Патент на изобретение №2179717
|
||||||||||||||||||||||||||
(54) СПОСОБ НЕРАЗРУШАЮЩЕГО КОНТРОЛЯ ТЕПЛОФИЗИЧЕСКИХ ХАРАКТЕРИСТИК МАТЕРИАЛОВ
(57) Реферат: Способ относится к импульсным методам неразрушающего контроля. На теплоизолированной поверхности исследуемого материала помещают точечный импульсный источник тепла. После подачи теплового импульса измеряют соотношения интегральных во времени значений температур в двух точках поверхности исследуемого тела до момента наступления наперед заданного значения. Технический результат – повышение точности измерения, повышение быстродействия и уменьшение энергопотребления. 2 ил. Изобретение относится к технической физике, в частности к теплофизическим измерениям. Область применения – контроль качества теплоизоляционных покрытий. Существует импульсный способ определения теплофизических характеристик материалов (ТФХ), состоящий в импульсном тепловом воздействии по прямой линии на поверхность образца и регистрации момента времени 1, когда соотношения температур в двух точках x1 и x2 будет удовлетворять заданному значению (авторское свидетельство СССР 834480, кл. G 01 N 25/18, 1979).
Недостатком этого способа является низкая помехозащищенность т. к. измерительная информация определяется как мгновенное значение температуры в один момент времени.
Известен также способ, наиболее близкий к данному техническому решению определения ТФХ, состоящий в импульсном тепловом воздействии по прямой линии на поверхность исследуемого тела, измерении температуры в точке поверхности тела, фиксировании интегрального во времени значения температуры с момента подачи теплового импульса до момента наступления максимума температуры, измерении момента времени, когда интегральное во времени значение температуры после наступления максимума температуры станет равным значению зафиксированной интегральной по времени температуры (авторское свидетельство СССР 1124209, кл. G 01N 25/18, 1983).
Недостатком этого способа является большое энергопотребление источником тепла и значительная погрешность определения наступления максимума температуры.
Техническим результатом изобретения является повышение точности измерения ТФХ материалов.
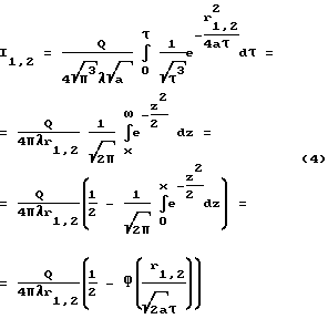
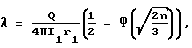
Сущность изобретения заключается в следующем: на теплоизолированной поверхности исследуемого материала помещают точечный импульсный источник тепла, выделяющий количество тепла, равное Q. После подачи теплового импульса фиксируют интегральные во времени значения температур I1, I2 точках поверхности исследуемого тела, расположенных на расстоянии r1 и r2 от источника тепла (причем r2= 2r1). При наступлении наперед заданного соотношения интегральных значений температур I1/I2, равного числу en/2, ТФХ материалов определяют по формулам:![]() ![]() a – коэффициент температуропроводности; – момент наступления наперед заданного соотношения интегральных во времени температур;r1 – расстояние между источником тепла и соответствующим термодатчиком; – коэффициент теплопроводности;Q – количество тепла выделяемого точечным источником тепла; I1 – интегральное во времени значение температуры в точке r1; Ф(х) – интеграл вероятности для ![]() n – целое наперед заданное число. Приведенные формулы получают на основании следующих рассуждений. Для полуограниченного тела величина избыточной температуры при воздействии импульса тепла бесконечно малой длительности от точечного источника расположенного на его поверхности описывается выражением: >0, (3) (3)интегральные значения температур I1, I2 в точках на расстоянии r1 и r2 от источника тепла в момент времени находят по формуле:![]() где интеграл вероятности.
Используя данные выражения, получают формулу для определения коэффициента температуропроводности (1), подставив найденное значение коэффициента температуропроводности в выражение (4) получают формулу для определения коэффициента теплопроводности (2).
На фиг. 1 показана схема реализации предлагаемого способа. На теплоизолированной поверхности исследуемого материала 1, помещают точечный импульсный источник тепла 2, выделяющий количество тепла равное Q. На расстоянии r1 и r2 от источника тепла располагают два термодатчика 3 и 4 (причем r2= 2r1). После подачи теплового импульса в точках поверхности исследуемого материала фиксируют интегральные во времени значения температур до момента наступления заранее заданного соотношения, равного числу en/2.
Для предлагаемого способа на персональном компьютере производилось машинное моделирование процессов определения интегральных во времени значений температур при Q= 0,1 Дж; a= 5 10-7 м2/c; = 0.1Вт/м K; r1= 1,5 10-3; n= 3 – фиг. 2 (а); n= 5 – фиг. 2(б). Следовательно, чем больше n, тем меньше время измерений.
Применение предлагаемого способа позволяет повысить точность измерения ТФХ материалов, повысить быстродействие, уменьшить энергопотребление источником тепла.
Формула изобретения
![]() ![]() где а – коэффициент температуропроводности; – момент наступления наперед заданного соотношения интегральных во времени температур, равного ![]() r1 – расстояние между источником тепла и соответствующим термодатчиком, причем r2= 2r1; – коэффициент теплопроводности;Q – количество тепла, выделяемого точечным источником тепла; I1 – интегральное во времени значение температуры; Ф(х) – интеграл вероятности для ![]() n – целое наперед заданное число. РИСУНКИ
MM4A Досрочное прекращение действия патента Российской Федерации на изобретение из-за неуплаты в установленный срок пошлины за поддержание патента в силе
Дата прекращения действия патента: 13.09.2001
Номер и год публикации бюллетеня: 8-2003
Извещение опубликовано: 20.03.2003
|
||||||||||||||||||||||||||

1, когда соотношения температур в двух точках x1 и x2 будет удовлетворять заданному значению (авторское свидетельство СССР 834480, кл. G 01 N 25/18, 1979).
Недостатком этого способа является низкая помехозащищенность т. к. измерительная информация определяется как мгновенное значение температуры в один момент времени.
Известен также способ, наиболее близкий к данному техническому решению определения ТФХ, состоящий в импульсном тепловом воздействии по прямой линии на поверхность исследуемого тела, измерении температуры в точке поверхности тела, фиксировании интегрального во времени значения температуры с момента подачи теплового импульса до момента наступления максимума температуры, измерении момента времени, когда интегральное во времени значение температуры после наступления максимума температуры станет равным значению зафиксированной интегральной по времени температуры (авторское свидетельство СССР 1124209, кл. G 01N 25/18, 1983).
Недостатком этого способа является большое энергопотребление источником тепла и значительная погрешность определения наступления максимума температуры.
Техническим результатом изобретения является повышение точности измерения ТФХ материалов.
Сущность изобретения заключается в следующем: на теплоизолированной поверхности исследуемого материала помещают точечный импульсный источник тепла, выделяющий количество тепла, равное Q. После подачи теплового импульса фиксируют интегральные во времени значения температур I1, I2 точках поверхности исследуемого тела, расположенных на расстоянии r1 и r2 от источника тепла (причем r2= 2r1). При наступлении наперед заданного соотношения интегральных значений температур I1/I2, равного числу en/2, ТФХ материалов определяют по формулам:

– коэффициент теплопроводности;

интеграл вероятности.
Используя данные выражения, получают формулу для определения коэффициента температуропроводности (1), подставив найденное значение коэффициента температуропроводности в выражение (4) получают формулу для определения коэффициента теплопроводности (2).
На фиг. 1 показана схема реализации предлагаемого способа. На теплоизолированной поверхности исследуемого материала 1, помещают точечный импульсный источник тепла 2, выделяющий количество тепла равное Q. На расстоянии r1 и r2 от источника тепла располагают два термодатчика 3 и 4 (причем r2= 2r1). После подачи теплового импульса в точках поверхности исследуемого материала фиксируют интегральные во времени значения температур до момента наступления заранее заданного соотношения, равного числу en/2.
Для предлагаемого способа на персональном компьютере производилось машинное моделирование процессов определения интегральных во времени значений температур при Q= 0,1 Дж; a= 5
10-7 м2/c; 


