Патент на изобретение №2181123
|
||||||||||||||||||||||||||
(54) ФАРМАЦЕВТИЧЕСКАЯ КОМПОЗИЦИЯ С ФУНГИЦИДНОЙ АКТИВНОСТЬЮ И ПРОИЗВОДНЫЕ ДИПЕПТИДА ИЗ АЛЬФА-АМИНОКИСЛОТЫ ИЛИ ЕЕ ПРОИЗВОДНОГО И ЦИКЛОПЕНТАН-БЕТА-АМИНОКИСЛОТЫ ИЛИ ЕЕ ПРОИЗВОДНОГО
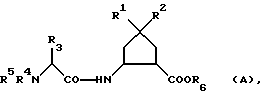
(57) Реферат: Изобретение относится к композиции с антигрибковой активностью, содержащей минимум одну циклопентан-бета-аминокислоту и/или ее производное общей формулы Iб, в которой R1 и R2 вместе означают остаток формулы =CH2, R6 и Y означают водород, и дополнительно минимум одну альфа-аминокислоту и/или ее производное общей формулы Iа, в которой R3 означает линейный или разветвленный алкил C1-C8, R4 и R5 означают водород, Х означает гидроксил, причем альфа-аминокислота и/или производное и циклопентан-бета-аминокислота и/или ее производное находятся в молярном соотношении 1:1 – 1:5; дипептиду общей формулы А, где R1-R6 указаны выше, Х и Y означают часть ковалентной связи альфа-аминокислоты и циклопентан-бета-аминокислоты; и фармацевтитческой композиции с антигрибковой активностью, содержащей в качестве активного вещества минимум один дипептид формулы А в эффективном количестве и нетоксичный фармацевтически инертный носитель. 3 с.п. ф-лы, 1 табл. ![]() ![]()
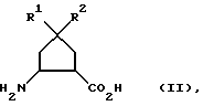
Данное изобретение касается новых химических соединений, обладающих фунгицидной активностью, в частности производных дипептидов из альфа-аминокислоты или ее производного и циклопентан-бета-аминокислоты или ее производного, а также фармацевтической композиции, обладающей антигрибковой активностью. Известна фармацевтическая композиция с антимикробной, в частности с антигрибковой, активностью, которая в качестве активного начала содержит циклопентан- и -пентен-бета-аминокислоты (см. выложенную заявку ФРГ 4302155). Однако известная композиция оказывает также и побочные действия. Задачей данного изобретения являлась разработка фармацевтической композиции, обладающей фунгицидным действием, которая при удовлетворительной активности не оказывает побочных действий. Эта задача решается тем, что согласно данному изобретению композиция с фунгицидной активностью, содержащая минимум одну циклопентан-бета-аминокислоту и/или ее производное, содержит дополнительно минимум одну альфа-аминокислоту и/или ее производное. Термин “производное” охватывает такие соединения, которые являются производными соответствующей аминокислоты и обладают аналогичной активностью, в частности соответствующие соли. В качестве альфа-аминокислот композиция согласно изобретению содержит альфа-аминокислоты общей формулы (Ia) ![]() в которой R3 означает линейный или разветвленный алкил, содержащий до 8 атомов углерода, R4 и R5 означают атом водорода и Х означает гидроксил. Предпочтительны альфа-аминокислоты общей формулы (Iа) ![]() в которой R3 означает линейный или разветвленный алкил, содержащий до 6 атомов углерода, R4 и R5 означают атом водорода и Х означает гидроксил. Особенно предпочтительны альфа-аминокислоты общей формулы (Iа) ![]() в которой R3 означает метил или группу -СН(СН3)СН2СН3, R4 и R5 означают атом водорода и Х означает гидроксил. Примерами подобных альфа-аминокислот можно назвать: (S)-изолейцин и (S)-аланин. В качестве циклопентан-бета-аминокислот композиция согласно изобретению содержит циклопентан-бета-аминокислоты общей формулы (Iб) ![]() в которой R1 и R2 вместе означают остаток формулы =СН2, R6 означает водород и Y означает водород. В качестве примеров таких циклопентан-бета-аминокислот можно назвать 2-амино-4-метиленциклопентан-1-карбоновую кислоту и 1,2-цис-амино-4-метиленциклопентан-1-карбоновую кислоту. Композиция согласно изобретению состоит из альфа-аминокислот общей формулы (Ia) ![]() в которой R3 означает линейный или разветвленный алкил, содержащий до 8 атомов углерода, R4 и R5 означают атом водорода и Х означает гидроксил, и циклопентан-бета-аминокислоты общей формулы (Iб) ![]() в которой R1 и R2 вместе означают остаток формулы =СН2, R6 означает водород и Y означает водород. Предпочтительная композиция согласно изобретению состоит из альфа-аминокислот общей формулы (Ia) ![]() в которой R3 означает линейный или разветвленный алкил, содержащий до 6 атомов углерода, R4 и R5 означают атом водорода и Х означает гидроксил, и циклопентан-бета-аминокислот общей формулы (Iб) ![]() в которой R1 и R2 вместе означают остаток формулы =СН2, R6 означает водород и Y означает водород. Особенно предпочтительно композиция согласно изобретению состоит из альфа-аминокислот общей формулы (Ia) ![]() в которой R3 означает метил или группу -СН(СН3)СН2СН3, R4 и R5 означают атом водорода и Х означает гидроксил, и циклопентан-бета-аминокислот общей формулы (Iб) ![]() в которой R1 и R2 вместе означают остаток формулы =CH2, R6 означает водород и Y означает водород. Примерами таких композиций согласно изобретению можно назвать смесь из (S)-изолейцина с 2-амино-4-метиленциклопентан-1-карбоновой кислотой, или (S)-аланина с 2-амино-4-метиленциклопентан-1-карбоновой кислотой. Молярное соотношение в смесях альфа-аминокислот и/или их производных к циклопентан-бета-аминокислотам и/или их производным находятся в области от 1:1 до 5:1 и предпочтительно от 1:1 до 3:1. Композицию согласно изобретению получают обычным образом путем смешивания отдельных компонентов, предпочтительно в виде тонких порошков. Другим объектом данного изобретения являются дипептиды, состоящие из альфа-аминокислоты или ее производного и циклопентан-бета-аминокислоты или ее производного, а также фармацевтическая композиция с антигрибковой активностью, которая наряду с минимум одним нетоксичным фармацевтически инертным носителем содержит минимум один дипептид в эффективно действующем количестве. В качестве альфа-аминокислот для дипептидов согласно изобретению пригодны альфа-аминокислоты, указанные выше для смесей согласно изобретению общей формулы (Ia), где X в этой формуле означает часть ковалентной связи альфа-аминокислоты и циклопентан-бета-аминокислоты. В качестве циклопентан-бета-аминокислот для дипептидов согласно изобретению пригодны циклопентан-бета-аминокислоты, указанные выше для смесей согласно изобретению общей формулы (Iб), где Y в этой формуле означает часть ковалентной связи альфа-аминокислоты и циклопентан-бета-аминокислоты. Согласно изобретению дипептиды общей формулы (А) ![]() состоящие из альфа-аминокислоты общей формулы (Iа) ![]() в которой R3 означает линейный или разветвленный алкил, содержащий до 8 атомов углерода, R4 и R5 означают атом водорода и Х означает часть ковалентной связи альфа-аминокислоты и циклопентан-бета-аминокислоты, и циклопентан-бета-аминокислоты общей формулы (Iб) ![]() в которой R1 и R2 вместе образуют остаток формулы =СН2, R6 означает атом водорода, Y означает часть ковалентной связи альфа-аминокислоты и циклопентан-бета-аминокислоты. Предпочтительны дипептиды, состоящие из альфа-аминокислоты общей формулы (Ia) ![]() в которой R3 означает линейный или разветвленный алкил, содержащий до 6 атомов углерода, R4 и R5 означают атом водорода и Х означает часть ковалентной связи альфа-аминокислоты и циклопентан-бета-аминокислоты, и циклопентан-бета-аминокислоты общей формулы (Iб) ![]() в которой R1 и R2 вместе означают остаток формулы =СН2, R6 означает водород и Y означает часть ковалентной связи альфа-аминокислоты и циклопентан-бета-аминокислоты. Более предпочтительны дипептиды, согласно изобретению состоящие из альфа-аминокислот общей формулы (Ia) ![]() в которой R3 означает метил или группу -СН(СН3)СН2СН3, R4 и R5 означают атом водорода и Х означает часть ковалентной связи альфа-аминокислоты и циклопентан-бета-аминокислоты, и циклопентан-бета-аминокислоты общей формулы (Iб) ![]() в которой R1 и R2 вместе означают остаток формулы =СН2, R6 означает водород и Y означает часть ковалентной связи альфа-аминокислоты и циклопентан-бета-аминокислоты. Наиболее предпочтительны следующие дипептиды: 1,2-цис-2-(S)-изолейциламино-4-метиленциклопентан-1-карбоновая кислота и 1,2-цис-2-(S)-аланиламино-4-метиленциклопентан-1-карбоновая кислота. Содержащиеся в композиции согласно изобретению аминокислоты или соответственно дипептиды согласно изобретению могут состоять из чистых стереоизомеров или из смесей стереоизомеров. Описанные выше альфа-аминокислоты, циклопентан-бета-аминокислоты и дипептиды могут находиться в форме их солей. В общем случае это могут быть соли органических или неорганических оснований или кислот, а также внутренние соли. К таким солям могут относиться преимущественно соли галогеноводородных кислот, таких как хлористоводородная кислота и бромистоводородная кислота, особенно хлористоводородная кислота, а также фосфорная кислота, азотная кислота, серная кислота, моно- и дикарбоновые кислоты и гидрокси-карбоновые кислоты, такие как уксусная кислота, малеиновая кислота, малоновая кислота, щавелевая кислота, глюконовая кислота, янтарная кислота, фумаровая кислота, винная кислота, лимонная кислота, салициловая кислота, сорбиновая кислота и молочная кислота, а также сульфокислоты, такие как паратолуолсульфокислота, 1,5-нафталиндисульфокислота или камфарсульфокислота. Физиологически переносимыми солями могут быть также соли металлов и соли аммония соединений согласно изобретению, которые содержат свободные гидроксильные группы. Особенно предпочтительны соли натрия, калия, магния или кальция, а также соли аммония, происходящие от аммиака или от органических аминов, таких как этиламин, ди- или соответственно триэтиламин, ди- или соответственно триэтаноламин, дициклогексиламин, диметиламиноэтанол, аргинин, лизин, этилендиамин или фенилэтиламин. Содержащиеся в композиции согласно изобретению аминокислоты и дипептиды согласно изобретению могут находиться в стереоизомерных формах, например с прямой и обратной симметрией молекул (энантиомеры), или не обладающих свойствами прямой и обратной симметрии (диастереомеры), преимущественно в виде смеси диастереомеров или как цис- и транс-изомеры. В объем изобретения включаются также антиподы, рацематные формы, смеси диастереомеров, а также чистые изомеры. Рацематные формы можно аналогично диастереомерам известным образом разделять на стереомерно единые компоненты. Разделение на стереомерно единые соединения осуществляют, например, путем хроматографического разделения рацематов диастереомерных сложных эфиров и амидов или по оптически активным фазам. Кроме того, возможна кристаллизация диастереомерных солей. В объем данного изобретения входят остатки аминокислот, определяемые как остаток (R5R4-N-CHR3-CO-) в L-форме. Дипептиды согласно изобретению можно получать известным способом, согласно которому соединения общей формулы (II) ![]() в которой R1 и R2 имеют указанные выше значения, путем взаимодействия с блокированными аминокислотами общей формулы (III) ![]() в которой R3 и R4 имеют указанные выше значения, R10 означает аминозащитную группу и R11 означает обычную в химии пептидов активирующую защитную группу, предпочтительно остаток сложного эфира имина оксиянтарной кислоты, R10 и R11 вместе образуют группу ![]() сначала переводят в соединения общей формулы (IV) ![]() в которой R1, R2, R3, R4 и R10 имеют указанные выше значения, в среде растворителя и в присутствии основания, затем отщепляют аминозащитную группу (R10), при необходимости разделяют стереоизомеры. При необходимости дипептиды обычными методами переводят в соли. Описанный выше способ можно пояснить, например, следующей схемой: ![]() ![]() ![]() Аминозащитные группы (R10) в рамках данного изобретения являются обычно применяемыми в химии пептидов аминозащитными группами. К таким защитным группам относятся предпочтительно бензилоксикарбонил, 3,4-диметоксибензилоксикарбонил, 3,5-диметоксибензилоксикарбонил, 2,4-диметоксибензилоксикарбонил, 4-метоксибензилоксикарбонил, 4-нитробензилоксикарбонил, 2-нитробензилоксикарбонил, 2-нитро-4,5-ди-метоксибензилоксикарбонил, метоксикарбонил, этоксикарбонил, трет-бутоксикарбонил, аллилоксикарбонил, винилоксикарбонил, 3,4,5-триметоксибензилоксикарбонил, фталоил, 2,2,2-трихлорэтоксикарбонил, 2,2,2-трихлор-трет-бутоксикарбонил, метилоксикарбонил, 4-нитрофеноксикарбонил, флуоренил-9-метоксикарбонил (ФМОК), формил, ацетил, пропионил, пивалоил, 2-хлорацетил, 2-бромацетил, 2,2,2-трифторацетил, 2,2,2-трихлораце-тил, бензоил, бензил, 4-хлорбензоил, 4-бромбензоил, 4-нитробензоил, фталимидогруппа, изовалероил или бензилоксиметилен, 4-нитробензил, 2,4-динитробензил, 4-нитрофенил или 2-нитрофенилсульфенил. Особенно предпочтительна ФМОК-группа. В качестве активирующих карбонильных остатков (R11) пригодны в общем случае аддукты с карбодиимидами, например, N,N’-диэтил, N,N’-диизопропил, N, N’-дициклогексилкарбодиимид, N-(3-диметиламиноизопропил)-N’-этилкарбодиимидгидрохлорид, N-циклогексил-N’-(2-морфолиноэтил)-карбодиимидметопаратолуолсульфонат, или карбонильные соединения, такие как карбонилдиимидазол, или 1,2-оксазолиевые соединения, такие как 2-этил-5-фенил-1,2-оксазолий-3-сульфат или 2-трет-бутил-5-метилизооксазолийперхлорат, или ациламиносоединения, такие как 2-этокси-1-этоксикарбонил-1,2-дигидрохинолин, или ангидрид пропанфосфокислоты, или изобутилхлороформат, или бензотриазолилокси-трис(диметиламино)-фосфонийгексафторфосфат, 1-гидроксибензотриазол или сложный эфир имина оксиянтарной кислоты. Далее, можно применять компонент альфа-аминокислоты в виде ангидрида Лейша (R10 и R11 в формуле (III) означают группу )Предпочтителен сложный эфир оксиянтарной кислоты. В качестве растворителя пригодны обычные органические растворители, которые не изменяются в условиях реакции. Сюда относятся предпочтительно простые эфиры, такие как диэтиловый эфир, диоксан, тетрагидрофуран, гликольдиметиловый эфир, диметоксиэтан, или углеводороды, такие как бензол, толуол, ксилол, гексан, циклогексан или фракции нефти, или диметилформамид. Точно также можно применять смеси указанных растворителей. Предпочтительны тетрагидрофуран, диэтиловый эфир и диметоксиэтан. Кроме того, можно применять воду или смеси указанных выше растворителей с водой. Кроме того, можно применять, например, карбонаты щелочных металлов, такие как карбонат или бикарбонат натрия или калия, или органические основания, такие как триалкиламины, например, триэтиламин, этилдиизопропиламин, N-этилморфолин, N-метилпиперидин или N-метилморфолин. Предпочтителен N-метилморфолин. Вспомогательные вещества и основания берут в количествах от 1,0 моля до 3,0 молей, предпочтительно от 1,0 моля до 1,2 моля, в расчете на 1 моль соединения общей формулы (III). Реакцию осуществляют при температуре в области от 0oС до 100oС, предпочтительно при температуре от 0oС до 30oС и при нормальном давлении. Реакцию можно проводить как при нормальном давлении, так и под повышенным или пониженным давлением (например, 0,5-5 бар), предпочтительно при нормальном давлении. Отщепление аминозащитной группы осуществляют в общем случае по известным методам в кислых или основных условиях, или в условиях восстановления путем каталитического гидрирования, например, на Pd/C в органическом растворителе, таком как простые эфиры, например тетрагидрофуран или диоксан, или спирты, например метанол, этанол или изопропанол. Гидрирование осуществляют в общем случае при температуре в области от 0oС до 80oС, предпочтительно при температуре от 0oС до 40oС. Гидрируют в общем случае при повышенном давлении от 2 бар до 8 бар, предпочтительно от 3 до 5 бар. Для отщепления аминозащитной группы (R10=ФМОК) пригодны основания, такие как, например, пиперидин, морфолин, дициклогексиламин, парадиметиламинопиридин, диизопропилэтиламин или пиперазин. Предпочтителен пиперидин. Вспомогательные вещества и основания берут в количествах от 1,0 моля до 3,0 молей, предпочтительно от 1,0 моля до 1,2 моля, в расчете на 1 моль соединения общей формулы (IV). Реакцию осуществляют при температуре в области от 0oС до 100oС, предпочтительно при температуре от 0oС до 30oС и при нормальном давлении. Реакцию можно проводить как при нормальном давлении, так и под повышенным или пониженным давлением (например, 0,5-5 бар), предпочтительно при нормальном давлении. Соединения общей формулы (II) известны. Соединения общей формулы (III) частично известны или их можно получить общеизвестными методами. Описанные выше способы получения даны исключительно для пояснения. Получение заявляемых соединений общих формул (Iа) и (I6), в которых Х и Y вместе означают ковалентную связь, не ограничивается только этим способом, любая модификация этого способа применима аналогично. Исходным пунктом для создания данного изобретения явилось выяснение следующего механизма: Описанные здесь циклопентан-бета-аминокислоты общей формулы (II) аккумулируются различными видами дрожжей с помощью переносчика аминокислот. Транспортировка бета-аминокислот может подавляться алифатическими аминокислотами, в частности L-изолейцином, L-аланином, L-метионином и L-валином. Бета-аминокислоты подавляют синтез белков. Это подавление может антагонизироваться одной из алифатических аминокислот, в частности L-изолейцином или L-аланином. Одновременная дача бета-аминокислоты и антагонизирующей натуральной аминокислоты в виде смеси и/или ковалентно связанными в виде дипептида приводит к снижению наблюдающихся у теплокровных побочных действий при одновременном антигрибковом действии in vivo. Соединения или композиция согласно изобретению демонстрируют ценный спектр фармакологического действия, который до сих пор нельзя было предсказать. Заявляемые согласно изобретению соединения или композиция из смеси аминокислот общих формул (Iа) и (Iб) и их соли присоединения кислот обладают in vivo антигрибковым действием. Одновременно их пониженная токсичность обеспечивает улучшенную переносимость. Они обладают широким спектром антигрибкового действия против дерматофитов, таких как трихофитон (Trichophyton men-tagropliytes и Microsporum canis), против бластомицетов, таких как Candida albicans, Candida glabrata, Epidermophyton floccosum и против плесневых грибков, таких как Aspergillus niger и Aspergillus fumigatus. Перечисление этих микроорганизмов ни в коем случае не представляет собой ограничение микроорганизмов, с которыми борются, оно дается только для пояснения. Заявляемые согласно изобретению соединения и композиция пригодны для лечения дерматомикозов и системных грибковых заболеваний. Испытание на действие in vivo Для испытаний на антигрибковое действие in vivo в качестве тест-модели использовали кандидамикоз мышей: Самцам мышей линии CFW1 весом 20 г путем инъекции в хвостовую вену вводили 3 105 образующих колонию единиц (ОКЕ) С. albicans на животное.
Животные из контрольной партии, которым не давали лекарственного препарата, погибли полностью через неделю после заражения (п.з.) от генерализированного кандидоза при образовании гранулем на почках. Для испытания на активность препараты, растворенные в 0,2%-ном водном растворе глюкозы-агара, давали зараженным животным дважды в день орально через желудочный зонд.
Дневная доза составляла 2 25 мг/кг и 2 50 мг/кг живого веса (ЖВ), продолжительность лечения составила 5 дней.
Процент выживаемости животных, которым давали препараты, оценивали ежедневно в течение десяти дней после заражения (п.з.). К этому времени не выжило ни одно животное из тех, кому не давали препаратов.
Использовали по 10 животных на каждый препарат и на контрольную группу. Результаты представлены в таблице А.
Альтернативно можно также определять активность in vivo на крысах вида Вистар. Им потребовалась бы пониженная дневная доза, указанная в мг/кг живого веса (ЖВ), чтобы достичь сравнимый результат лечения. Испытания в этом случае проводили следующим образом.
Самцов крыс вида Вистар в возрасте восемь недель, практически здоровых, весом 200 г заражали 5 106 ОКЕ Candida albicans в 0,5%-ном фосфатно-солевом буферном растворе путем инъекции в латеральную хвостовую вену. Это приводило к 100%-ной гибели в течение восьми дней. Уже через день после заражения у животных наблюдали кровотечение во внутреннем угле глаза; наряду с почками были поражены другие органы, такие как головной мозг, сердце, печень, селезенка, сетчатка и легкие. Испытуемые вещества давали дважды в день через пять дней перорально каждый раз в 1 мл раствора, содержащего 5% глюкозы и 0,2% агара, начиная со дня заражения.
Улучшенная переносимость заявляемых согласно изобретению дипептидов и композиции согласно изобретению была определена следующим образом.
Крысам вида Вистар давали ежедневно соответствующие вещества и фиксировали изменение веса. При этом давали или только бета-аминокислоту, или эквимолярное количество соответствующей смеси, или эквимолярное количество дипептида с альфа-аминокислотой. После пяти дней лечения живой вес крыс при даче дипептидов или соответственно смесей согласно изобретению оставался одинаковым или слегка повышался, в то время как при употреблении бета-аминокислоты снижался на около 5-10%.
Объектом данного изобретения является также композиция, которая наряду с минимум одним нетоксичным фармацевтически инертным носителем содержит минимум один дипептид согласно изобретению в эффективном количестве.
Одно или несколько активных соединений могут находиться при необходимости в одном или нескольких указанных выше носителях также и в микрокапсулированном виде.
Композиция согласно изобретению находится предпочтительно в виде таблеток, драже, капсул, пилюль, гранул, свечек, растворов, суспензий и эмульсий, паст, мазей, гелей, кремов, лосьонов, порошков и спреев.
Терапевтически активные соединения или соответственно смеси должны находиться в указанных выше фармацевтических препаратах, как правило в концентрации от около 0,1 до 99,5, предпочтительно от около 0,5 до 95 вес.% от общего веса смеси.
Охарактеризованные выше фармацевтические препараты могут содержать помимо соединений согласно изобретению также и другие фармацевтически активные вещества.
Соединения или препараты можно принимать орально или парентерально.
В общем случае как в медицине, так и в ветеринарии оказалось предпочтительным для достижения желаемого результата употреблять соединение или соединения согласно изобретению в общем количестве от около 0,5 до около 500, предпочтительно от 5 до 100 мг/кг живого веса за 24 ч при необходимости несколькими дозами. Отдельная доза содержит одно или несколько соединений преимущественно в количестве от около 1 до около 80, в частности от 3 до 30 мг/кг живого веса.
В случае лечебных препаратов согласно изобретению обычно речь идет о комплексном препарате для одновременного, раздельного или постадийного во времени применения для лечения болезней.
В случае комплексных препаратов для одновременного употребления речь идет об изделии, в котором отдельные компоненты смеси согласно изобретению находятся в виде физической смеси. Здесь можно указать, в частности, таблетки, драже, капсулы, шарики, свечки и ампулы. Также успешно применение таких смесей, как раствор, суспензия или эмульсия. К отдельным компонентам смесей согласно изобретению относятся как альфа-аминокислоты и/или их производные, далее называемые альфа-аминокислотным компонентом, так и циклопентан-бета-аминокислоты и/или их производные, далее называемые бета-аминокислотным компонентом.
В случае комплексных препаратов для раздельного употребления речь идет об изделии, в котором отдельные компоненты смеси согласно изобретению находятся пространственно раздельно. Здесь можно указать, в частности, таблетки, драже, капсулы, шарики и свечки, которые соответствуют своему назначению.
Допустимы также комплексные препараты для постадийного во времени употребления. Такие препараты дают возможность давать отдельные компоненты смесей согласно изобретению в предусмотренной последовательности во времени. При постадийном во времени применении таких комплексных препаратов можно давать альфа-аминокислотный компонент определенным образом в зависимости от дачи бета-аминокислотного компонента. Альфа-аминокислотный компонент можно при этом давать в такой же или в другой обычной форме употребления, что и бета-аминокислотный компонент, например, можно бета-аминокислотный компонент вводить интравенозно, а альфа-аминокислотный компонент давать перорально или интравенозно.
При постадийном во времени употреблении можно также только часть дозы альфа-аминокислотного компонента дать тогда же, когда предписано давать бета-аминокислотный компонент, и остальное количество общей дозы альфа-аминокислотного компонента одной или несколькими дозами давать в течение определенного периода времени после дачи бета-аминокислотного компонента.
Ниже приводятся примеры, поясняющие получение заявляемых согласно изобретению дипептидов.
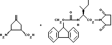
Исходные соединенияПример I (-)-1,2-цис-2-(N-(9-флуоренилметилоксикарбонил)-(S)-изолейцил)-амино-4-метилен-циклопентан-1-карбоновая кислота ![]() К раствору (-)-1,2-цис-2-амино-4-метилен-циклопентан-1-карбоновой кислоты (35,1 г, 0,198 моля) и бикарбоната натрия (33,36 г, 0,397 моля) в 480 мл воды при комнатной температуре прикапывали раствор сложного эфира N-(9-флуоренил-метилоксикарбонил)-(S)-изолейцина и имида оксиянтарной кислоты (89,2 г, 0,198 моля) в 600 мл диметоксиэтана. Смесь перемешивали в течение ночи при комнатной температуре. Затем исходную реакционную смесь подкисляли разбавленной соляной кислотой до рН 2 и несколько раз экстрагировали диэтиловым эфиром. Объединенные органические фазы высушивали над сульфатом натрия и концентрировали в вакууме. Продукт кристаллизовали из смеси диэтиловый эфир/петролейный эфир. Выход: 70 г (74% от теории). Точка плавления: 207oС [ ]20D = -24,1(с=1,15 в хлороформе)1Н-ЯМР (250 МГц, CDCl3): = 0,88(сим. м, 6Н); 0,98-1,15, 1,40-1,51, 1,52-1,80 (3м, 3Н); 2,40-2,84 (м, 4Н); 3,12 (сим. м. 1Н); 4,10-4,48 (м, 4Н); 4,61 (сим. м, 1Н); 4,90 (сим.м, 2Н); 5,84 (д, 1Н); 7,20-7,80 (3м, 9Н).
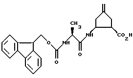
C28H32N2O5 (476,6)Пример II 1,2-цис-2-(N-(9-флуоренилметилоксикарбонил)-(S)-аланил)-амино-4-метиленциклопентан-1-карбоновая кислота ![]() Указанное выше соединение получали аналогично описанному в примере I с использованием (-)-1,2-цис-2-амино-4-метиленциклопентан-1-карбоновой кислоты (2,27 г, 16,1 ммолей), сложного эфира N-(9-флуоренилметилоксикарбонил)-(8)-аланина и имида оксиянтарной кислоты (7,0 г, 17,2 ммолей) и бикарбоната натрия (1,49 г, 17,7 ммолей). Сырой продукт очищали на хроматографической колонке (толуол/этанол, 9:1). Выход: 5, 7 г (81% от теории). 1Н-ЯМР (500 МГц, CD3OD): = 1,30(д, 3Н), 2,43-2,79 (м, 4Н); 3,10 (сим. м, 1Н); 4,12, 4,21, 4,34, 4,50 (4 сим.м, 5Н); 4,91 (шир.с, 2Н); 7,39, 7,3, 7,66, 7,79 (4 сим.м, 8Н).
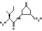
С25Н26N2O5(434,5)Целевые продукты Пример 1 (+)-1,2-цис-2-(S)-изолейцил-амино-4-метиленциклопентан-1-карбоновая кислота ![]() Раствор соединения из примера I (24,0 г, 0,050 моля) в пиперидине (200 мл) перемешивали при комнатной температуре в течение 1 часа. По окончании реакции пиперидин отгоняли в вакууме. Остаток поглощали водой. После нескольких экстракций диэтиловым эфиром водную фазу концентрировали при добавлении толуола в вакууме. Продукт кристаллизовали из смеси изопропанол/диэтиловый эфир. Выход: 8,5 г (67% от теории). Точка плавления: 198oС [ ]20D=+23,9 (с=1,08 в воде)1Н-ЯМР (250 МГц, D2O): = 0,70-0,88(м, 6Н); 0,91-1,18, 1,19-1,43, 1,53-1,72 (3м, 3Н); 2,23-2,67 (м, 4Н); 2,88 (сим.м, 1Н); 3,28 (д, 1Н); 4,30 (сим.м, 1Н); 4,85 (сим.м, 2Н).
С13Н22N2O3 (254,3)Пример 2 (+)-1,2-цис-2-(S)-аланиламино-4-метиленциклопентан-1-карбоновая кислота ![]() Указанное выше соединение получали аналогично описанному в примере 1 с использованием соединения из примера II (5,7 г, 13,1 ммолей). Продукт очищали на хроматографической колонке, заполненной силикагелем (дихлорметан/метанол, 1:1) и кристаллизовали из смеси метанол/изопропанол/ацетон. Выход: 0,7 г (25% от теории). Точка плавления:218oС [ ]20D = +5,4 (с=0,64 в метаноле)1Н-ЯМР (500 МГц, D2O): = 1,49 (д. 3Н), 2,45 (сим.м, 1 Н), 2,55-2,75 (м, 3Н); 3,04 (сим.м, 1Н); 4,01 (кв., 1Н); 4,49 (сим.м, 1Н); 5,00 (ушир.д, 2Н). С10Н16N2O3 (212,3). Пример 3 (1R,2S)-2-амино-4-метиленциклопентан-1-карбоновая кислота x(S)-изолейцин ![]() (-)-(1R, 2S)-2-амино-4-метиленциклопентан-1-карбоновую кислоту (25,0 г, 177 ммолей) и (S)-изолейцин (23,2 г, 177 ммолей) растворяли в воде (250 мл) и этаноле (100 мл) при нагревании до температуры кипения. Затем раствор охлаждался до комнатной температуры и растворитель отгоняли в вакууме при 60oС. Выход: 48,2 г (100% от теории). Точка плавления: 230oС (разл.) 1Н-ЯМР (D2O): = 0,95(т, 3Н), 1,00 (д, 3Н); 1,18-1,35; 1,40-1,56 (2м, 2Н); 1,99 (сим. м. 1 Н); 2,52-2,67; 2,73-2,88 (2м, 4Н); 3,09 (сим.м, 1 Н); 3,69 (д, 1 Н); 3,88 (сим.м. 1Н); 5,09 (сим.м, 2Н).
C13H24N2O4 (272,3).
Пример 4(-)-(1R, 2S)-2-амино-4-метиленциклопентан-1-карбоновую кислоту (14,1 г, 100 ммолей) и (S)-изолейцин (26,2 г, 200 ммолей) растирали в тонкий порошок и затем смешивали в виде порошка. Пример 5 Смесь из (-)-(1R,2S)-2-амино-4-метиленциклопентан-1-карбоновой кислоты (14,1 г, 100 ммолей) и (S)-изолейцина (65,5 г, 500 ммолей) готовили аналогично описанному в примере 4.6 Формула изобретения
![]() в которой R1 и R2 вместе означают остаток формулы =СН2; R6 означает водород; Y означает водород, и содержит дополнительно минимум одну альфа-аминокислоту и/или ее производное общей формулы (Ia) ![]() в которой R3 означает линейный или разветвленный алкил, содержащий до 8 атомов углерода; R4 и R5 означают атом водорода; Х означает гидроксил, причем альфа-аминокислота и/или производное и циклопентан-бета-аминокислота и/или ее производное находится в молярном соотношении 1:1 – 5:1. 2. Дипептид, состоящий из альфа-аминокислоты и/или ее производного и циклопентан-бета-аминокислоты и/или ее производного общей формулы (А) ![]() в которой R1 и R2 вместе означают остаток формулы =CH2; R6 означает водород; R3 означает линейный или разветвленный С1-С8-алкил; R4 и R5 означают водород; Х и Y означают часть ковалентной связи альфа-аминокислоты и циклопентан-бета-аминокислоты. 3. Фармацевтическая композиция с антигрибковой активностью, которая содержит активное вещество и минимум один нетоксичный фармацевтически инертный носитель, отличающаяся тем, что она в качестве активного вещества содержит минимум один дипептид по п.2 в эффективном количестве. РИСУНКИ
MM4A – Досрочное прекращение действия патента СССР или патента Российской Федерации на изобретение из-за неуплаты в установленный срок пошлины за поддержание патента в силе
Дата прекращения действия патента: 20.07.2008
Извещение опубликовано: 20.07.2010 БИ: 20/2010
|
||||||||||||||||||||||||||



























)
105 образующих колонию единиц (ОКЕ) С. albicans на животное.
Животные из контрольной партии, которым не давали лекарственного препарата, погибли полностью через неделю после заражения (п.з.) от генерализированного кандидоза при образовании гранулем на почках. Для испытания на активность препараты, растворенные в 0,2%-ном водном растворе глюкозы-агара, давали зараженным животным дважды в день орально через желудочный зонд.
Дневная доза составляла 2
]20D = -24,1(с=1,15 в хлороформе)
= 0,88(сим. м, 6Н); 0,98-1,15, 1,40-1,51, 1,52-1,80 (3м, 3Н); 2,40-2,84 (м, 4Н); 3,12 (сим. м. 1Н); 4,10-4,48 (м, 4Н); 4,61 (сим. м, 1Н); 4,90 (сим.м, 2Н); 5,84 (д, 1Н); 7,20-7,80 (3м, 9Н).
C28H32N2O5 (476,6)





