Патент на изобретение №2181200
|
||||||||||||||||||||||||||
(54) СПОСОБ ОПРЕДЕЛЕНИЯ ТЕПЛОЕМКОСТИ ПОЛИМЕРОВ ПРИ ПОСТОЯННОМ ДАВЛЕНИИ
(57) Реферат: Изобретение относится к измерительной технике. Образец помещают в конденсаторный первичный измерительный преобразователь, расположенный в микрокалориметре, измеряют средний квадрат напряжения электрических флуктуаций, диэлектрическую проницаемость и коэффициент диэлектрических потерь, обусловленные внутренним электромагнитным полем, для двух моментов времени нагрева и вычисляют удельную теплоемкость полимера при постоянном давлении. Технический результат – повышение точности измерений. 1 ил. Изобретение относится к измерительной технике и может быть использовано при производстве высокомолекулярных соединений, а также для прогнозирования изменения физических свойств полимеров при различных условиях эксплуатации. Известны способы измерения удельной теплоемкости полимеров при постоянном давлении ( см. Кикоин А.К., Кикоин И.К. Молекулярная физика. – М.: Наука, 1976. – 480 с.). В калориметр помещают исследуемое вещество – образец с намотанным на нем электрическим нагревателем, являющимся в то же время термометром сопротивления, контактирующим с образцом. Образец помещают в оболочку, внутри которой может быть создан высокий вакуум. Не создавая вакуума внутри калориметра с образцом, его помещают в термостат и нагревают до той температуры, при которой должны быть проведены измерения. После этого пространство внутри калориметра откачивают, создавая вакуум и тем самым изолируют образец от термостата. Затем через нагреватель в течение определенного времени пропускают электрический ток, измеряя разность потенциалов на его концах и силу тока в нем. С помощью нагревателя-терморезистора измеряют вызванное действием нагревателя повышение температуры образца и рассчитывают удельную теплоемкость по формуле ![]() где m – масса образца, T – изменение его температуры, Q – количество тепловой энергии, подведенной к образцу.
Известный способ имеет недостаток. Об изменении внутренней энергии образца судят по изменению сопротивлении нагревателя, являющегося термометром сопротивления.
Наиболее близким техническим решением к изобретению является способ (см. Годовский Ю. К. Теплофизические методы исследования полимеров. – М.: Химия, 1976. – 216 с.), включающий в себя следующие операции. Исследуемый материал известной массы помещают в микрокалориметр, задают режим нагрева, измеряют количество тепловой энергии, подаваемой на образец, и разность температур образца до и после нагрева и по результатам измерений рассчитывают удельную теплоемкость при постоянном давлении по формуле (1).
Недостаток данного способа измерения теплоемкости заключается в том, что оценку изменения внутренней энергии образца производят с помощью термоэлектрических преобразователей, что сопряжено с потерей информации.
Задачей изобретения является повышение точности измерений.
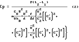
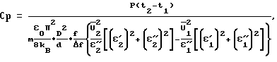
Поставленная задача решается на основе термоэлектрофлуктуационных измерений. Образец помещают в конденсаторный первичный измерительный преобразователь, расположенный в микрокалориметре, измеряют средний квадрат напряжения электрических флуктуаций, диэлектрическую проницаемость и коэффициент диэлектрических потерь, обусловленные внутренним электромагнитным полем, для моментов времени нагрева t1 и t2, вычисляют удельную теплоемкость полимера при постоянном давлении по формуле![]() где Р – мощность нагрева; t1, t2 – моменты времени, для которых измеряют средние квадраты напряжения электрических флуктуаций диэлектрические проницаемости и коэффициенты диэлектрических потерь m – масса образца; 0 – электрическая постоянная, kB – постоянная Больцмана; D – диаметр потенциального электрода, d – толщина образца; f – частота, f – полоса частот, в которой производят измерения ![]() Сущность изобретения заключена в следующем. Поместим полимерный диэлектрик между обкладками конденсатора, образованного дисковыми электродами. Для области частот hf < где h=6,63 10-34Дж с – постоянная Планка;kB= 1,38 10-23Дж/К – постоянная Больцмана; T – абсолютная температура, средний квадрат напряжения электрических флуктуаций на его зажимах будет равен (см. Высокомолекулярные соединения, сер. А, 1990, т. 32, 7, с. 1560-1563)![]() Диэлектрическая проницаемость и коэффициент диэлектрических потерь определенные без внешнего электрического поля (см. патент РФ по классу G 01 N 27/22, 1746281), отражают энергетическое состояние испытуемого образца полимера при температуре T1. Если повысить температуру образца до T2, то соответственно изменятся ![]() и ![]() .Поэтому ![]() Фиксируя время нагрева t1 и t2 при известной мощности P нагрева образца с учетом (1), (4), (5) для удельной теплоемкости полимерного диэлектрика получаем выражение (2). На чертеже представлена блок-схема устройства, реализующего предлагаемый способ измерения удельной теплоемкости полимеров. Исследуемый образец помещают в конденсаторный первичный измерительный преобразователь 1, который представляет собой два дисковых электрода, помещенных в микрокалоримотр. Потенциальный электрод расположен в цилиндрическом экране, на который намотан проволочный нагреватель. Вся конструкция помещается во внешний экран и изолируется от него слоем асбеста. Тепловой режим нагрева задается блоком 2. Средний квадрат напряжения электрических флуктуаций на зажимах преобразователя 1 измеряется с помощью малошумящего усилителя 3 и селективного нановольтметра 4. Контроль температуры в микрокалориметре осуществляется с помощью блока 5. Предлагаемый способ определения удельной теплоемкости полимеров при постоянном давлении позволяет существенно расширить экспериментальные возможности анализа полимерных материалов. Формула изобретения
![]() где Р – мощность нагрева; t1, t2 – моменты времени, для которых измеряют средние квадраты напряжения электрических флуктуаций ![]() – диэлектрические проницаемости; коэффициенты диэлектрических потерь;m – масса образца; 0 – электрическая постоянная;kВ – постоянная Больцмана; D – диаметр потенциального электрода; d – толщина образца; f – частота; f – полоса частот, в которой производят измерения
РИСУНКИ
MM4A Досрочное прекращение действия патента Российской Федерации на изобретение из-за неуплаты в установленный срок пошлины за поддержание патента в силе
Дата прекращения действия патента: 03.07.1999
Номер и год публикации бюллетеня: 10-2003
Извещение опубликовано: 10.04.2003
|
||||||||||||||||||||||||||


T – изменение его температуры, 
диэлектрические проницаемости
и коэффициенты диэлектрических потерь
m – масса образца;
0 – электрическая постоянная, kB – постоянная Больцмана; D – диаметр потенциального электрода, d – толщина образца; f – частота, 
10-34Дж
и коэффициент диэлектрических потерь
определенные без внешнего электрического поля (см. патент РФ по классу G 01 N 27/22, 1746281), отражают энергетическое состояние испытуемого образца полимера при температуре T1. Если повысить температуру образца до T2, то соответственно изменятся
и
.


– диэлектрические проницаемости;
коэффициенты диэлектрических потерь;