Патент на изобретение №2181286
|
||||||||||||||||||||||||||
(54) КАРДИОТОНИЧЕСКОЕ И ГИПЕРТЕНЗИВНОЕ СРЕДСТВО, ДЛИТЕЛЬНО ПОВЫШАЮЩЕЕ ДАВЛЕНИЕ, И ЛЕКАРСТВЕННЫЕ ФОРМЫ НА ЕГО ОСНОВЕ
(57) Реферат: Изобретение относится к области медицины, а именно к препаратам, используемым при лечении сердечно-сосудистых заболеваний. Изобретение заключается в том, что кислотно-аддитивную соль оротовой и -аминомасляной кислот предлагают в качестве кардиотонического и гипертензивного средства, длительно повышающего давление, а также лекарственные формы на его основе в виде таблеток. Изобретение обеспечивает длительное повышение сократимости миокарда средства и системного артериального давления. 3 с.п. ф-лы, 5 табл.
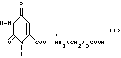
Предлагаемое изобретение относится к области фармакологии, в частности к препаратам, влияющим на работу сердечно-сосудистой системы, и может найти применение в медицинской практике. Артериальная гипотония занимает значительное место среди заболеваний сердца и сосудов. По данным академика Е.И.Чазова эта патология варьирует от 0,5% до 41% в зависимости от региона, пола, возраста и профессии. По данным медицинской статистики особенно велика частота артериальных гипотензий среди лиц среднего и, особенно, молодого возраста. В начале 80-ых годов заболеваемость среди трудоспособного населения составляла 6-8% от патологии сердечно-сосудистой системы и имеется тенденция к ее постоянному росту. Велика доля и “скрытой” гипотензии части населения, своевременно не обращающейся к врачу. По данным Е. И.Чазова (1982) симптоматическая гипотония выявлена в целом у стационарных больных в 17% случаев (при острой пневмонии – 23%, при язвенной болезни – 21%). В клинической практике почти нет эффективных средств, длительно повышающих артериальное давление, и эффективных кардиотонических препаратов при хронических гипотонических состояниях. В последнем издании справочника М.Д.Машковского “Лекарственные средства”, изд. 13-ое, Харьков, 1997, ч. 1, стр. 445-447 к группе средств, непосредственно повышающих артериальное давление, отнесены только 2 препарата: ангиотензамид и гутрон. Правда, в острых случаях, приводящих к резкому понижению артериального давления (шоковые состояния, большие кровопотери, травмы, острая гипоксия) кратковременно могут быть использованы препараты других групп: адреномиметики и психостимуляторы (эфедрин, дофамин, норадреналин, фенамин, там же, с.с. 238-243, 120, 271), сердечные гликозиды (строфантин, коргликон, там же, с. 366, 267), аналептики (кордиамин, камфора, там же, с. 123). Большинство препаратов указанных групп не предназначены непосредственно для терапии хронических гипотонических состояний. Кроме того, они имеют ряд недостатков и ограничений. Так, ангиотензамид оказывает кратковременный прессорный эффект в течение лишь 2-3 минут, т.к. он быстро инактивируется ферментами, содержащимися в крови. Другой его недостаток – внутривенное введение препарата путем медленной капельной инфузии с контролем за функцией почек и печени, что осуществимо только в условиях стационара. Те же недостатки (кратковременность гипертензивного эффекта, применение только в условиях стационара) присущи также норадреналину, камфоре, дофамину, эфедрину, строфантину. Фенамин и эфедрин, кроме того, при многократном использовании могут вызывать привыкание и пристрастие, что является серьезным их недостатком. Гипертензивный препарат изотурон имеет несколько большую продолжительность прессорного действия (1 час и более), но тем не менее он рекомендуется авторами (Е. А. Мухин, Б.И.Парий, В.И.Гикавый. “Фармакология гипертензивных средств”, Кишинев, 1974; В.И.Гикавый, В.В.Дарчук. “Изотурон – новый антигипотензивный препарат”. Межреспубл. научно-практ. конференция: “Синтез, фармакология и клинические аспекты новых психотропных и сердечно-сосудистых веществ”, Волгоград, 1989, с. 92; Е.А.Мухин и др. “Гипертензивные средства”, Кишинев, изд. Штиинца, 1983, с.с. 89-122), в основном, при острых артериальных гипотензиях. В качестве кардиотонических препаратов известно применение (М.Д.Машковский, там же, с.с. 366-368) некоторых сердечных гликозидов (строфантидин) и адренергических препаратов (дибутамин, дофамин). Но применение гликозидов ограничивается малой широтой терапевтического действия, побочными явлениями и противопоказаниями, а адренергических средств – в связи с необходимостью парентерального введения и кратковременности эффекта. В настоящее время получены некоторые новые синтетические негликозидные кардиотоники (амринон, милринон, эноксимон), но они не нашли пока еще широкого практического применения. Препараты этой новой группы предназначены исключительно для кратковременной терапии острой застойной сердечной недостаточности, назначать их следует с осторожностью, только в отделениях интенсивной терапии под контролем состояния гемодинамики. Целью предлагаемого изобретения является создание лекарственного средства, длительно повышающего сократимость миокарда и системное артериальное давление, пригодного для амбулаторного применения при хронической гипотонической болезни, вегетососудистой дистонии, астении, а также в условиях острой гипотензии. Поставленная цель достигается применением известного средства, предупреждающего развитие утомления при физических нагрузках – кислотно-аддитивной соли оротовой и -аминомасляной кислот формулы I:![]() в качестве основы кардиотонического и гипертензивного средства, повышающего системное артериальное давление, и составов, содержащих I. В научно-технической и патентной литературе соединение I в качестве кардиотонического и гипертензивного средства, а также заявляемые составы не описаны и не применялись в медицине. Учитывая структурно-механические и физико-химические особенности соединения I, нами разработаны и экспериментально исследованы следующие составы: таблетки, покрытые оболочкой, и суппозитории, позволяющие быстро вводить соединение I непосредственно в кровь через стенки прямой кишки, минуя желудок. 1. Таблетированная форма I для орального применения, содержащая в массовых %: основного вещества I 80-94,2; связующего вещества 0,3-8,2; разрыхляющего вещества 1-8; антифрикционного вещества 0,5-4,0. Концентрация основного вещества в интервале 80-94% является оптимальной: уменьшение количества I снижает эффективность лекарственной формы, а увеличение I нецелесообразно, кроме того, ухудшает структурно-механические свойства таблеток. 2. Лекарственная форма в виде суппозиториев, содержащая: основного вещества I 0,2-0,7 г 5% и 1,0-3,0 г 5% суппозиторной основы. Состав компонентов в суппозиториях найден на основании экспериментальных технологических и биофармацевтических исследований и является оптимальным: уменьшение содержания основного вещества I ведет к снижению эффективности препарата, а увеличение более 0,7 г нецелесообразно, т.к. не влияет более на величину и продолжительность эффекта.
В качестве вспомогательных веществ (связующих, разрыхляющих, антифрикционных в таблетках и наполнителей в суппозиторной основе) используются известные вещества, разрешенные Минздравом для изготовления лекарственных форм и для медицинского применения (Госфармакопея СССР ГФ XI, с. 151-152).
МЕТОДЫ ИССЛЕДОВАНИЙОпыты по изучению специфической активности и гемодинамических показателей I выполнялись на белых мышах, белых крысах, кошках, кроликах и собаках. Влияние на уровень системного артериального давления (САД) изучалось общепринятым методом в острых и хронических опытах. В острых опытах животным, наркотизированным нембуталом, вводили I в дозах 0,7, 7,5, 75, 250 и 500 мг/кг, что составляет 1/10000, 1/1000, 1/100, 1/30 и 1/15 от ЛД50. Артериальное давление измеряли ртутным манометром обычным способом, одновременно во втором стандартном отведении проводили запись на одноканальном электрокардиографе ЭКСП-4-060. В экспериментах на ненаркотизированных животных предварительно вживлялись катетеры в аорту для регистрации САД и в наружную яремную вену для выведения исследуемого вещества I вводили в дозах от 5 до 500 мг/кг, что составляет от 1/1500 до 1/15 от ЛД50 при пероральном введении. Наблюдения за животными проводили в течение 7 часов. При проведении опытов на животных в свободном поведении кроликам и собакам общую сонную артерию оперативным путем выводили в кожный лоскут по Ван-Леерсуму. Артериальное давление измеряли аппаратом Рива-Рочи с помощью специальной манжетки. Исследуемое вещество вводили в дозах от 1 до 300 мг/кг (от 1/10000 до 1/30 ЛД50 при внутрижелудочном введении). Наблюдения проводили в течение 12 часов. С целью изучения кардио- и гемодинамического эффекта I были проведены серии экспериментов с использованием методов термодилюции и электромагнитной флуометрии. Изучение влияния препарата на САД и основные показатели центральной гемодинамики методом термодилюции проведено в острых опытах на кошках. В основу метода положен принцип определения минутного объема крови (МОК) по кривым разведения красителя. В качестве индикатора использовался физиологический раствор более низкой температуры, чем циркулирующая кровь. МОК (в мл/мин) определяли методом терморазведения в модификации М. И.Гуревича с соавт. (1967). Общее периферическое сопротивление (ОПС) рассчитывали по формуле К. Уиггерса (1957). Из других показателей гемодинамики регистрировались также: частота сердечных сокращений (ЧСС), определяемая электрокардиографически, ударный объем (УО) и работа левого желудочка (РЛЖ), определяемые расчетным способом. Под термином “МОК”, “сердечный выброс”, “производительность сердца” понимают количество крови, которое выбрасывается в аорту (легочную артерию) за 1 минуту. Величина МОК, наряду с ОПС, определяет уровень артериального давления. В другой серии экспериментов изучалась центральная гемодинамика методом электромагнитной флуометрии (В.В.Зарецкий с соавт., 1974) и проводилась регистрация сократимости миокарда. Для этого проводилась стандартная оперативная подготовка. После перевода на искусственное дыхание в 4-ом межреберье делалась торакотомия. Выделялась восходящая аорта, на которую накладывали датчик электромагнитного расходомера крови РКЭ-3. Для измерения внутрижелудочкового давления (ВЖД) через верхушку сердца в полость левого желудочка вводили катетер, соединенный с электроманометром. Одновременно записывали первую производную ВЖД с помощью дифференциала. Оценивали следующие показатели кардио- и гемодинамики: САД, ЧСС, УО, МОК, ВЖД, а также скорость сокращения и расслабления миокарда, индекс Верагута и индекс расслабления. Запись производилась на самописце Н-338-8. Обработка результатов всех экспериментов проводилась с применением t-критерия Стьюдента. Расчеты выполнены на микро-ЭВМ “Электроника Б-3-34” с использованием соответствующих программ для расчета. РЕЗУЛЬТАТЫ ИССЛЕДОВАНИЙ 1. Влияние соединения I на уровень САД. В опытах на наркотизированных кошках изучалось влияние препарата на уровень САД при внутривенном введении в дозах от 0,75 до 500 мг/кг. Отмечался дозозависимый эффект повышения САД на 14-36%, сохраняющийся в течение 4-5 часов. В опытах на кроликах в свободном поведении даже в дозе 7,5 мг/кг при внутрибрюшинном введении соединение 1 вызывает отчетливую гипертензию в течение 4-х часов. Максимальный гипертензивный эффект наблюдается через 60-120 мин, при этом САД повышается до 43%. Увеличение дозы до 75 мг/кг приводит к увеличению длительности действия до 4-5 часов. При пероральном методе введения препарата кроликам в свободном поведении в дозах 9,5 и 95 мг/кг (1/1000 и 1/100 от ЛД50) также проявляется выраженное прессорное действие. Максимальный гипертензивный эффект наблюдается через 2 часа (33% от исходного уровня). Продолжительность эффекта – 4-5 часов. В экспериментах на собаках в свободном поведении при пероральном введении также проявляется отчетливый гипертензивный эффект (табл. 2). Так, уже в дозе 1 мг/кг САД повышается на 19% через 1 час и увеличивается до 30% через 2 часа, а через 7-9 часов оно постепенно восстанавливается до исходного уровня. При введении в дозе 10 мг/кг САД повышается до 24% через 2 часа и до 35% через 4 часа, а продолжительность эффекта более 7 часов. Наконец, увеличение дозы до 300 мг/кг приводит к еще более длительному по величине гипертензивному эффекту (до 62-68% в пределах 3-5 часов). При этом общая продолжительность действия – более 12 час. 2. Влияние соединения I на гемо- и кардиодинамику наркотизированных кошек. Основными гемодинамическими показателями, определяющими уровень артериального давления, являются МОК или сердечный выброс и ОПС. Поэтому, характеризуя вазоактивные (гипертензивные) свойства нового соединения, необходимо изучить его влияние не только на уровень артериального давления, но и на основные показатели гемо- и кардиодинамики. Для выяснения структуры гемодинамических изменений после введения была проведена серия экспериментов на наркотизированных кошках. Опыты показали, что после введения I в дозе 7,5 мг/кг внутривенно происходит повышение САД на 28-29,5% по сравнению с исходным уровнем (табл. 3, разд. “а”). Прессорный эффект развивается постепенно, достигая максимума через 1 час, и сохраняется в течение 5-7 часов. Повышение САД через 30-60 минут после введения I обусловлено увеличением ОПС на 41-46% и одновременным уменьшением МОК на 13-16%. Через 180 минут отмечается уменьшение МОК и тенденция к снижению ОПС. При этом ЧСС изменялось незначительно. С увеличением дозы I гипертензивный эффект возрастает. Так, через 3 часа изменение САД, в зависимости от дозы, составляло 42-46%. В другой серии экспериментов оценивалось действие вещества на центральную гемодинамику и его кардиотропное действие. Установлено, что в дозе 7,5 мг/кг, внутривенно, происходит повышение САД на 26-32% через 30-60 минут (табл. 3, разд. “б”). При увеличении дозы до 75 и 250 мг/кг отмечается более медленный подъем САД. При этом ВЖД отчетливо увеличивалось, МОК уменьшался за счет снижения УО, а ЧСС существенно не изменялась. Сократительная функция миокарда в первые 15 минут не изменялась, однако к 60 минуте показатель dp/dt(+) увеличивался почти на 23%. Индекс сокращения (индекс Верагута) возрастал, а индекс расслабления несколько снижался, а ОПС увеличивалось. САД поднималось через 30 минут, а длительность гипертензивного эффекта составляла более 2-х часов. Оценивая гемодинамический механизм действия соединения I в дозе 7,5 мг/кг, следует отметить, что гипертензивный эффект в основном обусловлен увеличением ОПС. МОК при этом уменьшается за счет преимущественного снижения УО. РЛЖ увеличивается на 38-47%. Введение I в дозах 75 и 250 мг/кг не приводит к увеличению длительности гипертензивного действия и немного повышает величину эффекта. В целом, изучение влияния I на сократимость миокарда и основные показатели гемодинамики наркотизированных кошек методом электромагнитной флуометрии и регистрации сократимости миокарда показало, что соединение I вызывает повышение артериального и внутрижелудочкового давления. При этом МОК уменьшается благодаря снижению УО, а ЧСС не изменяется. Сократимость миокарда и ОПС увеличивается. Гипертензивный эффект начинается через 30 минут после введения и далее развивается. Продолжительность действия препарата 4-5 часов и более, а затем давление постепенно восстанавливается до исходного уровня. Следовательно, соединение I обладает выраженным кардиотоническим и гипертензивным эффектами, причем продолжительность его вазопрессорного (гипертензивного) действия более 4-х часов. 3. Оценка гипертензивного действия соединения I на 2-х экспериментальных моделях патологических состояний. Продолжительный гипертензивный эффект соединения I был выявлен в экспериментах на нормотензивных животных. Для рекомендации применения в клинических условиях целесообразно было изучить влияние препарата на артериальное давление животных с экспериментальной гипотонией. Для этого нами были использованы следующие 2 модели гипотензий: а) постгемаррагическая гипотензия и б) наблюдение за животными с хроническим исходно низким давлением. Постгемаррогическая гипотензия создавалась путем медленного выведения крови у кошек и собак в течение 20 минут до уровня САД 70 мм рт. ст., который принят за исходный. После стабилизации этого уровня через 1,5 часа после начала кровопускания вводили соединение I в дозе 7,5 мг/кг. Кровопотеря у кошек составляла 25 мл, у собак – 32 мл/кг массы. Через 5 минут после введения препарата уровень САД у кошек повысился на 13%, через 15 минут – на 25%, через 30 минут – на 37,5%, через 60 минут – на 55%. Такой прессорный эффект продолжался более 3-х часов. У собак отмечался более медленный подъем давления. Так, через 60 минут у них САД повысилось на 20%, через 90 минут – на 30%, через 2 часа – на 40%. Длительность гипертензии составила более 3-х часов. Эксперименты на животных с исходно низким давлением были проведены на специально подобранной группе кошек с исходным давлением не выше 100 мм рт. ст. После внутривенного введения I в дозе 7,5 мг/кг при этом наблюдался подъем САД до 30% через 30-45 минут, до 38-43% через 2-3 часа и только через 4 часа появилась тенденция к снижению уровня артериального давления. 4. Сравнительное изучение влияния соединения I, эфедрина и изотурона на сердечно-сосудистую систему. Для оценки перспективности нового кардиотонического и вазопрессорного вещества длительного действия I было проведено сравнение влияния I, эфедрина и изотурона на САД и основные показатели центральной и региональной гемодинамики в сопоставимой дозе ЕД20, которое показало следующие результаты, которые будут приведены ниже. Эфедрин выбран нами в качестве препарата сравнения в связи с тем, что он является средством, достаточно широко применяемым в клинической практике при острых гипотензиях. Изотурон (этирон) мало известен клиницистам, но выбран нами для сравнения в связи с тем, что он является одним из немногих препаратов с продолжительностью гипертензивного эффекта более 1 часа. 4.1. Влияние соединения I на САД и основные показатели центральной гемодинамики в дозе ЕД20. В острых опытах на наркотизированных кошках в дозе 7,5 мг/кг (ЕД20) через 30 минут САД повышалось на 23-26% и оставалось на этом уровне 4-5 часов. При повторном введении I гипертензивный эффект практически не изменялся. В хронических опытах на бодрствующих кошках изучалось влияние I на уровень САД, общее состояние и поведение животных. Было установлено что I вызывает длительную гипертензию в дозе ЕД20. В течение 1 часа САД повышалось на 14-18% и постепенно через 3-4 часа возвращалось к исходному уровню. Изменений в поведении животных под влиянием I в этой дозе не отмечалось. Влияние на основные показатели центральной гемодинамики (САД, МОК, ОПС, ЧСС) изучалось в серии опытов на наркотизированных кошках. Было установлено, что САД через 30-40 минут повышается на 26-30% и оно обусловлено увеличением ОПС на 50-70% и уменьшением МОК на 12-26%. ЧСС при этом практически не изменялась. 4.2. Влияние эфедрина и изотурона на САД и основные показатели центральной гемодинамики в дозе ЕД20. В острых опытах на кошках в дозе 1,5 мг/кг (ЕД20) эфедрина САД начинало повышаться через 20-30 с после введения и через 5-15 минут отмечалось максимальное повышение САД до 21-28%. Продолжительность действия составляла 30-45 минут, но уже после 15 минут начиналось снижение САД (табл. 4, разд. “а”). При повторном введении эфедрина гипотензивный эффект был выражен в меньшей степени. САД повышалось на 10% от исходного уровня, что свидетельствует о вызываемой тахифилаксии. Изотурон в дозе ЕД20 (1,5 мг/кг) в острых опытах на кошках повышает САД через 30-50 с на 22-27% в течение 5-10 минут, но уже через 30 минут САД снижается до 8%, а через 45-60 минут САД возвращалось к исходному уровню (табл. 4, разд. “б”). Повторное введение изотурона вызывало повышение САД на 10-12% так же, как у эфедрина, что свидетельствует о вызываемой изотуроном тахифилаксии, что является отрицательным побочным эффектом для прессорного препарата. Влияние эфедрина и изотурона на центральную гемодинамику изучено в серии опытов на наркотизированных кошках. Эфедрин в дозе ЕД20 через 30 минут вызывает увеличение МОК до 16% и одновременно повышение ОПС на 30%. Затем МОК постепенно уменьшается и через 90 минут становится ниже исходного. Изотурон в дозе ЕД20 повышает ОПС на 30-40%, МОК недостоверно уменьшает на 13%, УО снижает на 17%, ЧСС через 5-30 минут уменьшается на 4-5%, а затем она восстанавливается до исходной. Таким образом, на основании серии сравнительных экспериментов можно сделать важное заключение, что введение эфедрина и изотурона в дозе ЕД20 вызывает непродолжительный гипертензивный эффект. Повышение САД под влиянием эфедрина обусловлено увеличением МОК и ОПС. Подъем САД под влиянием изотурона осуществляется главным образом за счет резкого увеличения ОПС, в то время как МОК и УО изменяются статистически недостоверно. В серии экспериментов на бодрствующих кошках было изучено влияние эфедрина на САД и на поведение животных. Было показано, что в дозе ЕД20 (внутривенно) эфедрин повышает САД на 20-22% в течение 30-35 минут, не через 60 минут отмечалось уже восстановление САД до исходного уровня. Препарат вызывал психомоторное возбуждение животных, повышение двигательной активности, резкое расширение зрачков, слюноотделение и учащение дыхания. В таблице 5 представлена общая сравнительная фармакологическая характеристика соединения I, эфедрина и изотурона. Согласно методическим рекомендациям по фармакологическому изучению новых соединений, предлагаемых для проведения клинических испытаний в качестве антигипотензивных (гипертензивных) средств (Е.А.Мухин и др., 1989) для кратковременной коррекции острой артериальной гипотензии, такие препараты должны удовлетворять целому ряду критериев. С учетом этих критериев проведенное нами сравнительное изучение препаратов I, эфедрина и изотурона дает основание утверждать, что соединение I в большей степени отвечает требованиям, предъявляемым к “идеальному” гипертензивному и кардиотоническому средству. Он существенно превосходит эфедрин и изотурон по величине и продолжительности гипертензивного эффекта, по основным гемодинамическим показателям и при этом оно не вызывает неблагоприятных для работы сердца побочных действий. Кроме того, соединение I в 40 раз менее токсично, чем эфедрин, и в 13 раз, чем изотурон. Поэтому терапевтическая широта I в 2,5 раза выше, чем у изотурона, и в 10 раз выше, чем у эфедрина. Соединение I (субстанция) получается по методике, приведенной в а.с. 988814. Пример 1. Получение фармацевтической таблетированной композиции 1. Субстанцию I смешивают в универсальном смесителе или аппарате с псевдосжиженным слоем с разрыхляющим веществом, увлажняют водным раствором связывающего вещества, протирают в грануляторе через сито с диаметром отверстий 2-3 мм. Затем увлажненный гранулят сушат в сушильном шкафу при температуре 60-80oС до остаточной влажности не более 8%. Высушенный гранулят протирают в протирочной машине через сито с диаметром отверстий 0,5 или 1,0 мм и опудривают антифрикционным веществом в соответствующих соотношениях. Из готового гранулята затем прессуют таблетки в прессе. Примеры составов таблеток (1а-1е), полученных по этой технологии, приведены в табл. 1. Разработанные таблетки – белые, двояковыпуклые, диаметром 9 мм, по всем показателям качества отвечающие требованиям Госфармакопеи (ГФ, XI изд., с. 154-157.). Пример 2. Способ изготовления суппозиториев. Суппозитории (ректальные свечи) – соединения I массой 0,5-4,0 г с содержанием действующего начала 0,2-0,7 г готовили по общепринятой технологии (ГФ XI, с. 151) методом выливания, а контроль качества суппозиториев проводился согласно требованиям Госфармакопеи (ГФ XI, с. 151-152). Выбор оптимальной основы осуществлялся по результатам высвобождения вещества из суппозиториев методом равновесного диализа через полупроницаемую мембрану. Ниже приведено несколько примеров ректальных свечей, отличающихся своим составом. Пример 2-а. Соединение I – 0,2 г Суппозиторная основа – 1,0 г Пример 2-б. Соединение I – 0,5 г Суппозиторная основа – 1,5 г Пример 2-в. Соединение I – 0,6 г Суппозиторная основа – 2,0 г Пример 2-г. Соединение I – 0,7 г; Суппозиторная основа – 2,8 г. Таким образом, из представленных материалов следует, что предлагаемая соль оротовой и -аминомасляной кислоты обладает высоким кардиотоническим и гипертензивным эффектом как в норме, так и при моделировании гипотонических состояний, и при этом превышает препараты сравнения по продолжительности гипертензивного действия в 4-5 раз. При этом соединение I имеет очень низкую токсичность, поэтому его терапевтическая широта значительно превосходит таковую для известных препаратов.
Для соединения I разработаны оптимальные композиции в виде таблеток в оболочке и суппозиториев, на базе которых могут быть созданы новые эффективные лекарственные препараты.
Таким образом, положительный эффект и промышленная применимость изобретения заключаются в возможности получения доступными методами новых высокоэффективных кардиотонических и гипертензивных препаратов длительного действия, пригодных для амбулаторного применения при хронической гипотонической болезни, превосходящих по длительности действия известные в клинической практике препараты того же назначения.
Формула изобретения
-аминомасляной кислоты формулы I![]() в качестве кардиотонического и гипертензивного средства, длительно повышающего давление. 2. Кардиотонический и гипертензивный состав в виде таблеток, отличающийся тем, что он содержит соединение формулы I, связующее, разрыхляющее и антифрикционное вещества при следующих соотношениях компонентов, мас.%: Соединение формулы I – 80,0-94,2 Связующее вещество – 0,3-8,2 Разрыхляющее вещество – 1,0-8,0 Антифрикционное вещество – 0,5-4,0 3. Кардиотонический и гипертензивный состав в виде свечей, отличающийся тем, что он содержит соединение формулы I и суппозиторную основу при следующих соотношениях компонентов, г: Соединение формулы I – 0,2-0,7 Суппозиторная основа – 1,0-3,0и РИСУНКИ
MM4A – Досрочное прекращение действия патента СССР или патента Российской Федерации на изобретение из-за неуплаты в установленный срок пошлины за поддержание патента в силе
Дата прекращения действия патента: 26.05.2006
Извещение опубликовано: 10.05.2007 БИ: 13/2007
NF4A Восстановление действия патента СССР или патента Российской Федерации на изобретение
Дата, с которой действие патента восстановлено: 27.10.2007
Извещение опубликовано: 7.10.2007 БИ: 30/2007
MM4A – Досрочное прекращение действия патента СССР или патента Российской Федерации на изобретение из-за неуплаты в установленный срок пошлины за поддержание патента в силе
Дата прекращения действия патента: 26.05.2008
Извещение опубликовано: 20.06.2010 БИ: 17/2010
|
||||||||||||||||||||||||||

-аминомасляной кислот предлагают в качестве кардиотонического и гипертензивного средства, длительно повышающего давление, а также лекарственные формы на его основе в виде таблеток. Изобретение обеспечивает длительное повышение сократимости миокарда средства и системного артериального давления. 3 с.п. ф-лы, 5 табл.

5% и 1,0-3,0 г 