Патент на изобретение №2181284
|
||||||||||||||||||||||||||
(54) ХАЛЬКОНЫ И ИХ СЛОЖНЫЕ ЭФИРЫ С АНТИПРОЛИФЕРАТИВНОЙ АКТИВНОСТЬЮ В ОТНОШЕНИИ ОПУХОЛЕЙ МАТКИ, ЯИЧНИКА И МОЛОЧНОЙ ЖЕЛЕЗЫ
(57) Реферат: Изобретение относится к применению сложных эфиров хальконов с прямыми или разветвленными алифатическими кислотами, насыщенными и ненасыщенными, содержащими до 22 атомов углерода, в терапии и профилактике опухолей матки, яичника и молочной железы, а также рецептурам, содержащим их. Хальконы, такие как изокордоин, кордоин, 2-гидроксидеррицин, 2′,4′-дигидроксихалькон, 4,2′, 4′-тригидроксихалькон, обладают значительным сродством к эстрогенным рецепторам II типа и антипролиферативной активностью в отношении клеток линий опухолей матки, яичника и молочной железы. Доказано, что данные соединения полезны как в терапии, так и в профилактике таких опухолей. 2 с. и 1 з.п.ф-лы, 4 табл. Изобретение относится к применению соединений халькона или его сложных эфиров с прямыми или разветвленными алифатическими кислотами, насыщенными и ненасыщенными и содержащими до 22 атомов углерода, в терапии и профилактике опухолей матки, яичника и молочной железы, а также к рецептурам, содержащим их. Ранее было доказано, что некоторые флаваноиды обладают противораковой активностью (Cancer Recearch 48, 5754, 1988) и хемопрофилактической активностью в отношении некоторых опухолей (J. Nat. Prod. 53, 23, 1990). В частности, кварцетир – флованоид, повсеместно встречающийся в растениях, проявляет некоторую ингибирующую активность в отношении пролиферации клеток лейкемии человека (Br. J. of Haematology 75, 489, 1990) и других линий клеток (Br. J. Cancer 62, 942, 1990 – Int. J. Cancer 46, 1112, 1990 – Cancer Chemother. Pharmacol. 28, 255, 1991 – Gynecologic Oncology 45, 13, 1991, 1992) помимо синергической активности с обычными хемотерапевтическими средствами. Хотя механизм такого ингибирующего действия на пролиферацию не известен, он, вероятно, связан с взаимодействием этого флаваноида с эстрогенными рецепторами II типа (J. Steroid Biochem. 30, 71, 1988). Эти сайты впервые описал Clark (J. Biol. Chem. 253, 7630, 1978) в 1978 г. на матке крысы, несмотря на то, что демонстрация такого же стероида и тканевой специфичности отлична от “подлинных” эстрогенных рецепторов (ER), так как они присутствуют в более высокой концентрации, чем ER, и обладают более низким кажущимся сродством константы диссоциации (KD: 10-20 нМ) к экстрадиолу, чем ER (KD:0,2-1 нМ). В настоящее время было неожиданно установлено, что соединения с альконовой структурой: изокордоин (isocordoin), 4-гидроксидеррицин (4-hydroxyderricin), 2-гидроксидеррицин, 3-гидроксидеррицин, 2′,4′-дигидроксихалькон, 4,2′, 4′-тригидроксихалькон и кордоин (cordoin) – обладают прекрасным (значительным) сродством к эстрогенным рецепторам II типа, экстремально более высоким, чем сродство известных продуктов, наряду с заметной антипролиферативной активностью в отношении линий клеток опухолей матки, яичника и молочной железы. Соединения, указанные выше, имеют структуры, представленные в табл.1 Другие хальконы, очень близкие к первым с точки зрения химического строения, такие, как 4-гидроксикордоин и дигидрокордоин, структуры которых приведены в табл.2, не проявляют сродства к указанным выше рецепторам. Таким образом, в соответствии с первым аспектом, изобретение обеспечивает применение соединений формулы (I) для получения лекарственных средств с противоопухолевой активностью, в частности для лечения опухолей, экспрессирующих (expressing) эстрогенные рецепторы II типа. В соответствии с другим аспектом, изобретение также обеспечивает получение сложных эфиров соединений формулы (I) с прямыми или разветвленными алифатическими кислотами, насыщенными или ненасыщенными и содержащими до 22 атомов углерода. Особенно предпочтительными являются сложные эфиры уксусной, масляной, пальмитиновой или ксимениновой (ximeninic) кислот. Сложные эфиры данного изобретения могут быть введены перорально, и они, вероятно, ведут себя как пролекарства относительно хальконов I. И наконец, изобретение обеспечивает получение фармацевтических композиций, содержащих соединения I или их сложные эфиры в качестве активных ингредиентов в смеси с подходящими наполнителями. Соединения (I) могут быть получены в соответствии с общеизвестными способами, которые описываются в публикациях: I1 Farmaco, 30, 449-55, 1975; I1 Farmaco, 32, 261-69, 1977; I1 Farmaco, 30, 326-42, 1975. Сродство соединений I к эстрогенным рецепторам II типа и антипролиферативная активность в отношении опухолевых клеток яичника представлены в табл.3. Изучение связывания эстрогенного рецептора проводят на клетках опухоли матки и других органов. Клетки выращивают в монослойной культуре на минимальной необходимой среде с добавлением сыворотки теленка и 200 ед./мл пенициллина для сохранения стерильности среды. Для того, чтобы сделать опыт воспроизводимым, клетки каждую неделю обрабатывают трипсином (tripsinated), помещают на платы при плотности 8 10-4 и выдерживают при 37oС под атмосферой воздуха, содержащей 5% СО2 и влаги. Для оценки активности соединений клетки помещают в ячейки (Falcon 3046, Becton Dickinson NY) с концентрацией 10-5/ мл в минимальное количество субстрата. Спустя 24 ч субстрат заменяют свежим субстратом и добавляют хальконы, растворенные в абсолютном спирте. Контроль обрабатывают аналогично с носителем при отсутствии активного ингредиента в опыте. Обработку, описанную выше, повторяют с интервалом 24 ч в течение 72 ч эксперимента. Спустя 24 ч клетки выдерживают с определенным (scalar) количеством меченого экстрадиола (3Н-У2 40 Ci/ммол Amershan UK) одним или в присутствии 100-кратного количества диэтилстильбэстрола при 4oС в течение 2,5 ч. В конце периода инкубирования клетки быстро промывают свежим субстратом и выдерживают в течение 30 мин с 1М NaOH. Радиоактивность измеряют при помощи сцитиллятора, и специфичность связывания вычисляют как разность препаратов, содержащего и не содержащего диэтилстильбэстрол. Результаты выражают в соответствии с общеизвестными методами как количество связывающих сайтов на клетку. Ингибирование пролиферации клеток оценивают непосредственным подсчетом клеток и сравнивают рост контрольных версий с ростом обработанных.
Соединения данного изобретения ингибируют in vivo пролиферацию клеток, как доказывает измерение размера опухолей, имплантированных атимной голой мыши, в соответствии с общеизвестными условиями, описанными в литературе. Обработка животных дозами в интервале от 1 до 100 мг/кг делает очевидной с высоким процентом заметную регрессию изучаемых опухолей до полного их исчезновения у индивидуумов. У человека соединения I проявили активность на опухолях матки, яичника и молочной железы более высокую, чем активность известных лекарственных средств, таких как тамоксифен (Tamoxifen).
В указанных выше опытах сложные эфиры изокордоина, кордоина и 2′,4′-дигидроксихалькона проявляют особенно заметную активность.
Соединения данного изобретения могут преимущественно вводиться перорально или посредством вливания; для перорального введения природные или синтетические фосфолипиды оказываются особенно полезными, так как образуют стабильные липорастворимые комплексы с хальконами; доказано, что триглицериды с углеродной цепью средней длины и родственные наполнители являются полезными. Дозировки соединений данного изобретения, главным образом вводимые перорально, могут изменяться в широкой области, например, от 10 до 300 мг/день.
Приведенные далее примеры дополнительно иллюстрируют изобретение.
Пример 1. Получение кордоин ксименината7 г 4-0-Пренил-2-гидроксиацетофенона взаимодействуют с 7 г бензальдегида в 10 г пиперидина и 70 мл этанола при 60-70oС. Спустя 36 ч растворитель отгоняют под вакуумом, и остаток переносят в 100 мл бензола, которые тщательно промывают 2N НСl. После отгонки бензола остаток очищают в колонке с силикагелем с получением 3,5 г кордоина. Полученный кордоин взаимодействует в 20 мл безводного пиридина с 3 г хлорангидрида ксимениновой кислоты. Реакционную смесь выливают в воду и продукт экстрагируют метиленхлоридом. После перекристаллизации из метанола получают 4,2 г кордоин ксиметината: т.пл. 164-166oС. Пример 2. Получение изокордоин пальмитата 10 г 3-С-Пренилресацетофенона и 10 г п-гидроксибензальдегида растворяют в 15 г пиперидина и 200 мл абсолютного этанола и выдерживают в течение 4 ч при 60oС. После удаления растворителя остаток суспендируют в 50 мл 2N НС1 и продукт экстрагируют метиленхлоридом. После удаления хлорированного растворителя остаток очищают на силикагеле с получением 4,1 г изокордоина с т.пл. 160-161oС. Этот продукт взаимодействует с 8 г пальмитоилхлорида в 30 мл безводного пиридина. После разбавления реакционной смеси водой и очистки на силикагеле получают 6,2 г дипальмитоилизокордоина, т.пл. 131-132oС. Пример 3. Получение кордоин- и изокордоинацетатов и -бутиратов Эти продукты получают в соответствии с методиками примеров I и II, используя соответственно хлориды или ангидриды соответствующих кислот (кордоинацетат – т.пл. 131-133oС; кордоинбутират – т.пл. 124-126oС). Пример 4. Получение комплекса изокордоина с дипальмитоилфосфатидилхолином 3,08 г Изокордоина суспендируют в 30 мл метиленхлорида, добавляют к 7,9 г дипальмитоилфосфатидилхолина и оставляют на 1 ч при перемешивании. Когда реагенты полностью растворяются, реакционную смесь выливают в 50 мл н-гексана. Осадок твердого вещества фильтруют и сушат при 40oС в течение ночи под вакуумом, получают 7,2 г фосфолипидизокордоинового комплекса с т.пл. 70oС. Противоопухолевая активность соединений, полученных в примерах 1, 2 и 4, оценивалась на следующих экспериментальных моделях. Анемичные женские особи мышей линии Balb/Cnu/nu в возрасте 6 недель получали от Harlan/Sprague-Dawley и их использовали в качестве хозяина человеческой опухоли легких (MCF 7) после гарантированного 2-недельного периода. Мышам имплантировали sc приблизительно 50 мг фрагменты ненекротической опухоли, используя рутинную технику троакарной трансплантации (12 калибр). Начиная с 4-10 дня после имплантации опухоли, когда она прощупывалась (100 мм3), проводили химиотерапию. Рост опухоли контролировался дважды в неделю путем двунаправленного измерения циркулем. Ингибирование роста опухоли (значение Т/С) вычисляли для определения противоопухолевой активности аналогов паклитаксела. Все опухоли определяли одновременно для леченой и контрольной групп. Когда вес опухоли контрольной группы (с) достигает 1-1,5 г, определяли вес опухоли леченой группы (Т), включая животных, у которых видимых опухолей не наблюдалось. Значение Т/С рассчитывали как соотношение веса леченой опухоли к контрольной. Вес опухолей устанавливали из размера опухоли, считая, что 1 мм3 опухоли соответствовал 1 мг. Т/С 0,4 рассматривалась как минимальный уровень для признания соединения, обладающим активностью (NCI стандарты).
Результаты показаний, сведенные в табл. 4, ясно показывают, что соединения согласно изобретению имеют активность выше, чем известные соединения.
Формула изобретения
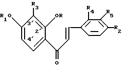
![]() где R1 – водород, метил, пренил; R2 – водород или гидрокси; R3 – водород или пренил; R4 – водород или гидрокси; R5 – водород или гидрокси; R – ацетил, бутирил, пальмитоил, ксимениноил. 2. Сложные эфиры хальконов по п.1, где хальконы выбраны из изокордоина или кордоина. 3. Фармацевтическая композиция, обладающая сродством к рецепторам экстрогена типа 11 и пролиферативной активностью в отношении раковых клеток, включающая активный ингредиент и фармацевтически приемлемый наполнитель, отличающаяся тем, что в качестве активного ингредиента используют соединения формулы I по пп.1 и 2. РИСУНКИ
MM4A – Досрочное прекращение действия патента СССР или патента Российской Федерации на изобретение из-за неуплаты в установленный срок пошлины за поддержание патента в силе
Дата прекращения действия патента: 05.12.2007
Извещение опубликовано: 20.07.2010 БИ: 20/2010
|
||||||||||||||||||||||||||

10-4 и выдерживают при 37oС под атмосферой воздуха, содержащей 5% СО2 и влаги. Для оценки активности соединений клетки помещают в ячейки (Falcon 3046, Becton Dickinson NY) с концентрацией
0,4 рассматривалась как минимальный уровень для признания соединения, обладающим активностью (NCI стандарты).
Результаты показаний, сведенные в табл. 4, ясно показывают, что соединения согласно изобретению имеют активность выше, чем известные соединения.
