Патент на изобретение №2183448
|
||||||||||||||||||||||||||
(54) КОСМЕТИЧЕСКИЕ КОМПОЗИЦИИ ДЛЯ МЫТЬЯ ИЛИ УХОДА ЗА КЕРАТИНОВЫМИ ВЕЩЕСТВАМИ, СОДЕРЖАЩИЕ БЛОК-СОПОЛИМЕР АМИНИРОВАННОГО ПОЛИОКСИАЛКИЛЕНИРОВАННОГО СИЛИКОНА И КОНДИЦИОНИРУЮЩИЙ АГЕНТ, И ИХ ПРИМЕНЕНИЕ
(57) Реферат: Изобретение относится к новым косметическим композициям. Композиция содержит в косметически приемлемой среде по меньшей мере один кондиционирующий агент, выбранный из числа поли-альфа-олефинов, фторированных масел, фторированных восков, фторированных смол, эфиров карбоновых кислот, катионных полимеров, силиконов, не растворимых в данной среде, масел минерального, растительного или животного происхождения, а также содержит по меньшей мере один полиоксиалкиленированный аминированный силикон типа (АВ)n, где А обозначает полисилоксановый блок, а В обозначает полиоксиалкиленированный блок, содержащий по меньшей мере одну аминогруппу. Композиция обладает косметическими свойствами (в смысле гладкости, мягкости наощупь) при мытье и уходе за волосами. 2 с. и 21 з.п. ф-лы, 4 табл. Изобретение относится к новым косметическим композициям, содержащим в косметически приемлемой среде по меньшей мере один кондиционирующий агент, выбранный из числа поли- -олефинов, фторированных масел, фторированных восков, фторированных резин, сложных эфиров карбоновых кислот, содержащих по меньшей мере 10 атомов углерода, катионных полимеров, силиконов, не растворимых в указанной среде, минеральных масел и масел растительного и животного происхождения, а также содержащим по меньшей мере один аминированный полиоксиалкиленированный силикон типа (АВ)n, где А является полисилоксановым блоком, а В является полиоксиалкиленированным блоком, содержащим по меньшей мере одну аминогруппу.
Хорошо известен факт, что волосы испытывают на себе сенсибилизирующий эффект (то-есть повреждаются и/или истончаются) в различной степени под действием различных атмосферных факторов и при воздействии различных механических или химических обработок, таких как окрашивание волос, обесцвечивание волос и/или завивки типа “перманент”. Таким волосам не хватает мягкости и их часто трудно расчесать или уложить в прическу.
В прошлом уже было предложено использовать кондиционирующие агенты, такие как катионовые полимеры или силиконы, в косметических композициях, предназначенных для мытья или ухода за кератинсодержащими волокнами, такими как волосы, чтобы облегчить расчесывание волос и придать им мягкость и эластичность. К сожалению, когда волосы высушены, вышеуказанные косметические преимущества сопряжены с некоторыми нежелательными побочными косметическими эффектами, такими как утяжеление прически (то есть волосы утратили свою легкость), недостаточная гладкость прически (вследствие того, что волос неоднороден в направлении от его корня к кончику) и недостаточный блеск волос.
Кроме того, применение катионных полимеров для указанной цели имеет целый ряд неудобств. Ввиду их большого сродства с волосами, некоторые из этих полимеров при их многократном использовании осаждаются на волосах и производят нежелательные косметические эффекты: волосы становятся неприятными на ощупь, утяжеленными, грубыми и неэластичными, между волосами возникают “спайки”, препятствующие укладке волос в прическу. Все вышеуказанные отрицательные явления еще более усиливаются в случае тонких волос, которым и без того не хватает тонуса и объема.
В прошлом было также предложено (FR-A-2709954 и FR-A-2709955) для улучшения кондиционирующих свойств продуктов для волос использовать для ухода за волосами косметические композиции, содержащие сочетание катионного или амфотерного полимера и неионного полиоксиалкиленированного силикона типа (АВ)n, в котором А является полисилоксановым блоком, а В является полиоксиалкиленированным блоком. К сожалению, указанные композиции не вполне удовлетворяют ожиданиям и не придают волосам желаемой гладкости и шелковистости. Более того, при их многократном применении волосы утяжеляютсяВ заключение можно резюмировать, что ныне существующие косметические композиции, содержащие кондиционирующие агенты, не в полной мере удовлетворяют предъявляемым требованиям. Заявитель обнаружил такое сочетание особого аминированного силикона с некоторыми кондиционирующими агентами, которое позволяет создать желаемый синергетический эффект и тем самым устранить вышеперечисленные отрицательные эффекты. Итак, в результате обширных исследований, проведенных заявителем, было установлено, что посредством введения аминированного полиоксиалкиленированного силикона типа (АВ)n, в котором А является полисилоксановым блоком, а В является полиоксиалкиленированным блоком, содержащим по меньшей мере одну аминовую группу, в существующие косметические композиции на основе кондиционирующих агентов, в частности композиции для волос, для того, чтобы уменьшить (и даже совсем преодолеть) трудности и неудобства, связанные обычно с применением таких композиций, таких как утяжеление волос, отсутствие гладкости и шелковистости волос, сохраняя при этом все прочие косметические преимущества, достигаемые при применении указанных композиций на основе кондиционирующих агентов. Эта комбинация придает значительно лучшие косметические свойства по сравнению с теми, которые можно получить при раздельном использовании одного или второго из этих составляющих. Кроме того, композиции согласно предлагаемому изобретению, если их наносить на кожу в виде пенящейся ванны или геля для душа, улучшают гладкость и мягкость кожи. Итак, в соответствии с предлагаемым изобретением предложены новые косметические композиции, содержащие в косметически приемлемой среде по меньшей мере один аминированный полиоксиалкиленированный силикон типа (АВ)n, в котором А является полисилоксановым блоком, а В является полиоксиалкиленированным блоком, содержащим по меньшей мере одну аминогруппу, а также содержащие по меньшей мере один кондиционирующий агент, выбранный из числа поли-альфа-олефинов, фторированных масел, фторированных восков, фторированных смол, эфиров карбоновых кислот, содержащих по меньшей мере 10 атомов углерода, катионных полимеров, силиконов, не растворимых в среде, и масел минерального, растительного или животного происхождения. Другой целью настоящего изобретения является способ обработки кератиновых материалов, таких как волосы, отличающийся тем, что он состоит в нанесении на указанные материалы предлагаемых косметических композиций. Ниже будут определены и другие объекты предлагаемого изобретения. Определения и значения соединений, используемых в рамках настоящего изобретения, сохраняют силу для достижения всех целей изобретения. Аминированные полиоксиалкиленированные силиконы типа (АВ)n, в которых А является полисилоксановым блоком, а В является полиоксиалкиленированным блоком, содержащим по меньшей мере одну аминогруппу, могут состоять из повторяющихся звеньев, описываемых следующей формулой: [SiMe2-O-(SiMe2O)xSiMe2-R-N(H)-R’-O-(C2H4O)а-(O3Н6О)b-R’-N(H)-R-] (I), в которой a является целым числом, большим или равным 1, предпочтительно от 5 до 200, а еще более предпочтительно от 5 до 100, b является целым числом от 0 до 200, предпочтительно от 4 до 200, а еще более предпочтительно от 5 до 100, R, одинаковые или разные, представляют собой органическую двухвалентную группу, связанную с соседним атомом кремния углеродно-кремниевой связью и связанную с атомом азота, R’, одинаковые или разные, представляют собой органическую двухвалентную группу, связанную с соседним атомом кислорода углеродно-кислородной связью и связанную с атомом азота. Предпочтительно R является углеводородным C2–12 радикалом, возможно содержащим один или несколько гетероатомов, например атом кислорода. В частности, R обозначает этилен, линейный или разветвленный пропилен, линейный или разветвленный бутилен или -СН2СН2СН2ОСН(ОН)СН2-. R’ является углеводородным C2-12 радикалом, возможно содержащим один или несколько гетероатомов, например атом кислорода. В частности, R’ обозначает двухвалентный радикал алкилен, такой как, например, этилен, линейный или разветвленный пропилен или линейный или разветвленный бутилен. Обычно силоксановые блоки присутствуют в количестве 50-95 молярных %, предпочтительно в количестве 70-85 мол.%, от общего веса силикона. Амин обычно присутствует в количестве от 0,02 до 0,5 миллиэквивалентов грамм сополимера (meg/g), предпочтительно от 0,05 до 0,2, в 30%-ном растворе дипропилен гликоля. Силикон имеет средний молекулярный вес предпочтительно от 5000 до 1000000, а еще более предпочтительно от 10000 до 200000. Блок-сополимеры, используемые в предлагаемом изобретении, получены традиционными способами хорошо известными специалисту, например, посредством реакции диэпоксид- – -силикона или дихлор- – -силикона с полиоксиалкилен- – -диамином.
Полученный таким образом аминированный полиоксиалкиленированный силикон предпочтительно используется в количестве от 0,01 до 20 вес.% от общего веса композиции. Более предпочтительно, это количество составляет от 0,1 до 15 вес.%, а еще более предпочтительно от 0,5 до 10 вес.%.
Кондиционирующие агенты могут быть использованы в жидком, полутвердом или твердом виде, например в виде масел, восков и смол.
Согласно предлагаемому изобретению можно выбирать кондиционирующие агенты среди следующих соединений: поли- -олефины, фторированные масла, фторированные воски, фторированные смолы, сложные эфиры карбоновых кислот, содержащих по меньшей мере 10 атомов углерода, катионовые полимеры; силиконы, не растворимые в используемой среде, масла минерального, растительного или животного происхождения и смеси вышеуказанных веществ. Для осуществления целей настоящего изобретения предпочтительно использовать поли- -олефины, катионные полимеры и силиконы, не растворимые в используемой среде.
Используемыми поли- -олефинами являются, в частности, следующие:поли- -олефины типа полибутена, гидрированные или негидрированные, предпочтительно гидрированный или негидрированный полиизобутен. Предпочтительно рекомендуется использовать олигомеры изобутилена с молекулярным весом менее 1000 и их смеси с полиизобутиленами, имеющими молекулярный вес свыше 1000, предпочтительно от 1000 до 15000.
В качестве поли- -олефинов, пригодных для осуществления целей настоящего изобретения, можно, в частности, назвать продукты, реализуемые под торговыми названиями ПЕРМЕТИЛ 99 А, 101 А, 102 А, 104 А (п=16) и 106 А (п=38) (Фирма-изготовитель ПРЕСПЕРС Инкорпорейтед) или продукты серии АРЛАМОЛЬ ХД (п=3) фирмы Ай-Си-Ай (индекс п означает степень полимеризации).
поли- -олефины типа полидецена, гидрированные или нет. Такие продукты имеются на рынке и известны, например, как продукты серии ЭТИЛФЛО (Фирма-изготовитель ЭТИЛ Корпорейшн) и продукты серии АРЛАМОЛЬ ПАО (Фирма Ай-Си-Ай).
Предпочтительно использовать эфиры карбоновых кислот, не растворимые в воде при концентрации 0,1% по весу при температуре 25oС. Общее число атомов углерода в этих сложных эфирах превышает или равно 10, предпочтительно ниже 100, а еще более предпочтительно ниже 80. Предпочтительно эти эфиры не обладают поверхностно-активными свойствами. Указанные эфиры кислот могут быть моно-, ди-, три- или тетракарбоновыми.
Для настоящего изобретения особенно предпочтительны сложные эфиры кислот, которые являются жидкими при температурах ниже или равных 30oС.
Более конкретно, сложные эфиры монокарбоновых кислот являются сложными моноэфирами алифатических C1-26 кислот, насыщенных или ненасыщенных, линейных или разветвленных, а также алифатических C1-26 спиртов, насыщенных или ненасыщенных, линейных или разветвленных, причем общее число атомов углерода в сложных эфирах больше или равно 10.
Из числа сложных моноэфиров можно назвать бегенат дигидроабиэтила, бегенат октилдодецила, бегенат изоцетила, лактат цетила, C12-15 алкил лактат, изостериал лактат, лаурил лактат, ленолеил лактат, олеил лактат, (изо) стеарил октаноат, изоцетил октаноат, октил октаноат, цетил октаноат, децил олеат, изоцетил изостеарат, изоцетил лаурат, изоцетил стеарат, изодецил октаноат, изодецил олеат, изононил изонаноат, изопропил миристат, изостеарил пальмитат, метил ацетил рицинолеат, миристил стеарат, октил изонаноат, 2-этилгексил изононат, октил пальмитат, октил пеларгонат, октил стеарат, октилдодецил эрукат, октилдодецил миристат, олеил эрукат, этил пальмитат, изопропил пальмитат, этил-2-гексил пальмитат, 2-октилдецил пальмитат, алкил миристаты, такие как изопропил миристат, бутил миристат, цетил миристат, 2-октилдодецил миристат, гексил стеарат, бутил стеарат, изобутил стеарат, диоктил малят, гексил лаурат, 2-гексилдецил лаурат.
Можно также использовать эфиры ди- или трикарбоновых С4-22 кислот и C1-22 спиртов, а также эфиры моно-, ди- и трикарбоновых кислот и 2-26 ди-, три-, тетра- или пентагидроксиспиртов.
Более конкретно можно назвать диэтил себакат, диизопропил себакат, диизопропил адипат, ди-п-пропил адипат, диоктил адипат, диизостеарил адипат, диоктил малеат, глицерил ундециленат, октилдодецил стеароил стеарат, пента-эритритил монорицинолеат, пентаэритритил тетраизостеарат, пентаэритритил тетраоктаноат, пропиленгликоль дикапрат дикаприлят, тридецил эрукат, триизопропил цитрат, триизостеарил цитрат, глицерил трилактат, глицерил триоктаноат, триоктилдодецил цитрат, триолеил цитрат.
Из числа вышеперечисленных сложных эфиров предпочтительно использовать этил и изопропил пальмитаты, этил-2-гексил пальмитат, 2-октилдецил пальмитат, алкил миристаты, такие как изопропил миристат, бутил миристат, цетил миристат, 2-октил-додецил миристат, гексил стеарат, бутил стеарат, изобутил стеарат, диоктил малят, гексил лаурат, 2-гексилдецил лаурат, изононил изонанонат, цетил октаноат.
Что касается фторированных масел, фторированных восков, фторированных смол, то в качестве примера можно привести простые перфторполиэфиры, описанные в заявке ЕР-А-486135, а также фторуглеводородные соединения, описанные в заявке WO 93/11103. Ссылки на эти две заявки включены в текст настоящей заявки в качестве ссылки.
Термин “фторуглеводородные соединения” в рамках предлагаемого изобретения обозначает соединения, химическая структура которых включает в себя углеродный скелет, в котором некоторые из атомов водорода замещены атомами фтора.
Фторированные масла также могут быть фторкарбидами, такими как фторамины, например перфтортрибутиламин, фторированными углеводородами, например перфтордекагидронафталином, простыми и сложными фторзамещенными эфирами.
Простые перфторполиэфиры выпускаются, например, под названиями ФОМБЛИН (Фирма-изготовитель МОНТЕФЛЮОС) и КРИТОКС (Фирма Дюпон).
Из числа фторуглеводородных соединений можно также назвать сложные эфиры жирных фторированных кислот, которые выпускаются под названием НОФАБЛЬ ФО (Фирма НИППОН ОЙЛ).
Масла, которые можно использовать для осуществления предлагаемого изобретения, предпочтительно выбирают из следующей группы:масла растительного и животного происхождения, образованные эфирами жирных кислот и многоатомных спиртов, в частности жидкими триглицеридами, например, в виде подсолнечного масла, кукурузного масла, соевого масла, масла авокадо, масла жожоба, тыквенного масла, масла из зернышек винограда, кунжутного масла, масла лесного ореха, рыбьего жира, трикапрокаприлата глицерина, а также в форме растительных или животных жиров формулы R9COOR10, в которой R9 обозначает остаток высшей жирной C7-29 кислоты, a R10 обозначает С3-30 углеводородную цепь, линейную или разветвленную, в алкил или алкенил, которые представлены в масле Пюрселлена и в жидком воске жожоба, натуральные или синтетические эфирные масла, такие как, например, эвкалиптовое масло, лавандовое масло, лавандиновое масло, масла растения “бородач” (vetivier), масла растения Litsea cubeb, лимонного масла, сандалового масла, розмаринового масла, ромашкового масла, масла садового чабера, масла мускатного ореха, коричного масла, масла иссопа, тминного масла, апельсинового масла, масла герани, масла красного можжевельника и масла бергамота, углеводороды, такие как гексадекан и парафиновое масло, эфиры минеральной кислоты и спирта. Кондиционирующие агенты типа катионных полимеров, пригодные для использования в рамках предлагаемого изобретения, могут быть выбраны среди всех тех, которые уже сами по себе известны в предыдущем уровне техники и которые предназначены для улучшения косметических свойств волос, обработанных моющими композициями, в частности, описанных в заявке ЕР-А-0337354 и в заявках FR-A-2270846, 2383660, 2598611, 2470596 и 2219863. В более общем плане согласно изобретению термин “катионный полимер” обозначает любой полимер, содержащий катионные группы и/или группы, которые, могут быть ионизированы в катионные группы. Предпочтительными катионными полимерами являются такие, которые выбраны из числа полимеров, содержащих звенья, включающие в себя первичные, вторичные, третичные и/или четвертичные аминогруппы, которые могут либо являться частью основной цепи полимера, либо могут быть прикреплены к боковому заместителю, непосредственно связанному с этой основной цепью полимера. Катионные полимеры, используемые для осуществления целей настоящего изобретения, обычно имеют средний молекулярный вес от примерно 500 до 5 106, предпочтительно от примерно 103 до 3 106.
Из числа рекомендуемых катионных полимеров можно, в частности, назвать полимеры класса полиаминов, полиаминамидов и четвертичного полиаммония. Все они известны в предыдущем уровне техники.
Полимеры классов полиаминов, полиамидоамидов и четвертичного аммония, пригодные для использования в рамках настоящего изобретения, уже исчерпывающе описаны в патенте FR 2505348 и FR 2542997.
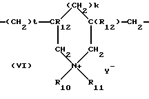
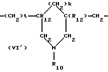
Из числа этих полимеров можно назвать следующие:1) Сополимеры винилпирролидон акрилата или метакрилата диалкиламиноалкила, контернированные или нет. Такие сополимеры выпускаются под названием ГАФКВАТ (например, ГАФКВАТ 734, 755 или Н 100 (производитель Ай-Эс-Пи) или продукт СОПОЛИМЕР 937. Эти полимеры подробно описаны в патентах FR 2077143 и FR 2393573. 2) Производные простых эфиров целлюлозы, содержащие группы четвертичного аммония и описанные в патенте FR 1492597. В частности, это полимеры, выпускаемые как продукты серии “JR” (JR 400, JR 125, JR 33М) или серии “LR” (LR 400, LR 30М) фирмой Юнион Карбайд Корпорейшн. В словаре CTFA эти полимеры определены как “четвертичные аммонии гидроксиэтилцеллюлозы, которые прореагировали с эпоксидом, замещенным с триметиламмониевой группой”. 3) Катионные производные целлюлозы, такие как сополимеры целлюлозы или производные целлюлозы, привитые водорастворимым мономером четвертичного аммония. Эти производные описаны в патенте США 4131576. К ним относятся гидроксиалкил целлюлозы, такие как гидроксиметил-, гидроксиэтил- или гидроксипропил целлюлозы, привитые к соли метакрилоилэтил триметиламмония, соли метакриламидопропил триметиламмония или соли диметил диаллиламмония. Этому определению, в частности, соответствуют продукты серии СЕЛЬКВАТ L 200 или серии СЕЛЬКВАТ Н 100 фирмы Нейшнл Старч. 4) Катионные полисахариды, описанные, в частности, в патентах США 3589578 и 4031307. Сюда относятся, например, гуаровые смолы, содержащие катионные группы триалкиламмония. Такие гуаровые смолы можно использовать в модифицированной форме, например, после модифицирования их солью (например, хлоридом) 2,3-эпоксипропил триметиламмония. Указанные продукты имеются на рынке и известны как продукты ЯГУАР С13, ЯГУАР С15, ЯГУАР С17 или ЯГУАР С162 (изготовитель – фирма МЕЙХОЛЛ). 5) Полимеры, состоящие из звеньев пиперазинила и двухвалентных алкиленовых или гидроксиалкиленовых радикалов, имеющих прямые или разветвленные цепи, возможно прерване атомами кислорода, серы азота или ароматическими или гетероциклическими циклами. Сюда же относятся продукты окисления и/или кватернизации этих полимеров. Эти полимеры описаны, в частности, в патентах FR 2162025 и 2280361. 6) Водорастворимые полиаминоамиды, полученные более конкретно посредством поликонденсации кислого соединения с полиамином. В таких соединениях можно создать ретикулированную (сетчатую) структуру с помощью добавок следующих соединений: эпигалогидрин, диэпоксид, диангидрид, ненасыщенный диангидрид, бис-ненасыщенное производное, бис-галогидрин, бис-азетидиний, бис-галоацилдиамин, бис-галогенид алкила или же олигомер, образующийся вследствие реакции между бифункциональным соединением, и реакционоспособным по отношению к бис-галогидрину, бис-азетидинию, бис-галоацилдиамину, бис-галогениду алкила, эпигалогидрину, диэпоксиду или бис-ненасыщенному производному. При этом ретикулирующий агент (т.е. агент, создающий сетчатую структуру) может быть использован в соотношении от 0,025 до 0,35 моль в расчете на одну аминогруппу полиаминоамида. Эти полиаминоамиды могут быть алкилированными и – если они содержат одну или несколько третичных аминовых функций – кватернированны. Эти полимеры описаны в патентах FR 2252840 и 2368508. 7) Производные полиаминоамидов, полученные в результате конденсации полиалкиленированных полиаминов с поликарбоновыми кислотами с последующим алкилированием с помощью бифункциональных агентов. В качестве примера можно назвать полимеры адипиновой кислоты и диалкиламиногидроксиалкилдиалоилен триамина, в которых алкильный радикал содержит от 1 до 4 атомов углерода и обозначает предпочтительно метил, этил и пропил. Эти полимеры описаны, в частности, в патенте FR 1583363. Из числа таких производных можно, в частности, назвать полимеры адипиновой кислоты и диметиламиногидроксипропил (диэтилен триамина), которые в форме продукта КАРТАРЕТИН F, F4 или F8 реализуются на рынке фирмой САНДОЗ. 8) Полимеры, полученные взаимодействием полиалкилен полиамина, содержащего две первичные аминогруппы и по меньшей мере одну вторичную аминогруппу, с дикарбоновой кислотой, выбранной из числа дигликолевой кислоты и насыщенных алифатических дикарбоновых С3-8 кислот. При этом молярное отношение полиалкилен полиамина к дикарбоновой кислоте находится в пределах от 0,8:1 до 1,4:1. Полиаминоамид, полученный в результате этой реакции, вводили во взаимодействие с эпихлоргидрином, причем последний брали в молярном отношении к вторичной аминовой группе полиаминоамида от 0,5:1 до 1,8:1. Такие полимеры описаны в патентах США 3227615 и 2961347. Полимеры этого типа выпускаются, в частности, фирмой ГЕРКУЛЕС Инкорпорейтед под названием ГЕРКОСЕТТ 57 РД 170 или ДЕЛЬСЕТТ 101, причем последний продукт представляет собой сополимер адипиновой кислоты и эпоксипропил/диэтилен триамина. 9) Циклополимеры метил диаллил амина или диметил диаллил аммония, такие как гомополимеры или сополимеры, в которых основным компонентом является цепь, состоящая из звеньев, описываемых формулами (VI) или (VII): ![]() ![]() в которых k и t равны 0 или 1, причем сумма k+t=1. R12 обозначает атом водорода или метил; R10 и R11 независимо друг от друга обозначают C1-22 алкил, гидроксиалкил, в котором алкильная группа предпочтительно имеет 1-5 атомов углерода, и низший амидоалкил, или R10 и R11, вместе с атомом азота, с которым они связаны, могут означать гетероциклические группы, такие как пиперидинил или морфолинил; у– является анионом, таким как бромид, хлорид, ацетат, борат, цитрат, тартрат, бисульфат, бисульфит, сульфат, фосфат. Эти полимеры описаны в патенте FR 2080759 и дополнительном свидетельстве к нему 2190406. Из числа вышеуказанных полимеров можно, в частности, назвать гомополимер хлористого диметил диаллил аммония, выпускаемый под названием МЕРКВАТ 100 фирмой МЕРК, а также его гомологи малого молекулярного веса. 10) Полимер четвертичного аммония, содержащий повторяющиеся звенья, описываемые формулой (VII) ![]() в которой R13, R14, R15 и R16, одинаковые или разные, представляют собой алифатические, алициклические или арилалифатические радикалы, содержащие от 1 до 20 атомов углерода, или низшие гидроксиалкилалифатические радикалы, или же R13, R14, R15 и R16, вместе или в отдельности, образуют вместе с атомами азота, с которыми они связаны, гетероциклы, возможно содержащие второй гетероатом, отличный от атома азота, или 13, R14, R15 и R16 представляют собой C1-6 алкил, линейный или разветвленный, замещенный нитрильной группой, сложноэфирной группой, ацилом, амидом или группами -СО-О-R17-D или -CO-NH-R17-D, в которых R17 является алкиленом, a D представляет собой группу четвертичного аммония, AI и BI представляют собой полиметиленовые группы, содержащие от 2 до 20 атомов углерода, могущие быть линейными или разветвленными, насыщенными или ненасыщенными и способные содержать в виде вставок или связанными с основной цепью один или несколько ароматических циклов, или один или несколько атомов кислорода, серы или группы сульфоксидные, сульфоновые, бисульфидные, аминовые, алкиламиновые, гидроксильные, четвертичного аммония, уреидо, амидные или сложноэфирные. X1 обозначает анион, производный от органической или неорганической кислоты, A1, R13 и R15 могут образовывать вместе с двумя атомами азота, с которыми они связаны, пиперазиновый цикл. Кроме того, если I обозначает алкиленовый или гидроксиалкиленовый радикал, линейный или разветвленный, насыщенный или ненасыщенный, тогда BI может быть также обозначать группу (СН2)n-CO-D-OC-(CH2)n– в которой D обозначает следующее: а) остаток гликоля формулы -O-Z-O-, в которой Z обозначает линейный или разветвленный углеводородный радикал или группу, описываемую одной из следующих формул: -(СН2-СН2-О)x-СН2-СН2– -(СН2-СН(СН3)-О)у-СН2-СН(СН3)-, в которых x и у обозначают целое число от 1 до 4 в том случае, если они отражают строго конкретную степень полимеризации, или они обозначают любое число от 1 до 4, если они отражают среднюю степень полимеризации, b) остаток бис-вторичного диамина, такого как производного пиперазина, c) остаток бис-первичного диамина формулы -NH-Y-NH-, в которой Y представляет собой линейный или разветвленный углеводородный радикал или двухвалентный радикал формулы -CH2-CH2-S-S-CH2-CH2-, d) уреиленовая группа формулы -NH-CO-NH-. Предпочтительно X– является анионом, таким как хлорид или бромид. Вышеописанные примеры имеют средний молекулярный вес обычно в пределах от 1000 до 100000. Полимеры этого типа описаны в патентах Франции 2320330, 2270846, 2316271, 2336434 и 2413907 и патентах США 2273780, 2375853, 2388614, 2454547, 3206462, 2261002, 2271378, 3874870, 4001432, 3929990, 3966904, 4005193, 4025617, 4025627, 4025653, 4026945 и 4027020. Согласно изобретению можно, в частности, использовать полимеры, выбранные из числа соединений формулы (VII), в которых R13, R14, R15 и R16 обозначают радикал метил, AI и BI обозначает радикал формулы -(СН2)3, B1 обозначает радикал формулы -(СН2)6, а X– обозначает хлоридный анион или соединение формулы (VII), в которой R13 и R14 обозначают радикал этил, R15 и R16 обозначают радикал метил, A1 и B1 обозначают радикал формулы -(СН2)3, а Х– обозначает бромидный анион. 11) Четвертичные полиаммониевые полимеры, состоящие из звеньев формулы (VIII): ![]() в которой R18, R19, R20 и R21, одинаковые или разные, представляют собой атом водорода, или радикал метил, этил пропил, бета-гидроксиэтил, бета-гидроксипропил или СН2СН2(ОСН2СН2)рОН, причем в этой формуле p равно 0 или целому числу от 1 до 6, при условии, что R18, R19, R20 И R21 не являются одновременно атомами водорода, r и S, одинаковые или разные, представляют собой целые числа от 1 до 6, q обозначает число, равное 0 или целому числу от 1 до 34, Х обозначает атом водорода, А обозначает радикал дигалогенид или группу, описываемую формулой -СН2-СН2-О-СН2-СН2-. Эти соединения описаны, в частности, в заявке ЕР-А-122324. Среди них можно, в частности, назвать продукты МИРАПОЛЬ А 15, МИРАПОЛЬ АД I, МИРАПОЛЬ А I и МИРАПОЛЬ 175, реализуемые фирмой МИРАНОЛЬ. 12) Гомополимеры или сополимеры – производные акриловой или метакриловой кислоты и содержащие звенья формулы ![]() ![]() в которой радикалы R22, независимо друг от друга, обозначают водород или СН3, группы A1 независимо друг от друга обозначают C1-6 алкил, линейный или разветвленный, или C1-4 гидроксиалкил, R23, R24 и R25, одинаковые или разные, обозначают независимо друг от друга C1-18 алкил или бензил, R26 и R27 обозначают атом водорода или C1-6 алкил, X2 – обозначает анион, например метосульфат, или галогенид, например хлорид или бромид. Один или несколько сомономеров, которые могут быть использованными для получения соответствующих сополимеров, принадлежит (жат) к числу акриламидов, метакриламидов, диацетонакриламидов, акриламидов и метакриламидов, в которых азот замещен низшими алкилами, сложными эфирами алкилов, акриловой или метакриловой кислот, винилпирролидоном или сложными виниловыми эфирами. 13) Четвертичные полимеры винилпирролидона и винилимидазола, такие как продукты, выпускаемые фирмой БАСФ под маркой ЛУВИКВАТ ФС 905, ФС 550 и ФС 370. 14) Полиамины, такие как продукт ПОЛИКВАРТ Н фирмы ХЕНКЕЛЬ (в словаре CTFA этот продукт определяется как “полиэтилен гликоль полиамин из твердого животного жира”). 15) Сшитые полимеры хлористого метакрилоилоксиэтил метиламмония, такие как полимеры, полученные гомополимеризацией диметиламиноэтил метакрилата, предварительно обработанного хлористым метилом, или сополимеризацией акриламида с диметиламиноэтил метакрилатом, обработанным хлористым метилом, причем за гомо- или сополимеризацией следует структурирование (ретикуляция) для образования поперечных связей с помощью олефинненасыщенного соединения, такого как, в частности метилен бис-акриламид. Можно, в частности, использовать сшитый сополимер акриламида и хлористого метакрилоилоксиэтил триметиламмония (20:80 по весу) в форме дисперсии, содержащей 50 вес.% указанного сополимера в минеральном масле. Эта дисперсия выпускается фирмой ЭЛЛАЙД КОЛЛОИДЗ как продукт SALCARE (САЛКАЙР) SC 92. Можно также использовать сшитый гомополимер хлористого метакрилоилоксиэтил триметиламмония, содержащий примерно 50 вес.% гомополимера в минеральном масле. Эта дисперсия выпускается фирмой ЭЛЛАЙД КОЛЛОИДЗ как продукт САЛКЭЙР SC 95. К другим катионным полимерам, которые могут быть использованы для достижения целей настоящего изобретения, относятся полиалкилен имины, в частности полиэтилен имины, полимеры, содержащие звенья винилпиридина или винилпиридиния, конденсаты полиаминов и эпихлоргидрина, четвертичные полиуреилены и производные хитина. К числу катионных полимеров, которые могут быть использованы в рамках настоящего изобретения, предпочтительно использовать четвертичные производные простого эфира целлюлозы, такие как продукты JR 400 фирмы ЮНИОН КАРБАЙД КОРПОРЕЙШН, циклополимеры, в частности полимеры или сополимеры хлористого диметил диаллил аммония и акриламида, выпускамые под названиями МЕРКВАТ 100, МЕРКВАТ 550 и МЕРКВАТ S фирмой МЕРК, катионные полисахариды, в частности гуаровая смола, модифицированная хлористым 2,3-эпоксипропил триметиламмонием (выпускается как продукт ЯГУАР CI3S фирмой МЕЙХОЛЛ). Силиконы, используемые в рамках настоящего изобретения, являются, в частности, полиорганосилоксанами, нерастворимыми в предлагаемой композиции. Эти полиорганосилоксаны могут быть в форме масел, восков, смол или резин. Более подробно о полиорганосилоксанах можно прочитать в монографии Уолтера НОЛЛА “Химия и технология силиконов”, 1968 г., издательство Академи Пресс. Эти соединения могут быть летучими и нелетучими. Если используются летучие полиорганосилоксаны, то предпочтительно их выбирают из числа соединений, имеющих точку кипения от 60 до 260oС, а более конкретно из числа: 1) циклических силиконов, содержащих 3-7 атомов кремния, предпочтительно 4-5 атомов кремния. Речь идет и, в частности, об октаметилциклотетра силоксане, выпускаемом как продукт ВОЛАТАЙЛ СИЛИКОН 7207 фирмой ЮНИОН КАРБАЙД или как продукт СИЛЬБИОН 70045 У 2 фирмой РОН ПУЛЕНК, о декаметилциклопентасилоксане, выпускаемом как продукт ВОЛАТАЙЛ СИЛИКОН 7158 фирмой ЮНИОН КАРБАЙД или как продукт СИЛЬБИОН 70045 У 5 фирмой РОН ПУЛЕНК, или о смесях указанных соединений. Можно также назвать циклополимеры типа диметилоксаны/метилалкилсилоксан, продаваемый на рынке как продукт СИЛИКОН ВОЛАТАЙЛ ФЗ 3109 фирмой ЮНИОН КАРБАЙД. Этот циклополимер имеет следующую структурную формулу. ![]() Можно также назвать смеси циклических силиконов с кремнийсодержащими органическими соединениями, такими как смеси октаметил циклотетрасилоксана и тетраметил силилпентаэритрола (50: 50) и октаметил циклотетрасилоксана с окси-1,11-(гекса-2,2,21, 3, 31-триметилсилилокси)бис-неоптаном. 2) из числа линейных летучих силиконов, содержащих от 2 до 9 атомов кремния и имеющих вязкость ниже или равную 5 10-6 м2/ceк при 25oС. В частности, речь идет о декаметилтетрасилоксане, выпускаемом как продукт SH 200 фирмой ТОРЭЙ СИЛИКОН. Силиконы этой категории также описаны в статье авторов ТОДД и БАЙЕРС “Летучие силиконовые текучие среды для косметики” в журнале “Косметикс энд Туалетриз” (том 91, январь 1976 г., стр.27-32). Предпочтительно для целей настоящего изобретения использовать нелетучие силиконы, в частности полиалкилсилоксаны, полиарилсилоксаны полиалкиларилсилоксаны, силиконовые смолы и резины, полиорганосилоксаны, модифицированные органофункциональными группами, и их смеси.
Более конкретно, силиконы выбирают из числа полиалкилсилоксанов, среди которых можно прежде всего назвать полидиметилсилоксаны с конечными триметилсилиловыми группами и вязкостью, равной 5 10-6 – 2,5 м2/с при 25oС, предпочтительно с вязкостью равной, 1 10-5 – 1 м2/с.
Из числа полиалкилсилоксанов можно назвать – ни в коей мере не ограничивая этот перечень – следующие промышленные продукты:масла серии СИЛЬБИОН 47 и 70047 и серии МИРАЗИЛЬ, выпускаемые фирмой РОН ПУЛЕНК, например масло 70047 У 500000, масла серии МИРАЗИЛЬ фирмы РОН ПУЛЕНК, масла серии 200 фирмы ДАУ КОРНИНГ, в частности масло марки DC 200, имеющее вязкость 60000 сантистокс (Cst), масла серии ВИСКАЗИЛЬ и некоторые масла серии SF (SF 96, SF 18) фирмы ДЖЕНЕРАЛ ЭЛЕКТРИК. Можно также назвать полидиметилсилоксаны с конечными диметилсиланольными группами (согласно определению, данному вышеприведенным словарем CTFA, они являются “диметиконолом”), такие как масла серии 48, производимые и реализуемые на рынке фирмой РОН ПУЛЕНК. Из полиалкилсилоксанов этой категории можно также назвать продукты серии АБИЛЬ ВАКС 9800 и 9801, выпускаемые фирмой ГОЛЬДШМИДТ и которые являются полиалкил C1-20 силоксанами. Используемые полиалкиларилсилоксаны предпочтительно выбираются из числа полидиметил метилфенилсилоксанов и полидиметил дифенилсилоксанов, которые являются линейными и/или разветвленными и которые имеют вязкость, равную 1 10-5 – 5 10-2 м2/с при температуре 25oС.
Из числа полиалкиларилсилоксанов можно в качестве примера назвать следующие промышленные продукты:масла серии СИЛЬБИОН 70641 фирмы РОН ПУЛЕНК, масла серий РОДОРСИЛЬ 70633 и 763 фирмы РОН ПУЛЕНК, масло ДАУ КОРНИНГ 556 КОСМЕТИК ГРЭЙД ФЛУИД фирмы ДАУ КОРНИНГ, продукт РК 20 (силиконы серии РК) фирмы БАЙЕР, продукты PN 1000 и РН 1000 фирмы БАЙЕР (силиконы серий PN, PH), некоторые масла серии SF фирмы ДЖЕНЕРАЛ ЭЛЕКТРИК, такие как SF 1023, SF 1154, SF 1250, SF 1265. Более конкретно, силиконовые смолы, используемые в рамках настоящего изобретения, являются полидиорганосилоксанами, имеющими средние молекулярные веса от 200000 до 1000000. Их можно использовать индивидуально или в смеси с растворителем. Такой растворитель выбирают из числа летучих силиконов, полидиметилсилоксановых (ПДМС) масел, полифенилметилсилоксановых (ПФМС) масел изопарафинов, полиизобутиленов, хлористого метилена, пентана, додекана, тридекана или их смесей. Более конкретно можно назвать следующие соединения: полидиметилсилоксан, полидиметилсилоксан/метилвинилсилоксановые смолы, полидиметилсилоксан/дифенилсилоксан, полидиметилсилоксан/фенилметилсилоксан, полидиметилсилоксан/дифенилсилоксан/метилвинилсилоксан. Наиболее предпочтительны для использования в рамках настоящего изобретения смеси, такие как: смеси, образованные из гидроксилированного полидиметилсилоксана “диметиконола” по номенклатуре словаря CTFA и циклического полидиметилсилоксана (“циклометикона” по номенклатуре CTFA). Примером такой смеси является продукт Q2 1401 фирмы ДАУ КОРНИНГ, смеси, приготовленные на основе полидиметилсилоксановой смолы и циклического силикона. Эта смесь выпускается в виде продукта SF 1214 СИЛИКОН ФЛУИД фирмой ДЖЕНЕРАЛ ЭЛЕКТРИК. Этот продукт соответствует диметикону, имеющему молекулярный средний вес 500000 и растворенному в масле марки SF 1202 СИЛИКОН ФЛУИД (это масло соответствует декаметилциклопентасилоксану), смеси двух ПДМС, имеющих различные величины вязкости. Более конкретно, это смеси смолы ПДМС с маслом ПДМС, такие как продукт SF 1236 фирмы ДЖЕНЕРАЛ ЭЛЕКТРИК. Сам по себе продукт SF 1236 является смесью смолы SE 30 (о ней шла речь выше), имеющей вязкость 20 м2/сек, и масла SF 96, имеющего вязкость 5 10-6 м2/сек. Предпочтительно, этот продукт содержит 15% смолы SE 30 и 85% масла SF 96.
Органполисилоксановые смолы, используемые в рамках настоящего изобретения, представляют собой силоксановые системы с сетчатой (ретикулированной) структурой, состоящей из звеньев R2SiO2/2, R3SiO1/2, RSiО3/2 и SiO4/2, в которых R обозначает углеводородную группу C1-16 или фенильную группу. Из числа этих продуктов наиболее предпочтительны те, в которых R является низшим C1-4 алкилом, в частности метилом, или фенильным радикалом.
Из смол этой категории можно назвать продукт ДАУ КОРНИНГ 593, а также продукты СИЛИКОН ФЛУИД SS 4230 и SS 4267 фирмы ДЖЕНЕРАЛ ЭЛЕКТРИК. Все эти продукты представляют собой силиконы, имеющие диметил/триметил силоксановую структуру.
Можно также назвать триметилсилоксиликатные смолы, выпускаемые в виде продуктов Х22-4914, Х21-5034 и Х21-5037 фирмой ШИН-ЕТЦУ.
Вышеуказанные модифицированные органосиликоны, используемые в рамках настоящего изобретения, представляют собой силиконы, определение которых дано выше и которые содержат в своей структуре одну или несколько органофункциональных групп, фиксированных с помощью углеводородного радикала.
Из числа указанных модифицированных полиорганосилоксанов можно назвать следующие:группы полиэтиленокси и/или полипропиленокси, возможно содержащие С6-24 алкил и представляющие собой диметикон сополиол, выпускаемый как продукт ДС 1248 фирмой ДАУ КОРНИНГ. В эту же категорию входят масла серии СИЛЬВЕТ L 722, L 7500, L 77 и L 711 фирмы ЮНИОН КАРБАЙД и алкил-С12-метикон сополиол фирмы ДАУ КОРНИНГ (продукт Q 2 5200), замещенные или незамещенные аминированные группы, причем замещенные аминированные группы представляют собой C1-4 аминоалкильные группы. Соединения этой категории выпускаются фирмами ДЖЕНЕЗИ (продукты GP 4 и GP 7100 СИЛИКОН ФЛУИД) и ДАУ КОРНИНГ (продукты Q 2 8220, 929 и 939), тиоловые группы (продукты GP 72 А и GP 71 фирмы ДЖЕНЕЗИ), алкоксилированные группы (продукт СИЛИКОН СОПОЛИМЕР F-755 фирмы SWS фирмы СИЛИКОНЗ и продукты АБИЛЬ ВАКС 2428, 2434 и 2440 фирмы ГОЛЬДШМИДТ), гидроксилированные группы, такие как полиорганосилоксаны, имеющие гидроксиалкильную функцию и описанные в патенте FR-A-85 16334. Соединения этой категории имеют формулу (V) ![]() в которой радикалы R3, одинаковые или разные, обозначают метил или фенил, причем по меньшей мере 60 мол.% радикалов R3 обозначают метил. В этой формуле (V) радикал R’3 представляет собой двухвалентное углеводородное C2-18 алкиленовое звено, р является числом от 1 до 30 включительно и q является числом от 1 до 150 включительно, ацилоксиалкильные группы, такие как, например, полиорганосилоксаны, описанные в патенте США-А-4957732 и имеющие формулу (VI) ![]() в которой R4 обозначает метил, фенил, -OCOR5, гидроксил, причем один из радикалов R4 при атоме кремния может быть группой ОН, R1 4 обозначает метил и фенил, причем по меньшей мере 60 мольных % суммы радикалов R4 и R1 4 обозначают метил, R5 обозначает C8-20 алкил или алкенил, Р” обозначает двухвалентный углеводородный C2-18 алкиленовый радикал, линейный или разветвленный, r является числом от 1 до 120 включительно, Р является числом от 1 до 30, q является числом, равным 0 или меньшим чем 0,5 р, причем сумма р+q равна числу между 1 и 30. При этом полиорганосилоксаны формулы (VI) могут содержать группы ![]() в количестве, которое не превышает 15% суммы р+q+r, анионнные группы карбонового (карбоксильного) типа, такие как, например, продукты, описанные в патенте ЕР 186507 (выдан фирме ЧИССО Корпорейшн) или алкилкарбонового типа, такие как продукт Х22-3701Е фирмы ШИН-ЕТЦУ, а также 2-гидроксиалкилсульфонаты и 2-гидроксиалкилтиосульфаты, такие как продукты АБИЛЬ 201 и АБИЛЬ 255 фирмы ГОЛЬДШМИДТ, гидроксиациламиновые группы типа, описанного в патенте ЕР 342834. В качестве примера можно назвать продукт Q2-8413 фирмы ДАУ КОРНИНГ. Согласно предлагаемому изобретению можно также использовать силиконы, состоящие из полисилоксановой части и из части, образованной несиликоновой органической цепью. При такой структуре одна из указанных двух частей образует основную цепь полимера, а вторая “привита” поперечными связями к этой основной цепи. Такие полимеры описаны, например, в заявках на патенты ЕР-А-412704, ЕР-А-412707, ЕР-А-640105, WO 95/00578, ЕР-А-582152, WO 93/23009, США 4693935, США 4728571 и США 4972037. Предпочтительно такие полимеры являются анионными или неионными. Такие полимеры могут быть, например, сополимерами, которые могут быть получены радикальной полимеризацией смесей мономеров, состоящих из: а) 50-90 вес.% трет-бутил акрилата, б) 0-40 вес.% акриловой кислоты, в) 5-40 вес.% силиконового макромера формулы ![]() в которой v является числом от 5 до 700, причем все количества в весовых процентах вычислены относительно общего веса мономеров. Другими примерами привитых силиконовых полимеров являются полидиметилсилоксаны (ПДМС), к которым с помощью соединительного звена типа тиопропилена привиты звенья смешанных полимеров типа поли(мет)акрилововой кислоты и типа алкилполи(мет)акрилата. К этой же категории относятся ПДМС, к которым привиты с помощью соединительного звена типа тиопропилена полимерные звенья типа изобутил поли(мет)акрилата. В рамках настоящего изобретения все указанные силиконы могут быть использованы в форме эмульсий. Особенно предпочтительны для осуществления целей настоящего изобретения следующие полиорганосилоксаны: нелетучие силиконы, выбранные среди полиалкилсилоксанов, имеющих конечные триметилсилиловые группы, таких как масла, вязкость которых находится в пределах от 0,2 до 2,5 м2/с при 25oС. Сюда относятся масла серии DC 200 фирмы ДАУ КОРНИНГ, в особенности масло, имеющее вязкость 60000 сантистокс, а также масла серии СИЛЬБИОН 70047 фирмы РОН ПУЛЕНК (в особенности масло марки 70047 У 500000). В эту же категорию входят полиалкилсилоксаны, имеющие конечные диметилсиланоловые группы, такие как диметиконол или полиалкиларилсилоксаны, такие как масло СИЛЬБИОН 70641 У 200 фирмы РОН ПУЛЕНК, смеси органополисилоксанов и циклических силиконов, такие как продукт Q2 1401 фирмы ДАУ КОРНИНГ или продукт SF 1214 фирмы ДЖЕНЕРАЛ ЭЛЕКТРИК, смеси двух ПДМС (полидиметилсиликонов), имеющих разные значения вязкости, таких как масло и каучук. В готовом виде такая смесь продается на рынке как продукт SF 1236 фирмы ДЖЕНЕРАЛ ЭЛЕКТРИК, органополисилоксановая смола, продаваемая как продукт ДАУ КОРНИНГ 593, полисилоксаны, имеющие аминированные группы, такие как амодиметикон или триметилсилиламодиметикон. Само собой разумеется, что можно использовать смеси кондиционирующих агентов. Согласно предлагаемому изобретению один или несколько кондиционирующих агентов могут составлять от 0,001 до 10 весовых %, предпочтительно от 0,005 до 7 вес.%, а еще более предпочтительно от 0,01 до 5 вес.% общего веса конечной композиции. Предпочтительно композиции согласно настоящему изобретению содержат по меньшей мере одно поверхностно-активное вещество (ПАВ) обычно в количестве от 0,1 до 60 вес.%, предпочтительно от 3 до 40 вес.%, а еще более предпочтительно от 5 до 30 вес.% от общего веса композиции. Указанное ПАВ можно выбирать из числа анионных, амфотерных, неионных, катионных ПАВ и их смесей. Для осуществления целей настоящего изобретения, в частности, пригодны следующие ПАВ: 1) АНИОННЫЕ ПОВЕРХНОСТНО-АКТИВНЫЕ ВЕЩЕСТВА (ПАВ) В рамках настоящего изобретения природа ПАВ не является критическим фактором. Так, в качестве пригодных анионных ПАВ можно использовать в качестве индивидуальных ПАВ или их смесей следующие соединения (нижеследующий список ни в коей мере не является ограничительным): соли (в частности, соли щелочных элементов, в особенности соли натрия, соли аммония, соли аминов, соли аминоспиртов или соли магния), а также следующие соединения: алкилсульфаты, алкилсульфаты простых эфиров, алкиларилполисульфаты простых эфиров, алкиламидосульфаты простых эфиров, моноглицеридсульфаты, алкилсульфонаты, алкилфосфаты, алкиламидсульфонаты, алкиларилсульфонаты, альфа-олефин-сульфонаты, парафин-сульфонаты, алкилсульфосукцинаты, алкилсульфосукцинаты простых эфиров, алкиламидсульфосукцинаты, алкилсульфосукцинаматы, алкилсульфоацетаты, алкилфосфаты простых эфиров, ацилсаркозинаты, ацилсетионаты, и N-ацилтаураты, причем во всех этих разных соединениях радикал алкил или ацил предпочтительно содержит от 8 до 24 атомов углерода, а радикал арил предпочтительно обозначает фенильную или бензильную группу. Помимо вышеперечисленных веществ в качестве анионных ПАВ, пригодных для настоящего изобретения, можно назвать соли жирных кислот, такие как соли олеиновой, рицинолеиновой, пальмитиновой и стеариновой кислот, масляные кислоты из копры (т.е. высушенной мякоти кокосового ореха) или гидрированное масло копры, ацил лактилаты, в которых радикал ацил содержит от 8 до 20 атомов углерода. Можно также использовать ПАВ со слабой анионной природой, такие как алкил Д галактозид уроновые кислоты и их соли, полиоксиалкиленированные алкил-С6-24-эфиркарбоновые кислоты, полиоксиалкиленированные алкил-С6-24-арил-эфиркарбоновые кислоты, полиоксиалкиленированные алкил-С6-24-амидо- эфиркарбоновые кислоты и их соли, в частности соли, содержащие от 2 до 50 групп окиси этилена, и их смеси. Из числа вышеперечисленных анионных ПАВ для целей настоящего изобретения наиболее предпочтительны соли алкилсульфатов, алкилсульфаты простых эфиров и их смеси. 2) НЕИОННЫЕ ПОВЕРХНОСТНО-АКТИВНЫЕ ВЕЩЕСТВА Неионные ПАВ, используемые в рамках настоящего изобретения, представляют собой хорошо известные соединения (см. , более конкретно, “СПРАВОЧНИК ПО ПОВЕРХНОСТНО-АКТИВНЫМ ВЕЩЕСТВАМ” (на английском языке) М.Р. ПОРТЕРА, издательство Блэки энд Сан, Глазго и Лондон, 1991г., стр.116-178) и их природа не является критическим фактором для осуществления настоящего изобретения. Более конкретно, неионные ПАВ могут быть выбраны (нижеследующий перечень не является ограничительным) из числа следующих соединений: спирты, альфа-диолы, алкилфенолы или полиэтоксилированные, полипропоксилированные или полиглицеролированные жирные кислоты, в которых жирная цепь содержит, например, от 8 до 18 атомов углерода, число групп окиси этилена или окиси пропилена может быть от 2 до 50, а число глицериновых групп может быть от 2 до 30. Можно также назвать сополимеры окиси этилена и пропилена, конденсаты окиси этилена и пропилена с жирными спиртами, полиэтоксилированные жирные амиды, содержащие предпочтительно от 2 до 30 молей окиси этилена, полиглицеролированные жирные амиды, содержащие в среднем 1-5 глицериновых групп, а предпочтительно 1,5-4 таких групп, полиэтоксилированные жирные амины, содержащие предпочтительно от 2 до 30 молей окиси этилена, сложные эфиры оксиэтиленированных жирных кислот сорбитана, содержащие от 2 до 30 моль окиси этилена, эфиры жирных кислот и сахарозы, эфиры жирных кислот и полиэтиленгликоля, алкилполигликозиды, производные N-алкил глюкамина, окислы аминов, такие как окислы алкил (С10-14) аминов или окислы N-ациламинопропилморфолина. Следует отметить, что для осуществления целей настоящего изобретения наиболее предпочтительны из числа неионных ПАВ алкилполигликозиды. III) АМФОТЕРНЫЕ ПОВЕРХНОСТНО-АКТИВНЫЕ ВЕЩЕСТВА Амфотерные ПАВ, природа которых в рамках настоящего изобретения не имеет критического значения, могут быть (нижеследующий перечень не является ограничительным) представлены следующими веществами: производными вторичных или третичных алифатических аминов, в которых алифатический радикал является цепью, линейной или разветвленной, содержащей 8-22 атома углерода и имеющий по меньшей мере одну водорастворимую анионную группу (например, карбоксилат, сульфонат, сульфат, фосфат или фосфонат). Кроме того, можно назвать алкил (C8-20) бетаины, сульфобетаины, алкил (C8-20) амидоалкил (C1-6) бетаины или алкил (C8-20) амидоалкил (C1-6) сульфобетаины. Из числа производных аминов можно назвать продукты, которые выпускаются под маркой МИРАНОЛ и описаны в патентах США 2528378 и 2781354. Эти производные имеют структуру R2-CONHCH2-N(R3)(R4)(CH2COO-), (2) в которой R2 обозначает радикал алкил производного кислоты, R2-COOH (этот радикал присутствует в гидрированном масле копры), радикал гептил, нонил или ундецил, R3 обозначает бета-гидроксиэтильную группу, a R4 обозначает карбоксиметильную группу, или структуру R5-CONHCH2-N(B)(C), (3) в которой В обозначает -СН2СН2ОХ1, С обозначает (СН2)z-У 1 при z, равном 1 или 2, X1 обозначает группу -CH2CH2-COOH или атом водорода, Y1 обозначает -СООН или радикал -СН2-СООН-SО3Н, R5 обозначает радикал алкил кислоты R9-СООН, который присутствует в масле копры или в гидрированном льняном масле, радикал алкил С7, С9, С11 или C13, радикал алкил С17 и его изо-форма, ненасыщенный радикал С17. В вышеназванном словаре CTFA (см. пятое издание, 1993 г.) все вышеперечисленные соединения названы следующим образом: динатрий какаоамфодиацетат, динатрий лауроамфодиацетат, динатрий каприламфодиацетат, динатрий каприлоамфодиацетат, динатрий какаоамфодипропионат, динатрий лауроамфодипропионат: динатрий каприламфодипропионат, динатрий каприламфодипропионат, лауроамфодипропионовая кислота, какаоамфодипропионовая кислота. В качестве примера можно назвать какаоамфодиацетат, выпускаемый как продукт МИРАНОЛЬ С2М фирмой РОН ПУЛЕНК. В композициях согласно изобретению предпочтительно используются смеси анионных ПАВ или смеси анионных ПАВ с амфотерными или неионными ПАВ. Наиболее предпочтительной является смесь, состоящая из по меньшей мере одного анионного ПАВ и по меньшей мере одного амфотерного ПАВ. В качестве примера предпочтительного анионного ПАВ можно назвать алкил-С12-14-сульфаты натрия, триэтаноламина или аммония, оксиэтиленированные алкил-С12-14-эфирсульфаты натрия, триэтаноламина или аммония, содержащие 2,2 моль окиси этилена, кокоилизетионат натрия и альфа-олефин-С14-16-сульфонат натрия и их смеси с: либо с амфотерным ПАВ, таким как производные амина, которые по номенклатуре CTFA именуются динатрий какаоамфодипропионат или натрий какаоамфопропионат. Эти соединения выпускаются фирмой РОН ПУЛЕНК как продукт МИРАНОЛЬ С2М СОНЦ в виде водного раствора, содержащего 38% активного ПАВ, или как продукт МИРАНОЛЬ С32, либо с амфотерным ПАВ цвиттерионного типа, таким как алкилбетаины, более конкретно с какаобетаином, который известен как продукт ДЕХАЙТОН АБ 30 (водный раствор, содержащий 32% ПАВ) фирмы ХЕНКЕЛЬ. Можно также использовать катионные ПАВ, из числа которых можно назвать (перечень не является ограничительным) следующие вещества: соли первичных, вторичных или третичных жирных аминов, возможно полиоксиалкиленированных, соли четвертичного аммония, такие как хлориды или бромиды тетраалкиламмония, алкиламидоалкилтриалкиламмония, триалкилбензиламмония, триалкилгидроксиалкиламмония или алкилпиридиния, производные имидазолина или окислы аминов, имеющие катионную природу. Композиции согласно изобретению могут также содержать по меньшей мере одну добавку, выбранную из числа загущающих агентов, растворимых силиконов, ПАВ, отдушек агентов, придающих перламутровый блеск, консервантов, силиконовых или несиликоновых солнечных фильтров, белков, витаминов, керамидов, псевдокерамидов, восков и любых прочих добавок, традиционно используемых в косметическом производстве. Вышеперечисленные добавки присутствуют в предлагаемой композиции в количестве от 0 до 20 вес. % от общего веса композиции. Точное количество каждой добавки может быть легко установлено специалистом в данной области техники в зависимости от природы и назначения добавки. Композиции согласно предлагаемому изобретению особенно хорошо пригодны для мытья или обработки таких кератиновых материалов, как волосы, кожа, брови, ресницы, ногти, губы, прочие участки волосяного покрова, но в особенности они предназначены для мытья и обработки волос. В частности, предлагаемые композиции являются моющими композициями, такими как шампунь, гели для душа и пены для ванн. В этом варианте осуществления изобретения композиции содержат моющую основу, обычно водную. Одно или несколько поверхностно-активных веществ (ПАВ), образующих моющую основу, могут быть выбраны произвольно, индивидуально или в смесях из числа анионных, афотерных, неионных и катионных ПАВ, подробно описанных выше. Количество и качество моющего основания должны быть таковы, чтобы придать готовой композиции достаточную вспенивающую и/или моющую способность. Итак, согласно настоящему изобретению моющее основание может составлять от 2 до 50 вес.%, предпочтительно от 10 до 35 вес.% и еще более предпочтительно от 12 до 25 вес.% от общего веса конечной композиции. Другим объектом настоящего изобретения является также способ обработки кератиновых материалов, таких как кожа или волосы, посредством нанесения на кератиновые материалы вышеописанной косметической композиции, после чего при необходимости эти обработанные материалы прополаскивают водой. Таким образом, способ согласно настоящему изобретению позволяет поддерживать прически, обрабатывать, ухаживать или мыть кожу, смывать с кожи макияж, ухаживать за волосами и пр. Композиции по изобретению могут быть также выпущены в форме косметических составов, применяемых после шампуней (с прополаскиванием или без), в форме композиций для укладки волос “перманет”, для распрямления, окрашивания или обесцвечивания волос, в форме прополаскивающих композиций, предназначенных для употребления до или после окрашивания, обесцвечивания, укладки “перманента” или распрямления волос или же между двумя последовательными операциями укладки “перманента” или распрямления волос. Композиции согласно настоящему изобретению могут быть также выпущены в форме моющих композиций для кожи, в частности в форме растворов или гелей для ванн, душей или средств для снятия макияжа. Композиции по изобретению могут также быть в форме водных или водно-спиртовых лосьонов для ухода за кожей и/или волосами. Косметические композиции по изобретению могут также быть в форме гелей, молочка, кремов, эмульсий, сгущенных лосьонов или муссов и могут быть использованы для ухода за кожей, ногтями, ресницами, губами и в особенности волосами. Эти композиции могут выпускаться в различной упаковке: в пульверизаторах, в виде гибких флаконов, в виде баллончиков с аэрозолями с тем, чтобы обеспечить нанесение композиций в распыленной форме или в форме пены. Конкретный выбор контейнера обусловлен желанием получить данную композицию в форме спрея, лака или пены для ухода за волосами. Во всех вышеприведенных цифровых данных и в последующих данных все количества выражены в весовых процентах. Предлагаемое изобретение будет проиллюстрировано с помощью нижеследующих примеров, которые ни в коей мере не являются ограничительными. В этих примерах сокращение АВ обозначает “активное вещество”. Пример 1 Были изготовлены три композиции шампуней, из которых одна композиция была приготовлена согласно настоящему изобретению (композиция А), а две другие (В и С) были приготовлены для сравнения (см. табл.1). Проводят мытье шампунем, нанося примерно 1 г композиции А на пряди (2,7 г) обесцвеченных и предварительно смоченных волос. Вспенивают шампунь, оставляют его действовать в течение 15 минут, после чего прополаскивают пряди волос обильным количеством воды. Точно так же поступают со сравнительными композициями В и С. Экспертная комиссия провела оценку гладкости высушенных волос. Вниманию экспертов было предложено три серии, состоящих каждая из трех образцов волос. Жюри должно было классифицировать серии прядей волос по убыванию или возрастанию легкости распутывания волос, начиная от самой гладкой пряди к наименее гладкой. Для статистической обработки результатов пользовались таблицами А. Крамера (см. журнал ФУД ТЕХНОЛОДЖИ 17-(12), 124-125, 1963 г.) (см. табл. 2). ЗАКЛЮЧЕНИЕ: При использовании композиции А согласно изобретению результаты, полученные при обработке прядей волос композицией, содержащей смесь аминированного силикона типа (АВ)n и катионного полимера, значительно лучше (не менее чем на 5%), чем результаты, полученные с двумя другими композициями, содержащими лишь индивидуальные соединения. Пример 2 Были приготовлены три композиции шампуней, из которых одна композиция согласно изобретению (композиция А) и две сравнительные композиции (В и С) (см. табл. 3). Осуществляют мытье шампунем, нанося примерно 1 г композиции А на пряди (2,7 г) обесцвеченных и предварительно смоченных волос. Шампунь вспенивают, оставляют действовать в течение 15 минут, а затем прополаскивают волосы обильным количеством воды. Точно также поступают с композициями В и С. Экспертная комиссия провела оценку гладкости смоченных волос. Смысл испытаний заключался в том, чтобы эксперты классифицировали три серии прядей волос (из которых каждая состояла из трех образцов) в зависимости от убывающей или возрастающей легкости распутывания волос. Три пряди волос одной и той же серии одновременно представляли вниманию эксперта с просьбой классифицировать их в порядке убывания гладкости. Для статистической обработки результатов использовали таблицы А. КРАМЕРА, опубликованные в журнале ФУД ТЕХНОЛОДЖИ 17-(12), 124-125, 1963 г. (см. табл.4). ЗАКЛЮЧЕНИЕ: При использовании композиции А согласно изобретению результаты, полученные при обработке прядей волос композицией, содержащей смесь аминированного силикона типа (АВ)n и поли-альфа-олефина, значительно лучше (не менее чем на 5%), чем результаты, полученные с двумя другими композициями, содержащими лишь индивидуальные соединения. Пример 3 Приготавливают композицию шампуня согласно изобретению: Лаурилэфирсульфат аммония с содержанием окиси этилена 2.2 моль – 14 г АВ Кокоамфодиацетат натрия (продукт МИРАНОЛ С 2М СОНЦ фирмы РОДИЯ ХЕМИ) – 2,5 г АВ Полиоксиалкиленированный аминированный силикон типа (АВ)n (продукт СИЛЬСОФТ А843 фирмы О-Эс-Ай) – 1,5 г АВ Изопропил пальмитат – 1 г Этиленгликоль дистеарат – 2,5 г Моноизопропаноламид кислот копры – 2 г HCl сколько потребно до pH= – 7,5 Деминерализованная вода сколько потребно до – 100 г Пример 4 Приготавливают композицию шампуня согласно изобретению: Лаурилэфиркарбоксилат натрия (продукт АКИПО РЛМ 45 фирмы ХЕМ ИГРЕК) – 15 г АВ Алкилполигликозид (продукт КАГ 40 фирмы Кей-Эй-О) – 3 г АВ Полиоксиалкиленированный аминированный силикон типа (АВ)n (продукт СИЛЬСОФТ А843 фирмы О-Эс-Ай) – 2 г АВ Изопропил стеарат – 2 г Отдушка, консервант – Сколько потребно HCl сколько потребно до pH= – 7 Деминерализованная вода сколько потребно до – 100 г Пример 5 Приготавливают композицию, предназначенную для прополаскивания волос, вымытых шампунем (“послешампуневая композиция”): Гидроксиэтилцеллюлоза (продукт НАТРОЗОЛЬ 250 ННР фирмы АКВАЛОН) – 1 г АВ Смесь цетилстеарилового спирта с цетилстеариловым спиртом с 30 ОЕ – 3 г АВ Полидиметилсилоксан (продукт DC 200 (его вязкость 60000 сантистокс) фирмы ДАУ КОРНИНГ) – 3 г АВ Продукт СИЛЬСОФТ А843 – 2 г Консервант, отдушка – Сколько потребно Вода сколько потребно до – 100 г Пример 6 Приготавливают окисляющую композицию для перманентной укладки или распрямления волос: Смесь цетилстеарилового спирта с цетилстеариловым спиртом с 30 ОЕ – 4 г Моноэтаноламид алкилэфиркарбоновой кислоты при содержании окиси этилена 2 моль (продукт АМИНОЛ А15 фирмы ХЕМ ИГРЕК) – 1 г Продукт СИЛЬСОФТ А 843 – 1 г Сополимер хлористого метакрилата триметил аммония и акриламида (продукт САЛЬКЕЙР Эс-Си 92 фирмы ЭЛЛАЙД КОЛЛОИД) – 0,5 г АВ Перекись водорода – 2,5 г Пентанатриевая соль диэтилен триамин пентауксусной кислоты – 0,05 г Стабилизирующий агент – 0,06 г Фосфорная кислота – 0,17 г Деминерализованная вода сколько потребно до – 100 г Пример 7. Приготавливают окисляющую композицию, для перманентной укладки или распрямления волос: Цетиловый спирт – 2 г Стеариловый спирт, содержащий 2,2 моль окиси этилена – 0,5 Продукт СИЛЬСОФТ А 843 – 1 г АВ Смесь кислого фосфата цетеарилового спирта с цетеариловым спиртом – 3,2 г Вазелиновое масло – 3 г Перекись водорода – 2,5 г Пентанатриевая соль диэтилен триамин пентауксусной кислоты – 0,15 г Стабилизирующий агент – 0,06 г Фосфорная кислота – 0,17 г Деминерализованная вода сколько потребно до – 100 г Формула изобретения
-олефинов, фторированных масел, фторированных восков, фторированных смол, эфиров карбоновых кислот, содержащих по меньшей мере 10 атомов углерода, катионных полимеров, силиконов, не растворимых в среде, и масел минерального, растительного или животного происхождения.
2. Композиция по п.1, отличающаяся тем, что указанный полиоксиалкиленированный аминированный силикон типа (АВ)n состоит из повторяющихся звеньев общей формулы[SiMe2-О-(SiMe2О)xSiMe2-R-N(H)-R’-О-(C2H4О)a-(C3H6О)b-R’-N(H)-R-] , (1) в которой а является целым числом, большим или равным 1, предпочтительно от 5 до 200 и еще более предпочтительно от 5 до 100; b является целым числом от 0 до 200, предпочтительно от 4 до 200 и еще более предпочтительно от 5 до 100; R, одинаковые или разные, представляют собой органическую двухвалентную группу, связанную с соседним атомом кремния углеродно-кремниевой связью и связанную с атомом азота; R’, одинаковые или разные, представляют собой органическую двухвалентную группу, связанную с соседним атомом кислорода углеродно-кислородной связью и связанную с атомом азота. 3. Композиция по п.2, отличающаяся тем, что указанные радикалы R и R’ представляют собой углеводородные С2-12 радикалы, возможно, содержащие один или несколько гетероатомов, таких, как кислород. 4. Композиция по п.3, отличающаяся тем, что указанный радикал R обозначает этилен, линейный или разветвленный пропилен, линейный или разветвленный бутилен или радикал формулы -СН2СН2СН2ОСH(ОН)СН2-. 5. Композиция по п.3, отличающаяся тем, что указанный радикал R’ обозначает двухвалентный алкиленовый радикал, такой, как, например, этилен, линейный или разветвленный пропилен или линейный или разветвленный бутилен. 6. Композиция по любому из предыдущих пунктов, отличающаяся тем, что указанные поли- -олефины относятся к типу гидрированных или негидрированных полибутенов или к типу гидрированных или негидрированных полидеценов.
7. Композиция по любому из пп.1-5, отличающаяся тем, что указанные сложные эфиры кислот выбраны из числа следующих соединений: дигидроабиэтил бегенат, октилдодецил бегенат, изоцетил бегенат, цетил лактат, алкил (C12-15) лактат, изостеарил лактат, лаурил лактат, линолеил лактат, олеил лактат, (изо)стеарил октаноат, изоцетил октаноат, октил октаноат, цетил октаноат, децил олеат, изоцетил изостеарат, изоцетил лаурат, изоцетил стеарат, изодецил октаноат, изодецил олеат, изононил изононаноат изостеарил-пальмитат, метилацетилрицинолеат, миристилстеарат, октилизононаноат, 2-этилгексилизононат, октилпальмитат, октил пеларгонат, октилстеарат, октилдодецил эрукат, октилдодецил миристат, олеил эрукат, пальмитаты этила и изопропила, этил-2-гексилпальмитат, 2-октилдецил пальмитат, алкилмиристаты, такие как изопропилмиристат, бутилмиристат, цетилмиристат, 2-октилдодецил миристат, гексилстеарат, бутилстеарат, изобутилстеарат, диоктилмалат, гексиллаурат, 2-гексилдецил лаурат, диэтилсебакат, диизопропилсебакат, диизопропиладипат, ди-н-пропиладипат, диоктиладипат, диизостеариладипат, диоктилмалеат, глицерилундециленат, октилдодецил стеарил-стеарат, пентаэритритилмонорицинолеат, пентаэритритилтетраизононаноат, пентаэритритилтетрапеларгонат, пентаэритритилтетраизостеарат, пентаэри-тритилтетраоктаноат, пропиленгликольдикапратдикаприлат, тридецил эрукат, триизопропил цитрат, триизостеарил цитрат, глицерил трилактат, глицерил триоктаноат, триоктилдодецил цитрат, триолеил цитрат.
8. Композиция по любому из пп.1-5, отличающаяся тем, что указанные фторированные масла, фторированные воски, фторированные смолы выбраны из числа простых перфторполиэфиров и фторуглеводородных соединений.
9. Композиция согласно по любому из пп.1-5, отличающаяся тем, что указанный катионный полимер выбирают из числа четвертичных производных простого эфира целлюлозы, циклополимеров, катионных полисахаридов и их смесей.
10. Композиция по п.9, отличающаяся тем, что указанный циклополимер выбирают из числа гомополимеров хлористого диаллилдиметиламмония и из числа сополимеров хлористого диаллилдиметиламмония и акриламида.
11. Композиция по п.9, отличающаяся тем, что указанные четвертичные производные простого эфира целлюлозы выбраны из числа гидроксиэтилцеллюлоз, прореагировавших с эпоксидом, замещенным группой триметиламмония.
12. Композиция по п.9, отличающаяся тем, что указанные катионные полисахариды выбраны из числа гуаровых смол, модифицированных солью 2,3-эпоксипропил триметиламмония.
13. Композиция по любому из пп.1-5, отличающаяся тем, что указанные силиконы выбраны из числа полиорганосилоксанов, которые не растворимы в композиции и которые представляют собой масла, воски, смолы и резины.
14. Композиция по п. 13, отличающаяся тем, что указанные полиорганосилоксаны являются нелетучими полиорганосилиоксанами, выбранными из числа полиалкилсилоксанов, полиарилсилоксанов, полиалкиларилсилоксанов, силиконовых смол и резин (каучуков), полиорганосилоксанов, модифицированных органическими функциональными группами, а также из числа их смесей.
15. Композиция по п. 14, отличающаяся тем, что: a) полиалкилсилоксаны выбраны из числа: полидиметилсилоксанов, имеющих конечные триметилсилильные группы; полидиметилсилоксанов, имеющих конечные диметилсиланольные группы; полиалкил- C1-20-силоксанов; b) указанные полиалкиларилсилоксаны выбраны из числа полидиметилметилфенилсилоксанов и полидиметилдифенилсилоксанов, линейных и/или разветвленных, имеющих вязкость от 1 10-5 до 5 10-2 м2с при 25oС; c) указанные силиконовые смолы выбирают из числа полидиорганосилоксанов, которые имеют средний молекулярный вес от 200000 до 1000000 и которые используются индивидуально или смеси в растворителе; d) каучуки выбираются из числа смол, состоящих из звеньев R2SiO1/2, RSiO2/2, RSiO3/2 и SiО4/2, в которых R является углеводородной (С1-16) группой или фенильной группой; e) указанные органомодифицированные силиконы выбраны из числа силиконов, содержащих в своей структуре одну или несколько органических функциональных групп, фиксированных с помощью углеводородного радикала.
16. Композиция по п.15, отличающаяся тем, что указанные силиконовые смолы используются индивидуально или в смесях и выбираются из числа: полидиметилсилоксанов, полидиметилсилоксан/метилвинилсилоксанов, полидиметилсилоксан/дифенилсилоксанов, полидиметилсилоксан/фенилметилсилоксанов, полидиметилсилоксан/дифенилсилоксан/метилвинилсилоксанов и из следующих смесей: смесей, состоящих из полидиметилсилоксана, гидроксилированного в конце цепи, и циклического полидиметилсилоксана, из смесей, состоящих из полидиметилсилоксановой резины и циклического силикона, и из смесей полидиметилсилоксанов, имеющих различные величины вязкости.
17. Композиция по п.15, отличающаяся тем, что указанные органомодифицированные силиконы выбирают из числа полиорганосилоксанов, содержащих: а) группы полиэтиленокси и/или полипропиленокси, в) аминогруппы, замещенные или незамещенные, с) тиольные группы, д) алкоксилированные группы, е) гидроксиалкильные группы, описываемые формулой![]() в которой радикалы R3, одинаковые или разные, выбираются из числа радикалов метила и фенила, причем по меньшей мере 60 мол.% радикалов 3 представляют собой метил; радикал R’3 является двухвалентным углеводородным C2-18 алкиленовым звеном; р является числом от 1 до 30 включительно; q является числом от 1 до 150 включительно, f) ацилоксиалкильные группы, описываемые формулой ![]() в которой R4 обозначает метил, фенил, – OCOR5, гидроксил, причем только один из радикалов R4 при каждом атоме кремния может быть ОН; R’4 обозначает метил и фенил, причем по меньшей мере 60 мол.% суммы радикалов R4 и R’4 обозначают метил; R5 обозначает С8-20 алкил или алкенил; R” обозначает двухвалентный C2-18 углеводородный алкиленовый радикал, линейный или разветвленный; r обозначает число от 1 до 120 включительно; р обозначает число от 1 до 30; q обозначает число, равное 0 или меньшее 0,5p, причем сумма р+q составляет от 1 до 30, при этом полиорганосилоксаны формулы (VI) могут содержать группы формулы ![]() в количестве, которое не превышает 15% суммы р+q+r; q) алкилкарбоксильные группы, h) 2-гидроксиалкилсульфонатные группы, i) 2-гидроксиалкилтиосульфонатные группы, j) гидроксиациламиногруппы. 18. Композиция по любому из пп.13-17, отличающаяся тем, что указанные полиорганосилоксаны выбираются из числа полиалкилсилоксанов, имеющих триметилсисильные концевые группы, полиалкилсилоксанов, имеющих концевые диметилсиланольные группы, полиалкиларилсилоксанов, смесей двух полидиметилсилоксанов (ПДМС), состоящих из смолы и масла, имеющих разные величины вязкости, смесей органосилоксанов и циклических силиконов, органополисилоксановых резин (каучуков). 19. Композиция по любому из предыдущих пунктов, отличающаяся тем, что она дополнительно содержит по меньшей мере одно поверхностно-активное вещество (ПАВ), выбранное из числа анионных, катионных, неионных, амфотерных ПАВ и их смесей. 20. Композиция по п.19, отличающаяся тем, что указанные ПАВ используются в количествах от 0,1 до 40 вес.%, предпочтительно от 3 до 40 вес.% и еще более предпочтительно от 5 до 30 вес.% от общего веса композиции. 21. Композиция по любому из предыдущих пунктов, отличающаяся тем, что указанный кондиционирующий агент используется в количествах от 0,001 до 10 вес. %, предпочтительно от 0,005 до 7 вес.% и еще более предпочтительно от 0,01 до 5 вес.% от общего веса композиции. 22. Композиция по любому из предыдущих пунктов для мытья или ухода за кератиновыми материалами. 23. Способ обработки кератиновых материалов, таких, как волосы, путем нанесения на указанные материалы косметической композиции, отличающийся тем, что наносят композицию по любому из пп.1-21. РИСУНКИ
MM4A Досрочное прекращение действия патента Российской Федерации на изобретение из-за неуплаты в установленный срок пошлины за поддержание патента в силе
Дата прекращения действия патента: 25.08.2004
Извещение опубликовано: 20.02.2006 БИ: 05/2006
|
||||||||||||||||||||||||||

-олефинов, фторированных масел, фторированных восков, фторированных резин, сложных эфиров карбоновых кислот, содержащих по меньшей мере 10 атомов углерода, катионных полимеров, силиконов, не растворимых в указанной среде, минеральных масел и масел растительного и животного происхождения, а также содержащим по меньшей мере один аминированный полиоксиалкиленированный силикон типа (АВ)n, где А является полисилоксановым блоком, а В является полиоксиалкиленированным блоком, содержащим по меньшей мере одну аминогруппу.
Хорошо известен факт, что волосы испытывают на себе сенсибилизирующий эффект (то-есть повреждаются и/или истончаются) в различной степени под действием различных атмосферных факторов и при воздействии различных механических или химических обработок, таких как окрашивание волос, обесцвечивание волос и/или завивки типа “перманент”. Таким волосам не хватает мягкости и их часто трудно расчесать или уложить в прическу.
В прошлом уже было предложено использовать кондиционирующие агенты, такие как катионовые полимеры или силиконы, в косметических композициях, предназначенных для мытья или ухода за кератинсодержащими волокнами, такими как волосы, чтобы облегчить расчесывание волос и придать им мягкость и эластичность. К сожалению, когда волосы высушены, вышеуказанные косметические преимущества сопряжены с некоторыми нежелательными побочными косметическими эффектами, такими как утяжеление прически (то есть волосы утратили свою легкость), недостаточная гладкость прически (вследствие того, что волос неоднороден в направлении от его корня к кончику) и недостаточный блеск волос.
Кроме того, применение катионных полимеров для указанной цели имеет целый ряд неудобств. Ввиду их большого сродства с волосами, некоторые из этих полимеров при их многократном использовании осаждаются на волосах и производят нежелательные косметические эффекты: волосы становятся неприятными на ощупь, утяжеленными, грубыми и неэластичными, между волосами возникают “спайки”, препятствующие укладке волос в прическу. Все вышеуказанные отрицательные явления еще более усиливаются в случае тонких волос, которым и без того не хватает тонуса и объема.
В прошлом было также предложено (FR-A-2709954 и FR-A-2709955) для улучшения кондиционирующих свойств продуктов для волос использовать для ухода за волосами косметические композиции, содержащие сочетание катионного или амфотерного полимера и неионного полиоксиалкиленированного силикона типа (АВ)n, в котором А является полисилоксановым блоком, а В является полиоксиалкиленированным блоком. К сожалению, указанные композиции не вполне удовлетворяют ожиданиям и не придают волосам желаемой гладкости и шелковистости. Более того, при их многократном применении волосы утяжеляются
-силикона или дихлор-
106, предпочтительно от примерно 103 до 3












