Патент на изобретение №2181281
|
||||||||||||||||||||||||||
(54) ФАРМАЦЕВТИЧЕСКАЯ КОМПОЗИЦИЯ ДЛЯ ЛЕЧЕНИЯ И ПРОФИЛАКТИКИ МИКОЗОВ КОЖИ
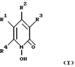
(57) Реферат: Изобретение относится к области медицины и касается фармацевтических средств для лечения и профилактики микозов кожи. Фармацевтическая композиция для лечения и профилактики микозов кожи содержит 1-гидрокси-2-пиридон определенной формулы или физиологически переносимую соль этого соединения в качестве активного вещества, алканол, гидрофильное гелеобразующее вещество, смачивающее вещество, агент растворения и диминерализованную воду. Композиция обеспечивает высокую эффективность путем достижения высоких концентраций биологически активного вещества в коже, а также позволяет его легко и целенаправленно наносить его на пораженные участки кожи особенно при лечении микозов стоп, проявляя при этом желаемый результат высушивания. 7 з.п.ф-лы. Изобретение относится к средствам для лечения и профилактики дерматозов, т.е. заболеваний кожи, более конкретно к фармацевтической композиции для лечения и профилактики микозов кожи. Известна фармацевтическая композиция для лечения и профилактики дерматозов, в частности угрей, содержащая по меньшей мере одно производное пиридона, по меньшей мере одно вещество с антибактериальной активностью, гидрофильное гелеобразующее вещество, алканол и деминерализованную воду (см. заявку GB 2208149 А, кл. А 61 К 7/48, опубл. 08.03.1989 г.). Задачей изобретения является разработка фармацевтической композиции для высокоэффективного лечения и профилактики микозов кожи, которая содержит только производное пиридона. Поставленная задача решается предлагаемой композицией для лечения и профилактики микозов кожи, содержащей 1-гидрокси-2-пиридон общей формулы (I) ![]() где R1, R2 и R3, которые являются одинаковыми или различными, означают атом водорода или алкил с 1-4 атомами углерода, a R4 означает насыщенный углеводородный остаток с 6-9 атомами углерода, или физиологически переносимую соль соединения формулы (I) в качестве активного вещества, алканол, гидрофильное гелеобразующее вещество и деминерализованную воду, за счет того, что дополнительно содержит смачивающее средство и агент растворения. Компоненты предлагаемой фармацевтической композиции предпочтительно взяты в следующем количественном соотношении, мас.%: Активное вещество – 0,05-2,0 Гидрофильное гелеобразующее вещество – 0,3-2,0 Алканол – 20-25 Смачивающее вещество – 0,05-5 Агент растворения – 1-15 Деминерализованная вода – Остальное В частности, активное вещество содержится в предлагаемой фармацевтической композиции в количестве 0,1-1 мас.%. Предпочтительным активным веществом является соединение формулы (I), у которого R4 означает циклогексильный остаток. В качестве гидрофильного гелеобразующего вещества можно назвать природные вещества, такие как желатин, пектин, трагант, агар, карраген или альгинат, полусинтетические соединения, такие как простые эфиры целлюлозы, например метилцеллюлоза, этилцеллюлоза, гидроксиэтилцеллюлоза, гидроксипропилцеллюлоза или натрийкарбоксиметилцеллюлоза, производные крахмала или производные пектина, а также полностью синтетические гелеобразующие вещества, такие как полиакрилаты, полиметакрилаты, поливиниловый спирт или поливинилпирролидоны, или их смесь. В качестве агента растворения можно назвать вещество из группы, включающей бензиловый спирт, 2-октилдодеканол, пропиленгликоль, адипаты и глицерин. В качестве смачивающего агента можно назвать соединение из группы, включающей полиэтиленгликоль-7-глицерилкокоат, полиоксиэтилен(2) сорбитанмоностеарат и диоктилсульфосукцинат натрия. Кроме того, пригодны сульфаты спирта жирного ряда с 10-12 атомами углерода, в частности лаурилсульфат натрия, алкилэфиросульфаты с 12-14 атомами углерода, в частности лаурилэфиросульфат натрия. Ниже приводятся конкретные примеры предлагаемой фармацевтической композиции. Пример 1 Компоненты – Содержание, мас.% 1-гидрокси-4-метил-6-(2,4,4-триметилпентил) -2(1Н)-пиридон – 0,50 Гидроксиэтилцеллюлоза – 1,50 Полиэтиленгликоль-7-глицерилкокоат – 5,00 1,2-Пропилгликоль – 10,00 Изопропиловый спирт – 20,00 Деминерализованная вода – 63,00 Пример 2 Компоненты – Содержание, мас.% 1-Гидрокси-4-метил-6-циклогексил-2(1Н)-пиридон – 1,00 Полимер полиакриловой кислоты (например, карбомер 934 Р) – 0,70 Гидроксид натрия – 0,20 Диоктилсульфосукцинат натрия – 0,05 2-Октилдодеканол – 7,50 Изопропиловый спирт – 25,00 Деминерализованная вода – 65,55 Пример 3 Компоненты – Содержание, мас.% 1-Гидрокси-4-метил-6-циклогексил-2(1Н)-пиридон – 0,50 Полимер полиакриловой кислоты (например, карбомер 940) – 0,50 Гидроксид натрия – 0,20 Полиоксиэтилен(20)сорбитанмоностеарат – 3,50 Изопропилмиристат – 10,00 Энанол – 20,00 Деминерализованная вода – 65,30 Активность предлагаемой фармацевтической композиции иллюстрируется следующим примером. В этом примере используют еще сравнительные композиции А-С следующего состава: Сравнительная композиция А Компоненты – Содержание, мас.% 1-Гидрокси-4-метил-6-циклогексил-2(1Н)-пиридон – 1,00 Полимер полиакриловой кислоты (например, карбомер 934 Р) – 0,70 Гидроксид натрия – 0,20 2-Октилдодеканол – 7,50 Изопропиловый спирт – 25,00 Деминерализованная вода – 65,60 Сравнительная композиция Б Компоненты – Содержание, мас.% 1-Гидрокси-4-метил-6-циклогексил-2(1Н)-пиридон – 1,00 Полимер полиакриловой кислоты (например, карбомер 934 Р) – 0,70 Гидроксид натрия – 0,20 Диоктилсульфосукцинат натрия – 0,05 Изопропиловый спирт – 25,00 Деминерализованная вода – 73,05 Сравнительная композиция В Компоненты – Содержание, мас.% 1-Гидрокси-4-метил-6-циклогексил-2(1Н)-пиридон – 1,00 Полимер полиакриловой кислоты (например, карбомер 934 Р) – 0,70 Гидроксид натрия – 0,20 Изопропиловый спирт – 25,00 Деминерализованная вода – 73,10 Пример 4 Тест на высвобождение биологически активного вещества фармацевтической композиции на модели проникания с иссеченной свиной кожей Испытание высвобождения биологически активного вещества из предлагаемой композиции по примерам 1-3 и сравнительных композиций А-В осуществляют на модели проникания с иссеченной свиной кожей. При этом вывод делают косвенно, через определение глубины проникания с помощью микробиологического метода определения по высвобождению биологически активного вещества из композиций. У убойных свиней перед ошпариванием забитых животных иссекают большие куски кожи спины, обертывают влажной бумагой и полимерной пленкой и до эксперимента подвергают глубокому замораживанию при – 20oС. Перед экспериментом поверхность кожи освобождают от жировой ткани, бреют и с целью дезинфекции в течение 60 минут обрабатывают изопропанолом. Для каждого изучаемого состава используют отдельный кусок кожи (приблизительно 2х3 см). На поверхность кожи наносят 0,2 г композиций по примерам 1-3 и сравнительных композиций А-В. По окончании различных отрезков времени воздействия (0,5, 1 и 4 часа) в инкубаторе при температуре 30oС кожу промывают и сушат. Для изучения способности проникания биологически активных веществ или способности высвобождения их из композиций в каждом случае на три лежащие рядом друг с другом полоски кожи наносят прозрачную пленку соответствующего размера. Затем каждую полоску десятикратно точечно инокулируют суспензией из Trichophyton mentagrophytes 100/25 (около 200 микроконидий на точку заражения). После этого куски кожи инкубируют 7 дней при 28oС на водном агаре с добавкой пенициллина, стрептомицина и циклогексимида. Начиная с четвертого дня инкубирования, ежедневно макроскопически определяют рост грибков. Результаты На всех образцах, обработанных композициями примеров 1-3 и прошедших 30-минутное воздействие в инкубаторе, рост грибков не наблюдался. На образцах, обработанных сравнительными композициями 1-3 и прошедших 30-минутное, соответственно одночасовое, воздействие в инкубаторе, рост грибков наблюдался, тогда как на образцах, обработанных сравнительными композициями А-В и прошедших 4-часовое воздействие в инкубаторе рост грибков не наблюдался. Результаты опытов свидетельствуют о том, что предлагаемая композиция, соответственно активное вещество, быстрее проникает в кожу, чем сравнительные композиции, соответственно активное вещество. Формула изобретения
![]() где R1, R2 и R3, которые являются одинаковыми или различными, означают атом водорода или алкил с 1-4 атомами углерода; R4 означает насыщенный углеводородный остаток с 6-9 атомами углерода, или физиологически переносимую соль соединения формулы (I) в качестве активного вещества, алканол, гидрофильное гелеобразующее вещество, и деминерализованную воду, отличающаяся тем, что дополнительно содержит смачивающее средство и агент растворения. 2. Фармацевтическая композиция по п.1, отличающаяся тем, что содержит компоненты в следующем количественном соотношении, мас.%: Активное вещество – 0,05-2,0 Гидрофильное гелеобразующее вещество – 0,3-2,0 Алканол – 20-25 Смачивающее вещество – 0,05-5 Агент растворения – 1-15 Деминерализованная вода – Остальное 3. Фармацевтическая композиция по п.2, отличающаяся тем, что содержит соединение формулы (I) в количестве 0,1-1 мас.%. 4. Фармацевтическая композиция по пп.1-3, отличающаяся тем, что содержит соединение формулы (I), у которого R4 означает циклогексильный остаток. 5. Фармацевтическая композиция по одному или нескольким пп.1-4, отличающаяся тем, что в качестве гидрофильного гелеобразующего вещества содержит природные вещества, такие, как желатин, пектин, трагант, агар, карраген или альгинат, полусинтетические соединения, такие, как простые эфиры целлюлозы, например, метилцеллюлоза, этилцеллюлоза, гидроксиэтилцеллюлоза, гидроксипропилцеллюлоза или натрийкарбоксиметилцеллюлоза, производные крахмала или производные пектина, а также полностью синтетические гелеобразующие вещества, такие, как полиакрилаты, полиметакрилаты, поливиниловый спирт или поливинилпирролидоны, или их смесь. 6. Фармацевтическая композиция по п.5, отличающаяся тем, что в качестве гидрофильного гелеобразующего вещества содержит полиакрилат. 7. Фармацевтическая композиция по одному или нескольким пп.1-6, отличающаяся тем, что в качестве агента растворения содержит вещество из группы, включающей бензиловый спирт, 2-октилдодеканол, пропиленгликоль, адипаты и глицерин. 8. Фармацевтическая композиция по одному или нескольким из пп.1-7, отличающаяся тем, что в качестве смачивающего агента содержит соединение из группы, включающей полиэтиленгликоль-7-глицерилкокоат, полиоксиэтилен(2)сорбитанмоностеарат и диоктилсульфосукцинат натрия. PD4A – Изменение наименования обладателя патента Российской Федерации на изобретение
(73) Новое наименование патентообладателя:
Извещение опубликовано: 10.06.2006 БИ: 16/2006
|
||||||||||||||||||||||||||


