Патент на изобретение №2181357
|
||||||||||||||||||||||||||
(54) КОМПОЗИЦИЯ СЕЛЕКТИВНЫХ ИНГИБИТОРОВ ВИРУСНЫХ ИЛИ БАКТЕРИАЛЬНЫХ НЕЙРАМИНИДАЗ (ВАРИАНТЫ), СОЕДИНЕНИЕ И СПОСОБ ЛЕЧЕНИЯ ИЛИ ПРОФИЛАКТИКИ ЗАБОЛЕВАНИЯ ГРИППОМ
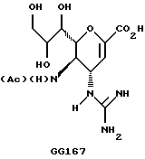
(57) Реферат: В изобретении описывается композиция селективных ингибиторов вирусных или бактериальных нейраминидаз, содержащая соединение по формуле (I) или (II), где заместители имеют указанные в описании значения. Кроме того, описаны соединения общих формул (III) и (IV), где заместители также имеют указанные в описании значения. Также описаны фармацевтические композиции, содержащие ингибиторы согласно изобретению. Описан способ лечения или профилактики заболевания гриппом, включающий назначение терапевтически эффективного количества соединения формул (I) и (II) и фармацевтически приемлемый носитель. 4 с. и 33 з.п.ф-лы, 8 ил., 57 табл. ![]() ![]() ![]()
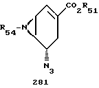
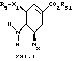
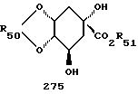
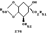
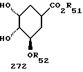
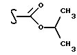
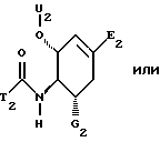
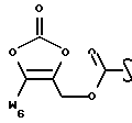
Область техники, к которой относится изобретение Нейраминидаза (также известная как сиалидаза, ацилнейраминил гидролаза и ЕС 3.2.1.18) является обычным для животных и ряда микроорганизмов ферментом. Она представляет собой гликогидролазу, которая отщепляет альфакетосидикально связанные сиаловые кислоты от гликопротеинов, гликолипидов и олигосахаридов. Многие из микроорганизмов, содержащих нейраминидазу, патогенны по отношению к человеку и другим животным, включая птицу, лошадей, свиней и тюленей. Такие патогенные организмы включают вирус гриппа. Нейраминидаза связана с патогенностью вируса гриппа. Предположительно, она содействует элюированию вновь синтезированных вирионов из инфицированных клеток и движению вируса (благодаря ее гидролазной активности) через слизь респираторного тракта. Уровень техники Itzstein, M. von et al., “Nature”, 1993, 363(6428):418-423 описывает целесообразный проект ингибиторов репликации вирусов гриппа на основе сиалидазы. Colman, P. M. et al., International Patent Publication No. WO 92/06691 (Int. App. No. PCT/AU90/00501, дата публикации 30 апреля 1992 г.), Itzstein, M. von et al. , European Patent Publication No. 0539204 A1 (EP App. No. 92309684.6, дата публикации 28 апреля 1993 г.) и Itzstein, M. von et al., International Patent Publication No. WO 91/16320 (Int. App. No. PCT/AU91/00161, дата публикации 31 октября 1991 г.) описывают соединения, связывающие нейраминидазу и, как утверждается, обладающие антивирусной активностью in vivo. Задачи изобретения Принципиальной задачей изобретения является ингибирование вирусов, в особенности вирусов гриппа. Особой задачей изобретения является ингибирование гликолитических ферментов, таких как нейраминидаза, в особенности селективное ингибирование вирусных и бактериальных нейраминидаз. Другой задачей изобретения является получение ингибиторов нейраминидазы, которые имеют пониженную скорость выделения с мочой, поступают в носовые или легочные секреты из большого круга кровообращения, имеют достаточную оральную биологическую доступность для того, чтобы быть терапевтически эффективными, и обладают повышенной эффективностью, имеют клинически приемлемые профили токсичности и имеют другие желательные фармацевтические свойства. Еще одной задачей изобретения является создание улучшенных или менее дорогих способов синтеза ингибиторов нейраминидаз. Следующей задачей изобретения является создание улучшенных способов контроля известных и новых ингибиторов нейраминидаз. Следующей задачей изобретения является создание композиций, используемых при получении полимеров, поверхностно-активных веществ или иммуногенов и в других технологических процессах и изделиях. Эти и другие задачи изобретения будут легко понятны для обычного специалиста при рассмотрении изобретения в целом. Сущность изобретения Соединения или композиции по изобретению, имеют формулу (I) или (II): ![]() ![]() где А1 представляет собой -C(J1)=; А2 представляет собой -C(J1)2-; Е1 представляет собой -(CR1R1)m1W1; G1 представляет собой N3, -CN, -ОН, -OR6a, -NO2 или -(CR1R1)m1W2; Т1 представляет собой -NR1W3, гетероцикл или взятый вместе с U1 или G1 образует группу, имеющую структуру: ![]() U1 представляет собой Н или -X1W6; J1 и J1a означают независимо друг от друга R1, Br, Сl, F, I, CN, NO2, N3; J2 и J2а означают независимо Н или R1; R1 представляет собой независимо друг от друга Н или алкил, содержащий от 1 до 12 атомов углерода; R2 представляет собой R3 или R4, где каждый R4 независимо замещен на 0-3 группы R3; R3 представляет собой независимо друг от друга -NO2, -OR6a, -OR1, -N(R1)2, -N(R1)(R6b), -N(R6b)2, -SR1, -SR6a, =O, =S, =N(R1) или =N(R6b); R4 представляет собой независимо друг от друга алкил, содержащий от 1 до 12 атомов углерода, или алкенил, содержащий от 2 до 12 атомов углерода; R5 представляет собой независимо друг от друга R4, где каждый R4 замещен на 0-3 группы R3; R5a представляет собой независимо друг от друга алкилен, содержащий от 1 до 12 атомов углерода, алкенилен, содержащий от 2 до 12 атомов углерода, или алкинилен, содержащий от 2 до 12 атомов углерода, причем любой из них – алкилен, алкенилен или алкинилен замещены на 0-3 группы R3; R6a представляет собой независимо друг от друга Н или группу, образующую простой и сложный эфиры; R6b представляет собой независимо друг от друга Н, группу, защищающую аминогруппу, или остаток карбоксилсодержащего соединения; R6c представляет собой независимо друг от друга, Н или остаток аминосодержащего соединения; W1 означает группу, включающую кислотный водород, защищенную кислотную группу или R6c амид группы, включающий кислотный водород; W2 представляет собой группу, включающую основной гетероатом, или защищенный основной гетероатом, или R6b амид основного гетероатома; W3 представляет собой W4 или W5; W4 представляет собой R5 или -C(O)R5, -C(O)W5, -SO2R5 или -SO2W5; W5 представляет собой карбоцикл или гетероцикл, где W5 независимо друг от друга замещен на 0-3 группы R2; W6 представляет собой -R5, -W5, -R5aW5, -C(O)OR6a, -C(O)R6c, -C(O)N(R6b)2, -C(NR6b)(N(R6b)2)-, -C(NR6b(N(H)(R6b)2), -C(N(H)(N(R6b)2), -C(S)N(R6b)2 или -C(O)R2; X1 означает связь, -О-, -N(H)-, -N(W6)-, -N(OH)-, -N(OW6)-, -N(NH2)-, -N(N(H)(W6))-, -N(N(W6)2)-, -N(H)(N(W6)-, -S-, -SO-, или -SO2– и каждый m1 означает от 0 до 2; при условии, однако, что исключаются соединения, где: А1 означает -СН= или -N= и А2 означает -СН2-; Е1 означает СООН, Р(O)(ОН)2, SOOH, SO3H или тетразол; G1 означает CN, N(H)R20, N3, SR20, OR20, гуанидино, -N(H)CN, ![]() NR20, ![]() ![]() ![]() ![]() T1 означает -NHR20; R20 представляет собой Н, ацильную группу, содержащую от 1 до 4 атомов углерода, линейную или циклическую алкильную группу, содержащую от 1 до 6 атомов углерода, или ее замещенный аналог, аллильную группу, или незамещенную арильную группу, или арил, замещенный на галоген, ОН, NO2, NH2 или СООН; J1 представляет собой Н и J1a представляет собой Н, F, Сl, Вr или CN; J2 представляет собой Н и J2a представляет собой Н, CN или N3; U1 представляет собой CH2YR20, CHYR20aCH2YR20a или СHYR20aCHYR20aCH2YR20a; R20a представляет собой Н или ацил, содержащий от 1 до 4 атомов углерода; Y означает О, S, Н или NH; от 0 до 2 YR20a представляет собой Н и последовательные остатки Y в группе U1 являются одинаковыми или разными и в том случае, если Y означает Н, то R20a означает связь, и при условии, что в том случае, если G1 означает N3, то U1 – не означает -CH2OCH2Ph, и их фармацевтически приемлемые соли и сольваты; а также их соли, сольваты, разделенные энантиомеры и очищенные диастереомеры. Согласно другому варианту изобретения соединения имеют формулу ![]() ![]() где Е1 представляет собой -(CR1R1)m1W1; G1 представляет собой N3, -CN, -ОН, -OR6a, -NO2 или -(СR1R1)m1W2; Т1 представляет собой -NR1W3, гетероцикл или вместе с U1 или G1 образуют группу, имеющую формулу: ![]() U1 представляет собой Н или -X1W6 и, если U1 означает -X1W6, то U1 является разветвленной цепью; J1 и J1a независимо друг от друга означают R1, Br, Сl, F, I, CN, NO2 или N3; J2 и J2а независимо друг от друга означают Н или R1; R1 независимо означает Н или алкил, содержащий от 1 до 12 атомов углерода; R2 означают R3 или R4, где каждый R4 независимо замещен на 0 – 3 группы R3; R3 независимо означает -NO2, -OR6a, -OR1, -N(R1)2, -N(R1)(R6b), -N(R6b)2, -SR1, -SR6a, =O, =S, =N(R1) или =N(R6b); R4 представляет собой независимо друг от друга алкил, содержащий от 1 до 12 атомов углерода, алкенил, содержащий от 2 до 12 атомов углерода; R5 представляет собой независимо друг от друга R4, где каждый R4 замещен на 0-3 группы R3; R5a представляет собой независимо друг от друга алкилен, содержащий от 1 до 12 атомов углерода, алкенилен, содержащий от 2 до 12 атомов углерода, или алкинилен, содержащий от 2 до 12 атомов углерода, любой из них, алкилен, алкенилен или алкинилен, замещенный на 0-3 группы 3; R6a означает независимо друг от друга Н или группу, образующую простой и сложный эфир; R6b означает независимо друг от друга Н, группу, защищающую аминогруппу или остаток карбоксилсодержащего соединения; R6c представляет собой независимо друг от друга Н или остаток аминосодержащего соединения; W1 представляет собой группу, включающую кислотный водород, защищенную кислотную группу или R6c амид группы, включающей кислотный водород; W2 означает группу, включающую основной гетероатом или защищенный основной гетероатом, или R6b амид основного гетероатома; W3 представляет собой W4 или W5; W4 представляет собой R5 или -C(O)R5, -C(O)W5, -SO2R5 или -SO2W5; W5 представляет собой карбоцикл или гетероцикл, замещенные независимо друг от друга на 0-3 группы R2; W6 представляет собой -R5, -W5, -R5aW5, -C(O)OR6a, -C(O)R6c, -C(O)N(R6b)2, -C(NR6b)(N(R6b)2), -C(S)N(R6b)2 или -С(O)R2; X1 является связью, -O-, -N(H)-, -N(W6)-, -N(OH)-, -N(OW6)-, -N(NH2)-, -N(N(H)(W6))-, -N(N(W6)2)-, -N(H)N(W6)-, -S-, -SO- или -SO2– и каждый m1 имеет значение от 0 до 2; при условии, что исключаются соединения формулы: ![]() ![]() где в формуле (Va): (а) Е1 означает -СО2Н; G1 означает -N(H)(C(NH)(NH2)); Т1 означает -N(H)(Ac); U1, имеет формулу: ![]() (b) Е1 означает -СО2Н; G1 означает -NH2; Т1 означает -N(H)(Ac); U1 означает -СН2ОН; (c) Е1 означает -СН2ОН, -CH2OTMS, -СО2Н или -СНО; G1 означает -N3; Т1 означает -N(H)(Ac); U1 означает -CH2OCH2Ph; (d) E1 означает -СО2Н или -CO2CH3; G1 означает -NH3; Т1 означает -N(H)(Ac); U1 означает -СН2ОН; и в формуле (VIa): (а) Е1 означает -СН2Н; G1 означает -OCH3; Т1 означает -N(H)(Ac); U1 означает -СН2ОАс; и их соли, сольваты, разделенные энантиомеры и очищеные диастереомеры. Согласно другому варианту воплощения изобретения соединения имеют формулу: ![]() где Е1 означает (CR1R1)m1W1; G1 представляет собой N3, -CN, -ОН, -OR6a, -NO2 или -(CR1R1)m1W2; Т1 представляет собой -NR1W3, гетероцикл или вместе с U1 или G1 образует группу формулы: ![]() U1 представляет собой Н или -X1W6; J1 и J1a независимо друг от друга означают R1, Br, Cl, F, I, CN, NO2 или N3; J2 и J2а независимо друг от друга означают Н или R1; R1 означает независимо друг от друга Н или алкил, содержащий от 1 до 12 атомов углерода; R2 означает R3 или R4, где каждый R4 независимо замещен на 0-3 группы R3; R3 означает независимо друг от друга -NO2, -OR6a, -OR1, -N(R1)2, -N(R1)(R6b)-, -N(R6b)2, -SR1, -SR6a =O, =S, =N(R1) или =N(R6b); R4 представляет собой независимо друг от друга алкил, содержащий от 1 до 12 атомов углерода, алкенил, содержащий от 2 до 12 атомов углерода; R5 представляет собой независимо друг от друга R4, где каждый R4 замещен 0-3 группами R3; R5a представляет собой независимо друг от друга алкилен, содержащий от 1 до 12 атомов углерода, алкенилен, содержащий от 2 до 12 атомов углерода, или алкинилен, содержащий от 2 до 12 атомов углерода, любой из которых – алкилен, алкенилен или алкинилен замещены на 0-3 группы R3; R6a представляет собой независимо друг от друга Н или группу, образующую простой или сложный эфир; R6b означает независимо друг от друга Н, группу защищающую аминогруппу, или остаток карбоксилсодержащего соединения; R6c представляет собой независимо друг от друга Н или остаток аминосодержащего соединения; W1 означает группу, включающую кислотный водород, защищенную кислотную группу или R6c амид группы, включающей кислотный водород; W2 означает группу, включающую основной гетероатом или защищенный основной гетероатом, или R6b амид основного гетероатома; W3 представляет собой W4 или W5; W4 представляет собой R5 или -C(O)R5, -C(O)W5, -SO2R5, или -SO2W5; W5 представляет собой карбоцикл или гетероцикл, замещенные независимо друг от друга на 0-3 группы R2; W6 представляет собой -R5, -W5, -R5aW5, -C(O)OR6a, -C(O)R6c, -C(O)N(R6b)2, -C(NR6b)(N(R6b)2), -C(S)N(R6b)2 или -С(O)R2; X1 означает -О-, -N(H)-, -N(W6)-, -N(OH)-, -N(OW6)-, -N(NH2)-, -N(N(H)(W6))-, -N(N(W6)2)-, -N(H)N(W6)-, -S-, -SO-, или -SO2-, и m1 имеет значение в пределах от 0 до 2; их соли, сольваты, разделенные энантиомеры и очищеные диастереомеры. Согласно другому варианту воплощения изобретения соединения имеют формулу: ![]() где Е1 представляет собой -СО2R1; G1 представляет собой -NH2, -N(H)(R5) или -N(H)(C(N(H))(NH2)); Т1 представляет собой -N(H)(C(O)CH3); U1 представляет собой -OR60; R1 представляет собой алкил, содержащий от 1 до 12 атомов углерода; R60 представляет собой разветвленный алкил, содержащий от 3 до 12 атомов углерода; и их соли, сольваты, разделенные энантиомеры и очищенные диастереомеры. Согласно следующему варианту воплощения изобретения соединения имеют формулу (VII) или (VIII): ![]() ![]() где E1 представляет собой -(CR1R1)m1W1; G1 представляет собой N3, -CN, -OH, -OR6a, -NO2 или -(CR1R1)m1W2; T1 представляет собой -NR1W3, гетероцикл или вместе с U1 или G1 образуют формулы: ![]() U1 представляет собой -X1W6; J1 и J1a означают независимо друг от друга R1, Br, Сl, F, I, CN, NO2 или N3; J2 и J2a означают независимо друг от друга Н или R1; R1 означает независимо друг от друга Н или алкил, содержащий от 1 до 12 атомов углерода; R2 означает независимо друг от друга R3 или R4, где каждый R4 независимо друг от друга замещен на 0-3 группы R3; R3 означает независимо друг от друга F, Сl, Br, I, -CN, N3, -NO2, -OR6a, -OR1, -N(R1)2, -N(R1)(R6b), -N(R6b)2, -SR1, -SR6a, -S(O)R1, -S(O)2R1, -S(O)OR1, -S(O)OR6a, -S(O)2OR1, -S(O)2OR6a, -C(O)OR1, -C(O)R6c, -C(O)OR6a, -OC(O)R1, -N(R1)(C(O)R6b), -N(R6b)(C(O)R1), -N(R1)(C(O)OR1), -N(R6b(C(O)OR1), -C(O)N(R1)2, -C(O)N(R6b)(R1), -C(O)N(R6b)2, -C(NR1)(N(R1)2), -C(N(R6b))(N(R1)2), -C(N(R1))(N(R1)(R6b)), -C(N(R6b))(N(R1)(R6b)), -C(N(R1))(N(R6b)2), -C(N(R6b))(N(R6b)2) -(N(R1)C(N(R1))(N(R1)2), -N(R1)C(N(R1))(N(R1)(R6b)), -N(R1)C(N(R6b))(N(R1)2), -N(R6b)C(N(R1))(N(R1)2), -N(R6b)C(N(R6b))(N(R1)2), -N(R6b)C(N(R1))(N(R1)(R6b)), -N(R1)C(N(R6b))(N(R1)(R6b)), -N(R1)C(N(R1))(N)R6b)2), -N(R6b)C(N(R6b))(N(R1)(R6b)), -N(R6b)C(N(R1))(N(R6b)2), -N(R1)C(N(R6b))(N(R6b)2), -N(R6b)C(N(R6b))(N(R6b)2), =O, =S, =N(R,) или =N(R6b); R4 представляет собой независимо друг от друга алкил, содержащий от 1 до 12 атомов углерода, алкенил, содержащий от 2 до 12 атомов углерода, или алкинил, содержащий от 2 до 12 атомов углерода; R5 представляет собой независимо друг от друга R4, где каждый R4 замещен на от 0 до 3 группами R3; R5a представляет собой независимо друг от друга алкилен, содержащий от 1 до 12 атомов углерода, алкенилен, содержащий от 2 до 12 атомов углерода, или алкинилен, содержащий от 2 до 12 атомов углерода, любой из которых – алкилен, алкенилен или алкинилен замещен на 0-3 групп R3; R6a представляет собой независимо друг от друга Н или группу, защищающую гидроксильную или тиогруппу; R6b представляет собой независимо друг от друга Н, группу защищающую аминогруппу или остаток карбоксилсодержащего соединения; R6c представляет собой независимо друг от друга Н или остаток аминосодержащего соединения; W1 представляет собой группу, включающую кислотный водород, защищенную кислотную группу, или R6cамид группы, включающей кислотный водород; W2 представляет собой группу, включающую основной гетероатом или защищенный основной гетероатом, или R6bамид основного гетероатома; W3 представляет собой W4 или W5; W4 представляет собой R5 или -C(O)R5, -C(O)W5, -SO2R5 или -SO2W5; W5 представляет собой карбоцикл или гетероцикл, замещенные независимо друг от друга замещен на 0-3 группы R2; W6 представляет собой -R5, -W5, -R5aW5, -C(O)OR6a, -C(O)R6c, -C(O)N(R6b)2, -C(NR6b)(N(R6b)2), -C(NR6b)(N(H)(R6b)), -C(N(H)(N(R6b)2), -C(S)N(R6b)2) или -C(O)R2; X1 означает связь, -О-, -N(H)-, -N(W6)-, -S-, -SO- или -SO2– и каждый m1 имеет значение от 0 до 2; при условии, что исключаются соединения, у которых U1 является Н или -СН2СН(ОН)СН2(ОН); и их соли, сольваты, разделенные энантиомеры и очищенные диастереомеры. Согласно другому воплощению изобретения предлагается соединение или композиция по изобретению, включающая фармацевтически приемлемый носитель. В другом воплощении изобретения предлагается ингибировать активность нейраминидазы способом по изобретению, включающим обработку образца, предположительно содержащего нейраминидазу, соединением или композицией по изобретению. В еще одном воплощении изобретения предлагается ингибировать активность нейраминидазы, способом по изобретению, включающим контактирование образца, предположительно содержащего нейраминидазу, с композицией по изобретению. Другим воплощением изобретения является способ лечения или профилактики вирусной инфекции, особенно вируса гриппа у хозяина, включающий введение хозяину путями иными, чем местно в респираторном тракте, терапевтически эффективной дозы антивирусноактивного соединения, описанного в WO 91/16320, WO 92/06691 или патенте US 5360817. В других воплощениях предлагаются новые способы синтеза соединений по изобретению. В одном из этих воплощений предлагается способ использования соединения формулы 281, включающий обработку соединения 281 соединением формулы R5-X1-H для образования соединения формулы 281.1 ![]() ![]() где Х1 и R5 имеют указанные выше значения, R51 означает группу, защищающую карбоновую кислоту, устойчивую в кислой среде; R54 – это азиридинактивирующая группа. В другом воплощении изобретения предлагается способ для использования соединения формулы: ![]() включающий обработку хинной кислоты геминальным диалкоксиалканом или геминальным диалкоксициклоалканом и кислотой для образования соединения формулы: ![]() обработку соединения 274 алкоксидом металла и алканолом для образования соединения формулы: ![]() обработку соединения 275 галоидангидридом сульфокислоты и амином для образования соединения формулы: ![]() обработку соединения 276 дегидратирующим агентом с последующей обработкой кислотой и алканолом для образования соединения формулы ![]() где R50 означает группу, защищающую 1,2 диол; R51 означает стабильную в кислой среде группу защищающую карбоновую кислоту; R52 – это гидроксиактивирующая группа. Перечень фигур чертежей На фигурах 1 и 2 изображены уровни артериального насыщения кислородом (SaO2) у мышей, инфицированных гриппом А, которым вводились внутрибрюшинно различные дозы GG167 (4-гуанидино-2,4-дидеокси-2,3-дегидро-N-ацетилнейраминовой кислоты), известного антигриппозного соединения (фиг. 1) и соединения 203 по данному изобретению (фиг. 2): 50, 10, 2 и 0,5 мг/кг/сутки испытуемых соединений и показан контроль с использованием физиологического раствора соответственно квадратами, заштрихованными кругами, треугольниками, ромбами и незаштрихованными кругами. На всех фигурах *Р<0,05, **Р<0,01 сравнивается с контрольными опытами, в которых используют физиологический раствор. На фигурах 3-5 сравнивают уровни SaO2 у мышей, инфицированных гриппом А, которым вводились перорально дозы рибавирина (треугольники), соединения 203 (квадраты) и GG167 (заштрихованные круги); контрольные опыты с использованием физиологического раствора – незаштрихованные круги; фиг. 3: 150 мг/кг/сутки каждого соединений 203 и GG167, 100 мг/кг/сутки рибавирина; фиг. 4: 50 мг/кг/сутки каждого из соединений 203 и GG167, 32 мг/кг/сутки рибавирина; фиг. 5: 10 мг/кг/сутки каждого из соединений 203 и GG167, 10 мг/кг/сутки рибавирина. На фигурах 6-8 изображены уровни SaO2 у мышей, инфицированных гриппом А, которым перорально вводили низкие дозы соединений 262 (круги) и 260 (заштрихованные квадраты) и GG167 (треугольники); контрольные опыты с использованием физиологического раствора – незаштрихованные круги и неинфицированные контрольные опыты – незаштрихованные квадраты; фиг. 6: мг/кг/сутки каждого из испытываемых соединений; фиг. 7: 1 мг/кг/сутки каждого из испытываемых соединений; фиг. 8: 0,1 мг/кг/сутки каждого из испытываемых соединений. Сведения, подтверждающие возможность осуществления изобретения Композиции по изобретению Соединения по данному изобретению исключают уже известные соединения. Однако как будет показано ниже, в других воплощениях использование в антивирусных целях уже известных соединений, полученных ранее и используемых в качестве промежуточных продуктов при получении антивирусных соединений, входит в объем данного изобретения. В отношении США соединения или композиции по изобретению исключают соединения, которые подподают под 35 USC 102 или очевидны по 35 USC 103. В особенности пункты формулы изобретения должны быть составлены так, чтобы исключить соединения, которые подподают или не обладают новизной с учетом WO 91/16320, WO 92/06691, патент US 5360817 или Chandler, M. et al.; J. Chem. Soc. Perkin Trans. 1. 1995, 1189-1197. Тем не менее в воплощении изобретения идентифицируются соединения, которые могут подпасть под объем заявок WO 91/16320, WO 92/06691 или патент US 5360817, но имеющие: (а) формулу Iа заявки ‘320, (b) углерод для группы “А” в заявке ‘320 и (с) R5 в заявках ‘320 и ‘691, представляющий собой “-CH2YR6, -CHYR6CH2YR6 или -CHYR6CHYR6CH2YR6“, где YR6 не означает ОН или защищенный ОН, в котором защитная группа способна к гидролизу с высвобождением свободной ОН группы в условиях желудочно-кишечного тракта человека, то есть соединения устойчивы к гидролизу в желудочно-кишечном тракте, для заявок ‘320 и ‘691. Таким образом, типичными исключениями из этого воплощения являются соединения из заявок ‘320 и ‘691, у которых R5 представляет собой ацетил или другой карбоцил, содержащий 1-4 атомов углерода. Известны методики и способы определения стабильности соединений в заменителе желудочно-кишечных секреций. Соединения характеризуются здесь как стабильные в желудочно-кишечном тракте, если менее чем 50 молярных процентов их защищенных групп теряют защиту в заменителе кишечного или желудочного сока в процессе инкубации в течение 1 часа при 37oС. Такие соединения пригодны для использования согласно данному воплощению. Заметим, что то, что соединения просто стабильны в желудочно-кишечном тракте, не означает, что они не могут быть гидролизованы in vivo. Пролекарства обычно могут быть стабильны в пищеварительной системе, но в значительной степени гидролизуются до исходного лекарства в пищеварительной полости, печени или другом метаболическом органе или внутри клеток. Должно быть понятно, однако, что другие воплощения этого изобретения, полнее описанные ниже, рассматривают использование соединений, которые специфически раскрыты в WO 91/16320, WO 92/06691 и патенте US 5360817, включая те, в которых YR6 является свободным гидроксилом или гидроксилом, защищенным легко гидролизуемой группой, такой как ацетил. В этом случае, однако, соединения получают новыми способами. В другом воплощении изобретения исключаются соединения, в которых: (a) Е1 представляет собой -СО2Н, -Р(O)(ОН)2, -NO2, -SO2H, -SO3H, тетразолил, -СН2СНО, -СНО или -СН(СНО)2; (b) G1 представляет собой -CN, N3, -NHR20, NR20, OR20, гуанидино, SR20, -N(R20)–>O, -N(R20)(OR20), -N(H)(R20)N(R20)2, незамещенный пиримидинил или незамещенный (пиримидинил)метил; (c) Т1 представляет собой -NHR20, -NO2 и R20 представляет собой Н; ацильную группу, содержащую 1-4 атомов углерода; линейную или циклическую алкильную группу, содержащую 1-6 атомов углерода, или ее галогензамещенный аналог; аллильную группу или незамещенную арильную группу или арил, замещенный галогеном, ОН группой, NO2 группой, NH2 группой или СООН группой; (d) каждый J1 – Н; (e) Х1 является связью, -CH2– или -CH2CH2-; причем в этом случае W6 не является Н, W7 или -CH2W7, где W7 представляет собой Н, -OR6a, -OR1, -N(R1)2, -N(R1)(R6b), -N(R6b)2, -SR1 или -SR6a. B следующем воплощении соединения по настоящему изобретению являются такими, что U1 не означает -СН2ОН, -СН2ОАс или -CH2OCH2Ph. В следующем воплощении соединения по настоящему изобретению являются такими, что Е1 не означает -СН2ОН, -CH2OTMS или -СНО. В следующем воплощении соединения по настоящему изобретению являются такими, что U1 не связан непосредственно с кольцом посредством атома углерода или U1 не является замещенным на гидроксил или сложный гидроксиэфир, в особенности U1 не является полигидрооксиалканом, особенно не является -СН(ОН)СН(ОН)СН2ОН. В следующем воплощении U1 означает разветвленную цепь группы R5, как описано ниже, или карбоцикл, замещенный по крайней мере на одну группу R5. В дальнейших воплощениях из изобретения исключаются соединения формулы: ![]() ![]() где 1. В формуле (V): A2 представляет собой -О- или -СН2-; Е1 представляет собой -СО2Н; G1 представляет собой -N(H)(C(NH)(NH2)); Т1 представляет собой -N(H)(Ac); U1 имеет формулу ![]() 2. В формуле (V): А2 представляет собой -О- или -СН2-; Е1 представляет собой -СО2Н; G1 представляет собой -NH2; Т1 представляет собой -N(H)(Ac); U1 представляет собой -СН2ОН 3. В формуле (V): A2 представляет собой -СН2-; Е1 представляет собой -СН2ОН или -CH2OTMS; G1 представляет собой -N3; Т1 представляет собой -N(H)(Ac); U1 представляет собой -CH2OCH2Ph; 4. В формуле (V): А2 представляет собой -СН2-; Е1 представляет собой -СО2Н или -CO2CH3; G1 представляет собой -N3; Т1 представляет собой -N(H)(Ac); U1 представляет собой -СН2ОН 5. В формуле (V): А2 представляет собой -СН2-; Е1 представляет собой -СО2Н, -СНО или -СН2ОН; G1 представляет собой -N3; Т1 представляет собой -N(H)(Ac); U1 представляет собой -CH2OCH2Ph; 6. В формуле (V): А2 представляет собой -СН2-; Е1 представляет собой -СО2Н; G1 представляет собой -OCH3; Т1 представляет собой -NH2; U1 представляет собой -СН2ОН; 7. В формуле (VI): А2 представляет собой -СН2-; Е1 представляет собой -СО2Н; G1 представляет собой -ОСН3; Т1 представляет собой -N(H)(Ac); U1 представляет собой -СН2ОАс; В том случае, если описанное здесь соединение замещено где бы то ни было на более чем одну из одинаково обозначенных групп, например на “R1” или “R6a“. тогда необходимо учитывать, что такие группы могут иметь одинаковое или разное значение, если значение каждой группы выбрано независимо друг от друга. “Гетероцикл”, как применяется здесь, включает в порядке примера, но не ограничиваясь ими, гетероциклы, описанные в Paquette, Leo A.; “Principles of Modern Heterocyclic Chemistry” (W. A. Benjamin, New York, 1968), особенно части 1, 3, 4, 6, 7 и 9; “The Chemistry of Heterocyclic Compounds, A series of Monographs” (John Wiley & Sons, New York, 1950 to present), в особенности тома 13, 14, 16, 19 и 28 и J.Am.Chem.Soc.”, 82: 5566(1960). Примеры гетероциклов в порядке иллюстрации, но не ограничиваясь ими, включают пиридил, тиазолил, тетрагидротиофенил, тетрагидротиофенил с окисленной серой, пиримидинил, фуранил, тиенил, пирролил, пиразолил, имидазолил, тетразолил, бензофуранил, тианафталенил, индолил, индоленил, хинолинил, изохинолинил, бензимидазолил, пиперидинил, 4-пиперидонил, пирролидинил, 2-пирролидонил, пирролинил, тетрагидрофуранил, тетрагидрохинолинил, тетрагидроизохинолинил, декагидрохинолинил, октагидроизохинолинил, азоцинил, триазинил, 6Н-1,2,5-тиадиазинил, 2Нб6Н-1,5,2-дитиазинил, тиенил, тиантренил, пиранил, изобензофуранил, хроменил, ксантенил, феноксантиинил, 2Н-пирролил, изотиазолил, изоксазолил, пиразинил, пиридазинил, индолизинил, изоиндолил, 3Н-индолил, 1H-индазолил, пуринил, 4Н-хинолизинил, фталазинил, нафтиридинил, хиноксалинил, хиназолинил, циннолинил, птеридинил, 4аН-карбазолил, карбазолил, -карболинил, фенантридинил, акридинил, пиримидинил, фенантролинил, феназинил, фенотиазинил, фуразанил, феноксазинил, изохроманил, хроманил, имидазлидинил, имидазолинил, пиразолидинил, пиразолинил, пиперазинил, индолинил, изоиндолинил, хинуклидинил, морфолинил, оксазолидинил, бензотриазолил, бензизоксазолил, оксиндолил, бензоксазолинил и изатиноил.
В порядке примера, но не ограничиваясь, связанные через атом углерода гетероциклы являются связаными в положении 2, 3, 4, 5 или 6 пиридина; в положении 3, 4, 5 или 6 пиридазина; в положении 2, 4, 5, или 6 пиримидина; в положении 2, 3, 5 или 6 пиразина; в положении 2, 3, 4 или 5 фурана, тетрагидрофурана, тиофурана, тиофена, пиррола или тетрагидропиррола; в положении 2, 4 или 5 оксазола, имидазола или тиазола; в положении 3, 4 или 5 изоксазола, пиразола или изотиазола; в положении 2 или 3 азиридина; в положении 2, 3 или 4 азетидина; в положении 2, 3, 4, 5, 6, 7 или 8 хинолина или положении 1, 3, 4, 5, 6, 7 или 8 изохинолина. Более типично связанные через атом углерода гетероциклы включают 2-пиридил, 3-пиридил, 4-пиридил, 5-пиридил, 6-пиридил, 3-пиридазинил, 4-пиридазинил, 5-пиридазинил, 6-пиридазинил, 2-пиримидинил, 4-пиримидинил, 5-пиримидинил, 6-пиримидинил, 2-пиразинил, 3-пиразинил, 5-пиразинил, 6-пиразинил, 2-тиазолил, 4-тиазолил или 5-тиазолил.
В порядке примера, но не ограничиваясь, связанные через атом азота гетероциклы являются связанными через атом азота в положении 1 азиридина, азетидина, пиррола, пирролидина, 2-пирролина, 3-пирролина, имидазола, имидазолидина, 2-имидазолина, 3-имидазолина, пиразола, пиразолина, 2-пиразолина, 3-пиразолина, пиперидина, пиперазина, индола, индолина, 1H-индазола; в положении 2 изоиндола или изоиндолина; в положении 4 морфолина и положении 9 карбазола или -карболина. Более типично, связанные посредством азота гетероциклы включают 1-азиридил, 1-азетедил, 1-пирролил, 1-имидазолил, 1-пиразолил и 1-пиперидинил.
“Алкил”, как применяется здесь, если не указано иное, означает С1-С12углеводород, содержащий нормальные, вторичные, четвертичные или циклические атомы углерода. Примерами алкила являются метил (Me, -CH3), этил (Et, -CH2CH3), 1-пропил ( -СН2СН2СН3), 2-пропил ( изопропил, -СН(СН3)2), 1-бутил ( -CH2CH2CH2CH3), 2-метил-1-пропил ( изобутил, -CH2CH(CH3)2), 2-бутил ( -СН(СН3)СН2СН3), 2-метил-2-пропил ( -С(СН3)3), 1-пентил ( -СН2СН2СН2СН2СН3),2-пентил (-СН(СН3)СН2СН2СН3), 3-пентил (-СН(СН2СН3)2), 2-метил-2-бутил (-СН(СН3)2СН2СН3), 3-метил-2-бутил (СН(СН3)СН(СН3)2), 3-метил-1-бутил -CH2CH2CH(CH3)2), 2-метил-1-бутил (-СН2СН(СН3)СН2СН3), 1-гексил(-СН2СН2СН2СН2СН2СН3), 2-гексил (-СН(СН3)СН2СН2СН2СН3), 3-гексил (-СН(СН2СН3)(СН2СН2СН3)), 2-метил-3-пентил(-С(СН3)2СН2СН2СН3), 3-метил-2-пентил(-СН(СН3)СН(СН3)СН2СН3), 4-метил-2-пентил (-СН(СН3)СН2СН(СН3)2), 3-метил-3-пентил (-С(СН3)СН2СН3)2), 2-метил-3-пентил (-СН(СН2СН3)СН(СН3)2), 2,3-диметил-2-бутил (-С(СН3)2СН(СН3)2), 3,3-диметил-2-бутил(-СН(СН3)С(СН3)3). Примеры алкильных групп представлены в Таблице 2 как группы 2-5, 7, 9 и 100-399. Композиции по изобретению включают также соединения формулы: ![]() ![]() В типичном воплощении соединения формулы I являются выбранными. J1 и J1a означают независимо друг от друга R1, Br, С1, F, I, CN, NO2, N3, типично R1 или F, более типично Н или F, еще более типично Н. J2 и J2a означает, независимо друг от друга, Н или R1, типично Н. А1 представляет собой -C(J1)= или -N=, типично -C(J1)=, более типично -СН=. А2 представляет собой -C(J1)2-, -N(J1)-, -N(O)(J1)-, -N(O)=, -S-, -S(O), -S(O)2– или -О-, типично -C(J1)2=, -N(J1)-, -S- или -О-, более типично -C(J1)2 -или -О-, еще более типично -CH2– или -О-, еще более типично -СН2-. Е1 представляет собой -(CR1R1)m1W1; Типично R1 представляет собой Н или алкил, содержащий от 1 до 12 атомов углерода, обычно Н или алкил, содержащий от 1 до 4 или от 5 до 10 атомов углерода, еще более типично Н или алкил, содержащий 1, 2, 3, 4, 5, 6, 7, 8, 9, 10, 11 или 12 атомов углерода, еще более типично Н или алкил, содержащий от 1 до 3 атомов углерода и выбранный из метила, этила, н-пропила и изопропила. Наиболее типично R1 представляет собой Н. m1 имеет значения от 0 до 2, типично от 0 до 1, наиболее типично 0. m2 имеет значения от 0 до 1. m3 имеет значения от 1 до 3. W1 представляет собой группу, включающую кислотный водород, защищенную кислотную группу или амид R6c группы, включающей кислотный водород, который в контексте изобретения означает группу, имеющую атом водорода, который может быть удален основанием, дающим анион, или соответствующей ему солью или сольватом. Основные принципы кислотности и основности органических материалов хорошо понятны и должны быть понятны при определении W1. Они не будут здесь детализироваться. Однако они приведены в Streitwieser, A.; and Heathcock, C.Y.; Introduction to Organic Chemistry, Second Edition” (Macmillan, New York, 1981), стр. 60-64. Обычно кислотные группы по данному изобретению имеют значения рК меньше, чем у воды, обычно меньше, чем рК 10, типично меньше, чем рК 8 и часто меньше, чем рК 6. Они включают тетразолы и кислоты углерода, серы, фосфора и азота, типично карбоновую, серную, сульфоновую, сульфиновую, фосфорную и фосфоновую кислоты, вместе с амидами R6c и сложными эфирами R6b этих кислот (R6c и R6b обозначены ниже). В качестве примера W1 означает -СО2Н, -СО2R6a, -OSO3H, -SO3H, -SO2H, -OPO3H2, -PO3(R6a)2, -PO3H2, -РО3(Н)(Р6a) и -ОРО3(R6a)2. W1 типично означает Е1, Е1 типично представляет собой -СО2Н, -CO2R6a, -CO2R4 и -CO2R1 и наиболее типично -CO2R14, где R14 -нормальный или концевой вторичный C1-C6 алкил. W1 может также быть защищенной кислотной группой, которая в контексте данного изобретения означает кислотную группу, как это описано выше, которая защищена одной из групп, обычно используемых в технике для таких групп и описана ниже для R6a. Более типично защищенная W1 является -CO2R1, -SO3R1, -S(O)OR1, -P(O)(OR1)2, -C(O)NHSO2R4 или -SО2NНС(O)-R4 где R1 имеет указанное выше значение. Наиболее типично Е1 выбран из -С(O)O(СН2)bСН((СН2)cСН3)2, где b=0-4, с=0-4 и b+с=1-4, или из группы ![]() ![]() ![]() ![]() ![]() ![]() ![]() ![]() ![]() ![]() ![]() Примеры групп Е1 перечислены в Таблицах 3а-3b. G1 представляет собой N3, -CN, -ОН, -OR6a, -NO2 или -(CR1R1)m1W2, где R1 и m1 имеет указанное выше значение. Обычно G1 представляет собой -(CR1R1)m1W2. W2 означает группу, включающую основной гетероатом, защищенный основной гетероатом или амид R6b основного гетероатома. W2 обычно включает основной гетероатом, который в контексте данного изобретения означает атом иной, чем углерод, который способен к протонированию, типично кислотным водородом, имеющим кислотность в пределах, описанных выше для W1. Основные принципы основности описаны в Streitwieser and Heathcock (op. cit.) и определяют значение термина “основный гетероатом” как хорошо понятное специалистам. В основном основные гетероатомы, применяемые в соединениях по данному изобретению, имеют значения рК для соответствующих протонированных форм в пределах значений, описанных выше для W1. Основные гетероатомы включают гетероатомы, обычные в органических соединениях, которые имеют неразделенные, несвязанные, нормального типа или подобные электронные пары. В порядке примера, но не ограничиваясь, типичные основные гетероатомы включают атомы кислорода, азота и серы таких групп, как спирты, амины, амидины, гуанидины, сульфиды и подобные им часто, амины, амидины и гуанидины. Обычно W2 является амино- или аминоалкильной (в основном с низшим алкилом) группой, такой как аминометильная, аминоэтильная или аминопропильная; амидинил- или амидиноалькильной группой, такой как амидинометильная, амидиноэтильная или амидинопропильная; или гуанидинил- или гуанидиноалкильной группой, такой как гуанидинометильная, гуанидиноэтильная или гуанидинопропильная (в каждом случае, где алкильная группа служит мостиком между основным заместителем и карбоциклом). Более типично W2 является аминогруппой, амидиновой группой, гуанидиновой группой, гетероциклом, гетероциклом, замещенным на одну или 2 амино или гуанидиногруппы (обычно 1), или алкилом, содержащим 2-3 атома углерода, замещенным на амино- или гуанидиновую группу или таким алкилом, замещенным на аминогруппу или на вторую группу, выбранную из группы, состоящей из гидрокси- и аминогруппы. Гетероциклы, используемые как W2, включают типично N- или S- содержащие 5 или 6-членные кольца, содержащие 1 или 2 гетероатома. Такие гетероциклы обычно замещены в кольце атомами углерода. Они могут быть насыщены или ненасыщены и могут быть связаны с ядром циклогексена посредством низшего алкила (m1=1 или 2) или -NR1-. Еще более типично, W2 представляет собой -NHR1-, -C(NH)(NH2), -NR1-C(NR1)(NR1R3), -NH-C(NH)(NHR3), -NH-C(NH)(NHR1), -NH-C(NH)NH2, -СН(СН2NНR1)(СН2ОН), -CH(CH2NHR1)(CH2NHR1), -CH(NHR1)-(CR1R1)m2-CH(NHR1)R1, -CH(OH)-(CR1R1)m2-CH(NHR1)R1 или -CH(NHR1)-(CR1R1)m2-CH(OH)R1, -(CR1R1)m2-S-C(NH)NH2, -N=C(NHR1)(R3), -N= C(SR1)N(R1)2, -N(R1)C(NH)N(R1)C=N или -N=C(NHR1)(R1); где каждый m2 обычно 0, и обычно R1 представляет собой Н и R3 представляет собой C(O)N(R1)2. W2 является, факультативно, защищенным основным гетероатомом, который в контексте данного изобретения означает основный гетероатом, как это описано выше, который защищен R6c, т.е. одной из групп, обычных в современной технике. Такие группы детально описаны в Greene (op.cit.), как указано ниже. Такие группы включают в порядке примера, но не ограничиваясь, амиды, карбаматы, аминоацетали, имины, енамины, N-алкил и N-арил фосфинилы, N-алкил и N-арил сульфенилы и сульфонилы, N-алкил- и N-арил-силилы, простые тиоэфиры, сложные тиоэфиры, дисульфиды, сульфенилы и тому подобное. В некоторых воплощениях защитная группа R6b может быть расщеплена в физиологических условиях, типично ее можно расщепить in vivo там, где, например, основный гетероатом образует амид с органической кислотой или аминокислотой, такой как природная аминокислота или полипептид, как это описано ниже для группы R6a. Типично G1 выбран из группы, состоящей из: ![]() ![]() ![]() ![]() ![]() ![]() ![]() ![]() ![]() ![]() ![]() ![]() ![]() ![]() ![]() ![]() ![]() ![]() ![]() ![]() ![]() ![]() ![]() ![]() Другие примеры групп G1 перечислены в Таблице 4. Т1 является -NR1W3 или гетероциклом или вместе с U1 или G1 образует группу, имеющую формулу ![]() где R6b определен ниже и R1 и W3 определены выше. В основном Т1 выбран из группы, состоящей из ![]() ![]() ![]() ![]() ![]() ![]() ![]() Примеры групп Т1 перечислены в Таблице 5. W3 представляет собой W4 или W5, где W4 имеет значения R1 или -C(O)R5, -C(O)W5, -SO2R5 или -SO2W5. Типично W3 представляет собой -C(O)R5 или W5. R2 представляет собой независимо друг от друга R3 или R4, как определено ниже, при условии, что R4 независимо друг от друга замещен 0 или 3 группами R3; R3 представляет собой независимо друг от друга F, Сl, Br, I, -CN, N3, -NO2, -OR6a, -OR1, -N(R1)2, -N(R1)(R6b), -N(R6b)2, -SR1, -SR6a, -S(O)R1, -S(O)2R1, -S(O)OR1, -S(O)OR6a, -S(O)2OR1, -S(O)2ОR6a, -C(O)OR1, -C(O)R6c, -C(O)OR6a, -OC(O)R1, -N(R1)(C(O)R1), -N(R6b)(C(O)R1), -N(R1)(C(O)OR1), -N(R6b(C(O)OR1), -C(O)N(R1)2, -C(O)N(R6b)(R1), -C(O)N(R6b)2, -C(NR1)(N(R1)2), -C(N(R6b))(N(R1)2), -C(N(R1))(N(R1)(R6b)), -C(N(R6b))(N(R1)(R6b)), -C(N(R1))(N(R6b)2), -C(N(R6b))(N(R6b)2), -N(R1)C(N(R1))(N(R1)2), -N(R1)C(N(R1))(N(R1)(R6b)), -N(R1)C(N(R6b))(N(R1)2), -N(R6b)C(N(R1))(N(R1)2), -N(R6b)C(N(R6b))(N(R1)2), -N(R6b)C(N(R1))(N(R1)(R6b)), -N(R1)C(N(R6b))(N(R1)(R6b)), -N(R1)C(N(R1))(N)R6b)2), -N(R6b)C(N(R6b))(N(R1)(R6b)), -N(R6b)C(N(R1))(N(R6b)2), -N(R1)C(N(R6b))(N(R6b)2), -N(R6b)C(N(R6b))(N(R6b)2), = O, =S, =N(R1) или =N(R6b). Типично R3 означает F, Cl, -CN, N3, -NO2, -OR6a, -OR1, -N(R1)2, -N(R1)(R6b), -N(R6b)2, -SR1, -SR6a, -C(O)OR1, -C(O)R6c, -C(O)OR6a, -OC(O)R1, -N(R1)(C(O)R1), -N(R6b)(C(O)R1), -C(O)N(R1)2, -C(O)N(R6b)(R1), -C(O)N(R6b)2 или =O. Более типично группы R3, содержащие R6b, включают -C(O)N(R1)2, -C(O)N(R6b)(R1), -C(S)N(R6b)2 или -C(S)N(R6b)(R1). Еще более типично R3 является F, Сl, -CN, N3, -OR1, -N(R1)2, -SR1, -C(O)OR1, -OC(O)R1 или =O. Еще более типично R3 является F, -OR1, -N(R1)2 или =O. В контексте данной заявки =O означает атом кислорода (оксо) с двумя связями и =S, =N(R6b), =N(R1) означают серные и азотные аналоги. R4 представляет собой алкил, содержащий от 1 до 12 атомов углерода, алкинил или алкенил, содержащие от 2 до 12 атомов углерода. Алкил R4 типично содержит 1, 2, 3, 4, 5, 6, 7, 8, 9, 10, 11 или 12 атомов углерода и алкенил и алкинил R4 типично содержит 2, 3, 4, 5, 6, 7, 8, 9, 10, 11 или 12 атомов углерода. R4 обычно является алкилом (как обозначено выше). Когда R4 означает алкенил, то им типично является этенил (-СН=СН2), 1-проп-1-енил (-СН=СНСН3), 1-проп-2-енил (-CH2CH=CH2), 2-проп-1-енил (-С(=СН2)(СН3)), 1-бут-1-енил(-СН=СНСН2СН3), 1-бут-2-енил (-СН2СН=СНСН3), 1-бут-3-енил (-CH2CH2CH=CH2), 2-метил-1-проп-1-енил (-СН=С(СН3)2), 2-метил-1-проп-2-енил (-СН2С(=СН2)(СН3)), 2-бут-1-енил (-С=Н2)СН2СН3), 2-бут-2-енил (-С(СН3)=СНСН3), 2-бут-3-енил (-CH(CH3)CH=CH2), 1-пент-1-енил(-С=СНСН2СН2СН3), 1-пент-2-енил (-CHCH=СHCH2CH3), 1-пент-3-енил(-СНСН2СН=СНСН3), 1-пент-4-енил (-СНСН2СН2СН=CН2), 2-пент-1-енил (-C=CH2)CH2CH2CH3), 2-пент-2-енил (-С(СН3=СН2СН2СН3), 2-пент-3-енил (-СН(СН3)СН=СН=СН3), 2-пент-4-енил (-СН(СН3)СН2СН= СН2) или 3-метил-1-бут-2-енил (-СН2СН= С(СН3)2). Более типично алкенильные группы R4 содержат 2, 3 или 4 атомов аглерода. Если R4 представляет собой алкинил, то им типично является этинил (-ССН), 1-проп-1-инил (-CCCH3), 1-проп-2-инил (-СН2ССН), 1-бут-1-инил (-CCCH2CH3), 1-бут-2-инил(-СН2СССН3), 1-бут-3-инил(-СН2СН2ССН), 2-бут-3-инил (-СН(СН3)ССН), 1-пент-1-инил(-СССН2СН2СН3), 1-пент-2-инил (-CH2CCCH2CH3), 1-пент-3-инил (-CH2CH2CCCH3) или 1-пент-4-инил (-СН2СН2СН2ССН). Более типично алкинильные группы R4 содержат 2, 3 или 4 атомов углерода. R5 имеет значение R4, как определено выше, или означает R4, замещенный на 0-3 группы R3. Типично R5 представляет собой алкил, содержащий от 1 до 4 атомов углерода, замещенный на 0-3 атома фтора. R5a является алкиленом, содержащим от 1 до 12 атомов углерода, алкениленом, содержащим от 2 до 12 атомов углерода, или алкиниленом, содержащим от 2 до 12 атомов углерода, замещенных на 0-3 группы R3. Как определено выше для R4, R5a содержит 1, 2, 3, 4, 5, 6, 7, 8, 9, 10, 11 или 12 атомов углерода, когда он является алкиленом и 2, 3, 4, 5, 6, 7, 8, 9, 10, 11 или 12 атомов углерода, если он является алкениленом и алкиниленом. Каждая из типичных групп R4 является типичной группой R5a при условии, что один из атомов водорода описанной группы R4 удален для образования открытой валентности для атома углерода, благодаря которой присоединяется вторая связь к R5a. R10 является алкилом, алкенилом, алкинилом, содержащими от 2 до 12 атомов углерода, замещенными на 0-3 группы R3. R11 представляет собой независимо друг от друга Н или R10. R12 является циклоалкилом, содержащим от 3 до 10 атомов углерода или циклоалкенилом, содержащим от 4 до 10 атомов углерода. R14 представляет собой нормальный или концевой вторичный C1-C6 алкил. W5 является карбоциклом или гетероциклом при условии, что каждый W5 является независимо друг от друга замещенным на 0-3 группы 2. Карбоциклы W5 и Т1 и гетероциклы W5 являются стабильными химическими структурами. Такие структуры могут быть выделены с измеримым выходом, с измеримой чистотой из реакционных смесей при температурах от -78oС до 200oС. Каждый W5 независимо друг от друга замещен на 0-3 группы и R2. Типично Т1 и W5 являются насыщенным, ненасыщенным или ароматическим кольцом, включая моно- или бициклический карбоцикл или гетероцикл. Более типично Т1 и W5 имеют от 3 до 10 атомов в кольце, еще более типично от 3 до 7 атомов в цикле и обычно от 3 до 6 атомов в цикле. Кольца Т1 и W5 являются насыщенными, если они содержат 3 атома в кольце, насыщенными или мононенасыщенными, если они содержат 4 атома в кольце, насыщенными, моно- или диненасыщенными, если они содержат 5 атомов в кольце и насыщенными, моно- или диненасыщенными или ароматическими, если они содержат 6 атомов в кольце. Когда W5 означает карбоцикл, то им типично является моноцикл с 3-7 атомами углерода или бицикл с 7-12 атомами углерода. Более типично моноциклические карбоциклы W5 содержат в кольце от 3 до 6 атомов, еще более типично от 5 до 6 атомов в кольце. Бициклические карбоциклы W5 содержат от 7 до 12 атома, образующих бицикл – [4,5], [5,5], [5,6] или [6,6], еще более типично от 9 до 10 атомов, образующих бицикл [5,6] или [6,6]. Например, циклопропил, циклобутил, циклопентил, 1-циклопент-1-енил, 1-циклопент-2-енил, 1-циклопент-3-енил, циклогексил, 1-циклогекс-1-енил, 1-циклогекс-2-енил, 1-циклогекс-3-енил, фенил, спирил и нафтил. Гетероциклы Т1 и W5 типично являются моноциклами, имеющими от 3 до 7 членов в цикле (от 2 до 6 атомов углерода и от 1 до 3 гетероатомов, выбранных из N, О, Р и S) или бициклы, имеющие от 7 до 10 членов в цикле (от 4 до 9 атомов углерода и от 1 до 3 гетероатомов, выбранных из N, О, Р и S). Более типично гетероциклические моноциклы Т1 и W5 содержат в кольце от 3 до 6 атомов (от 2 до 5 атомов углерода и от 1 до 2 гетероатомов, выбранных из N, О и S) и еще более типично содержат 5 или 6 атомов в кольце ( от 3 до 5 атомов углерода и от 1 до 2 гетероатомов, выбранных из N и S). Гетероциклические бициклы Т1 и W5 содержат от 7 до 10 атомов в кольце (от 6 до 9 атомов углерода и от 1 до 2 гетероатомов, выбранных из N, О и S), образующих бицикл – [4,5], [5,5], [5,6] или [6,6] система, еще более типично от 9 до 10 атомов в кольце (от 8 до 9 атомов углерода и от 1 до 2 гетероатомов, выбранных из N и S), образующих бицикл в системе [5,6] или [6,6]. Гетероциклы Т1 и W5 типично выбраны из пиридила, пиридазинила, пиримидинила, пиразинила, s-триазинила, оксазолила, имидазолила, тиазолила, изоксазолила, пиразолила, изотиазолила, фуранила, тиофуранила, тиенилаилипирролила. Более типично гетероциклы Т1 и W5 связаны через образующие гетероцикл атомы углерода или азота. Еще более типично гетероциклы Т1 связаны стабильной ковалентной связью через атом азота с циклогексеновым кольцом композиции по данному изобретению, и гетероциклы W5 связаны стабильной ковалентной связью через образующие гетероцикл атомы углерода или азота с циклогексеновым кольцом композиции по данному изобретению. Стабильные ковалентные связи являются стабильными химическими структурами, как это описано выше. W5 выбран факультативно из группы, состоящей из: ![]() ![]() ![]() ![]() ![]() U1 является Н или -X1W6, но типично последний. Х1 является связью, -CR5R5-, -(CR5R5)-, -О-, -N(H)-, -N(W6)-, -N(OH)-, -N(OW6)-, -N(NH2)-, -N(N(H)(W6))-, -N(N(W6)2)-, -N(H)N(W6)-, -S-, SO или SO2; обычно X1 представляет собой связь, -CR5R5-, -(CR5R5)2 -O-, -N(H)-, -N(R5)-, -N(OH)-, -N(OR5)-, -N(NH2)-, -N(N(H)(R5))-, -N(N(R5)2)-, -N(H)N(R5)-, -S-, -SO- или -SO2-. Более типично Х1 является связью, -CR1R1-, -(CR1R1)2-, -О-, -NR1-, -N(OR1)-, -N(NR1R1)-, -S-, -SO- или -SO2-. Обычно Х1 является -О-, -NH-, -S-, -SO- или -SO2-; W6 является -R5, -W5, -R5aW5, -C(O)OR6a, -C(O)R6c, -C(O)N(R6b)2, -C(NR6b)(N(R6b)2)- -C(NR6b)N(H)(R6b)), -C(N(H)(N(R6b)2)- -C(S)(N(R6b), или -C(O)R2. Типично W6 является -R5, -W5, -R5aW5, в некоторых воплощениях W6 представляет собой R1, -C(O)R1, -CHR1W7, -CH(R1)aW7, -CH(W7)2, где а означает 0 или 1, но является 0, когда W7 двухвалентен) или -C(O)W7. В некоторых воплощениях W6 является -CHR1W7 или -C(O)W7, или W6 является -(CH2)m1, CH((CH2)m3R3)2, -(CH2)m1C((CH2)m3R3)3, -(CH2)m1CH((CH2)m3R5aW5)2, -(CH2)m1CH((CH2)m3R3)((CH2)m3R5a, W5), -(CH2)m1C((CH2)m3R3)2(CH2)m3R5aW5), -(СН2)m1С((СН2)m3R5аW5)3 или -(CH2)m1C((CH2)m3R3)((CH2)m3R5a, W5)2 и где m3 изменяется в пределах от 1 до 3. W7 является R3 или R5, но типично W7 является алкилом, содержащим от 1 до 12 атомов углерода, замещенным на 0-3 группы R3, последний обычно является выбранным из группы, включающей -NR1(R6b), -N(R6b)2, -OR6a или SR6a. Более типично W7 представляет собой -OR1 или алкил, содержащий от 3 до 12 атомов углерода, замещенных на OR1. В основном U1 представляет собой R1O-, -OCHR1W7, ![]() ![]() ![]() ![]() ![]() ![]() ![]() ![]() ![]() ![]() Примеры групп U1 приведены в Таблице 2. Согласно воплощению изобретения соединение имеет формулу: ![]() ![]() где E2 является E1, но типично выбран из группы, состоящей из: ![]() ![]() ![]() ![]() ![]() и где G2 является G1, но типично выбран из группы, состоящей из: ![]() ![]() ![]() ![]() ![]() ![]() ![]() ![]() ![]() ![]() ![]() ![]() ![]() ![]() ![]() ![]() и где Т2 является R4 или R5. В основном T2 представляет собой алкил, содержащий от 1 до 2 атомов углерода, замещенный на 0-3 атома фтора. U2 представляет собой один из: ![]() ![]() ![]() ![]() где R7 является Н, -CH3, -СН2СН3, -CH2CH2CH3, -OCH3, -ОАс(-O-С(O)СН3), -ОН, -NH2 или -SH, типично Н, -CH3, -CH2CH3. Группы R6a и R6b не являются критическими функциональностями и могут широко варьироваться. Когда они не являются Н, их функция – служить промежуточными продуктами для вещества исходного лекарства. Это не означает, что они биологически неактивны. Напротив, принципиальная функция этих групп – превращать исходное лекарство в пролекарство, посредством чего исходное лекарство высвобождается в процессе превращения пролекарства in vivo. Так как активные пролекарства абсорбируются более эффективно, чем исходное лекарство, они фактически часто обладают большей эффективностью in vivo, чем исходное лекарство. R6a и R6b удаляются также in vitro в случае промежуточных химических полупродуктов или in vivo в случае пролекарства. Для промежуточных химических полупродуктов не так важно, чтобы результирующая профункциональность продуктов, например спиртов, была физиологически приемлемой, хотя в основном более желательно, если продукты фармацевтически безвредны. R6a является Н или группой, образующей простые и сложные эфиры. “Группа, образующая простой эфир” означает группу, которая способна к образованию стабильной ковалентной связи между исходной молекулой и группой, имеющей формулу: ![]() ![]() ![]() ![]() ![]() ![]() Va является тетравалентным атомом, типично выбранным из С и Si; Vb является тривалентным атомом, типично выбранным из В, Аl, N и Р, более типично N и Р; Vc является дивалентным атомом, типично выбранным из О, S и Se, более типично S; V1 является группой, связанной с Va, Vb и Vc посредством стабильной единичной ковалентной связи, типично V1 – это группы W6, более типично V1 представляет собой Н, R2, W5 или -R5aW5, еще более типично Н или R2; V2 это группа, связанная с Va или Vb стабильной двойной ковалентной связью, при условии, что V2 не является =O, =S или =N-, типично V2 представляет собой = C(V1)2, где V1 имеет указанное выше значение; и V3 является группой, связанной с Va стабильной тройной ковалентной связью, типично V3 является где V1 имеет указанное выше значение.
“Группа, образующая сложный эфир” означает группу, которая способна к образованию стабильной ковалентной связи между исходной молекулой и группой, имеющей формулу:![]() ![]() ![]() ![]() ![]() ![]() Va, Vb и Vc имеет указанное выше значение; Vd является пятивалентным атомом, типично выбранным из Р и N; e является шестивалентным атомом, типично S; V4 – это группа, связанная с Va, Vb, Vc, Vd и Ve стабильной двойной ковалентной связью, при условии, что по крайней мере один V4 является =O, =S или -N-V1, типично V4, когда он иной, чем =O, =S или =N-, то он является = C(V1)2, где V1 имеет указанное выше значение. Защитные группы для функций -ОН (гидрокси-, кислотная и другие функции) являются воплощениями “групп, образующих простые и сложные эфиры”. Особенно интересными являются группы, образующие простые и сложные эфиры, которые способны функционировать в качестве защитных групп в схемах синтеза, предложенных здесь. Однако некоторые гидрокси- или тиозащитные группы являются группами, не образующими ни простых, ни сложных эфиров, как будет понятно специалисту, и, включая амиды, обсуждаются ниже совместно с R6c. R6c способен к защите гидроксильных или тиогрупп, так что гидролиз исходной молекулы приводит к образованию гидроксильных и тиогрупп. При выполнении функции образования сложных эфиров, R6a типично связан с любой кислотной группой, такой как, например, но не ограничиваясь, группы -СО2Н или -C(S)OH, таким образом приводя к образованию CO2R6a. R6a, например, полученных из эфирных групп, перечисленных в WO 95/07920. Примеры R6a включают: гетероцикл С3-С12 (описанный выше) или арил. Эти ароматические группы могут быть полициклическими или моноциклическими. Примерами их являются фенил, спирил, 2- и 3-пирролил, 2- и 3-тиенил, 2- и 4-имидазолил, 2-, 4- и 5-оксазолил, 3- и 4-изоксазолил, 2-, 4- и 5-тиазолил, 3-, 4- и 5-изотиазолил, 3- и 4-пиразолил, 1-, 2-, 3- и 4-пиридинил и 1-, 2-, 4- и 5-пиримидинил, гетероцикл C3-С12 или арил, замещенный галогеном, группой R1, R1-О-С1-С12 алкиленом, С1-С12 алкоксилои, CN, NO2, ОН, карбоксилом, сложным карбоксиэфиром, тиолом, сложным тиоэфиром, С1-С12 галогеналкилом (1-6 атомов галогена), С2-С12 алкенилом или С2-С12 алкинилом. Такие группы включают 2-, 3- и 4-алкоксифенил (С1-С12 алкил), 2-, 3- и 4-метоксифенил, 2-, 3- и 4-этоксифенил, 2,3-, 2,4-, 2,5-, 2,6-, 3,4- и 3,5-диэтоксифенил, 2- и 3-карбоэтокси-4-гидроксифенил, 2- и 3-этокси-4-гидроксифенил, 2- и 3-этокси-5-гидроксифенил, 2- и 3-этокси-6-гидроксифенил, 2-, 3- и 4-О-ацетилфенил, 2-, 3- и 4-диметиламинофенил, 2-, 3- и 4-метилмеркаптофенил, 2-, 3- и 4-галофенил (включая 2-, 3- и 4-фторфенил и 4-хлорфенил), 2,3-, 2,4-, 2,5-, 2,6-, 3,4- и 3,5-диметилфенил, 2,3-, 2,4-, 2,5-, 2,6-, 3,4- и 3,5-бискарбоксиэтилфенил, 2,3-, 2,4-, 2,5-, 2,6-, 3,4- и 3,5-диметоксифенил, 2,3-, 2,4-, 2,5-, 2,6-, 3,4- и 3,5-дигалофенил (включая 2,4-дифторфенил и 3,5-дифторфенил), 2-, 3- и 4-галоалкилфенил (1-5 атомов галогена, С1-С12алкил, включая 4-трифторметилфенил), 2-, 3- и 4-цианофенил, 2-, 3- и 4-нмтрофенил, 2-, 3- и 4-галоалкилбензил (1-5 атомов галогена, С1-С12 алкил, включая 4-трифторметилбензил и 2-, 3-, 4-трихлорметилфеннл и 2-, 3-, 4-трихлорметклфенил), 4-N-метилпиперидинил, 3-N-метилпиперидинил, 1-этилпиперазинил, бензил, алкилсалицилфенил (С1-С4 алкил, включая 2-, 3- и 4-этилсалицилфенил), 2-, 3- и 4-ацетилфенил, 1,8-дигидроксинафтил (-C10H6-OH) и арилоксиэтил [C6-C9 арил (включая феноксиэтил)], 2,2′-диоксибифенил, 2-, 3-, 4-N,N-диалкиламинофенол, -С6Н4СН2-Н(СН3)2, триметоксибензил, триэтоксибензил, 2-алкилпиридинил (С1-4 алкил); ![]() ![]() ![]() C4-C8 сложные эфиры 2-карбоксифенила; и С1-С4 алкнлен-С3С6-арил (включая бензил, -СН2-пирролил, -СН2-тиенил, -СН2-имидазолил, -СН2-оксазолил, -СН2-изоксазолил, -СН2-тиазолил, -СН2-изотиазолил, -СН2-пиразолил, -СН2-пиридмнил, -СН2-пиримидинил), замещенные в арильной части молекулы 3-5 атомами галогенов или 1-2 атомами или группами, выбранными из галогена, С1-С12 алкоксила (включая метоксил и этоксил), циано-, нитрогрупп, ОН, C1-C12 галоалкила (1-6 атомов галогена, включая -СН2-СCl3), С1-С12 алкила (включая метил и этил), С2-С12 алкенила или С2-С12 алкинила; алкоксиэтил [С1-С8 алкил, включая -CH2-CH2-O-CH3 (метоксиэтил)]; алкил, замещенный на любую из групп, указанных выше для арила, в особенности на ОН, или 1 – 3 атомами галогена (включая -CH3, -CH(CH3)2, -C(CH3)3, -CH2CH3, -(CH2)2CH3, -(CH2)3CH3, -(CH2)4CH3, -(CH2)5CH3, -CH2CH2F, -СН2СН2Сl, -CH2CF3 и -CH2CCl3); ![]() -N-2-пропилморфолино, 2,3-дигидро-6-гидроксиинден, сезамол, моноэфир катехола, -CH2-C(O)-N(R1)2, -CH2-S(O)(R1), -CH2-S(O)2(R1), -CH2-CH(OC(O)CH2R1)-CH2(OC(O)CH2R1), холестерил, енолпируват (НООС-С(=СН2)), глицерин; C5 или C6 моносахарид, дисахарид или олигосахарид (от 3 до 9 остатков моносахаридов); триглицериды, такие как -D- -диглицериды (где жирные кислоты, содержащие глицеридные липиды, в основном представляют собой естественного происхождения насыщенные и ненасыщенные жирные кислоты С6-26, C6-18, или C6-10, такие как линолевая, лауриновая, миристиновая, пальмитиновая, стеариновая, олеиновая, пальмитолеиновая, линоленовая и подобные жирные кислоты), связанные с ацилом исходных соединений через глицериловый кислород триглицерида;фосфолипиды, связанные с карбоксильной группой через фосфат фосфолипида; фталидил (показан на фиг. 1 Clayton и др., Antimicrob. Agents Chemo. 5(6):670-671 [1974]); циклические карбонаты, такие как (5-Rd-2-оксо-1,3-диоксолен-4-ил) метиловые эфиры (Sakamoto et al., Chem. Pharm. Bull. 32(6)2241-2248 [1984]), где Rd представляет собой R1, R4 или арил; и ![]() Гидроксильные группы соединений по данному изобретению факультативно замещены на одну из групп III, IV или V, описанных в WO 94/21604, или на изопропил. В качестве дальнейших воплощений в таблице А приведены примеры эфирных частей R6a, которые, например, могут быть связаны через кислород с группами -С(O)O- и -Р(O)(O-)2. Приведены также несколько R6c амидатов, непосредственно связанных с -С(O)- или -РО2. Сложные эфиры структур 1-5, 8-10 и 16, 17, 19-22 получены взаимодействием соединения, имеющего свободный гидроксил, с соответствующим галогенсодержащим соединением (хлорид или ацилхлорид и подобное) и N,N-дициклогексил-N-морфолинкарбоксамидином (или иным основанием, таким как DBU, триэтиламином, CSCO3, N,N-диметиланилином и подобными) в ДМФ (или другом растворителе, таком как ацетонитрил или N-метилпирролидон). Если W1 является фосфонатом, то сложные эфиры структур 5-7, 11, 12, 21 и 23-26 получают взаимодействием спирта или алкоксидной соли (или соответствующих аминов в случае соединений, таких как 13, 14 и 15) с монохлорфосфонатом или дихлорфосфонатом (или другим активированным фосфонатом). Другие сложные эфиры, которые подходят для использования здесь, описаны в ЕР 632,048. R6a также включает “двойной сложный эфир”, образующий профункциональности, такие как -CH2OC(O)OCH3, ![]() -CH2OCON(CH)3, или алкильные или арил-ацилоксиалкильные группы формулы -CH(R1 или W5)O((CO)R37) или -CH(R1 или W5)O((CO)R38) (связанные с кислородом кислотной группы), где R37 и R38 являются алкильной, арильной или алкиарильной группами (см. US, патент 4968788). Часто R37 и R38 являются объемными группами, такими как разветвленный алкил, орто-замещенный арил, мета-замещенный арил или их комбинации, включая нормальные, вторичные, изо- и третичные алкилы, содержащие 1-6 атомов углерода. Например, пивалоилоксиметильная группа. Они особенно пригодны для использования с пролекарствами для орального употребления. Примерами таких пригодных R6a групп являются алкилацилоксиметиловые эфиры и их производные, включая -СН(СН2СН2OСН3)ОС(O)С(СН3)3, ![]() -CH2OC(O)C10H15, -СН2ОС(O)С(СН3)3, -СН(СН2OСН3)ОС(O)С(СН3)3, -СН(СН(СН3)2)ОС(O)С(СН3)3, -СН2OС(O)СН2СН(СН3)2, -СН2ОС(O)С6Н11, -CH2OC(O)C6H5, -CH2OC(O)C10H15, -CH2OC(O)CH2CH3, -СН2OС(O)СН(СН3)2, -СН2ОС(O)С(СН3)3 и -CH2OC(O)CH2C6H5. Для пролекарственных целей типично выбранным сложным эфиром является эфир, используемый в антибиотических лекарственных средствах, в особенности циклические карбонаты, двойные сложные эфиры, фталидиловые, ариловые или алкиловые сложные эфиры. Как отмечено, группы R6a, R6c и R6b факультативно используются для предотвращения побочных реакций с защищенной группой в процессе синтеза, так что они функционируют как защитные группы (PRT) в процессе синтеза. В большинстве случаев вопрос о том, решение какие группы защищать, когда это делать и природа PRT будет зависеть от химизма той реакции, против которой требуется защита (напр, кислотные, основные, окислительные, восстановительные или другие условия) и желательного направления синтеза. Группы PRT не должны быть и обычно не являются теми же самыми, если соединение замещено множественными PRT. В основном PRT будут использоваться для защиты карбоксильных, гидроксильных или аминогрупп. Порядок освобождения от защиты для получения свободных групп зависит от желаемого направления синтеза и условий реакции и может происходить в любом порядке, определяемом специалистом. Очень большое число R6a групп, защищающих гидроксил и амидобразующих групп R6c и соответствующих химических реакций отщепления описано в “Protective Groups in Organic Chemistry”, Theodora W. Greene (John Wiley & Sons, Inc., New York, 1991, ISBN 0-471-62301-6)(“Greene”). Смотри также Kocienski, Philip J.; “Protecting Groups” (Georg Thieme Verlag Stuttgart, New York, 1994), которая включена как ссылка во всей полноте. В особенности часть 1. Защитные группы: обзор, стр. 1-20. Часть 2. Группы, защищающие гидроксил, стр. 21-94. Часть 3. Группы, защищающие диол, стр. 95-117. Часть 4. Группы, защищающие карбоксил, стр. 118-154. Часть 5. Группы, защищающие кабонил, стр. 155-184. Для R6a карбоновой кислоты, фосфоновой кислоты, фосфоната, сульфоновой кислоты и других групп, защищающих W1 кислоты, смотри Greene, как указано ниже. Такие группы включают, например, но не ограничиваясь, сложные эфиры, амиды, гидразиды и подобное. В некоторых воплощениях R6a защищенная кислотная группа является сложным эфиром кислотной группы и R6a является остатком гидроксилсодержащей функциональности. В других воплощениях R6a аминосоединение используется для защиты кислотной функциональности. Остатки подходящих гидроксил- и аминосодержащих функциональностей указаны выше или могут быть найдены в WO 95/07920. Особенный интерес представляют остатки аминокислот, сложных эфиров аминокислот, полипептидов или арильных спиртов. Типичные аминокислота, пблипептид и остатки карбоксил-эстерифицированных аминокислот описаны на страницах 11-18 и соответствуют в тексте WO 95/07920 группам L1 и L2. WO 95/07920 предлагает амидаты фосфоновых кислот, но понятно, что такие амидаты образуются с любыми кислотными группами, указанными здесь, и остатками аминокислот, указанными в WO 95/07920. Типичные R6a сложные эфиры для защиты W1 кислотных функциональностей также описаны в WO 95/07920. Понятно, что те же самые сложные эфиры могут быть образованы с кислотными группами, указанными здесь, так же, как и с фосфанатами согласно публикации ‘920. Типичные эфирные группы определены по крайней мере на страницах 89-93 WO 95/07920 (R31 и R35), в таблице на странице 105 и на страницах 21-23 (R). Особенный интерес представляют сложные эфиры незамещенного арила, такого как фенил, или арилалкил, такой как бензил, или гидрокси-, галоген-, алкокси-, карбокси- и/или алкилэфиркарбоксизамещенный арила или алкиларила, особенно фенила, орто-этоксифенила или С1-С4 алкилэфиркарбоксифенил (салицилат С1-С12 алкилэфиров). Защищенные кислотные группы W1, особенно когда используются сложные эфиры или амиды согласно WO 95/07920, пригодны в качестве пролекарства при оральном употреблении. Однако для соединений по данному изобретению для эффективного орального употребления несущественно, защищена ли кислотная группа W1. Когда соединения по данному изобретению имеют защищенные группы, в особенности употребляемые по системе или орально амидаты аминокислот или замещенные и незамещенные арильные сложные эфиры, они способны к гидролитическому расщеплению in vivo с выделением свободной кислоты. Один или более кислотных гидроксилов защищены. Если защищен более чем один кислотный гидроксил, тогда применяется одна и та же или другая защитная группа, то есть сложные эфиры могут быть разными или одинаковыми, или могут быть использованы смешанный амидат и сложный эфир. Типичные R6a группы, защищающие гироксильные группы, описанные в Greene (стр. 14-118), включают простые эфиры (метил); замещенные метиловые простые эфиры (метоксиметиловый, метилтиометиловый, t-бутилтиометиловый, (фенилдиметилсилил)метоксиметиловый, бензилоксиметиловый, п-метоксибензилоксиметиловый, (4-метоксифенокси)метиловый, гваяколметиловый, t-бутоксиметиловый, 4-пентенилоксиметиловый, силоксиметиловый, 2-метоксиэтоксиметиловый, 2,2,2-трихлорэтоксиметиловый, бис(2-хлорэтокси)метиловый, 2-(триметилсилил)этоксиметиловый, тетрагидропираниловый, 3-бромтетрагидропираниловый, тетрагидроптиопираниловый, 1 -метоксициклогексиловый, 4-метокситетрагидротиопираниловый, 4-метокситетрагидротиопираниловый, 4-метокситетрагидротиопиранил-S, S-диоксидо, 1 -[(2-хлор-4-метил)фенил]-4-метоксипиперидин-4-иловый, 35; 1,4-диоксан-2-иловый,тетрагидрофураниловый, тетрагидротиофураниловый, 2,3,3а, 4,5,6,7,7а-октагидро-7,8,8-триметиловый-4,7-метанобензофуран-2-иловый)); замещенные этиловые простые эфиры (1-этоксиэтиловый, 1-(2-хлорэтокси)этиловый), 1-метил-1-метоксиэтиловый, 1-метил-1-бензилоксиэтиловый, 1-метил-1-бензилокси-2-фторэтиловый, 2,2,2-трихлорэтиловый, 2-триметилсилилэтиловый, 2-(фенилселенил)этиловый, t-бутиловый, аллиловый, п-хлорфениловый, п-метоксифениловый, 2,4-динитрофениловый, бензиловый); замещенные бензиловые эфиры (п-метоксибензиловый, 3,4-диметоксибензиловый, о-нитробензиловый, п-нитробензмловый, п-галобензиловый, 2,6-дихлорбензиловый, п-цианобензиловый, п-фенилбензиловый, 2- и 4-пиколиловый, 3-метил-2-пиколиловый N-оксидо, дифенилметиловый, п,п’-динитробензгидриловый, 5-дибензосубериловый, трифенилметиловый, -нафтилдифенилметиловый, п-метоксифенилдифенилметиловый, ди(п-метоксифенил)фенилметиловый, три(п-метоксифенил)метиловый, 4-(4′-бромфенацилокси)фенилдифенилметиловый, 4,4′, 4”-трис(4,5-дихлорфталимидофенил)метиловый, 4,4′,4”-трис(левулиноилоксифенил)метиловый, 3-(имидазол-1-илметил)бис(4′,4″-диметоксифенил)метиловый, 4,4′,4″-трис(бензоилоксифенил)метиловый, 1,1-бис(4-метоксифенил)-1′-пиренилметиловый, 9-антриловый, 9-(9-фенил)кеантениловый, 9-(9-фенил-10-оксо)антриловый, 1,3-бензодитиолан-2-иловый, бензизотиазолиловый S,S-диоксидо); силиловые сложные эфиры (триметилсилиловый, триэтилсилиловый, триизопропилсилиловый, диметилизопропилсилиловый, диэтилизопропилсилиловый, диметилтексилсилиловый, t-бутилдиметилсилиловый, t-бутилдифенилсилиловый, трибензилсилиловый, три-п-ксилилсилиловый, трифенилсилиловый, дифенилметилсилиловый, t-бутилметоксифенилсилиловый); сложные эфиры (формат, бензоилформат, ацетат, хлорацетат, дихлорацетат, трихлорацетат, трифторацетат, метоксиацетат, трифенилметоксиацетат, феноксиацетат, п-хлорфеноксиацетат, п-поли-фенилацетат, 3-фенилпропионат, 4-оксопентаноат (левулинат), 4,4-(этилендитио)пентаноат, пивалоат, адамантоат, кротонат, 4-метоксикротонат, бензоат, п-фенилбензоат, 2,4,6-триметилбензоат (мезитоат)); карбонаты (метил, 9-флуоренилметил, этил, 2,2,2-трихлорэтил, 2-(триметилсилил)этил, 2-(фенилсульфонил)этил, 2-(трифенилфосфонио)этил, изобутил, винил, аллил, п-нитрофенил, бензил, п-метоксибензил, 3,4-диметоксибензил, о-нитробензил, п-нитробензил, S-бензилтиокарбонат, 4-этокси-1-нафтил, метилдитиокарбонат); группы, способствующие расщеплению (2-иодобензоат, 4-азидобутират, 4-нитро-4-метилпентаноат, о-(дибромметил)бензоат, 2-формилбензолсульфонат, 2-(метилтиометокси)этил карбонат, 4-(метилтиометокси)бутират, 2-(метилтиометоксиметил)бензоат); прочие сложные эфиры (2,6-дихлор-4-метилфеноксиацетат, 2,6-дихлор-4-(1,1,3,3тетраметилбутил)феноксиацетат, 2,4-бис(1,1-диметилпропил)феноксиацетат, хлордифенилацетат, изобутират, моносукциноат, (Е)-2-метил-2-бутеноат (тиглоат), о-(метоксикарбонил)бензоат, п-поли-бензоат, -нафтоат, нитрат, алкил-N,N,N’,N’-тетраметилфосфородиамидат, N-фенилкарбамат, борат, диметилфосфинотиоил, 2,4-динитрофенилсульфенат); сульфонаты (метансульфонат (мезилат), бензилсульфонат, тозилат).
Более типично R6a группы, защищающие гидроксильные группы, включают замещенные метиловые эфиры, замещенные бензоловые эфиры, силиловые эфиры и эфиры, включающие эфиры сульфоновой кислоты, еще более типично триалкилсилиловые эфиры, тозилаты и ацетаты.
Типичные группы, защищающие 1,2-диоловую группу, (такие, где обычно две ОН группы взяты вместе с R6a защитной функциональностью) описаны в Greene на страницах 118-142 и включают циклические ацетали и кетали (метилен, этилиден, l-t-бутилэтилиден, 1-фенилэтилиден, (4-метоксифенил)этилиден, 2,2,2-трихлорэтилиден, ацетонид (изопропилиден), циклопентилиден, циклогексилиден, циклогептилиден, бензилиден, п-метоксибензилиден, 2,4-диметоксибензилиден, 3,4-диметоксибензилиден, 2-нитробензилиден); циклические ортоэфиры (метоксиметиленовый, этоксиметиленовый, диметоксиметиленовый, 1-метоксиэтилиденовый, 1-этоксиэтилиденовый, 1,2-диметоксиэтилиденовый, -метоксибензилиденовый, производное 1-(N,N-диметиламино)этилидена, производное -(N, N-димeтилaминo)бeнзилидeнa, 2-оксациклопентилиденовый); силильные производные (группа ди-t-бутилсилилена, 1,3-(1,1,3,3-тетраизопропилдисилоксанилиден) и тетра-t-бутоксидисилоксан-1,3-диилиден), циклические карбонаты, циклические боронаты, этилборонаты и фенилборонаты.
Более типично группы, защищающие 1,2-диоловую группу, включают группы, показанные в Таблице В, еще более типично эпоксиды, ацетониды, циклические кетали и арильные ацетали.
R6b является Н, защитной группой для аминогруппы или остатка карбоксилсодержащего соединения; в особенности Н, -C(O)R4, аминокислоты, полипептида или защитной группой, но не -C(O)R4, аминокислотой или полипептидом. Амидобразующий R6b обнаружен, например, в группе G1. Когда R6b является амнокислотой или полипептидом, то он имеет формулу R15NHCH(R16)C(O)-, где R15 представляет собой Н, аминокислотный или полипептидный остаток, или R5, и R16 имеют указанное ниже.
R16 является низшим алкилом или низшим алкилом (C1-C6), замещенным аминогруппой, карбоксилом, амидом, карбоксильным эфиром, гидроксилом, C6-C7 арилом, гуанидинилом, имидазолилом, индолилом, сульфгидрилом, сульфоксидом и/или алкилфосфатом. R10 также взятый вместе с аминокислотой N образует пролиновый остаток (R10=-СН2)3-). Однако R10 обычно является боковой группой аминокислот естественного происхождения, такой как Н, -СН3, -СН(СН3)2, -CH2-CH(CH3)2, -CHCH3-CH2-CH3, -CH2-C6H5, -CH2CH2-S-CH3, CH2OH, -CH(OH)CH3, -CH2-SH, -CH2-C6H4OH, -CH2-CO-NH2, -CH2-CH2-CO-NH2, -CH2-COOH,-CH2-CH2-COOH, -(CH2)4-NH2 и -(CH2)3-NH-C(NH2)-NH2. R10 также включает 1-гуанидинопроп-3-ил, бензил, 4-гидрооксибензил, имидазол-4-ил, индол-3-ил, метоксифенил и этоксифенил. R6b являются в большинстве случаев остатками карбоновых кислот, но пригодны любые из типичных групп, защищающих аминогруппу, описанных Greene на страницах 315-385. Они включают карбаматы (метил и этил, 9-флуоренилметил, 9(2-сульфо)флуоренилметил, 9(2,7-дибром)флуоренилметил, 2,7-ди-t-бутил-[9-(10,10-диоксо-10,10,10,10-тетрагидротиоксантил)] метил, 4-метоксифенацил); замещенный этил (2,2,2-трихороэтил, 2-триметилсилилэтил, 2-фенилэтил, 1-(1-адамантил)-1-метилэтил, 1,1 -диметил-2-галогенэтил, 1,1 -диметил-2,2-дибромэтил, 1,1 -диметил-2,2,2-трихлорэтил, 1 -метил-1 -(4-бифенил)этил, 1 -(3,5-ди-t-бутилфенил)-1-метилэтил, 2-(2′- и 4′-пиридил)этил, 2-(N,N-дициклогексилкарбоксамидо)этил, t-бутил, 1-адамантил, винил, аллил, 1-изопропилаллил, циннамил, 4-нитроциннамил, 8-хинолил, N-гидрооксипиперидинил, алкилдитио, бензил, п-метоксибензил, п-нитробензил, п-бромбензил, п-хоробензил, 2,4-дихлорбензил, 4-метилсульфинилбензил, 9-антрилметил, дифенилметил); группы, способствующие расщеплению (2-метилтиоэтил, 2-метилсульфонилэтил, 2-(п-толуолсульфонил)этил, [2-(1,3-дитианил)]метил, 4-метилтиофенил, 2,4-диметилтиофенил, 2-фосфониоэтил, 2-трифенилфосфониоизопропил, 1,1-диметил-2-цианоэтил, м-хоро-п-ацилоксибензил, п-(дигидроксиборил)бензил, 5-бензизоксазолилметил, 2-(трифторметил)-6-хромонилметил); группы, способные к фотолитнческому расщеплению (м-нитрофеннл, 3,5-диметоксибензил, о-нитробензил, 3,4-диметокси-6-нитробензил, фенил(о-нитрофенил)метил); производные типа мочевины (фенотиазинил-(10)-карбонил, N’-п-толуолсульфониламинокарбонил, N’-фениламинотиокарбонил); разнообразные карбаматы (t-амил, S-бензил тиокарбамат, п-цианобензил, циклобутил, циклогексил, циклопентил, циклопропилметил, п-децилоксмбензил, диизопропилметил, 2,2-диметоксикарбонилвинил, о-(N, N-диметилкарбоксамидо)бензил, 1,1 -диметил-3-(N,N-диметилкарбоксамидо)пропил, 1,1 -диметилпропинил, ди(2-пиридил)метил, 2-фуранилметил, 2-иодоэтил, изоборнил, изобутил, изоникотинил, п-(п’-метоксифенилазо)бензил, 1-метилциклобутил, 1-метилциклогексил, 1-метил-1-циклопропилметил, 1-метил-1-(3,5-диметоксифенил)этил, 1-метил-1-(п-фенилазофенил)этил, 1-метил-1-фенилэтил, 1-метил-1-(4-пиридинил)этил, фенил, п-(фенилазо)бензил, 2,4,6-три-t-бутилфенил, 4-(триметиламмоний)бензил, 2,4,6-триметилбензил); амиды (N-формил, N-ацетил, N-хороацетил, N-трихороацетил, N-трифторацетил, N-фенилацетил, N-3-фенилпропионил, N-пиколиноил, N-3-пиридилкарбоксамид, N-бензоилфенилаланил, N-бензоил, N-п-фенилбензоил); амиды, способные к расщеплению (N-o-ннтрофенилацетил, N-o-нитрофеноксиацетил, N-ацетоацетил, (N’-дитиoбeнзилoкcикapбoнилaминo)aцeтил, N-3-(п-гидроксифенил)пропионил, N-3-(o-нитрофенил)пропионил, N-2-метил-2-(o-нитрофенокси)пропионил, N-2-метил-2-(о-фенилазофенокси)пропионил, N-4-хлорбутирил, N-3-метил-3-нитробутирил, N-o-нитроциннамоил, N-ацетилметионин, N-o-нитробензоил, N-o-(бензоилоксиметил)бензоил, 4,5-дифенил-3-оксазолин-2-он), производные циклических имидов (N-фталимид, N-дитиасукциноил, N-2,3-дифeнилмaлeoил, N-2,5-диметилпирролил, аддукт N-1,1,4,4-тeтpaмeтилдиcилилaзaциклoпeнтaнa, 5-замещенный 1,3-диметил-1,3,5-триазациклогексан-2-он, 5-замещенный 1,3-дибензил-1,3,5-триазациклогексан-2-он, 1-замещенный 3,5-динитро-4-пиридонил); N-алкильные и N-арильные амины (N-метил, N-аллил, N-[2-(триметилсилил)этокси]метил, N-3-ацетоксипропил, N-(1-изопропил-4-нитро-2-оксо-3-пирролин-3-ил); четвертичные аммонийные соли, N-бензил, N-ди(4-метоксифенил)метил, N-5-дибензосуберил, N-трифенилметил, N-(4-метоксифенил)дифенилметил, N-9-фенилфлуоренил, N-2,7-диxлop-9-флуоренилметилен, N-фeppoцeнилмeтил, N-2-пикoлnлaмин N’-oкcид), иминовые производные (N-1,1-диметилтиометилен, N-бензилиден, N-п-метоксибенилиден, N-дифенилметилен, N-[(2-пиридил)мезитил]метилен, N,(N’, N’-диметиламинометилен, N,N’-изопропилиден, N-п-нитробензилиден, N-салицилиден, N-5-хлорсалицилиден, N-(5-xлop-2-гидроксифенил)фенилметилен, N-циклогексилиден); енаминовые производные (N-(5,5-диметил-3-оксо-1-циклогексенил)); производные N-металлов (производные N-борана, производные N-дифенилбориновой кислоты, N-[фенил(пентакарбонилхром-или-вольфрам)]карбенил, хелаты N-меди или N-цинка); производные N-N (N-нитро, N-нитрозо, N-оксид); N-П производные (N-дифенилфосфинил, N-диметилтиофосфинил, N-дифенилтиофосфинил, N-диалкил фосфорил, N-дибензил фосфорил, N-дифенил фосфорил); N-Si производные; N-S производные; N-сульфенил производные (N-бензолсульфенил, N-o-нитробензолсульфенил, N-2,4-динитробензолсульфенил, N-пентахлорбензолсульфенил, N-2-нитро-4-метоксибензолсульфенил, N-трифенилметилсульфенил, N-3-нитропиридинсульфенил); N-сульфонил производные (N-п-толуолсульфонил, N-бензолсульфонил, N-2,3,6-тpимeтил-4-мeтoкcибeнзoлcyльфoнил, N-2,4,6-триметоксибензолсульфонил, N-2,6-димeтил-4-мeтoкcибeнзoлcульфoнил, N-пентаметилбензолсульфонил, N-2,3,5,6,-тетраметил-4-метоксибензолсульфонил, N-4-метоксибензолсульфонил, N-2,4,6-триметилбензолсульфонил, N-2,6-димeтoкcи-4-мeтилбeнзoлcульфoнил, N-2,2,5,7,8-пентаметилхроман-6-сульфонил, N-метансульфонил, N- -триметилсилилэтансульфонил, N-9-антраценсульфонил, N-4-(4′,8′-диметоксинафтилметил)бензолсульфонил, N-бензилсульфонил, N-трифторметилсульфонил, N-фенацилсульфонил).
Более типично, защищенные аминогруппы включают карбаматы и амиды, еще более типично -NHC(O)R1 или -N=CR1N(R1)2. Другая защитная группа, также пригодная в качестве пролекарства в участке G1, особенно для амино- или -NH(R5), это:![]() смотри для примера Alexander, J.; et al., J.Med.Chem. 1996, 39. 480-486. R6c является Н или остатком аминосодержащего соединения, в особенности аминокислоты, полипептида, защитной группы, -NHSO2R4, NHC(O)R4, -N(R4)2, NH2 или -NH(R4)(H), где, например, карбоксил – или группа фосфоновой кислоты W1 реагируют с амином с образованием амида, как в -C(O)R6c, -P(O)(R6c)2 или P(O)(OH)(R6c). Обычно R6c имеет формулу R17C(O)CH(R16)NH-, где R17 является ОН, OR6a. OR5, аминокислотным или полипептидным остатком. Аминокислоты являются соединениями с низкой молекулярной массой (MW), порядка менее чем приблизительно 1000, которые содержат по крайней мере одну амино- или иминогруппу и по крайней мере одну карбоксильную группу. Обычно аминокислоты можно обнаружить в природе, то есть они могут быть определены в биологическом материале, таком как бактерии или другие микробы, растения, животные или человек. Подходящие аминокислоты обычно представляют собой альфа-аминокислоты, то есть соединения, характеризующиеся по крайней мере одним атомом азота амино- или иминогруппы, отделенным от атома углерода одной карбоксильной группы единственным замещенным или незамещенным атомом углерода в альфа-положении. Особенный интерес представляют гидрофобные остатки, такие как моно- или диалкильные или арильные аминокислоты, циклоалкиламинокислоты и подобные им. Эти остатки содействуют проницаемости клеток путем повышения коэффициента рапределения исходного лекарственного средства. Обычно остатки не содержат сульфгидрильного или гуанидинового заместителя. Аминокислотные остатки естественного происхождения – это такие остатки, которые обнаружены в растениях, животных и микробах, особенно в их белках. Полипептиды наиболее типично будут по существу состоять из таких аминокислотных остатков естественного происхождения. Эти аминокислоты – глицин, аланин, валин, лейцин, изолейцин, серин, треонин, цистеин, метионин, глутаминовая кислота, аспарагиновая кислота, лизин, гидроксилизин, аргинин, гистидин, фенилаланин, тирозин, триптофан, пролин, аспарагин, глутаминигидроксипролин. Если R6b и R6c представляют собой простые аминокислотные остатки или полипептиды, то они обычно замещены на R3, W6, W1 и/или W2, но типично только W1 или W2. Эти конъюгаты получаются образованием амидной связи между карбоксильной группой аминокислоты (или например, С-концевой аминокислоты полипептида) и W2. Аналогично, конъюгаты образуются между W1 и аминогруппой или аминокислотой полипептида. Обычно только один из участков исходной молекулы амидирован аминокислотой, как это здесь описано, хотя в объем данного изобретения входит введение аминокислот в более чем один приемлемый участок. Обычно карбоксильная группа W1 амидирована аминокислотой. Как правило, -амино- или -карбоксильная группа аминокислоты или концевая амино- или карбоксильная группа полипептида связана с исходными функциональностями, то есть карбоксильные и аминогруппы в боковых цепях аминокислоты обычно не используются для образования амидных связей с исходным соединением (хотя эти группы могут нуждаться в защите во время синтеза конъюгатов, как описано ниже).
В отношении карбоксилсодержащих боковых цепей аминокислот или полипептидов понятно, что карбоксильная группа может быть блокирована, например, R6a, эстерифицированным R5 или амидированным R6c. Аналогично боковые цепи аминогруппы R16 могут быть блокированы R6b или замещены R5.
Такие эфирные или амидные связи с боковой цепью амино- или карбоксильных групп, как сложные эфиры или амиды с исходной молекулой, могут быть гидролизованы in vivo или in vitro в кислых (рН<3) или основных (рН>10) условиях. Альтернативно, они достаточно стабильны в желудочно-кишечном тракте человека, но гидролизуются ферментами в крови или межклеточном пространстве. Сложные эфиры или аминокислоты или амидаты полипептида также используют в качестве промежуточных веществ для получения исходной молекулы, содержащей свободные аминогруппы и карбоксильные группы. Свободная кислота или основание исходного соединения, например, легко образуется из эфиров или аминокислоты или конъюгатов полипептидов по данному изобретению путем обычного гидролиза.
Когда аминокислотный остаток содержит один или более хиральных центров, может быть использован любой из D, L, мезо-, трео-, эритро- (как необходимо) рацематов, скалематов или их смесей. Обычно, если промежуточные вещества гидролизуют неферментным путем (например, в случае использования амидов в качестве химических промежуточных продуктов для свободных кислот и свободных аминов), применяют D-изомеры. С другой стороны, L-изомеры более многосторонни, так как они могут быть восприимчивы как к неферментному, так и ферментному гидролизу и более эффективно переносятся аминокислотной или дипептидильной транспортными системами в желудочно-кишечном тракте.
Примеры подходящих аминокислот (их остатки представлены R6b и R6c) включают следующие:глицин; аминополикарбоновые кислоты, например, аспарагиновую кислоту, -гидроксиаспарагиновую кислоту, глутаминовую кислоту, -гидроксиглутаминовую кислоту, -метиласпарагиновую кислоту, -метилглутаминовую кислоту, , -диметиласпарагиновую кислоту, -оксиглутаминовую кислоту, , -дигидроксиглутаминовую кислоту, -фенилглутаминовую кислоту, -метиленглутаминовую кислоту, 3-аминоадипиновую кислоту, 2-аминопимелиновую кислоту, 2-аминосубериновую кислоту и 2-аминосебациновую кислоту;аминокислотные амиды, такие как глутамин и аспарагин; полиамино- и полиосновные монокарбоновые кислоты, такие как аргинин, лизин, -аминоаланин, -аминобутирин, орнитин, цитруллин, гомоаргинин, гомоцитрулин, гидроксилизин, аллогидроксилизин и диаминомасляная кислота;другие основные аминокислотные остатки, такие как гистидин; диаминодикарбоновые кислоты, такие как ,![]() -диаминоянтарная кислота, ,![]() -диаминоглутаровая кислота, ,![]() -диаминоадипиновая кислота, ,![]() -диаминопимелиновая кислота, ,![]() -диамино- -гидроксипимелиновая кислота, ,![]() -диаминосубериновая кислота, ,![]() -диаминоазелаиновая кислота, ,![]() -диаминосебациновая кислота;иминокислоты, такие как пролин, гидроксипролин, аллогидроксипролин, -метилпролин, пипеколиновая кислота, 5-гидроксипипеколиновая кислота и азетидин-2-карбоновоая кислота;Моно- или диалкильные (обычно С1-С8 разветвленные или нормальные) аминокислоты, такие как аланин, валин, лейцин, алилглицин, бутирин, норвалин, норлейцин, гептилин, -метилсерин, -амино- -метил- -гидроксивалериановая кислота, -амино- -метил- -оксивалериановая кислота, -амино- -метил- -гидроксикапроновая кислота, изовалин, -метилглутаминовая кислота, -аминоизомасляная кислота, -аминодиэтилуксусная кислота, -аминодиизопропилуксусная кислота, -аминоди-н-пропилуксусная кислота, -аминодиизобутилуксусная кислота, -аминоэтилизопропилуксусная кислота, -амино-н-пропилуксусная кислота, -аминодиизоамилуксусная кислота, -метиласпарагиновая кислота, -метилглутаминовая кислота, 1-аминоциклопропан-1-карбоновая кислота, изолейцин, аллоизолейцин, трет-лейцин, -метилтриптофан и -амино- -фенилпропионовая кислота; -фенилсеринил;алифатические -амино- -окси кислоты, такие как серин, -гидроксилейцин, -гидроксинорлейцин, -гидроксинорвалин и -амино- -оксистеариновая кислота; -амино, -, -, – или -гидрокси кислоты, такие как остатки гомосерина, -гидроксинорвалина, -гидроксинорвалина и эпсилон-оксинорлейцина; канавин и каналин; -гидроксиорнитин;2-гексозаминовые кислоты, такие как D-глукозаминовая кислота или D-галактозаминовая кислота; -амино- -тиолы, такие как пеницилламин, -тиолнорвалин или -тиолбутирин;другие серосодержащие аминокислотные остатки, включая цистеин, гомоцистин: -фенилметионин, метионин, сульфоксид S-аллил-L-цистеина, 2-тиолгистидин, цистатионин и тиоловые эфиры цистеина и гомоцистеина;фенилаланин, триптофан и замещенные в кольце -аминокислоты, такие как фенил- или циклогексиламинокислоты, -аминофенилуксусная кислота, -аминоциклогексилуксусная кислота и -амино- -циклогексилпропионовая кислота; аналоги фенилаланина и производные, включающие арил, низший алкил, оксигруппу, гуанидиновую группу, оксиалкилэфирную, нитро-, серную и галоген-замещенную фенильную группы (например, тирозин, метилтирозин и о-хлор-, п-хлор-, 3,4-дихлор-, о-, м- или п-метил-, 2,4,6-триметил-, 2-этокси-5-нитро-, 2-гидрокси-5-нитро- и п-нитрофенилаланин); фурил-, тиенил-, пиридил-, пиримидинил-, пуринил- или нафтилаланины; аналоги триптофана и производные, включающие кинуренин, 3-гидроксикинуренин, 2-окситриптофан и 4-карбокситриптофан; -аминозамещенные аминокислоты, включая саркозин (N-метилглицин), N-бензилглицин, N-метилаланин, N-бензилаланин, N-метилфенилаланин, N-бензилфенилаланин, N-метилвалин и N-бензилвалин; -гидрокси- и замещенные -гидрокси аминокислоты, включая серин, треонин, аллотреонин, фосфосерин и фосфотреонин.
Полипептиды являются полимерами аминокислот, в которых карбоксильная группа одного аминокислотного мономера связана амидной связью с амино- или иминогруппой следующего аминокислотного мономера. Полипептиды включают дипептиды, полипептиды с низкой молекулярной массой (примерно 1500-5000) и белки. Белки могут содержать 3, 5, 10, 50, 75, 100 или более остатков и соответственно обладают значительной гомологией последовательностей с человеческими, животными, растительными или микробными белками. Они включают ферменты (например, гидрогенпероксидазу) так же, как и иммуногены, такие как KLH (хромопротеид из моллюска Megatura crenutata) или антитела либо белки любого типа, в отношении которых желательно вызвать иммунный ответ. Природа и индивидуальность полипептидов может широко варьироваться.
Амидаты полипептидов пригодны в качестве иммуногенов для создания антител по отношению как к полипетиду (если он не является иммуногенным по отношению к животному, которому его вводят), так и по отношению к эпитопам на остатке соединения по данному изобретению.
Антитела, способные к связыванию с исходным непептидильным соединением, используют для выделения исходного соединения из смесей, например, в диагностике или получении исходного соединения. Конъюгаты исходного соединения и полипептида обычно более иммуногенны, чем полипептиды у близко гомологичных животных и поэтому делают полипептид более иммуногенным для содействия возникновению антител по отношению к нему. Соответственно полипептид или белок не обязательно должен быть иммуногенным по отношению к животному, обычно используемому для возникновения антител, например кролик, мышь, лошадь или крыса, но конъюгат окончательного продукта должен быть иммуногенным по отношению по крайней мере одного из этих животных. Полипептиды необязательно содержат расщепляемую пептидолитическими ферментами часть в пептидной связи между первым и вторым остатками, примыкающую к кислотному гетероатому. К таким участкам расщепления примыкают ферментные структуры узнавания, то есть определенная последовательность остатков, узнаваемая пептидолитическим ферментом.
Пептидолитические ферменты для расщепления полипептидных конъюгатов по данному изобретению хорошо известны и в особенности включают карбоксипептидазы. Карбоксипептидазы разлагают полипептиды удалением С-концевых остатков и во многих случаях специфичны для определенных С-концевых остатков. Такие ферменты и их требования к субстрату в основном хорошо известны. Для примера, дипептид (имеющий данную пару остатков и свободную карбоксильную концевую группу) ковалентно связан через свою -аминогруппу с атомами фосфора или углерода данного здесь соединения. В тех воплощениях изобретения, где W1 является фосфонатом, ожидается, что этот пептид будет расщепляться подходящим пептидолитическим ферментом, оставляя карбоксил проксимального остатка аминокислоты для автокаталитического расщепления фосфонамидатной связи.
Подходящими дипептильными группами (обозначенными по их единичному буквенному коду) являются:АА, AR, AN, AD, AC, AE, AQ, AG, АН, AI, AL, AK, AM, AF, АР, AS, AT, AW, AY, AV, RA, RR, RN, RD, RC, RE, RQ, RG, RH, RI, RL, RK, RM, RF, RP, RS, RT, RW, RY, RV, NA, NR, NN, ND, NC, NE, NQ, NG, NH, NI, NL, NK, NM, NF, NP, NS, NT, NW, NY, NV, DA, DR, DN, DD, DC, DE, DQ, DG, DH, DI, DL, DK, DM, DF, DP, DS, DT, DW, DY, DV, CA, CR, CN, CD, CC, CE, CQ, CG, CH, CI, CL, CK, CM, CF, CP, CS, CT, CW, CY, CV, EA, ER, EN, ED, EC, ЕЕ, EQ, EG, EH, EI, EL, EK, EM, EF, EP, ES, ET, EW, EY, EV, QA, QR, QN, QD, QC, QE, QQ, QG, QH, QI, QL, QK, QM, QF, QP, QS, QT, QW, QY, QV, GA, GR, GN, GD, GC, GE, GQ, GG, GH, GI, GL, GK, GM, GF, GP, GS, AT, GW, GY, GV, HA, HR, HN, HD, HC, HE, HQ, HG, HH, HI, HL, HK, HM, HF, HP, HS, HT, HW, HY, HV, IA, IR, IN, ID, IC, IE, IQ, IG, IH, II, IL, IK, IM, IF, IP, IS, IT, IW, IY, IV, LA, LR, LN, LD, LC, LE, LQ, LG, LH, LI, LL, LK, LM, KF, LS, LT, LW, LY, LV, KA, KR, KN, KD, КС, KE, KQ, KG, KH, KI, KL, KK, KM, KF, KS, KT, KW, KY, KV, MA, MR, MN, MD, MC, ME, MQ, MG, MH, MI, ML, MK, MM, MF, MS, MT, MW, MY, MV, FA, FR, FN, FD, FC, FE, FQ, FG, FH, FI, FL, FK, FM, FF, FS, FT, FW, FY, FV, PA, PR, PN, PD, PC, PE, PQ, PG, PH, PI, PL, PK, PM, PF, PS, PT, PW, PY, PV, SA, SR, SN, SD, SC, SE, SQ, SG, SH, SI, SL, SK, SM, SF, SS, ST, SW, SY, SV, ТА, TR, TN, TD, TC, ТЕ, TQ, TG, TH, TI, TL, TK, TM, TF, TS, TT, TW, TY, TV, WA, WR, WN, WD, WC, WE, WQ, WG, WH, WI, WL, WK, WM, WF, WS, WT, WW, WY, WV, YA, YR, YN, YD, YC, YE, YQ, YG, YH, YI, YL, YK, YM, YF, YS, YT, YW, YY, YV, VA, VR, VN, VD, VC, VE, VQ, VG, VH, VI, VL, VK, VM, VF, VS, VT, VW, VY и VV. Трипептидные остатки также пригодны в качестве R6b и R6c. Когда W1 является фосфоатом, последовательность -Х4-про-X5– (где Х4 представляет собой любой аминокислотный остаток и X5 представляет собой. аминокислотный остаток, сложный карбоксильный эфир пролина или водород) будет расщепляться полостной карбоксипептидазой с получением Х4 со свободным карбоксилом, который в свою очередь, как ожидается, будет автокаталитически расщеплять фосфонамидатную связь. Карбоксигруппа X5 факультативно эстерифицируется бензилом. Виды дипептидов или трипептидов могут быть выбраны на основании известных транспортных свойств и/или чувствительности к пептидазам, которые могут воздействовать на передачу в клетки слизистых оболочек кишечника или другие типы клеток. Дипептиды и трипептиды без -аминогрупп являются транспортными субстратами для пептидного переносчика, обнаруженного в мембране щеточных клеток слизистой оболочкм кишечника (Bai, J.P.F., “Pharm. Res.” 9:969-978 (1992). Транспорт компетентные пептиды могут, таким образом, быть использованы для повышения биологической доступности амидатных соединений. Ди- и трипептиды, имеющие одну или более аминокислот в D конфигурации, также совместимы с транспортом пептидов и могут использоваться в амидатных соединениях по данному изобретению. Аминокислоты в D конфигурации могут быть использованы для уменьшения чувствительности ди- и трипептидов к гидролизу протеазами, обычными для щеточных клеток, такими как аминопептидаза N (ЕС 3.4.11.2). Дополнительно ди- или трипептиды альтернативно выбираются на основании их относительной устойчивости к гидролизу протеазами, обнаруженными в полости кишечника. Например, трипептиды или полипептиды без asp и/или glu являются бедными субстратами для аминопептидазы А (ЕС 3.4.11.7), ди- или трипептиды без аминокислотных остатков на N-концевом участке гидрофобных аминокислот (leu, tyr, phe, val, trp) являются бедными субстратами для эндопептидазы 24.11 (ЕС 3.4.24.11) и пептиды без остатка pro в предпоследнем положении на свободном карбоксильном конце являются бедными субстратами для карбоксипептидазы Р (ЕС 3.4.17). Аналогичные соображения могут также использоваться для выбора пептидов, которые или относительно устойчивы, или относительно чувствительны к гидролизу цитозольными, почечными, печеночными, сывороточными или другими пептидазами. Такие слабо расщепляющиеся полипептидные амидаты являются иммуногенами или используются для связывания белков при получении иммуногенов.
Другое воплощение изобретения относится к композициям формул (VII) и (VIII):![]() ![]() где Е1, G1, T1, U1, J1, J1a, J2 и J2a имеют указанные выше значения за исключением: Т1 представляет собой -NR1W3, гетероцикл, или вместе с G1 образует группу формулы: ![]() Х1 является связью, -О-, -N(H)-, -N(R5)-, -S-, -SO- или -SO2; при условии, что исключаются соединения, у которых U1 представляет собой Н или -СН2СН(ОН)СН2(ОН); и их соли, сольваты, разделенные энантиомеры и очищенные диастереомеры. Каждый из типичных или обычных воплощений формулы (I)-(VI), конкретизированных выше, является также типичным воплощением соединений формулы (VII) и (VIII). Синтез ряда соединений формулы (VII) и (VIII), у которых U1 представляет собой Н или -СН2СН(ОН)СН2(ОН), описаны в Nishimura, Y.; и др.; Antibiotics. 1993, 46(2); и Nat. Prod. Lett 6 1992, 1(1), 39. Присоединение групп U1 согласно настоящему изобретению происходит, как там описано. Стереоизомеры Соединения по данному изобретению представляют собой обогащенные или перерастворенные оптические изомеры для любого или всех асимметрических атомов. Например, хиральные центры, видимые из изображений, представляют собой хиральные изомеры или рацемические смеси. Как рацемические, так и диастереомерические смеси, так же как изолированные и синтезированные индивидуальные оптические изомеры, по существу свободные от их энантиомерных и диастереомерных партнеров, входят в объем изобретения. Рацемические смеси разделены на их отдельные, по существу чистые оптически изомеры с помощью хорошо известных методик, таких как, например, разделение диастереоизомерических солей, образованных оптически активными вспомогательными агентами, например кислотами или основаниями, с последующей конверсией в оптически активные субстанции. В большинстве случаев желаемый оптический изомер синтезирован посредством стереоспецифических реакций, начиная с соответствующего стереоизомера желаемого исходного материала. Примерная стереохимия соединений по данному изобретению представлена ниже в Таблице С. В некоторых случаях соединения по данному изобретению могут также существовать как таутомеры. Например, таутомеры ен-аминов могут существовать для имидазольных, гуанидиновых, амидиновых и тетразольных систем, и все их возможные таутомерные формы входят в объем данного изобретения. Обозначения соединений, приведенных в качестве примера. В качестве примера, но не ограничиваясь, воплощенные соединения названы ниже в виде таблицы (Таблица 6). В основном каждое соединение описано как замещенное ядро, в котором ядро обозначено заглавной буквой, а каждый заместитель обозначен по порядку строчной буквой или цифрой. Таблицы 1а и 1b представляют собой перечень ядер, которые принципиально различаются характером ненасыщенности кольца и природой заместителей в нем. Все ядра приведены в алфавитном порядке обозначений из таблиц 1а и 1b и это обозначение является первым в названии каждого соединения. Аналогично Таблица 2a-ai, 3a-b, 4a-c и 5a-c перечисляют выбранные заместители Q1, Q2, Q3 и Q4, опять с обозначением буквой или числом. Соответственно каждое названное соединение обозначено заглавной буквой, обозначающей ядро из таблиц 1а-1b, числом, обозначающим заместитель Q1, строчной буквой, обозначающей заместитель Q2, числом, обозначающим заместитель Q3, и строчной буквой или буквами, обозначающими заместитель Q4. Таким образом, структура 8, схема 1 представлена как А.49.а.4.i. Q1-Q4. Следует понимать, что Q1-Q4 не представляют групп или атомов, а являются просто обозначениями связанности. Соли и гидраты Композиции согласно данному изобретению могут включать соли названных соединений, особенно фармацевтически приемлемые нетоксичные соли, содержащие, например, Na+, Li+, К+, Са++ и Мg++. Эти соли могут быть получены путем комбинирования подходящих катионов, таких как ионы щелочных и щелочноземельных металлов или аммония и ионы четвертичного амина с частью кислотного аниона, обычно группой W1 карбоновой кислоты. Для водорастворимой соли предпочтительны одновалентные катионы. Соли металлов обычно получают взаимодействием гидроокиси металла с соединением согласно данному изобретению. Примерами солей металлов, которые получают таким образом, являются соли Li+, Na+ и К+. Менее растворимые соли металлов могут быть высаждены из раствора более растворимой соли добавлением подходящего соединения металла. Дополнительно, соли могут быть получены присоединением некоторых органических и неорганических кислот, например НСl, HBr, H2SO4, или органических сульфоновых кислот, к основным центрам, обычно аминам группы G1 или к кислотным группам, таким как Е1. Наконец, понятно, что композиции по изобретению включают соединения по данному изобретению в их неионизированной, а также цвиттерионной форме и в сочетании со стехиометрическими количествами воды, как в гидратах. В объем данного изобретения также входят соли исходных соединений с одной или более аминокислотами. Пригодной является любая из описанных выше аминокислот, особенно аминокислоты естественного происхождения, входящие в состав белка, хотя обычно аминокислота содержит боковую цепь с основной или кислотной группой, например, лизин, аргинин или глутаминовая кислота, или с нейтральной группой, такие как глицин, серин, треонин, аланин, изолейцин или лейцин. Способы ингибирования нейраминидазы Согласно другому аспекту изобретение относится к способам ингибирования активности нейраминидазы, включающим стадию обработки образца, предположительно содержащего нейраминидазу, соединением по данному изобретению. Композиции по изобретению действуют как ингибиторы нейраминидазы, как промежуточные продукты для таких ингибиторов или имеют иное предназначение, как описано ниже. Ингибиторы связываются локально на поверхности или в порах нейраминидазы, имеющей геометрию, уникальную для нейраминидазы. Композиции, связывающие нейраминидазу, могут связываться с различной степенью обратимости. Соединения, которые связываются по существу необратимо, являются идеальными для использования в способе по данному изобретению. Однажды помеченные, по существу необратимо связанные композиции, используют как зонды для определения нейраминидазы. Соответственно изобретение относится к способам определения нейраминидазы в образце, предположительно содержащем нейраминидазу, включающим стадии: обработки образца, предположительно содержащего нейраминидазу композицией, включающей соединение по данному изобретению, связанное с меткой наблюдения за воздействием на образец по активности метки. Подходящие метки хорошо известны в области диагностики и включают стабильные свободные радикалы, флуорофоры, радиоизотопы, ферменты, хемилюминисцентные группы и хромогены. Соединения по изобретению мечены подходящим образом с использованием функциональных групп, таких как гидроксил и аминогруппа. В контексте изобретения образцы, предположительно содержащие нейраминидазу, включают естественные и искусственные материалы, такие как живые организмы; ткани или культуры клеток; биологические образцы, такие как образцы биологического материала (кровь, сыворотка, моча, цереброспинальная жидкость, слезы, мокрота, слюна, образцы тканей, и тому подобное); лабораторные образцы; образцы пищи, воды и воздуха; образцы биопродуктов, таких как экстракты клеток, особенно рекомбинантных клеток, синтезирующих желаемый гликопротеин; и тому подобное. Обычно предполагается, что образец содержит организм, образующий нейраминидазу, часто патогенный организм, такой как вирус. Образцы могут содержаться в любой среде, содержащей воду и смеси органического растворителя с водой. Образцы включают живые организмы, такие как организм человека, и искусственные материалы, такие как культуры клеток. Стадия обработки в способе по изобретению включает добавление композиций по данному изобретению к образцу или она включает добавление предшественника композиции к образцу. Стадия добавления охватывает любой метод введения, как было описано выше. По желанию активность нейраминидазы после добавления композиции можно наблюдать любым методом, включающим прямые и непрямые методы определения нейраминидазной активности. Могут быть использованы все количественные, качественные и полуколичественные методы определения активности нейраминидазы. Обычно используют один из методов наблюдения, описанный выше, однако любой другой метод, такой как наблюдение за физиологическими свойствами живого организма, также может быть использован. Организмы, содержащие нейраминидазу, включают бактерии (Vibrio cholerae, Clostridium perfringens, Streptococcus pneumoniae и Arthrobacter sialophilus) и вирусы (особенно ортомиксовирусы или парамиксовирусы, такие как вирус гриппа А и В, вирус парагриппа, вирус паротита, вирус ньюкастлской болезни, вирус чумы птиц и вирус сендай). Ингибирование нейраминидазной активности, полученной или обнаруженной в любом из этих организмов, является задачей данного изобретения. Вирусология вирусов гриппа описана в “Fundamental Virology” (Raven Press, New York, 1986), Часть 24. Соединения согласно данному изобретению используют для лечения или профилактики таких инфекционных заболеваний у животных, например, уток, грызунов или свиней, или человека. Однако при исследовании соединений, способных к ингибированию вируса гриппа, следует иметь в виду, что результаты опытов с ферментами могут не коррелировать с опытами на культурах клеток, как показано в Таблице 1 в Chandler et al. , supra. Таким образом, опыты по уменьшению бляшек должны быть первичным инструментом исследования. Исследования с ингибиторами нейраминидазы Композиции по данному изобретению исследуют на активность ингибировать нейраминидазу с использованием любой из подходящих методик оценки ферментной активности. В контексте изобретения типичные композиции были сначала исследованы на подавление нейраминидазы in vitro и композиции, проявившие ингибирующую активность, были затем исследованы на активность in vivo. Композиции, имеющие in vitro Ki (константы ингибирования) менее чем примерно 5 10-6 М, обычно менее чем примерно 1 10-7 М и предпочтительно менее чем примерно 5 10-8 М, являются предпочтительными для использования in vivo.
Исследования, пригодные для использования in vitro, были подробно описаны и не будут здесь детализироваться. Однако Itzstein. M. von et al., “Nature”, 363(6428): 418-423 (1993), в особенности, стр. 420, колонка 2; весь параграф 3 до страницы 421, колонка 2, неполный первый параграф, описывает подходящий опыт in vitro Potier, M.; et al., “Analyt. Biochem.” 94: 287-296(1979), модифицированный Chong, A.K.J.; et al., “Biochem. Biophys. Acta” 1077: 65-71 (1991) и Colman, P.M.; et al., International Pubtication No. WO 92/06691 (Int.App.No. PCT/AU90/00501, дата публикации 30 апреля 1992) стр. 34, строчка 13, до стр. 35, строчка 16 описывает другое исследование для использования in vitro.
Исследования in vivo также подробно описаны, смотри Itzstein. M. von et аl. , ор. cit., особенно страницу 421, колонку 2, полный первый параграф до страницы 423, колонка 2, часть первого параграфа и Colman, P.M.; et al., op. cit., страница 36, строки 1-38, описывает пригодные исследования in vivo.
Фармацевтические препараты и способы введенияНа основе соединений по данному изобретению изготавливают препараты с использованием подходящих носителей и наполнителей, которые выбирают в соответствии с установленной практикой. Таблетки могут содержать скользящие вещества, наполнители, связующее и тому подобное. Водные препараты готовят в стерильной форме, и в случае употребления их иным кроме орального путем они являются обычно изотоническими. Все препараты могут факультативно содержать целевые добавки, как это показано в “Handbook of Pharmaceutical Excipients” (1986). Целевые добавки включают аскорбиновую кислоту и другие антиоксиданты, комплексообразующие агенты, такие как ЭДТА, углеводороды, такие как декстрин, гидроксиалкилцеллюлоза, гидроксиалкилметилцеллюлоза, стеариновая кислота и тому подобное. рН препаратов изменяется от примерно 3 до примерно 11, но обычно имеет значение приблизительно 7-10. Одно или более соединений по изобретению (называемые здесь активными ингредиентами) вводят любым путем, соответствующим условию лечения. Пригодными являются: оральный, ректальный, назальный, местный (включая щечный и подъязычный), вагинальный и парэнтеральный (включая подкожный, внутримышечный, внутривенный, внутрикожный, подоболочечный и эпидуральный) и тому подобное. Преимущество состоит в том, что предпочтительный путь может варьироваться в соответствии с состоянием реципиента. Преимущество соединений по данному изобретению состоит в том, что они орально биологически доступны и могут употребляться орально и нет необходимости вводить их внутрилегочным или внутриносовым путями. Удивительно то, что противогриппозные соединения WО 91/16320, WО 92/06691 и US Patent 5360817 успешно вводили оральным или внутрибрюшинным путями. Смотри Пример 161 ниже. Хотя возможно вводить одни активные ингредиенты, может быть предпочтительнее изготовить из них фармацевтические препараты. Препараты по изобретению как предназначенные для ветеринарии, так и для использования человеком, включают по крайней мере один активный ингредиент, охарактеризованный выше, вместе с одним или более приемлемым носителем и, возможно, с другими терапевтическими ингредиентами. Носитель(ли) должен быть “приемлемым” с точки зрения совместимости с другими ингредиентами препарата и физиологической безопасности для реципиента. Препараты включают те, которые пригодны для указанных выше путей введения. Препараты могут быть удобно представлены в форме стандартной дозы и могут быть приготовлены любым из способов, хорошо известных в фармацевтике. Методики и препараты обычно описаны в Remington’s Pharmaceutical Sciences (Mack Publishing Co., Easton, PA). Такие способы включают стадию приведения активного ингредиента в ассоциацию с носителем, который составляет один или более вспомогательных ингредиентов. В основном препараты готовят путем однородного и тесного приведения в ассоциированное состояние активного ингредиента с жидкими носителями и/или тонко измельченными твердыми носителями с последующим в случае необходимости формованием. Препараты по изобретению для орального употребления готовят в виде дискретных форм, таких как капсулы, крахмальные капсулы или таблетки, содержащие заранее заданное количество в виде порошков или гранул; в виде растворов или суспензий в водных и неводных жидкостях; или в виде эмульсий типа “масло-в-воде” или “вода-в-масле”. Активный ингредиент может также быть в виде шарика, электуария или пасты. Таблетки формуют под давлением или отливкой, возможно с одним или более вспомогательными ингредиентами. Таблетки, сформованные под давлением, могут быть изготовлены путем прессования в соответствующем устройстве активного ингредиента в свободнотекущей форме, такой как порошок или гранулы, возможно, в смеси со связующим, замасливателем, инертным разбавителем, консервантом, поверхностно-активным или диспергирующим агентом. Таблетки, полученные отливкой, изготавливают литьем под давлением в соответствующем устройстве смеси порошкообразных активных ингредиентов, увлажненных инертным жидким разбавителем, в случае необходимости таблетки могут иметь покрытие или насечки и могут быть изготовлены с возможностью медленного или регулируемого высвобождения из них активного ингредиента. При инфекции глаз или других наружных тканей, например рот или кожа, препараты предпочтительно наносят в виде местной мази или крема, содержащего активный(е) ингредиент(ы) в количествах, например, 0,075-20 мас.% (включая активный(е) ингредиент(ы) в пределах 1-20 мас.% с приростом (инкрементом) в 0,1 мас.%, например 0,6 мас.%, 0,7 мас.% и т.д.), предпочтительно от 0,2 до 15 мас.%, наиболее предпочтительно от 0,5 до 10 мас.%. Когда препараты изготовлены в виде мази, активные ингредиенты могут применяться как на парафиновой, так и на смешивающейся с водой мазевой основе. С другой стороны, активные ингредиенты могут быть изготовлены в виде крема с кремовой основой типа “масло-в-воде”. При желании водная фаза кремовой основы может включать, например, по крайней мере 30 мас.% многоатомного спирта, то есть спирта, содержащего две или более гидроксильных группы, такого как пропиленгликоль, бутан-1,3-диол, маннит, сорбит, глицерин и полиэтиленгликоль (включая ПЭГ 400) и их смеси. Препараты местного употребления могут при желании включать соединение, способствующее абсорбции и проникновению активного ингредиента через кожу и другие области воздействия. Примеры таких усилителей дермальной пенетрации включают диметилсульфоксид и родственные аналоги. Масляная фаза эмульсий по данному изобретению может быть составлена из известных ингредиентов известным способом. Хотя эта фаза может включать только эмульгатор (также известный как эмульгент), желательно, чтобы она включала смесь по крайней мере одного эмульгатора с жиром и/или маслом. Предпочтительно включать гидрофильный эмульгатор вместе с липофильным, действующим в качестве стабилизатора. Также предпочтительно включать как жир, так и масло. Вместе взятые эмульгатор(ы) со или без стабилизатора(ов) составляют так называемый эмульгирующий воск, а воск вместе с маслом и жиром составляют так называемую эмульгирующую мазевую основу, которая образует маслянистую диспергированную фазу кремовых препаратов. Эмульгаторы и стабилизаторы эмульсий, пригодные для использования в препаратах по изобретению включают Tween 60, Span 80, цетостеариловый спирт, бензиловый спирт, миристиловый спирт, моностеарат глицерина и лаурилсульфат натрия.
Выбор пригодных масел или жиров для препарата определяется желаемыми косметическими свойствами. Крем, желательно, должен быть нежирным, не пачкаться и смываться, с консистенцией, исключающей утечку из тюбиков и других упаковок. Могут быть использованы линейные или разветвленные моно- или диосновные сложные алкильные эфиры, такие как диизоадипат, изоцетилстеарат, диэфир пропиленгликоля и жирных кокосовых кислот, изопропилмиристат, децилолеат, изопропилпальмитат, бутилстеарат, 2-этилгексилпальмитат или смесь сложных эфиров с разветвленной цепью, известная как Crodamol CAP, последние три эфира являются предпочтительными. Они могут быть использованы отдельно одни или в смеси в зависимости от требуемых свойств. В качестве альтернативы используют липиды с высокой точкой плавления, такие как белый мягкий парафин и/или жидкий парафин, или другие минеральные масла.
Глазные препараты для местного введения включают также глазные капли, в которых активный ингредиент растворен или суспендирован в соответствующем носителе, особенно в водном растворителе для активного ингредиента. Предпочтительно активный ингредиент содержится в таких препаратах в концентрации от 0,5 до 20 мас.%, преимущественно от 0,5 до 10 мас.%, особенно около 1,5 мас.%.
Препараты для местного введения в рот включают таблетки, содержащие активный ингредиент на вкусовой основе, обычно на сахарозе и акации или трагаканте; пастилки, включающие активный ингредиент на инертной основе, такой как желатин или глицерин, или сахароза и акация; и полоскания для рта, включающие активный ингредиент в подходящем жидком носителе.
Препараты для ректального введения могут быть в виде суппозиторий с подходящей основой, включающей, например, масло какао или салицилат.
Препараты для интрапульмонарного и назального введения имеют размер частиц, например, в диапазоне 0,1-500 микрон (включая размер частиц в диапазоне между 0,1 и 500 микрон с приростом (инкрементом), таким как 0,5, 1, 30 микрон, 35 микрон и т.д.). Их вводят путем быстрой ингаляции через носовой канал или ингаляцией через рот так, чтобы достичь альвеолярных мешочков. Пригодные препараты включают водные или масляные растворы активного ингредиента. Препараты для введения в виде аэрозоля или сухого порошка могут быть изготовлены традиционным способом и, возможно, в сочетании с другими терапевтическими агентами, такими как соединения, используемые для лечения и профилактики заболеваний гриппом А или В, как описано ниже.
Препараты для вагинального введения могут быть представлены как пессарии, тампоны, кремы, гели, мази, пены или аэрозольные препараты, содержащие в качестве добавок к активному ингредиенту известные в технике подходящие носители.
Препараты парентерального введения включают водные и неводные стерильные растворы для инъекций, которые могут содержать антиоксиданты, буферы, бактериостатические вещества и растворенные вещества, которые приводят препарат в изотоническое состояние с кровью соответствующего реципиента; и водные и неводные стерильные суспензии, которые могут включать суспендирующие агенты и загустители.
Препараты могут содержаться в упаковках с единичными или множественными дозами, например в запечатанных ампулах или пузырьках, и могут храниться в высушенном замораживанием (лиофилизированном) состоянии, требуя только добавления стерильного жидкого носителя, например воды для инъекций, непосредственно перед употреблением. Такие растворы для инъекций и суспензии для приготовления непосредственно перед употреблением готовят из стерильных порошков, гранул и таблеток описанным ранее способом. Предпочтительно препараты с единичной дозой содержат дневную дозу активного ингредиента или единичную дневную субдозу, как указано выше, или соответствующую фракцию, или активный ингредиент.
Должно быть понятно, что помимо ингредиентов, упомянутых выше, препараты по данному изобретению могут включать и другие традиционные агенты соответственно типу данного препарата, например препараты для орального введения могут включать вкусовые агенты.
Изобретение далее предлагает композиции для ветеринарии, включающие по крайней мере один активный ингредиент, охарактеризованный выше, в сочетании с носителем, используемым в препаратах для ветеринарии.
Такие носители являются веществами, используемыми для введения композиции, и могут быть твердыми, жидкими или газообразными веществами, инертными и приемлемыми в ветеринарии и совместимыми с активным ингредиентом. Такие ветеринарные композиции могут применяться орально, парентерально или любым другим желательным путем.
Соединения по изобретению пригодны для обеспечения регулируемого высвобождения фармацевтических препаратов, содержащих в качестве активного ингредиента одно или более соединений по данному изобретению (“препараты с регулируемым высвобождением”), в которых высвобождение активного ингредиента контролируется и регулируется для уменьшения частоты приема лекарственной дозы и улучшения фармакокинетического и токсического профиля данного активного ингредиента.
Эффективная доза активного ингредиента зависит по крайней мере от природы условий лечения, токсичности, оттого, используется ли соединение профилактически (более низкие дозы) или против активной инфекции гриппа, от способа употребления и от фармацевтического препарата, и будет определяться медиком с использованием исследований по эскалации общепринятых дозировок. Она, вероятно, будет составлять от около 0,0001 до около 100 мг/кг веса в день. Типично от около 0,01 до около 10 мг/кг веса в день. Более типично от около 0,01 до около 5 мг/кг веса в день. Еще более типично от около 0,05 до около 0,5 мг/кг веса в день. Например, для ингаляций дневная кандидатная доза для взрослого человека весом приблизительно 70 кг будет изменяться от 1 мг до 1000 мг, предпочтительно между 5 мг и 500 мг и может иметь форму однократной или многократных доз.
Активные ингредиенты по изобретению также используют в комбинации с другими активными ингредиентами. Такие комбинации выбираются с учетом условий лечения, перекрестной реактивности ингредиентов и фармакологических свойств комбинации. Например, при лечении вирусных инфекций респираторной системы, в особенности инфекций гриппа, композиции по изобретению комбинируют с антивирусными препаратами (такими как амантидин, римантадин и рибавирин), муколитиками, отхаркивающими и бронхорасширяющими средствами, антибиотиками, жаропонижающими и болеутоляющими препаратами. Обычно антибиотики, жаропонижающие и болеутоляющие препараты вводят совместно с соединениями по данному изобретению.
Метаболиты соединений по изобретениюМетаболические продукты in vivo соединений по изобретению, описанные здесь, входят в объем данного изобретения настолько, насколько такие продукты являются новыми и неочевидными с учетом предшествующего уровня техники. Такие продукты могут быть получены в результате, например, окисления, восстановления, гидролиза, амидирования, эстерификации и т.п. введенного соединения, в первую очередь вызванных ферментными процессами. Соответственно изобретение включает новые и неочевидные соединения, полученные в процессе, включающем контакт актирования соединения по данному изобретению с млекопитающим в течение времени, достаточного для получения продуктов его метаболизма. Такие продукты обычно идентифицируются приготовлением радиомеченого соединения (например, С14 или Н3) по данному изобретению, введением его парентерально в определяемой дозе (например, более чем примерно 0,5 мг/кг) животному, такому как крыса, мышь, морская свинка, обезьяна, или человеку, выдержкой в течение времени, достаточного для метаболизма (обычно от примерно 30 с до 30 ч) и выделением продуктов его превращения из мочи, крови или других биологических образцов. Эти продукты легко выделяются, так как они мечены (другие выделяются с использованием антител, способных к связыванию эпитопов, сохранившихся в метаболите). Структуру метаболита определяют общепринятым способом, например масс-спектрометрическим или ЯМР-анализом. Обычно анализ метаболитов производят так же, как общепринятые исследования лекарственного метаболизма, хорошо известные специалистам. Продукты превращения до тех пор, пока они не обнаружены in vivo иным способом, полезны в диагностических исследованиях по определению терапевтической дозировки соединений по изобретению, даже если они не обладают собственной ингибирующей нейраминидазу активностью. Дополнительное использование соединений по данному изобретению. Соединения по данному изобретению или биологически активные вещества, образующиеся из этих соединений в результате гидролиза или метаболизма in vivo, используются в качестве иммуногенов или для конъюгации белков, благодаря чему они служат компонентами иммуногенных композиций для получения антител, способных к специфическому связыванию с белком, соединениями или продуктами их метаболизма, которые сохраняют иммунологически узнаваемые эпитопы (участки связывания антител). Иммуногенные композиции, таким образом, пригодны в качестве промежуточных веществ при получении антител для использования в диагностике, контроле качества и тому подобных методах или при исследовании соединений или новых продуктов их метаболизма. Соединения используют для создания антител против иных неиммуногенных полипептидов, в которых соединения служат в качестве гаптенных участков, стимулирующих иммунный отклик, который сшивается с немодифицированным конъюгированным белком. Интерес представляют продукты гидролиза защищенных кислотных и основных групп, описанные выше. Как отмечалось выше, кислые и основные амиды, включающие иммуногенные полипептиды, такие как альбумин или гемоцианин из моллюска Megatura crenulata (KLH), обычно используются в качестве иммуногенов. Продукты метаболизма, описанные выше, могут сохранять значительный уровень иммунологической сшивающей реакционноспособности с соединениями по изобретению. Таким образом, антитела по данному изобретению будут способны к связыванию с незащищенными соединениями по изобретению, не образуя связи с защищенными соединениями; с другой стороны, продукты метаболизма будут способны к связыванию с защищенными соединениями и/или продуктами метаболизма, не связываясь с защищенными соединениями по изобретению; или будут способны специфически к связыванию с одними из них или со всеми тремя. Желательно, чтобы антитела по существу не могли сшиваться с материалами естественного происхождения. Значительная способность к реакции поперечного сшивания является способностью при специфических условиях исследования для специфических анализируемых веществ, достаточной повлиять на результаты опыта. Иммуногены по данному изобретению содержат соединение по данному изобретению, представляющее собой желаемый эпитоп в ассоциации с иммуногенным веществом. В контексте изобретения такая ассоциация означает ковалентное связывание для образования иммуногенного конъюгата (когда применимо), или смеси нековалентно-связанных материалов, или их комбинацию. Иммуногенные вещества включают фармацевтические препараты, усиливающие действие другого препарата (адъюванты), такие как адъювант Фрейда, иммуногенные белки, такие как вирусные, бактериальные, дрожжевые, растительные и животные полипептиды, в особенности гемоцианин из моллюска Megatura crenulata, сывороточный альбумин, бычий тироглобулин или ингибитор соевого трипсина, и иммуногенные полисахариды. Обычно соединение, имеющее структуру желаемого эпитопа, ковалентно конъюгировано с иммуногенным полипептидом или полисахаридом посредством полифункционального (обычно бифункционального) поперечно-сшивающего агента. Способы для производства гаптеновых иммуногенов являются сами по себе традиционными, и любой из способов, используемых ранее для конъюгирования гаптенов с иммуногенными полипептидами или тому подобными, также может быть использован, принимая во внимание функциональные группы предшественников или продуктов гидролиза, доступные для поперечного сшивания, и вероятность образования антител, специфичных по отношению к эпитопу, о котором идет речь, в противоположность иммуногенному веществу. Обычно полипептид конъюгирован с участком соединения по изобретению, достаточно удаленном от эпитопа для того, чтобы быть опознанным. Конъюгаты получают общепринятым способом. Например, в качестве поперечно-сшивающих агентов N-гидроксисукцинимид, сукциновый ангидрид или alk=C= Nalk пригодны для получения конъюгатов по данному изобретению. Конъюгаты включают соединение по данному изобретению, связанное химической связью или связующей группой, содержащей 1-100, типично, 1-25, более типично 1-10 атомов углерода, с иммуногенным веществом. Конъюгаты отделяют от исходных материалов и побочных продуктов методом хроматографии или тому подобное, стерильно отфильтровывают и ампулируют для хранения. Соединения по данному изобретению поперечно-сшиты, например, по одной или более из следующих групп: гидроксильной группе U1, карбоксильной группе Е1, атом углерода U1, E1, G1 или Т1, в замещении Н, и аминной группе G1. Такие соединения являются амидами полипептидов, где полипептид служат в качестве вышеописанных R6c и R6b групп. Животных обычно иммунизируют по отношению к иммуногенным конъюгатам или производным и антисывороткам или моноклональным антителам, полученным общепринятым путем. Соединения по изобретению пригодны для поддержания структурной целостности гликопротеинов в рекомбинантной культуре клеток, т.е. их добавляют в процессе ферментации, при которой образуются гликопротеины для регенерации, чтобы ингибировать катализированное нейраминидазой расщепление нужных гликопротеинов. Это имеет особенное значение в рекомбинантном синтезе белков в гетерологических клетках хозяина, так как может нежелательно разрушить углеводородную часть синтезируемого белка. Соединения по изобретению являются полифункциональными. С этой точки зрения они представляют уникальный класс мономеров для синтеза полимеров. В качестве примера, но не ограничиваясь, полимеры, полученные из соединений по данному изобретению, включают полиамиды и полиэфиры. Настоящие соединения используют как мономеры для получения полимеров, имеющих уникальные функциональные группы в боковых цепях. Соединения по данному изобретению используют в гомополимерах или как сомономеры с другими мономерами, которые не входят в объем данного изобретения. Гомополимеры из соединений по данному изобретению могут быть использованы как катионообменные агенты (полиэфиры или полиамиды) при получении молекулярных сит, текстиля, волокон, пленок, формованных изделий и тому подобное, когда кислотная функциональная группа Е1 эстерифицирована, например, с гидроксильной группой в U1 посредством чего основная группа G1 боковой цепи способна связывать кислотные функциональные группы, такие как в полипептидах, для которых желательна очистка. Полиамиды получены путем поперечного сшивания Е1 и G1, с U1 и примыкающей частью кольца, оставшейся свободной для функционирования в качестве группы гидрофильного или гидрофобного сродства, в зависимости от выбора группы U1. Получение этих полимеров из соединений по изобретению само по себе является традиционным. Соединения по изобретению также пригодны как уникальный класс полифункциональных поверхностно-активных веществ. В особенности если U1 не содержит гидрофильного заместителя и представляет собой, например, алкил или алкоксил, то соединения имеют свойства бифункциональных поверхностно-активных веществ. Как таковые их используют как поверхностно-активные вещества, для покрытий, в качестве модификаторов эмульсий, модификаторов вязкости и поверхностно-активных смачивателей. Как полифункциональные соединения с определенной геометрией и несущие одновременно полярные и неполярные части молекулы соединения по изобретению пригодны в качестве уникального класса агентов фазового переноса. В качестве примера, но не ограничиваясь, соединения по изобретению используют в межфазном катализе и жидкостно-жидкостной ионной экстракции (LIX). Соединения по изобретению факультативно могут содержать ассиметричные атомы углерода в группах U1, E1, G1 или Т1. В качестве таковых они являются уникальным классом хиральных вспомогательных веществ для использования в синтезе или разделении других оптически активных материалов. Например, рацемическая смесь карбоновых кислот может быть разделена на компоненты энантиомеров путем: 1) образования смеси диастереомерических эфиров или амидов с соединением по изобретению, где U1 представляет собой ассимметричную гидроксиалкановую или аминоалкановую группу; 2) разделения диастереомеров и 3) гидролиза эфирной структуры. Рацемические спирты разделяют образованием эфира с кислотной группой Е1. Далее, такой же метод может быть использован для разделения соединений по изобретению в том случае, если используют оптически активные кислоты и спирты вместо рацемических исходных материалов. Соединения по данному изобретению могут быть использованы как линкеры и спейсеры при получении матриц афинной абсорбции, иммобилизированных ферментов для управления процессом или реагентов в иммунных исследованиях. Рассматриваемые здесь соединения содержат множество функциональных групп, пригодных для поперечного сшивания желаемых субстанций. Например, принято связывать реагенты, обладающие сродством, такие как гормоны, пептиды, антитела, лекарственные средства и им подобные, с нерастворимыми субстратами. Такие нерастворимые реагенты используют известным образом для абсорбции связывающих партнеров реагентов, обладающих сродством, из промышленных препаратов, диагностических образцов и других загрязненных смесей. Аналогично иммобилизованные ферменты используются для каталитического превращения с легкой регенерацией фермента. Бифункциональные соединения обычно используются для связывания анализируемых веществ с определяемыми группами при приготовлении диагностических реагентов. Многие функциональные группы соединений по данному изобретению пригодны для использования в процессах поперечного сшивания. Например, карбоновые или фосфоновые кислоты группы Е1 используют для образования эфиров со спиртами или амидами с аминами реагента, который должен быть подвергнут поперечной сшивке. Пригодными являются участки G1, замещенные на ОН, NHR1, SH, азидо (который, если необходимо, может быть восстановлен до амино перед поперечным сшиванием), CN, NO2, аминогруппу, гуанидиновую группу, галоген и подобные. В случае необходимости, соответствующая защита реактивных групп может быть использована при получении поперечно-сшивающего агента для предотвращения полимеризации бифункционального соединения по данному изобретению. Обычно рассматриваемые соединения используются для связывания их посредством карбоновой или фосфоновой кислот с гидроксильными или аминогруппами первого присоединенного партнера, а затем ковалентно связывают с другим связывающим партнером посредством групп Т1 или G1. Например, первый связывающий партнер, такой как стероидный гормон, эстерифицируют в карбоновую кислоту соединения по настоящему изобретению и затем этот конъюгат сшивают посредством гидроксила G1 с Sepharose, активированным цианогенбромидом с получением иммобилизированного стероида. Другие химикаты для конъюгации хорошо известны. Смотри, например, Maggio, “Enzyme-Immunoassay”(CRC, 1988, 71-135) и приведенные там ссылки. Как указывалось выше, терапевтически полезные соединения по настоящему изобретению, в которых W1 или G1 карбоксильные, гидроксильные или аминогруппы защищены, употребляют как оральные формы или формы длительного высвобождения. При таком использовании защитная группа удаляется in vivo, то есть гидролизуется или окисляется с получением свободных карбоксильной, амино- или гидроксильной групп. Подходящие для этого сложные эфиры или амиды выбраны с учетом субстратной специфичности эстераз и/или карбоксипептидаз, наличие которых предполагают в клетках, когда желателен гидролиз предшественника. В связи с тем, что специфичность действия этих ферментов неизвестна, приходится исследовать множество соединений по данному изобретению, пока не будет найдена желательная субстратная специфичность. Это становится очевидным по появлению свободных соединений или антивирусной активности. Обычно выбирают амиды или сложные эфиры соединений по изобретению, которые: 1) не гидролизуются или гидролизуются сравнительно медленно в верхнем отделе кишечника, 2) способны к проникновению в кишку и клетку и 3) гидролизуются в цитоплазме клеток и/или большом круге кровообращения. В исследованиях предпочтительно используют клетки из определенных тканей, чувствительные к заражению гриппом, например мембраны слизистых оболочек бронхолегочного тракта. Используют известные методы исследований для определения биологической доступности in vivo, включая испытания на стабильность в кишечной полости, проницаемость клеток, стабильность в гомогенате печени и стабильность в плазме. Однако даже если амид, эфир или другое защищенное производное не превращается in vivo в соединение, содержащее свободную карбоксильную, амино- или гидроксильную группу, они остаются полезными как химические промежуточные вещества. Примеры способов получения соединений по изобретению Изобретение также относится к способам получения композиций по изобретению. Композиции получают любым из известных способов органического синтеза. Множество таких способов хорошо известно в технике. Однако многие из известных способов разработаны в “Compendium of Organic Synthetic Methods”(John Wiley & Sons, New York), Vol. 1, Ian T. Harrison and Shuyen Harrison, 1971; Vol. 2, Ian T. Harrison and Shuyen Harrison, 1974; Vol. 3, Louis S. Hegedus and Leroy Wade, 1977; Vol. 4, Leroy G. Wade, jr., 1980; Vol 5, Leroy G. Wade, jr., 1984; b Vol. 6, Michael B. Smith; также как и March, J., “Advanced Organic Chemistry, Third Edition”, (John Wiley & Sons, New York, 1985), “Comprehensive Organic Synthesis. Selectivity, Strategy & Efficiency in Modern Organic Chemistry, in 9 Volumes”, Barry M. Trost, Editor-in-Chief (Pergamon Press, New York, 1993 в печати). Некоторые примеры способов получения композиций по изобретению представлены ниже. Эти способы направлены на иллюстрацию природы такого получения и не ограничивают объема изобретения. В основном условия реакции, такие как температура, время реакции, растворители, выполняемые процедуры, и тому подобное, являются обычными в технике для проведения определенной реакции. Материал, процитированный в виде ссылок вместе с приведенными здесь сведениями, содержит детальное описание таких условий. Обычно температура составляет от -100 до 200oС, растворители обычно апротонные для реакций восстановления и могут быть как протонными, так и апротонными для реакций окисления. Время реакции обусловлено достижением желаемых превращений и составляет от 10 с до 10 дней. Процесс обычно состоит из охлаждения водой непрореагировавших реагентов с последующим разделением между слоями водной и органической фаз (экстракцией) и отделением слоя, содержащего целевой продукт. Реакции окисления и восстановления обычно осуществляют при температурах, близких к комнатной (около 20oС). Однако при восстановлении гидридами металлов температуру часто понижают до 0-(-100)oС. Растворители обычно используют апротонные для реакций восстановления и протонные или апротонные для реакций окисления. Реакции конденсации обычно проводят при температурах, близких к комнатной, хотя для неравновесных кинетически контролируемых реакций конденсации также являются обычными пониженные значения температуры (0o-(-100)oС). Растворители могут быть либо протонными (обычно в равновесных реакциях) или апротонными (обычно в кинетически контролируемых реакциях). Стандартные методики синтеза, такие как азеотропное удаление побочных продуктов реакции и использование безводных условий реакции (например, атмосферы инертного газа), обычны в технике и могут быть использованы в случае необходимости. Один из примеров способа получения соединений по изобретению показан на Схеме 1 (см. в конце описания). Детальное описание способов дается в разделе экспериментов ниже. Модификации Схемы 1 для получения дополнительных воплощений показаны на Схемах 2-4. (см. в конце описания). Схема 2 Азиридин 5 превращают в аминонитрил 9 по реакции присоединения TMSCN в присутствии в качестве катализатора Yb(CN)3 в соответствии с методом Utimoto и сотр., “Tetrahedron Lett.”, 31:6379(1990). Превращение нитрила 9 в соответствующий амидин 10 проводят по обычному трехстадийному процессу: 1) H2S; 2) CH3I; 3) NH4OAc. Типичные процессы превращения описаны в “J.Med.Chem.”, 36:1811(1993). Нитрил 9 превращают в аминометильное производное 11 восстановлением по одному из способов, описанных в “Современные Синтетические реакции” 2 изд. Н.О.House, Benjamin/Cummings Pubtishing Со., 1972. Аминометильное производное 11 превращают в бис-Вос-защищенное производное гуанидина 12 обработкой соединения 11 N,N’-бис-Boc-1H-пиразол-1-карбоксамидином в соответствии с методом, описанным в “Tetrahedron Lett.”, 36:299((1995). Схема 3 В азиридине 5 размыкают цикл под действием трет-бутилового эфира альфа-цианоуксусной кислоты и получают соединение 13. Размыкание азиридинового цикла этого типа описано в “Tetrahedron Lett.”, 23:5021(1982). Селективный гидролиз трет-бутильной эфирной группы в кислых условиях, сопровождаемый декарбоксилированием, приводит к получению нитрила 14. Восстановление соединения 14 в аминоэтильное производное 15 проводят тем же способом, что и превращение соединения 9 в соединение 11. Затем амин 15 превращают в гуанидиновое производное 16 под действием N,N-бис-Вос-1Н-пиразол-1-карбамоила в соответствии с методом, описанным в “Tetrahedron Lett. “, 36:299((1995). Нитрил 14 превращают в соответствующий амидин 17, используя последовательность стадий, описанную при превращении соединения 9 в соединение 10. Схема 4 Эпоксиспирт 1 защищают (PG – защитная группа), например, МОМСI. Типичные условия описаны в “Защитные группы в органическом синтезе” 2 изд., T.W. Greene and P.G.M.Wuts, John Wiley & Sons, New York, NY, 1991. Цикл эпоксида 19 размыкают действием NaN3/NH4Cl с образованием аминоспирта 20 в соответствии с методикой Sharpless и сотр., “J.Org.Chem.”, 50% 1557(1985). Восстановление соединения 20 до N-ацетилазиридина 21 проводят в три стадии: 1) МsСl/триэтиламин; 2)H2/Pd; 3) АсCl/пиридин. Такие превращения могут быть найдены в “Angew. Chem. Int. Ed. Engl.”, 33:599(1994). Азиридин 21 превращают в азидоамин 22 размыканием цикла под действием NaN3/NH4Cl в ДМФ при 65oС, как описано в “J.Chem.Soc.Perkin Trans I”, 801(1976). Удаление МОМ-защитной группы соединения 22 проводят по методам, описанным в “Защитные группы в органическом синтезе” 2 изд., T.W.Greene and P.G.M. Wuts, John Wiley & Sons, New York, NY, 1991. Полученный спирт непосредственно превращают в азиридин 24 под действием TsCl в пиридине. Такие превращения описаны в “Angew.Chem.Int.Ed.Engl.”, 33:599(1994). Азиридин 24 затем подвергают взаимодействию с ROH, RNH2, RSH или металл-органическим соединением (металл-R) с получением соответствующих производных с разомкнутым циклом 25, 26, 27 и 27.1 соответственно. Размыкания азиридинового цикла этого типа описаны в “Tetrahedron Lett.”, 23:5021(1982) и “Angew.Chem. Int. Ed. Engl”, 33:599(1994). Схема 5 Другой класс соединений поданному изобретению получен по способу, представленному на схемах 5а и 5b. (см. в конце описания). Хинную кислоту превращают в соединение 28 по способу Shing, T.K.M, et al., “Tetrahedron Lett.”, 47(26):4571(1991). Мезилирование обработкой MsCl в ТЕА/СН2Сl2 приводит к получению соединения 29, которое реагирует с NaN3 в ДМФ с образованием соединения 30. Взаимодействие соединения 30 с TFA в CH2Cl2 приводит к получению соединения 31, которое мезилируют MsCl в TEA/CH2Cl2 с получением соединения 32. Реакция с трифенилфосфином в воде приводит к образованию соединения 33, которое превращают в соединение 35 последовательной обработкой: 1) CH3C(O)Cl в пиридине, 2) NaN3 в ДМФ и 3)NaH в ТГФ. При алкилировании соединения 35 множеством хорошо известных нуклеофилов получают в большом количестве соединения, такие как 36. Способы переработки соединений, таких как 36, в соответствии с другими воплощениями данного изобретения будут аналогичны способам, описанным выше. Схема 6 Другой класс соединений по данному изобретению получают способом по Схеме 6 (см. в конце описания). С защищенного спирта 22 (PG – метоксиметиловый эфир) удаляют защитную группу в стандартных условиях, описанных в “Защитные группы в органическом синтезе” 2 изд., T.W.Greene and P.G.M.Wuts, John Wiley & Sons, New York, NY, 1991. Спирт 51 превращают в ацетат 52 обработкой уксусным ангидридом и пиридином в стандартных условиях. Ацетат 52 обрабатывают TMSOTf или BF3 OEt2, получая оксазолин 53. Такие превращения описаны в “Liebigs Ann. Chem. “, 129(1991) и “Carbohydrate Research”, 181(1993) соответственно. Альтернативно спирт 51 превращают в оксазолин 53 конверсией соответствующего мезилата или тозилата 23 и затем циклизуют до оксазолина в стандартных условиях, как описано в “J. Org. Chem.”, 50: 1126(1985) и “J.Chem.Soc.”, 1385(1970). Оксазолин 53 реагирует с ROH, RR’NH или RSH (где R и R’ имеют значения, указанные выше для W) с получением соответствующих производных с разомкнутым циклом 54, 55 и 56 соответственно. Такие превращения описаны в “J.Org.Chem.”, 49:4889((1984) и “Chem.Rev.”, 71: 483(1971).
Схемы 7-35Другие примеры способов получения соединений по данному изобретению представлены ниже на Схемах 7-35 (см. в конце описания). Детальное описание способов дано ниже в разделе экспериментов. Дополнительные воплощения способов получения и использования композиций по данному изобретению изображены на Схемах 36-40.1 (см. в конце описания). Один из аспектов данного изобретения касается способов получения соединений по изобретению, представляющих собой процессы А, В, С, D, E, F, G, Н, I, J, К, L, М, N, О, Р, Q, R, S, Т, U, V или W, изображенные на Схемах 36-40.1, взятые по отдельности или в комбинации друг с другом. В таблице 27 представлен пример способов воплощения процессов A-W. Каждое воплощение является индивидуальным способом, использующим часть процессов A-W по отдельности или в комбинации. Каждый способ воплощения в Таблице 9 отделен значком “;”. Если воплощение обозначено одной буквой, то это соответствует одному из процессов A-W. Если более чем одной буквой, то это соответствует каждому из процессов, проводимых последовательно в соответствии с обозначенным порядком. Другие аспекты изобретения касаются способов использования шикимовой кислоты для получения соединения 270, обозначенного как А на Схеме 36; способов использования соединения 270 для получения соединения 271, обозначенного как В на Схеме 36; способов использования соединения 271 для получения соединения 272, обозначенного как С на Схеме 36; способов использования соединения 272 для получения соединения 273, обозначенного как D на Схеме 36; способов использования хинной кислоты для получения соединения 274, обозначенного как Е на Схеме 37; способов использования соединения 274 для получения соединения 275, обозначенного как F на Схеме 37; способов использования соединения 275 для получения соединения 276, обозначенного как G на Схеме 37; способов использования соединения 276 для получения соединения 272, обозначенного как Н на Схеме 37; способов использования соединения 273 для получения соединения 277, обозначенного как I на Схеме 38; способов использования соединения 277 для получения соединения 278, обозначенного как J на Схеме 38; способов использования соединения 278 для получения соединения 279, обозначенного как К на Схеме 38; способов использования соединения 279 для получения соединения 280, обозначенного как L на Схеме 38; способов использования соединения 280 для получения соединения 281, обозначенного как М на Схеме 38; способов использования соединения 281 для получения соединения 282, обозначенного как N на Схеме 38; способов использования соединения 282 для получения соединения 283, обозначенного как О на Схеме 39; способов использования соединения 283 для получения соединения 284, обозначенного как Р на Схеме 39; способов использования соединения 283 для получения соединения 285, обозначенного как Q на Схеме 40; способов использования соединения 285 для получения соединения 286, обозначенного как R на Схеме 40; способов использования соединения 287 для получения соединения 288, обозначенного как S на Схеме 40.1, способов применения соединения 288 для получения соединения 289, обозначенного как Т на Схеме 40.1, способов применения соединения 289 для получения соединения 290, обозначенного как U на Схеме 40.1; способов использования соединения 290 для получения соединения 291, обозначенного как V на Схеме 40.1 и способов использования соединения 291 для получения соединения 292, обозначенного как W на Схеме 40.1. Основные аспекты этих примерных способов описаны ниже и в примерах. Каждый из продуктов следующих друг за другом процессов может быть отделен, выделен и/или очищен до его использования в последующих процессах. Термины “обработанный”, “обрабатывающий”, “обработка” и т.д. означают контактирование, смешивание, реагирование, приведение в реакционное состояние, приведение в контакт и другие известные термины, указывают на то, что одну или более химических частиц обрабатывают указанным образом с целью превращения ее в одну или более другую химическую частицу. Это означает, что выражение “обработка соединения один соединением два” является эквивалентным выражению: “соединение один подвергают реакции с соединением два”, “соединение один приводят в контакт с соединением два”, “соединение один реагирует с соединением два” и другим выражениям, известным в органическом синтезе, для обоснованного указания на то, что соединение один “обрабатывают”, “подвергают реакции” или “оно реагирует” и т.д. с соединением два. “Обработка” означает приемлемый и обычный способ, которым органические химические вещества вводят в реакцию. Нормальные концентрации (0,01 -10 М, обычно 0,1-1 М), температура (-100)-250oС, обычно (-78)-150oС, более типично (-78)-100oС, наиболее типично 0-100oС), реакционные сосуды (обычно из стекла, пластика, металла), растворители, давление, атмосфера (обычно воздух для реакций, нечувствительных к кислороду и влаге, или азот или аргон для реакций, чувствительных к кислороду и влаге) и т.д. имеются в виду, если не указано иное. При выборе условий и аппаратуры для “обработки” в данном конкретном процессе используют знания об аналогичных реакциях, хорошо известных в органическом синтезе. В частности предполагают, что опытные в области органического синтеза химики смогут осуществить выбор условий и аппаратуры для успешного проведения химических реакций описанного процесса, основываясь на знаниях в этой области. Процесс А. Схема 36 Для получения соединения 270 используют шикимовую кислоту посредством следующего процесса. Цис-4,5-диольные функциональные группы шикимовой кислоты дифференциируют от карбоновой кислоты при атоме углерода 1 селективной защитой этих двух функциональных групп. Обычно цис-4,5-диольную функцию защищают как циклический кеталь, а функцию карбоновой кислоты защищают как эфир. R50 является кислотолабильной 1,2-диольной защитной группой, такой как описанная в цитируемой выше работе Greene, обычно это циклический кеталь или ацеталь, более типично кеталь циклогексанона или ацетон. R51 означает кислотоустойчивую защитную группу карбоновой кислоты, такую как описанная в цитируемой выше работе Greene, обычно это неразветвленный, разветвленный или циклический алкил, алкенил или алкинил, содержащие 1-12 атомов углерода, такие как представленные в качестве групп 2-7, 9-10, 15 или 100-660 в Таблице 2, более типично неразветвленный или разветвленный алкил, содержащий 1-8 атомов углерода, такой как представлен в качестве групп 2-5, 9 или 100-358 в Таблице 2, наиболее типично неразветвленный или разветвленный алкил, содержащий 1-6 атомов углерода, такие как представлены в качестве групп 2-5, 9, или 100-141 в Таблице 2, еще более типично R51 означает метил, этил, н-пропил, изопропил, н-бутил, втор-бутил, изобутил или трет-бутил. Шикимовую кислоту подвергают взаимодействию с группой R51 для защиты карбоновой кислоты, а цис-4,5-диол подвергают взаимодействию с группой R50. Обычно шикимовую кислоту обрабатывают спиртом, например метанолом, этанолом, н-пропанолом или изопропанолом, и кислотным катализатором, например минеральной кислотой или сульфоновой кислотой, например метан-, бензол- или толуолсульфоновой кислотой, после чего обрабатывают диалкилкеталем или ацеталем кетона или альдегида, например 2,2-диметоксипропаном или 1,1-диметоксициклогексаном, в присутствии соответствующего кетона или альдегида, например ацетона или циклогексанона. Продукт обработки спиртом и кислотным катализатором могут отделять, выделять и/или очищать перед обработкой диалкилкеталем или ацеталем. Альтернативно, шикимовую кислоту обрабатывают CH2N2. Обычно процесс включает обработку шикимовой кислоты спиртом и сульфокислотой с последующей обработкой геминальным диалкоксиалканом или геминальным диалкоксициклоалканом и алканоном или циклоалканоном для получения соединения 270. Более типично процесс включает обработку шикимовой кислоты спиртом и сульфокислотой; упаривание избытка спирта для образования осадка; обработку осадка геминальным диалкоксиалканом или геминальным диалкоксициклоалканом и алканоном или циклоалканоном для получения соединения 270. Еще более типично процесс включает обработку шикимовой кислоты метанолом и пара-толуолсульфокислотой; упаривание избытка метанола для образования осадка; обработку осадка 2,2-диметоксипропаном или ацетоном для получения соединения 270. Примерное воплощение этого процесса дано в Примере 55 ниже. Процесс В. Схема 36 Соединение 270 используют для получения соединения 271 посредством следующего процесса. Гидроксильную группу в положении 3 активируют, обычно активируют в отношении реакций замещения, более типично активируют в отношении реакции замещения спиртом в положении 4, в результате которой образуется эпоксидный цикл. R52 – спиртовая активирующая группа, обычно активирующая группа в отношении реакций замещения, более типично активирующая группа в отношении реакции замещения спиртом в положении 4, в результате которой образуется эпоксидный цикл. Такие группы включают известные группы, например эфиры сульфокислоты, более типично эфиры метан-, бензол- или толуолсульфокислоты. В первом воплощении R52, взятая вместе с О (т.е. OR52), является отщепляющейся группой, такой как известные в данной области группы. Обычно процесс включает обработку соединения 270 галоидангидридом кислоты для получения соединения 271. Более типично процесс включает обработку соединения 270 галоидангидридом сульфоновой кислоты в подходящем растворителе для получения соединения 271. Наиболее типично процесс включает обработку соединения 270 галоидангидридом сульфокислоты в подходящем растворителе, например амине, возможно в присутствии сопутствующего сорастворителя, например галогеналкана, для получения соединения 271. Еще более типично процесс включает обработку соединения 270 метансульфонилхлоридом в триэтиламине/дихлорметане для получения соединения 271. Примерное воплощение этого процесса дано в Примере 56 ниже. Процесс С. Схема 36 Соединение 271 используют для получения соединения 272 посредством следующего процесса. Кислотолабильную защитную группу (R50) для гидроксильных групп в положениях 4 и 5 удаляют. Обычно R50 удаляют без существенного удаления основнолабильных защитных групп карбоновой кислоты (т.е. R51) или активированных гидроксильных групп (т.е. R52). Наиболее типично R50 отщепляется в кислотных условиях. Обычно процесс включает обработку соединения 271 протонным растворителем, более типично в присутствии кислого катализатора, как описано выше. Еще наиболее типично процесс включает обработку соединения 271 алканолом и кислотным катализатором, как описано выше. Еще более типично процесс включает обработку соединения 271 метанолом и пара-толуолсульфокислотой для получения соединений 272. Примерное воплощение этого процесса дано в Примере 57 ниже. Процесс D. Схема 36 Соединение 272 используют для получения соединения 273 посредством следующего процесса. Активированную гидроксильную группу в положении 3 соединения 272 замещают гидроксильной группой в положении 4 соединения 272 для получения эпоксидного соединения 273. Обычно замещение катализируется подходящим основанием, более типично – амином, например DBU или DBN. Обычно процесс включает обработку соединения 272 основным катализатором, возможно в присутствии подходящего растворителя. Наиболее типично процесс подразумевает обработку соединения 272 амином в полярном апротонном растворителе, например диэтиловом эфире или ТГФ. Еще более типично процесс подразумевает обработку соединения 272 DBU в ТГФ для получения соединения 273. Примерное воплощение этого процесса дано в Примере 58 ниже. Процесс Е. Схема 37 Хинную кислоту используют для получения соединения 274 по следующему процессу. Цис-4,5-диольную функцию хинной кислоты дифференциируют от карбоновой кислоты при углероде 1 селективной защитой этих двух функциональностей. Обычно цис-4,5-диольную функцию защищают как циклический кеталь и функцию карбоновой кислоты защищают как лактон гидроксильной группой в положении 3. Значение R50 определено выше. Обычно процесс включает обработку хинной кислоты геминальным диалкоксиалканом или геминальным диалкоксициклоалканом, как описано выше, и алканоном или циклоалканоном, как описано выше, возможно в присутствии кислотного катализатора, как описано выше, для получения соединения 274. Более типично, процесс включает обработку хинной кислоты геминальным диалкоксиалканом или геминальным диалкоксициклоалканом, алканоном или циклоалканоном и кислотным катализатором для получения соединения 270. Наиболее типично процесс включает обработку хинной кислоты 2,2-диметоксипропаном, ацетоном и пара-толуолсульфокислотой для получения соединения 274. Примерное воплощение этого процесса дано в Примере 101 ниже. Процесс F. Схема 37 Соединение 274 используют для получения соединения 275 посредством следующего процесса. Цикл лактона размыкают с образованием соединения 275. Обычно цикл лактона размыкают для образования защищенной карбоновой кислоты в положении 1 и свободной гидроксильной группы в положении 3. Более типично цикл лактона размыкают в основных условиях для получения R51 защищенной карбоновой кислоты в положении 1 и свободной гидроксильной группы в положении 3. R51 имеет указанное выше значение. Обычно соединение 274 обрабатывают подходящим основанием в подходящем протонном растворителе. Более типично соединение 275 обрабатывают алкоксидом металла, например, алкоксидом натрия, калия или лития в алканоле, как описано выше. Наиболее типично соединение 274 обрабатывают NaOMe в МеОН для получения соединения 275. Примерное воплощение этого процесса дано в Примере 102 ниже. Процесс G. Схема 37 Соединение 275 используют для получения соединения 276 посредством следующего процесса. Гидроксильную группу в положении 3 активируют, обычно активируют в отношении реакций замещения, более типично активируют в отношении реакции замещения, в результате которой образуется эпоксидный цикл, спиртом в положении 4. R52 – спиртовая активирующая группа, обычно активирующая группа в отношении реакций замещения, более типично активирующая группа в отношении реакции замещения, в результате которой образуется эпоксидный цикл, спиртом в положении 4. Такие группы включают известные в данной области группы, например эфиры сульфокислоты, более типично эфиры метан-, бензол- или толуолсульфокислоты. В одном из воплощений R52, взятая вместе с О (т.е. OR52), является отщепляющейся группой, такой как известные группы. Обычно процесс включает обработку соединения 275 галоидангидридом кислоты для получения соединения 276. Более типично процесс включает обработку соединения 275 галоидангидридом сульфокислоты в подходящем растворителе для получения соединения 276. Наиболее типично процесс включает обработку соединения 275 галоидангидридом сульфокислоты в подходящем растворителе, например амине, возможно в присутствии сопутствующего растворителя, например галогеналкана, для получения соединения 276. Еще более типично процесс включает обработку соединения 275 п-толуолсульфонилхлоридом в пиридиндихлорметане для получения соединения 276. Примерное воплощение этого процесса дано в Примере 103 ниже. Процесс Н. Схема 37 Соединение 276 используют для получения соединения 272 посредством следующего процесса. Гидроксильную группу в положении 1 отщепляют, а цис-4,5-диольные защитные группы удаляют. Гидроксильная группа в положении 1 отщепляется с образованием олефиновой связи между положениями 1 и 6, а цис-4,5-диольные защитные группы удаляются с образованием цис-4,5-диола. Обычно процесс включает обработку соединения 276 подходящим дегидратирующим агентом, например минеральной кислотой (НСl или H2SO4) или SO2Cl2. Более типично соединение 276 обрабатывают SO2Cl2 с последующей обработкой алканолом, возможно в присутствии кислотного катализатора. Наиболее типично соединение 276 обрабатывают SO2Cl2 в подходящем полярном апротонном растворителе, например амине, с образованием олефина; олефин обрабатывают алканолом и кислотным катализатором, как описано выше, для образования соединения 272. Еще более типично соединение 276 обрабатывают SO2Cl2 в пиридине/СН2Сl2 при температуре между (-100) и 0oС, обычно (-100) и (-10)oС, более типично (-78)oС с образованием олефина; олефин обрабатывают метанолом и пара-толуолсульфокислотой для образования соединения 272. Примерное воплощение этого процесса дано в Примере 104 ниже. Процесс I. Схема 38 Соединение 273 используют для получения соединения 277 посредством следующего процесса. Гидроксильную группу в положении 5 защищают. Обычно защитной группой является кислотолабильная защищающая гидроксил группа. Более типично, защитная группа препятствует превращению в соседние гидроксильные группы. R53 – кислотолабильная защищающая гидроксил группа, такая как описанная в цитируемой выше работе Greene. Более типично -R53 – кислоторасщепляемый эфир, еще более типично R53 – метоксиметил (MOM, CH3-O-CH2). Обычно процесс включает обработку соединения 273 реагентом, защищающим гидроксильную группу, как описано в Greene. Более типично процесс включает обработку соединения 273 замещенным или незамещенным галогеналканом или алкеном, например метоксиметилхлоридом (МОМ-хлоридом, CH3-O-CH2-Cl) в подходящем растворителе, например полярном апротонном растворителе. Еще более типично процесс включает обработку соединения 273 МОМ-хлоридом в аминном растворителе. Еще более типично процесс включает обработку соединения 273 МОМ-хлоридом в диизопропилэтиламине. Примерное воплощение этого процесса дано в Примере 59 ниже. Процесс J. Схема 38 Соединение 277 используют для получения соединения 278 посредством следующего процесса. Цикл эпоксида в положениях 3 и 4 размыкают с образованием азида. Более типично цикл эпоксида в положениях 3 и 4 размыкают с образованием 3-азидо-4-гидроксипроизводного соединения 278. Обычно процесс включает обработку соединения 277 солью азида в подходящем растворителе. Более типично процесс включает обработку соединения 277 азидом натрия и слабым основанием, например галогенидом аммония, в полярном протонном растворителе, например в алканоле или воде. Наиболее типично процесс включает обработку соединения 277 азидом натрия и хлоридом аммония в водо/метанольном растворе для получения соединения 278. Примерное воплощение этого процесса дано в Примере 60 ниже. Процесс К. Схема 38 Соединение 278 используют для получения соединения 279 посредством следующего процесса. Гидроксильную группу в положении 4 соединения 278 замещают 3-азидогруппой с образованием азиридинового производного 279. Обычно процесс включает обработку соединения 278 активирующей гидроксил группой, как описано выше, органическим фосфином и основанием. Более типично процесс включает обработку соединения 278 галоидангидридом сульфокислоты, таким как описано выше, для образования соединения с активированным гидроксилом, обработку соединения с активированным гидроксилом триалкил- или триарилфосфином, например, трифенилфосфином, для образования соли фосфония и обработку соли фосфония основанием, например амином, для образования соединения 279. Еще более типично процесс включает обработку соединения 278 мезилхлоридом для образования соединения с активированным гидроксилом, обработку соединения с активированным гидроксилом трифенилфосфином для образования соли фосфония и обработку соли фосфония триэтиламином и Н2О для образования соединения 279. Примерное воплощение этого процесса дано в Примерах 61 и 62 ниже. Процесс L. Схема 38 Соединение 279 используют для получения соединения 280 посредством следующего процесса. В азиридиновом соединении 279 размыкают цикл под действием азида, получая азидамин 280. Обычно процесс включает обработку соединения 279 солью азида в подходящем растворителе. Более типично процесс включает обработку соединения 279 азидом натрия и слабым основанием, например галогенида аммония, в полярном апротонном растворителе, например в простом эфире, амине или амиде. Наиболее типично процесс включает обработку соединения 279 азидом натрия и хлоридом аммония в ДМФ для получения соединения 280. Примерное воплощение этого процесса дано в Примере 63 ниже. Процесс М. Схема 38 Соединение 280 используют для получения соединения 281 посредством следующего процесса. Защищенную гидроксильную группу в положении 5 замещают амином в положении 4, получая азиридин 281. Обычно азиридин 281 защищают кислотолабильной группой, более типично азиридин-активирующей группой. R54 – кислотолабильная группа, обычно кислотолабильная защищающая амин группа, такая как описанная в цитируемой выше работе Greene. Более типично R54 – азиридин-активирующая группа; еще более типично группа, способная активировать азиридин в процессе размыкания цикла, катализируемого кислотой. Обычно R54 группы включают, но не ограничиваются следующими: неразветвленной или разветвленной группой 1-оксо-алк-1-ила, содержащей 1-12 атомов углерода, где алкильная часть является неразветвленной или разветвленной цепью алкильной группы, содержащей 1-11 атомов углерода (например CH3(CH2)zC(O)-, где z имеет значение от 0 до 10, т.е. представляет собой, например, ацетил CH3C(O)-, и т. д. ); замещенным метилом (например, трифенилметил, Ph3C-, тритил, Тr) или карбаматом, например ВОС или Cbz, или сульфонатом (например, алкилсульфонат, такой как метилсульфонат). Более типично R54 включает трифенилметил и группы 1-оксо-алк-1-ила, содержащие 1 – 8, наиболее типично 1, 2, 3, 4, 5 или 6, еще более типично 2 или 3 атомов углерода. Обычно процесс включает обработку соединения 280 агентом, устраняющим защитную группу, для удаления группы R53 и реагентом, образующим группу R54, как описано в Greene (R54-галоидангидрид, например ацетилхлорид или ТrСl или R54-O-R54, например уксусный ангидрид) и гидроксилактивирующей группой, такой как описанная в процессе В, схема 36. Более типично процесс включает обработку соединения 280 полярным протонным растворителем, возможно в присутствии кислотного катализатора, как описано выше, для получения первого промежуточного продукта; обработку первого промежуточного продукта Тr-Сl в полярном апротонном растворителе, например амине, для получения второго промежуточного продукта; обработку второго промежуточного продукта галоидангидридом сульфокислоты, например мезилхлоридом или пара-толуолсульфонилхлоридом в полярном апротонном растворителе, например в амине, для получения соединения 281. Еще более типично процесс включает обработку соединения 280 метанолом и НСl для получения первого промежуточного продукта; обработку первого промежуточного продукта Тr-Сl и триэтиламином для получения второго промежуточного продукта; обработку второго промежуточного продукта мезилхлоридом и триэтиламином для получения соединения 281. Примерное воплощение этого процесса дано в Примере 64 ниже. Процесс N. Схема 39 Соединение 281 используют для получения соединения 282 посредством следующего процесса. В азиридине 281 размыкают цикл и полученный амин замещают группой R55 для получения соединения 282. Обычно в азиридине 281 размыкают цикл посредством реакции размыкания цикла катализируемой кислотой и полученный амин ацилируют. R55 – W3, как указано выше. Обычно R55 – C(O)R5. Более типично , R55 – C(O)R1. Наиболее типично R55 – С(O)СН3. R56 – U1, как описано выше. Обычно R56 – W6-O-, W6-S, W6-N(H)-. Более типично R56 – R5-O-, R5-S, R5-N(H)-, наиболее типично R56 – R5-O-, еще более типично R56 – R1-O-. Обычно процесс включает обработку соединения 281 кислотным катализатором и соединением формулы W6-X1-H, где Х1 имеет значение, как описано выше, для получения промежуточного амина; обработку промежуточного амина соединением формулы W3-X1-W3, W3-X10, где Х10-отщепляющаяся группа, для получения соединения 282. Кислотным катализатором является обычно хорошо известная кислота Льюиса, например BF3 Et2O, ТiCl3, TMSOTf, SmI2(THF)2, LiClO4, Ln(ОТf)3 (где Ln-Yb, Gd, Nd), Ti(Oi-Pr)4, AlCl3, AlBr3, BeCl2, CdCl2, ZnCl2, BF3, BCl3, BBr3, GaCl3, GaBr3, TiCl4, TiBr4, ZrCl4, SnCl4, SnBr4, SbCl5, SbСl3, BiCl3, FеСl3, UCl4, ScCl3, VCl3, LaCl3, CeCl3, PrCl3, NdCl3, SmCl3, EuCl3, GdCl3, TbCl3, LuCl3, DyCl3, HoCl3, ErCl3, TmCl3, VbCl3, ZnI2, Аl(ОРri)3, Аl(Асас)3, ZnBr2, SnCl4. X1 – обычно – O-, -S- или -N(H). X10 – обычно галоген, например Сl, Вr или I. Более типично процесс включает обработку соединения 281 соединением формулы R5-OH, R5-SH или R5-NH2 и BF3 Et2O для получения промежуточного продукта; обработку промежуточного продукта ангидридом алкановой кислоты для получения соединения формулы 282. Еще более типично процесс включает обработку соединения 281 соединением формулы R5-OH и BF3 Et2O для получения промежуточного продукта; обработку промежуточного продукта замещенным или незамещенным уксусным ангидридом для получения соединения формулы 282. Примеры соединения формулы R5-OH включают соединения, представленные в Таблице 2, группы 2-7, 9-10, 15 и 100-660, где Q1 – ОН. Другие примерные соединения формулы R5-OH включают соединения, представленные в Таблице 7 ниже (вместе с их регистрационным номером в Chemical Abstracts Service) и представленные в таблице 8 ниже (вместе с их регистрационным номером Chemical Abstracts Service и в Aldrich Chemical Company Product). Более типичными примерными соединениями формулыR5-ОН являются соединения, представленные в Таблице 2, группы 2-5, 9 и 100-141, где Q1 – ОН. В другом воплощении процесса N, схема 39 R55-Н. Обычно процесс включает обработку соединения 281 кислотным катализатором и соединением формулы R56-X1-H, где Х1 – имеет значение, как описано выше, для получения промежуточного амина и получения из него соединения 282. Кислотный катализатор и значения Х1 указаны выше. Более типично, процесс включает обработку соединения 281 соединением формулы R5-OH, R5-SH или R5-NH2 и ВF3 Еt2О для получения соединения формулы 282. Еще более типично процесс включает обработку соединения 281 соединением формулы R5-OH и ВF3 Еt2О для получения соединения формулы 282. Примерами соединений формулы R5-OH являются соединения, описанные выше.
Примерное воплощение этого процесса дано в Примерах 65, 86, 92 и 95 ниже.
Процесс O. Схема 39Соединение 282 используют для получения соединения 283 посредством следующего процесса. Азид соединения 282 восстанавливают с образованием аминопроизводного 283. Обычно процесс включает обработку соединения 282 восстанавливающим агентом для получения соединения 283. Более типично процесс подразумевает обработку соединения 282 газообразным водородом и катализатором (например, платина на углероде или катализатор Линдлара)или восстанавливающими реагентами (например, триалкил- или триарилфосфин, как описано выше). Наиболее типично процесс включает обработку соединения 282 трифенилфосфином в воде/ТГФ для получения соединения 283. Примерное воплощение этого процесса дано в Примерах 87, 93 и 96 ниже. Процесс Р. Схема 39 Соединение 283 используют для получения соединения 284 посредством следующего процесса. Удаляют защитную группу карбоновой кислоты. Обычно процесс включает обработку соединения 283 основанием. Еще более типично процесс включает обработку соединения 283 гидроксидом металла в соответствующем растворителе, например в апротонном полярном растворителе. Наиболее типично процесс подразумевает обработку соединения 283 водным гидроксидом калия в ТГФ для получения соединения 284. Примерное воплощение этого процесса дано в Примерах 88, 94 и 97 ниже. Процесс О. Схема 40 Соединение 283 используют для получения соединения 285 посредством следующего процесса. Амин превращают в защищенный гуанидин. R57 – известная защитная группа для гуанидина, например, ВОС или Me. Обычно процесс включает обработку соединения 283 известным гуанидилирующим агентом. Примеры таких реагентов включают Bis-Boc-тиомочевино-аминоиминометансульфокислоту (Kim; et al.; “Tet.Lett.” 29(26):3183-3186(1988) и 1-гуанилпиразолы (Bernatowicz; et al.; “Tet.Lett.” 34(21 ):3389-3392(1993). Более типично процесс включает обработку соединения 283 Bic-BOC-тиомочевой кислотой. Наиболее типично процесс включает обработку соединения 283 Bic-BOC-тиомочевой кислотой и НgСl2 для получения соединения 285. Примерное воплощение этого процесса дано в Примере 67 ниже. Процесс R. Схема 40 Соединение 285 используют для получения соединения 286 посредством следующего процесса. Удаляют защитные группы карбоновой кислоты и гуанидина. Обычно процесс включает обработку соединения 285 основанием с последующей обработкой кислотой, как описано выше. Более типично процесс включает обработку соединения 285 основанием гидроксида металла, как описано выше, для получения промежуточного продукта; обработку промежуточного продукта кислотой для получения соединения 286. Еще более типично процесс включает обработку соединения 285 водным раствором гидроксида калия в ТГФ для получения промежуточного продукта, обработку промежуточного продукта трифторуксусной кислотой (TFA) для получения соединения 286. Процесс S. Схема 40.1 Соединение 287 используют для получения соединения 288 посредством следующего процесса. E1, J1 и J2 соединений 287 и 288 являются такими, как описано выше. Обычно Е1 означает -CO2R51, как описано выше. Обычно J1 означает Н, F или метил, более типично Н. Обычно J2 – Н или неразветвленный или разветвленный алкил, содержащий 1-6 атомов углерода, более типично Н, метил, этил, н-пропил или изопропил, наиболее типично Н. R60 и R61 – группы, способные к реакции образования R63(его значение определено ниже) – замещенного азиридинового цикла соединения 288. Обычно один из R60 и R61 – первичный или вторичный амин или группа, способная превращаться в первичный или вторичный амин. Такие группы для R60 и R61 включают, но не ограничиваются, следующие: -NH2, -N(H)(R6b), -N(R6b)2, -N(H)(R1), -N(R1)(R6b) и -N3. Другой R60 и R61 – обычно группа, способная замещаться первичным и вторичным амином с образованием азиридина. Такие группы включают, но не ограничиваются, следующие: -ОН, -OR6a, Br, СI и I. Обычно R60 и R61 находятся в транс-конфигурации. Более типично R60 – первичный или вторичный амин или группа, способная превращаться в первичный или вторичный амин, a R61 – группа, способная замещаться первичным или вторичным амином с образованием азиридина. Наиболее типично R60 – -азидо или -NH2 и R61 – -ОН, -ОМезил или -ОТозил.
R62 описан ниже в процессе U, Схема 40.1.
Процесс включает обработку соединения 287 для получения соединения 288. Он обычно сопровождается обработкой соединения 287 для замещения группы R61 группой R60. Более типично соединение 287 обрабатывают для активирования R61 в процессе замещения группой R60. Наиболее типично соединение 287 обрабатывают для активирована R61 перед процессом замещения группой R60 и R60 активируют перед процессом замещения группы R61. Если активируют обе группы R61 и R60, то их активация может быть проведена одновременно или последовательно. В случае последовательной активации активация может быть проведена в любом порядке, обычно активация R61 предшествует активации R60.
Активацию R61 перед замещением группы R60 обычно проводят обработкой соединения 287 гидроксилактивирующим агентом, например мезил- или тозилхлоридом. Активацию R60 перед замещением группы R61 обычно проводят обработкой соединения 287 для получения первичного или вторичного амина и обработкой амина основанием. В качестве примера, но не ограничиваясь, соединение 287 обрабатывают восстанавливающим агентом, способным восстанавливать азид до амина, и основанием.
В первом воплощении этого процесса соединение 287 обрабатывают R61-активирующим реагентом и R60-активирующим реагентом для получения соединения 288. В другом воплощении соединение 287 обрабатывают в подходящем растворителе R61-активирующим реагентом и R60-активирующим реагентом для получения соединения 288. В другом воплощении соединение 287 обрабатывают R61-активирующим реагентом и R60-активирующим реагентом и основанием для получения соединения 288. В другом воплощении соединение 287 обрабатывают в подходящем растворителе R61-активирующим реагентом и R60-активирующим реагентом и основанием для получения соединения 288. В другом воплощении соединение 287, где R60 – азид, обрабатывают R61-активирующим реагентом и реагентом, восстанавливающим азид, для получения соединения 288. В другом воплощении соединение 287, где R60 – азид, обрабатывают в подходящем растворителе R61-активирующим реагентом и реагентом, восстанавливающим азид, для получения соединения 288. В другом воплощении соединение 287, где R60 – азид, обрабатывают R61-активирующим реагентом и реагентом, восстанавливающим азид, и основанием для получения соединения 288. В другом воплощении соединение 287, где R60 – азид, обрабатывают в подходящем растворителе R61-активирующим реагентом и реагентом, восстанавливающим азид, и основанием для получения соединения 288. В другом воплощении соединение 287, где R60 – азид и R61 – гидроксил, обрабатывают гидроксилактивирующим реагентом и реагентом, восстанавливающим азид, для получения соединения 288. В другом воплощении соединение 287, где R60 – азид и R61 – гидроксил, обрабатывают в подходящем растворителе гидроксилактивирующим реагентом и реагентом, восстанавливающим азид, для получения соединения 288. В другом воплощении соединение 287, где R60 – азид и R61 – гидроксил, обрабатывают гидроксилактивирующим реагентом и реагентом, восстанавливающим азид, и основанием для получения соединения 288. В другом воплощении соединение 287, где R60 – азид и R61 – гидроксил, обрабатывают в подходящем растворителе гидроксилактивирующим реагентом и реагентом, восстанавливающим азид, и основанием для получения соединения 288. Согласно другому воплощению соединение 287, где R60 означает азид и R61 – гидроксил, обрабатывают в подходящем растворителе гидроксилактивирующим реагентом, реагентом, восстанавливающим азид, и основанием для получения соединения 288.
Пример воплощения этого процесса приведен как Процесс К, Схема 38 выше.
Процесс Т. Схема 40.1Соединение 288 используют для получения соединения 289 посредством следующего процесса. R64 – обычно Н, R6b или группа, способная превращаться в Н или R6b. Более типично R64 – Н. R65 – обычно G1 или группа, способная превращаться в G1. Более типично , R65 означает N3, CN или -(CR1R1)m1W2. Более типично R65 – N3, -NH2, -N(H)R6b, -N(R6b)2, -CH2N3 или -CH2CN. Обычно соединение 288 обрабатывают для получения амина 289. Более типично соединение 288 обрабатывают нуклеофилом, обычно азотным нуклеофилом, например R65, катионной солью R65 или протонированным аналогом R65, таким как перечисленные далее, но не ограничиваясь ими: NH3, азидная соль (например, NaN3, KN3 и т.д.), HCN, цианидная соль (например, NaCN, KCN и т.д.) или соль цианоалкила (например, (CH2CN)–, такая как NaCH2CN, KCH2CN и т.д.). Еще более типично соединение 288 обрабатывают азидной солью. Возможно использование основания, обычно слабого основания, например галогенида аммония, и растворителя, обычно полярного апротонного растворителя, например, эфира, амина или амида. В первом воплощении соединение 288 обрабатывают нуклеофилом. В другом воплощении соединение 288 обрабатывают нуклеофилом в подходящем растворителе для получения соединения 289. В другом воплощении соединение 288 обрабатывают нуклеофилом и основанием для получения соединения 289. В другом воплощении соединение 288 обрабатывают нуклеофилом и основанием в подходящем растворителе для получения соединения 289. В другом воплощении соединение 288 обрабатывают азотным нуклеофилом для получения соединения 289. В другом воплощении соединение 288 обрабатывают азотным нуклеофилом в подходящем растворителе для получения соединения 289. В другом воплощении соединение 288 обрабатывают азотным нуклеофилом и основанием для получения соединения 289. В другом воплощении соединение 288 обрабатывают азотным нуклеофилом и основанием в подходящем растворителе для получения соединения 289. В другом воплощении соединение 288 обрабатывают азидной солью для получения соединения 289. В другом воплощении соединение 288 обрабатывают азидной солью в подходящем растворителе для получения соединения 289. В другом воплощении соединение 288 обрабатывают азидной солью и основанием для получения соединения 289. В другом воплощении соединение 288 обрабатывают азидной солью и основанием в подходящем растворителе для получения соединения 289. Пример воплощения этого процесса представлен как Процесс L, Схема 38 выше. Процесс U. Схема 40.1 Соединение 289 используют для получения соединения 290 посредством следующего процесса. R62 – группа, способная реагировать с амином с образованием R66 (обозначен ниже) – замещенного азиридинового цикла соединения 290. Обычно R62 – группа, способная замещаться первичным или вторичным амином с образованием азиридина. Такие группы включают, но не ограничиваются следующими: OR53, ОН, OR6a, Br, Сl или I. Обычно R62 имеет транс-конфигурацию по отношению к азоту в положении 4. Более типично R62 – ОR53. R64 – Н или R6b, обычно кислотолабильная защитная группа, например R54. R66 – Н, R6b или R54. Процесс подразумевает обработку соединения 289 для получения соединения 290. Его обычно проводят обработкой соединения 289 для замещения R62 амином в положении 4. Более типично соединение 289 обрабатывают для активирования амина в положении 4 в отношении замещения R62. Наиболее типично соединение 289 обрабатывают для активирования амина в положении 4 в отношении замещения R62 и R62 активируют в отношении замещения амином в положении 4. В случае активации как группы R62, так и аминогруппы в положении 4, активацию могут проводить одновременно или последовательно. Если активацию групп проводят последовательно, то активация может быть проведена в любом порядке, обычно активация R62 предшествует активации амина в положении 4. Активацию R62 в отношении замещения амином в положении 4 обычно проводят обработкой соединения 289 гидроксилактивирующим агентом, таким как описанный в процессе В, Схема 36. Возможна защита 62 до активации. Активация амина в положении 4 в отношении замещения группы R62 обычно проводят обработкой соединения 289 для получения первичного или вторичного амина и обработкой амина кислотным катализатором, таким как описано в процессе N, Схема 39 выше. Обычно если R62 означает OR53 и R66 означает R56, то процесс включает обработку соединения 289 агентом, снимающим защитную группу, для удаления группы R53 и реагентом, образующим группу R54, как описано в Greene (R54 – галогенид, например ацетилхлорид или ТrСl или R54 – O-R54, например уксусный ангидрид) и гидроксилактивирующей группой, такой как описанная в процессе В, схема 36. Более типично процесс включает обработку соединения 289 полярным протонным растворителем, возможно в присутствии кислотного катализатора, как описано выше, для получения первого промежуточного продукта; обработку первого промежуточного продукта Тr-Сl в полярном апротонном растворителе, например в амине, для получения второго промежуточного продукта; обработку второго промежуточного продукта галоидангидридом сульфокислоты, например мезилхлоридом или пара-толуолсульфонилхлоридом в полярном апротонном растворителе, например амине, для получения соединения 290. Наиболее типично процесс включает обработку соединения 289 метанолом и НСl для получения первого промежуточного продукта; обработку первого промежуточного продукта Тr-Сl и триэтиламином для получения второго промежуточного продукта; обработку второго промежуточного продукта мезилхлоридом и триэтиламином для получения соединения 290. В первом воплощении соединение 289 обрабатывают кислотным катализатором для получения соединения 290. В другом воплощении соединение 289 обрабатывают кислотным катализатором в соответствующем растворителе для получения соединения 290. В другом воплощении соединение 289 обрабатывают гидроксилактивирующим реагентом и кислотным катализатором для получения соединения 290. В другом воплощении соединение 289 обрабатывают гидроксилактивирующим реагентом и кислотным катализатором в соответствующем растворителе для получения соединения 290. В другом воплощении соединение 289 обрабатывают реагентом, снимающим защиту гидроксила, гидроксилактивирующим реагентом и кислотным катализатором для получения соединения 290. В другом воплощении соединение 289 обрабатывают гидроксилактивирующим реагентом и кислотным катализатором в подходящем растворителе для получения соединения 290. Пример воплощения этого процесса дан как Процесс М, Схема 38 выше. Процесс V. Схема 40.1 Соединение 290 используют для получения соединения 291 посредством следующего процесса. Азиридин 290 обрабатывают для получения соединения 291. Обычно в азиридине 290 размыкают цикл посредством катализируемой кислотой реакции размыкания цикла и полученный амин ацилируют. R68 означает независимо друг от друга Н, R6b, R1 или R55, значение которых указано выше. Обычно R55 – C(O)R5. Обычно один из R68 означает Н или R6b, а другой – W3. R67 означает U1, как описано выше. Обычно R67 – W6-O-, W6-S или W6-N(H)-. Более типично R67 – R5-O-, R5-S или R5-N(H)-. Обычно процесс включает обработку соединения 290 кислотным катализатором и соединением формулы W6-X1-H, где X1 имеет указанное выше значение, для получения промежуточного амина; обработку промежуточного амина соединением формулы W3-X1-W3, W3-X10, где Х10 -отщепляющаяся группа, для получения соединения 291. Обработка соединением формулы W6-X1-H и кислотным катализатором может быть осуществлена до или одновременно с обработкой соединением формулы W3-X1-W3 или W3-X10. Кислотный катализатор является обычно одним из описанных в Процессе N, Схема 39, выше. Более типично процесс включает обработку соединения 290 соединением формулы R5-OH, R5-SH или R5-NH2 и кислотным катализатором и обработку промежуточного продукта ангидридом алкановой кислоты для получения соединения формулы 291. Одно из воплощений включает обработку соединения 290 соединением формулы W6-X1-H и кислотным катализатором для получения соединения 291. Другое воплощение включает обработку соединения 290 соединением формулы W6-X1-H и кислотным катализатором в подходящем растворителе для получения соединения 291. Другое воплощение подразумевает обработку соединения 290 соединением формулы W6-X1-H, кислотным катализатором и соединением формулы W3-X1-W3 или W3-Х10 для получения соединения 291. Другое воплощение подразумевает обработку соединения 290 соединением формулы 6-X1-H, кислотным катализатором и соединением формулы W3-X1-W3 или W3-X10 в соответствующем растворителе для получения соединения 291. Пример воплощения этого процесса приведен как Процесс N, Схема 39 выше. Процесс W. Схема 40.1 Соединение 291 используют для получения соединения 292 посредством следующего процесса. Соединение 291 обрабатывают для получения соединения 292. Обычно R65 превращают в G1. U1 является воплощением R67 и Т1 – воплощением -N(R68)2, полученных в процессе V, Схема 40.1 выше. В одном из воплощений с группы R65 снимают защиту, алкилируют, гуанидинилируют, окисляют или восстанавливают для получения G1. Любое количество таких обработок может быть проведено в любом порядке или одновременно. В качестве примера, но не ограничиваясь им, если R65 означает азидогруппу, то процесс включает Процессы О, OQ, OQR или ОР. Обычными алкилирующими агентами являются хорошо известные алкилирующие агенты. Например, но не ограничиваясь, алкилирующими агентами являются следующие: метилиодид, метилбромид, этилиодид, этилбромид, н-пропилиодид, н-пропилбромид, изопропилиодид, изопропилбромид; и олефиноксид, например этиленоксид или пропиленоксид. На стадии алкилирования преимущественно может использоваться основной катализатор, такой как описан здесь. Одно из воплощений включает обработку соединения 291, где R65 – азидогруппа, восстанавливающим агентом для получения соединения 292. Другое воплощение включает обработку соединения 291, где R65 – азидогруппа, восстанавливающим агентом для получения соединения 292 в соответствующем растворителе. Другое воплощение включает обработку соединения 291, где R65 – аминогруппа, алкилирующим агентом для получения соединения 292. Другое воплощение включает обработку соединения 291, где R65 – аминогруппа, алкилирующим агентом для получения соединения 292 в подходящем растворителе. Другое воплощение включает обработку соединения 291, где R65 – азидогруппа, восстанавливающим агентом и алкилирующим агентом для получения соединения 292. Другое воплощение включает обработку соединения 291, где R65 – азидогруппа, восстанавливающим агентом и алкилирующим агентом для получения соединения 292 в подходящем растворителе. Другое воплощение включает обработку соединения 291, где R65 – аминогруппа, алкилирующим агентом и основным катализатором для получения соединения 292. Другое воплощение включает обработку соединения 291, где R65 – аминогруппа, алкилирующим агентом и основным катализатором для получения соединения 292. Еще одно воплощение включает обработку соединения 291, где R65 – аминогруппа, алкилирующим агентом и основным катализатором в подходящем растворителе для получения соединения 292. Другое воплощение включает обработку соединения 291, где R65 – азидогруппа, восстанавливающим агентом, алкилирующим агентом и основным катализатором для получения соединения 292. Другое воплощение включает обработку соединения 291, где R65 – азидогруппа, восстанавливающим агентом, алкилирующим агентом и основным катализатором для получения соединения 292 в подходящем растворителе. Пример воплощения этого процесса дан как Процесс О, Схема 39. Примеры воплощения этого процесса даны как Примеры 68 и 69 ниже. Схема 41 (см. в конце описания). Амин 300 (промежуточный продукт в Примере 52, возможно очищенный перед использованием) обрабатывают Вос-ангидридом для получения моно-Вос-защищенного амина 301. Эта реакция описана в Greene “Защитные группы в органическом синтезе” 2 изд. (John Wiley & Sоns, New York, NY, 1991) стр. 327-328. Метиловый эфир 301 восстанавливают до соответствующего первичного аллильного спирта 302 DIBAL при пониженной температуре. Реакция описана Garner, P. and Park, J.M., “J. Org.Chem.”, 52:2361 (1987). Первичный спирт 302 защищают в форме его п-метоксибензилэфирного производного 303 обработкой 4-метоксибензилхлоридом в щелочных условиях. Такое превращение описано в Horita К. et al., “Tetrahedron”, 42:3021 (1986). MOM- и Вос-защитные группы соединения 303 удаляют обработкой TFA/CH2Cl2 для получения аминоспирта 304. Реакции описаны в Greene “Защитные группы в органическом синтезе”, 2 изд. (John Wiley & Sons, New York, NY, 1991). Превращение соединения 304 в соответствующий защищенный тритилом азиридин 305 проводят реакцией без выделения в две последовательные стадии: 1) TrCl/TEA, 2)Ms/Cl/TEA. Эта реакция описана ранее. Азиридин 305 затем превращают в соответствующее Вос-защищенное производное 307 удалением сначала тритильной группы действием НСl/ацетон для получения соединения 306. Реакция описана в Hanson, R.W. and Law, H.D. “J. Chem. Soc.”, 7285(1965). Азиридин 306 затем превращают в соответствующее Вос-производное 307 обработкой Вос-ангидридом. Такое превращение описано в Fitremann, J., et al. “Tetrahedron Lett.”, 35:1201 (1994). В аллилазиридине 307 селективно размыкают цикл в аллильном положении углеродным нуклеофилом, полученным из медь-органического соединения высшего порядка, в присутствии BF3 Et2O при пониженной температуре для получения аддукта с разомкнутым циклом 308. Такая реакция размыкания цикла описана в Hudlicky.T., et al. “Synlett.” 1125(1995).
Вос-защищенный амин 308 превращают в N-ацетильное производное 309 в две последовательные стадии: 1)TFA/CH2Cl2; 2)Ас2O/пиридин. Такие реакции описаны в Greene “Защитные группы в органическом синтезе”, 2 изд. (Jоhn Wiley & Sons, New York, NY, 1991) стр.327-328 и стр.351-352.
С бензильного эфира 309 снимают защиту DDQ при комнатной температуре для получения первичного аллильного спирта 310. Такая реакция описана в Horita К. et al., “Tetrahedron”, 42:3021 (1986).
Спирт 310 окисляют и превращают реакцией без выделения в метиловый эфир 311 по реакции оксиления Кори, используя MnO2/AcOH/MeOH/NaCN. Такая реакция описана в Corey.E.J., et al. “J. Am. Chem. Soc.”, 90:5616(1968).
Азидный эфир 311 превращают в аминокислоту 312 в две последовательные стадии: 1)РН3/Н2О/ТГФ; 2)КОН/ТГФ. Такая реакция описана ранее.
Схема 42 (см. в конце описания).
С известного фторацетата 320 (Sutherland.J.K., et al. “J. Chem. Soc. Chem. Commun. ” 464 (1993) снимают защиту, получая свободный спирт, и затем превращают в соответствующий мезилат 321 в две стадии: 1)NaOMe; 2)MsCl/TEA. Такие превращения описаны в Greene “Защитные группы в органическом синтезе”, 2 изд. (Jоhn Wiley & Sons, New York, NY, 1991).
Снятием защиты с соединения 321 в кислых условиях получают диол 322, который циклизуют в эпоксиспирт 323 в щелочных условиях. Такая реакция описана ранее.
Превращение соединения 323 в N-тритил-защищенный азиридин 324 проводят в несколько последовательных стадий: 1)МОМСl/ТЕА; 2)NaN3/NH4Cl; 3)MsCl/TEA; 4)РРh3/ТЕА/Н2O; 5)NaN3/NH4Cl; 6)HCl/MeOH; 7) i)TrCl, ii)MsCl/TEA. Такая реакция описана ранее.
В азиридине 324 затем размыкают цикл соответствующим спиртом в присутствии кислоты Льюиса и затем обрабатывают Ас2О/пиридином для получения ацетилированного продукта 325. Такая реакция описана ранее.
Эфир 325 превращают в соответствующую аминокислоту 326 в две последовательные стадии: 1)РРh3/Н2О/ТГФ; 2)КОН/ТГФ. Такая реакция описана ранее.
В патенте США 5214165, в частности в разделе “Описание и Примеры” с колонки 9, строка 61 до колонки 18, строка 26 описано получение 6 – и 6 -фторшикимовой кислоты. Названные фторпроизводные являются подходящими материалами в качестве исходных веществ для способов получения соединений по данному изобретению, в которых используют шикимовую кислоту.
Схема 43 (см. в конце описания).
Ненасыщенный эфир 330 (полученный стандартными способами ацетилирования из ацетонида спирта, описанными в Campbell, M.M., et. al., “Synthesis”, 179 (1993)) реагирует с подходящим купрат-органическим соединением, где R’ – лиганд, полученный из купрат-органического соединения. К полученному промежуточному продукту затем прикапывают PhSeCl для получения соединения 331, которое затем обрабатывают 30%-ной H2O2 для получения , -ненасыщенного эфира 332. Такая реакция описана в HayaShi,Y., et.al, “J. Org. Chem.” 47:3428 (1982).
Ацетат 332 затем превращают в соответствующий мезилат 333 в две последовательные стадии: 1)NaOMe/MeOH; 2)MsCl/TEA. Такая реакция описана ранее в Greene “Защитные группы в органическом синтезе”, 2 изд. (John Wiley & Sons, New York, NY, 1991).
Ацетонид 333 затем превращают в эпоксиспирт 334 в две последовательные стадии: 1) p-TsOH/MeOH/ ; 2)DВU/ТГФ. Такая реакция описана ранее.
Превращение эпоксида 334 в N-тритил-азиридин 335 проводят в несколько последовательных стадий: 1)МОМСl/ТЕА; 2)NaN3/NH4Cl; 3)MsCl/TEA; 4)PPh3/TEA/H2O; 5)NaN3/NH4Cl; 6)HCl/MeOH; 7) i)TrCl, ii)MsCl/TEA. Такая реакция описана ранее.
В азиридине 335 затем размыкают цикл соответствующим спиртом в присутствии кислоты Льюиса и затем обрабатывают смесью Ас2О/пиридин для получения ацетилированного продукта 336. Такая реакция описана ранее.
Азидоэфир 336 превращают в соответствующую аминокислоту 337 в две последовательные стадии: 1)РРh3/Н2О/ТГФ; 2)КОН/ТГФ. Такая реакция описана ранее.
Схемы 44 и 45, на которые ссылаются в примерах, (см. в конце описания).
Модификация приведенных в качестве примера исходных материалов для получения различных групп Е1 описана подробно и не будет рассмотрена здесь. См. Fleet, G.W.J. et al.; “J. Chem. Soc. Perkin Trans.I”, 905-908 (1984), Fleet, G.W.J. et al.; “J. Chem. Soc. Chem. Commun.”, 849-850(1983), Yee, Ying К. et al. ; “J.Med.Chem.”, 33:2437-2451 (1990); Olson, R.E. et al.; “Bioorganic & Medical Chemistry Letters”, 4(18):2235-2240(1994); Judd, D.B. et al.; “J. Med. Chem. , 37: 3108-3120 (1994) и Lombaert, S. De et al.,; “Bioorganic & Medical Chemistry Letters”, 5(2): 151-154(1994).
Серосодержащие аналоги Е1 производных карбоновой кислоты по данному изобретению получаются любой из стандартных методик. В качестве примера, но не ограничиваясь, карбоновые кислоты восстанавливаются до спиртов стандартными методами. Спирты превращаются в галоидангидриды или сложные эфиры сульфоновой кислоты стандартными методами, и полученные соединения подвергают взаимодействию с NaSH с получением сульфидного продукта. Такие реакции описаны в Patai, “The Chemistry of the Tiol Group” (John Wiley, New York, 1974), pt. 2, в особенности на страницах 721-735.
Модификации каждой из вышеназванных схем приводят к получению различных аналогов, приведенных в качестве примера специфических материалов, полученных выше.
В каждой из приведенных выше в качестве примера схем может быть полезным отделить продукты реакции друг от друга и/или от исходных веществ. Желаемые продукты каждой стадии или после нескольких стадий разделяют и/или очищают (после их разделения) до желаемой степени однородности обычными в технике методами. Обычно разделение включает многофазную экстракцию, кристаллизацию из растворителя или смеси растворителей, дистилляцию, возгонку или хроматографию. Хроматография может включать любое количество методов, например вытеснительную или ионобменную хроматографию, жидкостную хроматографию высокого, среднего и низкого давления, препаративную тонко- и толстослойную хроматографию с малой шкалой, а также тонкослойную хроматографию с малой шкалой и испарительную хроматографию.
Другой класс способов разделения включает обработку смеси реагентом, выбранным для связывания или отделения желаемого продукта, непрореагировавшего исходного материала, побочных продуктов реакции и т.д. Такие реагенты включают адсорбенты и абсорбенты, такие как активированный уголь, молекулярные сита, ионобменные среды и т.п. Альтернативно реагенты могут быть кислотами в случае основных материалов, основаниями в случае кислотных материалов, связывающими реагентами, такими как антитела, связывающие белки, селективные хелатирующие агенты, такие как краунэфиры, реагенты ионной экстракции жидкость-жидкость (LIX) и т.п.
Выбор подходящих способов разделения зависит от природы используемых веществ. Например, от точки кипения и молекулярной массы в случае дистилляции и сублимации, наличия или отсутствия полярных функциональных групп в хроматографии, стабильности материалов в кислотных и основных средах в многофазной экстракции и т.п. Специалист может использовать методики, наиболее приемлемые для обеспечения желаемого разделения.
Все литературные и патентные ссылки, приведенные выше, были специально включены в качестве ссылок в местах их цитирования. Специально цитированные отрывки или страницы упомянутых выше работ включены в качестве специфических ссылок. Изобретение достаточно детально описано для того, чтобы специалист мог осуществить заявленное изобретение. Ясно, что могут быть осуществлены определенные модификации способов и композиций в соответствии с настоящим изобретением.
ПримерыОсновная часть Следующие примеры относятся к схемам. Некоторые примеры повторяются несколько раз. В этих случаях условия проведения реакции, такие как время, температура, концентрация и т.п., а также выходы продуктов, находятся в пределах обычных экспериментальных диапазонов. Особо отмечаются примеры с модификациями, вследствие которых полученные результаты значительно отличаются от описанных ранее. При применении исходных материалов, используемых в примерах, это отмечают. Если повторяющийся пример относится к “соответствующему” аналогу соединения, такому как “соответствующий этиловый эфир”, это означает, что присутствующая в другом случае группа, в данном случае обычно метиловый эфир, должна быть той же самой группой, которую модифицируют, как указано. Например, “соответствующий этиловый эфир соединения 1”: ![]() Пример 1 Эпоксиспирт 1. Получают из шикимовой кислоты по методике МакГоуэна и Берчтольда, “J. Org. Chem.”, 46:2381 (1981). Пример 2 Эпоксиаллиловый эфир 2. 2,37 г (14,08 ммоль) эпоксиспирта 1 растворяют в 50 мл сухого бензола, затем одной порцией добавляют 1,01 мл этилата таллия (1). Через 2 ч отгоняют растворитель в вакууме, осадок растворяют в ацетонитриле. Затем добавляют 3,0 мл йодистого аллила и перемешивают реакционную смесь в темноте в течение 16 ч. Осадок фильтруют через слой целита и промывают хлороформом. После отгонки растворителя в вакууме с последующей испарительной хроматографией (40%-ный раствор этилацетата в гексане) получают 1,24 г (42%) вещества 2 в виде светлого вязкого масла. 1Н ЯМР (300 МГц, CDCl3): 6,75 (1Н, м); 6,10-5,90 (1Н, м, -СН=, аллил); 5,40-5,15 (2Н, м, = СН2, аллил); 4,47-4,43 (1Н, м); 4,30-4,15 (2Н, м, -СН2-, аллил); 3,73 (3Н, с); 3,55-3,50 (1Н, м); 3,45-3,40 (1Н, м); 3,15-3,00 (1Н, дм, J=19,5 Гц), 2,50-2,35 (1Н, дм, J=2,7, 19,5 Гц).
Пример 3Азидоспирт 3. Смесь из 1,17 г (5,57 ммоль) эпоксида 2, 1,82 г азида натрия и 658 мг хлорида аммония кипятят с обратным холодильником в 35 мл смеси МеОН/Н2О (8:1) в течение 18 ч. Затем отгоняют растворитель в вакууме, твердую фазу распределяют между этиловым эфиром и водой. Органический слой промывают солевым раствором и сушат. После отгонки растворителя в вакууме получают 1,3 г (92%) вещества 3 в виде светлого масла, которое используют без дальнейшей очистки. 1Н ЯМР (300 МГц, CDCl3): 6,95-6,85 (1Н, м); 6,00-5,85 (1Н, м, -СН=, аллил); 5,35-5,25 (2Н, м, =CH2, аллил); 4,25-4,10 (2Н, м, -СН2-, аллил); 4,12 (1Н, шт, J=4,2 Гц); 3,95-3,75 (2Н, м); 3,77(3H, с); 2,85 (1Н, дд, J=5,3, 18,3 Гц); 2,71 (1Н, шс); 2,26 (1Н, дд, J=7,2, 18,3 Гц).
Пример 4Азиридин 4. 637 мг (2,52 ммоль) спирта 3 растворяют в 20 мл СН2Сl2, охлаждают до 0oС, добавляют несколько кристаллов DMAP м 442 мкл триэтиламина. Затем добавляют 287 мкл MsCl и перемешивают реакционную смесь в течение 2 ч при 0oС. Удаляют летучие компоненты и распределяют твердую фазу между этиловым эфиром и водой. Органический слой промывают насыщенным раствором бикарбоната натрия, солевым раствором и сушат. После отгонки растворителя в вакууме получают 881 мг сырого мезилата. 1Н ЯМР (300 МГц, CDCl3): 6,87-6,84 (1Н, с); 6,00-5,85 (1Н, м, -СН=, аллил); 5,40-5,25 (2Н, м, =СН2, аллил); 4,72 (1Н, дд, J=3,9, 8,5 Гц), 4,32 (1Н, шт, J=3,9 Гц); 4,30-4,15 (2Н, м, -СН2-, аллил); 3,77 (3Н, с); 3,14 (3Н, с); 2,95 (1Н, дд, J=5,7, 18,6 Гц); 2,38 (1Н, дд, J=6,7, 18,6 Гц).
Сырой мезилат растворяют в 20 мл сухого ТГФ и обрабатывают 727 мг трифенилфосфина Ph3P. Перемешивают в течение 3 ч при комнатной температуре, затем добавляют 15 мл воды и 1,35 г твердого бикарбоната натрия. Реакционную смесь перемешивают в течение ночи при комнатной температуре. Отгоняют растворитель в вакууме, твердую фазу распределяют между этилацетатом, насыщенным раствором бикарбоната натрия и солевым раствором. Отделяют органический слой и сушат над сульфатом магния. После отгонки растворителя в вакууме с последующей хроматографией получают 170 мг (33%) азиридина 4 в виде светло-желтого масла. 1Н ЯМР (300 МГц, CDCl3): 6,82-6,80 (1Н, м); 6,04-5,85 (1Н, м, -СН=, аллил); 5,35-5,20 (2Н, м, =СН2, аллил); 4,39 (1Н, шд, J= 2,4 Гц); 4,20-4,05 (2Н, м, -CH2-, аллил); 3,73 (3Н, с); 2,90-2,80 (1Н, шд, J=18,9 Гц); 2,65-2,40 (2Н, м).
Пример 5N-ацетилазиридин 5. 170 мг (0,814 ммоль) азиридина 4 растворяют в 2 мл CH2Cl2 и 4 мл пиридина и охлаждают до 0oС. Затем добавляют 87 мкл ацетилхлорида и перемешивают реакционную смесь в течение часа при 0oС. Летучие компоненты отгоняют в вакууме, твердую фазу распределяют между этиловым эфиром, насыщенным раствором бикарбоната натрия и солевым раствором. Отделяют органический слой и сушат над сульфатом магния. После отгонки растворителя получают 196 мг (96%) вещества 5, которое используется без дальнейшей очистки. 1Н ЯМР (300 МГц, CDCl3): 6,88-6,86 (1Н, м); 6,00-5,85 (1Н, м, -СН=, аллил); 5,40-5,20 (2Н, м, =СН2, аллил); 4,45-4,40 (1Н, м); 4,16 (2Н, д, J=6,0 Гц, -СН2-, аллил); 3,76 (3Н, с); 3,00-2,95 (2Н, м); 2,65 (1Н, шд, J=18,5 Гц); 2,14 (3Н, с).
Пример 6Азидоаллиловый эфир 6. 219 мг (0,873 ммоль) азиридина 5, 426 мг азида натрия и 444 мг хлорида аммония растворяют в 7 мл сухого ДМФА и нагревают при 65oС в атмосфере аргона в течение ночи. Реакционную смесь выливают в смесь насыщенный раствор бикарбоната натрия/солевой раствор и несколько раз экстрагируют этиловым эфиром. Объединенные эфирные слои промывают солевым раствором и сушат. После отгонки растворителя с последующей испарительной хроматографией (только этилацетат) получают 77 мг (35%) азидоамина, который далее растворяют в 1 мл СН2Сl2 и 1 мл пиридина и охлаждают до 0oС. Добавляют 38 мкл ацетилхлорида, затем через 45 мин добавляют твердый бикарбонат натрия и отгоняют летучие компоненты в вакууме. Твердую фазу распределяют между этилацетатом и солевым раствором. Органический слой сушат над сульфатом магния и отгоняют растворитель в вакууме. С помощью испарительной хроматографии (только этилацетат) получают 90 мг (99%) вещества 6. 1Н ЯМР (500 МГц, CDCl3): 6,86 (1Н, шт, J=2,2 Гц); 5,95-5,82 (1Н, м, СН=, аллил); 5,68 (1Н, шд, J=7,3 Гц), 5,35-5,20 (2Н, м, =СН2, аллил); 4,58-4,52 (1Н, м); 4,22-4,10 (2Н, м), 4,04 (1Н, дд, J=5,9, 12,5 Гц); 3,77 (3Н, с); 3,54-3,52 (1Н, м); 2,89 (1Н, дд, J=5,9, 17,6 Гц); 2,32-2,22 (1Н, м); 2,06 (3Н, с).
Пример 7Азидодиол 7. 90 мг (0,306 ммоль) олефина 6 растворяют в 3 мл ацетона и 285 мкл воды, добавляют 39 мг N-метилморфолин-N-оксида и 73 мкл 2,5 мас.% раствора OsO4 в трет-бутаноле. Реакционную смесь перемешивают при комнатной температуре в течение трех дней. Добавляют твердый гидросульфит натрия и перемешивают в течение 20 мин. Затем реакционную смесь фильтруют через целитовый слой и промывают большим количеством ацетона. После отгонки растворителя в вакууме с последующей испарителной хроматографией (10% раствор метилового спирта в дихлорметане) получают 50 мг (50%) диола 7. 1Н ЯМР (300 МГц, CD3CN): 6,80-6,70 (1Н, м); 4,20-4,15 (1H, шм); 3,95-3,80 (1Н, м); 3,80-3,25 (6Н, ш); 3,70 (3Н, с); 3,10 (1Н, шс); 2,85 (1Н, шс); 2,85-2,75 (1Н, м); 2,30-2,15 (1Н, м); 2,16 (1Н, шс); 1,92 (3Н, с).
Пример 8Диол амнокислоты 8. 23 мг (0,07 ммоль) диола 7 растворяют в 1 мл ТГФ и добавляют при комнатной температуре 223 мкл 0,04 М раствора КОН. После перемешивания в течение 1,5 ч реакционную смесь подкисляют катионообменной смолой амберлит IR-120 в Н-форме до рН=4. Смолу фильтруют и промывают метиловым спиртом. Посредством отгонки растворителя в вакууме получают сырую карбоновую кислоту, которую растворяют в 1,5 мл этанола. В этот раствор добавляют 20 мг катализатора Линдлара и перемешивают реакционную смесь в атмосфере водорода (давление в баллоне 1 атм) в течение 20 ч. Реакционную смесь фильтруют через целитовый слой, промывают горячим этанолом и водой. Этанол отгоняют в вакууме, а после лиофилизации полученного водного слоя получают в виде белого порошка смесь необходимой аминокислоты 8 и исходного азида 7. Соединение 8. 1Н ЯМР (500 МГц, D2O): 6,5 (1H, с); 4,24-4,30 (2Н, м); 4,25-4,18 (1H, м); 3,90-3,55 (5Н, комплексный м); 2,96-2,90 (1H, м); 2,58-2,50 (1H, комплексный м); 2,12 (3Н, с).
Пример 9Соединение 62. 60 г хинной кислоты, 160 мл циклогексанона м 600 мг толуолсульфокислоты суспендируют в 450 мл бензола и кипятят с насадкой Дина-Старка в течение 14 ч. Реакционную смесь охлаждают до комнатной температуры и выливают в 150 мл насыщенного раствора бикарбоната натрия. Водный слой трижды экстрагируют дихлорметаном. Объединенные органические слои промывают сначала дважды водой, затем один раз солевым раствором и сушат над сульфатом натрия. После отгонки растворителя получают осветленный осадок, который рекристаллизуют из диэтилового эфира (выход 75 г, 95%). 1Н ЯМР (CDCl3): 4,73 (дд, J= 6,1, 2,5 Гц, 1H), 4,47 (ддд, J=7,0, 7,0, 3,0 Гц, 1H), 4,30 (ддд, J= 5,4, 2,6, 1,4 Гц, 1H), 2,96 (с, 1H), 2,66 (д, J=11,7 Гц, 1H), 2,40-2,15 (м, 3Н), 1,72-1,40 (м, 10Н).
Пример 10Соединение 63. 12,7 мг (50 ммоль) лактона 62 растворяют в 300 мл метанола, затем одной порцией добавляют 2,7 г (50 ммоль) метилата натрия. Реакционную смесь перемешивают при комнатной температуре в течение 3 ч, гасят 3 мл уксусной кислоты и перемешивают 10 мин. Смесь выливают в 300 мл насыщенного водного раствора хлорида аммония и трижды экстрагируют дихлорметаном. Объединенные органические фазы промывают один раз солевым раствором и сушат над сульфатом магния. В результате очистки испарительной хроматографией (гексан/этилацетат от 1/1 до 1/2) получают 11,5 г (80%) диола и 1,2 г исходного реагента (10%). 1Н ЯМР(СDСl3): 4,47 (ддд, J=7,4, 5,8, 3,5 Гц, 1Н), 4,11 (м, 1Н), 3,98 (м, 1Н), 3,81 (с, 3Н), 3,45 (с, 1Н), 2,47 (д, J=3,3 Гц, 1H), 2,27 (м, 2Н), 2,10 (дд, J=11,8, 4,3 Гц, 1H), 1,92-1,26 (м, 10Н).
Пример 11Соединение 64. Смесь 1,100 г (3,9 ммоль) диола 63, 2,2 г молекулярного сита (3А) и 1,1 г пиридина растворяют в 15 мл дихлорметана, затем одной порцией добавляют 3,3 г (15,6 ммоль) РСС. Реакционную смесь перемешивают при комнатной температуре в течение 26 ч и разбавляют 30 мл диэтилового эфира, Суспензию фильтруют через целитовый слой и промывают этиловым эфиром (два раза порциями по 20 мл), Объединенные эфирные слои промывают дважды солевым раствором и сушат над сульфатом магния, После отгонки растворителя с последующей испарительной хроматографией (гексан/этилацетат=3/1) получают 0,690 г (67%) кетона. 1Н ЯМР (CDCl3): 6,84 (д, J=2,8 Гц, 1H), 4,69 (ддд, J=6,4, 4,9, 1,6 Гц, 1H), 4,30 (д, J=5,0 Гц, 1Н), 3,86 (с, 3Н), 3,45 (д, J=22,3 Гц, 1Н), 2,86 (м, 1Н), 1,69-1,34 (м, 10Н).
Пример 12Соединение 28. 0,630 г (2,4 ммоль) кетона 64 растворяют в 12 мл метанола и добавляют при 0oС NaHB4 в течение 30 мин. Реакционную смесь перемешивают еще полтора часа при 0oС и гасят 15 мл насыщенного раствора хлорида аммония. Раствор трижды экстрагируют дихлорметаном, объединенные органические экстракты сушат над сульфатом магния. С помощью хроматографии (гексан/этилацетат= 2/1) получают 0,614 г (97%) спирта. 1Н ЯМР (CDCl3): 6,94 (д, J=0,5 Гц, 1Н), 4,64 (ддд, J=9,8, 6,7, 3,2 Гц, 1Н), 4,55 (дц, J=7,1, 4,2 Гц, 1Н), 4,06 (м, 1Н), 3,77 (с, 3Н), 3,04 (дд, J=16,5, 2,1 Гц, 1Н), 2,73 (д, J=10,2 Гц, 1Н), 1,94 (м, 1Н), 1,65-1,29 (м, 10Н).
Пример 13Соединение 66. 2,93 г (10,9 ммоль) спирта 28 и 1,5 г толуолсульфокислоты растворяют в 75 мл ацетона и перемешивают в течение 15 ч при комнатной температуре. Затем реакционную смесь гасят 30 мл воды и подщелачивают концентрированным NH3 H2O до рН 9. Ацетон отгоняют при пониженном давлении, водную фазу трижды экстрагируют дихлорметаном, Объединенные органические экстракты промывают один раз солевым раствором и сушат над сульфатом натрия. После отгонки растворителя получают необходимый продукт. 1Н ЯМР (CDCl3): 7,01 (м, 1Н), 4,73 (м, 1Н), 4,42 (м, 1Н), 3,97 (м, 1Н), 3,76 (с, 3Н), 2,71-2,27 (м, 2Н), 2,02 (с, 3Н), 1,98 (с, 3Н).
Пример 14Соединение 67. 10,9 ммоль спирта 66 растворяют в 60 мл дихлорметана, затем при 0oС последовательно добавляют 4,4 мл (54,5 ммоль) пиридина и 2,7 мл (21,8 ммоль) хлорангидрида триметилуксусной кислоты. Реакционную смесь нагревают до комнатной температуры и перемешивают в течение 14 ч. Разбавляют дихлорметаном, промывают два раза водой и один раз солевым раствором, сушат над сульфатом магния. В результате очистки испарительной колоночной хроматографией (гексан/этилацетат= 9/1) получают 2,320 г (68%) сложного диэфира. 1Н ЯМР (CDCl3): 6,72 (м, 1Н), 5,04 (м, 1Н), 4,76 (м, 1Н), 4,40 (м, 1Н), 3,77 (с, 3Н), 2,72-2,49 (м, 2Н), 1,37 (с, 3Н), 1,23 (с, 9Н).
Пример 15Соединение 68. 2,32 г (2,3 ммоль) диэфира 67 растворяют в 100 мл смеси ацетон/вода (1/1) и нагревают до 55oС в течение 16 ч. Растворители отгоняют, затем добавляют воду (два раза порциями по 50 мл) и упаривают. После отгонки с толуолом (два раза по 50 мл) получают диол, который используют без дальнейшей очистки. 1Н ЯМР (CDCl3): 6,83 (м, 1Н), 5,06 (м, 1Н), 4,42 (м, 1Н), 4,09 (м, 1Н), 3,77 (с, 3Н), 2,68-2,41 (м, 2Н), 1,22 (с, 9Н).
Пример 16Соединение 69. 0,410 г (1,5 ммоль) диола 68 растворяют в 8 мл ТГФ, добавляют при 0oС 0,83 мл (6,0 ммоль) триэтиламина, а затем медленно 0,33 мл (4,5 ммоль) тионилхлорида. Реакционную смесь нагревают до комнатной температуры и перемешивают в течение 3 ч. Разбавляют хлороформом, промывают три раза водой, один раз солевым раствором и сушат над сульфатом натрия. В результате очистки испарительной колоночной хроматографией (гексан/этилацетат= 5/1) получают 0,430 г (90%) смеси экзо/эндо-продуктов. 1Н ЯМР (СDCl3): 6,89-6,85 (м, 1Н), 5,48-4,84 (м, 3Н), 3,80, 3,78 (с, 3Н), 2,90-2,60 (м, 2Н), 1,25, 1,19 (с, 9Н).
Пример 17Соединение 70. Смесь 0,400 г (1,3 ммоль) сульфона 68 и 0,410 г (6,29 ммоль) азида натрия растворяют в 10 мл ДМФА и перемешивают в течение 20 ч. Затем реакционную смесь разбавляют этилацетатом, промывают насыщенным раствором хлорида аммония, водой, солевым раствором и сушат над сульфатом натрия. После отгонки растворителя получают 0,338 г (90%) азида. 1Н ЯМР (CDCl3): 6,78 (м, 1Н), 5,32 (м, 1Н), 4,20 (м, 1Н), 3,89 (м, 1Н), 3,78 (с, 3Н), 3,00-2,60 (м, 2Н), 1,21 (с, 9Н).
Пример 18Соединение 71. 0,338 г (1,1 ммоль) спирта 70 растворяют в 11 мл дихлорметана, добавляют при 0oС 0,4 мл (2,9 ммоль) триэтиламина, а затем медленно добавляют 0,18 мл (2,3 ммоль) метилсульфохлорида. Реакционную смесь перемешивают при 0oС в течение 30 мин, затем разбавляют дихлорметаном. Органический слой промывают два раза водой, солевым раствором и сушат над сульфатом натрия. После очистки испарительной колоночной хроматографией (гексан/этилацетат= 3/1) получают 0,380 г (82%) целевого продукта. 1Н ЯМР (CDCl3): 6,82 (м, 1 Н), 5,44 (м, 1 Н), 4,76 (дд, J=7,3, 1,4 Гц, 1Н), 4,48 (м, 1Н), 3,80 (с, 3Н), 3,11 (с, 3Н), 2,82-2,61 (м, 2Н), 1,21 (с, 9Н).
Пример 19Соединение 72. Смесь 0,380 г (0,94 ммоль) азида 71 и 0,271 г (1,04 ммоль) трифенилфосфина Ph3P растворяют в 19 мл ТГФ и перемешивают в течение 2 ч. Реакционную смесь гасят 1,9 мл воды и 0,39 мл (2,82 ммоль) триэтиламина, перемешивают в течение 14 ч. Растворители отгоняют в вакууме. Смесь растворяют в 20 мл дихлорметана, при 0oС добавляют 0,68 мл (8,4 ммоль) пиридина, а затем медленно добавляют 0,30 мл (4,2 ммоль) ацетилхлорида. Перемешивают в течение 5 мин при 0oС и разбавляют этилацетатом. Промывают два раза водой, один раз солевым раствором и сушат над сульфатом магния. В результате очистки испарительной колоночной хроматографией (гексан/этилацетат=3/1) получают 0,205 г (83%) азиридина. 1Н ЯМР (CDCl3): 7,19 (м, 1Н), 5,58 (м, 1Н), 3,77 (с, 3Н), 3,14 (м, 2Н), 2,85 (дд, J=7,0, 1,6 Гц, 1Н), 2,34 (м, 1Н), 2,16 (с, 3Н), 1,14 (с, 9Н).
Пример 20Соединение 73. Смесь 0,200 г (0,68 ммоль) азиридина 72, 0,221 г (3,4 ммоль) азида натрия и 0,146 г (2,7 ммоль) хлорида аммония растворяют в 10 мл ДМФА и перемешивают при комнатной температуре в течение 14 ч. Затем разбавляют смесь этилацетатом, промывают пять раз водой, один раз солевым раствором и сушат над сульфатом магния. После очистки испарительной колоночной хроматографией (гексан/этилацетат=2/1) получают 0,139 г смеси целевого продукта с диацетиламином. Осадок растворяют в 2 мл уксусного ангидрида и перемешивают 2 ч. Избыток ангидрида отгоняют в вакууме и получают 149 мг целевого продукта. 1Н ЯМР (CDCl3): 6,76 (м, 1Н), 5,53 (д, J=8,5 Гц, 1Н), 5,05 (м, 1Н), 4,31 (м, 1Н), 4,08 (м, 1Н), 3,79 (с, 3Н), 2,91 (м, 1Н), 2,51 (м, 1Н), 1,99 (с, 3Н), 1,20 (с, 9Н).
Пример 21Соединение 74. К 149 мг (0,44 ммоль) эфира 73 добавляют 4,4 мл (2,2 ммоль) 0,5 М раствора КОН в метаноле, перемешивают при комнатной температуре в течение 3 ч. Смесь охлаждают до 0oС и подкисляют ионообменной смолой амберлит в Н-форме до рН 3-4. Смолу отфильтровывают и промывают метанолом. После отгонки растворителя получают 73 мг (69%) карбоновой кислоты в виде белого осадка. 1Н ЯМР (CD3OD): 6,62 (м, 1Н), 4,15 (м, 1Н), 3,95-3,72 (м, 2Н), 2,84 (дд, J=6,7, 1,4 Гц, 1Н), 2,23 (м, 1Н), 1,99 (с, 3Н).
Пример 22Соединение 75. 8 мг азида 74 и 15 мг катализатора Pd-C (катализатор Линдлара) добавляют в 2 мл этанола и перемешивают в потоке водорода в течение 16 ч. Затем реакционную смесь фильтруют через целитовый слой и промывают раствором вода/метанол (1/1). После отгонки растворителя получают твердый осадок. Его растворяют в воде, пропускают через короткую колонку с сорбентом С-8 и промывают водой. После отгонки растворителя получают 6 мг белого твердого вещества. 1Н ЯМР (D2O): 6,28 (м, 1Н), 4,06-3,85 (м, 3Н), 2,83 (дд, J= 17,7, 5,4 Гц, 1Н), 2,35 (м, 1Н), 2,06 (с, 3Н).
Пример 23Соединение 76. 68 мг (0,28 ммоль) карбоновой кислоты 74 и 61 мг (0,31 ммоль) дифенилдиазометана растворяют в 12 мл этанола и перемешивают в течение 16 ч. Реакционную смесь гасят 0,5 мл уксусной кислоты и перемешивают в течение 10 мин. Растворители отгоняют в вакууме. После очистки испарительной колоночной хроматографией (этилацетат) получают 56 мг (50%) сложного эфира. 1Н ЯМР (CD3OD): 7,36-7,23 (м, 10Н), 6,88 (с, 1Н), 6,76 (с, 1Н), 4,21 (м, 1Н), 3,93-3,79 (м, 2Н), 2,89 (дд, J=17,7, 5,0 Гц, 1Н), 2,34 (м, 1Н), 2,00 (с, 3Н).
Пример 24Соединение 77. 20 мг (0,05 ммоль) спирта 76 растворяют в 1 мл дихлорметана и добавляют 40 мкл (0,5 ммоль) пиридина, а затем медленно добавляют 24 мкл (0,25 ммоль) уксусного ангидрида. Реакционную смесь перемешивают в течение 24 ч, растворители и реагенты удаляют в вакууме. После очистки испарительной колоночной хроматографией (гексан/этилацетат=1/2) получают 20 мг (91%) диэфира. 1Н ЯМР (CDCl3): 7,40-7,27 (м, 10Н), 6,95 (с, 1Н), 6,87 (м, 1Н), 5,60 (м, 1Н), 5,12 (ддд, J=16,4, 10,2, 5,9 Гц, 1Н), 4,28 (дд, J=20,0, 9,4 Гц, 1Н), 4,15 (м, 1Н), 2,93 (дд, J=17,8, 5,2 Гц, 1Н), 2,57 (м, 1Н), 2,09 (с, 3Н), 2,01 (с, 3Н).
Пример 25Соединение 78. Смесь 20 мг (0,045 ммоль) диэфира 77, 50 мкл (0,45 ммоль) анизола и 1 мл трифторуксусной кислоты добавляют в 1 мл дихлорметана и перемешивают в течение 20 мин. Растворители и реагенты удаляют в вакууме. С помощью хроматографии (от этилацетата до смеси этилацет/уксусная кислота= 100/1) получают 6 мг карбоновой кислоты. 1Н ЯМР (CDCl3): 6,85 (м, 1Н), 5,54 (м, 1Н), 5,12 (м, 1Н), 4,31-4,03 (м, 2Н), 2,89 (м, 1Н), 2,60-2,41 (м, 1Н), 2,11 (с, 3Н), 2,03 (с, 3Н).
Пример 26Соединение 79. Смесь 6 мг (0,02 ммоль) азида 78 и 15 мг Pd-C катализатора Линдлара добавляют в 2,2 мл раствора этанол/вода (1/1), затем перемешивают в атмосфере водорода в течение 3 ч. Смесь фильтруют через целитовый слой и промывают горячим раствором метанол/вода (1/1). После отгонки растворителей получают белый осадок. Его растворяют в воде и пропускают через колонку с сорбентом С-8. После отгонки воды получают 3 мг белого порошка. 1Н ЯМР (D2O): 6,32 (м, 1Н), 5,06 (м, 1Н), 4,06 (т, J=10,4 Гц, 1Н), 3,84 (м, 1Н), 2,83 (м, 1Н), 2,42 (м, 1Н), 2,06 (с, 3Н), 2,00 (с, 3Н).
Пример 27Соединение 80. 35 мг (0,086 ммоль) спирта 76, 30 мг (0,172 ммоль) Вос-глицина и каталитическое количество DMAP растворяют в 1 мл дихлорметана, затем добавляют 35 мг (0,172 ммоль) карбодиимида DCC. Реакционную смесь перемешивают 30 мин, фильтруют и промывают хлороформом. Слой хлороформа промывают два раза водой. После отгонки растворителя получают белый твердый осадок. С помощью хроматографии (гексан/этилацетат=1/2) получают 30 мг продукта. 1Н ЯМР (CDCl3): 7,39-7,26 (м, 10Н), 6,95 (с, 1Н), 6,86 (м, 1Н), 6,86 (м, 1Н), 5,77 (м, 1Н), 5,27 (м, 1Н), 4,99 (м, 1Н), 4,18-4,01 (м, 2Н), 3,94-3,84 (м, 2Н), 2,96 (дд, J=7,8, 5,9 Гц, 1Н), 2,57 (м, 1Н), 2,02 (с, 3Н), 1,45 (с, 9Н).
Пример 28Соединение 81. 30 мг (0,05 ммоль) диэфира 80, 150 мкл анизола, 1 мл трифторуксусной кислоты добавляют в 1 мл дихлорметана и перемешивают в течение 3 ч. Затем растворители и реагенты упаривают. Реакционную смесь растворяют в воде и трижды промывают хлороформом. После упаривания водной фазы получают 15 мг белого твердого вещества. 1Н ЯМР (CD3OD): 6,73 (м, 1Н), 5,25-5,15 (м, 1Н), 4,35 (м, 1Н), 4,17 (м, 1Н), 3,82 (м, 2Н), 2,93 (дд, J= 17,7, 5,6 Гц, 1Н), 2,42(м,1Н), 1,97 (с, 3Н).
Пример 29Соединение 82. Смесь 15 мг (0,05 ммоль) азида 81 и 30 мг Pd-C катализатора Линдлара добавляют в 4 мл смеси этанол/вода (1/1) и перемешивают в атмосфере водорода в течение 3 ч. Затем смесь фильтруют через целитовый слой и промывают горячим раствором метанол/вода (1/1). После отгонки растворителя получают стеклообразный осадок, который растворяют в воде и пропускают через колонку с сорбентом С-8. После отгонки воды получают аминокислоту. 1Н ЯМР (D2O): 6,68 (м, 1Н), 5,28 (м, 1Н), 4,29 (м, 1Н), 4,08-3,79 (м, 3Н), 2,85 (м, 1Н), 2,41 (м, 1Н), 2,04 (с, 3Н).
Пример 30Бис-Вос-гуанидилметиловый эфир 92. Используют методику Кима и Квана, “Tetrahedron Lett. “, 34: 7677 (1993). 42 мг (0,154 ммоль) амина 91, 43 мг (0,155 ммоль) бис-Вос-тиомочевины и 72 мкл триэтиламина растворяют в 310 мкл сухого ДМФА, затем после охлаждении до 0oС добавляют одной порцией 46 мг (0,170 ммоль) хлорида ртути. Через 30 мин реакционную смесь нагревают до комнатной температуры и перемешивают еще 2,5 ч. Смесь отфильтровывают через целитовый слой, отгоняют растворитель и после очистки испарительной колоночной хроматографией (100% этилацетат) получают 70 мг (89%) вещества 92 в виде бесцветной пены. 1Н ЯМР (CDCl3, 300 МГц): 11,37 (с, 1Н); 8,60 (д, 1Н, J= 7,8 Гц); 6,83 (т, 1Н, J=2,1 Гц); 6,63 (д, 1Н, J=8,4 Гц); 4,76 (д, 1Н, J= 7,0 Гц); 4,71 (д, 1Н, J=7,0 Гц); 4,45-4,10 (комплексный м, 2Н); 3,76 (с, 3Н); 3,39 (с, 3Н); 2,84 (дд, 1Н, J=5,4, 17,4 Гц); 2,45-2,30 (м,1Н); 1,92 (с, 3Н); 1,49 (с, 18Н).
Пример 31Бис-Вос-гуанидилкарбоновая кислота 93. 70 мг (0,136 ммоль) сложного эфира 92 растворяют в 3 мл ТГФ, охлаждают до 0oС и добавляют 350 мкл 0,476 М водного раствора КОН. Затем реакционную смесь нагревают до комнатной температуры и перемешивают в течение 2 ч. Смесь подкисляют ионообменной смолой амберлит IR-120 в Н-форме до рН 4,5. Смолу отфильтровывают, промывают этанолом и водой. После отгонки растворителя в вакууме получают 66 мг (97%) карбоновой кислоты 93 в виде белого осадка. 1Н ЯМР (CDCl3, 300 МГц): 11,40 (шс, 1Н); 8,67 (д, 1Н, J=7,8 Гц); 6,89 (с, 1Н); 6,69 (шд, 1Н, J=8,4 Гц); 4,77(д, 1Н, J=7,2 Гц); 4,70 (д, 1Н, J=7,2 Гц); 4,40-4,15 (м, 2Н); 3,39 (с, 3Н); 2,84 (дд, 1Н, J=4,8, 17,1 Гц); 2,45-2,30 (м, 1Н); 1,95 (с, 3Н); 1,49 (с, 9Н); 1,48 (с, 9Н).
Пример 32Трифторацетат гуанидинкарбоновой кислоты 94. 23 мг (0,046 ммоль) бис-Вос-карбоновой кислоты 93 растворяют в 1 мл дихлорметана, охлаждают до 0oС и добавляют 500 мкл чистой трифторуксусной кислоты. Через 30 мин реакционную смесь нагревают до комнатной температуры и перемешивают еще 1,25 ч. Летучие компоненты отгоняют в вакууме, после упаривания остатка вместе с несколькими порциями воды получают светло-оранжевый осадок. Осадок очищают посредством хроматографии с обращением фаз на сорбенте С18, используя в качестве элюента воду. Собирают фракции, содержащие целевой продукт и после лиофилизации получают 15 мг вещества 94 в виде белого порошка. 1Н ЯМР (D2O, 500 МГц): 6,82 (т, 1Н, J=2,0 Гц); 4,51-4,47 (м, 1Н); 3,93 (дд, 1Н, J=9,0, 11,2 Гц); 3,87-3,80 (мнимые ддд, 1 Н); 2,88 (м, 1 Н); 2,48-2,45 (комплексный м); 2,07 (с, 3Н); 13С ЯМР (D2O): 176,1; 170,0; 157,1; 139,2; 129,5; 69,4; 56,2; 50,9; 30,3; 22,2.
Пример 33Синтез соединения 102. 24 мг (0,082 ммоль) азидоаллилового эфира 6 растворяют в 1 мл этанола и добавляют раствор в токе газообразного водорода (1 атм) над катализатором Линдлара 30 мг в течение 1,5 ч. Реакционную смесь фильтруют через целитовый слой и промывают горячим этанолом. После отгонки растворителя в вакууме получают светлый твердый осадок, который растворяют в 1,5 мл ТГФ и обрабатывают 246 мкл 0,50 М водного раствора КОН. После перемешивания в течение 2 ч при комнатной температуре реакционную смесь подкисляют ионообменной смолой амберлит IR-120 в Н-форме до рН 4,0, затем фильтруют, промывают этанолом и водой. После отгонки растворителя в вакууме получают оранжевый осадок, который очищают колоночной хроматографией на сорбенте C18 и промывают водой. Собирают фракции, содержащие целевой продукт, и после лиофилизации получают 1-2 смеси вещества 102 и насыщенного соединения 103 в виде белого порошка. 1Н ЯМР (D2O, 500 МГц): 7,85 (с, 1Н); 4,29 (шд, 1Н, J= 9,2 Гц); 4,16 (дд, 1Н, J=11,6, 11,6 Гц); 3,78-3,72 (м, 2Н); 3,62 (мнимые ддд, 1Н); 2,95 (мнимые дд, 1Н); 2,58-2,52 (м, 1Н); 2,11 (с, 3Н); 1,58 (к, 2Н, J=7,3 Гц); 0,91 (т, 3Н, J=7,3 Гц).
Пример 34Синтез соединения 115 10,7 мг (0,038 ммоль) аминокислоты 114 растворяют в 1,3 мл воды, охлаждают до 0oС и доводят 1,0 М раствором NaOH до рН 9,0. Затем добавляют одной порцией 26 мг (0,153 ммоль) гидрохлорида бензилформимидата и перемешивают реакционную смесь в течение 3 ч при температуре 0-5oС, поддерживая рН 8,5-9,0 при помощи 1,0 М NaOH. Затем отгоняют растворитель в вакууме, твердый остаток очищают хроматографией на сорбенте C18, используя в качестве элюента воду. Собирают фракции, содержащие целевой продукт, и после лиофилизации получают 10 мг формамидинкарбоновой кислоты 115 в виде белого порошка. 1Н ЯМР (D2O, 300 МГц, смесь изомеров): 7,83 (с, 1Н); [6,46 (с) и 6,43 (с); 1Н общий]; 4,83 (д, 1Н, J=7,3 Гц); 4,73 (д, 1Н, J=7,3 Гц); 4,50-4,35 (м, 1Н); 4,10-4,05 (м, 1Н); [4,03-3,95 (м) и 3,80-3,65 (м), 1Н общий] ; 3,39 (с, 3Н); 2,90-2,75 (м, 1Н); 2,55-2,30 (м, 1Н); [2,03 (с) и 2,01 (с), 3Н общий].
Пример 35Соединение 123. 5,842 г (20,5 ммоль) спирта 63 и 200 мг DMAP растворяют в 40 мл пиридина, затем добавляют 4,3 г (22,6 ммоль) тозилхлорида. Смесь перемешивают при комнатной температуре в течение 40 ч, отгоняют в вакууме пиридин. Реакционную смесь гасят водой, трижды экстрагируют этилацетатом. Объединенные органические экстракты последовательно промывают водой, солевым раствором и сушат над сульфатом магния. После очистки испарительной колоночной хроматографией (гексан/этилацетат=2/1) получают 8,04 г (89%) тозилата. 1Н ЯМР (CDCl3): 7,84 (д, J=8,3 Гц, 2Н), 7,33 (д, J=8,1 Гц, 2Н), 4,78 (м, 1Н), 4,43 (м, 1Н), 4,06 (м, 1Н), 3,79 (с, 3Н), 2,44 (с, 3Н), 2,43-1,92 (м, 4Н); 1,61-1,22 (м, 10Н).
Пример 36Соединение 124. 440 мг (1,0 ммоль) спирта 123 растворяют в 3 мл пиридина, затем добавляют 100 мкл (1,1 ммоль) РОCl3. Перемешивают при комнатной температуре в течение 12 ч и гасят насыщенным раствором хлорида аммония. Водную фазу трижды экстрагируют эфиром. Объединенные органические слои промывают два раза водой, два раза 2 М НСl, солевым раствором, сушат над сульфатом магния. После очистки испарительной колоночной хроматографией (гексан/этилацетат= 2/1) получают 350 мг (83%) целевого продукта 124, содержащего некоторые примесей (2/1). Пример 37 Соединение 1. 877 мг (3,85 ммоль) ацетонида метилового эфира шикимовой кислоты растворяют в 15 мл дихлорметана (“Tetrahedron Lett.”, 26:21 (1985)), при (-10)oС добавляют 330 мкл (4,23 ммоль) метансульфонилхлорида, а затем прибавляют по каплям 640 мкл (4,62 ммоль) триэтиламина. Раствор перемешивают в течение 1 ч при (-10)oС и в течение 2 ч при 0oС, добавляя при этом 30 мкл метансульфонилхлорида и 64 мкл триэтиламина. Через 1 ч добавляют холодную воду, отделяют органическую фазу, промывают водой, сушат над сульфатом магния и упаривают. После хроматографического разделения сырого продукта на силикагеле (1/1 гексан/этилацетат) получают 1,1 г (93%) мезилата 130 в виде масла. 990 мг (3,2 ммоль) мезилата 130 растворяют в 5 мл ТГФ и обрабатывают 5 мл 1 М НСl). Раствор перемешивают при комнатной температуре в течение 19 ч, разбавляют 5 мл воды и перемешивают еще 7 ч. После упаривания органического растворителя маслянистый осадок экстрагируют этилацетатом. Объединенные органические экстракты промывают солевым раствором, сушат над сульфатом магния и упаривают. После добавления к сырому остатку дихлорметана получают белое твердое вещество, которое фильтруют и промывают дихлорметаном, получая 323 мг (38%) диола 131. 260 мг (0,98 ммоль) диола 131 частично суспендируют в 5 мл ТГФ и при 0oС добавляют 154 мкл (1,03 ммоль) DBU. Раствор перемешивают в течение 3 ч при 0oС, затем нагревают до комнатной температуры и перемешивают еще 5 ч. После отгонки растворителя сырой остаток распределяют между 40 мл этилацетата и 20 мл 5% лимонной кислоты. Органическую фазу промывают солевым раствором. Водную фазу еще раз экстрагируют 15 мл этилацетата и объединенные органические экстракты сушат над сульфатом магния. После упаривания получают 117 мг (70%) эпоксида в виде белого твердого вещества, 1Н ЯМР спектр которого соответствует структуре 1, полученной по известному в литературе методу. Пример 38 Спирт 51. 342 мг (1,15 ммоль) спирта с защитной группой (РG=метоксиметил) растворяют в 10 мл дихлорметана и при 0oС добавляют 8 мл трифторуксусной кислоты. Через 5 мин раствор нагревают до комнатной температуры и перемешивают в течение 1 ч, затем упаривают. После очистки сырого продукта на силикагеле (этилацетат) получают 237 мг (82%) спирта 51 в виде масла. 1Н ЯМР (300 МГц, СDСl3): 2,11 (с, 3Н), 2,45 (м, 1Н), 2,97 (дц, 1Н, J=3,8, 18,8), 3,66 (м, 2Н), 3,78 (с, 3Н), 4,40 (шс, 1Н), 5,22 (шс, 1Н), 6,19 (шс, 1Н), 6,82 (м, 1Н).
Пример 39Метиловый эфир 150. 46 мг (0,18 ммоль) спирта 51 и 56 мкл (0,90 ммоль) йодистого метила растворяют в 0,7 мл ТГФ, затем при 0oС добавляют 8 мг (0,20 ммоль) гидрида натрия в виде 60% дисперсии в минеральном масле. Раствор перемешивают при 0oС в течение 2,5 ч и прибавляют еще 2 мг гидрида натрия. Через еще 1 ч раствор нагревают до комнатной температуры и через 4 ч снова охлаждают до 0oС и добавляют 0,5 мл 5% раствора лимонной кислоты. Смесь экстрагируют четыре раза этилацетатом (порциями по 2 мл), объединенные органические экстракты сушат над сульфатом магния и упаривают. После очистки сырого остатка на силикагеле (этилацетат) получают 12 мг (25%) метилового эфира 150 в виде твердого вещества. 1Н ЯМР (300 МГц, CDCl3): 2,07 (с, 3Н), 2,23-2,34 (м, 1Н), 2,89 (мнимые ддд, 1Н), 3,43 (с, 3Н), 3,58 (м, 1Н), 3,78 (с, 3Н), 4,13 (м, 1Н), 4,40 (м, 1Н), 5,73 (д, 1H, J=7,6), 6,89 (м, 1H).
Пример 40Аминокислота 151. 12 мг (0,45 ммоль) метилового эфира 150 растворяют в смеси 1 мл ТГФ и 100 мкл воды, добавляют 75 мг трифенилосфина Ph3P на полимерном носителе (3 ммоль фосфора/г смолы). Реакционную смесь перемешивают при комнатной температуре в течение 19 ч. Смолу фильтруют, промывают несколько раз ТГФ. После упаривания объединенных фильтратов и промывных жидкостей получают 8 мг сырого остатка. Остаток растворяют в 0,5 мл ТГФ и добавляют 132 мкл 0,5 М раствора КОН и 250 мкл воды. Раствор перемешивают при комнатной температуре в течение 1,25 ч, ионообменной смолой IR-120 в Н-форме доводят рН до 3-4. Смолу отфильтровывают, перемешивают с 1 М раствором соляной кислоты. После фильтрации повторяют обработку 1 М раствором НСl до отсутствия положительной реакции на амин с нингидрином. Объединенные промывные жидкости упаривают и очищают остаток обращенно-фазной хроматографией с обращением фаз на силикагеле С18 (элюент вода). После лиофилизации получают 1,8 мг (15%) аминокислоты 151 в виде белого твердого вещества. 1Н ЯМР (300 МГц, D2O): 2,09 (с, 3Н), 2,48-2,59 (мнимые кт, 1Н), 2,94 (дд, 1Н, J=5,7, 17,4), 3,61 (м, 1Н), 4,14-4,26 (м, 2Н), 6,86 (шс, 1Н).
Пример 41Смесь аминокислоты и аллилового эфира 153. 16 мг (0,054 ммоль) азида 6 растворяют в 0,50 мл ТГФ и 35 мкл воды, добавляют 50 мг трифенилфосфина PPh3 на полистирольном носителе. Перемешивают при комнатной температуре в течение 24 ч, фильтруют через воронку из пористого стекла и промывают горячим метанолом. После отгонки растворителя в вакууме получают сырой аминоэфир, который растворяют в 1,0 мл ТГФ и обрабатывают 220 мкл 0,5 М водного раствора КОН. Перемешивают при комнатной температуре в течение 2 ч и доводят рН до 4,5 ионообменной смолой амберлит IR-120 в Н-форме. Смолу отфильтровывают, промывают этанолом и водой. После отгонки растворителя в вакууме получают светло-оранжевый твердый осадок, который очищают хроматографией с обращением фаз на сорбенте С18 с использованием в качестве элюента воды. Собирают фракции, содержащие целевой продукт, и после лиофилизации получают аминокислоту в виде белого порошка. 1Н ЯМР (D2O, 300 МГц): 6,51 (шт, 1Н); 6,05-5,80 (м, 1Н, -СН=, аллил); 5,36-5,24 (м, 2Н, =СН2, аллил); 4,35-4,25 (м, 1Н); 4,25-4,05 (м, 2Н, -СН2-, аллил); 4,02-3,95 (м, 1Н); 3,81-3,70 (м, 1Н); 2,86-2,77 (мнимые дд, 1Н); 2,35-2,24 (комплексный м, 1Н); 2,09 (с, 3Н).
Пример 42Эпоксид 161. 532 мг (1,61 ммоль) олефина 160, полученного как указано в примере 14 (перед использованием сырой мезилат фильтруют через силикагель с использованием 30% раствора гексана в этилацетате), растворяют в 15 мл дихлорметана и добавляют при 0oС 690 мг МСРВА. Реакционную смесь нагревают до комнатной температуры и перемешивают в течение ночи. Основную часть растворителя отгоняют в вакууме, смесь разбавляют этилацетатом. Органический слой промывают водным раствором бисульфита натрия, насыщенным раствором бикарбоната натрия, солевым раствором и сушат над сульфатом магния. Растворитель отгоняют в вакууме и после испарительной колоночной хроматографии (30% раствор гексана в этилацетате) получают 437 мг (78%) вещества 161 в виде светлого масла. 1Н ЯМР (CDCl3, 300 МГц): [1:1 смесь диастереомеров]: [4,75 (дд, J= 3,9, 8,2 Гц) и 4,71 (дд, J=3,9, 8,4 Гц), 1Н общий]; 4,37 (м, 1Н); 4,25-4,00 (м, 2Н); 3,78 (с, 3Н); [3,68 (дд, J=5,7, 11,7 Гц) и 3,51 (дд, J= 6,6, 11,7 Гц), 1Н общий]; [3,17 (с) и 3,16 (с), 3Н общий]; [2,99 (м) и 2,93 (м), 1Н общий]; [2,83 (т, J=4,1 Гц) и 2,82 (т, J=4,5 Гц), 1Н общий]; 2,70-2,60 (м, 1Н); 2,45-2,30 (м, 1Н).
Пример 43Диол 162. 437 мг (1,23 ммоль) эпоксида 161 осторожно кипятят в течение часа с обратным холодильником в смеси 20 мл ТГФ и 10 мл воды, содержащей 5 капель 70% НСlO4. Добавляют твердый гидрокарбонат натрия и отгоняют растворитель в вакууме. Остаток растворяют в этилацетате, промывают солевым раствором и сушат. После отгонки растворителя в вакууме получают сырой диол 162 в виде светлого масла с количественным выходом. Используют без дальнейшей очистки для последующей реакции. Пример 44 Альдегид 163. Окисление диола 162 проводят по методике Во-Кванга и др., “Synthesis”, 68 (1988). 4,3 г силикагеля суспендируют в 30 мл дихлорметана, добавляют 4,4 мл 0,65 М водного раствора NaIO4. 520 мг сырого диола 162 растворяют в 5 мл этилацетата и 15 мл дихлорметана, добавляют этот раствор в полученную ранее суспензию. Через час твердую фазу отфильтровывают и промывают 20% раствором гексана в этилацетате. После отгонки растворителя получают маслянистый осадок, который растворяют в этилацетате и сушат над сульфатом магния. После отгонки растворителя в вакууме получают альдегид 163 в виде светлого масла, которое сразу же используют в следующей реакции. 1Н ЯМР (300 МГц, CDCl3): 9,69 (с, 1Н); 6,98 (м, 1Н); 4,72 (дд, 1H, J=3,7, 9,1 Гц); 4,53 (д, 1Н, J=18, 3Гц); 4,45 (д, 1Н, J=18,3 Гц); 4,31 (м, 1Н); 4,26-4,18 (м, 1Н); 3,79 (с, 3Н); 3,19 (с, 3Н); 3,05 (дд, 1Н, J=5,7, 18,6 Гц); 2,20-2,45 (м, 1Н).
Пример 45Спирт 164. Сырой альдегид 163 обрабатывают NaCNBH3 по методике Борча и кол. , “J. Amer. Chem. Soc.”, 93:2897 (1971). После испарительной хроматографии (40% раствор гексана в этилацетате) получают 269 мг (65%) спирта 164. 1Н ЯМР (300 МГц, CDCl3): 6,91 (м, 1Н); 4,75 (дд, 1Н, J=3,9, 8,7 Гц); 4,34 (шт, 1Н, J=4,1 Гц); 4,25-4,15 (м, 1Н); 3,85-3,70 (м, 4Н); 3,77 (с, 3Н); 3,16 (с, 3Н); 2,95 (дд, 1H, J=5,7, 18,6 Гц); 2,37 (дд, 1H, J=7,1, 18,6 Гц); 2,26 (шс, 1Н).
Пример 46Азиридин 165. 208 мг (0,62 ммоль) спирта 164 ацетилируют обычным способом (ацетилхлорид, пиридин, дихлорметан, катализатор DMAP) и получают 241 мг (100%) ацетата. 155 мг трифенилфосфина Ph3P растворяют в 12 мл ТГФ и обрабатывают этим раствором 202 мг (0,54 ммоль) сырого ацетата в течение 2 ч при комнатной температуре. Добавляют 1,1 мл воды и 224 мкл триэтиламина, перемешивают в течение ночи. Отгоняют растворитель и распределяют твердую фазу между этилацетатом и смесью насыщенный раствор бикарбоната натрия/ солевой раствор. Органический слой сушат, отгоняют растворитель в вакууме и после испарительной хроматографии (10% раствор метанола в этилацетате) получают 125 мг (90%) азиридина 165 в виде белого твердого вещества. 1Н ЯМР (300 МГц, CDCl3): 6,80 (м, 1 Н); 4,44 (шс, 1Н); 4,23 (т, 2Н, J=4,8 Гц); 3,82-3,65 (м, 2Н); 3,74 (с, 3Н); 2,85 (шд, 1Н, J=19,2 Гц); 2,65-2,40 (м, 3Н); 2,09 (с, 3Н); 1,25 (шс, 1Н).
Пример 47N-Boc-азиридин 166. 125 мг (0,49 ммоль) азиридина 165, 70 мкл триэтиламина и каталитическое количество DMAP растворяют в 7 мл дихлорметана, добавляют 113 мг (0,52 ммоль) Вос-ангидрида. Через час отгоняют растворитель и после испарительной хроматографии (40% раствор этилацетата в гексане) из остатка получают 154 мг (88%) N-Boc-азиридина 166 в виде светлого масла. 1Н ЯМР (300 МГц, CDCl3): 6,82 (м, 1Н); 4,47 (шм, 1Н); 4,23 (т, 2Н, J=4,7 Гц); 3,81 (т, 2Н, J=4,7 Гц); 3,75 (с, 3Н); 3,00 (шд, 1Н, J=18,0 Гц); 2,90-2,85 (м, 2Н); 2,65-2,55 (м, 1Н); 2,10 (с, 3Н), 1,44 (с, 9Н).
Пример 48Азидоэфир 167. 154 мг (0,43 ммоль) азиридина 166, 216 мг азида натрия и 223 мг хлорида аммония нагревают при 100oС в 5 мл ДМФА в течение 18 ч. Смесь охлаждают и распределяют между этиловым эфиром и солевым раствором. Эфирный слой промывают водой, солевым раствором и сушат над сульфатом магния. После отгонки растворителя получают сырой остаток, который обрабатывают 40% раствором трифторуксусной кислоты в дихлорметане при комнатной температуре. Через 2 ч отгоняют в вакууме растворитель, полученное светлое масло пропускают через короткую колонку с силикагелем (элюент – этилацетат). Затем продукт ацилируют обычным способом (ацетилхлорид, пиридин, дихлорметан, каталитическое количество DMAP). После испарительной хроматографии (5% раствор метанола в хлороформе) получают 16 мг (11% после трех стадий) азидоэфира 167 в виде светло-желтого масла. 1Н ЯМР (300 МГц, CDCl3): 6,85 (м, 1Н); 5,80 (шд, 1Н, J=7,8 Гц); 4,55 (м, 1Н); 4,25-4,10 (м, 3Н); 3,90-3,85 (м, 2Н); 3,78 (с, 3Н); 3,55 (м, 1Н); 2,90 (дд, 1Н, J=5,4, 17,0 Гц); 2,45-2,25 (м, 1Н); 2,10 (с, 3Н), 2,05 (с, 3Н).
Пример 49Аминокислота 168. 16 мг (0,047 ммоль) эфира 167 растворяют в 1 мл ТГФ, охлаждают до 0oС и добавляют 208 мкл 0,476 М водного раствора КОН. Реакционную смесь нагревают до комнатной температуры и перемешивают в течение 2 ч. С помощью ионообменной смолы амберлит IR-120 в Н-форме доводят рН до 4,0. Смолу отфильтровывают, промывают этанолом и водой. После отгонки растворителя в вакууме получают 14 мг (100%) азидокарбоновой кислоты в виде белого твердого вещества. Азидокислоту растворяют в 2 мл этанола и обрабатывают током водорода (1 атм) над 15 мг катализатора Линдлара в течение 16 ч согласно методике Кори и др., “Synthesis”, 590, (1975). Реакционную смесь фильтруют через целитовый слой, промывают горячим этанолом и водой. После отгонки растворителя в вакууме получают светло-оранжевый твердый осадок, который очищают колоночной хроматографией с обращением фаз на сорбенте C18 (элюент – вода). Собирают фракции, содержащие целевой продукт, и после лиофилизации получают 9,8 мг вещества 168 в виде белого порошка. 1Н ЯМР (500 МГц, D2O): 6,53 (шс, 1Н); 4,28 (шм, 1Н); 4,08 (дд, 1Н, J=11,0, 11,0 Гц); 3,80-3,65 (комплексный м, 4Н); 3,44 (м, 1Н); 2,84 (мнимые дд, 1Н); 2,46-2,39 (комплексный м, 1Н); 2,08 (с, 3Н).
Пример 50Эпокси MOM простой эфир 19 (РG=метоксиметил). Эфир получают с выходом 74% из спирта 1 по методике Мордини и кол., “J. Org. Chem.”, 59:4784 (1994). 1Н ЯМР (300 МГц, CDCl3): 6,73 (м, 1Н); 4,87 (с, 2Н); 4,59 (т, 1Н, J=2,4 Гц); 3,76 (с, 3Н); 3,57 (м, 1Н); 3,50-3,40 (м, 1Н); 3,48 (с, 3Н); 3,10 (д, J=19,5 Гц); 2,45 (м, 1Н).
Пример 51Азиридин 170. Азиридин получают с выходом 77% из эпоксида 19 (РG=метоксиметил) по основной методике, описанной в примерах 3 и 4. 1Н ЯМР (300 МГц, CDCl3): 6,85 (м, 1Н); 4,78 (с, 2Н); 4,54 (м, 1Н); 3,73 (с, 3Н); 3,41 (с, 3Н); 2,87 (д, 1Н, J=18,9 Гц); 2,70-2,45 (м, 3Н).
Пример 52Азидоэфир 22 (РG=метоксиметил). 329 мг (1,54 ммоль) азиридина 170, 446 мг NaN3 и 151 мг хлорида аммония нагревают при 65oС в 20 мл ДМФА в течение 18 ч. Смесь охлаждают и распределяют между этиловым эфиром и солевым раствором. Эфирный слой промывают водой, солевым раствором и сушат над сульфатом магния. После отгонки растворителя в вакууме получают сырой азидоамин в виде светлого масла, которое растворяют в 15 мл дихлорметана и затем обрабатывают 4 мл пиридина и 150 мкл ацетилхлорида. После этого с помощью испарительной хроматографии из остатка получают 350 мг (76%) азидоэфира 22 (РG=метоксиметил) в виде светлого масла.1Н ЯМР (300 МГц, CDCl3): 6,78 (с, 1Н); 6,39 (шд, 1Н, J= 7,8 Гц); 4,72 (д, 1Н, J=6,9 Гц); 4,66 (д, 1Н, J=6,9 Гц); 4,53 (шд, 1Н, J=8,4 Гц); 4,00-3,90 (м, 1Н); 3,80-3,65 (м, 1Н); 3,75 (с, 3Н); 3,37 (с, 3Н); 2,85 (дд, 1Н, J=5,4, 17,7 Гц); 2,35-2,20 (м, 1Н); 2,04 (с, 3Н).
Пример 53Аминокислота 114. 39 мг (0,131 ммоль) азида 22 (РG=метоксиметил) обрабатывают в потоке газообразного водорода (1 атм) над 39 мг катализатора Линдлара в этаноле в течение 2,5 ч согласно методике Кори и др., “Synthesis”, 590 (1975). Реакционную смесь фильтруют через целитовый слой, промывают горячим этанолом и после отгонки растворителя получают 33 мг (92%) сырого амина в виде светлого пенообразного продукта, который растворяют в 1 мл ТГФ и обрабатывают 380 мкл 0,476 М водного раствора КОН. Через час реакционную смесь подкисляют до рН 4,0 с помощью ионообменной смолы амберлит IR-120 в Н-форме. Смолу отфильтровывают, промывают водой и после отгонки растворителя получают светлый твердый осадок, который очищают колоночной хроматографией с обращением фаз на сорбенте C18 (элюент – вода). Собирают фракции, содержащие продукт, и после лиофилизации получают 20 мг вещества 114 в виде белого порошка. 1Н ЯМР (D2O, 300 МГц): 6,65 (с, 1Н); 4,87 (д, 1Н, J=7,5 Гц); 4,76 (д, 1Н, J=7,5 Гц); 4,47 (шд, 1Н, J=8,7 Гц); 4,16(дд, 1H, J=11,4, 11,4 Гц); 3,70-3,55 (м, 1Н); 3,43 (с, 3Н); 2,95 (дд, 1Н, J=5,7, 17,4 Гц); 2,60-2,45 (м, 1Н); 2,11 (с, 3Н).
Пример 54Аминокислота 171. К 4 мг (0,015 ммоль) твердой аминокислоты 114 добавляют 1 мл предварительно охлажденного до 0oС 40% раствора трифторуксусной кислоты в дихлорметане. После перемешивания при комнатной температуре в течение 1,5 ч отгоняют растворитель и получают белый пенообразный продукт. Несколько раз упаривают воду и с помощью лиофилизации получают 5,5 мг трифторацетата вещества 117 в виде твердого белого осадка. 1Н ЯМР (D2O, 300 МГц): 6,85 (м, 1Н); 4,45 (м, 1Н); 4,05 (дд, 1Н, J=11,4, 11,4 Гц); 3,65-3,55 (м, 1Н); 3,00-2,90 (м, 1Н); 2,60-2,45 (м, 1Н); 2,09 (с, 3Н).
Пример 55Ацетонид 180. 25 г (144 ммоль) шикимовой кислоты (Aldrich) суспендируют в 300 мл метанола, добавляют 274 мг (1,44 ммоль) п-толуолсульфокислоты (1% мол) и кипятят с обратным холодильником в течение 2 ч. Добавляют 1 мол.% п-толуолсульфокислоты и кипятят реакционную смесь с обратным холодильником еще 26 ч, после чего упаривают. 28,17 г сырого метилового эфира суспендируют в 300 мл ацетона, обрабатывают 35 мл (288 ммоль) диметоксипропана и перемешивают при комнатной температуре в течение 6 ч, затем упаривают. Сырой продукт растворяют в 400 мл этилацетата, промывают три раза насыщенным раствором гидрокарбоната натрия (порциями по 125 мл), а затем насыщенным раствором хлорида аммония. Органическую фазу сушат над сульфатом магния, фильтруют и после выпаривания получают приблизительно 29,4 г сырого ацетонида 180, который используется без дальнейшей очистки. 1Н ЯМР (CDCl3): 6,91 (т, 1Н, J=1,1 Гц), 4,74 (т, 1Н, J=4,8 Гц), 4,11 (т, 1Н, J=6,9 Гц), 3,90 (м, 1Н), 2,79 (дд, 1Н, J=4,5, 17,4 Гц), 2,25 (м, 2Н), 1,44 (с, 3Н), 1,40(с, 3Н).
Пример 56Мезилат 130. 29,4 г (141 ммоль) ацетонида 180 растворяют в 250 мл дихлорметана, добавляют при 0oС 29,5 мл (212 ммоль) триэтиламина, а затем в течение 10 мин добавляют 13,6 мл (176 ммоль) метансульфонилхлорида. Реакционную смесь перемешивают при 0oС в течение часа и добавляют 250 мл воды со льдом. Органическую фазу промывают на делительной воронке сначала 300 мл 5% лимонной кислоты, затем 300 мл насыщенного раствора гидрокарбоната натрия и сушат над сульфатом магния. Фильтруют и упаривают. Сырой продукт фильтруют через слой силикагеля на воронке из пористого стекла (элюент – этилацетат). Фильтрат упаривают и получают 39,5 г (91%) мезилата 130 в виде вязкого масла, которое используют далее без дополнительной очистки. 1Н ЯМР (CDCl3): 6,96 (м, 1Н), 4,80 (м, 2Н), 4,28 (дд, 1Н, J=6,6, 7,5 Гц), 3,79 (с, 3Н), 3,12 (с, 3Н), 3,01 (дд, 1Н, J=5, 17,7 Гц), 2,56-2,46 (м, 1Н).
Пример 57Диол 131. 35,85 г (117 ммоль) мезилата 130 растворяют в 500 мл метанола, добавляют 1,11 г (5,85 ммоль) п-толуолсульфокислоты (5 мол.%). Кипятят раствор с обратным холодильником в течение 1,5 ч и упаривают. Остаток снова растворяют в 500 мл метанола, кипятят с обратным холодильником 4 ч. Растворитель упаривают, сырое масло обрабатывают 250 мл диэтилового эфира. Кристаллизуют при 0oС в течение ночи, затем фильтруют твердый осадок, промывают холодным диэтиловым эфиром и сушат. Получают 24,76 г диола 131 в виде белого твердого вещества. Упаривание фильтрата и кристаллизация остатка из смеси метанол/диэтиловый эфир позволяет получить дополнительно 1,55 г продукта. В итоге получают 26,3 г (85%) диола 131. 1Н ЯМР (СD3ОD): 6,83(м, 1Н), 4,86 (м, 1Н), 4,37 (т, 1Н, J=4,2 Гц), 3,87 (дд, 1Н, J=4,2, 8,4 Гц), 3,75 (с, 3Н), 3,13 (с, 3Н), 2,98-2,90 (м, 1Н), 2,53-2,43 (м, 1Н).
Пример 58Эпоксиспирт 1. 20,78 г (78 ммоль) диола 131 суспендируют в 400 мл ТГФ, обрабатывают при 0oС 11,7 мл (78 ммоль) 1,8-диазабицикло[5.4.0]ундец-7-ена и перемешивают при комнатной температуре в течение 9 ч до полного завершения реакции. Реакционную смесь упаривают, сырой остаток растворяют в 200 мл дихлорметана и промывают 300 мл насыщенного раствора NaCl Водную фазу дважды экстрагируют дихлорметаном (порциями по 200 мл). Объединенные органические экстракты сушат над сульфатом магния, фильтруют и упаривают. Сырой продукт очищают на силикагеле (этилацетат) и получают 12 г (90%) эпоксиспирта 1 в виде белого твердого вещества. 1Н ЯМР продукта соответствует литературным данным: Д.А. МакГоуэн, Г.А. Берчтольд, “J. Org. Chem.”, 46:2381 (1981). Пример 59 Метоксиметиловый эфир 22 (РG=метоксиметил). 4 г (23,5 ммоль) эпоксиспирта 1 растворяют в 100 мл дихлорметана, затем добавляют 12,3 мл (70,5 ммоль) N, N-диизопропилэтиламина и 3,6 мл (47 ммоль) хлорметилметилового эфира, полученного с помощью перегонки технического реактива. Раствор кипятят с обратным холодильником в течение 3,5 ч, после чего упаривают растворитель. Остаток распределяют между 200 мл этилацетата и 200 мл воды. Водную фазу экстрагируют 100 мл этилацетата. Объединенные органические экстракты промывают 100 мл насыщенного раствора NaCl, сушат над сульфатом магния, фильтруют и упаривают. Получают 4,9 г твердого осадка, который используют далее без дополнительной очистки: т.пл. 62-65oС (сырой продукт); т.пл. 64-66oС (диэтиловый эфир/гексан); 1Н ЯМР (CDCl3): 6,73 (м, 1 Н), 4,87 (с, 2Н), 4,59 (м, 1Н), 3,75 (с, 3Н), 3,57 (м, 1Н), 3,48 (м перекрывающий с, 4Н), 3,07 (дд, 1Н, J=1,2, 19,8 Гц), 2,47 (дк, 1Н, J=2,7, 19,5 Гц).
Этиловый эфир соединения 22: 12,0 г (0,065 моль) соответствующего этилового эфира соединения 1 растворяют в 277 мл дихлорметана, затем при комнатной температуре последовательно добавляют 34,0 мл (0,13 моль) диизопропиламина и 10,0 мл (0,19 моль) хлорметилметилового эфира. Реакционную смесь осторожно кипятят с обратным холодильником в течение 2 ч, охлаждают, отгоняют растворитель в вакууме, распределяют остаток между этилацетатом и водой. Отделяют органический слой и промывают его разбавленной НСl, насыщенным раствором бикарбоната натрия, солевым раствором и сушат над сульфатом магния. Отгоняют растворитель в вакууме и после испарительной хроматографии на силикагеле (50% раствор гексана в этилацетате) получают 13,3 г (90%) соответствующего этилового эфира соединения 22 в виде бесцветной жидкости. 1Н ЯМР (300 МГц, CDCl3): 6,73-6,71 (м, 1Н); 4,87 (с, 2Н); 4,61-4,57 (м, 1Н); 4,21 (к, 2Н, J=7,2 Гц); 3,60-3,55(м, 1Н); 3,50-3,45 (м, 1Н); 3,48 (с, 3H); 3,12-3,05 (м, 1Н); 2,52-2,42 (м, 1H); 1,29 (т, 3Н, J=7,2 Гц).
Пример 60Спирт 181. 4,9 г (22,9 ммоль) метоксиметилового эфира 22 (РG=метоксиметил) растворяют в 175 мл смеси метанол/вода (8/1 об.), добавляют 7,44 г (114,5 ммоль) азида натрия и 2,69 г (50,4 ммоль) хлорида аммония. Смесь кипятят с обратным холодильником в течение 15 ч, затем разбавляют реакционную смесь 75 мл воды для растворения образовавшегося осадка и отгоняют метанол. Полученную водную фазу вместе с маслянистым осадком разбавляют водой до 200 мл и экстрагируют три раза этилацетатом (порциями по 100 мл). Объединенные органические экстракты промывают 100 мл насыщенного раствора NaCl, сушат над сульфатом магния, фильтруют и упаривают. Сырой продукт очищают на силикагеле (смесь гексан/этилацетат=1/1) и получают 5,09 г (86%) спирта 181 в виде светло-желтого масла, которое используется далее без дополнительной очистки. 1Н ЯМР (CDCl3): 6,86 (м, 1Н), 4,79 (с, 2Н), 4,31 (шт, 1Н, J=4,2 Гц), 3,90-3,75, 3,77 (м перекрывающий с, 5Н), 3,43 (с, 3Н), 2,92 (д, 1Н, J=6,6 Гц), 2,87 (дд, 1Н, J=5,4, 18,6 Гц), 2,21-2,30 (м, 1Н).
Пример 61Мезилат 184. 6,47 г (25,2 ммоль) спирта 181 растворяют в 100 мл дихлорметана, при 0oС последовательно добавляют 4,4 мл (31,5 ммоль) триэтиламина и 2,14 мл (27,7 ммоль) метансульфонилхлорида. Реакционную смесь перемешивают при 0oС в течение 45 мин, затем нагревают до комнатной температуры и перемешивают еще 15 мин. Смесь упаривают, остаток распределяют между 200 мл этилацетата и 100 мл воды. Промывают органическую фазу 100 мл воды, 100 мл насыщенного раствора гидрокарбоната натрия и 100 мл насыщенного раствора NaCl. Водные промывки экстрагируют одной порцией этилацетата и снова промывают, как описано ранее, насыщенными растворами гидрокарбоната натрия и NaCl. Объединенные органические экстракты сушат над сульфатом магния, фильтруют и упаривают. Полученный сырой продукт используют далее без дополнительной очистки. 1Н ЯМР (CDCl3): 6,85 (м, 1Н), 4,82 (д, 1Н, J=6,9), 4,73 (д, 1Н, J=6,9), 4,67 (дд, 1Н, J=3,9, 9,0 Гц), 4,53 (шт, 1Н, J=4,2 Гц), 3,78 (с, 3Н), 3,41 (с, 3Н), 3,15 (с, 3Н), 2,98 (дд, 1Н, J=6,0, 18,6 Гц), 2,37 (м, 1Н); 13С ЯМР (CDCl3): 165,6, 134,3, 129,6, 96,5, 78,4, 69,6, 55,8, 55,7, 52,1, 38,2, 29,1.
Пример 62Азиридин 170. 8,56 г (25 ммоль) мезилата 184 растворяют в 150 мл ТГФ, добавляют при 0oС 8,2 г (31 ммоль) трифенилфосфина Ph3P: сначала в раствор при охлаждении добавляют одну треть всего количества Ph3P, затем убирают ледяную баню и в течение 10-15 мин добавляют оставшиеся 2/3 вещества. Затем реакционную смесь перемешивают при комнатной температуре в течение 3 ч, при этом выпадает белый осадок. В полученную суспензию добавляют 5,2 мл (37,5 ммоль) триэтиламина и 10 мл воды, перемешивают при комнатной температуре в течение 12 ч. Отгоняют ТГФ, остаток распределяют между 200 мл дихлорметана и 200 мл насыщенного раствора NaCl Водную фазу экстрагируют несколькими порциями дихлорметана и объединенные органические экстракты сушат над сульфатом натрия. После фильтрации и отгонки растворителя получают сырой продукт, который очищают на силикагеле (10% раствор метанола в этилацетате). Получают 4,18 г (78%) азиридина 170 масла, который обычно содержит следы оксида трифенилфосфина. 1Н ЯМР (СDСl3): 6,81 (м, 1Н), 4,78 (с, 2Н), 4,54 (м, 1Н), 3,73 (с, 3Н), 3,41 (с, 3Н), 2,87 (мнимые дд, 1Н), 2,64 (шс, 1Н), 2,56-2,47 (м, 2Н), нет NH-сигнала; 13С ЯМР (CDCl3): 166,9, 132,5, 128,0, 95,9, 69,5, 55,2, 51,6, 31,1, 27,7, 24,1.
Пример 63Амин 182. 3,2 г (15 ммоль) азиридина 170 растворяют в 30 мл ДМФА, затем раствор упаривают в вакууме на ротационном испарителе (40oС) в течение нескольких минут для дегазации раствора. Добавляют 4,9 г (75 ммоль) азида натрия и 1,6 г (30 ммоль) хлорида аммония, смесь нагревают в течение 21 ч при температуре 65-70oС. Охлаждают до комнатной температуры, разбавляют примерно 100 мл этилацетата и фильтруют. Фильтрат упаривают, остаток распределяют между 100 мл диэтилового эфира и 100 мл насыщенного раствора NaCl Органическую фазу снова промывают 100 мл насыщенного раствора NaCl, сушат над сульфатом магния, фильтруют и упаривают. Дополнительное количество сырого продукта получают из водных промывок путем экстракции этилацетатом и обрабатывают описанным выше способом. Сырой продукт очищают на силикагеле (5% раствор метанола в дихлорметане), получают 2,95 г амина 182 в виде масла, который содержит небольшое количество примеси оксида трифенилфосфина с предыдущей стадии (см. пример 62). 1Н ЯМР(СDСl3): 6,82(т, 1H, J=2,3), 4,81 (д, 1Н, J= 7,2), 4,77 (д, 1Н, J=6,9), 4,09-4,04 (м, 1Н), 3,76 (с, 3Н), 3,47 и 3,44 (м перекрывающий с, 4Н), 2,94-2,86 (м, 2Н), 2,36-2,24 (м, 1Н); 13С ЯМР (CDCl3): 165,9, 137,3, 128,2, 96,5, 79,3, 61,5, 55,7, 55,6, 51,9, 29,5.
Пример 64N-тритилазиридин 183. 2,59 г (10,2 ммоль) амина 182 растворяют в 30 мл метанольного 5% раствора соляной кислоты и перемешивают при комнатной температуре в течение 3 ч. Затем добавляют еще 10 мл 5% метанольного раствора соляной кислоты и перемешивают в течение часа. После отгонки растворителя в вакууме получают 2,52 г солянокислой соли в виде рыжевато-коричневого осадка. Соль суспендируют в 50 мл дихлорметана и при 0oС последовательно добавляют 3,55 мл (25,5 ммоль) триэтиламина и порцию 5,55 г (12,8 ммоль) твердого тритил хлорида. Реакционную смесь перемешивают при 0oС в течение часа, нагревают до комнатной температуры и перемешивают еще 2 ч. Охлаждают до 0oС, добавляют 3,6 мл (25,5 ммоль) триэтиламина и 0,97 мл (12,5 ммоль) метансульфонилхлорида, перемешивают полученную смесь в течение 1 ч при 0oС, а затем 22 ч при комнатной температуре. Упаривают и распределяют остаток между 200 мл диэтилового эфира и 200 мл воды. Промывают органическую фазу 200 мл воды и экстрагируют объединенные водные фазы 200 мл диэтилового эфира. Объединенные органические экстракты промывают 100 мл воды и 200 мл насыщенного раствора NaCl, сушат над сульфатом натрия, фильтруют и упаривают. Сырой продукт очищают на силикагеле (гексан/дихлорметан=1/1) и получают 3,84 г (86%) N-тритилазиридина 183 в виде белого пенообразного продукта. 1Н ЯМР (СDСl3): 7,4-7,23 (м, 16Н), 4,32 (м, 1Н), 3,81 (с, 3Н), 3,06 (дт, 14, J=1,8, 17,1), 2,94-2,86 (м, 1Н), 2,12 (м, 1Н), 1,85 (т, 1Н, J= 5,0).
Пример 65Соединение 190. Раствор 100 мг (0,23 ммоль) N-тритилазиридина 183, 2 мл циклогексанола и 42 мкл (0,35 ммоль) эфирата трифторида бора нагревают при 70oС в течение 1,25 ч и упаривают. Остаток растворяют в 2 мл пиридина, обрабатывают 110 мкл (1,15 ммоль) уксусного ангидрида и катализатором DMAP. Реакционную смесь перемешивают 3 ч при комнатной температуре и упаривают. Остаток распределяют между этилацетатом и 5% лимонной кислотой. Экстрагируют водную фазу этилацетатом, объединенные органические экстракты промывают насыщенным раствором гидрокарбоната натрия и насыщенным раствором NaCl. Сушат сульфатом магния, фильтруют и упаривают. Сырой продукт очищают на силикагеле (гексан/этилацетат= 1/1) и получают 53 мг (69%) соединения 190 в виде твердого вещества: т. пл. 105-107oС(этилацетат/гексан). 1Н ЯМР (СDСl3): 6,78 (м, 1Н), 6,11 (д, 1H, J=7,4), 4,61 (м, 1Н), 4,32-4,23 (м, 1Н), 3,76 (с, 3Н), 3,44-3,28 (м, 2Н), 2,85 (дд, 1Н, J=5,7, 17,6), 2,28-2,17 (м, 1Н), 2,04 (с, 3Н), 1,88-1,19 (м, 10Н).
Пример 66Соединение 191. 49 мг (0,15 ммоль) соединения 190 растворяют в ТГФ, добавляют 57 мг (0,22 ммоль) трифенилфосфина Ph3P и 270 мкл воды, нагревают раствор при 50oС в течение 10 ч. Выпаривают, остаток растворяют в этилацетате, сушат над сульфатом натрия, фильтруют и упаривают. Сырой продукт очищают на силикагеле (метанол/этилацетат= 1/1) и получают 46 мг амина в виде светло-желтого масла. Амин растворяют в 1,5 мл ТГФ, добавляют 217 мкл 1,039 М раствора КОН и 200 мкл воды. Смесь перемешивают при комнатной температуре в течение часа, охлаждают до 0oС и подкисляют до рН 6-6,5 с помощью ионообменной смолы IR-120 в Н-форме. Смолу фильтруют, промывают метанолом и фильтрат упаривают. Осадок растворяют в воде и очищают колоночной хроматографией с обращением фаз (колонка 4х1 см) на сорбенте С-18, в качестве элюента используют сначала воду, а затем 2,5% смесь ацетонитрил/вода. Собирают фракции, содержащие целевой продукт, упаривают, остаток растворяют в воде и после лиофилизации получают 28 мг аминокислоты 191 в виде белого твердого вещества. 1Н ЯМР (D2O): 6,47 (шс, 1Н), 4,80 (шд, 1Н), 4,00 (дд, 1Н, J= 8,9, 11,6), 3,59-3,50 (м, 2Н), 2,87 (дд, 1Н, J=5,5, 17,2), 2,06 (с, 3Н), 1,90-1,15 (серии м, 10Н); Рассчитано для C15H24N2O4 H2O: С 57,31; Н 8,34; N 8,91. Найдено: С 57,38; Н 8,09; N 8,77.
Пример 67Бис-Вос-гуанидиновый эфир 201. Используют методику Кима и Квана, “Tetrahedron Lett. “, 34:7677 (1993). 529 мг (1,97 ммоль) амина 200, полученного по методике, указанной в примере 109, 561 мг (2,02 ммоль) бис-Вос-тиомочевины и 930 мкл триэтиламина растворяют в 5,0 мл сухого ДМФА, охлаждают до 0oС и добавляют одной порцией 593 мг (2,18 ммоль) HgCl2. Гетерогенную реакционную смесь перемешивают в течение 45 мин при 0oС и 15 мин при комнатной температуре, после чего разбавляют этилацетатом и фильтруют через целитовый слой. После отгонки растворителя в вакууме с последующей испарительной хроматографией на силикагеле (10% раствор гексана в этилацетате) получают 904 мг (90%) вещества 201 в виде светлого масла. 1Н ЯМР (CDCl3, 300 МГц): 11,39 (с, 1Н); 8,63 (д, 1Н, J=7,8 Гц); 6,89 (т, 1Н, J=2,4 Гц); 6,46 (д, 1Н, J=8,7 Гц); 4,43-4,32 (м, 1Н); 4,27-4,17 (м, 1Н); 4,13-4,06 (м, 1Н); 3,77 (с, 3Н); 3,67-3,59 (м, 1Н); 2,83 (дд, 1H, J=5,1, 17,7 Гц); 2,45-2,33 (м, 1Н); 1,95 (с, 3Н); 1,65-1,50 (м, 2Н); 1,45 (с, 18Н); 0,90 (т, 3Н, J=7,5 Гц).
Пример 68Карбоновая кислота 202. 904 мг (1,77 ммоль) метилового эфира 201 растворяют в 10 мл ТГФ, добавляют 3,45 мл 1,039 N водного раствора КОН. Реакционную смесь перемешивают при комнатной температуре в течение 17 ч, охлаждают до 0oС и подкисляют ионообменной смолой амберлит IR-120 в Н-форме до рН 4,0. Смолу фильтруют, промывают водой и метанолом. После отгонки растворителя в вакууме получают свободную кислоту в виде светлой пены, которую используют далее без дополнительной очистки. Пример 69 Гуанидинкарбоновая кислота 203. Сырую бис-Вос-гуанидиловую кислоту 202, полученную по методике, указанной в предыдущем примере, растворяют в 40 мл дихлорметана, охлаждают до 0oС и добавляют 25 мл концентрированной трифторуксусной кислоты. Реакционную смесь перемешивают в течение 1 ч при 0oС и 2 ч при комнатной температуре. После отгонки растворителя в вакууме получают светло-оранжевый твердый осадок, который очищают с помощью хроматографии с обращением фаз на сорбенте С18 (элюент – вода). Собирают фракции, содержащие целевой продукт, и после лиофилизации получают 495 мг (68% после двух стадий) гуанидинкарбоновой кислоты 203 в виде соли трифторацетата. 1Н ЯМР (D2O, 300 МГц): 6,66 (с, 1Н); 4,29 (шд, 1H, J=9,0 Гц); 4,01 (дд, 1H, J=10,8, 10,8Гц); 3,87-3,79 (м, 1Н); 3,76-3,67 (м, 1Н); 3,60-3,50 (м, 1Н); 2,83(дд, 1H, J= 5,1, 17,4 Гц); 2,47-2,36 (м, 1Н); 2,06 (с, 3Н); 1,65-1,50 (м, 2Н); 0,90 (т, 3Н, J= 7,2 Гц). Рассчитано для С15Н23О6N4F3: С 43,69; Н 5,62; N 13,59. Найдено: С 43,29; Н 5,90; N 13,78.
Пример 70Формамидинкарбоновая кислота 204. 25 мг (0,10 ммоль) аминокислоты 102, полученной по методике, указанной в примере 110, растворяют в 500 мкл воды при 0-5oС и подщелачивают 1,0 N раствором NaOH до рН 8,5. Одной порцией добавляют 45 мг (0,26 ммоль) гидрохлорид бензоформимидата и перемешивают реакционную смесь при этой температуре в течение 3 ч, поддерживая рН 8,5-9,0 посредством 1,0 N NaOH. После отгонки растворителя в вакууме реакционную смесь очищают хроматографией с обращением фаз на сорбенте C18 (элюент – вода). Собирают фракции, содержащие целевой продукт, и после лиофилизации получают 4,0 мг (13%) формамидинкарбоновой кислоты 204. 1Н ЯМР (D2O, 300 МГц): 7,85 (с, 1Н); 6,53 (шд, 1H, J=7,8 Гц); 4,32-4,25 (шм, 1Н); 4,10-3,97 (м, 1Н); 3,76-3,67 (м, 2Н); 3,57-3,49 (м, 1Н); 2,86-2,81 (м, 1Н); 2,55-2,40 (м, 1Н); 2,04 (с, 3Н); 1,65-1,50 (м, 2Н); 0,90 (т, 3Н, J=7,4 Гц).
Пример 71Аминокислота 206. 84 мг (0,331 ммоль) аминометилового эфира 205, полученного по методике, указанной в примере 107, растворяют в 1 мл ТГФ, добавляют 481 мкл 1,039 N водного раствора КОН. Реакционную смесь перемешивают при комнатной температуре в течение 2,5 ч и подкисляют ионообменной смолой амберлит IR-120 в Н-форме до рН 6,5. Смолу отфильтровывают, промывают водой и метанолом. После отгонки растворителя в вакууме получают аминокислоту в виде белого твердого вещества. Очищают хроматографией с обращением фаз на сорбенте С18 (элюент – вода). Собирают фракции, содержащие целевой продукт, и после лиофилизации получают 59 мг (74%) аминокислоты 206. 1Н ЯМР (CD3OD, 300 МГц): 6,60 (шд, 1Н, J= 1,8 Гц); 4,01-3,95 (м, 1Н); 3,71-3,60 (м, 2Н); 3,50-3,42 (м, 1Н); 3,05-2,85 (м, 2Н); 2,39-2,28 (м, 1Н); 1,70-1,55 (м, 2Н); 0,95 (т, 3Н, J=7,5 Гц).
Пример 72Трифторацетамид 207. 59 мг (0,246 ммоль) аминокислоты 206 растворяют в 1,0 мл сухого метанола, раствор дегазируют, в атмосфере аргона последовательно добавляют 35 мкл триэтиламина и 35 мкл трифторацетата. Реакционную смесь перемешивают при комнатной температуре в течение недели и отгоняют растворитель. Данные 1Н ЯМР свидетельствуют о прохождении реакции на 40%. Сырой продукт снова растворяют в 1,0 мл сухого метанола, 1,0 мл метилового эфира трифторуксусной кислоты и 0,5 мл триэтиламина, перемешивают при комнатной температуре 5 дней. Растворитель отгоняют в вакууме, остаток растворяют в 2,0 мл 50% водного раствора THF, подкисленного до рН 4 катионообменной смолой амберлит IR-120 в Н форме, и фильтруют. После упаривания растворителя получают сырой трифторацетамид карбоновой кислоты, который без очистки используют для последующей реакции. Пример 73 Аминокислота 208. Сырой азид 207 (полученный в предыдущем примере) растворяют в 2,0 мл ТГФ и 160 мкл воды, обрабатывают при комнатной температуре 225 мг трифенилфосфина Ph3P, нанесенного на полимерный носитель. Перемешивают в течение 20 ч, отфильтровывают полимер и промывают метанолом. После отгонки растворителя в вакууме получают светлый твердый осадок, который далее очищают хроматографией с обращением фаз на сорбенте С18 (элюент – вода). Собирают фракции, содержащие целевой продукт, и после лиофилизации получают 6,5 мг (9%) трифторацетамида аминокислоты 208. 1Н ЯМР (D2O, 300 МГц): 6,59 (шс, 1Н); 4,40-4,30 (м, 1Н); 4,26(т, 1H, J=10,1 Гц); 3,80-3,66 (м, 2Н); 3,56-3,47 (м, 1Н); 2,96 (шдд, 1Н, J= 5,4, 17,7 Гц); 2,58-2,45 (м, 1Н); 1,62-1,50 (м, 2Н); 0,89 (т, 3Н, J=7,5 Гц).
Пример 74Метилсульфонамидметиловый эфир 209. 58 мг (0,23 ммоль) амина 205 (получение описано в примере 107), 97 мкл триэтиламина и каталитическое количество DMAP (несколько кристаллов) растворяют в 1,0 мл дихлорметана и добавляют при 0oС 19 мкл метансульфонилхлорида. После 30 мин реакционную смесь нагревают до комнатной температуры и перемешивают еще 1 ч. После отгонки растворителя в вакууме с последующей испарительной хроматографией остатка на силикагеле (50% раствор гексана в этилацетате) получают 61 мг (79%) сульфонамида 209. 1Н ЯМР (CDCl3, 300 МГц): 6,87 (т, 1 Н, J=2,3 Гц); 5,08 (д, 1Н, J=7,5 Гц); 4,03-3,90 (м, 1Н); 3,78 (с, 3Н); 3,75-3,45 (м, 4Н); 3,14 (с, 3Н); 2,95 (дд, 1Н, J=5,2, 17,3 Гц); 2,42-2,30 (м, 1Н); 1,75-1,55 (м, 2Н); 0,95 (т, 3Н, J=7,5 Гц).
Пример 75Аминоэфир 210. 61 мг (0,183 ммоль) азида 209 растворяют в 2,0 мл ТГФ и 118 мкл воды, обрабатывают при комнатной температуре 170 мг трифенилфосфина, нанесенного на полимерный носитель. Реакционную смесь перемешивают в течение 17,5 ч, отфильтровывают полимер и промывают метанолом. После отгонки растворителя в вакууме с последующей очисткой остатка испарительной хроматографией на силикагеле (100% метанол) получают 45 мг (80%) аминоэфира 210 в виде светлой пены. 1Н ЯМР (CDCl3, 300 МГц): 6,85 (с, 1 Н); 3,94 (шд, 1 Н, J=7,8 Гц); 3,77 (с, 3Н); 3,74-3,60 (м, 2Н); 3,55-3,45 (м, 1Н); 3,25-3,15 (м, 1Н); 3,11 (с, 3Н); 2,94-2,85 (м, 1Н); 2,85 (шс, 2Н); 2,22-2,10 (м, 1Н); 1,70-1,56 (м, 2Н); 0,94 (т, 3Н, J=7,5 Гц).
Пример 76Аминокислота 211. 21 мг (0,069 ммоль) метилового эфира 210 растворяют в 200 мкл ТГФ и обрабатывают 135 мкл 1,039 М водного раствора КОН. Реакционную смесь перемешивают при комнатной температуре в течение 40 мин, нейтрализуют с помощью ионообменной смолы амберлит IR-120 в Н-форме до рН 7,0. Смолу отфильтровывают, промывают водой и метанолом. После отгонки растворителя в вакууме получают аминокислоту в виде светлого твердого вещества и очищают хроматографией с обращением фаз на сорбенте C18 (элюент – вода). Собирают фракции, содержащие целевой продукт, и после лиофилизации получают 3,5 мг (17%) аминокислоты 211 1Н ЯМР (D2O, 300 МГц): 6,60 (д, 1Н, J=1,8 Гц); 4,30-4,20 (м, 1Н); 3,84-3,75 (м, 1Н); 3,68-3,58 (м, 1Н); 3,60-3,40 (м, 2Н); 3,20 (с, 3Н); 2,96-2,88 (м, 1Н); 2,55-2,45 (м, 1Н); 1,72-1,59 (м, 2Н); 0,93 (т, 3Н, J=7,4 Гц).
Пример 77Бис-Вос-гуанидиновый эфир 212. Используют методику Кима и Квана, “Tetrahedron Lett.”, 34:7677 (1993). 31 мг (0,101 ммоль) амина 210, 28,5 мг (0,103 ммоль) бис-Вос-тиомочевины и 47 мкл триэтиламина растворяют в 203 мкл сухого ДМФА, охлаждают до 0oС и добавляют одной порцией 30 мг (0,11 ммоль) НgСl2. Гетерогенную реакционную смесь перемешивают в течение 30 мин при 0oС, а затем 30 мин при комнатной температуре, после чего разбавляют этилацетатом и фильтруют через целитовый слой. После отгонки растворителя в вакууме с последующей испарительной хроматографией на силикагеле (40% раствор гексана в этилацетате) получают 49 мг (89%) вещества 212 в виде светлого масла. 1Н ЯМР (CDCl3, 300 МГц): 11,47 (с, 1Н); 8,66 (д, 1Н, J=8,4 Гц); 6,87 (с, 1Н); 6,01 (шс, 1Н); 4,50-4,35 (м, 1Н); 4,04 (шд, 1Н, J=8,4 Гц); 3,76 (с, 3Н); 3,70-3,60 (м, 1Н); 3,53-3,45 (м, 2Н); 3,02 (с, 3Н); 2,85 (дд, 1Н, J=5,3, 17,3 Гц); 2,42-2,30 (м, 1Н); 1,66-1,55 (м, 2Н); 1,49 (с, 9H); 1,48(c, 9H); 0,93 (т, 3H, J=7,3 Гц).
Пример 78Карбоновая кислота 213. К раствору метилового эфира 212 (49 мг, 0,090 ммоль) в ТГФ (1,0 мл) добавляют водный раствор КОН (260 мкл 1,039 N раствора). Реакционную смесь перемешивают при комнатной температуре в течение 16 часов, охлаждают до 0oС и подкисляют катионообменной смолой амберлит IР-120 (Н+)до рН 4,0. Смолу отфильтровывают и промывают водой и метанолом. Растворители отгоняют в вакууме и получают свободную кислоту в виде светлого пенообразного продукта, который используют в следующей реакции без дальнейшей очистки. Пример 79 Гуанидинкарбоновая кислота 214. К раствору ди-Вос-гуанидиновой кислоты 213 (сырого продукта, полученного, как указано в предыдущем примере) в СН2Сl2 (2,0 мл), охлажденному до 0oС, добавляют концентрированную трифторуксусную кислоту (2,0 мл). Реакционную смесь перемешивают в течение 1 часа при 0oС и затем в течение 1 часа при комнатной температуре. После отгонки растворителя в вакууме полученный светлый оранжевый осадок очищают хроматографией с обращением фаз (элюент – вода) на сорбенте C18. Для получения 10 мг (25%, 2 стадии) гуанидинкарбоновой кислоты 214 фракции, содержащие целевой продукт, собирают и лиофилизируют. 1ЯМР (D2O, 300 МГц): 6,60 (шс, 1Н); 4,22 (шд, 1Н, J=9,0 Гц); 3,82-3,66 (м, 2Н); 3,65-3,54 (м, 1Н); 3,43 (шт, 1Н, J= 9,9 Гц), 3,15 (с, 3Н); 2,82 (дд, 1Н, J=5,0, 17,5 Гц); 2,48-2,30 (м, 1Н), 1,71-1,58 (м, 2Н); 0,93 (т, 3Н, J=7,3 Гц).
Пример 80Метиловый эфир пропионамида 215. Пропионил хлорид (96 мкл, 1,1 ммоль) добавляют в раствор амина 205 (178 мг, 0,70 ммоль, полученный в соответствии с примером 107) и пиридина (1,5 мл) в CH2Cl2 (2,0 мл), охлажденный до 0oС. После выдерживания при 0oС в течение 30 минут из реакционной смеси отгоняют растворитель в вакууме и осадок распределяют между этилацетатом и солевым раствором. Органическую фракцию отделяют, последовательно промывают насыщенным раствором бикарбоната натрия и солевым раствором и затем высушивают над MgSO4. После отгонки растворителей в вакууме и испарительной хроматографии на силикагеле (40% гексана в этилацетате) получают 186 мг метилового эфира пропионамида 215 в виде бледно-желтого осадка (выход продукта 86%). 1Н ЯМР (CDCl3, 300 МГц): 6,86 (т, 1Н, J=2,3 Гц, 5,72 (шд, 1Н, J=7,8 Гц), 4,52-4,49 (м, 1Н), 4,25-4,15 (м, 1Н), 3,77 (с, 3Н), 3,65-3,37 (сложный м, 3Н), 2,87 (дд, 1Н, J=5,7, 17,7 Гц), 2,28 (к, 2Н, J=7,5 Гц), 2,25-2,20 (м, 1Н), 1,65-1,50 (м, 2Н), 1,19 (т, 3Н, J=7,5 Гц), 0,92 (т, 3Н, J=7,5 Гц).
Пример 81Аминометиловый эфир 216. Раствор азида 215 (18 мг, 0,60 ммоль) в ТГФ (5,0 мл) и воде (400 мкл) обрабатывают трифенилфосфином на полимерном носителе (560 мг) при комнатной температуре. После перемешивания в течение 21 часа полимер фильтруют и промывают метанолом. После отгонки растворителя в вакууме получают сырой аминоэфир 216, который используют для следующей стадии без дополнительной очистки. Пример 82 Аминокислота 217. Раствор метилового эфира 216 (сырой продукт, полученный, как указано в предыдущем примере) в ТГФ (500 мкл 1,039 N раствора) обрабатывают водным раствором КОН (866 мкл 1,039 N раствора). Реакционную смесь перемешивают в течение 3 часов при комнатной температуре и доводят до рН 7,0 посредсвом катионообменной смолы амберлит IR-120 (Н+). Смолу отфильтровывают и промывают метанолом и водой. Аминокислоту получают в виде светлого осадка после отгонки растворителя в вакууме и хроматографии с обращением фаз (элюент – вода) на носителе С18. Для получения 49 мг (31%, 2 стадии) аминокислоты 217 фракции, содержащие целевой продукт, объединяют и лиофилизируют. 1Н ЯМР (D2O, 300 МГц): 6,54 (с, 1Н), 4,25 (шд, 1Н, J=8,7 Гц), 4,13 (дд, 1Н, J= 9,0, 11,3 Гц), 3,74-3,60 (м, 1Н), 3,61-3,40 (м, 2Н), 2,85 (дд, 1Н, J= 5,9, 17,1 Гц), 2,55-2,40 (м, 1Н), 2,35 (к, 2Н, J=7,5 Гц), 1,65-1,45 (м, 2Н), 1,13 (т, 3Н, J=7,5 Гц), 0,88 (т, 3Н, J=7,5 Гц).
Пример 83(Монометил)ди-Вос-гуанидиновый эфир 218. К раствору амина 200 (51 мг, 0,19 ммоль) и (монометил)ди-Вос-тиомочевины (36 мг, 0,19 ммоль) в сухом ДМФ добавляют гидрохлорид 1-(3-диметиламинопропил)-3-этилкарбодиимида (38 мг) и Et3N (56 мкл) при комнатной температуре. После выдерживания при комнатной температуре в течение 1,5 часов сразу добавляют весь объем НgСl2 (примерно 75 мг, избыток). Гетерогенную реакционную смесь перемешивают в течение 45 минут, разбавляют этилацетатом и фильтруют через слой целита. Фильтрат дополнительно разбавляют этилацетатом и промывают разбавленной НСl, насыщенным раствором бикарбоната натрия, солевым раствором и сушат над MgSO4. 13 мг (16%) (монометил)ди-Вос-гуанидинового эфира 218 в виде бесцветного пенообразного продукта получают после отгонки растворителя в вакууме и испарительной хроматографии на силикагеле (10% метанола в этилацетате). 1Н ЯМР (CDCl3, 300 МГц): 6,84 (с, 1Н), 6,20 (шд, 1H, J=5,1 Гц), 5,45 (шс, 1Н), 4,25-4,40 (шм, 1Н), 4,20-4,05 (шм, 2Н), 3,76 (с, 3Н), 3,60-3,50 (м, 1Н), 3,43-3,30 (м, 1Н), 2,90 (дд, 1Н, J=5,4, 17,7 Гц), 2,77 (д, 3Н, J=4,8 Гц), 2,35-2,25 (м, 1Н), 1,96 (с, 3Н), 1,60-1,50 (м, 2Н), 1,47 (с, 9Н), 0,91 (т, 3Н, J=7,2 Гц).
Пример 84(Монометил)ди-Вос-гуанидиновая кислота 219. К раствору метилового эфира 218 (13 мг, 0,031 ммоль) в ТГФ (500 мкл) добавляют водный раствор КОН (60 мкл 1,039 N раствора). Реакционную смесь перемешивают при комнатной температуре в течение 1 часа и затем осторожно кипятят с обратным холодильником в течение 1 часа. Реакционную смесь охлаждают до 0oС и подкисляют до рН 6,0 с помощью катионообменной смолы амберлит IR-120 (H+). Смолу отфильтровывают и промывают водой и метанолом. Свободную кислоту 219 получают после отгонки растворителя в вакууме и используют в следующей реакции без дополнительной очистки. Пример 85 (Монометил)ди-Вос-гуанидинаминокислота 220. К раствору (монометил)ди-Вос-гуанидиновой кислоты 219 (сырой продукт, полученный, как указано в предыдущем примере) в СН2Сl2, охлажденному до 0oС, добавляют концентрированную трифторуксусную кислоту (1,0 мл). Реакционную смесь перемешивают при 0oС в течение 1 часа, а затем в течение 1 часа при комнатной температуре. После отгонки растворителя в вакууме получают светлый осадок, который затем очищают обращенно-фазной хроматографией с обращением фаз (элюент – вода) на сорбенте 18. Для получения 4,4 мг (33%, 2 стадии) гуанидинкарбоновой аминокислоты 220 фракции, содержащие целевой продукт, объединяют и лиофилизируют. 1Н ЯМР (D2O, 300 МГц): 6,52 (шс, 1Н), 4,27 (шд, 1Н, J=8,4 Гц), 4,01 (дд, 1Н, J= 9,2, 10,3 Гц), 3,86-3,75 (м, 1Н), 3,75-3,67 (м, 1Н), 3,60-3,49 (м, 1Н), 2,85 (с, 3Н), 2,80 (дд, 1Н, J=5,1, 17,7 Гц), 2,47-2,37 (м, 1Н), 2,04 (с, 3Н), 1,64-1,50 (м, 2Н), 0,90 (т, 3Н, J=7,2 Гц).
Пример 86(R)-метилпропиловый эфир 221. BF3 Et2O (63 мкл, 0,51 ммоль) добавляют к раствору N-тритилазиридина 183 (150 мг, 0,341 ммоль) a(R)-(-)-2-бутаноле (1,2 мл) в атмосфере аргона при перемешивании при комнатной температуре. Светлый раствор нагревают при 70 oС в течение 2 часов и затем отгоняют растворитель в вакууме для получения коричневого осадка, который растворяют в сухом пиридине (2,0 мл) и обрабатывают уксусным ангидридом (225 мкл) и каталитическим количеством DMAP (несколько кристаллов) при 0oС. Реакционную смесь нагревают до комнатой температуры и перемешивают в течение 2 часов, затем отгоняют растворитель в вакууме и остаток распределяют между этилацетатом и солевым раствором. Органическую фазу отделяют, промывают последовательно разбавленным раствором НСl, насыщенным раствором бикарбоната натрия и солевым раствором, после чего сушат над МgSО4. Для получения 75 мг (72%) (R)-метилпропилового эфира 221 в виде светлого осадка растворитель отгоняют в вакууме и очищают хроматографией с обращением фаз на силикагеле (50% гексана в этилацетате). 1Н ЯМР (CDCl3, 300 МГц): 6,79 (т,1Н, J=2,2 Гц), 6,14 (д, 1Н, J=7,3 Гц), 4,55 (шд, 1Н, J=8,7 Гц), 4,33-4,23 (м, 1Н), 3,77 (с, 3Н), 3,56-3,45 (м, 1Н), 3,40-3,27 (м, 1Н), 2,85 (дд, 1H, J=5,5, 17,5 Гц), 2,30-2,15 (м, 1Н), 2,04 (с, 3Н), 1,59-1,40 (м, 2Н), 1,10 (д, 3H, J=6,0 Гц), 0,91 (т, 3Н, J=7,4 Гц).
Пример 87(R)-метилпропиловый аминоэфир 222. Трифенилфосфин Ph3P (95 мг, 0,36 ммоль) добавляют к раствору азида 221 (75 мг, 0,24 ммоль) и воды (432 мкл) в ТГФ (3,0 мл). Светло-желтый раствор затем нагревают при 50oС в течение 10 часов, охлаждают и растворитель отгоняют в вакууме для получения светлого осадка. После очистки испарительной хроматографией на силикагеле (50% метанола в этилацетате) получают 66 мг (97%) аминоэфира 222 в виде светлого пенообразного продукта. Пример 88 Аминокислота 223. Раствор метилового эфира 222 (34 мг, 0,12 ммоль) в ТГФ (1,0 мл) обрабатывают водным раствором КОН (175 мкл 1,039 N раствора). Реакционную смесь перемешивают при комнатной температуре в течение 3 часов и подкисляют до рН 6,0 посредством катионообменной смолы амберлит IR-120 (H+). Смолу отфильтровывают и промывают водой и метанолом. Аминокислоту получают в виде светлого осадка после отгонки растворителя в вакууме с последующей очисткой хроматографией с обращением фаз (элюент – вода) на сорбенте 18. 11,5 мг (36%) аминокислоты 223 получают после объединения и лиофилизации фракций, содержащих целевой продукт. 1Н ЯМР (D2O, 300 МГц): 6,52 (шс, 1Н), 4,28 (шд, 1Н, J=8,7 Гц), 4,04 (дд, 1Н, J=8,8, 11,5 Гц), 3,74-3,65 (м, 1Н), 3,50-3,60 (м, 1Н), 2,90 (дд, 1Н, J=5,5, 17,2 Гц), 2,50-2,40 (м, 1Н), 2,10 (с, 3Н), 1,60-1,45 (м, 2Н), 1,14 (д, 3Н, J=6,2 Гц), 0,91 (т, 3Н, J=7,4 Гц).
Пример 89Ди-Вос-гуанидиновый эфир 224. Получают по методике, описанной Кимом и Кваном в “Tetrahedron Lett.”, 34:7677 (1993). К раствору амина 222 (32 мг, 0,113 ммоль), ди-Вос-тиомочевины (32 мг, 0,115 ммоль) и Et3N (53 мкл) в сухом ДМФА (350 мкл), охлажденном до 0oС, добавляют одной порцией НgСl2 (34 мг, 0,125 ммоль). Гетерогенную реакционную смесь перемешивают в течение 45 минут при 0oС и в течение 1 часа при комнатной температуре, после чего к смеси добавляют ЕtOАс и фильтруют через слой целита. После отгонки растворителя в вакууме и испарительной хроматографии остатка на силикагеле (20% гексана в этилацетате) получают 57 мг (96%) вещества 224 в виде бесцветного пенообразного продукта. 1Н ЯМР (CDCl3, 300 МГц): 11,40 (с, 1Н), 8,65 (д, 1H, J= 7,8 Гц), 6,82 (с, 1Н), 6,36 (д, 1Н, J=8,7 Гц), 4,46-4,34 (м, 1Н), 4,20-4,10 (м, 1Н), 4,10-3,95 (м, 1Н), 3,76 (с, 3Н), 2,79 (дд, 1Н, J=5,4, 17,7 Гц), 2,47-2,35 (м, 1Н), 1,93 (с, 3Н), 1,60-1,45 (м, 2Н), 1,49 (с, 18Н), 1,13 (д, 3Н, J=6,0 Гц), 0,91 (т, 3Н, J=7,5 Гц).
Пример 90Карбоновая кислота 225. К раствору метилового эфира 224 (57 мг, 0,11 ммоль) в ТГФ (1,5 мл) добавляют водный раствор КОН (212 мкл 1,039 N раствора). Реакционную смесь перемешивают при комнатной температуре в течение 16 часов, охлаждают до 0oС и подкисляют до рН 4,0 посредством катионообменной смолы амберлит IR-120 (H+). Смолу отфильтровывают и промывают водой и метанолом. Свободную кислоту в виде светлого пенообразного продукта получают после отгонки растворителя в вакууме и используют в следующей реакции без дополнительной очистки. Пример 91 Гуанидинкарбоновая кислота 226. К раствору ди-Вос-гуанидниловой кислоты 225 (сырой продукт, полученный, как указано в предыдущем примере) в СН2Сl2 (4,0 мл), охлажденному до 0oС, добавляют концентрированную трифторуксусную кислоту (4,0 мл). Реакционную смесь перемешивают в течение 1 часа при 0oС и затем в течение 2 часов при комнатной температуре. После отгонки растворителя в вакууме получают светло-оранжевый осадок, который очищают хроматографией с обращением фаз (элюент – вода) на сорбенте C18. После объединения и лиофилизации фракций, содержащих целевой продукт, получают 18,4 мг (40%, 2 стадии) гуанидинкарбоновой кислоты 226. 1Н ЯМР (D2O, 300 МГц): 6,47 (с, 1Н), 4,28 (шд, 1Н, J=7,8 Гц), 3,93-3,74 (м, 2Н), 3,72-3,63 (м, 1Н), 2,78 (дд, 1Н, J=4,8, 17,4 Гц), 2,43-2,32 (м, 1Н), 1,58-1,45 (м, 2Н), 1,13 (д, 3Н, J=6,0 Гц), 0,90 (т, 3Н, J=7,4 Гц).
Пример 92Эфир (диэтил)метилового эфира 227. ВF3 Еt2О (6,27 мг, 51 ммоль) добавляют к раствору N-тритилазиридина 183 (15 г, 34 ммоль) в 3-пентаноле (230 мл) в атмосфере аргона при перемешивании и при комнатной температуре. Светлый раствор нагревают при 70-75oС в течение 1,75 часа и после отгонки растворителя в вакууме получают коричневый осадок, который растворяют в сухом пиридине (2,0 мл) и обрабатывают уксусным ангидридом (16 мл, 170 ммоль) и каталитическим количеством DMAP (200 мг). Реакционную смесь перемешивают в течение 18 часов при комнатной температуре, затем отгоняют растворитель в вакууме и распределяют между этилацетатом и раствором 1М HCl. Органическую фазу отделяют и последовательно промывают насыщенным раствором бикарбоната натрия и солевым раствором, затем сушат над MgSO4. После отгонки растворителя в вакууме и хроматографии на силикагеле (50% гексана в этилацетате) получают 7,66 г эфира диэтилметилового эфира, который для получения 7,25 г (66%) вещества 227 перекристаллизовывают из смеси этиацетат/гексан. 1Н ЯМР (CDCl3, 300 МГц): 6,79 (т, 1Н, J=2,1 Гц), 5,92 (д, 1Н, J=7,5 Гц), 4,58 (шд, 1Н, J=8,7 Гц), 4,35-4,25 (м, 1Н), 3,77 (с, 3Н), 3,36-3,25 (м, 2Н), 2,85 (дд, 1Н, J=5,7, 17,4 Гц), 2,29-2,18 (м, 1Н), 2,04 (с, 3Н), 1,60-1,45 (м, 4Н), 0,91 (т, 3Н, J=3,7 Гц), 0,90 (т, 3Н, J=7,3 Гц).
Пример 93Аминоэфир (диэтил)метилового эфира 228. Трифенилфосфин Ph3P (1,21 г, 4,6 ммоль) добавляют в раствор азида 227 (1 г, 3,1 ммоль) и воды (5,6 мл) в ТГФ (30 мл). Затем нагревают светло-желтый раствор при 50oС в течение 10 часов, охлаждают и отгоняют в вакууме растворитель. Водный маслянистый остаток распределяют между EtOAc и насыщенным раствором хлорида натрия. Органическую фазу сушат (сульфат магния), фильтруют и выпаривают. После очистки испарительной хроматографией на силикагеле (50% метанола в этилацетате) получают 830 мг (90%) аминоэфира 228 в виде светло-желтого осадка. 1Н ЯМР (СDСl3, 300 МГц): 6,78 (т, 1Н, J=2,1 Гц), 5,68 (шд, 1Н, J=7,8 Гц), 4,21-4,18 (м, 1Н), 3,75 (с, 3Н), 3,54-3,45 (м, 1Н), 3,37-3,15 (м, 2Н), 2,74 (дд, 1Н, J=5,1, 17,7 Гц), 2,20-2,07 (м, 1Н), 2,03 (с, 3Н), 1,69 (шс, 2Н, -NH2), 1,57-1,44 (м, 4Н), 0,90 (т, 3Н, J=7,5 Гц), 0,89 (т, 3Н, J=7,5 Гц).
Пример 94Аминокислота 229. Раствор метилового эфира 228 (830 мг, 2,8 ммоль) в ТГФ (15 мл) обрабатывают водным раствором КОН (4 мл 1,039 N раствора). Реакционную смесь перемешивают в течение 40 минут при комнатной температуре и подкисляют затем до рН 5,5-6,0 посредством катионообменной смолы Dowex 50WX8 в Н форме. Смолу отфильтровывают и промывают водой и метанолом. После отгонки растворителя в вакууме получают аминокислоту в виде светлого осадка, который затем очищают хроматографией с обращением фаз (элюент – вода и затем 5%-ный раствор метилциана в воде) с сорбентом C18. После объединения и лиофилизации фракций, содержащих целевой продукт, получают 600 мг (75%) аминокислоты 229. 1Н ЯМР (D2O, 300 МГц): 6,50 (т, 1Н, J=2,1 Гц), 4,30-4,26 (м, 1Н), 4,03 (дд, 1Н, J=9,0, 11,7 Гц), 3,58-3,48 (м, 2Н), 2,88 (дд, 1H, J=5,4, 16,8 Гц), 2,53-2,41 (м, 1Н), 1,62-1,40 (м, 4Н), 0,90 (т, 3Н, J=7,5 Гц), 0,85 (т, 3Н, J=7,5 Гц).
Пример 95Трет-амиловый эфир эфира 230. ВF3 Еt2О (43 мкл, 0,35 ммоль) добавляют к раствору N-тритилазиридина 183 (104 мг, 0,24 ммоль) в трет-амиловом спирте (2,5 мл) в атмосфере аргона при перемешивании и при комнатной температуре. Светлый раствор нагревают в течение 3 часов при 75oС, затем отгоняют растворитель в вакууме и полученный коричневый осадок растворяют в сухом пиридине (2,0 мл) и обрабатывают уксусным ангидридом (250 мкл) и каталитическим количеством DMAP (несколько кристаллов). Реакционную смесь перемешивают в течение 1,5 часов при комнатной температуре, растворитель отгоняют в вакууме и полученный осадок распределяют между этилацетатом и солевым раствором. Органическую фазу отделяют и последовательно промывают разбавленным раствором НСl, насыщенным раствором бикарбоната натрия и солевым раствором, затем сушат над сульфатом магния. После отгонки растворителя в вакууме и с последующей испарительной хроматографией осадка на силикагеле (50% гексана в этилацетате) получают 27 мг (35%) эфира трет-амилового эфира 230 в виде светло-оранжевого масла. 1Н ЯМР (CDCl3, 300 МГц): 6,72 (т, 1Н, J=2,1 Гц), 5,83 (д, 1Н, J=7,2 Гц), 4,71 (шд, 1Н, J=8,1 Гц), 4,45-4,35 (м, 1Н), 3,75 (с, 3Н), 3,27-3,17 (м, 1Н), 2,84 (дд, 1Н, J=5,7, 17,4 Гц), 2,27-2,15 (м, 1Н), 2,05 (с, 3Н), 1,57-1,47 (м, 2Н), 1,19 (с, 3Н), 1,15 (с, 3Н), 0,90 (т, 3Н, J=7,5 Гц).
Пример 96Трет-амиловый эфир аминоэфира 231. Трифенилфосфон (35 мг, 0,133 ммоль) добавляют одной порцией к раствору азиридина 230 (27 мг, 0,083 ммоль) и воды (160 мкл) в ТГФ (1,5 мл). Светло-оранжевый раствор нагревают в течение 10 часов при 50oС, охлаждают и отгоняют растворитель в вакууме и получают светлый осадок. После очистки испарительной хроматографией на силикагеле (50% метанола в этилацетате) получают 20 мг (82%) аминоэфира 231 в виде светлого масла. Пример 97 Аминокислота 232. Раствор метилового эфира 231 (20 мг, 0,068 ммоль) в ТГФ (1 мл) обрабатывают водным раствором КОН (131 мкл 1,039 N раствора). Реакционную смесь перемешивают в течение 2,5 часов при комнатной температуре и подкисляют до рН 5,0 посредством кислой катионообменной смолы амберлит IR-120 (Н+). Смолу отфильтровывают и промывают водой и метанолом. После отгонки растворителя в вакууме получают светлый осадок аминокислоты, который очищают хроматографией с обращением фаз (элюент – вода) на сорбенте С18. После объединения и лиофилизации фракций, содержащих целевой продукт, получают 8,6 мг (45%) аминокислоты 232. 1Н ЯМР (D2O, 300 МГц): 6,47 (шс, 1Н), 4,42 (шд, 1Н, J= 8,1 Гц), 3,97 (дд, 1Н, J=8,4, 11,4 Гц), 3,65-3,54 (м, 1Н), 2,88 (дд, 1Н, J= 5,5, 17,3 Гц), 2,51-2,39 (м, 1Н), 2,08 (с, 3Н), 1,61-1,46 (м, 2Н), 1,23 (с, 3Н), 1,18 (с, 3Н), 0,86 (т, 3Н, J=7,5 Гц).
Пример 98Эфир N-пропилтиоэфира 233. BF3 Et2O (130 мкл, 1,06 ммоль) добавляют к раствору N-тритилазиридина 183 (300 мг, 0,68 ммоль) в 1-пропантиоле (8,0 мл) в атмосфере аргона при перемешивании при комнатной температуре. Светлый раствор нагревают в течение 45 минут при 65oС, затем отгоняют растворитель в вакууме и полученный осадок распределяют между этилацетатом и солевым раствором. Органическую фазу отделяют и последовательно промывают насыщенным раствором бикарбоната натрия и солевым раствором, затем сушат над сульфатом магния. После отгонки растворителя в вакууме и испарительной хроматографии остатка на силикагеле (30% гексана в этилацетате) получают 134 мг (73%) эфира Н-пропилтиоэфира 233 в виде светлого масла. 1Н ЯМР (CDCl3, 300 МГц): 6,87 (т, 1Н, J=2,4 Гц), 3,77 (с, 3Н), 3,48-3,38 (м, 1Н), 3,22-3,18 (м, 1Н), 2,93 (дд, 1Н, J=5,4, 17,4 Гц), 2,80 (т, 1Н, J=9,9 Гц), 2,51 (т, 2Н, J=7,2 Гц), 2,32-2,20 (м, 1Н), 1,96 (шс, 2Н, -NH2), 1,69-1,56 (м, 2Н), 1,00 (т, 3Н, J=7,2 Гц).
Пример 99Азидоэфир Н-пропилтиоэфира 234. К раствору амина 233 (134 мг, 0,50 ммоль) в пиридине (1,5 мл), охлажденного до 0oС, добавляют концентрированный ацетилхлорид (60 мкл, 0,84 ммоль). После перемешивания в течение 1 часа реакционную смесь нагревают до комнатной температуры и перемешивают еще 15 минут. Растворитель отгоняют в вакууме и полученный осадок распределяют между этилацетатом и солевым раствором, промывают последовательно разбавленным раствором соляной кислоты, водой, насыщенным раствором бикарбоната натрия и солевым раствором, затем сушат над сульфатом магния. После отгонки растворителя в вакууме и испарительной хроматографии остатка на силикагеле (30% гексана в этилацетате) получают 126 мг (100%) азидоэфира Н-пропилтиоэфира 234 в виде светло-желтого осадка. 1Н ЯМР (CDCl3, 300 МГц): 6,90 (т, 1Н, J= 2,7 Гц), 5,87 (шд, 1Н, J=7,8 Гц), 4,07-3,98 (м, 1Н), 3,77 (с, 3Н), 3,65-3,55 (м, 1Н), 2,95-2,85 (м, 1Н), 2,60-2,45 (м, 2Н), 2,30-2,18 (м, 1Н), 2,08 (с, 3Н), 1,65-1,53 (м, 2Н), 0,98 (т, 3Н, J=7,2 Гц).
Пример 100Аминоэфир Н-пропилтиоэфира 235. Азид 234 (130 мг, 0,416 ммоль) в этилацетате (10 мл) гидрируют (1 атмосфера) над катализатором Линдлара (150 мг) в течение 18 часов при комнатной температуре. Катализатор отфильтровывают через слой целита и промывают горячим этилацетатом и метанолом. После отгонки растворителя в вакууме и испарительной хроматографии оранжевого осадка получают 62 мг (53%) аминоэфира Н-пропилтиоэфира 235. 1Н ЯМР (CDCl3, 300 МГц): 6,88 (т, 1Н, J=2,7 Гц), 5,67 (шд, 1Н, J=8,7 Гц), 3,76 (с, 3Н), 3,75-3,65 (м, 1Н), 3,45-3,55 (шм, 1Н), 3,05-2,95 (м, 1Н), 2,87-2,78 (м, 1Н), 2,56-2,40 (м, 2Н), 2,18-2,05 (м, 1Н), 2,09 (с, 3Н), 1,65-1,50 (м, 2Н), 1,53 (шс, 2Н, -NH2), 0,98 (т, 3Н, J=7,2 Гц).
Пример 101Соединение 240. Суспензию хининной кислоты (103 г), 2,2-диметоксипропана (200 мл) и толуолсульфоновой кислоты (850 мг) в ацетоне (700 мл) в течение 4 дней перемешивают при комнатной температуре. Растворители и избыток реагентов отгоняют в вакууме. После очистки испарительной и колоночной хроматографией (гексан/этилацетат=2/1-1,5/1) получают лактон 240 (84 г, 73%). 1Н ЯМР (СDСl3, 300 МГц): 4,72 (дд, J=2,4, 6,1 Гц, 1Н), 4,50(м, 1Н), 4,31 (м, 1Н), 2,67 (м, 2Н), 2,4-2,2 (м, 3Н), 1,52 (с, 3Н), 1,33 (с, 3Н). Проведение реакции при температуре кипения в течение 4 часов позволяет получить лактон 240 с выходом 71% после обработки водой (экстракция смесью воды и этилацетата) и перекристаллизации сырого продукта из смеси этилацетат/гексан.
Пример 102Соединение 241. К раствору лактона 240 (43,5 г, 203 ммоль) в метаноле (1200 мл) добавляют одной порцией метилат натрия (4,37 М, 46,5 мл, 203 ммоль). Смесь перемешивают при комнатной температуре в течение 3 часов и гасят реакцию уксусной кислотой (11,62 мл). Метанол отгоняют в вакууме. Смесь разбавляют водой и экстрагируют 3 раза этилацетатом. Органические фазы объединяют и промывают 1 раз водой и 1 раз солевым раствором, затем сушат над сульфатом магния. После очистки испарительной колоночной хроматографией (гексан/этилацетат= 1/1-1/4) получают 43,3 г диола (выход 87%). 1Н ЯМР (СDСl3, 300 МГц): 4,48 (м, 1Н), 4,13 (м, 1Н), 3,99 (т, J=6,4,1 H), 3,82 (c, 3H), 3,34 (с, 1Н), 2,26 (д, J=3,8 Гц, 2Н), 2,08 (м, 1Н), 1,91 (м, 1Н), 1,54 (с, 3Н), 1,38 (с, 3Н). Альтернативно при обработке лактона 240 катализатором – этилатом натрия (1 мол.%) в этаноле получают соответствующий этиловый эфир с выходом 67% после перекристаллизации промежуточного продукта из смеси этилацетата и гексана. Осадок, полученный из маточного раствора, состоящего из исходного вещества и продукта реакции, подвергают повторной обработке в условиях реакции и после перекристаллизации получают дополнительное количество целевого продукта. Общий выход составляет 83%.
Пример 103Соединение 242. К раствору диола 241 (29,8 г, 121 ммоль), и 4-(N,N-диметиламин)пиридина (500 мг) в пиридине (230 мл) добавляют тозилхлорид (27,7 г, 145 ммоль). Смесь в течение 3 дней перемешивают при комнатной температуре и после этого отгоняют пиридин в вакууме. Смесь разбавляют водой и экстрагируют 3 раза этилацетатом. Органические фазы объединяют и промывают 2 раза водой и 1 раз солевым раствором, затем сушат лад сульфатом магния. После отгонки растворителя в вакууме и очистки испарительной колоночной хроматографией (гексан/этилацетат=2/1-1/1) получают тозилат 242 (44,6 г, 92%). 1Н ЯМР (CDCl3, 300 МГц): 7,84 (д, J=8,4 Гц, 2Н), 7,33 (д, J=8,1 Гц, 2Н), 4,76 (м, 1Н), 4,42 (м, 1Н), 4,05 (дд, J=5.5, 7,5 Гц, 1Н), 3,80 (с, 3Н), 2,44 (с, 3Н), 2,35 (м, 1Н), 2,24 (м, 2Н), 1,96 (м, 1Н), 1,26 (с, 3Н), 1,13 (с, 3Н). Соответствующий этиловый эфир соединения 241 обрабатывают метансульфонилхлоридом и триэтиламином в дихлорэтане при 0oС и получают производное мезилата с количественным выходом после обработки водой. Мезилат используют без дополнительной очистки.
Пример 104Соединение 243. К раствору тозилата 242 (44,6 г, 111,5 ммоль) в дихлорэтане (450 мл) при (-78)oС добавляют пиридин (89 мл), затем медленно добавляют SO2Cl2 (26,7 мл, 335 ммоль). Смесь перемешивают в течение 5 часов при температуре (-78)oС и по каплям добавляют метанол (45 мл). Смесь нагревают до комнатной температуры и перемешивают в течение 12 часов. Добавляют этиловый эфир и полученную смесь промывают 3 раза водой и 1 раз солевым раствором, затем сушат над сульфатом магния. После отгонки растворителя получают промежуточный продукт в виде масла (44,8 г). К промежуточному продукту (44,8 г, 111,5 ммоль) в метиловом спирте (500 мл) добавляют TsOH (1,06 г, 5,6 ммоль). Смесь кипятят с обратным холодильником в течение 4 часов. Реакционную смесь охлаждают до комнатной температуры и отгоняют метанол в вакууме. Добавляют свежий метанол (500 мл) и полученную смесь кипятят с обратным холодильником еще 4 часа. Реакционную смесь охлаждают до комнатной температуры и отгоняют метанол в вакууме. После очистки испарительной колоночной хроматографией (гексан/этилацетат= 3/1-1/3) получают смесь двух изомеров (26,8 г). Чистый продукт 243 получают после перекристаллизации из смеси гексан/этилацетат с выходом 20,5 г (54%). 1Н ЯМР (CDCl3): 7,82 (д, J=8,3 Гц, 2Н), 7,37 (д, J= 8,3 Гц, 2Н), 6,84 (м, 1Н), 4,82 (дд, J=5,8, 7,4 Гц, 1Н), 4,50 (м, 1Н), 3,90 (дд, J=4,4, 8,2 Гц, 1Н), 3,74 (с, 3Н), 2,79 (дд, J=5,5, 18,2 Гц, 1Н), 2,42 (дд, J=6,6, 18,2 Гц, 1Н). Соответствующее эфирное производное этилмезилата соединения 242 обрабатывают по приведенной выше методике. Удаление защитной группы ацетонида осуществляют уксусной кислотой при кипячении с обратным холодильником в этаноле и получают продукт с выходом 39% непосредственным осаждением простым эфиром из сырой реакционной смеси.
Пример 105Соединение 1. К раствору диола 243 (20,0 г, 58,5 ммоль) в ТГФ (300 мл) при 0oС добавляют DBU (8,75 мл, 58,5 ммоль). Реакционную смесь нагревают до комнатной температуры и перемешивают в течение 12 часов. Растворитель (ТГФ) отгоняют в вакууме. После очистки испарительной колоночной хроматографией (гексан/этилацетат=1/3) получают эпоксид 1 (9,72 г, 100%). 1Н ЯМР (СDСl3): 6,72 (м, 1Н), 4,56 (тд, J=2,6, 10,7 Гц, 1Н), 3,76 (с, 3Н), 3,56 (м, 2Н), 3,00 (д, J=21 Гц, 1H), 2,50 (д, J=20 Гц, 1Н), 2,11 (д, J=10,9 Гц, 1Н). Соответствующее эфирное производное этилмезилата соединения 243 обрабатывают в соответствии с приведенной ваше методикой и получают эпоксид с практически количественным выходом.
Пример 106Азиридин 244. Через раствор аллилового эфира 4 (223 мг, 1,07 ммоль) и катализатора Линдлара (200 мг) в абсолютном этаноле (8,0 мл) пропускают газообразный водород при давлении 1 атмосфера и при комнатной температуре в течение 50 минут. Катализатор отфильтровывают через слой целита и промывают горячим метанолом. После отгонки растворителя в вакууме получают около 230 мг соединения 244 в виде светло-желтого масла, которое используют в дальнейших реакциях без дополнительной очистки. Пример107 Азидоамин 205. Сырой азиридин 244 (230 мг), азид натрия (309 мг, 4,75 ммоль) и хлорид аммония (105 мг, 1,96 ммоль) в сухом ДМФА (10 мл) нагревают при 70oС в течение 16 часов в атмосфере аргона. Реакционную смесь охлаждают, фильтруют через маленькую стеклянную воронку с фильтром из пористого стекла для удаления твердых примесей и распределяют между этилацетатом и солевым раствором. Органическую фазу отделяют и сушат над сульфатом магния. После отгонки растворителя в вакууме и очистки испарительной хроматографией на силикагеле (10% гексана в этилацетате) получают 154 мг (57%, 2 стадии) соединения 205 в виде вязкого желтого масла с чистотой, достаточной для проведения следующей реакции. Пример 108 N-ацетилазид 245. Ацетилхлорид (70 мкл, 0,98 ммоль) добавляют в раствор амина 205 (154 мг, 0,61 ммоль) и пиридина (1,3 мл) в дихлоэтане (4,0 мл), охлажденном до 0oС. Реакционную смесь выдерживают при 0oС в течение 1,5 часов, растворитель отгоняют в вакууме и полученный осадок распределяют между этилацетатом и солевым раствором. Органическую фазу отделяют и последовательно промывают насыщенным раствором бикарбоната натрия и солевым раствором, затем сушат над сульфатом магния. После отгонки расторителя в вакууме и очистки испарительной хроматографией на силикагеле (этилацетат) получают 167 мг (93%) соединения 245 в виде светло-желтого осадка. Пример 109 Аминоэфир 200. Трифенилфосфин (1,7 г, 6,48 ммоль) добавляют по частям в раствор соединения 245 (1,78 г, 6,01 ммоль) в ТГФ (40 мл) и воде (1,5 мл). Реакционную смесь перемешивают при комнатной температуре в течение 42,5 часов. Летучие компоненты отгоняют в вакууме, твердый промежуточный продукт адсорбируют на силикагеле и очищают испарительной хроматографией (100% этилацетата, затем 100% метанола) и получают 1,24 г (77%) соединения 200 в виде светлого осадка. Пример 110 Аминокислота 102. К раствору метилового эфира 200 (368 мг, 1,37 ммоль) в ТГФ (4,0 мл), охлажденном до 0oС, добавляют водный раствор NaOH (1,37 мл 1,0 N раствора). Реакционную смесь перемешивают при 0oС в течение 10 минут, затем при комнатной температуре в течение 1,5 часов, после чего подкисляют кислой катионообменной смолой амберлит IR-120 (Н+) до рН 7,0-7,5. Смолу отфильтровывают и промывают водой и метанолом. После отгонки растворителя в вакууме получают белый осадок аминокислоты, который очищают с помощью хроматографией с обращением фаз (элюент – вода) на сорбенте 18. После объединения и лиофилизации фракций, содержащих целевой продукт, получают 290 мг (83%) аминокислоты 102. Пример 111 Гидрохлорид амина 250. Амин 228 (15,6 мг, 0,05 ммоль) обрабатывают раствором 0,1 N НСl и затем упаривают. Осадок растворяют в воде и фильтруют на маленькой колонке с обращением фаз на силикагеле С-18. После лиофилизации получают соль гидрохлорида 250 (12 мг) в виде осадка. 1Н ЯМР (D2O): 6,68 (с, 1 Н), 4,35 (шд, J=9,0 Гц), 4,06 (дд, 1 Н, J=9,0, 11,6 Гц), 3,79 (с, 3Н), 3,65-3,52 (м, 2Н), 2,97 (дд, 1Н, J=5,5, 17,2 Гц), 2,58-2,47 (м, 1Н), 2,08 (с, 3Н), 1,61-1,41 (м, 4Н), 0,88 (т, 3Н, J=7,4), 0,84 (т, 3Н, J=7,4 Гц).
Пример 112Ди-Вос-гуанидин 251. К раствору амина 228 (126 мг, 0,42 ммоль), N,N’-ди-трет-бутоксикарбонилтиомочевины (127 мг, 0,46 ммоль) и триэтиламина (123 мкл, 0,88 ммоль) в ДМФА (4 мл) при 0oС добавляют НgСl2 (125 мг, 0,46 ммоль). Перемешивают при 0oС в течение 30 минут и при комнатной температуре в течение 1,5 часа. Смесь разбавляют этилацетатом и фильтруют через целит. Растворитель упаривают и осадок распределяют между этилацетатом и водой. Органическую фазу промывают насыщенным раствором хлорида натрия, сушат над сульфатом магния, фильтруют и упаривают растворитель. Сырой продукт очищают на силикагеле (2/1, 1/1-гексан/этилацетат) и получают ди-Вос-гуанидин 251 (155 мг, 69%). 1Н ЯМР (CDCl3, 300 МГц): 11,40 (с, 1Н), 8,66 (д, 1Н, J=7,9 Гц), 6,8 (с, 1Н), 6,22 (д, 1Н, J=8,9 Гц), 4,43-4,34 (м, 1Н), 4,19-4,08 (м, 1Н), 4,03 (м, 1Н), 3,76 (с, 3Н), 3,35 (м, 1Н), 2,79 (дд, J=5,4, 17,7 Гц, 1Н), 2,47-2,36 (м, 1Н), 1,92 (с, 3Н), 1,50, 1,49 (2с, 18Н), 0,89 (м, 6Н).
Пример 113Гуанидиновая кислота 252. К раствору ди-Вос-гуанидина 251 (150 мг, 0,28 ммоль) в ТГФ (3 мл) добавляют 1,039 N КОН (337 мкл) и воду (674 мкл). Смесь перемешивают в течение 3 часов, добавляют еще 67 мкл 1,039 N раствора КОН и перемешивают еще в течение 2 часов. Смесь фильтруют для удаления небольшого количества темого осадка. Фильтрат охлаждают до 0oС и подкисляют с помощью катионообменной смолы амберлит IR-120 до рН 4,5-5,0. Смолу отфильтровывают и промывают метанолом. Фильтрат упаривают и полученный осадок растворяют в дихлорэтане (3 мл), охлаждают до 0oС и обрабатывают трифторуксусной кислотой (3 мл). После перемешивания в течение 10 минут при 0oС реакционную смесь перемешивают при комнатной температуре в течение 2,5 часов. Растворители упаривают, осадок растворяют в воде и хроматографируют с обращением фаз на короткой колонке (3х1,5 см) с силикагелем С-18, используя в качестве элюента воду, а затем 5% раствор ацетонитрила в воде. Фракции, содержащие целевой продукт, объединяют и упаривают. Осадок растворяют в воде, лиофилизируют и получают белый осадок гуанидиновой кислоты 252 (97 мг, 79%). Пример 114 Азидокислота 260. К раствору метилового эфира 227 (268 мг, 0,83 ммоль) в ТГФ (7,0 мл) добавляют водный раствор КОН (1,60 мл раствора 1,039 N раствора КОН) при комнатной температуре. После перемешивания в течение 19 часов при комнатной температуре реакционную смесь подкисляют с катионообменной смолой амберлит IR-120 (Н+) до рН 4,0. Смолу отфильтровывают и промывают водой и этанолом. После отгонки растворителя в вакууме получают сырую азидокислоту 260 в виде светло-оранжевого пенообразного продукта, которую используют в следующей реакции без дополнительной очистки. Пример 115 Азидоэтиловый эфир 261. К раствору карбоновой кислоты 260 сырой (промежуточный продукт, полученный, как указано в предыдущем примере, примерно 0,83 ммоль), этиловый спирт (150 мкл) и каталитическое количество DМАР в дихлорэтане (6,0 мл) добавляют однопорционно DCC (172 мг, 0,83 ммоль) при комнатной температуре). Через несколько минут образуется осадок, и после дополнительного перемешивания в течение 1 часа реакционную смесь фильтруют и промывают дихлорэтаном. После отгонки растворителя в вакууме получают светлый осадок, который очищают испарительной хроматографией на силикагеле (50% гексана в этилацетате) и получают 272 мг соединения 261 (96%, незначительная примесь мочевины DCU) в виде белого осадка. Если вместо DCC использовать диизопропилкарбодиимид, то выход соединения 261 составит 93%, но при очистке хроматографией в продукте значительно снижается содержание примеси мочевины по сравнению с продуктом, полученным с использованием DCC. Пример 116 Аминоэтиловый эфир 262. Трифенилфосфин (342 мг, 1,30 ммоль) добавляют однопорционно к раствору соединения 261 (272 г, 0,80 ммоль) в ТГФ (17 мл) и воды (1,6 мл). Смесь нагревают при 50oС в течение 10 часов, охлаждают и после отгонки растворителя в вакууме получают светлый осадок. Очистка сырого продукта испарительной хроматографией на силикагеле (50% метанола в этилацетате) позволяет получить 242 мг (96%) аминоэтилового эфира 262 в виде светлого осадка. Аминоэтиловый эфир растворяют в 3 N растворе НСl), лиофилизируют и получают соответствующую водорастворимую форму хлоргидрата. 1Н ЯМР (D2O): 6,84 (с, 1Н), 4,36-4,30 (шм, 1Н), 4,24 (к, 2Н, J=7,2 Гц), 4,05 (дд, 1Н, J=9,0, 11,2 Гц), 3,63-3,50 (шм, 1Н), 2,95 (дд, 1Н,J= 5,7, 17,1 Гц), 2,57-2,45 (м, 1Н), 1,60-1,39 (м, 4Н), 1,27 (т, 3Н, J= 7,2 Гц), 0,89-0,80 (м, 6Н). Пример 117 Ди-Вос-гуанидиноэтиловый эфир 263. Получают по методике, описанной Кимом и Кваном в “Tetrahedron Lett.”, 34:7677 (1993). К раствору амина 262 (72 мг, 0,23 ммоль), ди-Вос-тиомочевины (66 мг, 0,24 ммоль) и Et3N (108 мкл) в сухом ДМФА (600 мкл), охлажденном до 0oС, добавляют однопорционно НgСl2 (69 мг, 0,25 ммоль). Гетерогенную реакционную смесь перемешивают в течение 1 часа при 0oС и затем в течение 15 минут при комнатной температуре, после чего к смеси добавляют этилацетат и фильтруют через слой целита. После отгонки растворителя в вакууме и испарительной хроматографии осадка на силикагеле (20% гексана в этилацетате) получают 113 мг (89%) вещества 263 в виде бесцветного пенообразного продукта. 1Н ЯМР(СDСl3, 300 МГц): 11,41 (с, 1Н), 8,65 (д, 1Н, J=8,1 Гц), 6,83 (с, 1Н), 6,22 (д, 1Н, J=9,0 Гц), 4,46-4,34 (м, 1Н), 4,21 (к, 2Н, J= 6,9 Гц), 4,22-4,10 (м, 1Н), 4,04-4,00 (м, 1Н), 3,36 (квинтет, 1Н, J=5,7 Гц), 2,78 (дд, 1Н, J=5,4, 17,7 Гц), 2,46-2,35 (м, 1Н), 1,94 (с, 3Н), 1,60-1,40 (м, 4Н), 1,49 (с, 9Н), 1,50 (с, 9Н), 1,30 (т, 3Н, J= 6,9 Гц), 0,93-0,84 (м, 6Н).
Пример 118Гуанидинэтиловый эфир 264. К раствору ди-Вос-гуанидинилэтилового эфира 263 (113 мг, 0,20 ммоль) в СН2Сl2 (5,0 мл), охлажденному до 0oС, добавляют концентрированную трифторуксусную кислоту (5,0 мл). Реакционную смесь перемешивают в течение 0,5 часа при oС и в течение 1,5 часов при комнатной температуре. После отгонки растворителя в вакууме получают светло-оранжевый осадок, который очищают хроматографией с обращением фаз (элюент – вода) на сорбенте С18. После объединения и лиофилизации фракций, содержащих целевой продукт, получают 63 мг (66%) гуанидинэтилового эфира 264. 1Н ЯМР (D2O, 300 МГц): 6,82 (с, 1Н), 4,35-4,31 (м, 1Н), 4,24 (к, 2Н, J=7,1 Гц), 3,95-3,87 (м, 1Н), 3,85-3,76 (м, 1Н), 3,57-3,49 (м, 1Н), 2,87 (дд, 1H, J=5,1, 17,7 Гц), 2,46-2,34 (м, 1Н), 2,20 (с, 1Н), 1,60-1,38 (9м, 4Н), 1,28 (т, 3Н, J=7,1 Гц), 0,90-0,80 (м, 6Н).
Пример 119Определение фермент ингибирующей активности. Ингибирующую активность исследуемых соединений определяли с использованием описанных выше методов скриннинга активности in vitro. Полученные результаты приведены в Табл.10 (+соответствует ПК50=10-100 мкмоль, ++ 1-10 мкмоль, +++ <1,0 мкмоль): Пример 120 Соединения A.113.b.4.i и А.113.х.4.i каждое в отдельности выдерживают в буфере для определения ферментативной активности, затем определяют их ингибирующую активность по методике, указанной в примере 119. Активность указанных соединений составляет > 100 мкмоль. Если каждое из указанных соединений в отдельности выдерживать в плазме крови крысы, то их активность равна активности соединения А. 113.а.4.i. Пример 121 Эксперименты проводили под руководством Др. Роберта Сидвелла в Государственном Институте антивирусных исследований штата Юта. Цель экспериментов заключалась в сравнительном определении противовирусной активности у мышей in vivo (по отношению к вирусу гриппа А) соединения 203 (пример 69), в сравнении с соединением GG167 и рибавирином. Методы введения лекарств – оральный и внутрибрюшинный. Соединение GG167 и рибавирин являются известными противовирусными соединениями. ![]() Мыши. Самки весом 13-15 г (специальная линия мышей, не подверженных заболеваниям, BALB/c) были получены из Simonsen Laboratories (Gilroy, CA). Перед тестированием мышей выдерживают в течение 24 часов в специальном переносном карантинном блоке Wayne Lab Biox, оборудованном нижней поилкой. Для контроля возможных вторичных бактериальных инфекций в питьевую воду добавляют 0,006% окситетрациклина (Pfizer, New York, NY). Вирус. Вирус гриппа A/NWS/33 (H1N1) был предоставлен К.В. Кочраном из Университета Мичигана (Ann Arbor, MI). Вирус накапливали следующим образом: инфицировали сливающиеся монослои культур клеток почки собаки Madin Darby (MDCK), инкубировали их при 37 oС в присутствии 5% углекислого газа и сбор клеток осуществляли через 3-5 дней, когда вирусный цитопатический эффект составлял 90-100%. Концентрированный раствор вируса помещали в ампулы и хранили при (-80)oС до использования. Соединения. Для проведения исследований соединения 203 и GG167 растворяли в стерильном физиологическом растворе. Определение растворимого кислорода в артериальной крови (SaO2). SaO2 определяли с использованием оксигемометра (pulse oximeter) Ohmeda Biox 3740 (Ohmeda, Loisville, ОН). Для исследований использовали устройство для ушного зондирования, которое помещали на бедро животного, и проводили тестирование при медленном режиме. Исследования каждого животного начинали по истечении 30 секунд для стабилизации. Использование данного прибора для измерения действия вируса гриппа на содержание артериального кислорода были описаны в работе Sidwell et al., Antimicrob. Agents Chemother. 36:473-476 (1992). Проведение экспериментов по исследованию орального введения соединений. Группы из 11 мышей, зараженные через нос практически 95% летальной дозой вируса, получали определенную дозу исследуемого соединения. Дозы соединений 203 и GG167 составляли 50, 10, 2 и 0,5 мг/кг/день. Лечение осуществляли дважды в день внутрибрюшинно в течение 5 дней, начиная за 4 часа до заражения животных вирусом. 8 животных из зараженных и обработанных каждой дозой исследуемого вещества и 16 зараженных и обработанных для контроля физиологическим раствором были исследованы на уровень SaO2 на 3 из 10 дней, при этом гибель животных фиксировали ежедневно в течение 21 дня. Оставшихся 3 мышей из каждой группы вместе с 6 мышами из контрольной группы на 6-ой день умерщвляли, извлекали легкие, взвешивали их и оценивали степень их окрашенности в цвет сливы по условной шкале (0=нормальное, 4=100% изменения). Поскольку соединение 203 при дозе 300 мг/кг/день является нетоксичным и по литературным данным GG167 также не токсично, эксперименты по контролю токсичности не проводили. Проведение экспериментов по исследованию внутрибрюшинного введения соединений. Группы из 11 мышей были заражены через нос практически 95% летальной дозой вируса и получали 250, 50 и 10 мг/кг/день соединения 203 или GG167 либо 100, 32 и 10 мг/кг/день рибавирина. Лечение осуществляли через желудочный зонд, введенный через рот, дважды в день в течение 5 дней, начиная за 4 часа до заражения животных вирусом. 8 животных в каждой группе выдерживали в течение 21 дня, регистрируя ежедневно гибель животных и определяя на 3-10 день уровни SaO2. Оставшихся 3 мышей из каждой группы вместе с 6 мышами из контрольной группы на 6-ой день умерщвляли, извлекали легкие, взвешивали их и оценивали степень их окрашенности в цвет сливы по условной шкале (0=нормальное, 4= 100% изменения). 15 зараженных мышей, получавших только физиологический раствор и выдержанных в течение 21 дня, исследовали на SaO2 по приведенный выше методике. 6 дополнительно зараженных животных, получавших физиологический раствор, умерщвляли на 6 день для исследования легких. 3 контрольных особи выдерживали 21 день, исследовали на SaO2 параллельно с остальными особями и еще 3 контрольных особи умерщвляли на 6 день для исследования легких. Проведение экспериментов по исследованию орального введения малых доз соединений. Группы из 8 мышей, зараженных через нос практически 90% летальной дозой вируса, получали определенную дозу исследуемого соединения. Дозы каждого соединения составляли 10, 1 и 0,1 мг/кг/день. Соединения вводили орально дважды в день в течение 5 дней, начиная за 4 часа до заражения животных вирусом. 8 животных, зараженных и получивших указанные дозы исследуемого вещества, и 16 контрольных животных, зараженных и получавших физиологический раствор, были исследованы на уровень SaO2 на 3 из 11 дней, при этом ежедневно регистрировали гибель животных в течение 21 дня. Статистическая обработка. Увеличение количества выживших особей оценивали методом средних квадратов площадей с поправкой Ятта. Увеличение среднего времени выживания и различия в SaO2, весах легких и титра вируса в легких были исследованы посредством t-теста. Различия в условных оценках состояния легких оценивали методом ранжирования сумм. Во всех случаях исследовали различия между особями, получавших лечение, и контрольными особями. В Таблице I и на фиг. 1 и 2 представлены результаты экспериментов по внутрибрюшинному введению соединений. Хотя в данной модели оба соединения при высоких дозах проявляют ингибирующую активность, лечение соединением 203 также приводит к значительному увеличению времени выживания при дозе 10 мг/кг/день. Снижение уровня SaO2 особенно ингибируется при дозе обоих соединений 50 мг/кг/день, причем GG167 ингибирует это снижение при его дозах 10 и даже 2 мг/кг/день. Данные по условной оценке легких указывают на наличие аналогичной тенденции в эффективности GG167 при более чем одной дозе. Некоторый разброс наблюдается в величинах весов легких мышей, получивших максимальную дозу GG167, имевших больший средний вес, чем у получавших физиологический раствор контрольных особей. В Таблице II представлены данные по исследованию доз при оральном введении соединений, и на фиг. 3-5 приведены ежедневные показатели SaO2. Лечение всеми тремя веществами по данной модели приводит к значительному ингибированию вирусной инфекции, предотвращению гибели животных, уменьшению условных величин оценок состояния легких и их веса, увеличение которого связано с развитием инфекции, а также ингибированию обычного в таких случаях снижения SaO2. Результаты по оральному введению малых доз суммированы в Таблице III и на фиг. 6-8. В этом эксперименте заражение привело к гибели 14 из 16 контрольных животных, среднее время выживания в этой группе составляло 9,6 дней. Хотя все три соединения проявляют некоторую степень подавления вирусной инфекции, соединение 262 (в форме предшественника лекарственного средства) оказалось наиболее эффективным при всех дозах, что подтверждается данными по количеству выживших особей, среднему времени выживания и ингибированию снижения уровня SaO2. В Таблице III представлены средние значения показателя SаO2 в процентах для всех экспериментов в течение всего периода лечения. Ежедневная запись величин для каждого соединения представлена графически на фиг. 6-8. На фиг. 6 представлены показатели SaO2 при введении максимальных концентраций каждого из соединений, на фиг. 7 – аналогичные величины для средних доз и на фиг. 8 – сравнительные данные для минимальных доз каждого из соединений. Как видно из Таблицы III и фиг. 6-8, хотя все три соединения при оральном введении ингибируют вирусную активность (вирус гриппа A (H1N1), соединение 262 является более эффективным. В данном эксперименте не было определено, не сопровождается ли повышение антивирусной активности соединения 262 повышением токсичности для организма животных. Однако это маловероятно, поскольку повышение антивирусной активности, скорее всего, связано с повышенной биодоступностью этого соединения при оральном введении. Условные обозначения, используемые в Таблицах 1-3, приведены после Таблицы III. Неожиданно приведенные в таблицах результаты свидетельствуют об эффективности GG167 в снижении смертности инфицированных вирусом гриппа мышей в терапевтических дозах при оральном и внутрибрюшинном введении. Этот вывод находится в противоречии с результатами, опубликованными в работе Ryan et al. (Antimicrob. Agents Chemother. , 38(10):2270-2271) [1994]), в которой предполагают, что “относительно слабая активность in vivо, наблюдаемая при лечении мышей соединением GG167 внутрибрюшинно, несмотря на его хорошую биологическую доступность, связана с его быстрым выводом из плазмы, что приводит к низкой проницаемости этого вещества в дыхательные секреции, а также с его неспособностью проникать и существовать в клетках… Аналогично, низкая эффективность его при оральном введении является следствием низкой биодоступности в сочетании с другими факторами” (стр. 2274). Эти наблюдения находятся в соответствии с данными, представленными в работах Von Izstein et al. , WO 91/16320, WO 92/06691 и в патенте US 5360817, которые посвящены исследованию GG167. В данных патентах отсутствуют какие-либо предложения по введению соединения GG167 каким-либо другим методом помимо интраназального. Однако при некоторых обстоятельствах интраназальное введение является неудобным и требует больших финансовых затрат. Возникает необходимость в разработке более простых способов ввдения GG167 и его производных, описанных в WO 91/16320, WO 92/06691 и в патенте US 5360817. Таким образом, предметом настоящего изобретения является способ лечения или профилактики инфекции вируса гриппа в организме хозяина путем введения методом, отличающимся от способов введения, связанных с дыхательными путями, терапевтически эффективной дозы антивирусно активных соединений формулы (x) или (y), обладающих противовирусной активностью ![]() ![]() где в общей формуле (x) А является кислородом, углеродом или серой, и в общей формуле (y) А является азотом или углеродом; R1 означает СООН, Р(O)(ОН)2, NO2, SOOH, SO3H, тетразол, СН2СНО, СНО или СН(СНО)2, R2 представляет собой Н, OR6, F, Сl, Br, CN, NHR6, SR6 или СН2Х, где X – NHR6, галоген или OR6 и R6 означает водород, ацильную группу с 1-4 атомами углерода, линейную или циклическую алкильную группу с 1-6 атомами углерода, или ее галоген-замещенный аналог, аллильную группу или незамещенную арильную группу или галоген-замещенный арил, ОН группу, NO2 группу или NH2 группу или СООН группу, R3 и R3′ имеют одинаковые или разные значения и означают водород, CN, NHR6, N3, SR6, =N-OR6, OR6, гуанидино, ![]() NR6 ![]() ![]() ![]() ![]() R4 представляет собой NHR6, SR6, OR6, COOR6, NO2, C(R6)3, CH2COOR6, CH2NO2 или CH2NHR6, R5 означает CH2YR6, CHYR6CH2YR6 или CHYR6CHYR6CH2YR6, где Y означает О, S, NH или Н и последовательные звенья Y могут быть одинаковыми или различными, и их фармацевтически приемлемые соли или производные, представленные формулой (х) (i) где R3 или R3′ означает OR6 или водород и А – кислород или сера, при условии, что такое соединение не может одновременно иметь (а) в качестве R2 водород и (б) в качестве R4 NH-ацил; (ii) R6 представляет собой ковалентную связь в случае, если Y – водород, и при условии, что в общей формуле (y), (i) где R3 или R3′ означают OR6 или водород, и А – азот, такое соединение не может одновременно иметь (а) в качестве R2 водород и (б) в качестве R4 NH-ацил, (ii) R6 означает ковалентную связь в случае, когда Y – водород. Соединения формул (х) и (у) наиболее полно описаны как соединения “1” и “1а” в WO 91/16320, со стр 3, строка 23 до стр. 7, строка 1; WO 92/06691 и в патенте US 5360817. Для целей данного изобретения введение исследованных соединений, отличающееся от “введения связанных с дыхательными путями”,: не исключает введения соединений щечным или подъязычным путем, а также не исключает случайной адсорбции соединения в пищеводе при указанных выше методах введения. Однако такая адсорбция в пищеводе не является случайной при введении лекарств в легкие или через нос с помощью ингаляторов или аналогичными способами. Соединение обычно вводят в организм в сформованной форме в виде суспензии или раствора. В типичных воплощениях данного изобретения используют соединение GG167, в качестве организма хозяина – организмы животных, отличных от мышей (такие как хорьки или люди), лекарство вводят орально, а целью лечения и профилактики является снижение смертности. В других случаях используют пролекарства соединений формулы (X) или (Y), хотя, как следует из приведенных выше данных, для достижения противовирусного эффекта при оральном введениии это не является необходимым. В качестве пролекарства соединения GG167 и его аналогов можно использовать соединения с группами, аналогичными группам соединений формул (X) и (Y), т.е. эфирами или амидами карбоновых кислот. В качестве соединений по данному изобретению пригодны также любые эфиры, амиды или другие предшственники лекарственных форм, описанные в литературе. Терапевтически эффективные дозы GG167 и его аналогов при оральном или не назальном введении будут определяться специалистами-медиками в свете заключений, сделанных в связи с дозировкой соединений согласно данному изобретению. При этом определяющими факторами являются способы введения и вид хозяина. В основном дозировка будет увеличиваться при переходе от внутривенного к подкожному и к оральному способам введения и в соответствии с обычными фармакологическими принципами при переходе к более крупным животным. Определение терапевтически активных доз осуществляется с учетом известных принципов квалифицированными специалистами, но в основном дозы будут по существу аналогичны дозам, используемым для соединений согласно изобретению. Пример 122 Любая из реакций, представленных в Таблице 11, осуществлялась в соответствии со схемой 46. Предварительно проведенные реакции отмечены значком “галочка”. Кроме особо выделенных в Таблице 11 50 случаев стадии АА, АВ и АС осуществляли в соответствии с примерами 92, 93 и 94 соответственно и стадии AD – в соответствии с примерами 112 и 113. Пример 123 Трифторацетамид 340. К раствору амина 228 (100 мг, 0,34 ммоль) в дихлорэтане (3,5 мл) при 0oС добавляют пиридин (41 мкл, 0,51 ммоль) и трифторуксусный ангидрид (ТФА) (52 мкл, 0,37 ммоль), перемешивают раствор в течение 45 минут, после чего добавляют дополнительное количество трифторуксусной кислоты (0,5 экв.). Через 15 минут смесь упаривают в вакууме и осадок распределяют между этилацетатом и 1 М раствором HCl Органическую фазу промывают насыщенным раствором бикарбоната натрия, насыщенным раствором хлорида натрия, сушат над сульфатом магния, фильтруют и выпаривают. После хроматографии осадка на силикагеле (2/1 – гексан/этилацетат) получают трифторацетамид 340 (105 мг, 78%). 1Н ЯМР (CDCl3): 8,64 (д, 1Н, J=7,7 Гц), 6,81 (с, 1Н), 6,48 (д, 1Н, J=8,2), 4,25-4,07 (м, 3Н), 3,75 (с, 3Н), 3,37 (м, 1Н), 2,76 (дд, 1Н, J=4,5, 18,7 Гц), 2,54 (м, 1Н), 1,93(с, 3Н), 1,48 (м, 4Н), 0,86 (м, 6Н).
Пример 124N-метилтрифторацетамид 341. К раствору трифторацетамида 340 (90 мг, 0,23 ммоль) в ДМФА (2 мл) при 0oС добавляют гидрид натрия (10 мг, 60%-ная дисперсия в минеральном масле, 0,25 ммоль). Смесь выдерживают в течение 15 минут при 0oС, добавляют йодистый метил (71 мкл, 1,15 ммоль), и полученную смесь перемешивают при 0oС в течение 2 часов и затем при комнатной температуре в течение 1 часа. Затем добавляют уксусную кислоту (28 мкл) и упаривают раствор. Осадок распределяют между этилацетатом и водой. Органическую фазу промывают насыщенным раствором хлорида натрия, сушат над сульфатом магния, фильтруют и упаривают. После хроматографии осадка на силикагеле (1/1 – гексан/этилацетат) получают N-метилтрифторацетамид 341 (81 мг, 87%) в виде бесцветного стеклообразного вещества. 1Н ЯМР (CDCl3): 6,80 (с, 1Н), 6,26 (д, 1Н, J=9,9 Гц), 4,67 (м, 1Н), 4,32 (м, 1Н), 4,11 (м, 1Н), 3,78 (с, 3Н), 3,32 (м, 1Н), 3,07 (шс, 3Н), 2,60 (м, 2Н), 1,91 (с, 3Н), 1,48 (м, 4Н), 0,87 (м, 6Н).
Пример 125N-метиламин 342. К раствору N-метилтрифторацетамида 341 (81 мг, 0,20 ммоль) в ТГФ (3 мл) добавляют 1,04 N раствор КОН (480 мкл, 0,50 ммоль) и смесь перемешивают при комнатной температуре в течение 14 часов. Реакционную смесь подкисляют ионообменной смолой амберлит IR-120 до рН 4. Смолу отфильтровывают, промывают ТГФ и фильтрат упаривают. Осадок растворяют в 10%-ной смеси ТФУ(трифторуксусная кислота)/вода (5 мл) и упаривают. Осадок пропускают через обращенно-фазную хроматографическую колонку (1,5х2,5 см) с сорбентом C18 (элюент – вода). После объединения и лиофилизации фракций, содержащих целевой продукт, получают N-метиламин 342 (46 мг, 56%) в виде белого осадка. 1Н ЯМР (D2O): 6,80 (с, 1Н), 4,31 (шд, 1Н, J=8,8 Гц), 4,09 (дд, 1Н, J=8,9, 11,6 Гц), 3,53 (м, 2Н), 2,98 (дд, 1Н, J=5,4, 16,9 Гц), 2,73 (с, 3Н), 2,52-2,41 (м, 1Н), 2,07 (с, 3Н), 1,61-1,39 (м, 4Н), 0,84 (м, 6Н).
Пример 126Соединение 346. К раствору эпоксида 345 (13,32 г, 58,4 ммоль) в смеси МеОН/вода-8/1 (440 мл, об./об.) добавляют азид натрия (19,0 г, 292,0 ммоль) и хлорид аммония (2,69 г, 129,3 ммоль), полученную смесь кипятят с обратным холодильником в течение 15 часов. Смесь охлаждают, растворитель отгоняют и осадок распределяют между этилацтатом и водой. Органическую фазу последовательно промывают насыщенным раствором бикарбоната натрия и солевым раствором, а затем сушат над сульфатом магния. После отгонки растворителя в вакууме и хроматографии на силикагеле (30% этилацетата в гексане) получают азидоспирт 346 в виде вязкого масла (11,81 г, 75%). 1Н ЯМР (300 МГц, CDCl3): 6,90-6,86 (м, 1Н), 4,80 (с, 2Н), 4,32 (шт, 1Н, J=4,2 Гц), 4,22 (к, 2Н, J= 7,2 Гц), 3,90-3,74 (перекр, м, 2Н), 3,44 (с, 3Н), 2,90 (д, 1Н, J=6,9 Гц), 2,94-2,82 (м, 1Н), 2,35-2,21 (м, 1Н), 1,30 (т, 3Н, J=7,2 Гц).
Пример 127Соединение 347. К раствору этилового эфира 346 (420 мг, 1,55 ммоль) в сухом ТГФ (8,0 мл), охлажденном до (-78)oС, добавляют DIBAL (5,1 мл 1,0 М раствора в толуоле) посредством шприца по каплям. Ярко-желтую реакционную смесь перемешивают при (-78)oС в течение 1,25 часа и затем медленно гидролизуют при медленном добавлении метилового спирта (1,2 мл). Летучие примеси отгоняют в вакууме, и осадок распределяют между этилацетатом и охлажденной разбавленной соляной кислотой. Органическую фазу отделяют, водную фазу снова экстрагируют этилацетатом. Органические фазы объединяют и последовательно промывают насыщенным раствором бикарбоната натрия и солевым раствором, а затем сушат над сульфатом магния. После отгонки растворителя в вакууме и хроматографии на силикагеле (20% гексана в этилацетате) получают 127 мг (36%) диола 347 в виде бесцветного вязкого масла. 1Н ЯМР (300 МГц, CDCl3): 5,83-5,82 (м, 1Н), 4,78 (с, 2Н), 4,21 (шт, 1Н, J=4,4 Гц), 4,06 (шс, 2Н), 3,85-3,65 (перекр., м, 2Н), 3,43 (с, 3Н), 3,18 (д, 1Н, J=8,1 Гц), 2,51 (дд, 1Н, J=5,5, 17,7 Гц), 2,07-1,90 (м, 1H), 1,92 (шс, 1H). Т Т Т,
Формула изобретения
![]() ![]() в которой А1 означает -С(J1) =; А2 означает -С(J1)2-; Е1 означает -(СR1R1)m1W1; G1 означает N3, -CN, -ОН, -OR6а, -NO2 или -(СR1R1)m1W2; Т1 означает -NR1W3, гетероцикл, или вместе с U1 или G1 образует группу формулы ![]() U1 означает Н или -Х1W6; J1 и J1а, независимо друг от друга, означает R1, Br, Сl, F, l, CN, NO2 или N3; J2 и J2а, независимо друг от друга, означает Н или R1; R1, независимо друг от друга, означает Н или алкил, содержащий от 1 до 12 атомов углерода; R2 означает R3 или R4, где каждый R4 независимо замещен на 0-3 группы R3; R3, независимо друг от друга, означает -NO2, – OR6а, -OR1, -N(R1)2, -N(R1)(R6b), -N(R6b)2, -SR1, -SR6а, =О, =S, =N(R1) или =N(R6b); R4, независимо друг от друга, означает алкил, содержащий от 1 до 12 атомов углерода, или алкенил, содержащий от 2 до 12 атомов углерода; R3, независимо друг от друга, означает R4, где каждый R4 замещен на 0-3 группы R3; R5а, независимо друг от друга, означает алкилен, содержащий от 1 до 12 атомов углерода, алкенилен, содержащий от 2 до 12 атомов углерода, или алкинилен, содержащий от 2 до 12 атомов углерода, причем названные алкенилен или алкинилен замещены на 0-3 группы R3; R6а, независимо друг от друга, означает Н или группу, образующую простой или сложный эфир; R6b, независимо друг от друга означает Н, защитную группу для аминогруппы или для остатка карбоксилсодержащего соединения; R6с, независимо друг от друга, означает Н или остаток соединения, содержащего аминогруппу; W1 означает группу, содержащую кислотный водород, защищенную кислотную группу или R6с амид группы, содержащей кислотный водород; W2 означает группу, содержащую основной гетероатом или защищенный основной гетероатом или R6b амид основного гетероатома; W3 имеет те же значения, что W4 или W5; W4 означает R5 или -С(О)R5, -С(О)W5, -SO2R5 или -SO2W5; W5 означает карбоцикл или гетероцикл, независимо друг от друга, замещенные на 0-3 группы R2; W6 означает -R5 -W5, -R5аW5, -С(О)ОR6а, – С(О)R6с, -С(О)N(R6b)2, -С(NR6b)(N(R6b)2), -С(NR6b)(N(Н)(R6b)), -С(N(Н)(N(R6b)2), -С(S)N(R6b)2 или -С(О)R2; Х1 означает связь, -О-, -N(Н)-, -N(W6)-, N(ОН)-, -N(ОW6), -N(NH2)-, -N(N(Н)(W6))-, -N(N(W6)2), – N(Н)N(W6)-, -S-, -SO- или -SO2-; и каждый m1, независимо друг от друга, имеет значение от 0 до 2; при условии, что исключаются соединения, у которых: А1 означает -СН= или -N= и А2 означает -СН2-; Е1 означает СООН, Р(О)(ОН)2, SOOH, SO3Н или тетразол; G1 означает СN, N(Н)R20, N3, SR20, ОR20, гуанидино, -N(Н)CN, ![]() ![]() ![]() Т1 означает -NHR20; R20 означает Н, ацильную группу, содержащую от 1 до 4 атомов углерода, линейную или циклическую алкильную группу, имеющую от 1 до 6 атомов углерода, необязательно замещенную, аллильную группу или незамещенную арильную группу, или арил, замещенный галогеном, группой ОН, группой NO2, группой NH2 или группой СООН; J1 означает Н и J1а означает Н, F, Сl, Вr или CN; J2 означает Н и J2а означает Н, СN или N3; U1 означает СН2YR20а, CHYR20а СН2YR20а или СНYR20аСНYR20аСН2YR20а; R20а означает Н или ацил, содержащий от 1 до 4 атомов углерода; Y означает О, S, Н или NH; от 0 до 2 YR20а являются Н; и последовательные фрагменты молекулы Y в группе U1 имеют одинаковые, или различные значения, и в том случае если Y означает Н, то R20а является ковалентной связью, при условии, что если G1 означает N3, то U1 не является -CН2ОСН2Рh и их фармацевтически приемлемые соли и сольваты, а также их соли, сольваты, разделенные энантиомеры, и очищенные диастереомеры. 2. Композиция по п.1, отличающаяся тем, что G1 означает -(СR1R1)m1W2. 3. Композиция по п.1, содержащая соединение формулы (I) или (II) ![]() ![]() в которой А1 означает -С(J1)=; А2 означает -С(J1)2-; Е1 означает -(СR1R1)m1W1; G1 означает N3, -СN, -ОН, -OR6а, -NO2 или -(СR1R1)m1W2; Т1 означает -NR1W3, гетероцикл, или вместе с U1 или G1 образует группу формулы ![]() U1 означает Н или -Х1W6; J1 и J1а, независимо друг от друга, означают R1, Br, Сl, F, I, CN, NO2 или N3; J2 и J2а, независимо друг от друга, означает Н или R1; R1, независимо друг от друга, означает Н или алкил, содержащий от 1 до 12 атомов углерода; R2 означает R3 или R4, независимо замещенный на 0-3 группы R3; R3 независимо означает -NO2, -OR6а, -OR1, -N(R1)2, -N(R1)(R6b), -N(R6b)2, -SR1, -SR6а, =О, =S, =N(R1) или =N(R6b); R4 независимо друг от друга, является алкилом, содержащим от 1 до 12 атомов углерода, или алкенилом, содержащим от 2 до 12 атомов углерода; R5 независимо друг от друга, имеет значение R4, замещенного на 0-3 группы R3; R5а, независимо друг от друга, является алкиленом, содержащим от 1 до 12 атомов углерода, алкениленом, содержащим от 2 до 12 атомов углерода, или алкиниленом, содержащим от 2 до 12 атомов углерода, причем названные алкилен, алкенилен или алкинилен замещены на 0-3 группы R3; R6а, независимо друг от друга, является Н или группой, образующей простой или сложный эфир; R6b, независимо друг от друга, является Н, защитной группой для аминогруппы или для остатка карбоксилсодержащего соединения; R6с, независимо друг от друга, является Н или остатком соединения, содержащего аминогруппу; W1 является группой, содержащей кислотный водород, защищенную кислотную группу или R6с амид группы, содержащей кислотный водород; W2 является группой, включающей основной гетероатом или защищенный основной гетероатом, или R6b амид основного гетероатома; W3 имеет значение W4 или W5; W4 означает R5 или -С(О)R5, -С(О)W5, -SO2R5, или -SO2W5; W5 является карбоциклом или гетероциклом, независимо друг от друга замещенным на 0-3 группы R2; W6 является -R5, -W5, -R5аW5, – С(О)OR6а, -С(О)R6с, -С(О)N(R6b)2, -C(NR6b)(N(R6b)2), -С(NR6b)(N(Н)(R6b)), -С(N(Н)(N(R6b)2)), -С(S)N(R6b)2) или -С(О)R2; Х1 является связью, -О-, -N(Н)-, -N(W6)-, -N(ОН)-, -N(ОW6)-, -N(NH2)-, -N(N(Н)(W6))-, -N(N(W6)2)-, -N(Н)N(W6)-, -S-, -SO- или -SO2-; и m1 изменяется в пределах от 0 до 2; при условии, что исключаются соединения, формулы ![]() ![]() в которой в формуле (Va): (а) Е1 означает -СО2Н; G1 означает -N(Н)(С(NH)(NH2)); Т1 означает -N(Н)(Ас); и U1 имеет формулу ![]() (b) Е1 означает -СО2Н; G1 означает -NН2; Т1 означает -N(Н)(Ас); и U1 означает -СН2ОН; (с) Е1 означает -СН2ОН, -СН2ОТМS, -СО2Н или -СНО; G1 означает -N3; Т1 означает -N(Н)(Ас); и U1 означает -СН2ОСН2Рh; (d) Е1 означает СО2Н или -СО2СН3; G1 означает -NH3; Т1 означает -N(Н)(Ас); и U1 означает -СН2ОН; и в формуле (VIа): (а) Е1 означает -СН2Н; G1 означает -ОСН3; Т1 означает -N(Н)(Ас); и U1 означает -СН2ОАс; а также их соли, сольваты, разделенные энантиомеры, и очищенные диастереомеры. 4. Композиция по п.3, отличающаяся тем, что А1, А2, Е1, G1, U1, J1, J’1, J1а, J2, J2а, R1, R2, R3, R4, R5, R5а, W3, W4, W6 и Х1 имеют указанное значение; Т1 означает -NR1W3, 3-7-членный моноциклический гетероцикл, содержащий 2-6 атомов углерода и 1-3 гетероатома N, О, Р или S, содержащий либо бициклический 7-10-членный гетероцикл, от 4 до 9 атомов углерода и от 1 до 3 гетероатомов N, О, Р и S, или Т1 вместе с U1 или G1, образуют группу, формулы ![]() R6а, независимо друг от друга, означает Н; защитную группу для гидроксила, карбоновой кислоты, фосфоновой кислоты, фосфоната, сульфоновой кислоты; R6b, независимо друг от друга, является Н, блокирующей группой для аминогруппы или остатка -С(О)R4, аминокислоты или полипептида; R6с, независимо друг от друга, означает Н или остаток аминокислоты, полипептида, защитная группа, -NHSO2R4, -NHC(О)R4, -N(R4)2, -NH2 или -NH(R4); W1 является группой, включающей кислотный водород, защищенную кислотную группу или R6с амид группы, содержащей кислотный водород, где указанный атом кислотного водорода имеет величину показателя рК меньше, чем у воды; W2 является группой, содержащей основной гетероатом или защищенный основной гетероатом, или R6b амид основного гетероатома, причем величина показателя рК протонированной формы указанного основного гетероатома меньше, чем у воды; и W5 является моноциклическим карбоциклом, содержащим 3-7 атомов углерода в цикле или бициклическим карбоциклом, содержащим 7-12 атомов углерода в цикле, либо 3-7-членным моноциклическим гетероциклом, содержащим от 2 до 6 атомов углерода и от 1 до 3 гетероатомов N, О, Р и S, или 7-10-членным бициклическим гетероциклом, содержащим от 4 до 9 атомов углерода и от 1 до 3 гетероатомов N, О, Р и S, независимо друг от друга, замещенными на 0-3 группы R2; 5. Композиция по п.3, формулы (III) ![]() в которой Е1, J1а, J1, J2а, G1, J2, U1 и Т1 имеют указанные значения. 6. Композиция по п.1, отличающаяся тем, что Т1 означает -NR1W3. 7. Композиция по п.1, отличающаяся тем, что R6а означает Н. 8. Композиция по п.1, отличающаяся тем, что R6b означает Н. 9. Композиция по п.1, отличающаяся тем, что R6с означает Н. 10. Композиция по п.1, отличающаяся тем, что W1 означает -СО2Н, -СО2R6а, -ОSO3Н, -SO3Н, -OSO2Н, -ОРО3Н2, -РО3(R6а)2, -РО3Н2, -РО3(Н)(R6а) или -ОРО3(R6а)2. 11. Композиция по п.1, отличающаяся тем, что Е1 означает -СО2Н, -СО2R6а, -СО2R4 или -СО2R1. 12. Композиция по п.1, отличающаяся тем, что Е1 означает -СО2R14, где R14 является нормальным или терминальным вторичным С1-С6 алкилом. 13. Композиция по п.1, отличающаяся тем, что W2 является аминогруппой или аминоалкилом, амидинилом или амидиноалкилом, гуанидилом или гуанидиноалкильной группой, в которых алкильная группа связывает основной заместитель с карбоциклическим кольцом. 14. Композиция по п.1, отличающаяся тем, что W2 означает -NHR1, -С(NH)(NH2), -N(R1)С(NR1)(NR1R3), -НNC(NH)(NHR3), -НNC(NH)(NHR1) -NHC(NH)(NH2), -СН(СН2NHR1)(СН2ОН), -СН(СН2NHR1)(СН2NHR1), -СН(NHR1)-(CR1R1)m2 -СН(NHR1)R1, -СН(ОН)-(СR1R1)m2 -СН(NHR1)R1, СН(NHR1)-(CR1R1)m2-СН(ОН)R1, -(CR1R1)m2-S-С(NH)NH2, -N=С(NHR1)(R3), -N=С(SR1)N(R1)2, -N(R1)С(NH)N(R1)С=N или -N=С(NHR1)(R1). 15. Композиция по п.1, отличающаяся тем, что W6 является С1-С3 алкилом, замещенным на 1-3 группы OR6а или SR6а, устойчивые к гидролизу в среде желудочно-кишечного тракта. 16. Композиция по п.1, отличающаяся тем, что W6 означает -(СН2)m1СН((СН2)m3R3)2, -(СН2)m1С((СН2)m3R3)3; -(СН2)m1СН((СН2)m3R5аW5)2; -(СН2)m1СН((СН2)m3R3)((СН2)m3R5аW5); -(СН2)m1С((СН2)m3R3)2(СН2)m3R5аW5), -(СН2)m1С((СН2)m3R5аW5)3 или -(СН2)m1С((СН2)m3R3)((СН2)m3R5аW5)2 и m3, независимо друг от друга, имеет значение от 1 до 3. 17. Композиция по п.1, отличающаяся тем, что Х1 является связью и W6 означает -R5, -W5 или -R5аW5. 18. Композиция по п.1, отличающаяся тем, что Х1 является связью и W6 имеет значение -R5. 19. Композиция по п.18, отличающаяся тем, что R5 имеет значение R4, замещенного на 0-2 группы -OR1. 20. Композиция по п.1, отличающаяся тем, что W6 имеет значение группы R5 с разветвленной цепью. 21. Композиция по п.1, отличающаяся тем, что Х1 означает -О-, -N(Н)-, -N(R5)-, -N(ОН)-, -N(OR5)-, -S(О)- или -S-. 22. Композиция по п.1, отличающаяся тем, что Х1 означает -О-. 23. Композиция по п. 1, отличающаяся тем, что G1 означает -NHR1, -N(R6b)(R1), -N(Rb2)2, -N(Н)(R5), -N(R6b)(R5), -N(R5)2, -С(NH)(NH2), -N(R1)С(NR1)(NR1R3), -HNC(NH)(NHR3), -NHC(NH)(NHR1), -NHC(NH)(NH2), -СН(СН2NHR1(СН2ОН), -СН(СН2NHR1)(СН2NHR1), -СН(NHR1)-(СR1R1)m2 -CH(NHR1)R1, -СН(ОН)-(CR1R1)m2 -СН(NHR1)R1 или -СН(NHR1)-(СR1R1)m2-СН(ОН)R1, -(CR1R1)m2 -S-С(NH)NH2, -N= С(NHR1)(R3) или -N=С(NHR1)(R1) и m2, независимо друг от друга, имеет значение от 0 до 1. 24. Композиция по п.1, отличающаяся тем, что G1 означает аминно, амидно, гуанидино, возможно замещенные на 1-С6 алкил. 25. Композиция по п.1, отличающаяся тем, что W3 означает -С(О)-R5. 26. Композиция по п.1, отличающаяся тем, что Т1 означает: ![]() ![]() ![]() ![]() ![]() ![]() 27. Композиция по п.1, отличающаяся тем, что W6 означает -(СН2)m1СН(R1)аW7, где W7 является алкилом, содержащим от 1 до 4 атомов углерода, замещенным на 0-2 группы R3, и а = 0 или 1, в случае, если а = 0, то W7 связан с СН двойной связью. 28. Композиция по п.27, отличающаяся тем, что U1 означает -О- СН2СН(R1)W7. 29. Композиция по п.1, отличающаяся тем, что W7 означает -СН2ОR1 и R1 является С4-С12алкилом. 30. Композиция по пп. 3, 4 или 5, отличающаяся тем, что U1 означает (СН3СН2)2СНО-, (СН3СН2)(СН3)СНО-, (СН3)2СНО-, (СН3)2СНСН2О, -СН3(СН2)4О-, СН3(СН2)3О-, СН3(СН2)2О-, (СН3СН2)(СН3)2СО-, (СН3СН2)(СН3СН2)НСО-, (СН3СН2СН2)(СН3СН2)НСО-, (СН3СН2СН2)(СН3СН2СН2)НСО-, -0-циклогексил или 0-циклопентил. 31. Композиция по п. 1, отличающаяся тем, что она содержит соединение формулы ![]() в которой Е1 означает -СО2R1; G1 означает -NH2, -N(Н)(R5) или -N(Н)(С(NH)(NH2)); Т1 означает -N(Н)(С(О)СН3; U1 означает -OR60; R1 означает Н или алкил, содержащий 1-12 атомов углерода; и R60 является разветвленным алкилом, содержащим 3-12 атомов углерода. 32. Композиция по п. 1, отличающаяся тем, что она содержит соединение формулы ![]() ![]() 33. Композиция по п.1, названная в табл.6. 34. Композиция, содержащая соединение по п.1 и фармацевтически приемлемый носитель. 35. Соединение формулы III или IV ![]() ![]() где Е1 представляет собой -(СR1R1)m1W1; G1 представляет собой N3, -СN, -ОН, -ОR6а, -NO2 или -(CR1R1)m1W2; Т1 представляет собой -NR1W3, гетероцикл, причем указанный гетероцикл является моноциклическим ядром, содержащим от 3 до 7 атомов (от 2 до 6 атомов углерода и от 1 до 3 гетероатомов, выбранных из группы, включающей N, О, Р и S) или вместе с U1 или G1 образует группу, имеющую формулу ![]() U1 представляет собой Н или -Х1W6; J1 и J1а, независимо друг от друга, означают R1, Br, Сl, F, I, CN, NO2 или N3; R1 независимо Н или алкил, содержащий от 1 до 12 атомов углерода; R2 означает R3 или R4, где каждый R4, независимо замещен на 0-3 группы R3; R3 независимо, друг от друга, означают -NO2, -OR6а, -OR1 -N(R1)2, -N(R1)(R6b), -N(R6b)2, -SR1, -SR6а, =О, =S, =N(R1) или =N =(R6b); R4 представляет собой, независимо друг от друга алкил, содержащий от 1 до 12 атомов углерода, или алкенил, содержащий от 2 до 12 атомов углерода; R5 независимо представляет собой R4, где каждый R4 замещен на от 0 до 2 групп R3; R5а представляет собой, независимо друг от друга, алкилен, содержащий от 1 до 12 атомов углерода, алкенилен, содержащий от 2 до 12 атомов углерода или алкинилен, содержащий от 2 до 12 атомов углерода, любой из которых, алкилен, алкенилен или алкинилен, замещен на 0-3 группы R3; R6а означает, независимо друг от друга, Н, защитную группу для гидроксила, тиогруппы, карбоновой кислоты, фосфокислоты, фосфоната или сульфокислоты; R6b означает, независимо друг от друга, Н, -С(О)R4, защитную группу для аминогруппы или остатка аминокислоты или полипептид; R6с представляет собой, независимо друг от друга, Н, -NHSO2R4, -NHC(О)R4, – N(R4)2, -NH2, -NH(R4) или остаток аминокислоты или полипептид; W1 представляет собой -СО2Н, -СО2R6а, -СО2R5, -СО2W5, -СО2R5аW5, -ОSO3Н, -SO3Н, -SO2Н, -ОРО3Н2, -ОРО3Н2, -РО3(R6а)2, -РО3Н2, -РО3(Н)(R6а), -ОРО3(R6а)2, тетразол, или амид, образованный R6с и -СО2Н, -ОSO3Н, -SO3Н, -SO2Н, -ОРО3Н2, -РО3Н2 или -РО3(Н)(R6а); W2 представляет собой (а) аминоалкил, амидино-, амидиноалкил, гуанидино- или гуанидиноалкил, причем алкильная группа в каждом случае предназначена для связывания амино-, аминоалкильного, амидинового заместителя с циклическим углеводородным ядром; (b) N- или S-содержащее пяти или шестичленное циклическое ядро, имеющее 1 или 2 гетероатома или указанное ядро, замещенное одной или двумя амино- или гуанидиногруппой; (с) алкил, содержащий от 2 до 3 углеродных атомов, замещенных амино- или гуанидиногруппой, или такой алкил, замещенный аминогруппой и вторым заместителем, выбранным из группы, включающей гидроксил и аминогруппу; (d) -NHR1,-NR1-С(NR1)(NR1R3), -NH-С(NH)(NHR3), -NH-С-(NH)(NHR1), -СН(СН2NHR1)(СН2ОН),-СН(СН2NHR1)(СН2NHR1),-СН(NHR1)-(CR1R1)m2 -СН(NHR1)R1, -СН(ОН)-(СR1R1)m2-СН(NHR1)R1 или -СН(NHR1)-(CR1R1)m2 -СН(ОН)R1, -(CR1R1)m2-S-С(NH)NH2, -N=С(NHR1)(R3), -N= С(SR1)N(R1)2, -N(R1)С(NH)N(R1)С=N или -N=С(NHR1)(R1); где m2 независимо целое число от 0 до 1; или (е) амид R6b, образованный с любой из групп W2(а)-(d); W3 представляет собой W4 или W5; W4 представляет собой R5 или -С(О)R5, -С(О)W5, -SO2R5, или -SO2W5; W5 представляет собой углеводородный цикл, который представляет собой моноциклическое ядро, содержащее от 3 до 7 атомов углерода, или состоит из двух циклов, содержащих от 7 до 12 углеродных атомов в ядре, или гетероцикл, который представляет собой моноциклическое ядро, содержащее от 3 до 7 атомов (от 2 до 6 углеродных атомов и от 1 до 3 гетероатомов, выбранных из группы, включающей N, О, Р и S) или состоит из двух циклов, содержащих от 7 до 10 атомов в ядре (от 4 до 9 атомов углерода и от 1 до 3 гетероатомов, выбранных из группы, включающей N, О, Р и S), причем W5, независимо друг от друга, замещены на 0-3 группы R2; W6 является -R5, -W5, -R5аW5, -С(О)ОR6а, -С(О)R6с, -С(О)N(R6b)2, -С(NR6b)(N(R6b)2), -С(NR6b)N(Н)(R6b), -С(N(Н)(N(R6b)2)), -С(S)(N(R6b)2) или С(О)R2; Х1 является связывающей группировкой -О-, -N(Н)-, -N(W6)-, -N(ОН)-, -N(OW6)-, -N(NH2)-, -N(N(Н)(W6))-, -N(N(W6)2)-, -N(Н)N(W6)-, -S-, -SO- или -SO2; и каждый m1, независимо друг от друга, имеет значение от 0 до 2; и их соли, сольваты, разделенные энантиомеры и очищенные диастереомеры; при условии, что исключается соединение формулы Va ![]() где (а) Е1 означает -СО2Н; U1 имеет формулу -СН2ОСН2С6Н5; Т1 означает -NHCOCH3 и G1 означает N3; (b) Е1 означает -СО2H; U1 означает -СН2ОН; Т1 означает -NHCOCH3 и G1 означает -NH2, -NH-С(=NH)NH2 или -N3; а (с) Е1 означает -СО2СН3; U1 означает -СН2ОН; Т1 означает -NHCOCH3 и G1 означает -N3. 36. Соединение по п.35, отличающееся тем, что G1 представляет собой – ОН, -ОR6а или -(CR1R1)m1W2; Т1 представляет собой -NR1W3 или гетероцикл, который представляет собой моноциклическое ядро, содержащее от 3 до 7 атомов (от 2 до 6 углеродных атомов и от 1 до 3 гетероатомов, выбранных из группы, включающей N, О, Р и S); R6а независимо друг от друга является Н; R6b означает, независимо друг от друга, Н, -С(О)R4, или остаток аминокислоты или полипептида; Е1, U1, J1, J1а, R1, R2, R3, R4, R5, R5а, R6с, W1, W2, W3, W4, W5, W6 и Х1 имеют значения, определенные в п.1. 37. Способ лечения или профилактики заболевания гриппом, включающий назначение терапевтически эффективного количества соединения по п.1. Приоритет по пунктам и признакам: 27.02.1995 по п.31; 06.06.1995 по пп. 1-30, 32,33 и 35, 36, за исключением значений заместителей J1 и J1а (в пп.1-30, 35 и 36), значений R1 для заместителей J2 и J2а (в пп.1-30) и значений “алкил” для R1 (в пп.35 и 36), которые раскрыты в международной заявке РСТ/US 96/02882 от 26.02.1996, значения J2 и J2а равны Н в пп.1-30 раскрыты в указанном приоритете от 06.06.1995; 29.12.1995 по пп.34 и 37. РИСУНКИ
|
||||||||||||||||||||||||||


































-карболинил, фенантридинил, акридинил, пиримидинил, фенантролинил, феназинил, фенотиазинил, фуразанил, феноксазинил, изохроманил, хроманил, имидазлидинил, имидазолинил, пиразолидинил, пиразолинил, пиперазинил, индолинил, изоиндолинил, хинуклидинил, морфолинил, оксазолидинил, бензотриазолил, бензизоксазолил, оксиндолил, бензоксазолинил и изатиноил.
В порядке примера, но не ограничиваясь, связанные через атом углерода гетероциклы являются связаными в положении 2, 3, 4, 5 или 6 пиридина; в положении 3, 4, 5 или 6 пиридазина; в положении 2, 4, 5, или 6 пиримидина; в положении 2, 3, 5 или 6 пиразина; в положении 2, 3, 4 или 5 фурана, тетрагидрофурана, тиофурана, тиофена, пиррола или тетрагидропиррола; в положении 2, 4 или 5 оксазола, имидазола или тиазола; в положении 3, 4 или 5 изоксазола, пиразола или изотиазола; в положении 2 или 3 азиридина; в положении 2, 3 или 4 азетидина; в положении 2, 3, 4, 5, 6, 7 или 8 хинолина или положении 1, 3, 4, 5, 6, 7 или 8 изохинолина. Более типично связанные через атом углерода гетероциклы включают 2-пиридил, 3-пиридил, 4-пиридил, 5-пиридил, 6-пиридил, 3-пиридазинил, 4-пиридазинил, 5-пиридазинил, 6-пиридазинил, 2-пиримидинил, 4-пиримидинил, 5-пиримидинил, 6-пиримидинил, 2-пиразинил, 3-пиразинил, 5-пиразинил, 6-пиразинил, 2-тиазолил, 4-тиазолил или 5-тиазолил.
В порядке примера, но не ограничиваясь, связанные через атом азота гетероциклы являются связанными через атом азота в положении 1 азиридина, азетидина, пиррола, пирролидина, 2-пирролина, 3-пирролина, имидазола, имидазолидина, 2-имидазолина, 3-имидазолина, пиразола, пиразолина, 2-пиразолина, 3-пиразолина, пиперидина, пиперазина, индола, индолина, 1H-индазола; в положении 2 изоиндола или изоиндолина; в положении 4 морфолина и положении 9 карбазола или
-СН2СН2СН3), 2-пропил (
изопропил, -СН(СН3)2), 1-бутил (
-CH2CH2CH2CH3), 2-метил-1-пропил (
изобутил, -CH2CH(CH3)2), 2-бутил (
-СН(СН3)СН2СН3), 2-метил-2-пропил (
-С(СН3)3), 1-пентил (
-СН2СН2СН2СН2СН3),




























































































где V1 имеет указанное выше значение.
“Группа, образующая сложный эфир” означает группу, которая способна к образованию стабильной ковалентной связи между исходной молекулой и группой, имеющей формулу:









-D-



-оксиглутаминовую кислоту,
-диаминоянтарная кислота,
-оксивалериановая кислота,
-гидроксикапроновая кислота, изовалин, 


10-6 М, обычно менее чем примерно 1
60, Span
; 2)DВU/ТГФ. Такая реакция описана ранее.
Превращение эпоксида 334 в N-тритил-азиридин 335 проводят в несколько последовательных стадий: 1)МОМСl/ТЕА; 2)NaN3/NH4Cl; 3)MsCl/TEA; 4)PPh3/TEA/H2O; 5)NaN3/NH4Cl; 6)HCl/MeOH; 7) i)TrCl, ii)MsCl/TEA. Такая реакция описана ранее.
В азиридине 335 затем размыкают цикл соответствующим спиртом в присутствии кислоты Льюиса и затем обрабатывают смесью Ас2О/пиридин для получения ацетилированного продукта 336. Такая реакция описана ранее.
Азидоэфир 336 превращают в соответствующую аминокислоту 337 в две последовательные стадии: 1)РРh3/Н2О/ТГФ; 2)КОН/ТГФ. Такая реакция описана ранее.
Схемы 44 и 45, на которые ссылаются в примерах, (см. в конце описания).
Модификация приведенных в качестве примера исходных материалов для получения различных групп Е1 описана подробно и не будет рассмотрена здесь. См. Fleet, G.W.J. et al.; “J. Chem. Soc. Perkin Trans.I”, 905-908 (1984), Fleet, G.W.J. et al.; “J. Chem. Soc. Chem. Commun.”, 849-850(1983), Yee, Ying К. et al. ; “J.Med.Chem.”, 33:2437-2451 (1990); Olson, R.E. et al.; “Bioorganic & Medical Chemistry Letters”, 4(18):2235-2240(1994); Judd, D.B. et al.; “J. Med. Chem. , 37: 3108-3120 (1994) и Lombaert, S. De et al.,; “Bioorganic & Medical Chemistry Letters”, 5(2): 151-154(1994).
Серосодержащие аналоги Е1 производных карбоновой кислоты по данному изобретению получаются любой из стандартных методик. В качестве примера, но не ограничиваясь, карбоновые кислоты восстанавливаются до спиртов стандартными методами. Спирты превращаются в галоидангидриды или сложные эфиры сульфоновой кислоты стандартными методами, и полученные соединения подвергают взаимодействию с NaSH с получением сульфидного продукта. Такие реакции описаны в Patai, “The Chemistry of the Tiol Group” (John Wiley, New York, 1974), pt. 2, в особенности на страницах 721-735.
Модификации каждой из вышеназванных схем приводят к получению различных аналогов, приведенных в качестве примера специфических материалов, полученных выше.
В каждой из приведенных выше в качестве примера схем может быть полезным отделить продукты реакции друг от друга и/или от исходных веществ. Желаемые продукты каждой стадии или после нескольких стадий разделяют и/или очищают (после их разделения) до желаемой степени однородности обычными в технике методами. Обычно разделение включает многофазную экстракцию, кристаллизацию из растворителя или смеси растворителей, дистилляцию, возгонку или хроматографию. Хроматография может включать любое количество методов, например вытеснительную или ионобменную хроматографию, жидкостную хроматографию высокого, среднего и низкого давления, препаративную тонко- и толстослойную хроматографию с малой шкалой, а также тонкослойную хроматографию с малой шкалой и испарительную хроматографию.
Другой класс способов разделения включает обработку смеси реагентом, выбранным для связывания или отделения желаемого продукта, непрореагировавшего исходного материала, побочных продуктов реакции и т.д. Такие реагенты включают адсорбенты и абсорбенты, такие как активированный уголь, молекулярные сита, ионобменные среды и т.п. Альтернативно реагенты могут быть кислотами в случае основных материалов, основаниями в случае кислотных материалов, связывающими реагентами, такими как антитела, связывающие белки, селективные хелатирующие агенты, такие как краунэфиры, реагенты ионной экстракции жидкость-жидкость (LIX) и т.п.
Выбор подходящих способов разделения зависит от природы используемых веществ. Например, от точки кипения и молекулярной массы в случае дистилляции и сублимации, наличия или отсутствия полярных функциональных групп в хроматографии, стабильности материалов в кислотных и основных средах в многофазной экстракции и т.п. Специалист может использовать методики, наиболее приемлемые для обеспечения желаемого разделения.
Все литературные и патентные ссылки, приведенные выше, были специально включены в качестве ссылок в местах их цитирования. Специально цитированные отрывки или страницы упомянутых выше работ включены в качестве специфических ссылок. Изобретение достаточно детально описано для того, чтобы специалист мог осуществить заявленное изобретение. Ясно, что могут быть осуществлены определенные модификации способов и композиций в соответствии с настоящим изобретением.
Примеры


































