Патент на изобретение №2181124
|
||||||||||||||||||||||||||
(54) ГЛУТАМИЛТРИПТОФАН МЕТАЛЛОКОМПЛЕКСЫ, ПРОЯВЛЯЮЩИЕ ИММУНОСТИМУЛИРУЮЩИЕ СВОЙСТВА, И СПОСОБ ИХ ПОЛУЧЕНИЯ
(57) Реферат: Изобретение относится к новым химическим веществам общей формулы M’nM(H-1GluTrp) mН2О, где М’ – катион щелочного металла, М – катион d-металла или щелочноземельного металла, GluTrp – анион глутамилтриптофана, n – количество атомов щелочного металла, m – количество молекул воды. Заявленные соединения проявляют иммуностимулирующее действие на живой организм. В заявленном решении приведен способ получения глутамилтриптофан металлокомплексов, который состоит в том, что глутамилтриптофан или его соль подвергают взаимодействию в водной среде при 0-100oС с эквивалентным количеством водорастворимой соли d-металла или щелочноземельного металла, или их гидроксидами, или оксидами, или карбонатами, или основными карбонатами с последующим осаждением целевого продукта органическим растворителем, при этом взаимодействие реагирующих компонентов и осаждение целевого продукта проводят в атмосфере, соответствующей редокс-свойствам d-металла. Технический результат – достигнуто расширение арсенала средств, имеющих иммуностимулирующее действие. 2 с. и 1 з.п. ф-лы, 5 табл.
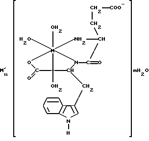
Изобретение относится к новым химическим веществам общей формулы: M’nM(H-1GluTrp) mH2O,где М’ – катион щелочного металла, М – катион d-металла или щелочноземельного металла, GluTrp – анион глутамилтриптофана, n – количество атомов щелочного металла, m – количество молекул воды, проявляющие иммуностимулирующее действие. Кроме того, изобретение относится к области получения новых химических веществ и может быть использовано в химико-фармацевтической промышленности. Известен ряд координационных соединений металлов с биолигандами, обладающими различным специфическим биологическим действием. Например, координационные соединения биометаллов с гистидином проявляют антиязвенную активность (авт. свид. СССР 1438186). Координационное соединение кадмия – бис-(гидроглутамат) кадмий пентагидрат – проявляет антиаритмическое и гипотензивное действие на живой организм (авт.свид. СССР 1540548). Известно, что соединение – дипептид глутамилтриптофан H-L-Glu-L-Trp-OH – проявляет иммуностимулирующее действие, лекарственная форма которого получила название ” Тимоген” [Тринус Ф.П. Фармако-терапевтический справочник: 8-е изд., – К.: Здоровья, 1998. – С.179]. Но это средство недостаточно активно. Задачей настоящего изобретения является получение новых химических соединений путем соединения их состава и структурных особенностей, в результате чего достигается повышение биологической активности и расширяется арсенал иммуностимулирующих средств. Кроме того, задачей настоящего изобретения является способ получения указанных соединений, совокупность операций и режимов которого определены химической природой заявляемых соединений. Решение задачи обеспечивается тем, что авторами настоящего изобретения синтезированы глутаминтриптофан металлокомплексы общей формулы: M’nM(H-1GluTrp) mН2О,где М’ – катион щелочного металла, М – катион d-металла или щелочноземельного металла, GluTrp – анион глутамилтриптофана, n – количество атомов щелочного металла, m – количество молекул воды, проявляющие иммуностимулирующее действие. Кроме того, в настоящем изобретении доказано, что в том случае, когда d-металл – это катион меди, полученное комплексное соединение обладает наиболее выраженными иммуностимулирующими свойствами. Далее поставленная задача решается способом получения вышеуказанных соединений, заключающийся согласно изобретению в том, что глутамилтриптофан или его соль подвергают взаимодействию с водорастворимой солью d-металла или щелочноземельного металла или их нерастворимыми солями (карбонатами, оксидами), гидроксидами в водной среде при температуре 0-100oС с последующим осаждением целевого продукта органическими растворителями, при этом взаимодействие реагирующих компонентов и осаждение целевого продукта проводят в атмосфере, соответствующей редокс-свойствам d-металла. Кроме того, задача изобретения предвидит получение одного из заявленных соединений, в котором d-металл – это катион меди и которая обладает наиболее высокой биологической активностью. Нужно отметить, что в случае катионов d-металлов Mn(II), Co(II), Cr(II), Fe(II) атмосферой, соответствующей их редокс-свойствам, является атмосфера инертного газа, например аргона или азота, очищенного от кислорода. Состав и строение полученных координационных соединений были подтверждены данными элементного анализа, термогравиметрии (табл.1), ИК- и электронной спектроскопии (табл.2, 3). Для доказательства состава и строения заявленных соединений были выбраны некоторые из них, в частности, в которых М – Мn, Со, Ni, Сu или Zn. На основании полученных данных химическая структура соединений может быть выражена такой формулой: ![]() Предлагается способ получения глутамилтриптофан металлокомплексов, заключающийся в том, что глутамилтриптофан или его соль подвергают взаимодействию в водной среде при 0-100oС с солью металла или его гидроксидом, или оксидом, или карбонатом, или основным карбонатом с последующим осаждением целевого продукта ацетоном или другим органическим растворителем. В качестве соли металла обычно применяют соль элемента, принадлежащего к группе железа, соль металла платиновой группы, соль щелочноземельного металла, соль металла, относящегося к Iб-группе Периодической системы элементов, например соль меди, соль металла, который относится к VIIa-группе Периодической системы, например марганца, соль металла, относящегося к IIб-группе Периодической системы, например соль цинка; обычно применяют хлорид или сульфат указанных металлов. Выходы целевого продукта хорошие и составляют примерно 65-85%. Полученные вещества находятся в кристаллической форме. Соединения согласно изобретению обладают широким спектром иммуностимулирующего действия. Их можно использовать в комплексной терапии взрослых и детей при острых и хронических инфекционных заболеваниях, сопровождающихся снижением показателей клеточного иммунитета, при угнетении репаративных процессов после тяжелых травм (переломы костей), некротических процессов, а также при других состояниях иммунодефицита. С профилактической целью координационные соединения металлов с глутамилтриптофаном могут быть использованы для предупреждения осложнений при инфекционных заболеваниях, оперативных вмешательствах, лучевой терапии и химиотерапии опухолей и др. Преимущество соединений согласно изобретению состоит в том, что они оказывают положительное воздействие на поглотительную способность нейтрофилов, выражающуюся фагоцитарным числом, рецепторную способность нейтрофилов к антигену эритроцитов Е-РОНФ и к комплементу при стимуляции ФГА в НСТ-тесте. В то время как известное средство тимоген в целом оказывал меньшее влияние на эти показатели и статистически достоверно изменял только фагоцитарное число и резервные возможности нейтрофилов при стимуляции ФГА в НСТ-тесте. Соединения согласно изобретению применяют предпочтительно энтерально или парентерально в суточной дозе от 25 мкг до 5 мг. Исследование фармакологической активности новых глутамилтриптофан металлокомплексов проводили с использованием широко и успешно применяющегося в настоящее время подхода для изучения действия фармакологических агентов на функциональную активность фагоцитирующих клеток (нейтрофилов) человека в модельных опытах in vitro. В физиологических условиях нейтрофилы пребывают в инертном состоянии, уничтожают “ненужные” тканевые элементы. Их функциональная активность и возможности раскрываются при воздействии на клетку различных раздражителей. Для оценки функционального состояния нейтрофилов (НФ) крови общепринято определение: 1. Их рецепторной способности – выявление рецепторов к антигенам эритроцитов барана (Е – РОНФ) и к комплементу (ЕАС – РОНФ) по методу Jondal [Резникова Л. С. Комплемент и его значение в иммунологических реакциях. – М. : Медицина, 1967, – 247 с.]. 2. Поглотительной способности – определение процента фагоцитоза (ПФ) и фагоцитарного числа (ФЧ). Для выполнения данной методики оценивалась фагоцитарная активность нейтрофилов в отношении лабораторного штамма стафилококка 209 с последующим расчетом величин ПФ и ФЧ по общепринятой методике [Чернушенко Е.Ф., Когосова Л.С. Иммунологические исследования в клинике., – К.: Здоров’я, 1978, – 179 с.]. При постановке модельных опытов в условиях in vitro с целью оценки функциональной активности фагоцитирующих клеток – НФ мы определяли все вышеперечисленные показатели с дальнейшим подсчетом величины резерва возможностей клеток. Постановка эксперимента. В пробирку, содержащую фосфатно-солевой буфер, рН 7,4, в объеме 1 мл вносили суспензию НФ из расчета 10 клеток/мл. Затем в инкубационную среду добавляли исследуемый препарат из расчета 1 мкг/мл. После осторожного перемешивания инкубационную смесь помещали в термостат и инкубировали при 37oС в течение 30 минут. Через 30 минут пробу доставали и определяли все вышеперечисленные показатели. Результаты опытных проб сравнивали с таковыми при использовании препарата сравнения тимогена в той же дозировке. В таблице 4 приведены результаты исследования 5 препаратов. Препараты 1 и 2 не вызывали статистически достоверных изменений изучаемых показателей, хотя и был получен прирост величин показателей в относительных процентах от 11,4 (рецепторная способность нейтрофилов к антигену эритроцитов Е-РОНФ) до 24,8 (резервные возможности нейтрофилов при стимуляции ФГА в НСТ-тесте) при действии препарата 1 и прирост величин показателей в относительных процентах от 13,2 (рецепторная способность нейтрофилов к антигену эритроцитов Е-РОНФ) до 28,9 (фагоцитарное число, характеризующее поглотительную способность нейтрофилов) выполненных исследований представлены в таблицах 4 и 5. Препарат 3 вызывал достоверные изменения фагоцитарного числа, характеризующего поглотительную способность нейтрофилов с 7,6 в контроле (см. таблицу 5) до 11,9 в опыте, прирост величины показателя составил 56,6% в относительных процентах (если контроль принять за 100%). Также статистически достоверно увеличивались резервные возможности нейтрофилов при стимуляции ФГА в НСТ-тесте с 10,1 (контроль) до 14,4 в опыте, прирост величины показателя составил 42,6% в относительных. Аналогичные изменения были получены и в опытах с препаратами 4 и 5. Препарат 4 статистически достоверно изменял 3 из 5 изучаемых показателей: фагоцитарное число, характеризующее поглотительную способность нейтрофилов, рецепторную способность нейтрофилов к антигену эритроцитов Е-РОНФ и резервные возможности нейтрофилов при стимуляции в НСТ-тесте. Препарат 5 статистически достоверно изменял 4 из 5 изучаемых показателей: поглотительную способность нейтрофилов, выражающуюся фагоцитарным числом, рецепторную способность нейтрофилов к антигену эритроцитов Е-РОНФ и к комплементу ЕАС-РОНФ, а также резервные возможности нейтрофилов при стимуляции ФГА в НСТ-тесте. Однако наибольшей активностью по отношению к изучаемым показателям обладал “Тимокор” (NaCu(H-1GluTrp) 3H2O). Результаты, полученные в опытах с последним, приведены в таблице 5. “Тимокор” по всем изучаемым показателям превосходил препарат сравнения тимоген (GluTrp), а по двум показателям – поглотительной способности нейтрофилов, характеризующейся фагоцитарным числом и резервным возможностям нейтрофилов, проявляющихся при стимуляции ФГА в НСТ-тесте, изменения были статистически достоверны. Во всех случаях при сравнении с контролем изучаемые показатели статистически достоверно увеличивались: фагоцитоз – на 36,3 относительных процента, фагоцитарное число – на 86,8 относительных процентов, рецепторная способность нейтрофилов к антигену эритроцитов Е-РОНФ и к комплементу ЕАС-РОНФ соответственно на 25,1 и 30,0 относительных процентов, а резервные возможности нейтрофилов, манифестирующиеся при стимуляции в НСТ-тесте, увеличивались на 68,6%. В то же время препарат сравнения тимоген изменял статистически достоверно только 2 теста – фагоцитарное число – на 35,5 относительных процента и резервные возможности нейтрофилов при стимуляции ФГА в НСТ-тесте – на 21,8 относительных процентов.
Таким образом, глутамилтриптофан металлокомплексы и особенно комплексное соединение меди (препарат “Тимокор”) оказались значительно активнее препарата сравнения “Тимоген”, что объясняется их большей растворимостью и модификацией молекулы глутамилтриптофана за счет образования координационных связей с ионом металла. Сущность изобретения объясняется конкретными примерами его осуществления.
Пример 1. 1,0031 г (0,003 моль) глутамилтриптофана и эквивалентное количество соли металла (0,7179 г МnSO4 4Н2О, 0,7138 г СоСl2 6Н2О, 0,7134 г NiCl2 6H2O, 0,7486 г СuSO45Н2О или 0,8621 г ZnSO4 7H2O) раздельно друг от друга каждые растворяют в 50 мл бидистиллированной воды при комнатной температуре. Растворы в случае необходимости фильтруют и затем сразу же объединяют. К раствору прибавляют два эквивалента щелочи NаОН (или КОН, LiOH), выливают в 100 мл безводного ацетона, который охлаждают смесью льда и поваренной соли. Осаждается хорошо отстаивающийся осадок, который быстро отсасывают на охлаждаемом стеклянном фильтре с сильным вакуумом. Полученное вещество сушат в вакуум-эксикаторе над фосфорным ангидридом. После повторных несколько раз отсасываний вещество медленно кристаллизуется, а затем его измельчают в порошок. Получают следующие выходы,%: Мn-комплекс 75, Со-комплекс 85, Ni-комплекс 80, Си-комплекс 80, Zn-комплекс 70.
Подобным образом при использовании эквивалентного количества соответствующей преимущественно водорастворимой металлической соли можно получить глутамилтриптофан металлокомплексы палладия (II), платины (II), магния, кальция, стронция, хрома (II, III), кобальта (III), ванадия. В случае получения комплексов Mn (II), Co (II), Cr (II), Fe (II) реакцию и фильтрование проводят в описанных условиях, но в инертной среде (токе очищенного аргона или очищенного от кислорода азота).
Пример 2. 1,072 г натриевой соли глутамилтриптофана и эквивалентное количество соли металла (0,7179 г MnSO4 4H2O, 0,7138 г СоСl2 6Н2О, 0,7134 г NiCl2 6H2O, 0,7486 г CuSO4 5H2O или 0,8621 г ZnSO4 7H2O) раздельно друг от друга каждые растворяют в 50 мл бидистиллированной воды при комнатной температуре. Растворы в случае необходимости фильтруют и затем сразу же объединяют. К раствору прибавляют два эквивалента щелочи NаОН (или КОН, LiOH), выливают в 100 мл безводного ацетона, который охлаждают смесью льда и поваренной соли. Осаждается хорошо отстаивающийся осадок, который быстро отсасывают на охлаждаемом стеклянном фильтре с сильным вакуумом. Полученное вещество сушат в вакуум-эксикаторе над фосфорным ангидридом. После повторных несколько раз отсасывании вещество медленно кристаллизуется, а затем его измельчают в порошок. Получают следующие выходы, %: Мn-комплекс 75, Со-комплекс 85, Ni-комплекс 80, Си-комплекс 80, Zn-комплекс 70.
Подобным образом при использовании эквивалентного количества соответствующей преимущественно водорастворимой металлической соли можно получить глутамилтриптофан металлокомплексы палладия (II), платины (II), магния, кальция, стронция, хрома (II, III), кобальта (III), ванадия. В случае получения комплексов Mn (II), Co (II), Cr (II), Fe (II) реакцию и фильтрование проводят в описанных условиях, но в инертной среде (токе очищенного аргона или очищенного от кислорода азота).
Пример 3. К свежеприготовленным гидроксидам металлов (в которых количество металла такое же как в 0,7179 г MnSO4 4H2O, 0,7138 г СоСl2 6Н2O, 0,7134 г NiCl2 6H2O, 0,7486 г CuSO4 5H2O или 0,8621 г ZnSO4 7H2O), полученным по стандартным методикам, прибавляют эквивалентное количество глутамилтриптофана, растворенного в 50 мл бидистиллированной воды при комнатной температуре. Полученную смесь нагревают при 50-90oС на водяной бане до полного растоврения гидроксида. Полученный раствор выливают в 100 мл безводного ацетона, который охлаждают смесью льда и поваренной соли. Осаждается хорошо отстаивающийся осадок, который быстро отсасывают на охлаждаемом стеклянном фильтре с сильным вакуумом. Полученное вещество сушат в вакуум-эксикаторе над фосфорным ангидридом. После повторных несколько раз отсасываний вещество медленно кристаллизуется, а затем его измельчают в порошок. Получают следующие выходы,%: Мn-комплекс 75, Со-комплекс 85, Ni-комплекс 80, Сu-комплекс 80, Zn-комплекс 70.
Подобным образом при использовании эквивалентного количества соответствующей преимущественно водорастворимой металлической соли можно получить глутамилтриптофан металлокомплексы палладия (II), платины (II), магния, кальция, стронция, хрома (II, III), кобальта (III), ванадия. В случае получения комплексов Mn (II), Co (II), Cr (II), Fe(II) реакцию и фильтрование проводят в описанных условиях, но в инертной среде (токе очищенного аргона или очищенного от кислорода азота).
Таким образом, доказано, что заявленные соединения проявляют иммуностимулирующее действие на живой организм, превосходящее действие известного препарата “Тимоген”. На основе заявленных соединений возможно получение лекарственных и профилактических препаратав, имеющих широкий спектр иммуностимулирующего действия. Способ получения указанных соединений является достаточно простым в исполнении, что обеспечивает высокий выход целевого продукта.
Пример 4. 1,0031 г (или 0,003 моля) L-глутамилтриптофана растворяют в 30 мл бидистиллированной воды и эквивалентное количество 0,2278 г (или 0,003 моля) оксида меди СuО растворяют в 20 мл раствора соляной кислоты, содержащем 0,1095 г (или 0,006 моля) НСl. Растворы объединяют и в случае необходимости полученный раствор фильтруют. К полученному раствору при перемешивании добавляют два эквивалента щелочи, например NaOH (или КОН, LiOH), после чего выливают в 100 мл безводного ацетона, охлажденного смесью льда и поваренной соли. При этом осаждается осадок, который хорошо отстаивается. Его сразу отсасывают на охлажденном стеклянном фильтре с сильным вакуумом. Полученное вещество сушат в вакуум-эксикаторе над фосфорным ангидридом. Высушенное вещество измельчают до порошка.
В результате приведенных операций получают выход синтезированного вещества, мас.%: Сu-комплекс 71.
Пример 5. 1,0031 г (или 0,003 моля) L-глутамилтриптофана растворяют в 30 мл бидистиллированной воды и эквивалентное количество 0,3562 г (или 0,003 моля) углекислого никеля NiCO3 при нагревании растворяют в 20 мл раствора соляной кислоты, содержащем 0,1095 г (или 0,006 моля) НСl. Растворы объединяют и в случае необходимости полученный раствор фильтруют. К полученному раствору при перемешивании добавляют два эквивалента щелочи, например NaOH (или КОН, LiOH), после чего выливают в 100 мл безводного ацетона, охлажденного смесью льда и поваренной соли. При этом осаждается осадок, который хорошо отстаивается. Его сразу отсасывают на охлажденном стеклянном фильтре с сильным вакуумом. Полученное вещество сушат в вакуум-эксикаторе над фосфорным ангидридом. Высушенное вещество измельчают до порошка.
В результате приведенных операций получают выход синтезированного вещества, масс %: Ni-комплекс – 74.
Пример 6. 1,0031 г (или 0,003 моля) L-глутамилтриптофана растворяют в 30 мл бидистиллированной воды и эквивалентное количество 0,2907 г (или 0,003 моля) гидроксида меди Сu(ОН)2 растворяют в 20 мл раствора соляной кислоты, содержащем 0,1095 г (или 0,006 моля) НСl. Растворы объединяют и в случае необходимости полученный раствор фильтруют. К полученному раствору при перемешивании добавляют два эквивалента щелочи, например NaOH (или КОН, LiOH), после чего выливают в 100 мл безводного ацетона, охлажденного смесью льда и поваренной соли. При этом осаждается осадок, который хорошо отстаивается. Его сразу отсасывают на охлажденном стеклянном фильтре с сильным вакуумом. Полученное вещество сушат в вакуум-эксикаторе над фосфорным ангидридом. Высушенное вещество измельчают до порошка.
В результате приведенных операций получают выход синтезированного вещества, мас.%: Си-комплекс 70.
Пример 7. 1,0031 г (или 0,003 моля) L-глутамилтриптофана растворяют в 30 мл бидистиллированной воды и эквивалентное количество 0,6693 г (или 0,003 моля) основного карбоната меди СuСО3 Сu(ОН)2 при нагревании растворяют в 20 мл раствора соляной кислоты, содержащем 0,1095 г (или 0,006 моля) НСl. Растворы объединяют и в случае необходимости полученный раствор фильтруют. К полученному раствору при перемешивании добавляют два эквивалента щелочи, например NaOH (или КОН, LiOH), после чего выливают в 100 мл безводного ацетона, охлажденного смесью льда и поваренной соли. При этом осаждается осадок, который хорошо отстаивается. Его сразу отсасывают на охлажденном стеклянном фильтре с сильным вакуумом. Полученное вещество сушат в вакуум-эксикаторе над фосфорным ангидридом. Высушенное вещество измельчают до порошка.
В результате приведенных операций получают выход синтезированного вещества, мас.%: Сu-комплекс 71.
Формула изобретения
M’nM(H-1GluTrp) mН2О,где М’ – катион щелочного металла; М – катион d-металла или щелочноземельного металла; GluTrp – анион глутамилтриптофана; n – количество атомов щелочного металла; m – количество молекул воды, проявляющие иммуностимулирующее действие. 2. Глутамилтриптофан металлокомплекс по п.1, отличающийся тем, что М – катион меди. 3. Способ получения глутамилтриптофан металлокомплексов общей формулы M’nM(H-1GluTrp) mН2О,где M’ – катион щелочного металла; М – катион d-металла или щелочноземельного металла; GluTrp – анион глутамилтриптофана; n – количество атомов щелочного металла; m – количество молекул воды, отличающийся тем, что глутамилтриптофан или его соль подвергают взаимодействию в водной среде при 0-100oС с эквивалентным количеством водорастворимой соли d-металла или щелочноземельного металла, или их гидроксидами, или оксидами, или карбонатами, или основными карбонатами с последующим осаждением целевого продукта органическим растворителем, при этом взаимодействие реагирующих компонентов и осаждение целевого продукта проводят в атмосфере, соответствующей редокс-свойствам d-металла. РИСУНКИ
MM4A Досрочное прекращение действия патента Российской Федерации на изобретение из-за неуплаты в установленный срок пошлины за поддержание патента в силе
Дата прекращения действия патента: 19.03.2004
Извещение опубликовано: 20.03.2005 БИ: 08/2005
|
||||||||||||||||||||||||||

mН2О, где М’ – катион щелочного металла, М – катион d-металла или щелочноземельного металла, GluTrp – анион глутамилтриптофана, n – количество атомов щелочного металла, m – количество молекул воды. Заявленные соединения проявляют иммуностимулирующее действие на живой организм. В заявленном решении приведен способ получения глутамилтриптофан металлокомплексов, который состоит в том, что глутамилтриптофан или его соль подвергают взаимодействию в водной среде при 0-100oС с эквивалентным количеством водорастворимой соли d-металла или щелочноземельного металла, или их гидроксидами, или оксидами, или карбонатами, или основными карбонатами с последующим осаждением целевого продукта органическим растворителем, при этом взаимодействие реагирующих компонентов и осаждение целевого продукта проводят в атмосфере, соответствующей редокс-свойствам d-металла. Технический результат – достигнуто расширение арсенала средств, имеющих иммуностимулирующее действие. 2 с. и 1 з.п. ф-лы, 5 табл.
