Патент на изобретение №2179786
|
||||||||||||||||||||||||||
(54) УСТРОЙСТВО ПРИЕМА ЧАСТОТНО-МОДУЛИРОВАННЫХ СИГНАЛОВ
(57) Реферат: Изобретение относится к радиотехнике. Устройство повышает помехоустойчивость приема частотно-модулированных сигналов при малых отношениях сигнал/шум на входе. Устройство содержит последовательно соединенные входное устройство, усилитель промежуточной частоты, амплитудный ограничитель, частотный дискриминатор, перемножитель и фильтр нижних частот. Между выходом усилителя промежуточной частоты или вторым входом перемножителя включены последовательно соединенные квадратичный амплитудный детектор и второй фильтр нижних частот. 6 ил. Изобретение относится к радиотехнике и может быть использовано для приема сигналов с частотной модуляцией (ЧМ) в служебной УКВ радиосвязи при малых значениях индекса частотной модуляции 1.Известные устройства приема ЧМ сигналов широко используются в служебной УКВ радиосвязи, УКВ – вещании, телевидении, радиорелейной и космической радиосвязи. Принцип действия известных устройств приема ЧМ сигналов изложен в ряде работ. Например, в книгах Л. Я. Кантор, В. М. Дорофеев, Помехоустойчивость приема ЧМ сигналов, “Связь”, 1977 г; А. С. Виницкий, Модулированные фильтры и следящий прием ЧМ, “Сов. радио”, 1969 г. ; В. И. Тихонов, Оптимальный прием сигналов, “Радио и связь”, 1983 г. ; а также в авторских свидетельствах и патентах: “Устройство приема частотно-модулированных сигналов” (авторское свидетельство СССР 1003368, МПК Н 04 В 15/00 от 07.03.1983 г. Авторы В. В. Базыкин, B. C. Билик); “Приемник частотно-модулированных сигналов” (авторское свидетельство СССР 512582, МПК Н 04 В 1/10 от 30.10.1980 г. Автор Д. Е. Матвеев); “Устройство приема частотно-модулированных сигналов” (авторское свидетельство СССР 571004, МПК Н 04 В 1/10 от 30.08.1977 г. Авторы А. С. Немировский, И. Л. Палернов, В. В. Плеханов, В. Е. Розенфельд); “Устройство для подавления пороговых шумов” (авторское свидетельство СССР 270006, МПК Н 04 В 1/10 от 08.05.1970. Авторы Ю. А. Афанасьев, В. М. Дорофеев); “Приемник с частотной модуляцией” (патент 1496567, МПК Н 04 В 17/00 от 30.12.77 г. Автор Hiroshi Furuno); Demodulator d’ondes modulees en frequence, Battall G, Brossard P. (патент Франции 1328367, Н03, 1963 г. ). Известные приемники являются аналогами предлагаемого устройства приема ЧМ сигналов по совокупности существенных признаков и достигаемому техническому результату. Приведем описание двух из предложенных и рассмотренных аналогов. Устройство для подавления пороговых шумов (авторское свидетельство СССР 270006, МПК Н 04 В 15/00 Н 04 В 1/10 от 08.05. 1970. Авторы Ю. А. Афанасьев, В. М. Дорофеев), содержащее частотный детектор, вход которого параллельно соединен с амплитудным детектором и подключенным к его выходу парофазным усилителем-ограничителем, отличающейся тем, что, с целью увеличения помехоустойчивости к выходу частотного детектора подключен диодный мост, диагональ с односторонней проводимостью которого соединена с выходом парофазного усилителя -ограничителя, а выход диодного моста подключен к входу запоминающего устройства. В данном устройстве положительный эффект достигается за счет того, что на время действия пороговых импульсов шума диодный мост отключает выход приемника и шумы не проходят. Обнаружение пороговых импульсов шума производится по провалам огибающей суммы сигнала и шума. Устройство приема частотно-модулированных сигналов (авторское свидетельство СССР 571004, МПК Н 04 В 1/10 от 30.08.77. Авторы А. С. Немировский, И. Л. Папернов, В. В. Плеханов, В. Е. Розенфельд), содержащее последовательно соединенные усилитель промежуточной частоты, перестраиваемый фильтр, управляющий вход которого соединен с выходом сглаживающего фильтра, и частотный детектор, отличающийся тем, что, с целью подавления паразитной амплитудной модуляции, между выходом усилителя промежуточной частоты и входом сглаживающего фильтра включены последовательно соединенные амплитудный детектор и перемножитель, другой вход которого соединен с выходом частотного детектора (фиг. 1). Подавление паразитной амплитудной модуляции полезным сообщением достигается за счет того, что амплитудный детектор 5 выделяет сигнал сообщения с уровнем, равным глубине паразитной амплитудной модуляции входного сигнала. После перемножения с сигналом сообщения, поступающим с выхода частотного детектора 4, на выходе сглаживающего фильтра 3, выделяется сигнал, пропорциональный коэффициенту паразитной амплитудной модуляции. Под действием этого сигнала амплитудно-частотная характеристика перестраиваемого фильтра 2 меняется так, чтобы паразитная амплитудная модуляция, образующаяся при прохождении входного сигнала через фильтр 2, была равной по глубине и противоположной по знаку паразитной амплитудной модуляции, уже имеющейся во входном сигнале. В результате осуществляется подавление паразитной амплитудной модуляции. В данном устройстве выигрыш в помехоустойчивости достигается за счет использования перестраиваемого фильтра с полосой пропускания меньшей, чем полоса пропускания усилителя промежуточной частоты 1. Как показано в [1] , перестраиваемый следящий фильтр дает выигрыш в пороговом отношении сигнал/шум, равный значению индекса частотной модуляции . В служебных системах УКВ радиосвязи с ЧМ индекс частотной модуляции выбирается близким к единице 1, поэтому данное устройство не обеспечивает существенного выигрыша в помехоустойчивости при малых индексах частотной модуляции.
Наиболее близким аналогом по совокупности существенных признаков, достигаемому техническому результату и процессам, происходящим при демодуляции ЧМ сигнала, является техническое решение (прототип), описанное в [2] . Структурная схема данного приемника ЧМ сигналов приведена на фиг. 2 и состоит из входного устройства, включающего в себя усилитель высокой частоты, смеситель и гетеродин; усилителя промежуточной частоты УПЧ 2; стандартного частотного детектора 3, включающего ограничитель амплитуды 4 и частотный дискриминатор 5; фильтра нижних частот 6. Устройство работает следующим образом. На выходе усилителя промежуточной частоты аддитивная смесь ЧМ сигнала и шума может быть записана в видеu1(t) = Acos[ 0t+ c(t)]+E(t)cos[ 0t+ (t)], (1)где первое слагаемое является полезным ЧМ сигналом, а второе – узкополосным шумом; d c(t)/dt- изменение частоты сигнала при частотной модуляции информационным сообщением; E(t) и (t) – огибающая и фаза узкополосного шума.
Результирующее колебание суммы ЧМ сигнала и узкополосного шума можно представить в видеu1(t) = V(t)cos[ 0t+ (t)],где огибающая результирующего колебания; – фаза результирующего колебания.
На выходе ограничителя амплитуды будет колебание с постоянной амплитудойu2(t) = Uогрcos[ 0t+ (t)].Напряжение на выходе частотного дискриминатора будет пропорционально производной от изменения фазы результирующего колебания (t)![]() где КЧД – коэффициент, учитывающий крутизну характеристики частотного дискриминатора. Далее для упрощения записи будем считать КЧД= 1. В результате вычисления производной фазы (t) для напряжения на выходе частотного дискриминатора получим![]() В данном выражении приняты следующие обозначения: изменение частоты ЧМ сигнала;Ec= E(t)cos (t)- косинусоидальная составляющая узкополосного шума;Es= E(t)sin (t)- синусоидальная составляющая узкополосного шума; производные от квадратурных (косинусоидальной и синусоидальной) составляющих узкополосного шума.
Первое слагаемое в (2) является информационным, а второе определяет шумы на выходе частотного дискриминатора.
С учетом усредненного действия фильтра нижних частот 6 среднее значение напряжения на его выходе будет равно [2]![]() Здесь обозначает операцию усреднения по времени. Наличие сомножителя (1-e-qвх) свидетельствует о подавлении шумами информационного сообщения при малых отношениях сигнал/шум на входе qBX.
Среднее значение второго слагаемого в (2) будет равно нулю.
Для оценки помехоустойчивости приема ЧМ сигналов необходимо вычислить спектральную плотность шума, определяющегося вторым слагаемым в (2).
Расчет помехоустойчивости приема ЧМ сигналов для данного устройства приведен в [2] при следующих приближениях:– при расчете спектральной плотности и мощности шума на выходе частотного дискриминатора входной сигнал считается гармоническим с частотой 0, то есть не учитывается частотная модуляция сигнала информационным сообщением ![]() – при расчете спектральной плотности и мощности шума в надпороговой области принимается V2(t) Аm 2, и пренебрегают составляющими в числителе второго слагаемого (1).
С учетом этих ограничений при больших отношениях сигнал/шум на входе приемника ЧМ сигналов (надпороговая область) для напряжения на выходе частотного дискриминатора получим![]() В этом случае зависимость отношения сигнал/шум на выходе приемника ЧМ сигналов от отношения сигнал/шум на его входе BX имеет линейный характер и определяется соотношением [2] qвых= 3qвх 2( +1).Однако при отношениях сигнал/шум на входе qBX меньше 5 8 дБ происходит резкое уменьшение отношения сигнал/шум на выходе ЧМ приемника. Увеличение мощности шума на выходе частотного дискриминатора происходит в связи с провалами огибающей V(t) результирующего колебания суммы сигнала и шума, сопровождающимися выбросами частоты большой амплитуды.
Целью изобретения является увеличение помехоустойчивости приема ЧМ сигналов при малых отношениях сигнал/шум на входе.
Для этого в приемник ЧМ сигналов между выходом частотного дискриминатора и фильтром нижних частот включен перемножитель, а между выходом усилителя промежуточной частоты и вторым входом перемножителя включены последовательно соединенные квадратичный амплитудный детектор и второй фильтр нижних частот.
На фиг. 3 показана структурная схема предлагаемого устройства приема ЧМ сигналов, которое состоит из входного устройства 1; усилителя промежуточной частоты 2; стандартного частотного детектора 3, включающего амплитудный ограничитель 4 и дискриминатор 5; фильтра нижних частот 6; перемножителя 7; квадратичного амплитудного детектора 8; второго фильтра нижних часто 9.
Приемник работает следующим образом. На выходе стандартного частотного детектора выделяется напряжение, определяющееся формулой (2). Фильтр нижних частот, содержащийся в частотном дискриминаторе для отфильтровывания напряжения несущей частоты 0, должен иметь постоянную времени меньше, чем время корреляции шума, определяющегося вторым слагаемым в (2). С выхода усилителя промежуточной частоты напряжение u1(t) (1) подается на квадратичный амплитудный детектор, напряжение на выходе которого будет определяться выражениемu4(t) = KАДV2(t)+KАДV2(t)cos[2 0t+2 (t)]. (3)Полоса пропускания второго фильтра нижних частот выбирается так, чтобы подавить спектральные составляющие второго слагаемого в (3) и выделить весь спектр квадрата огибающей результирующего колебания суммы ЧМ сигнала и узкополосного шума. В соответствии с [5] полоса пропускания второго фильтра нижних частот должна выбираться из условия ![]() Таким образом, на выходе второго фильтра нижних частот напряжение будет равно U5(t)= V2(t). (4) С точки зрения помехоустойчивости приема ЧМ сигналов, оцениваемой по отношению сигнал/шум на выходе, значения КАД и коэффициента передачи второго ФНЧ в пределах полосы пропускания определяющей роли не играют и поэтому в (4) приняты равными единице. В результате перемножения напряжения u3(t) (2) и u5(t) (4) на выходе перемножителя получим ![]() Первое слагаемое в (5) является информационным сообщением, второе слагаемое в квадратных скобках определяет шумы на выходе перемножителя. Полоса пропускания фильтра нижних частот 6 выбирается равной ширине спектра информационного сообщения. Как видно из (5) с учетом усредняющего действия фильтра нижних частот 6, среднее значение напряжения на его выходе будет равно то есть в предлагаемом устройстве не происходит подавления информационного сообщения шумами при малых отношениях сигнал/шум на входе.
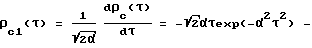
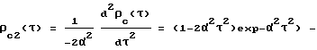
Для оценки помехоустойчивости предлагаемого устройства приема ЧМ сигналов вычислим спектральную плотность шума, определяемого вторым слагаемым в (5)![]() Вычислим сначала функцию корреляции uш(t) kш( ) = ш(t)uш(t+ )>,где угловые скобки обозначают операцию усреднения. В результате преобразований для функции корреляции шума получим ![]() Функция корреляции узкополосного шума определяется выражением [3] kуш( ) = 2 ( )cos 0 ,где 2– дисперсия узкополосного шума; ( )- коэффициент корреляции квадратурных составляющих узкополосного шума.
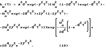
Можно показать, что для функции корреляции квадратурных составляющих и их производных справедливы соотношения [3]![]() где ![]() ( ) и ![]() ( )- первая и вторая производные коэффициента корреляции квадратурных составляющих узкополосного шума. С учетом (7) выражение (6) для функции корреляции выходного шума можно записать в виде![]() где ![]() c = c(t+ )- c(t)- приращение фазы ЧМ сигнала на интервале .Будем считать, что информационное сообщение (t) является нормальным случайным процессом с нулевым математическим ожиданием, единичной дисперсией и спектральной плотностью![]() Тогда можно показать, что средние значения выражений, входящих в (8), будут равны ![]() ![]() ![]() где дисперсия отклонения частоты ЧМ сигнала; дисперсия флуктуаций фазы ЧМ сигнала; c( ) = exp(- 2 2) – коэффициент корреляций флуктуаций фазы ЧМ сигнала; нормированное значение первой производной коэффициента корреляции флуктуаций фазы ЧМ сигнала; нормированное значение второй производной коэффициента корреляции флуктуаций фазы ЧМ сигнала.
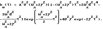
Для определения спектральной плотности шума на выходе перемножителя будем считать, что спектральная плотность шума определяется гауссовской зависимостью. Тогда для коэффициента корреляции квадратурных составляющих узкополосного шума и его производных будем иметь ( ) = exp(- 2 2);![]() ( ) = -2 2 exp(- 2 2);![]() ( ) = -2 2(1-2 2 2)exp(- 2 2).С учетом приведенных допущений для функции корреляции шума на выходе перемножителя получим ![]() Для вычисления спектральной плотности шума на выходе перемножителя 7 уточним соотношение величин д, , , входящих в (10). Полоса пропускания усилителя промежуточной частоты 2, равная среднеквадратической ширине спектра узкополосного шума, определяется равенством![]() где мв– верхняя модулирующая частота спектра информационного сообщения.
Для информационного сообщения (t), являющегося телефонным сообщением со спектральной плотностью (9), максимальное значение спектральной плотности будет на частоте 2 = 2 кГц, а верхнюю модулирующую частоту для служебной связи можно принять равной мв= 5,4 = 2![]() 2,7 кГц.Тогда соотношение между параметрами и определится равенством![]() При индексе частотной модуляции выполняется соотношение 2 2. Из этого следует, что функция меняется значительно медленнее, чем Это позволяет в (10) представить в виде ряда и ограничиться членами порядка малости 2 2.С учетом приведенных рассуждений после преобразований (10) для функции корреляции шума на выходе перемножителя 7 получим приближенное выражение ![]() Спектральную плотность шума можно вычислить по формуле [3] ![]() Используя [4] , в результате интегрирования для спектральной плотности шума на выходе перемножителя можно получить выражение ![]() Графики зависимости спектральной плотности шума, нормированной к величине от нормированного значения частоты приведены на фиг. 4. Зависимости приведены для двух значений отношения сигнал/шум 10 дБ и 3 дБ, характерных для надпороговой и подпороговой областей приема ЧМ сигналов, а также для двух значений индекса частотной модуляции = 1;2.При идеальной амплитудно-частотной характеристике фильтра нижних частот 6 мощность шума на выходе устройства приема ЧМ сигналов можно получить в результате интегрирования (11) в полосе пропускания мв.![]() В результате интегрирования для мощности шума получим ![]() где интеграл вероятности.
Для мощности полезного сигнала, определяющегося первым слагаемым в (5), можно записатьPc= A4 2д. (13)На фиг. 5 приведен график зависимости отношения сигнал/шум с/Рш на выходе предлагаемого устройства приема ЧМ сигналов от отношения сигнал/шум qвх на его входе при индексах частотной модуляции = 1 и = 2 (кривые 1 и 2).
При расчете помехоустойчивости приема ЧМ сигналов для прототипа (фиг. 2), чтобы исключить приближения, используемые в [2] и вышеприведенные, используем следующую методику.
В прототипе (фиг. 2) спектральная плотность шума на выходе стандартного частотного детектора определяется вторым слагаемым в (2) и при фиксированных значениях огибающей суммы ЧМ сигнала и узкополосного шума может быть определена как![]() Огибающая суммы ЧМ сигнала и узкополосного шума может принимать случайные значения, плотность вероятности которых имеет распределение Райса ![]() где I0(z) – модифицированная функция Бесселя. В результате усреднения (14) по случайным значениям огибающей V спектральную плотность шума на выходе стандартного частотного детектора определим как ![]() где – достаточно малая величина, которая может быть определена из условия![]() Отсюда получим, что можно взять равным 0,03.
В результате вычислений для спектральной плотности шума на выходе стандартного частотного детектора 3 (фиг. 2) получим![]() где f(qвх) определяется выражением ![]() График зависимости f(qвх) от отношения сигнал/шум qвх, полученный из (16) методом численного интегрирования, приведен на фиг. 6. Мощность шума на выходе фильтра нижних частот 6 прототипа вычисляется аналогично (12) и будет определяться выражением ![]() Мощность полезного сигнала на выходе ФНЧ 6 прототипа с учетом подавления сигнала шумами можно определить по формуле ![]() На фиг. 5 приведены графики зависимости отношения сигнал/шум Рс/Рш на выходе приемника ЧМ сигналов (прототипа) от отношения сигнал/шум на его входе при индексах частотной модуляции = 1 и = 2 (кривые 3 и 4).
Из сравнения результатов расчета помехоустойчивости приема ЧМ сигналов предлагаемого устройства и прототипа видно, что при малых отношениях сигнал/шум на входе qвх < 10 дБ предлагаемое устройство приема ЧМ сигналов обеспечивает значительный выигрыш в помехоустойчивости.
Список литературы1. А. С. Виницкий. Модулированные фильтры и следящий прием ЧМ. – М. : Сов. радио, 1969, 548 с. 2. Л. Я. Кантор, В. М. Дорофеев. Помехоустойчивость приема ЧМ сигналов. – М. : Связь, 1977, 336 с. 3. В. И. Тихонов. Статистическая радиотехника. – М. : Сов. радио, 1966, 678 с. 4. И. С. Градштейн, И. М. Рыжик. Таблицы интегралов, сумм, рядов и произведений. – М. : Наука, 1971, 1108 с. 5. А. М. Карлов, В. А. Дружининский. Спектральная плотность квадрата огибающей суммы частотно-модулированного сигнала и узкополосного шума. “Повышение эффективности функционирования судовых радиоэлектронных средств”. Сборник научных трудов. Вып. 18. – Калининград; Балтийская государственная академия рыбопромыслового флота, 1997, С. 45-50. Формула изобретения
РИСУНКИ
MM4A Досрочное прекращение действия патента Российской Федерации на изобретение из-за неуплаты в установленный срок пошлины за поддержание патента в силе
Дата прекращения действия патента: 14.07.2005
Извещение опубликовано: 10.06.2006 БИ: 16/2006
|
||||||||||||||||||||||||||

1.
1, поэтому данное устройство не обеспечивает существенного выигрыша в помехоустойчивости при малых индексах частотной модуляции.
Наиболее близким аналогом по совокупности существенных признаков, достигаемому техническому результату и процессам, происходящим при демодуляции ЧМ сигнала, является техническое решение (прототип), описанное в [2] . Структурная схема данного приемника ЧМ сигналов приведена на фиг. 2 и состоит из входного устройства, включающего в себя усилитель высокой частоты, смеситель и гетеродин; усилителя промежуточной частоты УПЧ 2; стандартного частотного детектора 3, включающего ограничитель амплитуды 4 и частотный дискриминатор 5; фильтра нижних частот 6. Устройство работает следующим образом. На выходе усилителя промежуточной частоты аддитивная смесь ЧМ сигнала и шума может быть записана в виде
0t+
c(t)]+E(t)cos[
(t)],
огибающая результирующего колебания;
– фаза результирующего колебания.
На выходе ограничителя амплитуды будет колебание с постоянной амплитудой

изменение частоты ЧМ сигнала;
производные от квадратурных (косинусоидальной и синусоидальной) составляющих узкополосного шума.
Первое слагаемое в (2) является информационным, а второе определяет шумы на выходе частотного дискриминатора.
С учетом усредненного действия фильтра нижних частот 6 среднее значение напряжения на его выходе будет равно [2]
обозначает операцию усреднения по времени. Наличие сомножителя (1-e-qвх) свидетельствует о подавлении шумами информационного сообщения при малых отношениях сигнал/шум на входе qBX.
Среднее значение второго слагаемого в (2) будет равно нулю.
Для оценки помехоустойчивости приема ЧМ сигналов необходимо вычислить спектральную плотность шума, определяющегося вторым слагаемым в (2).
Расчет помехоустойчивости приема ЧМ сигналов для данного устройства приведен в [2] при следующих приближениях:
в числителе второго слагаемого (1).
С учетом этих ограничений при больших отношениях сигнал/шум на входе приемника ЧМ сигналов (надпороговая область) для напряжения на выходе частотного дискриминатора получим
8 дБ происходит резкое уменьшение отношения сигнал/шум на выходе ЧМ приемника. Увеличение мощности шума на выходе частотного дискриминатора происходит в связи с провалами огибающей V(t) результирующего колебания суммы сигнала и шума, сопровождающимися выбросами частоты большой амплитуды.
Целью изобретения является увеличение помехоустойчивости приема ЧМ сигналов при малых отношениях сигнал/шум на входе.
Для этого в приемник ЧМ сигналов между выходом частотного дискриминатора и фильтром нижних частот включен перемножитель, а между выходом усилителя промежуточной частоты и вторым входом перемножителя включены последовательно соединенные квадратичный амплитудный детектор и второй фильтр нижних частот.
На фиг. 3 показана структурная схема предлагаемого устройства приема ЧМ сигналов, которое состоит из входного устройства 1; усилителя промежуточной частоты 2; стандартного частотного детектора 3, включающего амплитудный ограничитель 4 и дискриминатор 5; фильтра нижних частот 6; перемножителя 7; квадратичного амплитудного детектора 8; второго фильтра нижних часто 9.
Приемник работает следующим образом. На выходе стандартного частотного детектора выделяется напряжение, определяющееся формулой (2). Фильтр нижних частот, содержащийся в частотном дискриминаторе для отфильтровывания напряжения несущей частоты 

то есть в предлагаемом устройстве не происходит подавления информационного сообщения шумами при малых отношениях сигнал/шум на входе.
Для оценки помехоустойчивости предлагаемого устройства приема ЧМ сигналов вычислим спектральную плотность шума, определяемого вторым слагаемым в (5)
) = ш(t)uш(t+
2
(
(
(

(t) является нормальным случайным процессом с нулевым математическим ожиданием, единичной дисперсией и спектральной плотностью



дисперсия отклонения частоты ЧМ сигнала;
дисперсия флуктуаций фазы ЧМ сигнала;
2
нормированное значение первой производной коэффициента корреляции флуктуаций фазы ЧМ сигнала;
нормированное значение второй производной коэффициента корреляции флуктуаций фазы ЧМ сигнала.
Для определения спектральной плотности шума на выходе перемножителя будем считать, что спектральная плотность шума определяется гауссовской зависимостью. Тогда для коэффициента корреляции квадратурных составляющих узкополосного шума и его производных будем иметь
2

мв– верхняя модулирующая частота спектра информационного сообщения.
Для информационного сообщения
кГц, а верхнюю модулирующую частоту для служебной связи можно принять равной
2,7 кГц.
выполняется соотношение
меняется значительно медленнее, чем
Это позволяет в (10)
представить в виде ряда и ограничиться членами порядка малости 


от нормированного значения частоты
приведены на фиг. 4. Зависимости приведены для двух значений отношения сигнал/шум
10 дБ и 3 дБ, характерных для надпороговой и подпороговой областей приема ЧМ сигналов, а также для двух значений индекса частотной модуляции 

интеграл вероятности.
Для мощности полезного сигнала, определяющегося первым слагаемым в (5), можно записать


– достаточно малая величина, которая может быть определена из условия
можно взять равным 0,03.
В результате вычислений для спектральной плотности шума на выходе стандартного частотного детектора 3 (фиг. 2) получим


