Патент на изобретение №2181197
|
||||||||||||||||||||||||||
(54) СПОСОБ ОПРЕДЕЛЕНИЯ КОНЦЕНТРАЦИИ МОЛЕКУЛЯРНОГО ЙОДА В ГАЗАХ
(57) Реферат: Изобретение относится к области измерительной технике и может быть использовано в атомной энергетике и охране окружающей среды. Осуществляют прокачку анализируемой смеси газов через исследуемую ячейку, возбуждают в ней флуоресцентное излучение, определяют концентрации изотопов 129I и 127I в исследуемой ячейке, измеряют интенсивности лазерного излучения до и после попадания в исследуемую ячейку, определяют содержание диоксида азота в исследуемой ячейке и вычисляют концентрации изотопов 129I и 127I в анализируемой смеси по формулам, учитывающим состав буферных газов. Техническим результатом изобретения является повышение чувствительности определения концентрации изотопов молекулярного йода. 2 ил. Изобретение относится к измерительной технике и может найти применение в атомной энергетике, охране окружающей среды при измерениях предельно допустимых концентраций (ПДК) 129I и 127I в газовых средах. В патенте США 4188120 [1] описан лазерно-флуоресцентный способ определения концентрации молекул 129I2 в газах, включающий модуляцию излучения He-22Ne лазера, облучение лазерным модулированным излучением ячейки, содержащей исследуемый газ, и реперной ячейки, содержащей газ с известной концентрацией 129I2, регистрацию сигналов флуоресценции от исследуемой и реперной ячеек при облучении их модулированным лазерным излучением. Концентрацию 129I2 в исследуемой ячейке определяют путем сравнения сигналов флуоресценции от исследуемой и реперной ячеек. При этом предполагается, что на частоте излучения He-22Ne лазера возбуждается флуоресценция только молекул 129I2. Однако на частоте излучения указанного лазера возбуждается также флуоресценция молекул 127I2 и 127I129I. Установлено, что при одинаковых концентрациях молекул 129I2, 127I2 и 127I129I в исследуемой газовой смеси суммарная интенсивность сигналов флуоресценции молекул 127I2 и 127I129I составляет 0.1 от интенсивности сигнала флуоресценции молекулы 129I2. Поэтому, если суммарная концентрация молекул 127I2 и 127I129I в исследуемой смеси превышает концентрацию 129I2 более чем на порядок (что, в частности, всегда справедливо для атмосферного воздуха), точность определения концентрации молекул 129I2 существенно снижается. Кроме того, с помощью данного способа невозможно одновременное определение концентраций 129I2, 127I2 и 127I129I. Наиболее близким к предлагаемому является способ определения концентрации молекулярного йода в газах (авторское свидетельство (АС) 1744605 [2]), выбранный за прототип, включающий в себя модуляцию излучения перестраиваемого по частоте гелий-неонового лазера, облучение лазерным модулированным излучением ячейки, содержащей исследуемый газ, первой реперной ячейки, содержащей газ с известной концентрацией изотопа 129I, второй реперной ячейки, содержащей газ со смесью изотопов 129I и 127I при относительном содержании изотопа 129I порядка 40-60%, третьей реперной ячейки, содержащей газ с известной концентрацией изотопа 127I, регистрацию сигналов флуоресценции S1 и S2 от исследуемой и реперных ячеек при облучении их лазерным излучением в двух диапазонах частот, первый из которых соответствует частотам 1 = 0-(0.8-1.0 ГГц),, а второй 2 = 0+(1.2-2.2 ГГц), где 0 – частота центра неотстроенного контура усиления 20Nе, расчет искомых концентраций по системе уравнений:![]() где S1 i, S2 i (i=0,1,2,3) – сигналы флуоресценции от исследуемой, первой, второй и третьей реперных ячеек, соответственно, при облучении их в первом и во втором диапазонах частот; 1, 2, 1, 2, 1, 2 – градуировочные коэффициенты;ni, Xi, Yi – концентрация молекулярного йода и относительное содержание изотопов 129I и 127I в смесях соответствующих ячеек. Однако наличие в исследуемой ячейке наряду с йодом сторонних (буферных) газов приводит к уменьшению интенсивности флуоресценции йода, что ограничивает чувствительность определения концентрации йода указанными выше способами. Это происходит, во-первых, из-за уменьшения квантового выхода флуоресцентного излучения вследствие безизлучательной столкновительной релаксации возбужденных уровней йода при столкновениях йод-буфер и, во-вторых, из-за столкновительного уширения линий поглощения йода (смотри фиг.1 и анализ представленной на ней зависимости). Целью изобретения является повышение чувствительности определения концентрации изотопов 129I и 127I при наличии в анализируемой смеси буферных газов для измерения концентраций указанных изотопов на уровне ПДК (5. 108 см-3 для 129I и 8 1010 для 127I).
Указанная цель достигается тем, что промодулированным излучением перестраиваемого по частоте гелий-неонового лазера облучают ячейку, содержащую исследуемый газ, первую реперную ячейку, содержащую газ с известной концентрацией изотопа 129I, вторую реперную ячейку, содержащую газ со смесью изотопов 129I и 127I при относительном содержании изотопа 129I порядка 40-60%, третью реперную ячейку, содержащую газ с известной концентрацией изотопа 127I, регистрируют сигналы флуоресценции S1 и S2 от исследуемой и реперных ячеек при облучении их лазерным излучением в двух диапазонах частот, первый из которых соответствует частотам 1 = 0-(0.8-1.0 ГГц),, а второй 2 = 0+(1.2-2.2 ГГц), где 0 – частота центра неотстроенного контура усиления 20Ne, рассчитывают искомые концентрации по системе уравнений, описанной в АС 1744605, согласно изобретению осуществляют прокачку анализируемой смеси газов через исследуемую ячейку при давлениях 50-100 Торр, измеряют давление газа в исследуемой ячейке и интенсивности лазерного излучения до и после попадания в исследуемую ячейку, определяют относительное содержание диоксида азота в исследуемой ячейке и вычисляют концентрации изотопов 129I и 127I в анализируемой смеси по формулам, учитывающим состав буферных газов.
Следует отметить то обстоятельство, что количество прокачиваемого в единицу времени через ячейку газа при постоянных давлении и температуре обратно пропорционально корню из его молекулярной массы [3]. Поэтому необходимо учитывать изменение относительного содержания йода в исследуемой ячейке по сравнению с этой величиной в анализируемой смеси.
Рассмотрим вначале вопрос об определении концентрации йода в атмосферном воздухе. Учитывая, что основными компонентами воздуха являются молекулярные кислород и азот (остальные компоненты можно не учитывать), и процентное соотношения между ними известно [4], мы имеем для соотношения концентраций азота, кислорода и йода следующее выражение:[N2]:[O2]:[nI] = 1:0.25: ,где [N2] , [О2] и [n1] – концентрации азота, кислорода и йода, соответственно; – доля йода в воздухе.
Отсюда, принимая во внимание, что много меньше 1, концентрация йода определяется по формуле:![]() где [nB(рatm)] – полная концентрация буферных газов в анализируемой смеси при атмосферном давлении patm; – относительное содержание йода в анализируемой смеси.
При прокачке части анализируемой смеси через исследуемую ячейку при давлении p1 соотношение между концентрациями газов меняется, принимая вид:![]() где – молекулярные массы азота, кислорода и йода соответственно. Тогда концентрация йода вычисляется по формуле:![]() где [nB (р1)] – полная концентрация буферных газов в исследуемой ячейке при давлении р1; 1 – относительное содержание йода в исследуемой ячейке.
В этом случае относительное содержание йода в исследуемой ячейке 1 отличается от относительного содержания йода в анализируемой смеси :![]() Подставляя численные значения молекулярных масс йода, кислорода и азота, получаем 1 = 0.34![]() .Рассмотрим далее вопрос об определении концентрации йода в других газах. Известно, что 99.9% всего йода-129, находящегося в атмосфере, поступает туда в результате деятельности перерабатывающих отработанное ядерное топливо (ОЯТ) радиохимических предприятий [5]. Сущность процесса переработки заключается в растворении ОЯТ азотной кислотой. Образующаяся при этом газовая фракция (получившая название “специальная атмосфера”), содержащая примеси йода, проходит через специальные газоочистительные фильтры и поступает в атмосферу. Основными компонентами специальной атмосферы являются окислы азота – NO и NO2, пары воды и азотной кислоты. Остальной объем смеси занимают азот и кислород. При этом, если известно относительное содержание NO2 в смеси , то хорошо выполняется следующее соотношение для концентраций перечисленных газов:![]() где [NO2], [NO], [Н2О] и [HNO3] – концентрации диоксида и оксида азота, паров воды и азотной кислоты, соответственно. Тогда нетрудно показать, что при прокачке анализируемой смеси через исследуемую ячейку относительное содержание йода меняется следующим образом: ![]() Подставляя численные значения молекулярных масс перечисленных выше веществ получаем: ![]() Что касается абсолютного значения , то эта величина заранее неизвестна и может в зависимости от условий растворения ОЯТ меняться в диапазонах от 0.01 до 0.2. Поэтому для точного определения концентрации йода в анализируемой смеси необходимо знать концентрацию какого-либо другого компонента этой смеси (например, диоксида азота).
Согласно изобретению задача точного определения концентрации йода в анализируемой смеси решается путем определения концентрации диоксида азота одновременного с определением концентрации йода в исследуемой ячейке. Для этого используется методика абсорбционной спектроскопии, заключающаяся в измерении интенсивностей лазерного излучения до и после исследуемой ячейки. Пусть I0, I – интенсивности лазерного излучения до и после исследуемой ячейки, содержащей одно только исследуемое вещество. Тогда эти интенсивности связаны соотношением [6]:I = I0 exp(- i pi l),где i – коэффициент поглощения исследуемого вещества;pi – давление в ячейке; l – длина исследуемой ячейки. Нами проводились экспериментальные исследования по определению коэффициента поглощения диоксида азота на длине волны излучения He-Ne лазера 632.8 нм. Измеренная величина составила 3.5 см-1Торр-1. Кроме того, эксперименты показали, что коэффициенты поглощения остальных компонентов анализируемой смеси на два порядка меньше коэффициента поглощения диоксида азота.
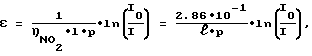
Таким образом, согласно изобретению доля диоксида азота в специальной атмосфере, определяемая методом абсорбционной спектроскопии, вычисляется по формуле:![]() где l – длина исследуемой ячейки; р – полное давление смеси газов в исследуемой ячейке; I0 – интенсивности лазерного излучения до исследуемой ячейки; I – интенсивности лазерного излучения после исследуемой ячейки. Предел обнаружения концентрации диоксида азота таким способом ограничивается нестабильностью лазерного излучения и составляет ![]() 0.005, что оказывается вполне достаточным для достижения указанных целей.
Далее, согласно изобретению концентрации молекул 129I2, 127I129I и 127I2 в анализируемой смеси вычисляются через величины n0, Х0, Y0 и по следующим формулам:![]() ![]() ![]() где n(129I2), n{ 129I127I), n(127I2) – концентрации молекул 129I2, 127I129I и 127I2, соответственно, в анализируемой смеси. Легко посчитать, что при = 0 и соотношение концентраций входящих в смесь газов и соотношение между 1 и соответствуют естественной атмосфере. Поэтому естественную атмосферу можно рассматривать как частный случай специальной. Рассмотренные два случая определения концентрации молекулярного йода в естественной и специальной атмосферах практически полностью – прежде всего в связи со специфичностью источника образования йода-129 – исчерпывают всю потребность детектирования примесей йода в газах. Однако при необходимости определения концентрации йода в смесях газов другого состава методика остается той же самой – пересчет концентрации йода в исследуемой ячейке пониженного давления с учетом состава анализируемой смеси, определенного каким-либо другим способом.
На фиг. 1 представлена зависимость интенсивности флуоресценции 129I2 от давления атмосферного воздуха в измерительной ячейке, возбужденной на длине волны 632.8 нм при постоянном относительном содержании 129I2 к воздуху в исследуемой смеси = 10-4. Точками на фиг.1 обозначены результаты экспериментов по определению данной зависимости. Сплошной линией обозначена та же зависимость, теоретически рассчитанная для тех же условий, что и в эксперименте, по формуле [7]:![]() ![]() где – относительное содержание йода в исследуемой смеси;pB – давление буферного газа; fl – излучательное время жизни йода; 0 – полное время жизни йода в отсутствие столкновений;k – постоянная Больцмана; Т – температура; kS, kB – константы скорости безизлучательной релаксации йода для столкновений йод-йод и йод-буфер соответственно; – нормированная функция формы линии поглащения; – однородная ширина; 0 – центральная частота линии поглощения йода;v0 – средняя скорость движения молекул; v – скорость движения молекулы йода; D – доплеровская ширина линии поглощения; – столкновительный сдвиг центральной частоты линии поглощения йода;с=3 1010 см/с.
Аналогичные зависимости получаются для 127I2 и 129I127I.
При малых давлениях буферного газа, когда pB (kB+kS![]() ) много меньше единицы, интенсивность флуоресценции растет практически линейно с ростом давления смеси. При давлении, близком к атмосферному, когда pB (kB+kS![]() ) много больше единицы, зависимость интенсивности флуоресценции от давления определяется только изменением формы линии поглощения:![]() С ростом давления буферных газов происходит уширение линий поглощения йода, что приводит к уменьшению (pB) и, как следствие, к уменьшению интенсивности флуоресценции. Поэтому существует оптимальное значение рB, при котором интенсивность флуоресценции достигает максимума.
Из фиг.1 видно, что максимум интенсивности флуоресценции достигается при давлениях газовой смеси в исследуемой ячейке 50-100 Торр, превышая величину интенсивности флуоресценции при атмосферном давлении (760 Торр) более чем на порядок. Следовательно, для повышения чувствительности определения концентрации изотопов молекулярного йода 129I и 127I в присутствии буферных газов (например, в атмосферном воздухе) целесообразно прокачивать анализируемую смесь газов через исследуемую ячейку при оптимальных значениях давления 50-100 Торр. При этом чувствительность определения концентрации молекулярного йода возрастает более чем на порядок по сравнению с чувствительностью, достигаемой при атмосферном давлении анализируемой смеси газов.
На фиг.2 изображена схема реализации способа измерения ПДК 129I и 127I в газовых средах.
Схема содержит перестраиваемый по частоте гелий-неоновый лазер 1; модулятор лазерного излучения 2; исследуемую ячейку 3 со смесью изотопов 129I и 127I в буферном газе; первую реперную ячейку 4 с известной концентрацией изотопа; вторую реперную ячейку 5 с известными концентрациями изотопов 129I и 127I при относительном содержании изотопа 129I в смеси с 127I – 40-60%; третью реперную ячейку 6 с известной концентрацией изотопа 127I; интерференционные светофильтры 7, отсекающие рассеянное лазерное излучение на длине волны 633 нм; интерференционные светофильтры 8, выделяющие область спектра от 585 до 625 нм; фотоэлектронные умножители 9; блок питания фотоэлектронных умножителей 10; фотодетекторы 11 и 12, измеряющие интенсивность лазерного излучения до и после попадания в исследуемую ячейку; детектор сигналов 13 с фотоэлектронных умножителей и фотодетекторов; вакуумный пост 14 и вакуумный вентиль 15, соединенные с исследуемой ячейкой и позволяющие прокачивать через нее анализируемую газовую смесь при необходимом давлении; вакуумметр 16, соединенный с исследуемой ячейкой и позволяющий измерять в ней давление газовой смеси; частично отражающие пластины 17 и 18.
Порядок действий при реализации способа определения концентрации молекулярного йода в газах следующий. Часть анализируемой смеси газов прокачивается через исследуемую ячейку при давлениях 50-100 Торр. Частотный контур перестраиваемого по частоте гелий-неонового лазера настраивается на первый диапазон частот: со сдвигом на 0.8-1.0 ГГц в длинноволновую сторону от центра неотстроенного контура усиления 20Ne. Излучение лазера проходит через модулятор лазерного излучения и попадает последовательно в исследуемую ячейку, первую, вторую и третью реперные ячейки, возбуждая в этих ячейках флуоресценцию соответствующих изотопов молекулярного йода. Излучения флуоресценции от ячеек проходят через соответствующие интерференционные светофильтры, отсекающие рассеянное лазерное излучение на длине волны 633 нм, затем через соответствующие интерференционные светофильтры, выделяющие область спектра от 585 до 625 нм, попадают в соответствующие фотоэлектронные умножители, где преобразуются в электрические сигналы флуоресценции. Электрические сигналы флуоресценции с выходов фотоэлектронных умножителей поступают в детектор, где выделяются из шумов фотоэлектронных умножителей путем синхронной демодуляции этих сигналов (опорный сигнал с частотой модуляции лазерного излучения подается на детектор от модулятора лазерного излучения) и регистрируются. Затем частотный контур лазера настраивается на второй диапазон частот: со сдвигом на 1.2-2.2 ГГц в коротковолновую сторону от центра неотстроенного контура усиления 20Ne, и регистрация сигналов флуоресценции от ячеек производится в этом диапазоне частот лазера. Детектор производит вычисление концентраций молекул 129I2, 127I2 и 127I129I в исследуемой ячейке путем решения системы уравнений:![]() где S1 i, S2 i (i=0,1,2,3) – сигналы флуоресценции от исследуемой, первой, второй и третьей реперных ячеек, соответственно, при настройке частотного контура лазера на первый и второй диапазоны частот; 1, 2, 1, 2, 1, 2 – градуировочные коэффициенты;ni, Хi, Yu (i=0,1,2,3) – концентрация молекулярного йода и относительное содержание изотопов 129I и 127I в смеси в исследуемой, первой, второй и третьей реперных ячейках, соответственно. Так как значения S1 i, S2 i (i=1,2,3), ni, Хi, Yi (i=1,2,3) известны, то приведенная система уравнений разрешима относительно n0, Х0, Y0. Из двух ее решений выделяется единственное, имеющее физический смысл. Одновременно с регистрацией флуоресцентных излучений производится измерение интенсивности лазерного излучения до и после попадания в исследуемую ячейку, и детектор производит вычисление относительного содержания диоксида азота в исследуемой ячейке по формуле: ![]() где l – длина исследуемой ячейки; р – полное давление газа в исследуемой ячейке; I0 – интенсивность лазерного излучения до исследуемой ячейки; I – интенсивность лазерного излучения после исследуемой ячейки. Наконец, производится расчет значений концентрации молекул 129I2, 127I129I и 127I2 в анализируемой смеси через величины n0, Х0, Y0 и по следующим формулам:![]() ![]() ![]() где n(129I2), n(129I127I), n(127I2) – концентрации молекул 129I2, 127I129I и 127I2, соответственно, в анализируемой смеси. Таким образом, предлагаемый способ позволяет повысить чувствительность определения концентрации молекулярного йода в газах более чем на порядок и измерять ПДК 129I и 127I. Литература, принятая во внимание при составлении заявки: 1. McDonald J.P, Baronavski A.P. USA Patent 4188120, 1980. 2. Заспа Ю. П. , Киреев С.В., Проценко Е.Д. Авторское свидетельство 1744605. 3. Дэшман С. Научные основы вакуумной техники. М., “Мир”, 1964. 4. Физические величины: Справочник. Под ред. И.С. Григорьева, Е.З. Мейлихова. М., Энергоатомиздат, 1991. 5. Козлов В.Ф. Справочник по радиационной безопасности. М., Энергоатомиздат, 1987. 6. Демтредер В. Лазерная спектроскопия. М., Наука, 1985. 7. Собельман И.И. Введение в теорию атомных спектров. М., Наука, 1963. Формула изобретения
= 0-(0.8-1.0 ГГц), а второй = 0+(1.2-2.2 ГГц), где 0 – частота центра неотстроенного контура усиления 20Ne, расчет искомых концентраций по системе уравнений![]() где S1 iS2 i (i=0, 1, 2, 3) – сигналы флуоресценции от исследуемой, первой, второй и третьей реперных ячеек соответственно при облучении их в первом и во втором диапазонах частот; 1, 2, 1, 2, 1, 2 – градуировочные коэффициенты;ni, Xi, Yi – концентрация молекулярного йода и относительное содержание изотопов 129I и 127I в смесях соответствующих ячеек, отличающийся тем, что анализируемую газовую смесь прокачивают через исследуемую ячейку при давлениях 50-100 Торр, измеряют давление газа в исследуемой ячейке и интенсивности лазерного излучения до и после попадания в исследуемую ячейку, определяют относительное содержание диоксида азота в исследуемой ячейке по формуле![]() где l – длина исследуемой ячейки; р – полное давление газа в исследуемой ячейке; I0 – интенсивность лазерного излучения до исследуемой ячейки; I – интенсивность лазерного излучения после исследуемой ячейки, производят расчет значений концентрации молекул 129I2, 127I129I и 127I2 в анализируемой смеси через величины n0, Х0, Y0 и по следующим формулам:![]() ![]() ![]() где n(129I2), n(129I127I), n(127I2) – концентрации молекул 129I2, 127I129I и 127I2 соответственно в анализируемой смеси для случая естественной атмосферы измерения относительного содержания диоксида азота не требуются, а в формулах расчетов концентраций необходимо положить = нулю.
РИСУНКИ
MM4A Досрочное прекращение действия патента Российской Федерации на изобретение из-за неуплаты в установленный срок пошлины за поддержание патента в силе
Дата прекращения действия патента: 07.03.2005
Извещение опубликовано: 20.02.2006 БИ: 05/2006
|
||||||||||||||||||||||||||

1 = 
1,
1,
1,
108 см-3 для 129I и 8
,
– относительное содержание йода в анализируемой смеси.
При прокачке части анализируемой смеси через исследуемую ячейку при давлении p1 соотношение между концентрациями газов меняется, принимая вид:
– молекулярные массы азота, кислорода и йода соответственно. Тогда концентрация йода вычисляется по формуле:

, то хорошо выполняется следующее соотношение для концентраций перечисленных газов:


i
на длине волны излучения He-Ne лазера 632.8 нм. Измеренная величина составила 3.5 см-1Торр-1. Кроме того, эксперименты показали, что коэффициенты поглощения остальных компонентов анализируемой смеси на два порядка меньше коэффициента поглощения диоксида азота.
Таким образом, согласно изобретению доля диоксида азота в специальной атмосфере, определяемая методом абсорбционной спектроскопии, вычисляется по формуле:
0.005, что оказывается вполне достаточным для достижения указанных целей.
Далее, согласно изобретению концентрации молекул 129I2, 127I129I и 127I2 в анализируемой смеси вычисляются через величины n0, Х0, Y0 и 




fl – излучательное время жизни йода;
– нормированная функция формы линии поглащения;
0 – центральная частота линии поглощения йода;
D – доплеровская ширина линии поглощения;









