Патент на изобретение №2182149
|
||||||||||||||||||||||||||
(54) КРИСТАЛЛИЧЕСКИЙ (-)-3R,4R-ТРАНС-7-МЕТОКСИ-2,2-ДИМЕТИЛ-3-ФЕНИЛ-4-{4-[2-(ПИРРОЛИДИН-1-ИЛ)ЭТОКСИ]ФЕНИЛ}ХРОМАН, ГИДРОФУМАРАТ, СПОСОБ ЕГО ПОЛУЧЕНИЯ, ФАРМАЦЕВТИЧЕСКАЯ КОМПОЗИЦИЯ, СПОСОБ УМЕНЬШЕНИЯ ИЛИ ПРЕДУПРЕЖДЕНИЯ РАЗРЕЖЕНИЯ КОСТИ
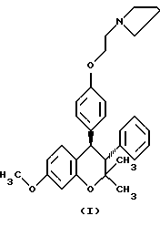
(57) Реферат: Изобретение относится к новому кристаллическому (-)-3R,4R-транс-7-метокси-2,2-диметил-3-фенил-4-{ 4-[2-(пирролидин-1-ил)этокси] фенил} хромана гидрофумарату, к способу его получения, фармацевтической композиции на его основе и способу уменьшения или предупреждения разрежения кости, включающему введение пациенту эффективного количества указанного нового соединения. Изобретение может быть использовано в медицине в качестве терапевтического агента. 4 с. и 5 з.п. ф-лы, 1 табл. Область изобретения Данное изобретение относится к кристаллическому (-)-3R,4R-транс-7-метокси-2,2-диметил-3-фенил-4-{ 4-[2-(пирролидин-1-ил)этокси] фенил} хроману, гидрофумарату, называемому здесь как фумарат левормелоксифена, его получению и использованию в качестве терапевтического агента. Предпосылки изобретения Патент США N 5280040 и N 5464862 описывают класс 3,4-диарилхроманов и их соли, пригодные для уменьшения разрежения кости (остеопороза). Патент США N 5453442 описывает способы снижения содержания холестерина в сыворотке крови и ингибирования пролиферации клеток гладких мышц в организме человека и ингибирования заболевания фибромы матки и эндометриоза у женщин путем введения соединений формулы (I), как показано в них. Получение 3,4-транс-диарилхроманов описывается в патенте США N 3822287 и в работе Suprabhat Ray et al. in J. Med. Chem. 19, 276 (1976), содержание которых приводится в описании в качестве ссылки. Разделение (+/-)-3,4-транс-7-метокси-2,2-диметил-3-фенил-4-{ 4-[2-(пирролидин-1-ил)этокси] фенил)хромана на его оптические антиподы описывается в патенте США N 4447622, включенном в описание в качестве ссылки. Пример 1 раскрывает получение (-) энантиомера, представленного формулой I. ![]() (В данном описании соединение формулы I называется левормелоксифеном). В примере 2 патента США N 4447622 левормелоксифен получают в виде свободного основания и гидрохлоридной соли. Однако свободное основание имеет очень низкую растворимость в воде, а гидрохлорид на я соль имеет некоторые фармацевтически нежелательные свойства. Гидрохлоридная соль гигроскопична, она очень плохо растворима в воде и образует твердый гель в водной суспензии. Для коммерческого использования важно иметь физиологически приемлемую соль с хорошей стабильностью, негигроскопичную, с хорошей биологической доступностью, удобную в обращении и в воспроизводимой кристаллической форме. Краткое содержание изобретения В рамках одного аспекта настоящее изобретение предлагает кристаллический (-)-3R, 4R-транс-7-метокси-2,2-диметил- 3-фенил-4-{ 4-[2-(пирролидин-1-ил)этокси]фенил}хроман, гидрофумарат. В рамках другого аспекта настоящего изобретения предлагается фармацевтическая композиция, содержащая кристаллический (-)-3R,4R-транс-7-метокси-2,2-диметил-3-фенил-4-{ 4-[2-(пирролидин-1-ил)этокси] фенил}хроман, гидрофумарат необязательно в комбинации с фармацевтически приемлемым носителем или разбавителем. В рамках еще одного аспекта настоящего изобретения предлагается способ получения кристаллического (-)-3R,4R-транс-7-метокси-2,2-диметил-3-фенил-4-{ 4- [2-(пирролидин-1-ил)этокси]фенил)хроман, гидрофумарата, который включает растворение фумаровой кислоты и (-)-3R,4R-транс-7-метокси-2,2-диметил-3-фенил-4-{ 4-[2-(пирролидин-1-ил)этокси]фенил}-хромана в общем растворителе и кристаллизацию полученной соли из раствора. В рамках еще одного аспекта настоящего изобретения предлагается способ использования соединения по настоящему изобретению для предупреждения или уменьшения разрежения кости. Подробное описание изобретения Было обнаружено, что кристаллический (-)-3R,4R-транс-7-метокси-2,2-диметил-3-фенил-4-{ 4-[2-(пирролидин-1-ил)этокси] фенил)хроман, гидрофумарат обладает описанными выше желательными свойствами. В отличие от гидрохлориднолй соли, которая очень гигроскопична, гидрофумаратная соль негигроскопична. Более того, гидрофумаратная соль имеет хорошие характеристики стабильности, хорошую биологическую доступность, она удобна в обращении и имеет воспроизводимую кристаллическую форму. Соответственно, настоящее изобретение предлагает кристаллический фумарат левормелоксифена в качестве нового материала, в частности в фармацевтически приемлемой форме. Настоящее изобретение предлагает также способ получения кристаллического (-)-3R, 4R-транс-7-метокси-2,2-диметил-3-фенил-4-(4-[2-(пирролидин-1-ил)этокси] фенил}хромана, гидрофумарата, который включает стадии растворения фумаровой кислоты и (-)-3R,4R-транс-7-метокси-2,2-диметил-3-фенил-4-{4-[2-(пирролидин-1-ил)этокси] фенил}хромана в общем растворителе и кристаллизации полученной соли из раствора. Примеры общих растворителей включают, но не ограничивают, органические растворители, в частности низшие алифатические спирты, такие как этанол, 2-пропанол, 2-бутанол, 1-гексанол, и растворители, подобные изобутилметилкетону и тетрагидрофурану. Предпочтительным растворителем является этанол. Смесь компонентов удобно получают при температурах от 40 до 60oС перед охлаждением до 5oС и сбором кристаллов путем фильтрации. Настоящее изобретение также предлагает фармацевтическую композицию, содержащую кристаллический (-)-3R,4R-транс-7-метокси-2,2-диметил-3-фенил-4-{ 4-[2-(пирролидин-1-ил)этокси] фенил)хроман, гидрофумарат, необязательно вместе с фармацевтически приемлемым носителем или разбавителем. Кристаллический (-)-3R,4R-транс-7-метокси-2,2-диметил-3-фенил-4-{4-[2-(пирролидин-1-ил)этокси]фенил}хроман, гидрофу-марат может быть использован в медицине человека и в ветеринарной медицине для регуляции метаболизма костей. Настоящее изобретение, таким образом, предлагает в соответствии с другим аспектом способ предупреждения или уменьшения разрежения кости у млекопитающих, нуждающихся в таком лечении или профилактике, включающий введение терапевтически эффективного количества соединения по настоящему изобретению. Фумарат левормелоксифена может быть использован, например, при лечении пациентов, страдающих разрежением кости в результате остеопороза (включая постклимактерический остеопороз и глюкокортикоид – связанный остеопороз), болезни Педжета, гиперпаратиреоза, злокачественной гиперкальцемии и других состояний, характеризуемых чрезмерными степенями резорбции кости и/или пониженными скоростями образования костей, или для пациентов, восприимчивых к разрежению кости. Более того, соединение оказывает влияние на сердечно-сосудистую систему, где оно снижает содержание в сыворотке крови холестерина, ингибирует накапливание липидов на стенках артерий, действует как вазодилататор и препятствует процессу коагуляции, благодаря чему оно может быть использовано для профилактики и лечения, например, атеросклероза, гиперлипемии и повышенной свертываемости крови. Оно может также быть использовано, например, для лечения пациентов женщин, страдающих эндометриозом, дисфункциональным кровотечением, раком матки, синдромом поликистоза яичников, кровотечением при ановуляции и раком груди, и пациентов мужчин с гинекомастией, гипертрофией простаты и карциномой простаты. Оно также может быть использовано для стимулирования внутриматочного истончения перед хирургической операцией внутриматочной полости. Более того, оно может быть использовано, например, для лечения симптомов менопаузы и атрофии слизистых мембран и кожи. Соединение может быть использовано, например, при лечении пациентов, страдающих ожирением или болезнью Альцгеймера. Для использования в рамках настоящего изобретения кристаллический (-)-3R, 4R-транс-7-метокси-2,2-диметил-3-фенил-4-{ 4-[2-(пирролидин-1-ил)этокси] фенил} хроман, гидрофумарат может быть объединен в композиции с фармацевтически приемлемым носителем или эксципиентом для получения лекарственного средства для парентерального, орального, назального, ректального, подкожного или интрадермального или трансдермального введения в соответствии с общепринятыми методами. Композиции могут дополнительно включать один или более разбавителей, наполнителей, эмульгаторов, консервантов, буферов, эксципиентов и так далее, и композиция может быть обеспечена в таких формах, как жидкости, порошки, эмульсии, свечи, липосомы, трансдермальные накладки, средства контролируемого выделения, кожные имплантанты, таблетки и так далее. Специалист в данной области может получить соединение соответствующим образом и в соответствии с принятой практикой, такими как описанные в Remington’s Pharmaceutical Sciences, Gennaro, ed. , Mack Publishing Co., Easton, PA, 1990. Композиции настоящего изобретения обычно приспособлены для орального приема или в виде композиций для растворения при парентеральном введении. Оральный прием предпочтителен. Для орального приема кристаллический (-)-3R,4R-транс-7-метокси-2,2-диметил-3-фенил-4-{ 4-[2-(пирролидин-1-ил)этокси] фенил} хроман, гидрофумарат получают в форме, подходящей для орального приема, такой как таблетка или капсула. Обычно соединение комбинируют с носителем и прессуют в таблетку. Подходящие в этом отношении носители включают крахмал, сахара, вторичный кислый фосфат кальция, стеарат кальция, стеарат магния и тому подобное. Такие композиции дополнительно могут включать одно или более вспомогательных веществ, такие как смачивающие вещества, эмульгаторы, консерванты, стабилизаторы, окрашивающие добавки и так далее. Фармацевтические композиции вводятся один раз или более в день или в неделю. Эффективное количество такой фармацевтической композиции – это количество, которое обеспечивает клинически значительный эффект. Такие количества будут зависеть, в частности, от конкретного состояния, которое необходимо лечить, возраста, веса и общего состояния здоровья пациента и от других факторов, очевидных для специалистов в данной области. Фармацевтические композиции могут вводиться в стандартной дозе раз или более в день или в неделю. В альтернативном варианте они могут быть обеспечены в виде композиций контролируемого выделения, подходящих для кожных имплантаций. Имплантанты готовят таким образом, чтобы обеспечить выделение активного соединения в течение требуемого периода времени, который может длиться вплоть до нескольких лет. Композиции для контролируемого выделения описываются, например, в работах Sanders et al., J. Pharm. Sci., 73 (1964), 1294-1297,1984; патентах США N 4489056; и N 4210644, которые включены в описание в качестве ссылки. Композиция обычно представлена в виде композиции стандартной дозы, содержащей 0,1-1000 мг соединения по настоящему изобретению для орального дозирования. Типичная дозировка, например, для остеопорозного эффекта будет изменяться в пределах 0,1-500 мг, предпочтительно 0,1-280 мг в день, либо за один прием, либо с разделением на 2 или 3 дозы при оральном приеме или 2 или 3 раза в неделю или один раз в неделю или один раз в 14 дней. Предпочтительные стандартные формы включают в твердые формы, таблетки или капсулы, в жидкие формы, растворы, суспензии, эмульсии, эликсиры или наполненные ими капсулы, или же в формы стерильных растворов для инъекций, или накладок, вагиторий, вагинальных колец или имплантантов с длительным действием. Композиция настоящего изобретения может быть составлена общепринятыми методами медицинской фармакологии. Обычными эксципиентами являются такие фармацевтически приемлемые органические или неорганические вещества – носители, которые подходят для парентерального или орального применения и которые не реагируют нежелательным образом с активным соединением. Примерами таких носителей являются вода, солевые растворы, спирты, полиэтиленгликоли, полигидроксиэтоксилированное касторовое масло, сироп, арахисовое масло, оливковое масло, желатин, лактоза, гипс, сукроза, агар, пектин, акация, амилоза, стеарат магния, тальк, кремниевая кислота, стеариновая кислота, моноглицериды и диглицериды жирных кислот, сложные эфиры пентаэритрита жирных кислот, гидроксиметилцеллюлоза, поливинилпирролидон и фосфаты кальция. Фармацевтические препараты могут быть стерилизованы и смешаны, при необходимости, со вспомогательными веществами, такими как связующие, смазки, консерванты, дезинтегранты, стабилизаторы, смачивающие агенты, эмульгаторы, соль для воздействия на осмотическое давление, буферы и/или окрашивающие добавки и тому подобное, которые не взаимодействуют нежелательным образом с активным соединением. Для парентерального применения особенно подходящими являются растворы или суспензии для инъекций, предпочтительно, водные растворы с растворенным в полигидроксилированном касторовом масле активным соединением. Для орального приема особенно подходящими являются таблетки, драже или капсулы, содержащие тальк и/или углеводородный носитель, или связующее, или подобное, носитель предпочтительно является лактозой или фосфатом кальция и/или кукурузным крахмалом и/или картофельным крахмалом. Когда может использоваться подслащенный наполнитель, могут быть использованы сироп, эликсир и подобное. Типичная таблетка, которую можно изготовить по обычной методике изготовления таблеток, содержит Активное соединение – 10 мг Lactosum – 67,8 мг Ph.Eur. Avicel – 31,4 мгТальк – 1,0 мг Magnesii stearas – 0,25 мг Ph.Eur. Настоящее изобретение дополнительно иллюстрируется следующими примерами, которые, однако, не рассматриваются как ограничивающие объем защиты. Признаки, раскрытые в вышеприведенном описании и в нижеследующих примерах, могут, как по отдельности, так и в их любой комбинации, составлять материал для реализации настоящего изобретения в его различных формах. Фумарат левормелоксифена был синтезирован, очищен и кристаллизован так, как это описано в следующем примере. Пример 1 (-)-3R, 4R-транс-7-метокси- 2,2-диметил-3-фенил-4-{4-[2-(пирролидин-1-ил)этокси]фенил}хроман, гидрофумарат (фумарат левормелоксифена) К перемешанному раствору (+/-)-транс-7-метокси-2,2-диметил-3-фенил-4-{ 4-[2-(пирролидин-1-ил)этокси] фенил} хромана (1,00 кг, 2,19 моль) в метаноле (10 л) с температурой 50oС добавляют (+)-дитолуоилвинную кислоту (464 г, 1,20 моль). Суспензию перемешивают при 50oС до тех пор, пока раствор не станет однородным. К раствору добавляют муравьиную кислоту (73 г, 1,59 моль), и температуре дают снизиться до 30-40oС. В случае, если при этой температуре кристаллизация не возникает, раствор затравляют кристаллами, и температуре дают дополнительно снизиться до 20oС. Суспензию перемешивают в течение двух часов при 20oС и после этого охлаждают до 5-10oС в течение двух часов, кристаллы собирают фильтрованием. Выход 742 г. Перекристаллизация из дефлегмирующего метанола (26 л) после охлаждения до 5-10oС и фильтрации дала чистые кристаллы соли (+)-дитолуоилтартрата левормелоксифена. Выход 556 г. Температура плавления 136-138oС (разл.) (-)-3R, 4R-транс-7-метокси- 2,2-диметил-3-фенил-4-{4-[2-(пирролидин-1-ил)этокси] фенил} хроман, (+)-дитолуоилтартрат (500 г) суспендируют в смеси толуола (2,5 л), воды (2 л) и карбоната натрия (157 г) при температуре окружающей среды. Смесь перемешивают до растворения солей. Водную фазу отделяют. Толуольную фазу промывают водой (2 л) и выпаривают до масла. Масло растворяют в этаноле (1 л) при 40-60oС, и раствор добавляют к раствору фумаровой кислоты (69 г, 0,59 моль) в этаноле (2 л). Фумаратная соль легко кристаллизуется, и смесь перемешивают в течение часа при 40-60oС, и после этого охлаждают до 5oС. Целевое соединение собирают фильтрованием и сушат при 50oС с получением 321 г (57%). Температура плавления 225oС (ДСК) 1Н-ЯМР (ДМСО-d6, ТМС): (м.д.): 2,90(4Н,м), 1,75(4Н,м), 3,10(2Н,т), 4,06(2Н, т), 6,69(2Н, д), 7,01(2Н, д), 4,50(1Н,д), 6,44(1Н,м), 6,33(1Н,м), 6,38(1Н, м), 3,28(1Н,д), 7,31(2Н,уш.с.), 7,20(2Н,м), 7,11(1Н,м), 1,15(3Н,с), 1,27(3Н,с), 3,68(3Н,с), 6,53(2Н,с), 10,0(2Н,с).
Масс-спектроскопия: 457,2632(М+ измеренный), 457,2617(М+ вычисленный).
Элементный анализ: (С30Н35NO3, С4Н4O4),вычислено: С:71,18%, Н:6,85%, N:2,44%, обнаружено: С:71,23%, Н:7,15%, N:2,31%. Вращение плоскости поляризации света: [ ]20D = -153,8o (с= 0,5%(вес/объем) в этаноле).
Гигроскопичность гидрохлоридных и фумаратных солей левормилоксифена представлена в таблице 1.
Формула изобретения
РИСУНКИ
MM4A Досрочное прекращение действия патента Российской Федерации на изобретение из-за неуплаты в установленный срок пошлины за поддержание патента в силе
Дата прекращения действия патента: 08.05.2004
Извещение опубликовано: 20.10.2005 БИ: 29/2005
|
||||||||||||||||||||||||||


– 31,4 мг
(м.д.): 2,90(4Н,м), 1,75(4Н,м), 3,10(2Н,т), 4,06(2Н, т), 6,69(2Н, д), 7,01(2Н, д), 4,50(1Н,д), 6,44(1Н,м), 6,33(1Н,м), 6,38(1Н, м), 3,28(1Н,д), 7,31(2Н,уш.с.), 7,20(2Н,м), 7,11(1Н,м), 1,15(3Н,с), 1,27(3Н,с), 3,68(3Н,с), 6,53(2Н,с), 10,0(2Н,с).
Масс-спектроскопия: 457,2632(М+ измеренный), 457,2617(М+ вычисленный).
Элементный анализ: (С30Н35NO3, С4Н4O4),
]20D = -153,8o (с= 0,5%(вес/объем) в этаноле).
Гигроскопичность гидрохлоридных и фумаратных солей левормилоксифена представлена в таблице 1.