Патент на изобретение №2181137
|
||||||||||||||||||||||||||
(54) СПОСОБ ПОЛУЧЕНИЯ СЕРУСОДЕРЖАЩИХ ПРИСАДОК
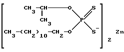
(57) Реферат: Изобретение относится к синтезу серусодержащих присадок, обладающих повышенными противозадирными, противоизносными свойствами, высокой термической окислительной стабильностью. Способ состоит во взаимодействии олефинов фракции С16-С26 либо дициклопентадиена с серой при 130-150oС в течение 6 ч в присутствии 0,5-5 мас.% по отношению к сырью катализатора, в качестве которого используют диалкилдитиофосфат цинка формулы I, где R – изо-С3Н7 или изо-С4Н9; R’ – н-С12Н25 или изо-С9Н19. Содержание серы в серусодержащих присадках по сравнению с известным способом повышается на 10-11 мас.%, и полученные присадки не требуют дополнительной очистки от применяемого катализатора.
Изобретение относится к области синтеза присадок, обладающих повышенными противозадирными, противоизносными свойствами, высокой термической и окислительной стабильностью. Указанные присадки используются для изготовления технологических смазок, применяемых при обработке металла, и трансмиссионных масел. Известен способ получения полисульфированных олефинов взаимодействием однохлористой или двухлористой серы по меньшей мере с одним С2-С5-олефином, обычно изобутиленом, для получения аддукта. Синтезированный аддукт контактирует одновременно с галогенуглеводородом, соединением серы, например сульфидом, гидросульфидом или полисульфидом щелочного металла и элементарной серой в водной или водно-спиртовой среде. Смесь нагревают и после расслаивания отделяют органический слой, содержащий полисульфированный олефин, который может быть обработан основанием. Полученные олефины, содержащие значительное количество серы, имеют достаточную вязкость и растворимость в минеральных, а также в синтетических маслах. Они используются как присадки высокого давления в смазочных маслах для зубчатых передач и для обработки металлов. /Заявка Франции 2563231, кл. С 10 М 135/04, 1985 г./. Существенным недостатком данного способа является многостадийность и наличие значительного количества сточных вод и отходов производства. Известен способ получения серусодержащей присадки взаимодействием -олефинов фракции С16-С18 с элементарной серой и сероводородом при соотношении исходных компонентов 1: 1; 5:0,5 и температуре 171oC. Осерненные -олефины содержат 20,6% серы /Международная заявка РСТ (WO) 88/02771, кл. С 10 М 135/02, 141/08, 1987 г./.
Недостатками данного способа являются:1. Применение в качестве реагента и катализатора токсичного сероводорода, что требует особых условий безопасного ведения процесса. 2. Образование в присутствии сероводорода меркаптанов, придающих получаемой серусодержащей присадке трудно переносимый запах. 3. Необходимость удаления сероводорода и образующихся меркаптанов из полученной серусодержащей присадки с целью придания последней требуемых органолептических свойств. 4. Наличие значительного количества газовых выбросов, содержащих сероводород и меркаптаны. Наиболее близким к заявляемому изобретению является способ получения серусодоржащей присадки взаимодействием этиленовых углеводородов, например изобутилена с элементарной серой в присутствии аминоспиртов или морфолина при повышенном давлении и температуре 130oC /ЕР 0714971, 05.06.96 г., кл. С 10 М 135/04/. На 1,285 моль изобутилена подают 2,3-4,9 моль моноэтаноламина, 2-7 моль серы. Содержание серы в готовой присадке составляет 40-65 мас.%. В случае использования в качестве исходного сырья более высокомолекулярного дициклопентадиена содержание серы в полученном продукте реакции не превышает 19,3 мас.% (пример 10). Недостатками данного способа являются: 1. Применение большого избытка инициатора реакции – моно- либо диэтаноламина или морфолина: на 1 моль изобутилена подают от 1,78 до 3,81 моль аминоспирта. 2. Необходимость очистки серусодержащей присадки от инициатора. Полученную присадку экстрагируют из реакционной массы н-гептаном, экстрактный раствор промывают 10% содой и водой. На конечной стадии н-гептан отделяют от присадки ректификацией под вакуумом. Все эти операции усложняют технологию процесса и приводят к образованию значительного количества сточных вод и отходов производства – отработанных аминоспиртов. 3. Сульфированные изобутилены с высоким содержанием серы из-за низкой температуры вспышки менее 100oС не могут применяться для холодной объемной штамповки, при которой на поверхности металла достигается температура 500-550oС, и осерненные изобутилены будут испаряться и отравлять окружающую среду. Кроме того, они обладают неприятным запахом, что также недопустимо для присадок к технологическим смазкам. Именно поэтому для получения серусодержащих присадок к технологическим смазкам в качестве исходного сырья используют фракции олефиновых углеводородов выше С12Н24. Задача, на решение которой направлено предполагаемое изобретение, заключается в упрощении технологии процесса. Для решения указанной задачи способ получения серусодержащсй присадки взаимодействием олефинов фракции С16-С26 либо дициклопентана с серой при повышенной температуре 130-150oС осуществляют в присутствии каталитических количеств (0,5-5 мас.% на сырье) диалкилдитиофосфата цинка формулы ![]() где R – изо-С3Н7 или изо-C4Н9; R’ – н-С12Н25 или изо-С9Н19. При этом содержание серы в присадке составляет 30-35 мас.%. Синтезированные серусодержащие присадки без какой-либо последующей переработки и выделения катализатора могут быть использованы для получения различных технологических смазок и трансмиссионных масел. Способ осуществляют следующим образом. В термостатированный реактор, снабженный эффективной мешалкой, холодильником, термометром, загружают олефины фракции С16-С26 либо дициклопентадиен и 0,5-5 мас. % по отношению к исходному сырью катализатор – диалкилдитиофосфата цинка формулы ![]() где R – изо-С3Н7 или изо-С4Н9; R’ – н-С12Н25 или изо-С9Н19. Температуру повышают до 140-150oС и в течение 6 часов осуществляют синтез серусодержащей присадки. Реакционную массу охлаждают до 40oС и отделяют непревращенную серу фильтрацией. Способ иллюстрируется следующими примерами. Пример 1. В термостатированный реактор, снабженный эффективной мешалкой, термометром, обратным холодильником, загружают 500 г олефиновой фракции C16-C18 и 0,5 мас.% (2,5 г) диалкилдитиофосфата цинка в качестве катализатора, имеющего формулу ![]() Температуру в реакторе повышают до 130oС и подают 220 г порошкообразной серы в течение 1 ч. Далее температуру повышают до 150oC и в течение 6 ч осуществляют реакцию взаимодействия серы с олефинами. Реакционную массу охлаждают до 40oС и отделяют от непревращенной серы фильтрацией. Получено 711 г присадки, содержащей 30,1 мас.% серы. Пример 2 проводят аналогично примеру 1, но катализатора подают 1 мас.% на сырье; количество подаваемой серы составляет 240 г. Получено 719,8 г присадки с содержанием серы 32,1 мас.%. Пример 3 проводят аналогично примеру 1, но катализатора подают 2 мас.% на сырье; количество подаваемой серы составляет 250 г. Получено 721,4 г присадки с содержанием серы 33 мас.%. Пример 4 проводят аналогично примеру 1, но катализатора подают 4 мас.% на сырье; количество подаваемой серы составляет 260 г. Получено 729,8 г присадки с содержанием серы 34,9 мас.%. Пример 5 проводят аналогично примеру 4, но катализатора подают 5 мас.% на сырье. Получено 730,1 г присадки с содержанием серы 35,1 мас.%. Пример 6 проводят аналогично примеру 1, но в качестве катализатора используют диалкилдитиофосфат цинка формулы ![]() в количестве 4 мас.% на сырье; количество подаваемой серы 260 г. Получено 730,2 г присадки с содержанием серы 34,7 мас.%. Пример 7 проводят аналогично примеру 4, но в качестве сырья используют дициклопентадиен и реакцию проводят под давлением 7 ата. Получено 728,7 г присадки с содержанием серы 30,4 мас.%. Пример 8 проводят аналогично примеру 6, но в качестве сырья используют дициклопентадиен и реакцию проводят под давлением 7 ата. Получено 731,1 г присадки с содержанием серы 30,1 мас.%. Пример 9 осуществляют аналогично примеру 6, но в качестве сырья используют олефиновую фракцию С16-С26. Получено 731,1 г присадки с содержанием серы 30,1 мас.%. Таким образом, предлагаемый способ получения серусодержащей присадки по сравнению с прототипом имеет следующие преимущества: 1. Реакцию взаимодействия олефинов С16-С26, дициклопентадиена осуществляют в присутствии каталитических количеств 0,5-5 мас.% диалкилдитиофосфата цинка формулы ![]() где R – изо-С3Н7 или изо-С4Н9; R’ – н-С12Н25 или изо-С9Н19, вместо аминоспиртов либо морфолина, подача которых составляет до 200% на взятый олефин. 2. Содержание серы в серусодержащей присадке на основе дициклопентадиена составляет 30,4 мас.%, в прототипе 19,3% (пример 10). 3. В процессе не образуется сточных вод и отходов производства. 4. Полученная присадка не требует дополнительной очистки от применяемого катализатора, что в целом упрощает процесс ее получения. Предлагаемое изобретение может найти применение в производстве серусодержащих присадок для технологических смазок, используемых при обработке металла, а также для изготовления трансмиссионных масел. Формула изобретения
![]() где R – изо-С3Н7 или изо-С4Н9; R’ – н-С12Н25 или изо-С9Н19, в количестве 0,5-5 мас.% на сырье. QB4A Регистрация лицензионного договора на использование изобретения
Лицензиар(ы): Кириченко Генриэтта Николаевна, Кириченко Владислав Юрьевич, Горелов Юрий Сергеевич, Саетгареева Елена Юрьевна
Вид лицензии*: НИЛ
Лицензиат(ы): Общество с ограниченной ответственностью малое научно-производственное внедренческое предприятие “Балауз”
Договор № РД0041318 зарегистрирован 25.09.2008
Извещение опубликовано: 10.11.2008 БИ: 31/2008
* ИЛ – исключительная лицензия НИЛ – неисключительная лицензия
|
||||||||||||||||||||||||||

-олефинов фракции С16-С18 с элементарной серой и сероводородом при соотношении исходных компонентов 1: 1; 5:0,5 и температуре 171oC. Осерненные 




