовой или водно-спиртовой, пленкообразующего полимера, растворимого в воде или в спирте, в смеси с различными косметическими добавками. Однако эти составы для волос, такие как пены, гели и особенно спрэи и лаки в аэрозольной упаковке, предназначенные для сохранения формы прически, еще не обеспечивают достаточной стойкости прически по отношению к различным естественным движениям, таким как ходьба, движения головой или порывы ветра. Полимеры, используемые в рецептуре этих средств для волос, представляют собой анионные, амфотерные или неионные пленкообразующие полимеры, которые приводят к образованию пленок, по своему поведению более или менее твердых и ломких. Когда полимер слишком ломкий, процент удлинения при разрыве, измеренный на пленке, низкий, то есть обычно ниже 2%, и устойчивость прически во времени не обеспечивается. Чтобы устранить эту проблему, были сделаны попытки смешать эти полимеры с пластификаторами, в результате чего были получены более гибкие и нехрупкие покрытия. Однако эти пленки являются деформируемыми и пластичными, то есть после деформации они только очень незначительно восстанавливают их исходную форму. Если устойчивость прически и улучшилась, она еще не является удовлетворительной, так как форма прически изменяется во времени. Более удовлетворительные результаты в смысле устойчивости были получены с композициями, содержащими комбинацию пленкообразующих полимеров, таких как, например, целлюлозный полимер и акриловый полимер. Однако эти композиции также не в полной мере удовлетворяют ожиданиям, поскольку волосы теряют некоторые из их природных косметических свойств. Следовательно, необходим поиск косметических композиций для сохранения и/или фиксации прически, которые придавали бы волосам, помимо длительной фиксации, хорошие косметические свойства, в частности хорошую расчесываемость, мягкость и приятный внешний вид. Заявитель удивительным образом неожиданно обнаружил, что можно устранить технические проблемы, упоминавшиеся выше, используя некоторые особые комбинации полимеров. Предметом изобретения является композиция для укладки волос, содержащая в косметически приемлемой среде: (1) по меньшей мере один полимер (А), выбираемый таким образом, что пленка, полученная при высыхании смеси этого полимера (А) с этанолом или водой при комнатной температуре и при относительной степени влажности 50%, имеет механический профиль, определяемый по меньшей мере: (а) коэффициентом удлинения при разрыве ( r) больше или равным 300%;(б) коэффициентом восстановления через 300 с (R300) больше или равным 45%; и (в) когда коэффициент восстановления через 300 с составляет от 45 до 60%, тогда удлинение меньше 1300%; (2) по меньшей мере один пленкообразующий полимер (В), отличный от полимера (А) и выбираемый среди анионных, катионных или амфотерных пленкообразующих полимеров. Другой предмет настоящего изобретения касается способа укладки волос или сохранения прически, включающий в себя использование этой композиции. Еще один предмет настоящего изобретения касается применения этой композиции для изготовления косметических композиций для волос с целью обеспечения сохранения прически или придания прическе формы. Полимерами (А), на которые особенно нацелено настоящее изобретение, являются полимеры, поставляемые фирмой Goodrich под названием Avalure AC 315 и V29 .С точки зрения настоящего изобретения под пленкой, полученной при высыхании при комнатной температуре (22 2oС) и при относительной влажности 50 5%, подразумевают пленку, полученную в этих условиях, исходя из 6%-ной смеси активного вещества (а.в.) полимера А с этанолом или водой, причем количество смеси подобрано таким образом, чтобы получить в тефлоновой матрице пленку толщиной 500 50 мкм. Сушку проводят до тех пор, пока не прекратится изменение массы пленки, что соответствует приблизительно 12 дням. Полимеры А, растворимые или частично растворимые в этаноле, испытывают в этаноле. Другие полимеры испытывают в воде в растворенной или в диспергированной форме.
С точки зрения настоящего изобретения коэффициент удлинения при разрыве и коэффициент восстановления оценивают посредством испытаний, описанных ниже.
Для проведения испытаний на растяжение пленку разрезают на образцы прямоугольной формы длиной 80 мм и шириной 15 мм.
Испытания осуществляют на приборе, выпускаемом под названием Lloyd или выпускаемом под названием Zwick в тех же самых условиях температуры и влажности, что и при сушке, то есть при температуре 22 2oС и относительной влажности 50%+5%.
Образцы растягивают со скоростью 20 мм/мин, расстояние между губками составляет 50 1 мм.
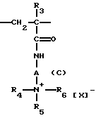
Для определения мгновенного коэффициента восстановления (Ri) поступают следующим образом:– растягивают образец на 150% ( max), то есть в 1,5 раза по сравнению с его исходной длиной (Iо);– ослабляют растягивающее усилие, задавая скорость возврата, равную скорости растяжения, или 20 мм/мин, и измеряют удлинение образца в процентах после возвращения к нулевой нагрузке ( i).Мгновенный коэффициент восстановления в % (Ri) определяется следующей формулой: Ri = (( max– i)/ max) 100Для определения коэффициента восстановления через 300 с образец, подвергнутый предыдущим операциям, выдерживают при нулевом растягивающем усилии в течение дополнительных 300 секунд и измеряют его коэффициент удлинения в процентах ( 300).Коэффициент восстановления через 300 с в % (R300) определяется следующей формулой: R300 = (( max– 300)/ max) 100Катионные, анионные или амфотерные пленкообразующие полимеры (В), используемые согласно изобретению, описаны ниже. Пленкообразующие катионные полимеры, используемые согласно настоящему изобретению, выбирают предпочтительно среди полимеров, содержащих первичные, вторичные, третичные и/или четвертичные аминогруппы, которые являются частью полимерной цепи или непосредственно связаны с ней, и имеющих молекулярную массу в интервале от 500 до приблизительно 5000000, предпочтительно от 1000 до 3000000. Среди этих полимеров более конкретно можно назвать следующие катионные полимеры. (1) Гомополимеры или сополимеры, полученные на основе сложных эфиров или амидов акриловых или метакриловых кислот и содержащие по меньшей мере одно из звеньев следующих формул: ![]() ![]() или ![]() в которых: R3 обозначает атом водорода или радикал СН3; А обозначает линейную или разветвленную алкильную группу, содержащую от 1 до 6 атомов углерода, или гидроксиалкильную группу, содержащую от 1 до 4 атомов углерода; R4, R5, R6, одинаковые или разные, обозначают алкильную группу, содержащую от 1 до 18 атомов углерода, или бензильный радикал; R1 и R2 обозначают водород или алкильную группу, содержащую от 1 до 6 атомов углерода: Х обозначает анион метосульфата или галогенид, такой как хлорид или бромид. Сополимеры семейства (1) содержат, кроме того, одно или несколько звеньев, происходящих из сомономеров, которые могут быть выбраны в семействе акриламидов, метакриламидов, диацетонакриламидов, акриламидов и метакриламидов, замещенных по атому азота низшими алкилами, акриловых или метакриловых кислот или их сложных эфиров, виниллактамов, таких как винилпирролидон или винилкапролактам, сложных виниловых эфиров. Так, среди сополимеров семейства (1) можно назвать: – сополимеры акриламида и диметиламиноэтилметакрилата, кватернизованного диметилсульфатом или диметилгалогенидом, такие как сополимер, выпускаемый под названием HERCOFLOC фирмой HERCULES: – сополимеры акриламида и метакрилоилоксиэтилтриметиламмонийхлорида, описанные, например, в европейской заявке на патент 080976 и выпускаемые под названием BINA QUAT Р 100 фирмой CIBA GEIGY; – сополимер акриламида и метосульфата метакрилоилоксиэтилтриметиламмония, выпускаемый под названием RETEN фирмой HERCULES; – кватернизованные или некватернизованные сополимеры винилпирролидона и диалкиламиноалкилакрилата или диалкиламиноалкилметакрилата, такие как продукты, выпускаемые под названием “GAFQUAT” фирмой ISP, как, например, “GAFQUAT 734” или “GAFQUAT 755”, или продукты, называемые “COPOLYMER 845, 958 и 937”; эти сополимеры детально описаны во французских патентах 2077143 и 2393573; – тройные сополимеры диметиламиноэтилметакрилата, винилкапролактама/винилпирролидона, такие как продукт, выпускаемый под названием GAFFIX VC 713 фирмой ISP; – и кватернизованный сополимер винилпирролидона и диметиламинопропилметакриламида, такой как продукт, выпускаемый под названием GAFQUAT НS 100 фирмой ISP. (2) Кватернизованные полисахариды, описанные более конкретно в американских патентах 3589578 и 4031307, такие как гуаровые камеди, содержащие триалкиламмониевые катионные группы. Такие продукты поставляются, в частности, под торговыми названиями JAGUAR С 13 S, JAGUAR С 15, JAGUAR С 17 фирмой MEYHALL. (3) Четвертичные сополимеры винилпирролидона и винилимидазола, такие как продукты, поставляемые фирмой BASF под названием Luviquat FC. (4) Хитозаны или их соли; солями, пригодными для использования, являются, в частности, ацетат, лактат, глутамат, глюконат или пирролидонкарбоксилат хитозана. Среди этих соединений можно назвать хитозан, имеющий степень деацетилирования 90,5 мас.%, выпускаемый под названием KYTAN BRUT STANDARD фирмой ABER TECHNOLOGIES, пирролидонкарбоксилат хитозана, выпускаемый под названием KYTAMER PC фирмой AMERCHOL. Обычно используемыми анионными пленкообразующими полимерами являются полимеры, содержащие группы, происходящие из карбоновой кислоты, сульфокислоты или фосфорной кислоты и имеющие молекулярную массу в интервале приблизительно от 500 до 5000000. 1) Карбоксильные группы привносятся мономерами ненасыщенных монокарбоновых или дикарбоновых кислот, такими как мономеры, отвечающие формуле (II), ![]() в которой n обозначает целое число от 0 до 10, A1 обозначает метиленовую группу, в известных случаях связанную с атомом углерода ненасыщенной группы или с соседней метиленовой группой, когда n больше 1, посредством гетероатома, такого как кислород или сера, R7 обозначает атом водорода, фенил или бензил, R8 обозначает атом водорода, низшую алкильную группу или карбоксильную группу, R9 обозначает атом водорода, низшую алкильную группу, радикал -CH2-COOH, фенил или бензил. В приведенной формуле низший алкил обозначает предпочтительно радикал, содержащий от 1 до 4 атомов углерода, в частности метил и этил. Предпочтительными анионными пленкообразующими полимерами с карбоксильными группами согласно изобретению являются следующие полимеры: А) Гомополимеры или сополимеры акриловой или метакриловой кислоты или их соли, в частности продукты, выпускаемые под названиями VERSICOL Е или К фирмой ALLIED COLLOID и ULTRAHOLD фирмой BASF. Сополимеры акриловой кислоты и акриламида, выпускаемые в форме их натриевых солей под названиями RETEN 421, 423 или 425 фирмой HERCULES, натриевые соли полигидроксикарбоновых кислот. Б) Сополимеры акриловой или метакриловой кислот с моноэтиленовым мономером, таким как этилен, стирол, сложные виниловые эфиры, сложные эфиры акриловой или метакриловой кислоты, в известных случаях привитые на полиалкиленгликоль, такой как полиэтиленгликоль, и в случае необходимости сшитые. Такие полимеры описаны, в частности, во французском патенте 1222944 и германской заявке на патент 2330956, сополимеры этого типа, содержащие в цепи акриламидное звено, в известных случаях N-алкилированное или/или гидроксиалкилированное, такие как описанные, в частности, в люксембургских заявках на патенты 75370 и 75371 или предлагаемые под названием QUADRAMER фирмой AMERICAN CYANAMID. Можно также назвать сополимеры акриловой кислоты и (C1-C4)-алкилметакрилата и тройные сополимеры винилпирролидона, акриловой кислоты и (C1-C20)-алкилметакрилата, например лаурилметакрилата, такой как выпускаемый фирмой ISP под названием ACRILIDONE LM, и тройные сополимеры метакриловой кислоты, этилакрилата и трет-бутилакрилата, такой как продукт, выпускаемый под названием LUVIMER 100 Р фирмой BASF. В) Сополимеры на основе кротоновой кислоты, такие как сополимеры, содержащие в цепи винилацетатные или винилпропионатные звенья и в известных случаях звенья других мономеров, таких как сложные аллиловый или металлиловый эфиры, простой виниловый эфир или сложный виниловый эфир линейной или разветвленной насыщенной карбоновой кислоты с длинной углеводородной цепью, такой, которая содержит по меньшей мере 5 атомов углерода, причем эти полимеры в известных случаях могут быть привиты или сшиты, или сложный виниловый, аллиловый или металлиловый эфир -циклической или -циклической карбоновой кислоты. Такие полимеры описаны кроме того во французских патентах 1222944, 1580545, 2265782, 2265781, 1564110 и 2439798. Промышленными продуктами, входящими в этот класс, являются смолы 28-29-30, 26-13-14 и 28-13-10, выпускаемые фирмой NATIONAL STARCH.
Г) Сополимеры на основе мононенасыщенных (С4-С8)-карбоновых кислот или ангидридов, выбираемые среди:– сополимеров, содержащих (1) одну или несколько кислот или один или несколько ангидридов, выбираемых среди малеиновой, фумаровой и итаконовой кислот и их ангидридов, и (2) по меньшей мере один мономер, выбираемый среди сложных виниловых эфиров, простых виниловых эфиров, винилгалогенидов, фенилвиниловых производных, акриловой кислоты и ее сложных эфиров, при этом ангидридные группы этих сополимеров в известных случаях моноэтерифицированы или моноамидированы; такие полимеры описаны, в частности, в американских патентах 2047398, 2723248, 2102113, английском патенте 839805, и, в частности, такие полимеры выпускаются под названиями GANTRES AN или ES фирмой ISP; – сополимеров, содержащих (1) один или несколько ангидридов, выбираемых среди малеинового, цитраконового и итаконового ангидридов, и (2) один или несколько мономеров, выбираемых среди сложных аллиловых или металлиловых эфиров, содержащих в известных случаях в цепи одну или несколько групп, происходящих из акриламида, метакриламида, -олефина, сложных эфиров акриловой или метакриловой кислот, акриловой или метакриловой кислот или винилпирролидона, при этом ангидридные группы этих сополимеров в известных случаях моноэтерифицированы или моноамидированы;эти полимеры описаны, например, во французских патентах 2350384 и 2357241 заявителя. Д) Полиакриламиды, содержащие карбоксилатные группы Полимерами, содержащими сульфогруппы, являются полимеры, содержащие винилсульфоновые, стиролсульфоновые, нафталинсульфоновые или акриламидоалкилсульфоновые звенья. Эти полимеры могут быть выбраны, в частности, среди: – солей поливинилсульфоновой кислоты, имеющих молекулярную массу в интервале приблизительно от 1000 до 100000, а также сополимеров с ненасыщенным сомономером, таким как акриловая или метакриловая кислоты и их сложные эфиры, а также акриламид или его производные, простые виниловые эфиры и винилпирролидон; – солей полистиролсульфоновой кислоты в форме натриевых солей, имеющих молекулярную массу приблизительно от 500000 до 100000 и выпускаемых соответственно под названиями Flexan 500 и Flexan 130 фирмой National Starch; эти соединения описаны во французском патенте 2198719; – солей полиакриламидсульфоновых кислот, которые упоминаются в американском патенте 4128631 и, более конкретно, полиакриламидоэтилпропансульфоновой кислоты, выпускаемой под названием COSMEDIA POLYMER HSP 1180 фирмой Henkel. Согласно изобретению, пленкообразующие анионные полимеры выбирают предпочтительно среди сополимеров акриловой кислоты, таких как тройной сополимер акриловой кислоты, этилакрилата и N-трет-бутилакриламида, выпускаемый под названием ULTRAHOLD STRONG фирмой BASF, сополимеров на основе кротоновой кислоты, таких как тройные сополимеры винилацетата, трет-бутилвинилбензоата и кротоновой кислоты и тройные сополимеры кротоновой кислоты, винилацетата и винилнеододеканоата, выпускаемые под названием Resine 28-29-30 фирмой NATIONAL STARCH, сополимеров, полученных на основе малеиновой, фумаровой и итаконовой кислот или их ангидридов и сложных виниловых эфиров, простых виниловых эфиров, винилгалогенидов, фенилвиниловых производных, акриловой кислоты и ее сложных эфиров, таких как моноэтерифицированный сополимер простого метилвинилового эфира и малеинового ангидрида, выпускаемый под названием GANTREZ ES 425 фирмой ISP, сополимеров метакриловой кислоты и метилметакрилата, выпускаемых под названием EUDRAGIT L фирмой ROHM PHARMA, сополимера метакриловой кислоты и этилакрилата, выпускаемого под названием LUVIMER МАЕХ или МАЕ фирмой BASF, сополимера винилацетата и кротоновой кислоты, выпускаемого под названием LUVISET СА 66 фирмой BASF, и сополимера винилацетата и кротоновой кислоты, привитого полиэтиленгликолем, выпускаемого под названием ARISTOFLEX А фирмой BASF. Наиболее предпочтительные пленкообразующие анионные полимеры выбирают среди моноэтерифицированного сополимера простого метилвинилового эфира и малеинового ангидрида, выпускаемого под названием GANTREZ ES 425 фирмой ISP, тройного сополимера акриловой кислоты, этилакрилата и N-трет-бутилакриламида, выпускаемого под названием ULTRAHOLD STRONG фирмой BASF, сополимеров метакриловой кислоты и метилметакрилата, выпускаемых под названием EUDRAGIT L фирмой ROHM PHARMA, тройных сополимеров винилацетата, трет-бутилвинилбензоата и кротоновой кислоты и тройных сополимеров кротоновой кислоты, винилацетата и винилнеододеканоата, выпускаемых под названием Resine 28-29-30 фирмой NATIONAL STARCH, сополимера метакриловой кислоты и этилакрилата, выпускаемого под названием LUVIMER МАЕХ или МАЕ фирмой BASF, тройного сополимера винилпирролидона, акриловой кислоты и лаурилметакрилата, выпускаемого под названием ACRILIDONE LM фирмой ISP. Амфотерные пленкообразующие полимеры, используемые согласно изобретению, могут быть выбраны среди полимеров, содержащих звенья В и С, статистически распределенные в полимерной цепи, где В обозначает звено, происходящее из мономера, содержащего по меньшей мере один основной атом азота, а С обозначает звено, происходящее из кислотного мономера, содержащего одну или несколько карбоксильных групп или сульфогрупп, или В и С могут обозначать группы, происходящие из цвиттерионных карбоксибетаиновых или сульфобетаиновых мономеров; В и С могут также обозначать катионную полимерную цепь, содержащую первичные, вторичные, третичные или четвертичные аминогруппы, в которой по меньшей мере одна из аминогрупп несет карбоксильную группу или сульфогруппу, присоединенную посредством углеводородного радикала, или В и С составляют часть полимерной цепи с , -дикарбоксиэтиленовым звеном, одна из карбоксильных групп которого была введена в реакцию с полиамином, содержащим одну или несколько первичных или вторичных аминогрупп.
Наиболее предпочтительные пленкообразующие амфотерные полимеры, отвечающие данному выше определению, выбирают среди следующих полимеров.
(1) Полимеры, полученные сополимеризацией производного винилового соединения, содержащего карбоксильную группу, такого как, в частности, акриловая кислота, метакриловая кислота, малеиновая кислота, альфа-хлоракриловая кислота, и основного мономера, происходящего из замещенного винилового соединения, содержащего по меньшей мере один основной атом, такого как, в частности, диалкиламиноалкилметакрилат и диалкиламиноалкилакрилат, диалкиламиноалкилметакриламид и диалкиламиноалкилакриламид. Такие соединения описаны в американском патенте 3836537.
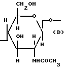
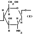
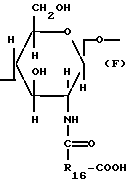
(2) Полимеры, содержащие звенья, происходящие из:а) по меньшей мере одного мономера, выбираемого среди акриламидов или метакриламидов, замещенных по атому азота алкильным радикалом, б) по меньшей мере одного кислотного сомономера, содержащего одну или несколько реакционноспособных карбоксильных групп, и в) по меньшей мере одного основного сомономера, такого как сложные эфиры акриловой и метакриловой кислот, содержащие в качестве заместителей первичные, вторичные, третичные или четвертичные аминогруппы, и продукт кватернизации диметиламиноэтилметакрилата диметилсульфатом или диэтилсульфатом. N-замещенными акриламидами или метакриламидами, особенно предпочтительными согласно изобретению являются группы, алкильные радикалы которых содержат от 2 до 12 атомов углерода, и более конкретно N-этилакриламид, N-трет-бутилакриламид, N-трет-октилакриламид, N-октилакриламид, N-децилакриламид, N-додецилакриламид, а также соответствующие метакриламиды. Кислотные сомономеры выбирают более конкретно среди акриловой, метакриловой, кротоновой, итаконовой, малеиновой, фумаровой кислот, а также сложных (C1-C4)-алкиловых моноэфиров малеиновой или фумаровой кислот или малеинового или фумарового ангидридов. Предпочтительными основными сомономерами являются аминоэтилметакрилаты, бутиламиноэтилметакрилаты, N, N-диметиламиноэтилметакрилаты, N-трет-бутиламиноэтилметакрилаты. В частности, используют сополимеры, названием которых в словаре Ассоциации по парфюмерно-косметическим товарам и душистым веществам (CTFA)(4-е издание, 1991) является “Octylacrylamide / acrylates / butylaminoethyl methacrylate copolymer” (сополимер октилакриламида, акрилатов и бутиламиноэтилметакрилата), такие как продукты, выпускаемые под названием AMPHOMER или LOVOCRYL 47 фирмой NATIONAL STARCH. (3) Полиаминоамиды, частично или полностью сшитые и алкилированные, полученные на основе полиаминоамидов общей формулы: ![]() в которой R10 обозначает двухвалентный радикал, происходящий из насыщенной дикарбоновой кислоты, алифатической моно- или дикарбоновой кислоты с этиленовой двойной связью, сложного эфира низшего алканола, содержащего от 1 до 6 атомов углерода, и этих кислот, или радикал, образующийся в результате реакции присоединения любой из вышеупомянутых кислот с бис-первичным или бис-вторичным амином, и Z обозначает радикал бис-первичного, моно- или бис-вторичного полиалкиленполиамина и предпочтительно представляет собой: а) в количестве от 60 до 100 мол.%, радикал -NH-[-(CH2)x-NH-]p– (IV) где х= 2 и р=2 или 3, или х=3 и р=2, происходящий из диэтилентриамина, триэтилентетраамина или дипропилентриамина; б) в количестве от 0 до 40 мол.% вышеупомянутый радикал (IV), в котором х=2 и р=1, который происходит из этилендиамина, или радикал, происходящий из пиперазина: ![]() в) в количестве от 0 до 20 мол.% радикал -NH-(CH2)6-NH-, происходящий из гексаметилендиамина, причем эти полиаминоамины сшиты путем добавления бифункционального сшивающего агента, выбираемого среди эпигалогенгидринов, диэпоксидов, диангидридов, бис-ненасыщенных производных, из расчета от 0,025 до 0,35 моль сшивающего агента на аминогруппу полиаминоамида, и алкилированы путем воздействия акриловой кислотой, хлоруксусной кислотой или алкансультоном или их солями. Насыщенные карбоновые кислоты выбирают предпочтительно среди кислот, содержащих от 6 до 10 атомов углерода, таких как адипиновая, 2,2,4-триметиладипиновая и 2,4,4-триметиладипиновая кислоты, терефталевая кислота, кислоты с этиленовой двойной связью, как, например, акриловая, метакриловая, итаконовая кислоты. Алкансультоны, используемые для алкилирования, представляют собой предпочтительно пропансультон или бутансультон, соли алкилирующих агентов являются предпочтительно натриевыми или калиевыми солями. (4) Полимеры, содержащие цвиттерионные звенья формулы (V): ![]() в которой R11 обозначает ненасыщенную полимеризующуюся группу, такую как акрилатная, метакрилатная, акриламидная или метакриламидная группа, у и z обозначают целое число от 1 до 3, R12 и R13 обозначают атом водорода, метил, этил или пропил, R14 и R15 обозначают атом водорода или алкильный радикал, так, что сумма атомов углерода в R14 и R15 не превышает 10. Полимеры, содержащие такие структурные единицы, могут также содержать звенья, происходящие из нецвиттерионных мономеров, таких как диметилакрилат или диметилметакрилат, или диэтиламиноэтилакрилат или диэтиламиноэтилметакрилат, или алкилакрилаты или алкилметакрилаты, акриламиды или метакриламиды, или винилацетат. В качестве примера можно назвать сополимер метилметакрилата и диметилкарбоксиметиламмониометилэтилметакрилата, такой как продукт, выпускаемый под названием DIAFORMER Z301 фирмой SANDOZ. (5) Полимеры на основе хитозана, содержащие мономерные звенья, отвечающие следующим формулам (D), (Е) и (F): ![]() ![]() ![]() в которых звено D присутствует в количествах, составляющих от 0 до 30%, звено Е в количествах, составляющих от 5 до 50%, и звено F в количествах, составляющих от 30 до 90%, при условии, что в этом звене F R16 обозначает радикал формулы: ![]() в которой, если q=0, R17, R18 и R19, одинаковые или разные, обозначают каждый атом водорода, метил, гидроксил, ацетоксигруппу или аминогруппу, радикал моноалкиламина или радикал диалкиламина, в известных случаях прерванный одним или несколькими атомами азота и/или, в известных случаях замещенный одной или несколькими аминогруппами, гидроксильными группами, карбоксильными группами, алкилтиогруппами или сульфогруппами, алкилтиорадикал, алкильная группа которого несет аминогруппу, причем в этом случае по меньшей мере один из радикалов R17, R18 и R19 является атомом водорода; или, если q=l, R17, R18 и R19 обозначают каждый атом водорода, а также соли, образованные этими соединениями с основаниями или кислотами. (6) Полимеры, полученные в результате N-карбоксиалкилирования хитозана, такие как N-карбоксиметилхитозан или N-карбоксибутилхитозан, выпускаемый под названием “EVALSAN” фирмой JAN DEKKER. (7) Полимеры, отвечающие общей формуле (VI), например, описанные во французском патенте 1400366: ![]() в которой R20 обозначают атом водорода, радикал СН3О, СН3СН2О, фенил; R21 обозначает водород или низший алкил, такой как метил, этил; R22 обозначает водород или низший алкил, такой как метил, этил; R23 обозначает низший алкил, такой как метил, этил или радикал, отвечающий формуле: – R24-N(R22)2, в которой R24 обозначает группу -СН2-СН2-, -СН2-СН2-СН2-, -СН2-СН (СН3)-, R22 принимает значения, указанные выше, а также высшие гомологи этих радикалов, содержащие до 6 атомов углерода. (8) Амфотерные полимеры типа -D-X-D-X-, выбираемые среди: а) полимеров, полученных воздействием хлоруксусной кислоты или хлорацетата натрия на соединения, содержащие по меньшей мере одно звено формулы (VII): -D-X-D-X-D- (VII) где D обозначает радикал ![]() и Х обозначает символ Е или Е’, при этом Е или Е’, одинаковые или разные, обозначают двухвалентный радикал, который представляет собой алкиленовый радикал с прямой или разветвленной цепью, содержащий до 7 атомов углерода в основной цепи, которая является незамещенной или замещенной гидроксильными группами, который может, кроме того, содержать атомы кислорода, азота, серы от 1 до 3 ароматических циклов или гетероциклов; при этом атомы кислорода, азота и серы присутствуют в форме следующих групп: простой эфирной, тиоэфирной, сульфоксидной, сульфо, сульфониевой, алкиламино, алкениламино, гидроксильных, бензиламино, аминооксидной, четвертичной аммониевой, амидной, имидной, спиртовой, сложноэфирной и/или уретановой. б) полимеров формулы (VII’): -D-X-D-X- (VII’), где D обозначает радикал ![]() и Х обозначает символ Е или Е’ и по меньшей мере один раз Е’; Е имеет значение, указанное выше, и Е’ обозначает двухвалентный радикал, который представляет собой алкиленовый радикал с прямой или разветвленной цепью, содержащий до 7 атомов углерода в основной цепи, замещенный или незамещенный одной или несколькими гидроксильными группами и содержащий один или несколько атомов азота, которые замещены алкильной цепочкой, в известных случаях прерванной атомом кислорода и обязательно содержащей одну или несколько карбоксильных групп или одну или несколько гидроксильных групп, и бетаинизированы реакцией с хлоруксусной кислотой или хлорацетатом натрия. (9) Сополимеры простого (C1-C5)-алкилвиниловово эфира и малеинового ангидрида, частично модифицированные реакцией полуамидирования с N,N- диалкиламиноалкиламином, таким как N,N-диметиламинопропиламин, или реакцией полуэтерификации с N, N-диалканоламином. Эти сополимеры могут также содержать другие виниловые сомономеры, такие как винилкапролактам. Особенно предпочтительными пленкообразующими амфотерными полимерами согласно изобретению являются полимеры семейства (3), такие как сополимеры, названием которых в словаре CTFA (4-е издание, 1991) является “Octylacrylamide / acrylates / butylaminoethyl methacrylate copolymer” (сополимер октилакриламида, акрилатов и бутиламиноэтилметакрилата), такие как продукты, выпускаемые под названиями AMPHOMER, AMPHOMER LV 71 или LOVOCRYL 47 фирмой NATIONAL STARCH, и полимеры семейства (4), такие как сополимер метилметакрилата и диметилкарбоксиметиламмониометилэтилметакрилата, например, выпускаемый под названием DIAFORMER Z301 фирмой SANDOZ. Согласно изобретению, равным образом можно использовать пленкообразующие анионные полимеры типа привитых силиконов, состоящих из полисилоксановой части и части, образованной органической цепью, не содержащей кремния, при этом одна из двух частей образует основную цепь полимера, а другая привита на вышеупомянутую основную цепь. Эти полимеры описаны, например, в европейских заявках на патенты 0412704, 0412707, 0640105, 0582152, международных заявках на патенты 95/00578, 93/23009 и в американских патентах 4693935, 4728571 и 4972037. Такими полимерами являются, например, сополимеры, которые могут быть получены радикальной полимеризацией, исходя из смеси мономеров, состоящей из: а) 50-90 мас.% трет-бутилакрилата; б) 0-40 мас.% акриловой кислоты; в) 5-40 мас.% кремнийорганического макромера формулы: ![]() в которой v обозначает число в интервале от 5 до 700; массовые процентные содержания вычислены по отношению к общей массе мономеров. Другими примерами привитых кремнийорганических полимеров являются, в частности, полидиметилсилоксаны (ПДМС), на которые привиты посредством соединительного звена тиопропиленового типа звенья сополимеров типа поли(мет)акриловой кислоты и полиалкил(мет)акрилата, и полидиметилсилоксаны (ПДМС), на которые привиты посредством соединительного звена тиопропиленового типа, полимерные звенья типа полиизобутил(мет)акрилата. В качестве пленкообразующих полимеров можно также использовать функционализированные полиуретаны, кремнийсодержащие или не содержащие кремния. Полиуретанами, которые особенно подходят для настоящего изобретения, являются полиуретаны, описанные в европейских патентах 0751162, 0637600, 0648485 и во французском патенте 2743297, владельцем которых является заявитель, а также в европейском патенте 0656021 или в международном патенте 94/03510 фирмы BASF и в европейском патенте 0619111 фирмы National Starch. В композициях согласно изобретению пленкообразующий полимер или пленкообразующие полимеры (А) присутствуют, предпочтительно, в концентрациях, составляющих от 0,05 до 20 масс.%, более предпочтительно, в интервале от 0,1 до 15 масс.%, и, наиболее предпочтительно, от 0,25 до 10 масс.% по отношению к общей массе композиции. В композициях согласно изобретению пленкообразующий полимер или пленкообразующие полимеры (В) присутствуют предпочтительно в концентрациях, составляющих от 0,05 до 20 мас.%, более предпочтительно в интервале от 0,1 до 15 мас.%, и наиболее предпочтительно от 0,25 до 10 мас.% по отношению к общей массе композиции. Предпочтительно концентрации полимеров (А) и (В) выбирают таким образом, что отношение концентрации полимера (А) к концентрации полимера (В) находится в интервале от 4000 до 0,002. Косметически приемлемая среда предпочтительно представляет собой воду или один или несколько косметически приемлемых растворителей, таких как спирты, или смеси вода-растворитель(и), причем эти растворители предпочтительно являются спиртами, содержащими от 1 до 4 атомов углерода. Среди этих спиртов можно назвать этанол, изопропанол. Этанол является особенно предпочтительным. Композиция согласно изобретению может также содержать по меньшей мере одну добавку, выбираемую среди загустителей, поверхностно-активных веществ, отдушек, консервантов, солнцезащитных фильтров, протеинов, витаминов, полимеров, не обладающих фиксирующими свойствами, и любую другую добавку, обычно используемую в косметических композициях, предназначенных для нанесения на волосы. Разумеется, специалист должен выбирать возможное соединение или возможные соединения для добавления в композицию согласно изобретению таким образом, чтобы полезные свойства, внутренне присущие композиции согласно изобретению, не изменялись, или существенным образом не изменялись при предполагаемом добавлении. Эти композиции могут быть представлены в различных формах, в частности, для того, чтобы обеспечить нанесение композиции в распыленной форме, или в форме пены, во флаконах с насосом или в аэрозольных баллончиках. Такие формы упаковки используют, например, когда хотят получить спрэй, лак или пену для фиксации или лечения волос. Композиции согласно изобретению могут также находиться в форме кремов, гелей, эмульсий, лосьонов или восков. Когда с целью получения лака или пены композицию согласно изобретению упаковывают в форме аэрозоля, она содержит по меньшей мере один пропеллент, который может быть выбран среди летучих углеводородов, таких как н-бутан, пропан, изобутан, пентан, хлорированный и/или фторированный углеводород и их смеси. В качестве пропеллента можно также использовать углекислый газ, закись азота, простой диметиловый эфир (ДМЭ), азот, сжатый воздух. Можно также использовать смеси пропеллентов. Предпочтительно используют простой диметиловый эфир. Предпочтительно пропеллент присутствует в концентрации от 5 до 90 мас.% по отношению к общей массе композиции в аэрозольном устройстве, и, в частности, в концентрации от 10 до 60 мас.%. Композиции согласно изобретению могут быть нанесены на сухие или влажные волосы. Теперь изобретение будет более полно проиллюстрировано при помощи следующего примера, не носящего ограничительного характера. Все процентные содержания представляют собой относительные массовые процентные содержания по отношению к общей массе композиции, и а.в. обозначает активное вещество. Используют полимеры, указанные ниже: Avalure AC 315 – акриловый полимер, поставляемый фирмой Goodrich; Amphomer – амфотерный сополимер октилакриламида, акрилатов и бутиламиноэтилметакрилата, поставляемый фирмой NATIONAL STARCH; Luvitec VPI 55K72 – катионный сополимер винилпирролидона и винилимидазола, поставляемый фирмой BASF; Полимер Х – анионный сополимер кротоновой кислоты, винилацетата и винил-трет-бутилата; VS80 – анионный полимер с полисилоксановым скелетом, привитый мономерами, не содержащими кремния. ПРИМЕР Готовят 5 композиций для укладки волос, содержащие в качестве полимера (A) Avalure AC 315. Одна из композиций для укладки соответствует известному уровню техники и содержит в качестве пленкообразующего полимера (В) этилцеллюлозу. Другие 4 композиции для укладки соответствуют настоящему изобретению и содержат амфотерный, анионный или катионный пленкообразующий полимер. В табл. 1 представлены приготовленные составы. Мягкость и легкость расчесывания волос после нанесения этих композиций на волосы оценивает комиссия из 5 человек посредством осязательного теста. Присуждаемые оценки изменяются в диапазоне от 0 (плохая характеристика) до 50 (отличная характеристика). Оцениваемая расчесываемость представляет собой легкость повторного прохождения расчески после первого расчесывания, чтобы разорвать спайки полимер-волос. Полученные результаты собраны в табл. 2. Из этого следует, что композиции согласно настоящему изобретению обеспечивают определенно лучшие характеристики в том, что касается мягкости и расчесываемости, чем композиции, содержащие сочетание полимеров в соответствии с известным уровнем техники. Формула изобретения
r) больше или равным 300%; (б) коэффициентом восстановления через 300 с (R300) больше или равным 45%; и (в) когда коэффициент восстановления через 300 с составляет от 45 до 60%, тогда удлинение меньше 1300%; (2) по меньшей мере один пленкообразующий полимер (В), отличный от полимера (А) и выбираемый среди: (а) анионных полимеров, таких, как: полимеры, содержащие карбоксильные звенья, происходящие из мономеров ненасыщенных моно- или дикарбоновых кислот формулы![]() в которой n обозначает целое число от 0 до 10; А обозначает метиленовую группу, в известных случаях связанную с атомом углерода ненасыщенной группы или с соседней метиленовой группой, когда n больше 1, посредством гетероатома, такого, как кислород или сера; R7 обозначает атом водорода, фенил или бензил; R8 обозначает атом водорода, низшую алкильную группу или карбоксильную группу; R9 обозначает атом водорода, низшую алкильную группу, радикал -CH2-COOH, фенил или бензил; полимеры, содержащие звенья, происходящие из сульфокислоты, такие, как винилсульфоновые, стирольфоновые, акриламидоалкилсульфоновые звенья; (б) амфотерных полимеров, таких, как полимеры, содержащие звенья, происходящие из: (а) по меньшей мере одного мономера, выбираемого среди акриламидов или метакриламидов, замещенных по атому азота алкильным радикалом, б) по меньшей мере одного кислотного сомономера, содержащего одну или несколько реакционноспособных карбоксильных групп, и в) по меньшей мере одного основного сомономера, такого, как сложные эфиры акриловой и метакриловой кислот, содержащие в качестве заместителей первичные, вторичные, третичные или четвертичные аминогруппы, и продукт кватернизации диметиламиноэтилметакрилата диметилсульфатом или диэтилсульфатом; (в) катионных полимеров, таких, как: сополимер акриламида и диметиламиноэтилметакриалата, кватернизованный диметилсульфатом, сополимеры акриламида и метакрилоилоксиэтилтриметиламмонийхлорида, сополимер акриламида и метосульфата метакрилоилоксиэтилтриметиламмония, сополимеры винилпирролидона и диалкиламиноалкилакрилата или диалкиламиноалкилметакрилата, кватернизованные или некватернизованные, тройные сополимеры диметиламиноэтилметакрилата, винилкапролактама и винилпирролидона и квартернизованный сополимер винилпирролидона и диметиламинопропилметакриламида. 2. Композиция по п.1, отличающаяся тем, что пленкообразующий анионный полимер (В) выбирают среди: сополимеров акриловой кислоты, таких, как тройной сополимер акриловой кислоты, этилакрилата и N-трет-бутилакриламида; сополимеров на основе кротоновой кислоты, таких, как тройные сополимеры винилацетата, трет-бутилвинилбензоата и кротоновой кислоты и тройные сополимеры кротоновой кислоты, винилацетата и винилнеододеканоата; сополимеров, полученных на основе малеиновой, фумаровой и итаконовой кислот или их ангидридов и сложных виниловых эфиров, простых виниловых эфиров, винилгалогенидов, фенилвиниловых производных, акриловой кислоты и ее сложных эфиров, таких, как моноэтерифицированные сополимеры простого метилвинилового эфира и малеинового ангидрида; сополимеров метакриловой кислоты и метилметакрилата; сополимера метакриловой кислоты и этилакрилата; сополимера винилацетата и кротоновой кислоты; тройного сополимера винилацетата, кротоновой кислоты и полиэтиленгликоля. 3. Композиция по п. 1, отличающаяся тем, что полимер (В) представляет собой анионный полимер типа привитого силикона, содержащего полисилоксановую часть и часть, образованную органической цепью, не содержащей кремния, при этом одна из двух частей образует основную цепь полимера, а другая привита на вышеупомянутую основную цепь. 4. Композиция по п.1, отличающаяся тем, что пленкообразующий полимер (В) представляет собой функционализированный полиуретан, кремнийсодержащий или не содержащий кремния. 5. Композиция по любому из предыдущих пунктов, отличающаяся тем, что она дополнительно содержит обычные косметические добавки, выбираемые в группе, состоящей из жиров, загустителей, смягчающих средств, веществ, препятствующих пенообразованию, увлажняющих компонентов, антиперспирантов, подщелачивающих агентов, красителей, пигментов, отдушек, консервантов, поверхностно-активных веществ, протеинов, витаминов, солнцезащитных фильтров, полимеров, не обладающих фиксирующими свойствами. 6. Композиция по любому из пп.1-5, отличающаяся тем, что ее используют для изготовления косметического средства для волос, предназначенного для сохранения и/или фиксации прически. 7. Аэрозольное устройство, состоящее из резервуара, содержащего композицию по любому из предыдущих пунктов и газ-пропеллент, и приспособления для распределения композиции. 8. Способ сохранения прически или придания прическе формы, отличающийся тем, что используют композицию по любому из пп.1-5. РИСУНКИ
MM4A – Досрочное прекращение действия патента СССР или патента Российской Федерации на изобретение из-за неуплаты в установленный срок пошлины за поддержание патента в силе
Дата прекращения действия патента: 19.11.2007
Извещение опубликовано: 20.07.2010 БИ: 20/2010
|
||||||||||||||||||||||||||

r) больше или равным 300%; (б) коэффициентом восстановления через 300 с (R300) больше или равным 45%; и (в) когда коэффициент восстановления через 300 с составляет от 45 до 60%, тогда удлинение меньше 1300%; (2) по меньшей мере один пленкообразующий полимер (В), отличный от полимера (А) и выбираемый среди анионных, катионных или амфотерных пленкообразующих полимеров. Изобретение касается также способа укладки волос или сохранения прически при помощи этой композиции, применения композиции в составе средств для укладки волос, таких, как лаки, спреи или пены, предназначенных для сохранения прически или придания ей формы, а также аэрозольного устройства, содержащего вышеуказанную композицию. Технический результат: композиция позволяет осуществлять длительную фиксацию волос, придавая волосам хорошую расчесываемость, мягкость и приятный внешний вид. 3 с. и 5 з.п. ф-лы, 2 табл.
и V29
2oС) и при относительной влажности 50
100



-циклической или
-циклической карбоновой кислоты. Такие полимеры описаны кроме того во французских патентах 1222944, 1580545, 2265782, 2265781, 1564110 и 2439798. Промышленными продуктами, входящими в этот класс, являются смолы 28-29-30, 26-13-14 и 28-13-10, выпускаемые фирмой NATIONAL STARCH.
Г) Сополимеры на основе мононенасыщенных (С4-С8)-карбоновых кислот или ангидридов, выбираемые среди:










