Патент на изобретение №2179842
|
||||||||||||||||||||||||||
(54) КОСМЕТИЧЕСКАЯ КОМПОЗИЦИЯ ДЛЯ ОБРАЗОВАНИЯ ПОКРЫТИЯ СШИТОГО ПОПЕРЕЧНЫМИ СВЯЗЯМИ ГИБРИДНОГО МАТЕРИАЛА НА КЕРАТИНОВОМ СУБСТРАТЕ
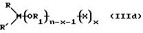
(57) Реферат: Изобретение относится к косметической композиции, образующей пленкообразующее покрытие сшитого поперечными связями гибридного материала на кератиновом субстрате после высушивания, и к ее применению, в частности в области средств для ухода за волосами, средств макияжа и средств ухода за кожей. Композиция является композицией типа золь/гель и получена смешиванием по меньшей мере одного металлоорганического соединения, по меньшей мере одного функционализованного органического полимера или его предшественника или по меньшей мере одного функционализованного силиконового полимера или его предшественника, отличного от металлоорганического соединения, достаточного количества воды для гидролиза металлоорганического соединения и, необязательно, по меньшей мере одного спирта, причем указанное покрытие является необратимым по характеру. Технический результат: композиция обеспечивает долгосрочную фиксацию и/или окрашивание волос при единственном нанесении композиции после высушивания, хорошую укрывистость и стойкую окраску ресниц и ногтей, а также косметический уход и защиту кожи путем образования на ней невидимой пленки. 5 с. и 16 з.п.ф-лы. Изобретение относится к косметической или дерматологической композиции, образующей пленкообразующее покрытие сшитого поперечными связями гибридного материала на кератиновом субстрате после высушивания, и к ее применению, в частности, в области средств для ухода за волосами, средств макияжа и средств для ухода за кожей. Выражение “кератиновый субстрат” в применении в данном изобретении обозначает не только волосы, ресницы и ногти, но также и кожу. В области косметики и дерматологии пленку обычно образуют на кератиновом субстрате с использованием различных типов полимеров в растворе или в виде суспензии. После высушивания и в зависимости от природы полимера получают пленки с механическими и косметическими характеристиками, которые являются специфическими для предусматриваемого применения. Хотя до настоящего времени ряд исследований были направлены на широкое применение органических пленкообразующих полимеров, прежде всего предназначенных для композиций для ухода за волосами, или композиций лака для ногтей, очень небольшое число исследований были направлены на органические-неорганические полимеры, называемые также гибридными материалами. Первые исследования описаны в статье F. Sardo, American Cosmetics and Perfumeries, vol. 87, 43-46 (1972), в которой описаны в качестве фиксатора для волос композиции, содержащие сополимеры органического титаната и диметилсиликона (полидиметилсилоксана), которые были получены полимеризацией силикона и органического титаната в присутствии воды и выпариванием образовавшегося спирта. Однако было показано, что такие органические-неорганические сополимеры имели недостаток, заключающийся в том, что они не растворяются и не диспергируются в спиртах, в частности в этаноле. Оказалось, что они растворимы только в некосметических растворителях, таких как алифатические, ароматические и хлорированные углеводороды, в частности в 1,1,1-трихлорэтане. Эта статья также указывает на то, что основным недостатком таких органических-неорганических полимеров является то, что их невозможно устранить даже после нескольких промывок из-за их высокой адгезии с волосами. В Патенте США US A 4344763 также описан способ укладки волос, состоящий в увлажнении волос водой, затем нанесении раствора, содержащего в изопропаноле 0,5%-15% по весу аминоалкилалкоксисилана и 0,005%-1,5% по весу органического титаната, и затем укладки волос по желанию. В этом способе рекомендуется, в частности, чтобы раствор в изопропаноле хранился защищенным от влаги. Далее, в противоположность статье F. Sardo, утверждается, что этот способ приводит лишь к временной укладке волос и, следовательно, он является обратимым по его характеру. В ЕР А 0113992 также описан способ одновременной фиксации и кондиционирования волос (ухода, нормализующего физическое состояние волос и кожи) при помощи композиции, которая является стабильной в отсутствие влаги, содержащей (А) олигомер силоксана, содержащий по меньшей мере одну связь азот-водород, и (В) легко гидролизуемую безводную добавку, выбранную из титанатов, цирконатов, ванадатов, германатов и их смесей. Как и в статье F. Sardo, растворителем для этой композиции является алифатический углеводород или алифатический галогенуглеводород, предпочтительно 1,1,1-трихлорэтан. После нанесения этой композиции на волосы волосы помещают во влажную атмосферу для индукции сшивания олигомера силоксана и легко гидролизуемой безводной добавки. В этом патенте описана сшитая пленка, образующаяся на волосах, которая также является обратимой, т.е. после промывания даже водой волосы теряют их первоначальную укладку, причем предполагается, что это явление обратимости обусловлено обратимостью сшивания. Анализ известного уровня техники приводит к выводу, что не было предложено надежного решения для образования при помощи легко выполняемого способа пленки гибридного материала необратимой природы посредством реакции in situ золь/гель, из стабильной косметической или дерматологической композиции, которая может быть легко нанесена. В некоторых косметических приложениях, в особенности в обработке волос и более конкретно в обработке ногтей, важно иметь возможность образовать пленку с хорошими адгезивными свойствами, которая может выдерживать на протяжении времени большое число промываний без влияния на ее свойства. Таким образом, одной задачей данного изобретения является обеспечение композиции для фиксации и/или окрашивания волос, которая может при единственном нанесении после быстрого высушивания обеспечивать долгосрочную фиксацию и/или окрашивание, которые выдерживают промывание даже после нескольких обработок шампунем без влияния на свойства, придаваемые волосам. Следующей задачей данного изобретения является обеспечение декоративной композиции для ресниц, такой как тушь для ресниц, которая после высыхания образует хорошие укрывистость и окраску ресниц при устойчивости к воде и окружающей влажности. Следующей задачей данного изобретения является обеспечение бесцветной или окрашенной композиции лака для ногтей, создающей пленку с превосходным блеском, хорошей твердостью поверхности, хорошими механическими свойствами, в частности ударопрочностью (без осыпания), которая может выдерживать мытье водой, детергентами и другими обычными органическими косметическими растворителями. Наконец, следующей задачей данного изобретения является обеспечение композиции для ухода за кожей или для обработки кожи для обеспечения кожи косметическим уходом и защитой путем образования на ней невидимой пленки, которая может выдерживать сухое стирание, мытье и детергенты. Таким образом, предметом данного изобретения является косметическая или дерматологическая композиция для образования покрытия сшитого гибридного материала на кератиновом субстрате, отличающаяся тем, что вышеупомянутая композиция представляет собой композицию типа золь/гель и ее получают смешиванием: (a) по меньшей мере одного органометаллического (или металлоорганического) соединения; (b) по меньшей мере одного функционализованного органического полимера или предшественника этого полимера или по меньшей мере одного функционализованного силиконового полимера или предшественника этого полимера, причем последний предшественник отличается от (а); (c) достаточного количества воды для гидролиза металлоорганического соединения; (d) необязательно по меньшей мере одного спирта; причем вышеупомянутое покрытие является необратимым по характеру. Термин “функционализованный” в применении в данном изобретении означает присутствие функциональных групп, которые могут взаимодействовать физически или химически. Термин “необратимый” в применении в данном изобретении означает, что гибридный материал, образуемый после нанесения композиции и испарения растворителя (растворителей), сохраняет его первоначальную структуру, т.е. не теряет образованной сшиванием структуры после нескольких промываний водой. Эта необратимость гибридного материала, образованного в соответствии с данным изобретением, по существу обусловлена тем фактом, что он имеет высокую степень образования поперечных связей (трехмерной структуры) в масштабе нанометров и очень низкую поверхностную энергию. При нанесении описанной выше композиции на кератиновый субстрат происходит реакция золь/гель, которая после испарения растворителя (растворителей) приводит к образованию гибридного материала посредством поликонденсации и образования поперечных связей (сшивания) в масштабе нанометров. Сшитый гибридный материал, образованный таким образом, может быть высоковарьируемой структуры. Так, он может быть в форме более или менее плотной сети неорганических полимерных цепей, происходящих из металлоорганического соединения, и цепей органического или силиконового полимера, соединенных вместе физическими, ионными и/или ковалентными связями. Гибридный материал может также состоять из минеральных узлов, образующихся из металлоорганического соединения, и цепей органического или силиконового полимера, причем эти узлы физически или химически связаны с цепями органического или силиконового полимера. Размер в масштабе нанометров этих минеральных узлов является очень малым, обычно в диапазоне 1-20 нанометров. Эти узлы могут также иметь форму агрегатов или скоплений (кластеров). Металлоорганическое соединение композиции типа золь/гель данного изобретения может быть выбрано из группы, образованной: (i) оксидами переходных металлов из групп lb-7b, из группы 8 или из ряда лантанидов в Периодической таблице; (ii) оксидами алюминия, бора, кремния, олова, титана, церия или вольфрама и (iii) фосфатами алюминия. Предпочтительно металлоорганическое соединение выбрано из группы, образованной: (1) алкилсиланами, алкилтитанатами или алкилцирконатами, соответствующими одной из следующих формул: ![]() ![]() ![]() ![]() где М обозначает Si, Ti или Zr; n обозначает валентность металла; R1 обозначает линейный или разветвленный C1-С30-, предпочтительно C1-С6-алкильный радикал; R и R’ независимо друг от друга обозначают линейный или разветвленный алкильный радикал, циклоалкильный радикал, замещенный или незамещенный арильный радикал, причем радикалы R и R’ необязательно замещены группами, которые способны реагировать с органическим или силиконовым полимером, такими как, например, ненасыщенные группы этиленового ряда ((мет)акриловая, винильная, . . . ), галогенированные группы, гидроксилированные группы, карбоксилированные группы, тиоловые группы, эпоксигруппы, сложноэфирные группы, уретаногруппы, группы мочевины, аминогруппы, аминокислотные группы, полипептидные группы и т.д., причем радикалы R и R’ необязательно содержат также косметически или дерматологически активную группу, выбранную, например, из группы красителя, фотохромной группы, фильтрующей УФА- и/или УФВ-излучение группы, группы, усиливающей адгезию с кератиновыми материалами (амидных групп, уретаногрупп, групп мочевины, гидроксильных групп, карбоксильных групп, аминокислотных групп или полипептидных групп), группы, облегчающей удаление макияжа, бактерицидной группы, хелатной группы, в частности группы, которая может образовывать комплекс с многовалентными катионами, гидроксикислоты, нейродепрессанта, группы, предотвращающей выпадение волос, антиоксидантной группы, группы, поглощающей свободные радикалы, или несущей витамин группы; и (2) хелатированными алкилсиланами, алкилтитанатами или алкилцирконатами, соответствующими следующей формуле: ![]() где М, R1 и n имеют те же значения, которые приведены выше для формулы (I); b обозначает степень комлексообразования лиганда X; х обозначает число комплексообразующих лигандов; Х обозначает моно- или полидентатный хелатный лиганд или группу, которая может быть ковалентно связана с группой, которая может реагировать с органическим или силиконовым полимером, такой как, например, ненасыщенные группы этиленового ряда ((мет)акриловая, винильная), галогенированные группы, гидроксилированные группы, карбоксилированные группы, тиоловые группы, эпоксигруппы, сложноэфирные группы, аминогруппы, группы мочевины, уретаногруппы, ацетоацетатная (АСАС) группа или группа, образованная из ЭДТА, и ее производные, причем вышеупомянутая хелатная группа необязательно содержит также косметически или дерматологически активную группу, такую как определенные выше. Из соединений формулы (II) могут быть, в частности, упомянуты соединения формул (IIIa)-(IIId), приведенных ниже: ![]() ![]() ![]() ![]() где М, X, R, R’, R1, n и х имеют значения, приведенные выше для формул (I) и (II). Хелатные группы Х могут быть выбраны из карбоновых кислот, -кетонов, -дикетонов, сложных -кетоэфиров, -кетаминов, – и -гидроксикислот, аминокислот, предпочтительно -гидроксилированных аминокислот, салициловой кислоты и ее производных. В частности, могут быть названы следующие: ацетоацетоксиэтилметакрилат, метил– -гидроксиметакрилат, – -N-метакрилоил-L-лизин, 4- или 5-метакриламиносалициловая кислота.
Особенно предпочтительными металлоорганическими соединениями данного изобретения, которые могут быть названы, являются тетраэтоксисилан, тетраизопропилортотитанат, тетрапропилцирконат, метилтриэтоксисилан, тетраэтоксид титана, тетрабутоксид титана, триэтоксид железа и триэтоксид вольфрама.
Функционализованным органическим или силиконовым полимером композиции типа золь/гель данного изобретения может быть статистический полимер, блоксополимер и/или графт-полимер и предпочтительно он выбран из группы, состоящей из:(a) гомополимеров и сополимеров алкилоксазолина, таких как поли(2-этил-2-оксазолин); (b) гомополимеров и сополимеров, образующихся сополимеризацией (мет)акриловой кислоты, кротоновой кислоты, малеиновой кислоты, итаконовой кислоты, стиролсульфокислоты, акриламидо-2-метилпропансульфоновой кислоты, 2-сульфоэтилметакрилата, винилсульфоновой кислоты и винилфосфоновой кислоты; (c) гомополимеров акрилового или метакрилового эфиров или амидов и их сополимеров с мономерами, выбранными из ненасыщенных карбоновых, сульфоновых или фосфоновых кислот, виниловых сложных или простых эфиров, олефинов, стирола, замещенных стиролов, таких как гидроксистирол, фтор- или перфторолефинов, перфторалкил(мет)акрилатов, фторированных виниловых соединений, таких как фторированные виниловые простые эфиры, и ненасыщенных органосиланов, органосилоксанов или органополисилоксанов; (d) гомополимеров и сополимеров винилового спирта; (е) гомополимеров винилового, и/или аллилового, и/или металлилового сложных эфиров или амидов и их сополимеров с мономерами, выбранными из ненасыщенных карбоновых, сульфоновых или фосфоновых кислот, виниловых сложных или простых эфиров, олефинов, стирола, замещенных стиролов, таких как гидроксистирол, фтор- или перфторолефинов, перфторалкил(мет)акрилатов, фторированных виниловых соединений, таких как фторированные виниловые простые эфиры, и ненасыщенных органосиланов, органосилоксанов и органополисилоксанов; (f) простых полиэфиров, таких как гомополимеры и сополимеры метиленоксида, этиленоксида, пропиленоксида или тетраметиленоксида; (g) ароматических и/или алифатических сложных полиэфиров и полиэфиров, полученных раскрытием колец, таких как поли(капролактон), полилактид, полигликолид, и их сополимеров; (h) гомо- и сополиолефинов и гомо- и сополициклоолефинов, таких как полиэтилены, сополимеры этилена и винилацетата, этилена и -олефина, этилена и циклоолефина, этилена и (мет)акрилового эфира, и гомо- и сополимеров полипропилена, полибутена, полиизобутена и полинорборнена;(i) полиамидов, полиэфирамидов и поли(простой эфир)амидов; (j) полиуретанов и полимочевин, которые могут содержать последовательности простого полиэфира, сложного полиэфира и/или полиорганосилоксана, которые могут нести фторированные группы; (k) фторированных полимеров, таких как продукты, продаваемые Ausimont под товарным названием “Fomblin ” (перфторполиэфир);(1) природных полимеров и модифицированных природных полимеров, таких как производные простого эфира и/или сложного эфира целлюлозы или крахмала, полисахариды, гликозаминогликаны и олигосахариды, природные камеди, такие как гидроксиалкилированные гуаровые (хьюаровые) камеди, например гидроксипропилированные гуаровые камеди, гидроксипропилированные гуаровые камеди с карбоксильными группами или кватернизованные, камедь рожкового дерева, ксантановая камедь, каррагенаны, пектины, альгинаты, полипептиды или протеины, такие как коллаген, эластин, желатин или кератин; (m) полиорганосилоксанов, таких как полидиметилсилоксаны, полиметилфенилсилоксаны, полифенилсилоксаны, полиорганосилоксаны, замещенные латерально или на конце цепи аминокислотными группами, цепями полиоксиэтилена, амино или полиаминогруппами, гидроксильными группами, группами карбоновых кислот, алкильными цепями, винильными или акриловыми прививками или блоками и фторированными или перфторированными прививками или блоками; (n) полиорганофосфазинов; (о) полисиланов, поликарбосиланов или полисилазанов и (р) их смесей. В одном конкретном варианте углеводородные гомо- и сополимеры, такие как перечисленные выше, могут быть сополимеризованы с цепями полисилоксана в виде блоков или прививок. Органические или силиконовые полимеры могут также содержать косметически или дерматологически активную группу, такую как перечисленные выше. Если среди органических или силиконовых полимеров, перечисленных выше, некоторые являются нефункционализованными, они могут быть функционализованы либо реакцией в композиции, такой как, например, полиорганосилоксаны, либо предварительной реакцией с использованием общепринятых способов перед образованием композиции. Могут быть названы следующие особенно предпочтительные органические или силиконовые полимеры данного изобретения: поли(2-этил-2-оксазолин), сополимер винилацетата, винил-4-трет-бутилбензоата/кротоновой кислоты (65/25/10%), полидиметилсилоксандиолы, полиэтиленгликоли, поливиниловый спирт или поливинилпирролидон. Количество воды, присутствующей в композиции данного изобретения, должно быть, как указано выше, таким, чтобы мог происходить гидролиз металлоорганического соединения. Ее рН, который может быть кислым или щелочным (1-12), будет зависеть от природы металлоорганического соединения, присутствующего в этой композиции. Так, при использовании в качестве металлоорганического соединения алкилтитаната или алкилцирконата рН воды является кислым, предпочтительно 3 или менее. Спирт, если он присутствует, предпочтительно выбран из линейных или разветвленных низших C1-С6-алифатических спиртов, таких как этанол или изопропанол. В соответствии с данным изобретением весовое отношение металлоорганического соединения к органическому или силиконовому полимеру находится обычно в диапазоне от приблизительно 9:1 до 1:9, предпочтительно в диапазоне 8:2-2:8. Эти отношения являются относительно широкими, так как в некоторых косметических или дерматологических приложениях минеральная фаза гибридного материала должна быть преобладающей относительно органической фазы или наоборот. Так, если композиция предназначена для применения для ухода за волосами с целью фиксации и/или окрашивания волос, минеральная фаза гибридного материала находится в диапазоне 10-99%, предпочтительно в диапазоне 20-75%. В средствах макияжа, таких как тушь для ресниц, минеральная фаза обычно находится в диапазоне 10-99%, предпочтительно в диапазоне 30-90%. В бесцветных или окрашенных лаках для ногтей минеральная фаза гибридного материала находится обычно в диапазоне 50-99%, предпочтительно в диапазоне 60-90%. Наконец, если композиция предназначена для нанесения на кожу в качестве обработки против морщин, минеральная фаза обычно находится в диапазоне 5-99%, предпочтительно в диапазоне 10-70%. При содержании в композиции данного изобретения предшественника органического или силиконового полимера он представляет собой по существу один или несколько мономеров, которые могут приводить к функционализованному органическому или силиконовому полимеру посредством полимеризации ненасыщенных двойных связей или поликонденсации во время нанесения композиции. Полимеризация может быть инициирована общепринятым способом путем нагревания в присутствии общепринятых инициаторов свободно-радикальной полимеризации, путем облучения УФ-излучением, ионно (катионно или анионно) пучками электронов или любым известным способом полимеризации. Хотя этот конкретный вариант может быть проведен в соответствии с данным изобретением, в силу практических причин предпочтительно применение функционализованного органического или силиконового полимера, который уже был образован. В одном конкретном варианте данного изобретения композиция может содержать активные косметические или дерматологические ингредиенты, которые во время образования гибридного материала будут включены в матрикс этого материла. Примерами этих различных активных ингредиентов, которые могут быть упомянуты, являются красители, окрашенные или бесцветные органические или минеральные пигменты, солнцезащитные фильтры УФА и/или УФВ, ферменты, средства для похудения, увлажнители, витамины, -гидроксикислоты и т.д.
Кроме того, композиции данного изобретения могут также содержать множество обычных косметических и дерматологических добавок, всегда при условии, что эти добавки не могут мешать действию других компонентов композиции.
Композиция данного изобретения, описанная выше, может быть использована в качестве средства для ухода за волосами, в частности для фиксации или укладки. Она может также окрашивать волосы и/или защищать их от действия УФ-радиации с одновременным обеспечением удерживающих или фиксирующих волосы свойств.
Как описано выше, сшитый поперечными связями гибридный материал во время его образования может включать в себя множество активных ингредиентов, таких как органические или минеральные пигменты и/или УФ-фильтры.
Композиция для ухода за волосами предпочтительно находится в форме лосьона для укладки или сушки феном или в форме геля. Если композиция находится в форме лосьона, она может быть упакована во флакон для аэрозольной упаковки, в нагнетающий сосуд или в аэрозольный контейнер в присутствии обычного газа-пропеллента для получения спрея или мусса.
Композиция данного изобретения может быть также использована в качестве средства для ухода за кожей, средства для защиты или обработки кожи, в частности в качестве долговременного средства защиты от солнечных лучей, так как покрытие из сшитого гибридного материала имеет хорошую водостойкость и стойкость в отношении морской воды. В этом варианте, сшитый гибридный материал содержит включенные в него один или несколько УФ-фильтров.
Композиция данного изобретения может быть также использована в качестве средства макияжа век, такого как тушь для ресниц или подводка для век, или в качестве средства для ухода за ногтями, такого как окрашенный лак для маникюра ногтей, или бесцветная основа для ногтей, или средство для ухода за ногтями.
Если композиция находится в форме средства макияжа для век или окрашенного лака для ногтей, в сшитый гибридный материал могут быть также включены органические и/или минеральные пигменты.
Предметом данного изобретения является также применение композиции изобретения в способе обработки волос для их фиксации и/или окрашивания.
В одном варианте этого способа композицию изобретения наносят на волосы, предпочтительно в форме спрея, с использованием либо нагнетающего сосуда, либо аэрозоля. После распыления на волосы композиции дают действовать, в то время как растворитель или растворители испаряются с возможным последующим высушиванием.
Волосы могут быть уложены по желанию либо перед нанесением, либо сразу после нанесения.
Время сушки может варьироваться и зависит от характера композиции, нанесенной на волосы.
Если используют средства деформации, их удаляют. После расчесывания волосы являются блестящими и завитыми. Даже после нескольких процедур мытья с использованием воды и шампуня сохраняется первоначальная завивка волос. Это свидетельствует о необратимом характере адгезии этого гибридного материала с поверхностью волос.
Если композиция содержит по меньшей мере один пигмент и/или краситель для волос, он может быть включен в гибридный материал во время реакции золь/гель на волосах, так что цвет, который получают волосы, не изменяется последовательными процедурами мытья водой или с использованием шампуня.
Другим предметом данного изобретения является применение описанной выше композиции в способе макияжа ресниц.
В этом способе достаточное количество композиции наносят при помощи щеточки для туши путем осторожного разглаживания на ресницы. После времени высыхания, которое варьируется в зависимости от композиции, ресницы имеют блестящий вид, причем этот макияж имеет хорошую водостойкость и устойчивость к влаге окружающей среды.
Другим предметом данного изобретения является применение описанной выше композиции в способе макияжа ногтей или способе ухода за ногтями.
В этом способе тонкий слой композиции данного изобретения наносят на поверхность ногтей, причем эта композиция является окрашенной или бесцветной. Ногтям дают высыхать в течение времени, которое меняется в зависимости от характера композиции, и видно, что покрывающая пленка, образованная на ногтях, имеет превосходный блеск и хорошую твердость поверхности. Далее, эта пленка выдерживает промывания водой, детергентами и обычными органическими растворителями, используемыми в косметических средствах. В случаях, когда композиция лака данного изобретения содержит по меньшей мере один краситель и/или пигмент, он может быть включен в гибридный покрывающий материал таким образом, что не наблюдается изменение цвета во времени, даже если красящее вещество является растворимым в воде или в обычных органических растворителях.
Наконец, предметом данного изобретения является применение описанной выше композиции в способе лечения кожи или ухода за кожей и, в частности, в способе обработки для предотвращения появления морщин.
В этом способе композицию изобретения осторожно наносят на участки кожи, где желательно уменьшение морщин, в частности вокруг глаз. Композиция может быть нанесена тонким слоем с использованием любого подходящего средства и после испарения растворителя (растворителей) приводит к образованию невидимой прозрачной пленки, проявляющей подтягивающее действие, которое визуально расправляет морщины.
Ряд примеров композиций данного изобретения и их вариантов приводится теперь в качестве иллюстрации.
Пример 1. Лак для ногтейЛак для ногтей в соответствии с данным изобретением готовили смешиванием следующих ингредиентов: Тетраэтоксисилан – 53,4% Поли(2-этил-2-оксазолин) в виде 50% ракствора в этаноле – 19,0% Абсолютный этанол – 11,8% Вода (рН 1) – 9,2% Оксид железа/пропиленгликоль (50/50) – 4,6% Оксид титана/пропиленгликоль (50/50) – 2,0% Этот лак для ногтей получали смешиванием тетраэтоксисилана в абсолютном спирте и добавлением воды, доведенной до рН 1 (добавлением хлористоводородной кислоты). После перемешивания для продолжения реакции в течение 30 минут добавляли поли(2-этил-2-оксазолин) в виде 50% раствора в этаноле и перемешивание продолжали в течение 15 минут. Наконец, добавляли оксид железа в пропиленгликоле и перемешивание продолжали в течение 30 минут и, наконец, добавляли оксид титана в пропиленгликоле, продолжая перемешивание в течение приблизительно 30 минут. Таким образом был получен лак, который легко наносился на поверхность ногтей и после высушивания приводил к образованию гомогенной блестящей пленки с превосходной стойкостью в отношении воды, детергентов и спирта. Он обладал также превосходной стойкостью к образованию царапин. Пример 2. Лак для ногтей Лак для ногтей в соответствии с данным изобретением готовили смешиванием следующих ингредиентов: Тетраизопропилортотитанат – 33,9% Полидиметилсилоксандиол – 41,4% Абсолютный этанол – 18,3% Вода (рН 1) – 0,4% Оксид железа/пропиленгликоль (50/50) – 4,0% Оксид титана/пропиленгликоль (50/50) – 2% Этот лак для ногтей получали согласно той же самой рабочей процедуре, которая описана выше в примере 1, и при нанесении на поверхность ногтей он приводил к образованию блестящей гомогенной пленки с превосходной стойкостью в отношении воды, детергентов и спирта. Пример 3. Окрашенная фиксирующая композиция для волос Эту композицию готовили следующим образом. 10,4 г диэтоксидиметоксисилана разжижали в 4,6 г этанола и затем добавляли 0,6 г воды при рН 1 (рН устанавливали добавлением хлористоводородной кислоты). После перемешивания (около 1 минуты) добавляли 14 г тетрапропилцирконата в виде 70% раствора в пропаноле, затем 5,2 г полидиметилсилоксандиола (средняя молекулярная масса = 550). После перемешивания в течение 30 минут добавляли 0,15 г Родамина 101, разбавленного в 1 г этанола. Затем сухой экстракт этого раствора доводили до 25% добавлением летучего силиконового масла (D5 из Dow Corning). Затем добавляли 2,5 г – -гидрокси/оксосиликона (вязкость 6500 сСт) из Dow Corning.
Затем конечный полученный раствор упаковывали в подходящий контейнер для нанесения распылением на волосы.
После нанесения распылением и сушки волос наблюдали, что волосы производили естественное ощущение и были однородно окрашенными и блестящими.
Даже после нескольких процедур мытья или применений шампуня сохранялась первоначальная окраска волос.
Пример 4. Тушь для ресницКомпозицию в форме туши для волос готовили с использованием следующих ингредиентов: Тетраэтоксисилан – 28,9% Метилтриэтоксисилан – 28,9% Поли(2-этил-2-оксазолин) в виде 50% раствора в этаноле – 9,4% Абсолютный этанол – 13,9% Вода (рН 1) – 9,45% Оксид железа/пропиленгликоль (50/50) – 9,45% Эту тушь для ресниц получали смешиванием тетраэтоксисилана, метилтриэтоксисилана и абсолютного этанола, к которым затем добавляли воду, доведенную до рН 1 (добавлением хлористоводородной кислоты). Смеси давали реагировать в течение 30 минут при перемешивании и затем добавляли поли(2-этил-2-оксазолин) в виде 50% раствора в этаноле и перемешивание продолжали в течение приблизительно 15 минут. Затем добавляли оксид железа в пропиленгликоле и перемешивание продолжали в течение 30 минут. Эта тушь при нанесении на ресницы при помощи щеточки образовывала гомогенную, блестящую и водостойкую пленку после испарения летучих компонентов. Пример 5. Композиция против морщин Эту композицию против морщин получали из следующих ингредиентов: Тетраизопропилортотитанат – 20,2% Полидиметилсилоксандиол – 27,7% Диэтоксидиметилсилан – 47,2% Абсолютный этанол – 8,0% Вода (рН 1) – 0,9% Эту композицию против морщин получали растворением диэтоксидиметилсилана в 80% этаноле и затем добавлением воды, доведенной до рН 1 (добавлением хлористоводородной кислоты), и перемешиванием в течение приблизительно 1 минуты. Затем добавляли при перемешивании тетраизопропилортотитанат и, наконец, добавляли полидиметилсилоксандиол при перемешивании в течение приблизительно 30 минут. Таким образом получали жидкую композицию, которая при нанесении в форме тонкого слоя на морщинки, окружающие глаза, после испарения летучих компонентов приводила к образованию прозрачной и невидимой пленки, которая оказывала подтягивающее действие (подтягивающий эффект), уменьшая, таким образом, восприятие морщин, окружающих глаза. Пример 6. Фиксирующая композиция для волос Эту композицию готовили следующим образом. 10,4 г тетраэтоксисилана разбавляли в 2,3 г этанола и 2 г деионизованной воды и затем добавляли 2,5 мл 1 н. НС1. После перемешивания и гомогенизации добавляли 3,85 г 30% спиртового раствора сополимера винилацетата/винил-4-трет-бутилбензоата/ кротоновой кислоты (65/25/10% по весу) с вершиной пика ГПХ с молекулярной массой 110000 (описано в FR A 2439798) и нейтрализовали 2-амино-2-метилпропанолом. 20 г этанола добавляли для конечного разбавления и эту смесь перемешивали. Затем конечный раствор упаковывали в нагнетающий контейнер и распыляли на предварительно уложенные волосы. После сушки волосы были блестящими, легко расчесывающимися и имели хорошую завитость. Даже после нескольких промываний с использованием шампуня, содержащего 15% натриевую соль сульфата лаурилового простого эфира и 3% кокоилбетаин, и ополаскивания водой волосы сохраняли их первоначальную форму и оставались блестящими. Формула изобретения
![]() ![]() ![]() ![]() где M обозначает Si, Ti или Zr; n обозначает валентность металла; R1 обозначает линейный или разветвленный C1-С30, предпочтительно C1-С6, алкильный радикал; R и R’, независимо друг от друга, обозначают линейный или разветвленный алкильный радикал, циклоалкильный радикал, замещенный или незамещенный арильный радикал, причем радикалы R и R’ необязательно замещены группами, которые способны реагировать с органическим или силиконовым полимером и которые могут также содержать косметически активную группу, и (2) хелатированных алкилсиланов, алкилтитанатов или алкилцирконатов, соответствующих следующей формуле: ![]() где M, R1 и n имеют те же значения, которые приведены выше для формулы (I); b обозначает степень комплексообразования лиганда X; х обозначает число комплексообразующих лигандов; Х обозначает моно- или полидентатный хелатный лиганд или группу, которая может быть ковалентно связана с группой, которая может реагировать с органическим или силиконовым полимером, выбранным из группы, состоящей из ненасыщенных групп этиленового ряда ((мет)акриловая, винильная), галогенированных групп, гидроксилированных групп, карбоксилированных групп, тиоловых групп, эпоксигрупп, сложноэфирных групп, аминогрупп, групп мочевины, уретаногрупп, ацетоацетатной (АСАС) группы или группы, образованной из ЭДТА, и ее производных, причем вышеупомянутая хелатная группа необязательно содержит также косметически активную группу. 4. Композиция по п. 3, отличающаяся тем, что хелатированные алкилсиланы, алкилтитанаты или алкилцирконаты соответствуют одной из следующих формул: ![]() ![]() ![]() ![]() где M, X, R, R’, R1, n и х имеют значения, приведенные выше для формул (I) и (II) в п. 3. 5. Композиция по п. 3 или 4, отличающаяся тем, что радикалы R и R’ замещены группой, выбранной из ненасыщенных групп этиленового ряда, галогенированных групп, гидроксилированных групп, карбоксилированных групп, тиоловых групп, эпоксигрупп, сложноэфирных групп, аминогрупп, аминокислотных групп и полипептидных групп. 6. Композиция по любому из пп. 3-5, отличающаяся тем, что хелатная группа ковалентно связана с группой, которая может реагировать с органическим или силиконовым полимером, выбранной из ненасыщенных групп этиленового ряда, галогенированных групп, гидроксилированных групп, карбоксилированных групп, тиоловых групп, эпоксигрупп, сложноэфирных групп, аминогрупп, уретаногрупп и групп мочевины. 7. Композиция по любому из пп. 3-6, отличающаяся тем, что хелатная группа Х выбрана из карбоновых кислот, -кетонов, -дикетонов, сложных -кетоэфиров, -кетаминов, – и -гидроксикислот, аминокислот, которые могут быть -гидроксилированными, салициловой кислоты и ее производных.
8. Композиция по любому из пп. 1-7, отличающаяся тем, что металлоорганическое соединение выбрано из группы, состоящей из тетраэтоксисилана, тетраизопропилортотитаната, тетрапропилцирконата, метилтриэтоксисилана, тетраэтоксида титана, тетрабутоксида титана, триэтоксида железа и триэтоксида вольфрама.
9. Композиция по п. 1, отличающаяся тем, что функционализованный органический или силиконовый полимер представляет собой статистический полимер, блок-сополимер и/или графт-полимер и выбран из группы, состоящей из: (a) гомополимеров и сополимеров алкилоксазолина; (b) гомополимеров и сополимеров мономеров, выбранных из (мет)акриловой кислоты, кротоновой кислоты, малеиновой кислоты, итаконовой кислоты, стиролсульфокислоты, акриламидо-2-метилпропансульфоновой кислоты, 2-сульфоэтилметакрилата, винилсульфоновой кислоты и винилфосфоновой кислоты; (c) гомополимеров акрилового или метакрилового эфиров или амидов и их сополимеров с мономерами, выбранными из ненасыщенных карбоновых, сульфоновых или фосфоновых кислот, виниловых сложных или простых эфиров, олефинов, стирола, замещенных стиролов, фтор- или перфторолефинов, перфторалкил(мет)акрилатов, фторированных виниловых соединений и ненасыщенных органосиланов, органосилоксанов или органополисилоксанов; (d) гомополимеров и сополимеров винилового спирта; (e) гомополимеров винилового, и/или аллилового, и/или металлилового сложных эфиров или амидов и их сополимеров с мономерами, выбранными из ненасыщенных карбоновых, сульфоновых или фосфоновых кислот, виниловых сложных или простых эфиров, олефинов, стирола, замещенных стиролов, фтор- или перфторолефинов, перфторалкил(мет)акрилатов, фторированных виниловых соединений и ненасыщенных органосиланов, органосилоксанов или органополисилоксанов; (f) простых полиэфиров; (g) сложных полиэфиров; (h) гомо- и сополиолефинов или циклоолефинов; (i) полиамидов и полиэфирамидов; (j) полиуретанов и полимочевин, которые могут содержать последовательности простого полиэфира, сложного полиэфира и/или полиорганосилоксана; (k) фторированных полимеров; (l) природных полимеров и модифицированных природных полимеров; (m) полиорганосилоксанов; (n) полиорганофосфазинов; (о) полисиланов, поликарбосиланов или полисилазанов и (р) их смесей.
10. Композиция по п. 9, отличающаяся тем, что органический или силиконовый полимер выбран из группы, состоящей из поли (2-этил-2-оксазолина), сополимера винилацетата/винил-4-трет-бутилбензоата/кротоновой кислоты (65/25/10%), полидиметилсилоксандиолов, полиэтиленгликоля, поливинилового спирта или поливинилпирролидона.
11. Композиция по п. 1, отличающаяся тем, что рН воды предпочтительно находится в диапазоне 1-12.
12. Композиция по п. 11, отличающаяся тем, что в том случае, когда металлоорганическое соединение представляет собой алкилтитанат или алкилцирконат, рН воды равен 3 или менее 3.
13. Композиция по п. 1, отличающаяся тем, что спирт является линейным или разветвленным низшим C1-С6-алифатическим спиртом.
14. Композиция по любому из пп. 1-10, отличающаяся тем, что весовое отношение металлоорганического соединения к органическому или силиконовому полимеру находится обычно в диапазоне от приблизительно 9: 1 до 1: 9, предпочтительно в диапазоне 8: 2-2: 8.
15. Композиция по любому из предыдущих пунктов, отличающаяся тем, что она дополнительно содержит, по меньшей мере, один косметически активный ингредиент, выбранный из группы, состоящей из красителей, окрашенных или бесцветных органических или минеральных пигментов и увлажнителей.
16. Композиция по любому из предыдущих пунктов, отличающаяся тем, что она дополнительно содержит, по меньшей мере, одну обычную косметическую добавку.
17. Способ для фиксации и/или окрашивания волос, отличающийся тем, что он состоит в нанесении путем распыления на волосы композиции по любому из пп. 1-16 и оставлении указанной композиции до высыхания посредством испарения растворителя.
18. Способ по п. 17, отличающийся тем, что после испарения растворителя волосы сушат.
19. Способ макияжа ресниц, отличающийся тем, что он состоит в нанесении на ресницы посредством щеточки для туши для ресниц достаточного количества композиции по любому из пп. 1-16 и оставлении указанной композиции до высыхания посредством испарения растворителя.
20. Способ макияжа ногтей, отличающийся тем, что он состоит в нанесении на поверхность ногтей посредством кисти слоя композиции по любому из пп. 1-16 и оставлении указанной композиции до высыхания посредством испарения растворителя.
21. Способ обработки морщин или ухода за кожей в отношении морщин, отличающийся тем, что он состоит в нанесении на участки кожи, которые должны быть обработаны, тонкого слоя композиции по любому из пп. 1-16 и оставлении указанной композиции до высыхания посредством испарения растворителя.
MM4A Досрочное прекращение действия патента Российской Федерации на изобретение из-за неуплаты в установленный срок пошлины за поддержание патента в силе
Дата прекращения действия патента: 04.04.2003
Извещение опубликовано: 20.11.2004 БИ: 32/2004
|
||||||||||||||||||||||||||










-кетонов,
– и
–
-N-метакрилоил-L-лизин, 4- или 5-метакриламиносалициловая кислота.
Особенно предпочтительными металлоорганическими соединениями данного изобретения, которые могут быть названы, являются тетраэтоксисилан, тетраизопропилортотитанат, тетрапропилцирконат, метилтриэтоксисилан, тетраэтоксид титана, тетрабутоксид титана, триэтоксид железа и триэтоксид вольфрама.
Функционализованным органическим или силиконовым полимером композиции типа золь/гель данного изобретения может быть статистический полимер, блоксополимер и/или графт-полимер и предпочтительно он выбран из группы, состоящей из:
” (перфторполиэфир);
-гидрокси/оксосиликона (вязкость 6500 сСт) из Dow Corning.
Затем конечный полученный раствор упаковывали в подходящий контейнер для нанесения распылением на волосы.
После нанесения распылением и сушки волос наблюдали, что волосы производили естественное ощущение и были однородно окрашенными и блестящими.
Даже после нескольких процедур мытья или применений шампуня сохранялась первоначальная окраска волос.
Пример 4. Тушь для ресниц







