Патент на изобретение №2179713
|
||||||||||||||||||||||||||
(54) УСТРОЙСТВО ДЛЯ ИЗМЕРЕНИЯ ВЯЗКОСТИ
(57) Реферат: Использование: в различных отраслях промышленности при контроле состава и свойств жидкостей. Устройство для измерения вязкости содержит цилиндрический объемный резонатор с неизлучающими вырезами для помещения исследуемой жидкости, генератор СВЧ, питающий штырь для возбуждения колебания Е010, приемную петлю, соединенную с амплитудным детектором, аналого-цифровой преобразователь, микропроцессор, магнитную мешалку. Техническим результатом изобретения является повышение точности измерения высоковязких жидкостей. 2 ил. Изобретение относится к измерительной технике, в частности к аэрогидродинамическим устройствам для определения вязкости, и может найти применение в различных отраслях промышленности при контроле состава и свойств жидкостей. Известно устройство для определения вязкости (см. А. С. СССР N 1062567, G 01 N 11/16, Мордасов М. М. , Дмитриев Д. А. , Гализдра В. И. Устройство для измерения вязкости. БИ N47, 1983г. ), содержащее струйную трубку, цилиндрический объемный резонатор (ЦОР), детектор, фильтр нижних частот и формирователь импульсов. По частоте автоколебаний жидкости, находящейся в ЦОР, судят о вязкости жидкости. Недостатком устройства является низкая точность вследствие того, что форма огибающей выходного СВЧ сигнала ЦОР отличается от гармонической и носит случайный характер (так как форма колеблющейся жидкости является в общем случае недетермированной), а также невозможность определения искомой величины (вязкости) высоковязких жидкостей. За прототип принято устройство (см. А. С. СССР N 1603240, G 01 N 11/10. Мордасов М. М. , Дмитриев Д. А. Барботажный вискозиметр. БИ N 40, 1990г. ), содержащее измерительный сосуд в виде ЦОР, времяизмерительное устройство, барботажную трубку. Скорость подъема пузырька газа в прототипе определяется вязкостью контролируемой среды. Недостатком устройства является снижение точности при измерении высоковязких жидкостей. Техническим результатом изобретения является повышение точности измерения высоковязких жидкостей. Сущность изобретения состоит в том, что устройство для измерения вязкости, содержащее цилиндрический объемный резонатор с неизлучающими вырезами для поступления исследуемой жидкости, генератор СВЧ, питающий штырь для возбуждения колебания Е010, приемную петлю, соединенную с амплитудным детектором, дополнительно включает в себя аналого-цифровой преобразователь, вход которого соединен с выходом амплитудного детектора, а выход – с информационным входом микропроцессора, первый управляющий выход которого подключен ко входу цифроаналогового преобразователя, а второй – к информационному входу магнитной мешалки, при этом генератор СВЧ выполнен перестраиваемым по частоте, цилиндрический объемный резонатор крепится на поплавке для удержания его на плаву и создания фиксированного уровня исследуемой жидкости внутри ЦОР, а выход цифроаналогового преобразователя соединен со входом перестраиваемого по частоте генератора СВЧ. На Фиг. 1 представлена схема устройства. Устройство состоит из цилиндрического объемного резонатора (ЦОР) 1, в ЦОР 1 имеются неизлучающие вырезы для помещения исследуемой жидкости 2, возбуждающего штыря 3 колебания Е010, приемной петли 4 (плоскость раскрыва перпендикулярна плоскости чертежа), амплитудного детектора (АД) 5, аналого-цифрового преобразователя (АЦП) 6, микропроцессора 7, один управляющий выход которого соединен с информационным входом магнитной мешалки 8, а другой – со входом цифроаналогового преобразователя 9, а также перестраиваемого по частоте генератора СВЧ 10 и поплавка 11 для создания фиксированного уровня исследуемой жидкости в ЦОР. Устройство работает следующим образом. Известно, что при приведении во вращение с круговой частотой цилиндрического объема жидкости 2 вращающаяся жидкость через некоторое время tпп принимает равновесную динамическую форму параболоида вращения. Величина tпп пропорциональна измеряемой величине вязкости ж. Уравнение относительного равновесия жидкости будет иметь вид (см. Лойцянский Л. Г. Механика жидкостей и газа. – М: Наука. – 1970):P+ П-1/2 2 r2 = const,где Р – внешнее давление (атмосферное); – плотность жидкости; П – гидростатический потенциал; – круговая частота вращения жидкости; r – текущий радиус поверхности вращающейся жидкости. Уравнение огибающей поверхности приведенной во вращение жидкости имеет видh = 2r2/2g,где h – уровень жидкости, g – ускорение свободного падения. Измерения начинаются с момента фиксации резонанса колебания Е010 ЦОР 1 при горизонтальном расположении исследуемой жидкости. С этой целью микропроцессор формирует код Ni= Nmin Nmax, который через первый управляющий выход посредством ЦАП 9 управляет перестройкой частоты генератора СВЧ 10: частота генератора изменяется от fmin до fmax. В момент резонанса колебания Е010 сигнал через приемную петлю 4, АД 5 и АЦП 6 поступает на информационный вход микропроцессора 7, перестройка частоты генератора СВЧ 10 прекращается (частота генератора СВЧ 10 равна f1, что соответствует коду N1 микропроцессора 7).
После фиксации резонанса колебания Е010 микропроцессор 7 на первом управляющем выходе формирует код N2, частота генератора СВЧ 10 через ЦАП 9 устанавливается равной f2(f1 1 – жидкость начинает принимать форму параболоида вращения. Так как электрическое поле колебания Е010 неравномерно (максимально – у оси и равно нулю – у боковой стенки ЦОР 1), то резонансная частота начинает уменьшаться, и когда станет равной (резонансная частота колебания Е010 с параболоидом вращения) частоте генератора СВЧ 10 f2 микропроцессор формирует код N3, с помощью которого частота генератора СВЧ 10 устанавливается равной f3(f2 2 ( 2> 1), микропроцессор начинает отчет времени tпп. При достижении параболоидом вращения положения, при котором резонансная частота колебания Е010 станет равной частоте f3, отсчет времени tпп прекращается. Время tпп является мерой вязкости. На фиг. 2 представлена зависимость tпп от ж при изменении частоты вращения от 1 = 1 об/с до 2 = 3 об/с.
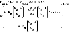
Фиксация времени tпп от одного положения равновесия (статического или динамического) до другого, в нашем случае от 1 до 2 предпочтительней, чем от 1 = 0 до = 2, так как в первом случае временем приведения во вращения магнитной мешалки по сравнению с tпп можно пренебречь. Выражение для резонансной частоты при изменении частоты вращения жидкости имеет вид:![]() Так, при = 10 рад/с, размерах ЦОР а= с= 0,1 м, для водных сред, отношение fрез( )/fрез( = 0) = 1.25, то показывает высокую чувствительность fpeз к изменению формы поверхности жидкости. Следует отметить, что величина первоначального уровня жидкости может быть h0<<с. Благодаря высокой добротности ЦОР при малых ![]() происходит значительное изменение fpeз. Высокая чувствительность сохраняется и для жидкостей с потерями.
Т. о. , предложенное устройство позволяет измерять вязкость высоковязких жидкостей по времени перехода от одного положения равновесия до другого, т. е. точного определения tпп в момент прихода жидкого параболоида в новое стационарное состояние при заданных величинах .
Формула изобретения
РИСУНКИ
MM4A Досрочное прекращение действия патента Российской Федерации на изобретение из-за неуплаты в установленный срок пошлины за поддержание патента в силе
Дата прекращения действия патента: 12.05.2002
Номер и год публикации бюллетеня: 32-2003
Извещение опубликовано: 20.11.2003
|
||||||||||||||||||||||||||

цилиндрического объема жидкости 2 вращающаяся жидкость через некоторое время tпп принимает равновесную динамическую форму параболоида вращения. Величина tпп пропорциональна измеряемой величине вязкости
ж. Уравнение относительного равновесия жидкости будет иметь вид (см. Лойцянский Л. Г. Механика жидкостей и газа. – М: Наука. – 1970):
П-1/2
Nmax, который через первый управляющий выход посредством ЦАП 9 управляет перестройкой частоты генератора СВЧ 10: частота генератора изменяется от fmin до fmax. В момент резонанса колебания Е010 сигнал через приемную петлю 4, АД 5 и АЦП 6 поступает на информационный вход микропроцессора 7, перестройка частоты генератора СВЧ 10 прекращается (частота генератора СВЧ 10 равна f1, что соответствует коду N1 микропроцессора 7).
После фиксации резонанса колебания Е010 микропроцессор 7 на первом управляющем выходе формирует код N2, частота генератора СВЧ 10 через ЦАП 9 устанавливается равной f2(f1
