Патент на изобретение №2181127
|
||||||||||||||||||||||||||
(54) СОПОЛИМЕРЫ N-ВИНИЛПИРРОЛИДОНА, КРОТОНОВОЙ КИСЛОТЫ И П-КРОТОНОИЛАМИНОФЕНОЛА, СОДЕРЖАЩИЕ КОВАЛЕНТНО ПРИСОЕДИНЕННУЮ 3-ГИДРОКСИАНТРАНИЛОВУЮ КИСЛОТУ (ГАПТЕН), В КАЧЕСТВЕ СИНТЕТИЧЕСКИХ АНТИГЕНОВ
(57) Реферат: Описывается синтетический антиген на основе сополимеров N-винилпирролидона, кротоновой кислоты, п-кротоноиламинофенола, содержащих в качестве гаптена ковалентно присоединенную 3-гидроксиантраниловую кислоту, имеющих общую структурную формулу I, при ММ от 11000 до 25000 Д, m=84,00-88,5 мол.%, n=7,5-12,5 мол.%, р=1,5-3,7 мол.%, l=1,8-3,8 мол.%. Схема получения включает диазотирование 3-гидроксиантраниловой кислоты, азосочетание полученной соли диазония с сополимером N-винилпирролидона, кротоновой кислоты и кротоноиламинофенола. Синтетический антиген заявленной структуры содержит в качестве гаптена эндогенное канцерогенное вещество – 3-гидроксиантраниловую кислоту и используется в иммунохимических исследованиях для обнаружения повышенного онкологического риска. 1 табл.
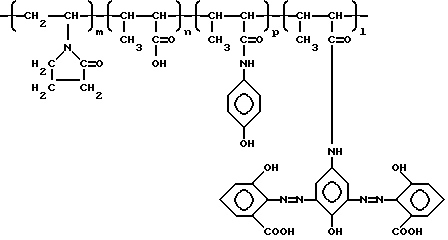
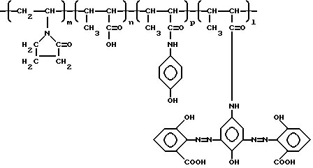
Изобретение относится к иммунохимии синтетических высокомолекулярных соединений, обладающих антигенными характеристиками и имеющих схематическую формулу повторяющихся звеньев ![]() при ММ от 11000 до 25000 Д, m=84,0-88,5 мол.%, n=7,5-12,5 мол.%, р=1,5-3,7 мол.%, 1=1,8-3,8 мол.%. В качестве гаптена антиген заявленной структуры содержит остаток 3-гидроксиантраниловой кислоты ![]() 3-гидроксиантраниловая кислота является эндогенным канцерогенным веществом, найденным, в частности, в продуктах метаболизма триптофана (Коростелева Т.А. и др., Вопросы онкологии, 1966, т. 12, 12, с. 44-49), [1]. Появление канцероген-белковых аддуктов, содержащих 3-гидроксиантраниловую кислоту, было экспериментально обнаружено в крови больных с опухолями различных локализаций, а также в сыворотке крови промышленных рабочих с повышенным онкологическим риском. Появление канцероген-белковых аддуктов, содержащих 3-гидроксиантраниловую кислоту, было обнаружено также экспериментально в организме животных на стадии инициации химического канцерогенеза под влиянием канцерогенов различной химической структуры. Это, как было предположено, отражает специфические для канцерогенеза метаболические нарушения. На основании этих фактов можно утверждать, что обнаружение в организме людей канцероген-белковых аддуктов, содержащих 3-гидроксиантраниловую кислоту, может служить подтверждением наличия фактора повышенного онкологического риска и/или воздействия ранее неизвестного канцерогенного вещества [1]. Таким образом, областью практического использования изобретения является его применение для выявления групп повышенного онкологического риска при массовом обследовании работников различных сфер промышленного производства, в которых установлена повышенная онкологическая заболеваемость. Изобретение может быть использовано также для выявления новых видов повышенного онкологического риска во вновь развивающихся отраслях производства. Изобретение может быть использовано также для раннего диагностирования развития онкологических заболеваний при массовом обследовании людей различного возраста. Известен синтетический антиген на основе белков лошадиной сыворотки (альбуминов, -глобулинов), содержащий в качестве гаптена 3-гидроксиантраниловую кислоту, ковалентно присоединенную к белкам с помощью азосвязи [1] . Основным недостатком известного решения является необходимость использования белков сыворотки крови, имеющих общевидовые с человеком, антигены. Это приводит к тому, что при иммунизации животных конъюгатами 3-гидроксиантраниловой кислоты с белковыми носителями наряду с антителами против 3-гидроксиантраниловой кислоты индуцируются антитела против общевидовых с носителем антигенов. Это затрудняет интерпретацию результатов качественного и количественного определения 3-гидроксиантраниловой кислоты в биологических материалах. Побочные антитела ограничивают специфичность антисывороток к гаптенам, особенно при необходимости их регистрации в крови человека.
Задачей изобретения являлось повышение специфичности тест-системы для определения 3-гидроксиантраниловая кислота – белковых аддуктов, представляющей собой антитела против 3-гидроксиантраниловой кислоты как гаптена. А это, в свою очередь, содействует универсализации тест-системы, которая позволяет определять в живом организме любое экзогенно поступающее канцерогенное вещество и выявлять новые виды промышленной деятельности человека, связанные с повышенным онкологическим риском.
Указанная задача достигается синтетическим антигеном на основе сополимеров N-винилпирролидона – кротоновой кислоты – п-кротоноиламинофенола, содержащих в качестве гаптена ковалентно присоединенную 3-гидроксиантраниловую кислоту, имеющих общую структурную формулу![]() при ММ от 11000 до 25000 Д, m=84,0-88,5 мол.%, n=7,5-12,5 мол.%, р=1,5-3,7 мол.%, 1=1,8-3,8 мол.%. Анализ известного уровня науки и техники показал новизну структуры заявленного антигена. Это подтверждает соответствие решения условию изобретательский уровень и новизна. Заявленный синтетический антиген получен способом, который реализуется следующей совокупностью технологических операций: 1. Диазотируют 3-гидроксиантраниловую кислоту с получением хлористо-водородной соли диазония 3-гидроксиантраниловой кислоты по реакции ![]() 2. Проводят азосочетание сополимера N-винилпирролидона – кротоновой кислоты – п-кротоноиламинофенола при взаимодействии с хлористо-водородной соли диазония 3-гидроксиантраниловой кислотой в водном растворе при 0 5oС и при рН 9,2-9,4, молярное отношение кротоноиламинофенольного звена : хлористо-водородной соли диазония 1:5-10.
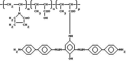
Анализ известного уровня науки и техники позволил обнаружить техническое решение (SU 1812183 А, 1993), [2], представляющее собой синтетические антигены на основе сополимеров N-винилпирролидона – кротоновой кислоты – п-кротоноиламинофенола, которые в качестве гаптена содержат бензидиновые остатки, присоединенные ковалентными азосвязями, общей формулы![]() при ММ от 11000 до 18000 Д, m=88,5 мол.%, n=6,6 мол.%, р=3,9 мол.%. Изобретательский уровень предлагаемого изобретения подтверждается тем, что известные антигены содержат в качестве гаптенов экзогенные канцерогенные вещества и не обладают универсальным действием. Синтетический антиген заявленной структуры содержит в качестве гаптена эндогенное канцерогенное вещество – 3-гидроксиантраниловую кислоту, что определяет его универсальное действие. Способ получения известного антигена включает следующие стадии: 1. Получение хлористо-водородной соли бензидина по реакции ![]() 2. Диазотирование аминогруппы бензидина с получением хлористо-водородной соли диазония бензидина по реакции ![]() 3. Проведение реакции азосочетания хлористо-водородной соли диазония бензидина с аминофенольным остатком сополимера при 0-5oС сначала при рН 4,2-4,6, а затем при 9,0-9,4 при молярном соотношении кротоноиламинофенольного звена и хлористо-водородной соли диазония бензидина 1:2,0-2,2. Реакция проходит по схеме ![]() Анализ известного уровня науки и техники также показал известность способа получения сополимеров N-винилпирролидона – кротоновой кислоты – п-кротоноиламинофенола [2] . Способ состоит в сополимеризации N-винилпирролидона с кротоновой кислотой с последующей модификацией полученного сополимера в растворе диметилформамида действием раствора в диметилформамиде N,N’-дициклогексилкарбодиимида при 0-5oС. Из фильтрата выделяют полученный тройной сополимер осаждением в диэтиловый эфир. Химическая структура заявленного антигена подтверждена титрованием карбоксильных групп, методами компенсационной УФ-спектроскопии и протонного магнитного резонанса. В компенсационном спектре водных растворов антигенов наблюдают интенсивную полосу поглощения с max при 370 нм, характерную для ароматических соединений, содержащих азогруппу. В ПМР спектрах антигена для заявленной структуры для ароматических протонов характерны сигналы в области 6,83 и 7,5 м.д., относящиеся к протонам в положениях 2, 6 и 3, 5 бензольного кольца исходного сополимера. Вместе с тем наблюдают для замещенного продукта сигналы при 7,0 и 7,25 м.д., относящиеся к протонам 4 и 5, 6 замещенной азофенильной группы. В ПМР спектре антигенов заявленной структуры сигнал в области 7,5 м. д. более интенсивный, чем в ПМР спектре исходного сополимера, поскольку в эту область попадают также сигналы протонов 3 и 5 гидроксифенильной группы, имеющей в положениях 2 и 6 азогруппу в качестве заместителя. Это подтверждает то, что азосочетание сополимера происходит одновременно в два положения 2 и 6 п-гидроксифенильной группы.
Для иммунизации используют беспородных кроликов самцов разводки Рапполовского питомника. Масса кролика 1,5-2 кг. В экспериментальной группе обычно 3 животных.
Кроликов иммунизируют водным раствором полученного антигена по следующей схеме:– один раз в неделю внутрикожно в 10 точек и вдоль спинного хребта на расстоянии 1,5-2 см от него в обе стороны (по 5 точек с каждой стороны) вводят по 0,5 мл водного раствора антигена вместе с 0,5 мл полного адъюванта Фрейнда; – через неделю повторяют внутрикожное введение; – через 2 недели вводят раствор антигена под обе лопатки и внутрибрюшинно в общей дозе 1,5 мл; – через 1,5 месяца вводят раствор антигена по 0,5 мл внутривенно через день 3 раза в неделю. Кровь берут на 9-й день после последней инъекции. В дальнейшем кроликов реиммунизируют через 3-4 месяца, используя только внутривенное введение антигена. На следующий день после взятия крови сыворотку отделяют от сгустка центрифугированием в течение 10 мин при 400 g. Сыворотку концентрируют в 2 раза в целлофановых трубках под вентилятором, консервируют борной кислотой и используют для постановки реакций встречной иммунодиффузии в агаре и реакции связывания комплемента (РСК). Для постановки реакции прециптации в агаре используют 1%-ный водный раствор агара Дифко. Для постановки РСК используют готовую гемолитическую сыворотку против эритроцитов барана и сухой комплемент. В качестве антигенов применяют водные растворы антигена заявленной структуры. Титрование антигена проводят перед постановкой каждого опыта. Связывание комплемента проводят при объеме 0,005 мл в платах. РСК ставят на холоду при +4oС (18 часов). Все данные представлены в таблице, где указаны концентрации антигена (моль/л) в последних разведениях, дающих видимую реакцию преципитации в агаре с сыворотками иммунизированных антигеном заявленной структуры кроликов. В таблице также указаны титры антител против 3-гидроксиантраниловой кислоты. Для лучшего понимания сущности заявленного изобретения, а также для подтверждения соответствия решения условию “промышленная применимость” приводим примеры конкретной реализации изобретения, которыми оно исчерпаться не может. Пример 1. К охлажденной до 2,5o 2,5oС суспензии 0,66 г 3-гидроксиантраниловой кислоты в смеси 1 мл конц. соляной кислоты и 10 мл дистиллированной воды добавляют по каплям при интенсивном перемешивании охлажденный до той же температуры раствор 0,60 г нитрита натрия в 10 мл дистиллированной воды. Реакционную смесь перемешивают при охлаждении в течение 30 мин и получают суспензию соли диазония бежевого цвета.
2 г сополимера N-винилпирролидона (m=87,7 мол.%) – кротоновой кислоты (n=7,5 мол.%) – п-кротоноиламинофенола (р=4,8 мол.%) с ММ 25000 Д растворяют в 50 мл дистиллированной воды, охлаждают в бане со льдом и добавляют приготовленную суспензию соли диазония 3 гидроксиантраниловой кислоты (5-кратный молярный избыток по расчету на аминофенильную группу). Полученный прозрачный раствор коричневого цвета перемешивают 30 мин и 10 (мас.)% водным раствором NaOH доводят его рН до 9,2. Реакционную смесь перемешивают 2 часа при 0oС и 5 часов при комнатной температуре. Продукт реакции, не выделяя его из раствора, подвергают очистке диализом против дистиллированной воды с помощью целлофановой мембраны в течение 7 суток. Антиген выделяют из водного раствора после диализа лиофильной сушкой. Получают 1,45 г (67,7% от рассчитанного на взятый сополимер) водорастворимого антигена заявленной структуры со следующими характеристиками: m=87,7 мол.%, n=7,5, р=3,0, 1=1,8, MM 25000 Д, целевой продукт содержит 5,4 мас.% связанной ковалентно с сополимером 3-гидроксиантраниловой кислоты.
Пример 2.
В условиях примера 1 из 1,05 г 3-гидроксиантраниловой кислоты, 1,4 мл конц. соляной кислоты и 0,96 г нитрита натрия получают соль диазония. Взаимодействием этой соли без ее выделения с 2,0 г сополимера вышеуказанной структуры (m= 87,7 мол.%, n=7,5 мол.%, р=4,8 мол.%) с ММ 25000 Д (8-кратный молярный избыток соли диазония) синтезируют 1,52 г (71,0% от рассчитанного на взятый сополимер) водорастворимого антигена заявленной структуры со следующими характеристиками: m=87,7 мол.%, n=7,5 мол.%, р=2,6 мол.%, 1=2,2 мол. %, MM 25000 Д, целевой продукт содержит 6,5 мас.% ковалентно связанной с сополимером 3-гидроксиантраниловой кислоты.
Пример 3.
В условиях примера 1 из 0,81 г 3-гидроксиантраниловой кислоты, 1,5 мл конц. соляной кислоты и 0,75 г нитрита натрия получают соль диазония. Взаимодействием этой соли с 2,0 г сополимера вышеуказанной структуры (m=87,7 мол. %, n= 6,3 мол.%, р=6,0 мол.%) с ММ 25000 Д (5-кратный молярный избыток соли диазония) синтезируют 1,48 г (68,0% от рассчитанного на взятый сополимер) водорастворимого антигена заявленной структуры со следующими характеристиками: m=87,7 мол.%, n=6,3 мол.%, р=3,5 мол.%, 1=2,5 мол.%, MM 25000 Д, целевой продукт содержит 7,1 мас.% ковалентно связанной с сополимером 3-гидроксиантраниловой кислоты.
Пример 4.
В условиях примера 1 из 1,62 г 3-гидроксиантраниловой кислоты, 2,5 мл конц. соляной кислоты и 1,4 г нитрита натрия получают соль диазония. Взаимодействием этой соли без ее выделения с 2 г сополимера вышеуказанной структуры (m=87,7 мол.%, n=6,3 мол.%, р=6,0 мол.%) с ММ 25000 Д (10-кратный избыток соли диазония) синтезируют 1,62 г (74,6%) водорастворимого антигена заявленной структуры со следующими характеристиками: m=87,7 мол.%, n=6,3 мол. %, р=2,2 мол.%, 1=3,8 мол.%, MM 25000 Д, целевой продукт содержит 10,8 мас.% ковалентно связанной с сополимером 3-гидроксиантраниловой кислоты.
Пример 5.
В условиях примера 1 из 2,11 г 3-гидроксиантраниловой кислоты, 3,2 мл конц. соляной кислоты и 1,84 г нитрита натрия получают соль диазония. Взаимодействием этой соли с 2 г сополимера, использованного в примере 4 (13-кратный избыток соли диазония), получают водонерастворимый продукт. Его не анализируют и не подвергают биохимическим исследованиям.
Пример 6.
В условиях примера 1 из 0,4 г 3-гидроксиантраниловой кислоты, 0,6 мл конц. соляной кислоты и 0,36 г нитрита натрия получают соль диазония. Взаимодействием этой соли с 2 г сополимера, использованного в примере 2 (3-кратный молярный избыток соли диазония), получают 1,38 г (64,4% от рассчитанного на взятый сополимер) антигена заявленной структуры со следующими характеристиками: m=87,7 мол.%, n=7,5 мол.%, р=3,7 мол.%, 1=1,1 мол.%, MM 25000 Д, целевой продукт содержит 3,3 мас.% ковалентно связанной с сополимером 3-гидроксиантраниловой кислоты.
Пример 7.
В условиях примера 1 из 0,65 г 3-гидроксиантраниловой кислоты, 1 мл конц. соляной кислоты и 0,36 г нитрита натрия получают соль диазония. Взаимодействием этой соли с 2 г сополимера N-винилпирролидона, кротоновой кислоты и п-кротоноиламинофенола (m=88,5 мол.%, n=7,6 мол.%, р=3,9 мол.%) с ММ 11000 Д получают 1,52 г (70,9% от рассчитанного на взятый сополимер) водорастворимого антигена заявленной структуры следующего состава: m=88,5 мол.%, n= 7,6 мол. %, р=2,0 мол.%, 1=1,9 мол.% с ММ 11000 Д. Целевой продукт содержит 5,6 мас.% ковалентно связанной с сополимером 3-гидроксиантраниловой кислоты.
Пример 8.
В условиях примера 1 из 1,0 г 3-гидроксиантраниловой кислоты, 1,5 мл конц. соляной кислоты и 1,0 г нитрита натрия получают соль диазония. Взаимодействием этой соли (без ее выделения) с 2,0 г сополимера N-винилпирролидона, кротоновой кислоты и п-кротоноиламинофенола (m=84,0 мол.%, n=12,5 мол.%, р= 3,5 мол.%) с ММ 18000 Д синтезируют 1,34 г (62,6% от рассчитанного на взятый сополимер) водорастворимого антигена заявленной структуры следующего состава: m= 84,0 мол. %, n=12,5 мол.%, р=1,5 мол.%, 1=2,0 мол.% с ММ 18000 Д. Целевой продукт содержит 5,9 мас.% ковалентно связанной с сополимером-носителем 3-гидроксиантраниловой кислоты.
Все данные, включая результаты иммунохимических испытаний, представлены в таблице.
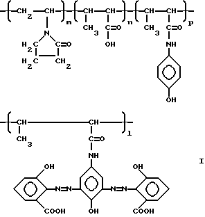
Формула изобретения
![]() при ММ от 11000 до 25000 Д, m=84,0-88,5 мол.%; n=7,5-12,5 мол.%; р=1,5-3,7 мол.%; l=1,8-3,8 мол.%, как синтетические антигены. РИСУНКИ
|
||||||||||||||||||||||||||



-глобулинов), содержащий в качестве гаптена 3-гидроксиантраниловую кислоту, ковалентно присоединенную к белкам с помощью азосвязи [1] . Основным недостатком известного решения является необходимость использования белков сыворотки крови, имеющих общевидовые с человеком, антигены. Это приводит к тому, что при иммунизации животных конъюгатами 3-гидроксиантраниловой кислоты с белковыми носителями наряду с антителами против 3-гидроксиантраниловой кислоты индуцируются антитела против общевидовых с носителем антигенов. Это затрудняет интерпретацию результатов качественного и количественного определения 3-гидроксиантраниловой кислоты в биологических материалах. Побочные антитела ограничивают специфичность антисывороток к гаптенам, особенно при необходимости их регистрации в крови человека.
Задачей изобретения являлось повышение специфичности тест-системы для определения 3-гидроксиантраниловая кислота – белковых аддуктов, представляющей собой антитела против 3-гидроксиантраниловой кислоты как гаптена. А это, в свою очередь, содействует универсализации тест-системы, которая позволяет определять в живом организме любое экзогенно поступающее канцерогенное вещество и выявлять новые виды промышленной деятельности человека, связанные с повышенным онкологическим риском.
Указанная задача достигается синтетическим антигеном на основе сополимеров N-винилпирролидона – кротоновой кислоты – п-кротоноиламинофенола, содержащих в качестве гаптена ковалентно присоединенную 3-гидроксиантраниловую кислоту, имеющих общую структурную формулу

5oС и при рН 9,2-9,4, молярное отношение кротоноиламинофенольного звена : хлористо-водородной соли диазония 1:5-10.
Анализ известного уровня науки и техники позволил обнаружить техническое решение (SU 1812183 А, 1993), [2], представляющее собой синтетические антигены на основе сополимеров N-винилпирролидона – кротоновой кислоты – п-кротоноиламинофенола, которые в качестве гаптена содержат бензидиновые остатки, присоединенные ковалентными азосвязями, общей формулы



max при 370 нм, характерную для ароматических соединений, содержащих азогруппу. В ПМР спектрах антигена для заявленной структуры для ароматических протонов характерны сигналы в области 6,83 и 7,5 м.д., относящиеся к протонам в положениях 2, 6 и 3, 5 бензольного кольца исходного сополимера. Вместе с тем наблюдают для замещенного продукта сигналы при 7,0 и 7,25 м.д., относящиеся к протонам 4 и 5, 6 замещенной азофенильной группы. В ПМР спектре антигенов заявленной структуры сигнал в области 7,5 м. д. более интенсивный, чем в ПМР спектре исходного сополимера, поскольку в эту область попадают также сигналы протонов 3 и 5 гидроксифенильной группы, имеющей в положениях 2 и 6 азогруппу в качестве заместителя. Это подтверждает то, что азосочетание сополимера происходит одновременно в два положения 2 и 6 п-гидроксифенильной группы.
Для иммунизации используют беспородных кроликов самцов разводки Рапполовского питомника. Масса кролика 1,5-2 кг. В экспериментальной группе обычно 3 животных.
Кроликов иммунизируют водным раствором полученного антигена по следующей схеме: