Патент на изобретение №2181288
|
||||||||||||||||||||||||||
(54) ИСПОЛЬЗОВАНИЕ ИНГИБИТОРОВ СGМР-ФОСФОДИЭСТЕРАЗЫ ДЛЯ ЛЕЧЕНИЯ ИМПОТЕНЦИИ
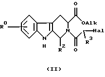
(57) Реферат: Изобретение относится к области медицины. Предложены соединения формулы (I) ![]() (6R, 12aR)-2,3,6,7,12,12a-гексагидро-2-метил-6-(3,4-метилендиоксифенил)-пиразино[2′, 1′: 6,1] пиридо[3,4-b] индол-1,4-дион; и (3S,6R,12aR)-2,3,6,7,12,12a-гексагидро-2,3-диметил-6-(3,4-метилендиоксифенил)-пиразино[2′,1′:6,1]пиридо[3,4-b]индол-1,4-дион и их физиологически приемлемые соли и сольваты для лечения импотенции. Предложен также способ лечения и профилактики эректильной дисфункции с помощью указанных соединений, а также фармацевтических составов на их основе. Предложен способ получения фармацевтических составов. Предложенные соединения более активны, чем известные в этой области. 9 c. и 4 з.п. ф-лы, 1 табл. Изобретение относится к использованию тетрациклических производных, которые являются мощными и селективными ингибиторами гуанозин-3′,5′-циклофосфат-специфической фосфодиэстеразы (cGMP-специфической PDE), в лечении импотенции. Импотенция может быть охарактеризована как потеря половой активности у мужчин в совершении полового акта и может проявляться в неспособности достижения эрекции полового члена или эякуляции, либо того и другого. Более конкретно, эректильная импотенция или дисфункция может быть охарактеризована как неспособность достижения или поддержания эрекции, необходимой для полового акта. Утверждают, что ее распространенность увеличивается с возрастом и составляет от 2 до 7% мужского населения в возрасте до 50 лет и в интервале от 18 до 75% в возрасте между 50 и 80 годами. Сообщения о правильно контролируемых клинических испытаниях у мужчин встречаются редко, и эффективность перорально вводимых препаратов низка. Хотя и было показано, что много различных препаратов вызывают эрекцию полового члена, их эффективность ограничивается способами введения – инъекцией непосредственно в половой член, а именно интрауретральной или интракавернозальной (i. e.) инъекцией, а они не пригодны при эректильной дисфункции. Современное лечение основано на i.e. инъекции вазоактивных веществ, хорошие результаты сообщены при введении феноксибензамина, пентоламина, папаверина и простагландина E1 в моно-режиме или в комбинации; однако введение некоторых из этих агентов сопровождается болью, приапизмом и фиброзом полового члена. Было показано, что активны также активаторы калиевых каналов (КСО) и вазоактивный кишечный полипептид (VIP), однако стоимость и проблемы стабильности ограничивают применение последнего. Альтернативой i.e. введению является наложение на половой член повязки с тринитратом глицерина (GTN), что является эффективным, но вызывает побочные эффекты как у партнера, так и у партнерши. В качестве альтернативы фармакологическому вмешательству для достижения эрекции были использованы разнообразные протезы полового члена. Получены хорошие краткосрочные результаты, но возможность инфекции и ишемии, особенно у мужчин с диабетом, не позволяют этому виду лечения стать первостепенным. Соединения по данному изобретению являются мощными ингибиторами гуанозин-3′, 5′-циклофосфат-специфической фосфодиэстеразы (cGMP PDE). В заявке GB 9514464.8, которая является документом о приоритете для настоящей заявки, описывается синтез соединений по данному изобретению и их использование для лечения импотенции. В заявке W095/19978, которая не была опубликована к дате приоритета настоящей заявки, также описывается синтез соединений по данному изобретению и их использование в лечении других болезней, связанных с ингибированием cGMP PDE. Соединения могут быть представлены следующей общей формулой (I): ![]() и их соли и сольваты (например, гидраты), в которых; R0 означает атом водорода, галоида или C1-6-алкил; R1 означает атом водорода, C1-6-алкил, С2-6-алкенил, С2-6-алкинил, галоидсодержащий C1-6-алкил, С3-8-циклоалкил, С3-8-циклоалкилсодержащий C1-3-алкил, арилсодержащий С1-3-алкил или гетероарилсодержащий С1-3-алкил; R2 означает произвольно замещенное моноциклическое ароматическое кольцо, выбранное из группы, состоящей из бензола, тиофена, фурана и пиридина, или произвольно замещенное бициклическое кольцо, ![]() присоединенное к остальной молекуле через один из углеродных атомов бензольного кольца, где сочлененное кольцо А является 5- или 6-членным кольцом, которое может быть насыщенным либо частично, или полностью ненасыщенным и включает атомы углерода и произвольно один или два гетероатома, выбранные из группы, состоящей из атома кислорода, серы и азота; и R3 означает атом водорода или С1-3-алкил или R1 и R3 вместе означают 3- или 4-членную алкильную или алкенильную цепь. Соответствующие индивидуальные соединения по этому изобретению для лечения эректильной дисфункции включают: цис-2,3,6,7,12,12а-гексагидро-2-(4-пиридилметил)-6-(3,4-метилендиоксифенил) – пиразино[2′,1′:6,1]пиридо[3,4-b]индол-1,4-дион; цис-2,3,6,7,12,12а-гексагидро-6-(2,3-дигидробензо[b] фуран-5-ил)-2-метилпиразино [2′,1′:6,1]пиридо[3,4-b]индол-1,4-дион; цис-2,3,6,7,12,12а-гексагидро-6-(5-бром-2-тиенил)-2-метилпиразино[2′,1′: 6,1] пиридо[3,4-b]индол-1,4-дион; цис-2,3,6,7,12,12а-гексагидро-2-бутил-6-(4-метилфенил)-пиразино[2′, 1′: 6,1]пиридо [3,4-b]индол-1,4-дион; (6R, 12aR)-2,3,6,7,12,12а-гексагидро-2-изопропил-6-(3,4-метилендиоксифенил)-пиразино [2′,1′:6,1]пиридо[3,4-b]индол-1,4-дион; (6R, 12aR)-2,3,6,7,12,12а-гексагидро-2-циклопентил-6-(3,4-метилендиоксифенил)-пиразино [2′,1′:6,1]пиридо[3,4-b]индол-1,4-дион; (6R, 12aR)-2,3,6,7,12,12а-гексагидро-2-циклопропилметил-6-(4-метоксифенил)-пиразино[2′,1′:6,1]пиридо[3,4-b]индол-1,4-дион; (6R, 12aR)-2,3,6,7,12,12а-гексагидро-6-(3-хлор-4-метоксифенил)-2-метилпиразино [2′,1′:6,1]пиридо[3,4-b]индол-1,4-дион; (6R, 12aR)-2,3,6,7,12,12а-гексагидро-2-метил-6-(3,4-метилендиоксифенил)-пиразино[2′,1′:6,1]пиридо[3,4-b]индол-1,4-дион; (6R, 12aR)-2,3,6,7,12,12а-гексагидро-6-(3,4-метилендиоксифенил)пиразино [2′,1′:6,1]пиридо[3,4-b]индол-1,4-дион; (5аR, 12R, 14аS)-1,2,3,5,6,11,12,14а-октагидро-12-(3,4-метилендиоксифенил)-пирроло[1″,2″:4′,5′]пиразино[2′,1′:6,1] пиридо[3,4-b]индол-1,4-дион; цис-2,3,6,7,12,12а-гексагидро-2-циклопропил-6-(3,4-метилендиоксифенил)-пиразино[2′,1′:6,1]пиридо[3,4-b]индол-1,4-дион; (3S, 6R, 12aR)-2,3,6,7,12,12а-гексагидро-3-метил-6-(3,4-метилендиоксифенил)-пиразино[2′,1′:6,1]пиридо[3,4-b]индол-1,4-дион; и их физиологически приемлемые соли и сольваты (например, гидраты). Специфическими соединениями по данному изобретению являются: (6R, 12аR)-2,3,6,7,12,12а-гексагидро-2-метил-6-(3,4-метилендиоксифенил)пиразино[2′,1′:6,1]пиридо[3,4-b]индол-1,4-дион (соединение А); и (3S, 6R, 12аR)-2,3,6,7,12,12а-гексагидро-2,3-диметил-6-(3,4-метилендиоксифенил)-пиразино[2′,1′:6,1]пиридо[3,4-b]индол-1,4-дион (соединение В); и их физиологически приемлемые соли и сольваты (например, гидраты). Неожиданно было обнаружено, что соединения формулы (I) и, в частности, соединения А и В пригодны для лечения эректильной дисфункции. Более того, соединения могут вводиться перорально, устраняя тем самым недостатки, связанные с i.e. введением. Таким образом, настоящее изобретение связано с использованием соединений формулы (I) и, в частности, соединений А и В или их фармацевтически приемлемой соли или фармацевтического состава, содержащего каждый объект, в производстве медикамента для лечебной или профилактической обработки эректильной дисфункции у млекопитающих мужского пола, включая человека. Фармацевтически приемлемые соли соединений формулы (I) и, в частности, соединений А и В, которые содержат основный центр, являются кислотоприсоединяемыми солями, образуемыми при взаимодействии с фармацевтически приемлемыми кислотами. Примеры включают гидрохлоридную, гидробромидную, сульфатную или бисульфатную, фосфатную или кислую фосфатную, ацетатную, бензоатную, сукцинатную, фумаратную, малеатную, лактатную, цитратную, тартратную, глюконатную, метансульфонатную, бензолсульфонатную или п-толуолсульфонатную соли. Соединения формулы (I) и, в частности, соединения А и В могут также образовывать фармацевтически приемлемые соли с металлами, в частности со щелочными металлами, с основаниями. Примеры включают натриевые и калиевые соли. Показано, что соединения по настоящему изобретению являются мощными и селективнми ингибиторами cGMP-специфической PDE. В настоящее время неожиданно было обнаружено, что человеческое кавернозное тело содержит три различных PDE фермента. Далее неожиданно было обнаружено, что преобладающей PDE является cGMP PDE. Вследствие селективного ингибирования PDE V соединениями по данному изобретению они могут повышать уровни cGMP, которые, в свою очередь, могут способствовать релаксации ткани кавернозного тела и последующей эрекции полового члена. Хотя соединения по данному изобретению вначале рассматривались как средства для лечения эректильной дисфункции или половой дисфункции мужчин, они могут также оказаться полезными в лечении женской половой дисфункции, включая оргазменную дисфункцию, связанную с клиторальными нарушениями. Обычно у мужчин предпочтительным путем введения соединений по данному изобретению является пероральное введение как наиболее удобное и позволяющее избежать недостатков, связанных с i.e. введением. В обстоятельствах, при которых реципиент страдает от расстройства глотания или от нарушения абсорбции лекарства при пероральном применении, препарат может вводиться парентерально, например подъязычно или трансбуккально. Для введения человеку при лечебной и профилактической обработке упомянутых выше нарушений пероральная доза соединения формулы (I) и, в частности, соединений А и В обычно будет находиться в интервале 0,5-800 мг в день для среднего взрослого пациента (70 кг). Таким образом, для типичного взрослого пациента таблетки или капсулы содержат 0,2-400 мг активного соединения в соответствующем фармацевтически приемлемом наполнителе или носителе для введения в виде однократной или многократной дозы один или несколько раз в день. Дозы для трансбуккального или подъязычного введения обычно будут находиться в интервале 0,1-400 мг в виде однократной дозы, если это необходимо. На практике врач определит необходимый дозовый режим, который будет наиболее подходящим для данного пациента, и он будет изменяться в зависимости от возраста, веса и чувствительности пациента. Упомянутые выше дозы являются типичными для обычного случая, однако в особых случаях они могут быть ниже или выше дозового интервала, что входит в сферу действия этого изобретения. Для использования на человеке соединения формулы (I) и, в частности, соединения А и В могут быть введены как таковые, но обычно их вводят в смеси с фармцевтическим носителем, выбранным с учетом предполагаемого пути введения и стандартной фармацевтической практики. Например, соединение может быть введено перорально, трансбуккально или подъязычно в виде таблеток, содержащих наполнители, такие как крахмал или лактоза, либо в оболочке или в капсулах как таковое, или в смеси с наполнителями, или в виде эликсиров или суспензий, содержащих ароматизаторы или красители. Такие жидкие препараты могут быть получены с использованием фармацевтически приемлемых добавок, таких как суспендирующие агенты (например, метилцеллюлоза, полусинтетический глицерид, такой, как витепсол, или смеси глицеридов, такие как смесь косточкового абрикосового масла и эфиров PEG-6 (полиэтиленгликоля-6) или смеси PEG-8 и глицеридов, содержащих остатки каприловой/каприновой кислот). При использовании в ветеринарии соединение формулы (I) и, в частности, соединение А или В, либо их нетоксичная соль вводится в соответствующей приемлемой лекарственной форме в соответствии с обычной ветеринарной практикой, и ветеринарный хирург определяет дозовый режим и путь введения, который более всего подходит для отдельного животного мужского пола. Таким образом, изобретение включает фармацевтический состав для лечебной и профилактической обработки эректильной дисфункции у млекопитающих мужского пола, включая человека, состоящий из соединения формулы (I) и, в частности, соединения А и В или их фармацевтически приемлемой соли вместе с фармацевтически приемлемым разбавителем или носителем. В дальнейшем предоставляется процесс приготовления фармацевтического состава для лечебной и профилактической обработки эректильной дисфункции у млекопитающих мужского пола, включая человека, состоящий в получении лекарственной формы из соединения формулы (I) и, в частности, соединения А или В, или их фармацевтически приемлемой соли и фармацевтически приемлемого разбавителя или носителя. Изобретение предоставляет также способ обработки млекопитающего мужского пола, включая человека, с целью лечения или предотвращения эректильной дисфункции, который включает обработку упомянутого млекопитающего мужского пола эффективным количеством соединения формулы (I) и, в частности, соединения А или В либо их фармацевтически приемлемой соли или фармацевтическим составом, включающим каждый объект. Более того, изобретение включает использование соединения формулы (I) и, в частности, соединения А или В, либо их фармацевтически приемлемой соли или фармацевтического состава, включающего каждый объект, в производстве медикамента для лечебной или профилактической обработки эректильной дисфункции у млекопитающего мужского пола, включая человека. Соединение формулы (I) и, в частности, соединение А или В могут также использоваться в комбинации с другими терапевтическими агентами, которые могут оказаться полезными в лечении эректильной дисфункции, в основном, так, как здесь было описано. Поэтому в другом аспекте изобретение предоставляет комбинацию соединения формулы (I) и, в частности, соединения А или В с другим терапевтически активным агентом. Упомянутая выше комбинация может быть использована в виде фармацевтической лекарственной формы, и поэтому фармацевтические составы, включающие комбинацию, как упомянутая выше, с фармацевтически приемлемым разбавителем или носителем, составляют следующий аспект изобретения. Индивидуальные компоненты такой комбинации в раздельных фармацевтических лекарственных формах могут также вводиться или последовательно, или одновременно. Специалисты без затруднений определят дозы известных терапевтических агентов для использования их в комбинации с соединением по данному изобретению. Соединения по данному изобретению могут быть получены любым подходящим способом, известным специалистам, или следующими способами, которые составляют часть настоящего изобретения. Способ был, в основном, описан ранее в документе о приоритете настоящего изобретения GB 9514464.8 и в WO 95/19978. Таким образом, способ получения соединения формулы (I) включает обработку соединения формулы (II) ![]() (в котором Alk означает C1-6-алкил, например метил или этил, Hal означает атом галоида, например хлора) первичным амином R1NH2 в подходящем растворителе, таком как спирт (например, метанол или этанол), или в смеси растворителей обычно при температуре от 20oС до температуры кипения (например, около 50oС). Соединение формулы (II) может быть легко получено обработкой соединения формулы (III) соединением формулы (IV) ![]() ![]() в подходящем растворителе, таком как галоидуглеводород (например, трихлорметан или дихлорметан) или простой эфир (например, тетрагидрофуран), предпочтительно в присутствии основания, такого как органический амин (например, триалкиламин, такой как триэтиламин) или карбонат, либо бикарбонат щелочного металла (например, NаНСО3). Реакция легко проходит при температуре от -20oС до +20oС (например, при 0oС). Соединение формулы (I) может быть легко получено из соединения формулы (III) в две стадии через стадию образования соединения формулы (II), выделенного без очистки. Соединения формулы (I) могут быть получены в виде индивидуальных энантиомеров в две стадии из соответствующего энантиомера формулы (III) или в виде смесей (например, рацематов) пар либо цис-, либо трансизомеров из соответствующих смесей пар либо цис-, либо трансизомеров формулы (III). Индивидуальные энантиомеры соединений по данному изобретению могут быть получены из рацематов путем разделения с использованием методов разделения рацемических смесей на составляющие их энантиомеры, с использованием методов известных специалистам, например HPLC (ЖХВР, жидкостной хроматографии высокого разрешения) на колонке с хиральным сорбентом, таким как гиперсилнафтилмочевина. Соединение формулы (III) может быть легко получено из алкилового эфира триптофана формулы (V) ![]() (где Alk такой, как описано ранее) или его соли (например, гидрохлорида) и альдегида R2CHO. Реакция может быть легко проведена в подходящем растворителе, таком, как галоидуглеводород (например, дихлорметан) или в ароматическом углеводороде (например, толуоле) в присутствии кислоты, такой, как трифторуксусная кислота. Реакцию удобно проводить при температуре от -20oС до температуры кипения, получая соединение формулы (III) в одну стадию. Реакцию можно проводить также в таком растворителе, как ароматический углеводород (например, бензол или толуол), при кипении с использованием насадки Дина-Старка для улавливания образующейся воды. В реакции образуется смесь цис- и трансизомеров, которые могут быть либо индивидуальными энантиомерами, либо рацематами, состоящими из пар цис- или трансизомеров в зависимости от того, использовался ли в качестве исходного вещества рацемический или энантиомерный алкиловый эфир триптофана. Индивидуальные цис- и трансизомеры могут быть легко выделены из их смеси фракционной кристаллизацией или хроматографией (например, колоночной флеш-хроматографией) с использованием соответствующих растворителей и элюентов. Подобным образом пары цис- и трансизомеров могут разделяться хроматографией (например, колоночной флеш-хроматографией) с использованием соответствующих элюентов. Оптически чистый трансизомер может быть легко превращен в оптически чистый цисизомер с использованием подходящих способов эпимеризации. Один из таких способов включает обработку трансизомера или смеси (например, смеси в соотношении 1: 1) цис- и трансизомеров метанольным или водным раствором хлористого водорода при температуре от 0oС до температуры кипения раствора. Затем смесь подвергают хроматографии (например, колоночной флеш-хроматографии) для того, чтобы разделить образующиеся диастереоизомеры, или в процессе использования водного хлористого водорода желаемый цисизомер выпадает в осадок в виде гидрохлорида, который затем может быть отделен фильтрацией. Фармацевтически приемлемые соли, образующиеся при добавлении кислоты к соединению формулы (I) и, в частности, к соединению А или В, которые содержат основный центр, могут быть получены обычным способом. Например, раствор свободного основания может быть обработан соответствующей кислотой либо в неизмененном виде, либо в подходящем растворе, и образующуюся соль выделяют или фильтрацией, или упариванием растворителя в вакууме. Фармацевтически приемлемые соли, образующиеся присоединением основания, могут быть получены аналогичным образом путем обработки раствора соединения А или В соответствующим основанием. Оба типа солей могут образовываться или взаимопревращаться с использованием ионообменных смол. Соединения по данному изобретению могут быть выделены в ассоциации с молекулой растворителя путем кристаллизации из или упаривания соответствующего растворителя. Синтезы соединений А и В и промежуточных соединений для использования в этом изобретении иллюстрируются следующими примерами. Примеры описаны ранее в документе о приоритете заявки GB 9514464.8, и номера соответствующих промежуточных соединений или номера Примеров приведены здесь в скобках рядом с номером промежуточного соединения или Примера настоящего изобретения. При описании примеров здесь использованы следующие сокращения: МеОН (метанол) и ЕtOН (этанол). Промежуточное соединение 1 (54) Метиловый эфир (1R,3R)-1,2,3,4-тетрагидро-1-(3,4-метилендиоксифенил)-9H-пиридо[3,4-b]индол-3-карбоновой кислоты, цисизомер К перемешиваемому раствору метилового эфира D-триптофана (11 г) и пипероналя (7,9 г) в безводном дихлорметане (400 мл), охлажденном до 0oС, добавляли по каплям трифторуксусную кислоту (7,7 мл) и раствор оставляли при температуре окружающей среды. Через 4 суток желтый раствор разбавляли хлористым метиленом (200 мл) и промывали насыщенным водным раствором бикарбоната натрия, затем водой (3х200 мл) и сушили над сульфатом натрия. Органический слой упаривали при пониженном давлении и остаток, содержащий два геометрических изомера, очищали флеш-хроматографией, элюируя смесью дихлорметан/этилацетат (97/3), получая первым продукт, названный в заголовке (6,5 г), Т. пл. 154oС. Промежуточное соединение 2 (83) Метиловый эфир (1R,3R)-1,2,3,4-тетрагидро-2-(2-хлорпропионил)-1-(3,4-метилендиоксифенил)-9Н-пиридо[3,4-b]индол-3-карбоновой кислоты К раствору (R)-(+)-2-хлорпропионовой кислоты (191 мкл, 2,2 ммоль) в безводном дихлорметане (30 мл) добавляли дициклогексилкарбодиимид (0,45 г, 2,2 моль). Затем добавляли промежуточное соединение 1 (0,7 г, 2 ммоль) и смесь перемешивали при комнатной температуре в течение 20 часов. Образующийся осадок дициклогексилмочевины удаляли фильтрацией, фильтрат упаривали в вакууме и сырой продукт очищали флеш-хроматографией, элюируя смесью толуол/этилацетат (95/5). Полученное масло кристаллизовали из смеси эфир/гексан, получая соединение, названное в заголовке, в виде бледно-желтых кристаллов (0,74 г). Т. пл. 126-128oС. Пример 1 (78) (соединение А) (6R, 12aR)-2,3,6,7,12,12а-Гексагидро-2-метил-6-(3,4-метилендиоксифенил)-пиразино[2′,1′:6,1]пиридо[3,4-b]индол-1,4-дион a) К перемешиваемому раствору промежуточного соединения 1 (0,5 г) и бикарбоната натрия (0,14 г) в безводном хлороформе (20 мл) добавляли по каплям хлорацетилхлорид (0,27 мл) при 0oС. Полученную смесь перемешивали 1 час при той же температуре и разбавляли хлороформом (20 мл). Затем при перемешивании к смеси прибавляли по каплям воду (10 мл), после чего прибавляли насыщенный раствор бикарбоната натрия. Органический слой промывали водой до нейтральной реакции и сушили над сульфатом натрия. После упаривания растворителя в вакууме получали метиловый эфир (6R,12aR)-1,2,3,4-тетрагидро-2-хлорацетил-1-(3,4-метилендиоксифенил)-9H-пиридо[3,4-b]индол-3-карбоновой кислоты в виде масла, которое кристаллизовали из эфира, получая твердое вещество (0,38 г, т. пл. 233oС), использованное без дополнительной очистки на следующей стадии. b) К перемешиваемой суспензии хлорацетильного производного (0,37 г) в метаноле (20 мл) добавляли при комнатной температуре раствор метиламина (33% в этаноле), образующуюся смесь нагревали при 50oС в атмосфере азота в течение 16 часов. Растворитель удаляли при пониженном давлении, остаток растворяли в дихлорметане (50 мл). После промывания водой (3х20 мл) сушили над сульфатом натрия и упаривали досуха. Остаток очищали флеш-хроматографией, элюируя смесью дихлорметан/метанол (99/1) и перекристаллизовывали из изопропанола, получая соединение, названное в заголовке, в виде белых кристаллов (0,22 г). Т. пл. 302-303oС. Анализ для C22H19NaO4. Вычислено, %: С 67,86; Н 4,92; N 10,79. Найдено, %: С 67,77; Н 4,92; N 10,74. [ ]20D = +71.00 (с 1,00, хлороформ).
Пример 2 (117) (соединение В)(3S, 6R, 12aR)-2,3,6,7,12,12а-Гексагидро-2,3-диметил-6-(3,4-метилендиоксифенил)-пиразино[2′,1′:6,1]пиридо[3,4-b]индол-1,4-дион К перемешиваемому раствору промежуточного соединения 2 (0,3 г, 0,68 ммоль) в тетрагидрофуране (30 мл) прибавляли при комнатной температуре раствор метиламина (33% в этаноле) (0,68 мл) и полученный раствор нагревали при кипении в токе азота в течение 6 дней. Растворитель удаляли при пониженном давлении, остаток растворяли в дихлорметане (50 мл). После промывания водой (2,25 мл) органическую фазу сушили над сульфатом натрия и упаривали досуха, сырой продукт очищали флеш-хроматографией, элюируя смесью дихлометан/метанол (99/1). Полученное масло кристаллизовали из метанола, получая соединение, названное в заголовке, в виде белых кристаллов (40 мг). Т. пл. 307-309oС. Анализ для С23Н21N3O4. Вычислено, %: С 68,47; Н 5,25; N 10,42. Найдено, %: С 68,35; Н 5,33; N 10,42. [ ]20D = +65.20 (с 1,15, хлороформ).
Аналогично получали следующее соединение.
Пример 3(3S, 6R, 12aR)-2,3,6,7,12,12а-Гексагидро-3-метил-6-(3,4-метилендиоксифенил)пиразино[2′,1′:6,1]пиридо[3,4-b]индол-1,4-дион Получали в виде белых кристаллов, используя аммиак в качестве основания. Т. пл. 319-321oС. Анализ для C22H19N3O4. Вычислено, %: С 67,86; Н 4,92; N 10,79. Найдено, %: С 67,86; Н 5,17; N 10,72. [ ]20D = +1070 (с 1, пиридин).
Соединения А и В включены в состав лекарственных форм, подробные сведения о которых приведены ниже.
Таблетки для перорального применения А.
Прямое прессование1. – мг/таблетку Активный ингредиент – 50,0 Кросповидон USNF – 8,0 Стеарат магния Ph Eur – 1,0 Лактоза безводная – 141,0 Активный ингредиент просеивали и смешивали с наполнителями. Образующуюся смесь прессовали в таблетки. 2. – мг/таблетку Активный ингредиент – 50,0 Двуокись кремния коллоидная – 0,5 Кросповидон – 8,0 Додецилсульфат натрия – 1,0 Стеарат магния Ph Eur – 1,0 Микрокристаллическая целлюлоза USNF – 139,5 Активный ингредиент просеивали и смешивали с наполнителями. Образующуюся смесь прессовали в таблетки. В. Влажная грануляция 1. – мг/таблетку Активный ингредиент – 50,0 Поливинилпирролидон – 150,0 Полиэтиленгликоль – 50,0 Полисорбат 80 – 10,0 Стеарат магния Ph Eur – 2,5 Кроскармеллоза-натрий – 25,0 Двуокись кремния коллоидная – 2,5 Микрокристаллическая целлюлоза USNF – 210,0 Поливинилпирролидон, полиэтиленгликоль и полисорбат 80 растворяли в воде. Образующийся раствор использовали для грануляции активного ингредиента. После высушивания гранулы просеивали, затем экструдировали (штамповали) при повышенной температуре и давлении. Экструдат измельчали и/или просеивали, затем смешивали с микрокристаллической целлюлозой, кроскармеллоза-натрием, коллоидной двуокисью кремния и стеаратом магния. Образующуюся смесь прессовали в таблетки. 2. – мг/таблетку Активный ингредиент – 50,0 Полисорбат 80 – 3,0 Лактоза Ph Eur – 178,0 Крахмал ВР – 45,0 Прежелатинизированный кукурузный крахмал ВР – 22,5 Стеарат магния – 1,5 Активный ингредиент просеивали и смешивали с лактозой, крахмалом и прежелатинизированным кукурузным крахмалом. Полисорбат 80 растворяли в очищенной воде. Прибавляли соответствующие объемы раствора полисорбата 80 и порошки гранулировали. После высушивания гранулы просеивали и смешивали со стеаратом магния. Затем гранулы прессовали в таблетки. Таблетки с другой интенсивностью действия могут быть получены путем изменения соотношения активного ингредиента и наполнителей. Таблетки с пленочным покрытием Таблетки, описанные выше, были покрыты пленкой. Покрывающая суспензия – % весовой Опадри белый – 13,2Очищенная вода Ph Eur – до 100,0* Опадри белый – это запатентованный материал, полученный фирмой Colorcon Limited, Великобритания, который содержит гидроксипропилметилцеллюлозу, диоксид титана и триацетин.
* В конечном продукте вода не определяется. Максимальный теоретический вес твердых веществ, нанесенных при покрытии, составил 20 мг/таблетку. Таблетки покрывали пленкой, используя покрывающую суспензию и обычное оборудование для нанесения покрытия.
Капсулы1. – мг/капсулу Активный ингредиент – 50,0 Лактоза – 148,5 Поливинилпирролидон – 100,0 Стеарат магния – 1,5 Активный ингредиент просеивали и смешивали с наполнителями. Наполняли смесью твердые желатиновые капсулы размера 1, используя соответствующее оборудование. 2. – мг/капсулу Активный ингредиент – 50,0 Микрокристаллическая целлюлоза – 233,5 Додецилсульфат натрия – 3,0 Кросповидон – 12,0 Стеарат магния – 1,5 Активный ингредиент просеивали и смешивали с наполнителями. Наполняли смесью твердые желатиновые капсулы размера 1, используя соответствующее оборудование. Другие дозы могут быть получены путем изменения соотношения активного ингредиента и наполнителя, наполняемого веса и, если необходимо, изменения размера капсулы. 3. – мг/капсулу Активный ингредиент – 50,0 Лабрафил M1944CS – до 1,0 мл Активный ингредиент просеивали и смешивали с лабрафилом. Наполняли смесью мягкие желатиновые капсулы, используя соответствующее оборудование. Ингибирующее действие на cGMP-PDE Активность соединений настоящего изобретения в отношении cGMP-PDE измеряли, используя одностадийный анализ, адаптированный Wells и др. (Wells J. N. , Baird C.E., Wu Y.J., Yardman J.G. Biophys. Acta 384, 430 (1975)). Реакционная среда содержала 50 мМ трис-HCI, рН 7,5, 5 мМ ацетат магния, 250 мкг/мл 5′-нуклеотидазы, 1 мМ EGTA (этиленгликоль-бис-(-( -аминоэтил)-N,N,N’, N’-тетрауксусную кислоту) и 0,15 мкМ 8-[H3]-cGMP. Использованный фермент представлял собой человеческую рекомбинантную PDEV (ICOS, Сиэттл, США).
Соединения по данному изобретению растворяли в ДМСО (диметилсульфоксиде), конечная концентрация не превышала 2%. Время инкубации составило 30 минут, тотальное превращение субстрата не превышало 30%.
Значения IC50 (50%-ной ингибирующей концентрации) для изученных соединений определяли по кривым зависимости эффекта от концентрации, используя обычные интервалы концентраций от 10 нМ до 10 мкМ. Тесты с другими PDE с использованием стандартной методологии показали также, что соединения по данному изобретению обладают высокой селективностью по отношению к cGMP-специфической PDE.
Измерения уровней cGMPКлетки гладкой мышцы крысиной аорты (RSMC), полученные в соответствии с Chamley et al. Cell Tissue Res. 177, 503-522 (1977), использовали между десятым и двадцать пятым пассажем при слиянии в 24-ячеечных культуральных сосудах. Культуральную среду удаляли и заменяли PBS (физиологическим раствором, забуференным фосфатом) (0,5 мл), содержащим тестируемое соединение в соответствующей концентрации. Через 30 минут при 37oС частицы гуанилатциклазы стимулировали добавлением ANF (атриального натрийуретического фактора) (100 нМ) в течение 10 минут. В конце инкубации среду удаляли и проводили две экстракции добавлением 65% этанола (0,25 мл). Два этанольных экстракта объединяли и упаривали досуха, используя вакуумную систему Speed-vac. После ацетилирования измеряли содержание cGMP с помощью сцинтилляционного иммуноанализа (AMERSHAM). Показано, что соединения по настоящему изобретению, как правило, имеют значение IC50 менее 500 нМ и значение EC50 менее 5 мкМ. Данные теста in vitro для репрезентативных соединений по данному изобретению приведены в таблице. Приведенные выше данные демонстрируют способность соединений-субъектов по данному изобретению ингибировать активность cGMP PDE и, следовательно, их применимость в лечении эректильной дисфункции, в основном, так, как здесь было описано. Формула изобретения
![]() и его соли и сольваты (например, гидраты), где R0 означает атом водорода, галоида или C1-6-алкил; R1 означает атом водорода, C1-6-алкил, С2-6-алкенил, С2-6-алкинил, галоидсодержащий C1-6-алкил, С3-8-циклоалкил, С3-8-циклоалкилсодержащий С1-3-алкил, арилсодержащий С1-3-алкил или гетероарилсодержащий С1-3-алкил; R2 означает произвольно замещенное моноциклическое ароматическое кольцо, выбранное из группы, состоящей из бензола, тиофена, фурана и пиридина, или произвольно замещенное бициклическое кольцо, ![]() присоединенное к остальной молекуле посредством одного из углеродных атомов бензольного кольца, где сочлененное кольцо А является 5- или 6-членным кольцом, которое может быть насыщенным или частично либо полностью ненасыщенным и включает углеродные атомы и произвольно один или два гетероатома, выбранные из группы, состоящей из атома кислорода, серы и азота; R3 означает атом водорода или С1-3-алкил, или R1 и R3 вместе означают 3- или 4-членную алкильную или алкенильную цепь, имеющее использование в производстве медикамента для лечения и профилактики эректильной дисфункции у млекопитающих мужского пола, включая человека. 2. Соединение, выбранное из группы, включающей (6R,12aR)-2,3,6,7,12,12а-гексагидро-2-метил-6-(3,4-метилендиоксифенил)-пиразино[2′,1′: 6,1] пиридо[3,4-b] индол-1,4-дион и (3S,6R,12aR)-2,3,6,7,12,12а-гексагидро-2,3-диметил-6-(3,4-метилендиоксифенил)-пиразино[2′, 1′: 6,1] -пиридо[3,4-b] индол-1,4-дион, и их физиологически приемлемые соли и сольваты, имеющее использование в производстве медикамента для лечения и профилактики эректильной дисфункции у млекопитающих мужского пола, включая человека. 3. Способ лечения и профилактики эректильной дисфункции у млекопитающих мужского пола, включая человека, отличающийся тем, что он включает в себя введение соединения формулы (I) ![]() и его солей и сольватов (например, гидратов), где R0 означает атом водорода, галоида или C1-6-алкил; R1 означает атом водорода, C1-6-алкил, С2-6-алкенил, С2-6-алкинил, галоидсодержащий C1-6-алкил, С3-8-циклоалкил, С3-8-циклоалкилсодержащий С1-3-алкил, арилсодержащий С1-3-алкил или гетероарилсодержащий С1-3-алкил; R2 означает произвольно замещенное моноциклическое ароматическое кольцо, выбранное из группы, состоящей из бензола, тиофена, фурана и пиридина, или произвольно замещенное бициклическое кольцо, ![]() присоединенное к остальной молекуле посредством одного из углеродных атомов бензольного кольца, где сочлененное кольцо А является 5- или 6-членным кольцом, которое может быть насыщенным или частично либо полностью ненасыщенным и включает углеродные атомы и произвольно один или два гетероатома, выбранные из группы, состоящей из атома кислорода, серы и азота; R3 означает атом водорода или С1-3-алкил, или R1 и R3 вместе означают 3- или 4-членную алкильную или алкенильную цепь. 4. Способ лечения и профилактики эректильной дисфункции у млекопитающих мужского пола, включая человека, отличающийся тем, что он включает в себя введение соединения, выбранного из группы, включающей (6R,12aR)-2,3,6,7,12,12а-гексагидро-2-метил-6-(3,4-метилендиоксифенил)-пиразино[2′,1′: 6,1] пиридо[3,4-b] индол-1,4-дион и (3S,6R,12aR)-2,3,6,7,12,12а-гексагидро-2,3-диметил-6-(3,4-метилендиоксифенил)-пиразино[2′, 1′: 6,1] -пиридо[3,4-b] индол-1,4-дион, и их физиологически приемлемые соли и сольваты. 5. Фармацевтический состав для лечения и профилактики эректильной дисфункции у млекопитающих мужского пола, включая человека, содержащий активный ингредиент и фармацевтически приемлемый разбавитель или носитель, отличающийся тем, что он в качестве активного ингредиента содержит соединение формулы (I) ![]() и его соли и сольваты (например, гидраты), где R0 означает атом водорода, галоида или C1-6-алкил; R1 означает атом водорода, C1-6-алкил, С2-6-алкенил, С2-6-алкинил, галоидсодержащий C1-6-алкил, С3-8-циклоалкил, С3-8-циклоалкилсодержащий С1-3-алкил, арилсодержащий С1-3-алкил или гетероарилсодержащий С1-3-алкил; R2 означает произвольно замещенное моноциклическое ароматическое кольцо, выбранное из группы, состоящей из бензола, тиофена, фурана и пиридина, или произвольно замещенное бициклическое кольцо, ![]() присоединенное к остальной молекуле посредством одного из углеродных атомов бензольного кольца, где сочлененное кольцо А является 5- или 6-членным кольцом, которое может быть насыщенным или частично либо полностью ненасыщенным и включает углеродные атомы и произвольно один или два гетероатома, выбранные из группы, состоящей из атома кислорода, серы и азота; R3 означает атом водорода или С1-3-алкил, или R1 и R3 вместе означают 3- или 4-членную алкильную или алкенильную цепь. 6. Фармацевтический состав для лечения и профилактики эректильной дисфункции у млекопитающих мужского пола, включая человека, содержащий активный ингредиент и фармацевтически приемлемый разбавитель или носитель, отличающийся тем, что он в качестве активного ингредиента содержит соединение, выбранное из группы, включающей (6R,12aR)-2,3,6,7,12,12а-гексагидро-2-метил-6-(3,4-метилендиоксифенил)-пиразино[2′, 1′: 6,1]пиридо[3,4-b]индол-1,4-дион и (3S, 6R,12aR)-2,3,6,7,12,12а-гексагидро-2,3-диметил-6-(3,4-метилендиоксифенил)-пиразино[2′, 1′: 6,1] пиридо[3,4-b]индол-1,4-дион и их физиологически приемлемые соли и сольваты. 7. Способ получения фармацевтического состава по п.5 для лечения и профилактики эректильной дисфункции у млекопитающих мужского пола, включая человека, отличающийся тем, что соединения формулы (I) и его физиологически приемлемые соли и сольваты вводят в фармацевтически приемлемый разбавитель или носитель, выбранные в зависимости от пути введения. 8. Способ получения фармацевтического состава по п.6 для лечения и профилактики эректильной дисфункции у млекопитающих мужского пола, включая человека, отличающийся тем, что соединение, выбранное из группы, включающей (6R, 12aR)-2,3,6,7,12,12а-гексагидро-2-метил-6-(3,4-метилендиоксифенил)-пиразино[2′,1′;6,1]пиридо[3,4-b]индол-1,4-дион и (3S,6R,12aR)-2,3,6,7,12,12а-гексагидро-2,3-диметил-6-(3,4-метилендиоксифенил)-пиразино[2′, 1′: 6,1] пиридо[3,4-b]индол-1,4-дион; и его физиологически приемлемые соли и сольваты вводят в фармацевтически приемлемый разбавитель или носитель, выбранные в зависимости от пути введения. 9. Способ лечения млекопитающего мужского пола, включая человека, для предотвращения эректильной дисфункции, отличающийся тем, что он включает в себя лечение упомянутого млекопитающего мужского пола эффективным количеством фармацевтического состава по п.5 или 6. 10. Фармацевтический состав по п.5 или 6, имеющий использование в производстве медикамента для лечения или профилактики эректильной дисфункции у млекопитающих, включая человека. 11. Способ по п.3, отличающийся тем, что соединение формулы (I) вводят через рот. 12. Соединение по п. 1, отличающееся тем, что соединение формулы (I) вводят через рот. 13. Соединение по п.1, отличающееся тем, что половая дисфункция – это дисфункция оргазма. РИСУНКИ
|
||||||||||||||||||||||||||








]20D = +71.00 (с 1,00, хлороформ).
Пример 2 (117) (соединение В)
– 13,2
Опадри белый – это запатентованный материал, полученный фирмой Colorcon Limited, Великобритания, который содержит гидроксипропилметилцеллюлозу, диоксид титана и триацетин.
* В конечном продукте вода не определяется. Максимальный теоретический вес твердых веществ, нанесенных при покрытии, составил 20 мг/таблетку. Таблетки покрывали пленкой, используя покрывающую суспензию и обычное оборудование для нанесения покрытия.
Капсулы
-аминоэтил)-N,N,N’, N’-тетрауксусную кислоту) и 0,15 мкМ 8-[H3]-cGMP. Использованный фермент представлял собой человеческую рекомбинантную PDEV (ICOS, Сиэттл, США).
Соединения по данному изобретению растворяли в ДМСО (диметилсульфоксиде), конечная концентрация не превышала 2%. Время инкубации составило 30 минут, тотальное превращение субстрата не превышало 30%.
Значения IC50 (50%-ной ингибирующей концентрации) для изученных соединений определяли по кривым зависимости эффекта от концентрации, используя обычные интервалы концентраций от 10 нМ до 10 мкМ. Тесты с другими PDE с использованием стандартной методологии показали также, что соединения по данному изобретению обладают высокой селективностью по отношению к cGMP-специфической PDE.
Измерения уровней cGMP




