Патент на изобретение №2182150
|
||||||||||||||||||||||||||
(54) ПРОИЗВОДНЫЕ БЕНЗИМИДАЗОЛА, АНТИГИСТАМИННАЯ ФАРМАЦЕВТИЧЕСКАЯ КОМПОЗИЦИЯ И СПОСОБ ЛЕЧЕНИЯ АЛЛЕРГИЧЕСКИХ ЗАБОЛЕВАНИЙ
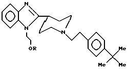
(57) Реферат: Изобретение относится к новым производным бензимидазола формулы 1, где R1 представляет водород или углеводородную группу с короткой цепью, R2 – СН2ОН, СООН, СООR3 и 4,4-диметил-2-оксазолинил. Данное изобретение относится к соединениям, имеющим сильную селективную H1-антигистаминную активность, у которых отсутствует активность по отношению к центральной нервной системе, и поэтому могут использоваться для лечения аллергических заболеваний и в качестве активного ингредиента в антигистаминной фармкомпозиции. 3 с. и 6 з.п. ф-лы.
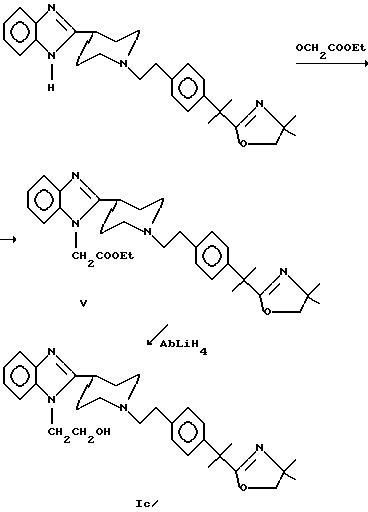
Цель изобретения Настоящее изобретение относится к новым производным бензимидазола с H1-антигистаминной активностью, не оказывающими кардиотоксического воздействия. Предпосылки изобретения Самыми близкими к соединениям настоящего изобретения являются соединения, описанные в патенте Испании 9201512, который описывает ряд бензимидазольных производных пиперидина с антигистаминной и антиаллергической активностью общей формулы: ![]() Главным структурным различием между соединениями настоящего изобретения и соединениями указанного патента является присутствие кислородсодержащих функциональных групп при замещении фенильной группы. Кроме того, был обнаружен важный фармакофорный характер данных кислородсодержащих функциональных групп, который состоит по существу в селективности воздействия и обеспечивает фармакологический профиль, отличный от профиля других известных антигистаминных веществ. Соединения, описанные в настоящем изобретении, проявляют почти исключительно H1-антигистаминную фармакологическую активность и поэтому свободны от воздействия на другие фармакологические рецепторы даже при дозах, гораздо более высоких, чем фармацевтические. Благодаря селективности их действия, они являются ценными инструментами при лечении состояний аллергического типа, в частности, дающими неограниченную возможность использования лицами, принимающими одновременно с этим любое другое лечение, и вслучае пациентов с патологическими расстройствами сердечного кровообращения. Описание изобретения Поскольку давно известно, что гистамин играет очень важную роль при заболеваниях аллергического типа, таких как аллергический ринит, конъюнктивит, крапивница и астма, антигистаминные соединения, действующие на уровне H1-гистаминового рецептора, являются полезными для лечения таких состояний. H1-атигистамины первого поколения проявляли ряд отрицательных воздействий, таких как седативный эффект и сухость во рту, возникающие в результате их действия на центральную нервную систему и холинэргические рецепторы. Поиск молекул, которые не пересекали бы гемато-энцефалический барьер, вызвал замену ранних антигистаминных препаратов другими антигистаминными препаратами второго поколения, которые преодолели побочные воздействия, связанные с их действием на центральную нервную систему. Данное новое поколение антигистаминных препаратов, среди которых заслуживают внимания, благодаря их широкому использованию во всем мире, терфенадин и астемизол, в последнее время проявляют негативный аспект в форме опасных сердечнососудистых воздействий, распространяющихся на QT-область и вентрикулярную аритмию, что потребовало, чтобы их использование было исключено в тех случаях, в которых пациент склонен страдать от таких расстройств или когда его лечат веществами, которые могут мешать его метаболизму. Попытки получения безопасных и эффективных H1-антигистаминных препаратов приумножились в последние годы, и настоящее исследование дает в результате несколько последних заявок на патенты, в которых заявляются фармацевтические композиции для лечения аллергических заболеваний, которые содержат антигистаминные препараты, свободные от аритмогенного воздействия, как в случае заявки на патент США номер 924156 (3/08/092) и заявки на Международный патент номер 95/00480 (05/01/095). Настоящее изобретение относится к группе новых соединений с бензимидазольной структурой, имеющих сильную селективную 1-антигистаминную активность, у которых отсутствует активность по отношению к центральной нервной системе и к сердечно-сосудистой системе. Соединения, являющиеся предметом настоящего изобретения, представляют соединения, имеющие следующую общую формулу: (1)в которой R1 представляет водород или углеводородную группу с короткой цепью, такую как метил, этил, изопропил, циклопропил или винил, и R2 представляет группу, выбранную из СН2ОН, СООН, COOR3 и 4,4-диметил-2-оксазолинил, причем R3 является алкильной группой с короткой цепью, как определено выше, и их кислотно-аддитивные соли с фармакологически приемлемыми кислотами или основаниями. Соединения I, в которых R1 является алкильной группой с короткой цепью и R2 является 4,4-диметил-2-оксазолинильной группой, могут быть удобным образом получены путем реакции N-алкилирования 2-(4-пиперидинил)-lH-бензимидазола с алкилирующим агентом формулы III, где Х является хорошей уходящей группой в реакциях нуклеофильного замещения, такой как С1, Br, I, R4SO2, R2SO3 и др. , в присутствии неорганического основания, такого как карбонат или бикарбонат щелочного металла, в органическом растворителе с последующей еще одной реакцией N-алкилирования полученного бензимидазола IV эфиром формулы XCH2CH2OR1, где Х имеет значения, данные выше, и R1 является углеводородной группой с короткой цепью, такой как Me, Et, изо-Рr, циклопропил, винил и др. в присутствии гидрида или карбоната щелочного металла. ![]() Соединения I, в которых R1 является алкильной группой с короткой цепью и R2 является карбоксильной группой, удобным образом могут быть получены путем гидролиза бензимидазолов Iа неорганической кислотой, такой как НС1 или H2SO4. ![]() Соединения I, в которых R1 является алкильной группой с короткой цепью и R2 является группой СООR3, в которой R3 является алкильной группой с короткой цепью, могут быть получены путем гидролиза кислотой бензимидазолов Iа в присутствии спиртового растворителя R3ОН в соответствующих условиях для трансэтерификации. ![]() Соединения I, в которых R1 является алкильной группой с короткой цепью и R2 является группой СН2ОН, могут быть получены путем восстановления бензимидазолов Ib или Iс подходящим восстанавливающим агентом, таким как гидрид алюминия и лития. ![]() Соединение I, в котором R1 является водородом и R2 является 4,4-диметил-2-оксазолинильной группой, может быть получено алкилированием бензимидазола IV этилхлорацетатом в присутствии гидрида или карбоната щелочного металла с получением сложного эфира V, который затем восстанавливают с помощью восстанавливающего агента, такого как гидрид алюминия и лития. ![]() Соединение I, в котором R1 является водородом и R2 является СООН группой, удобным образом получают путем гидролиза неорганической кислотой, такой как НСl или H2S04, соединения Iе. ![]() Полученные новые бензимидазолы I могут быть превращены в фармацевтически приемлемые соли путем обработки подходящими кислотами или основаниями. Соединения формулы I имеют полезные фармакологические свойства. В частности, они являются сильнодействующими H1-антигистаминными средствами. Их активность ясно демонстрируется in vitro путем блокирования индуцируемых гистамином сокращений в изолированной подвздошной кишке морской свинки (Magnus, Pflugers, Arch. Ges. Physiol., 102, 123 (1904); Arunlakshana, 0. and Schild, H.O., Br. J. Pharmacol., 14, 48-58 (1959) и in vivo no способности ингибировать увеличение индуцируемой гистамином проницаемости кожных капилляров у крыс (Lefebvre, P., Salmon, J., Leconte and Cauwenberge, V.H., C.R. Soc. Biol. 156, 183-186 (1962); Udaka, К., Takeuchi, Y. and Morat, H.Z. , Proc. Soc. Exp. Biol. Med. 133, 1384-1387 (1970)). Таким образом, соединение Ib (R1=этил) оказалось сильнодействующим смешанным антагонистом H1-гистаминного рецептора в подвздошной кишке морской свинки, причем вычисленное значение рА2=7,98-8,10 и pD2‘=6,50. To же самое соединение ингибирует in vivo увеличение проницаемости капилляров у крыс с величиной DE50, близкой к 2 мг/кг, при пероральном приеме. При дозах 5 мг/кг при пероральном приеме оно поддерживает значительную активность свыше 50% в течение не менее 6 часов. Эти соединения являются высокоселективными по их фармакологическому действию и не проявляют значительной антихолинэргической активности или активности по отношению к центральной нервной или сердечно-сосудистой системам. Таким образом, соединение Ib (R1=Et) не способно антагонизировать в значительной степени индуцированные ацетилхолином сокращения подвздошной кишки морской свинки при концентрациях 0,1М и не изменяет спонтанную двигательную активность крысы при дозе 100 мг/кг перорально; кроме того, то же самое соединение, введенное внутривенно в дозе 20 мг/кг, не вызывает морфологических расстройств в ЭКГ и не увеличивает QTc интервал у крыс. Ввиду их полезных фармакологических антигистаминных и антиаллергических свойств соединения, описанные в настоящем изобретении, могут приготавливаться в различных фармацевтических формах для дальнейшего введения перорально, местно, в виде инъекций или ректально. Препараты для перорального введения получают путем тщательного смешивания, эффективного в качестве антигистаминного количества одного из продуктов, описанных в настоящем изобретении, с наполнителями, такими как лактоза, целлюлоза, тальк и аналогичные, для таблеток или капсул, или вода, гликоли, спирты, масла и им подобные для сиропов, растворов и суспензий. Местное введение может производиться в форме кремов, мазей, гелей, растворов и пластырей для введения через кожу с использованием агентов, таких как вазелин, полиэтиленгликоли и аналогичные в качестве носителя. В препаратах для инъекций наполнителем может быть, по крайней мере в большей части, стерилизованная вода, хотя могут добавляться другие наполнители, такие как солевые растворы, растворы глюкозы и аналогичные или их смеси, для увеличения растворимости. Примеры, подробно изложенные ниже, иллюстрируют настоящее изобретение без какого-либо ограничения его объема. Пример 1 Получение 1-(2-этоксиэтил)-2-[1-(2-(4-(1-(4,4-диметил- 2-оксазолин-2-ил)-1-(метилэтил)фенил)этил)пиперидин-4-ил]-1Н-бензимидазола (Ia, R1=Et)3,57 г карбоната натрия добавляют к суспензии 14 г (2-(4-(1-(4,4-димeтил- 2-oкcaзoлин-2-ил)-1-метилэтил)фенил)этил п-толуолсульфоната и 6,78 г 2-(4-пиперидинил)-1H-бензимидазола в 60 мл ДМФ, и полученную суспензию нагревают при 80oC в течение 14 часов. ДМФ концентрируют и реакционную массу выливают в воду/лед, после чего кристаллизуется твердый продукт, который фильтруют, промывают водой и сушат при 50oС с получением 10 г 2-[1-(2-(4-(1-(4,4-димeтил- 2-oкcaзoлин-2-ил)-1-метилэтил)фенил)этил)пиперидин-4-ил] -1H-бензимидазола. Полученный твердый продукт растворяют в 25 мл ДМФ и к нему добавляют 1,2 г гидрида натрия в 60% масляной суспензии. Полученную суспензию перемешивают при комнатной температуре в течение двух часов и добавляют 2,44 г 2-хлорэтилэтилового эфира. Реакционную массу нагревают при 80oС в течение 16 часов, охлаждают, выливают в воду/лед, экстрагируют эфиром и промывают водой и насыщенным раствором хлорида натрия. Эфирный раствор сушат над безводным сульфатом натрия и концентрируют с получением 11,2 г 1-(2-этоксиэтил)-2-[1-(2-(4-(1-(4,4-димeтил- 2-oкcaзoлин-2-ил)-1-метилэтил)фенил) -этил)пиперидин-4-ил] -1H-бензимидазола. Т. пл. : 98-100oС (этанол).
ЯМР-1Н (СDС13), : 1,1 (т, 3Н); 1,3 (с, 6Н); 1,5 (с, 6Н); 1,9 (м, 2Н); 2,1 (м, 4Н); 2,6 (т, 2Н); 2,8 (т, 2Н); 3,0 (м, 1Н); 3,1 (д, 2Н); 3,4 (с, 2Н); 3,7 (т, 2Н); 3,9 (с, 2Н); 4,3 (т, 2Н); 7,1-7,3 (м, 7Н); 7,7-7,8 (м, 1Н).
ЯМР-13С (CDCl3), : 14,96; 27,38; 28,15; 31,06; 33,10; 34,53; 40,18; 43,60; 53,71; 60,46; 66,74; 66,83; 68,59; 79,14; 109,09; 119,41; 121,71; 121,88; 125,30; 128,73; 134,78; 138,72; 142,72; 143,04; 158,41 и 177,70.
Пример 2Получение 2-[4-(2-(4-(1-(2-этоксиэтил)бензимидазол-2-ил)-пиперидин-1-ил)этил)фенил]-2-метилпропановой кислоты (Ib, R1=Et) 6,72 г 1-(2-этоксиэтил)-2-[1-(2-(4-(1-(4,4-диметил- 2-оксазолин-2-ил)-1-метилэтил)фенил)этил)пиперидин-4-ил] -1Н-бензимидазола (Iа) растворяют в 170 мл 3н. НСl и нагревают с обратным холодильником в течение часа. Раствор охлаждают и доводят до рН 7 50% гидроксидом натрия. Раствор экстрагируют н-бутанолом, промывают водой, сушат над безводным сульфатом натрия и концентрируют. К остатку добавляют метанол (30 мл) и 50% раствор гидроксида натрия (40 мл) и нагревают с обратным холодильником в течение тридцати минут. Метанол отгоняют и добавляют воду до тех пор, пока растворение не завершится. Данный раствор экстрагируют эфиром и водный слой доводят до рН 7 с помощью 20% НС1 и насыщают хлоридом натрия, после чего осаждают твердый продукт, который фильтруют, промывают повторно водой и сушат в вакуумном сушильном аппарате при 50oС с получением 3,5 г 2-[4-(2-(4-(1-(2-этоксиэтил)бензимидазол-2-ил)пиперидин-1-ил)этил)фенил]-2-метилпропановой кислоты.
Т. пл. 199-201oСЯMP-1H (ДМСО-d6), : 1,0 (т, 3Н); 1,4 (с, 6Н); 1,8 (м, 4Н); 2,2 (м, 2Н); 2,5 (т, 2Н); 2,7 (т, 2Н); 3,0 (м, 3Н); 3,3 (с, 2Н); 3,6 (т, 2Н); 4,4 (т, 2Н); 7,0-7,3 (м, 6Н); 7,4-7,6 (м, 2Н).
ЯМР-13С (ДМСО-d6), : 14,90; 26,59; 30,97; 32,22; 33,39; 43,04; 45,50; 53,08; 60,05; 65,70; 68,43; 110,18; 118,40; 121,16; 121,35; 125,47; 128,42; 134,72; 138,33; 142,29; 143,03; 158,60 и 177,87.
Пример 3Получение этил 2-[4-(2-(4-(1-(2-этоксиэтил)бензимидазол-2-ил)пиперидин-1-ил)этил)фенил]-2-метилпропаноата (Ic, R1=ET, R3=ЕТ) Концентрированную серную кислоту (20 мл) добавляют поверх раствора 10 г 1-(2-этоксиэтил)-2-[1-(2-(4-(1-(4,4-диметил- 2-оксазолин-2-ил -1-метилэтил)фенил)этил)пиперидин-4-ил] -lH-бензимидазола в 250 мл этанола и раствор нагревают с обратным холодильником в течение 16 часов. Раствор охлаждают и добавляют 1 литр эфира. Органический слой отделяют и промывают водой, 10% раствором бикарбоната натрия и еще раз водой. Данный продукт сушат над безводным сульфатом натрия и концентрируют с получением 7 г масла, которое очищают путем флэш-хроматографии, используя смесь 95/5 хлороформ/этанол в качестве элюента с получением 5 г 2-[4-(2-(4-(1-(2-этоксиэтил)бензимидазол-2-ил)пиперидин-1-ил)этил)-фенил]-2-метилпропаноата в виде масла.
ЯМР-1Н (СDС13), : 1,1 (т, 3Н); 1,2 (т, 3Н); 1,5 (с, 6Н); 2,0 (м, 2Н); 2,2 (м, 4Н); 2,6 (т, 2Н); 2,8 (т, 2Н); 3,0 (м, 1Н); 3,2 (м, 2Н); 3,4 (с, 2Н); 3,7 (т, 2Н); 4,1 (с, 2Н); 4,3 (т, 2Н); 7,1-7,3 (м, 7Н); 7,6-7,7 (м, 1Н).
ЯМР-13С (СDС13), : 13,86; 14,80; 26,35; 30,62; 32,73; 33,87; 43,48; 45,91; 53,26; 60,11; 60,49; 66,61; 68,40; 109,02; 119,16; 121,55; 121,75; 125,40; 128,50; 134,56; 138,40; 142,29; 142,51; 158,13 и 176,53.
Пример 4Получение 1-(2-этоксиэтил)-2-[1-(2-(4-(1,1-диметил-2-гидроксиэтил)фенил)этил)пиперидин-4-ил]-1H-бензимидазола (Id, R1=Et) 1г алюминийгидрида лития растворяют в 30 мл ТГФ и к раствору добавляют по каплям 3 г этил 2-[4-(2-(4-(1-(2-этоксиэтил)бензимидазол-2-ил)пиперидин-1-ил)этил)фенил] -2-метилпропаноата. Раствор перемешивают в течение четырех часов при комнатной температуре и добавляют несколько миллилитров воды для удаления избытка гидрида. Раствор фильтруют и фильтрат промывают насыщенным раствором хлорида натрия. Фильтрат сушат и концентрируют. Остаток повторно растворяют в хлороформе и промывают водой, сушат и концентрируют. Остаток очищают путем флэш-хроматографии, используя в качестве элюента смесь гексан/эфир/изопропиламин (2/7,5/0,5) с получением 1,5 г 1-(2-этоксиэтил)-2-[1-(2-(4-(1,1-диметил-2-гидроксиэтил)фенил)этил)пиперидин-4-ил]-lH-бензимидазола. Т. пл.: 112-114oС ЯМР-1H (CDCl3), : 1,0 (т, 3Н); 1,4 (с, 6Н); 1,9-2,1 (м, 2Н); 2,1-2,3 (м, 4Н); 2,6 (т, 2Н); 2,8 (т, 2Н); 3,0 (м, 1Н); 3,2 (д, 2Н); 3,4 (с, 2Н); 3,6 (с, 2Н); 3,7 (т, 2Н); 4,3 (т, 2Н); 7,1-7,4 (м, 7Н); 7,8 (м, 1Н).
ЯМР-13С (CDCl3), : 15,01; 25,34; 31,07; 33,07; 34,53; 39,78; 43,64; 53,72; 60,52; 66,88; 68,62; 73,07; 109,13; 119,44; 121,77; 121,94; 126,22; 128,80; 134,78; 138,39; 142,71; 143,90; 158,45.
Пример 5Получение 1-(2-гидроксиэтил)-2-[1-(2-(4-(1-(4,4-диметил- 2-оксазолин-2-ил)-1-метилэтил)фенил)этил)пиперидин-4-ил]-1Н-бензимидазола (Iе)5 г 2-[1-(2-(4-(1-(4,4-димeтил- 2-oкcaзoлин-2-ил)-1-метилэтил) фенил)пиперидин-4-ил]-lH-бензимидазола растворяют в 30 мл ДМФ и к раствору добавляют 0,54 г гидрида натрия в масляной суспензии. Полученную суспензию перемешивают в течение двух часов при комнатной температуре и добавляют по каплям 1,19 мл этилхлорацетата. Реакционную массу нагревают при 70oС в течение 16 часов, охлаждают и выливают в 300 мл воды. Данную смесь экстрагируют эфиром и эфирный слой промывают водой, сушат над безводным сульфатом натрия и фильтруют. 0,8 г гидрида алюминия и лития растворяют в 30 мл эфира и к раствору добавляют по каплям предварительно отфильтрованную эфирную фазу. Смесь перемешивают в течение 4 часов при комнатной температуре и добавляют 20 мл 10% раствора гидроксида натрия. Смесь насыщают хлоридом натрия и эфирный слой отделяют. Водную фазу экстрагируют эфиром. Эфирные фазы смешивают все вместе и промывают водой и насыщенным раствором хлорида натрия. Данную смесь сушат над безводным сульфатом натрия и концентрируют с получением 2,6 г 1-(2-гидроксиэтил) -2-[1-(2-(4-(1-(4,4-димeтил- 2-oкcaзoлин-2-ил)-1-метилэтил)фенил)этил)пиперидин-4-ил]-1H-бензимидазола в виде масла.
ЯМР-1Н (CDCl3), : 1,3 (с, 6Н); 1,6 (с, 6Н); 1,8-2,2 (м, 6Н); 2,6 (т, 2Н); 2,8 (т, 2Н); 2,9 (м, 1Н); 3,0-3,1 (м, 2Н); 3,7 (с, 2Н); 4,0 (с, 2Н); 4,3 (т, 2Н); 7,1-7,4 (м, 7Н); 7,7 (м, 1Н).
ЯМР-13С (CDCl3), : 15,01; 25,34; 31,07; 33,07; 34,53; 39,78; 43,64; 53,72; 60,52; 66,88; 68,62; 73,07; 109,13; 119,44; 121,77; 121,94; 126,22; 128,80; 134,78; 138,39; 142,71; 143,90; 158,45.
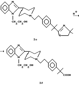
Пример 6Получение 2-[4-(2-(4-(1-(2-гидроксиэтил)бензимидазол-2-ил)-пиперидин-1-ил)этил)фенил]-2-метилпропановой кислоты (If) 5 г 1-(2-гидроксиэтил)-2-[1-(2-(4-(1-(4,4-диметил- 2-оксазолин-2-ил)-1-метилэтил)фенил)этил)пиперидин-4-ил] -1Н-бензимидазола (Iе) растворяют в 45 мл 3н. НС1 и нагревают с обратным холодильником в течение часа. Раствор доводят до основного рН с помощью 50% раствора NaOH и добавляют 20 мл этиленгликоля. Смесь нагревают при 190oС в течение трех часов с одновременной перегонкой и затем концентрируют в вакууме. Добавляют воду и экстрагируют эфиром. Водный слой доводят до рН 7 с помощью разбавленного раствора НС1, насыщают хлоридом натрия и экстрагируют н-бутанолом. Эфирный экстракт сушат и концентрируют. Остаток перекристаллизовывают в ацетоне/метаноле с получением 2,7 г 2-[4-(2-(4-(1-(2-гидроксиэтил)-бензимидазол-2-ил)пиперидин-1-ил)этил)фенил]-2-метилпропановой кислоты.
Т. пл.: 218oС (разлагается)ЯМР-1Н (CDCl3), : 1,4 (с, 6Н); 2,0-2,1 (м, 4Н); 2,7-2,9 (м, 4Н); 2,9-3,1 (т, 2Н); 3,2-3,5 (м, 3Н); 3,7 (т, 2Н); 4,3 (т, 2Н); 6,9-7,1 (м, 2Н); 7,1-7,2 (м, 2Н); 7,2-7,3 (м, 2Н); 7,3-7,4 (м, 1Н); 7,4-7,5 (м, 1Н).
Формула изобретения
![]() в которой R1 представляет водород или углеводородную группу с короткой цепью, такую как метил, этил, изопропил; и R2 представляет группу, выбранную из СН2OН, СООН, СООR3 и 4,4-диметил-2-оксазолинила, причем R3 является алкильной группой с короткой цепью, как определено выше, и их аддитивные соли с фармакологически приемлемыми кислотами или основаниями. 2. Соединение по п. 1, которое является 1-(2-этоксиэтил)-2-[1-(2-(4-(1-(4,4-димeтил- 2-oкcaзoлин-2-ил)-1-метилэтил)-фенил)этил)пиперидин-4-ил] -1Н-бензимидазолом или его аддитивной солью с фармацевтически приемлемой кислотой или основанием.
3. Соединение по п. 1, которое является 2-[4-(2-(4-(1-(2-этоксиэтил)бензимидазол-2-ил)пиперидин-1-ил)этил)фенил] -2-метилпропановой кислотой или его аддитивной солью с фармацевтически приемлемой кислотой или основанием.
4. Соединение по п. 1, которое является этил 2-[4-(2-(4-(1-(2-этоксиэтил)бензимидазол-2-ил)пиперидин-1-ил)этил)фенил] -2-метилпропаноатом или его аддитивной солью с фармацевтически приемлемой кислотой или основанием.
5. Соединение по п. 1, которое является 1-(2-этоксиэтил)-2-[1-(2-(4-(1,1-диметил-2-гидроксиэтил)фенил)этил)пиперидин-4-ил] -lH-бензимидазолом или его аддитивной солью с фармацевтически приемлемой кислотой или основанием.
6. Соединение по п. 1, которое является 1-(2-гидроксиэтил)-2-[1-(2-(4-(1-(4,4-димeтил- 2-oкcaзoлин-2-ил)-1-метилэтил)-фенил)этил)пиперидин-4-ил] -1Н-бензимидазолом или его аддитивной солью с фармацевтически приемлемой кислотой или основанием.
7. Соединение по п. 1, которое является 2-[4-(2-(4-(1-(2-гидроксиэтил)бензимидазол-2-ил)пиперидин-1-ил)этил)фенил] -2-метилпропановой кислотой или ее аддитивной солью с фармацевтически приемлемой кислотой или основанием.
8. Антигистаминная фармацевтическая композиция, отличающаяся тем, что она содержит эффективное, в качестве антигистаминного, количество одного из соединений по пп. 1-7 в качестве активного ингредиента, смешанное с одним или несколькими наполнителями.
9. Способ лечения аллергических заболеваний у пациентов, который включает введение фармацевтической композиции по п. 8 в подходящих дозах.
RH4A – Выдача дубликата патента Российской Федерации на изобретение
Дата выдачи дубликата: 12.11.2004
Наименование лица, которому выдан дубликат:
Извещение опубликовано: 20.12.2004 БИ: 35/2004
PD4A – Изменение наименования обладателя патента Российской Федерации на изобретение
(73) Новое наименование патентообладателя:
Извещение опубликовано: 10.05.2005 БИ: 13/2005
|
||||||||||||||||||||||||||


(1)





2-оксазолин-2-ил)-1-(метилэтил)фенил)этил)пиперидин-4-ил]-1Н-бензимидазола (Ia, R1=Et)
: 1,1 (т, 3Н); 1,3 (с, 6Н); 1,5 (с, 6Н); 1,9 (м, 2Н); 2,1 (м, 4Н); 2,6 (т, 2Н); 2,8 (т, 2Н); 3,0 (м, 1Н); 3,1 (д, 2Н); 3,4 (с, 2Н); 3,7 (т, 2Н); 3,9 (с, 2Н); 4,3 (т, 2Н); 7,1-7,3 (м, 7Н); 7,7-7,8 (м, 1Н).
ЯМР-13С (CDCl3), 