Патент на изобретение №2179637
|
||||||||||||||||||||||||||
(54) СПОСОБ ОПРЕДЕЛЕНИЯ ХАРАКТЕРИСТИК СКВАЖИНЫ, ПРИЗАБОЙНОЙ ЗОНЫ И ПЛАСТА И УСТРОЙСТВО ДЛЯ ЕГО ОСУЩЕСТВЛЕНИЯ
(57) Реферат: Изобретение относится к нефтяной промышленности и может найти применение при испытании скважины на приемистость и проведении технологического воздействия на призабойную зону скважины. Задачей изобретения является увеличение числа измеряемых параметров и повышение точности определения характеристик скважины, призабойной зоны и пласта. Для этого на нагнетательной линии перед устьем скважины организуют измерительный участок длиной, позволяющей фиксировать перепады давлений при течении жидких сред с минимальными гидравлическими сопротивлениями, в виде калиброванной трубы. На ней монтируют датчики расхода, датчик давления и дополнительно дифференциальный манометр с импульсными трубками, соединенными с началом и концом измерительного участка. Производят импульсную нестационарную закачку реагента. Замеряют на устье скважины давление закачки и расход реагента. Производят пересчет данных замеров на забойные условия. Определяют накопленный расход и работу, затрачиваемую на нестационарное течение в призабойной зоне пласта единицы расхода реагента. По этим показателям с учетом текущей проводимости пласта рассчитывают коэффициент скин-эффекта. Используют в качестве текущей проводимости величину, определенную по результатам кратковременного импульсного нестационарного испытания данной скважины на приемистость пластовой жидкостью. Изменяют режимы закачки реагента при достижении необходимых фильтрационных свойств призабойной зоны пласта, определенных по рассчитанному скин-эффекту. Определяют гидропроводность, пьезопроводность, радиус призабойной зоны и коэффициент скин-эффекта для каждого замера в условиях импульсной нестационарной закачки пластовой жидкости во время каждого режима закачки. 2 с. и 3 з. п. ф-лы, 1 табл. , 7 ил. Изобретение относится к нефтяной промышленности и может найти применение при испытании скважины на приемистость и проведении технологического воздействия на призабойную зону скважины. Известен способ разработки продуктивного пласта, включающий импульсную нестационарную закачку пластовой жидкости, замеры на устье давления закачки и расхода жидкости, определение накопленного расхода и производной функции репрессии, характеризующей работу, затрачиваемую на нестационарное течение в пласте единицы расхода пластовой жидкости, построение графика зависимости производной функции репрессии от накопленного расхода для диапазона значений гидропроводности, заведомо включающих искомую гидропроводность и выбор среди множества полученных кривых производной линии, ближе остальных отвечающей условию постоянства производной, соответствующей искомой гидропроводности пласта (Патент РФ 2151859, кл. Е 21 В 43/20, опублик. 2000 г. ). Известен способ эксплуатации скважины с одновременным определением параметров загрязненной призабойной зоны скважины, включающий импульсную нестационарную закачку пластовой жидкости со ступенчатыми изменениями расхода от минимальных до максимальных величин с задаваемым периодом, через каждые 5 60 с замер и регистрацию давления, плотности и расхода закачиваемой пластовой жидкости, пересчет данных на забойные условия, для каждого замера в условиях импульсной нестационарной закачки пластовой жидкости во время каждого режима закачки определение функции репрессии, характеризующей нестационарное течение в призабойной зоне скважины на протяжении данного режима закачки жидкости, для каждого режима построение графика зависимости функции репрессии от логарифма времени закачки на данном режиме, на каждом из полученных графиков выделение начального наклонного прямолинейного участка, методом наименьших квадратов нахождение параметров выделенных прямолинейных участков, по которым определение гидропроводности и пьезопроводности загрязненной призабойной зоны, а также ее радиуса и коэффициента скин-эффекта (Патент РФ 2151858, кл. Е 21 В 43/20, опублик. 2000 г. ).
Общим недостатком известных способов является малое число измеряемых параметров, низкая точность и эффективность определения забойного давления при закачке жидкостей со сложной реологией и трудности в определении потенциала скважины.
Наиболее близким к изобретению по технической сущности является способ эксплуатации скважины, в результате осуществления которого происходит определение характеристик скважины, призабойной зоны и пласта, включающий импульсную нестационарную закачку реагента, на устье скважины замер давления закачки и расхода реагента, пересчет данных замеров на забойные условия, определение накопленного расхода и работы, затрачиваемой на нестационарное течение в призабойной зоне скважины единицы расхода реагента, по этим показателям с учетом текущей проводимости пласта рассчет коэффициента скин-эффекта, в качестве текущей проводимости использование величины, определенной по результатам кратковременного импульсного нестационарного испытания данной скважины на приемистость пластовой жидкостью, изменение режима закачки реагента при достижении необходимых фильтрационных свойств призабойной зоны скважины, определенных по скин-эффекту, рассчитанному по накопленному расходу и работе течения единицы расхода реагента в призабойной зоне скважины с учетом текущей проводимости пласта (Патент РФ 2151855, кл. Е 21 В 43/20, опублик. 2000 г. – прототип).
Недостатком известного способа является малое число измеряемых параметров и невысокая точность определения характеристик скважины, призабойной зоны и пласта.
В изобретении решается задача увеличения числа измеряемых параметров и повышение точности определения характеристик скважины, призабойной зоны и пласта.
Задача решается тем, что в способе определения характеристик скважины, призабойной зоны и пласта, включающем импульсную нестационарную закачку реагента, замер на устье скважины давления закачки и расхода реагента, пересчет данных замеров на забойные условия, определение накопленного расхода и работы, затрачиваемой на нестационарное течение в призабойной зоне скважины единицы расхода реагента, расчет коэффициента скин-эффекта по этим показателям с учетом текущей проводимости пласта, использование в качестве текущей проводимости величины, определенной по результатам кратковременного импульсного нестационарного испытания данной скважины на приемистость, изменение режима закачки реагента при достижении необходимых фильтрационных свойств призабойной зоны скважины, определенных по скин-эффекту, рассчитанному по накопленному расходу и работе течения единицы расхода реагента в призабойной зоне скважины с учетом текущей проводимости пласта, согласно изобретению, на нагнетательной линии перед устьем скважины организуют измерительный участок длиной, позволяющей фиксировать перепады давлений при течении жидких сред с минимальными гидравлическими сопротивлениями, в виде калиброванной трубы, на которой монтируют датчики расхода, датчик давления и дополнительно дифференциальный манометр с импульсными трубками, соединенными с началом и концом измерительного участка, и производят замеры давления, расхода и перепада давлений при закачке рабочего агента в скважину.
Кроме того, для каждого замера в условиях импульсной нестационарной закачки жидкости во время каждого режима закачки определяют функцию репрессии, характеризующую нестационарное течение в призабойной зоне пласта на протяжении данного режима закачки жидкости, для каждого режима строят график зависимости функции репрессии от логарифма времени закачки на данном режиме, на каждом из полученных графиков выделяют начальный наклонный прямолинейный участок, методом наименьших квадратов находят параметры выделенных прямолинейных участков, по которым определяют гидропроводность и пьезопроводность загрязненной призабойной зоны, а также ее радиус и коэффициент скин-эффекта.
Дополнительно определяют накопленный расход и производную функции репрессии, характеризующей работу, затрачиваемую на нестационарное течение в пласте единицы расхода пластовой жидкости, строят график зависимости производной функции репрессии от накопленного расхода для диапазона значений гидропроводности, заведомо включающих искомую гидропроводность продуктивного пласта, среди множества полученных кривых производной выбирают линию, ближе остальных отвечающую условию постоянства производной, по которой определяют гидропроводность продуктивного пласта.
Известно контролирующее устройство для газовой скважины. Устройство, устанавливаемое на устье газовой скважины для определения величины давления на забое скважины, содержит фиксированный измерительный комплекс. Последний имеет датчики для измерения давления и температуры газа, которые введены в газовый поток, идущий через устье скважины. Для систематического контроля за правильностью измерений, проведенных с помощью датчиков, измерительный блок содержит автоматическое устройство, обеспечивающее периодическое взятие проб из газового потока, идущего через устье скважины. С этим устройством технологически связан процессор, обеспечивающий вычисление величины давления газа на дне скважины, которые он производит на основании данных, полученных с помощью датчиков, установленных в газовом потоке, идущем через устье скважины. К процессору подсоединен блок памяти, обеспечивающий прием, запоминание и хранение данных о давлении и температуре газа, которые поступают в блок памяти процессора через заданные интервалы времени. К блоку памяти подключен дисплей, на экране которого демонстрируется цифровая информация о давлении и температуре в газовом потоке, идущем через устье скважины, а также информация о давлении газа на забое скважины (Патент США 4414846, кл. 37-151, опублик. 1983).
Известное устройство позволяет контролировать параметры среды, исходящей из скважины, и не способно контролировать параметры при закачке среды в скважину.
Наиболее близким к изобретению по технической сущности является для определения характеристик скважины, призабойной зоны и пласта, включающее датчик давления и датчики расхода, подключенные к приспособлению для регистрации параметров среды. (А. С. СССР 1469110, кл. Е 21 В 47/00, опублик. 1989 г. )Известное устройство позволяет замерять расход рабочего агента при закачке в скважину и определять направление его движения в скважине. Однако устройство не позволяет контролировать такие параметры, как давление и его изменение. Кроме того, устройство способно определять только параметры непосредственно в точке определения и не способно определять параметры на удалении, например, на забое скважины. В изобретении решается задача увеличения числа измеряемых параметров и повышение точности определения характеристик скважины, призабойной зоны и пласта. Задача решается тем, что устройство для определения характеристик скважины, призабойной зоны и пласта, включающее датчик давления и датчики расхода, подключенные к приспособлению для регистрации параметров среды, снабжено дифференциальным манометром с импульсными трубками, вторичными блоками расходомеров и размещенными на нагнетательной линии перед устьем скважины измерительным участком, длиной, позволяющей фиксировать перепады давлений при течении жидких сред с минимальными гидравлическими сопротивлениями, в виде калиброванной трубы, на которой смонтированы датчики расхода, дифференциальный манометр с импульсными трубками, соединенными с началом и концом измерительного участка, и датчик давления, а приспособление для регистрации параметров среды выполнено в виде выносного узла с размещенными в нем блоками искрозащиты и блока сбора информации, соединенного с компьютером, при этом выходы датчиков расхода через вторичные блоки расходомеров подключены к входам блока сбора информации, с другими входами которого через блоки искрозащиты выносного узла соединены выходы датчика давления и дифференциального манометра. Кроме того, на измерительном участке дополнительно могут быть размещены датчики для определения плотности и температуры. Сущность изобретения При испытании скважины на приемистость, определении потенциала скважины, определении параметров призабойной зоны, проведении технологического воздействия на призабойную зону и определении гидропроводности продуктивного пласта возникает необходимость оценки эффективности воздействия особенно при закачке жидкостей со сложной реологией – неньютоновских жидкостей. Неточная или несвоевременно полученная информация приводит к перерасходу реагентов или к недостижению задач обработки. Для этого необходим устьевой информационно-измерительный комплекс регистрации технологических показателей процесса воздействия на скважину, позволяющий контролировать параметры технологического воздействия, проводить оперативное вмешательство, а также исследовать состояние призабойной зоны скважины. В предложенном изобретении решаются данные задачи. Предложенное устройство, представляющее собой информационно-измерительный комплекс, обеспечивает измерение необходимых параметров на устье скважины на нагнетательной линии при закачке рабочего агента в скважину. Нагнетательную линию снабжают измерительным участком, представляющим собой калиброванную трубу, оснащенную дифференциальным манометром с импульсными трубками, соединенными с началом и концом участка, а также датчиками расхода и давления. Используют датчики с цифровым замером и регистрацией параметров. Для измерения и регистрации параметров среды используют выносной блок, блок сбора информации и компьютер. Измерительный участок выполняют длиной, позволяющей фиксировать перепады давлений при течении жидких сред с минимальными гидравлическими сопротивлениями. При этом на данном участке заведомо возможно фиксировать перепады давлений при течении жидких сред с большими гидравлическими сопротивлениями, например растворов полимеров, цементных растворов и пр. Длина измерительного участка определяется чувствительностью применяемых измерительных приборов и требуемой точностью измерений. На измерительном участке могут быть размещены прочие датчики, например, для определения плотности и температуры. Посредством информационно-измерительного комплекса измеряют и регистрируют устьевое давление, потери давлений на измерительном участке и объемный расход нагнетаемой жидкости. Для каждого замера по этим данным в реальном времени процесса рассчитывают забойное давление и прочие показатели с учетом искривления ствола скважины, реологии жидкости и ее нагрева, изменениями в этой связи гидростатического давления и потерь на жидкостное трение в насосно-компрессорных трубах. Рассматривают определение динамического забойного давления при закачке в насосно-компрессорные трубы в любой последовательности обычных ньютоновских жидкостей, а также полимерных, глинистых, цементных растворов и других неньютоновских жидкостей. На фиг. 1 представлено устройство для определения характеристик скважины, призабойной зоны и пласта – информационно-измерительный комплекс. Устройство включает измерительный участок 1 с датчиками расхода 2, датчиком давления 3, дифференциальным манометром 4 с импульсными трубками 5, 6, соединенными соответственно с началом и концом участка. Устройство соединено через нагнетательную линию 7 со скважиной 8. Измерительный участок 1 выполнен длиной, позволяющей фиксировать перепады давлений при течении жидких сред с минимальными гидравлическими сопротивлениями. На фиг. 2 представлена электрическая схема устройства для определения характеристик скважины, призабойной зоны и пласта. Выходы датчика давления 3 и дифференциального манометра 4 соединены электрическими кабелями 9 и 10 с блоками искрозащиты 11 и 12, размещенными в выносном блоке 13, и далее с блоком сбора информации 14. Выходы датчиков расхода 2 соединены электрическими кабелями 15 и 16 с вторичными блоками расходомеров 17 и 18 и далее с блоком сбора информации 14. Блок сбора информации 14 соединен с компьютером 19. Устройство работает следующим образом. При нагнетании рабочего агента через измерительный участок 1 в скважину 8 аналоговые сигналы с датчика давления 3 и дифференциального манометра 4 посредством электрических кабелей 9 и 10 через блоки искрозащиты 11 и 12 поступают в выносной блок 13 и далее в блок сбора информации 14. В блоках искрозащиты 11 и 12 производится гальваническая развязка электрических цепей. Частотные сигналы с датчиков расхода 2 посредством электрических кабелей 15 попадают на вторичные блоки расходомеров 17 и 18, откуда с помощью соединительных кабелей 16 поступают на вход соответствующих каналов блока сбора информации 14. В блоке сбора информации 14 сигналы, поступающие на входы измерительных каналов, преобразуются в цифровую форму и передаются в компьютер 19, где с помощью программного обеспечения поступившая информация визуализируется и заносится в память компьютера 19. При проведении технологической операции по воздействию на нефтяной пласт для интенсификации отбора или изоляции водопритока, выравнивания профиля притока или поглощения расход нагнетаемой рабочей жидкости остается относительно неизменным лишь в течение отдельных весьма коротких промежутков времени и изменяется в широких пределах в течение всей операции. В предложенном способе изначально закладывают режим импульсной нестационарной закачки реагента как наиболее общий и в наибольшей мере отвечающий условиям производства. Реализуемый в особых условиях на практике стационарный режим закачки реагента является частным случаем общего импульсного нестационарного режима. При этом справедливы все расчеты и выводы предлагаемого способа. Процесс импульсной нестационарной закачки реагента характеризуется значительными колебаниями расхода и давления с хаотичными изменениями величин по амплитуде и частоте. Расход может изменяться по амплитуде от 0,084 до 7,6 л/с, по частоте – от 0,002 до 0,02 Гц, при этом максимальный расход обеспечивает недопущение развития искусственной трещиноватости в призабойной зоне (максимально допустимое забойное давление в процессе закачки жидкости должно быть меньше давления раскрытия трещин в призабойной зоне скважины). Устьевое давление нагнетания может изменяться по амплитуде от 1 до 10 15 МПа при той же частоте.
При проведении технологических операций на скважине посредством информационно-измерительного комплекса измеряют и регистрируют устьевое давление, плотность, потери давления на измерительном участке и объемный расход нагнетаемого реагента с интервалом в 5 60 с (т. е. с периодом опроса 5 60 с). Для каждого замера по этим данным в реальном времени процесса рассчитывают забойное давление с учетом искривления ствола скважины, реологии жидкости и ее нагрева, изменениями в этой связи гидростатического давления и потерь на жидкостное трение в насосно-компрессорных трубах при закачке в насосно-компрессорные трубы обычных ньютоновских жидкостей, а также полимерных, глинистых, цементных растворов и других неньютоновских жидкостей. Забойное давление определяют в такой последовательности.
В процессе технологического воздействия в скважину закачивают последовательно несколько жидкостей, различных по физико-химическим свойствам.
На -M этапе будет закачана -Я жидкость (при =1;2 и т. д. в зависимости от числа жидкостей для закачки). Для каждого замера расхода нагнетаемой -Й жидкости Q (t) и перепада давления на измерительном участке PИЗМ(t) в реальном времени процесса рассчитывают вспомогательные параметры G , U :![]() где Q (t)- расход -Й нагнетаемой жидкости в момент времени t после начала закачки, м3/сут;dИЗМ – внутренний диаметр измерительного участка, м; LИЗМ – длина измерительного участка (расстояние между осями импульсных трубок на измерительном участке), м; PИЗМ(t)- перепад давлений на измерительном участке (между осями импульсных трубок на измерительном участке) в момент времени t после начала закачки -Й жидкости, МПа; – порядковый номер нагнетаемой жидкости.
Размерности вспомогательных параметров G , U таковы:|G | = 1/сут; |U | = МПa.Величины вспомогательных параметров G и U , рассчитанные по формулам (1) для текущего момента t, наносят на график зависимостиU = U (G ). (2)На фиг. 3 представлен график зависимости вспомогательного параметра U от вспомогательного параметра G на примере закачке в скважину гелеобразующего состава: водного раствора сополимера “Комета” и смолы “ДЭГ”, где по оси абсцисс отложены величины lgG, по оси ординат – величины lgU.
После получения первых 30 40 значений U , G производят аппроксимацию полученного массива точек подбором функциональной зависимости U = U (G ). В дальнейшем по мере поступления новых данных (значений U , G )) зависимость U = U (G ) уточняют.
После установления функциональной зависимости (2) для каждого замера Q (t) расхода -Й жидкости в реальном времени процесса вычисляют вспомогательный параметр ![]() ![]() где dНКТ – внутренний диаметр насосно-компрессорных труб, м. Размерность вспомогательного параметра: ![]() Принимая ![]() из функциональной зависимости U = U (G ) определяют величину соответствующую величине ![]() ![]() Размерность вспомогательного параметра: ![]() Для каждого замера расхода Q (t) в реальном времени процесса рассчитывают коэффициент [(fluid ), t] гидравлических сопротивлений потоку в насосно-компрессорных трубах -Й нагнетаемой жидкости:![]() где вспомогательный параметр, определяемый выражением (5), МПа;dНКТ – внутренний диаметр насосно-компрессорных труб, м; УСT(fluid )- плотность -Й нагнетаемой жидкости в устьевых условиях, кг/м3;Q (t)- расход -Й жидкости в момент времени t закачки, м3/сут; [(fluid ), t]- коэффициент гидравлических сопротивлений потоку в насосно-компрессорных трубах -Й нагнетаемой жидкости, величина безразмерная.
Определенные из уравнения (6) значения коэффициента [(fluid ), t] гидравлических сопротивлений потоку в насосно-компрессорных трубах -Й жидкости наносят на график зависимости [(fluid ), t] от расхода -Й жидкости: [(fluid ), t] = Ф(Q (t)). (7)На фиг. 4 представлен график зависимости коэффициента гидравлических сопротивлений в насосно-компрессорных трубах [(fluid ), t] от расхода Q (t) гелеобразующего состава: водного раствора сополимера “Комета” и смолы “ДЭГ”, где по оси абсцисс отложены величины lgQ (t), по оси ординат – величины lg [(fluid ), t].После получения первых 30 40 точек [значений и Q(t)] производят аппроксимацию полученного массива подбором корреляционной зависимости [(fluid ), t] = Ф(Q (t)). В дальнейшем по мере поступления новых данных [значений и Q(t)] зависимость (7) уточняют.
Для каждого замера расхода Q (t) по корреляционной зависимости [(fluid ), t] = Ф(Q (t)) в реальном времени процесса рассчитывают коэффициент [(fluid ), t] гидравлических сопротивлений потоку в насосно-компрессорных трубах -Й нагнетаемой жидкости.
По этим данным для каждого замера расхода Q (t) в реальном времени процесса рассчитывают потери давления РТР(t) на жидкостное трение в насосно-компрессорных трубах потока -Й нагнетаемой жидкости:![]() где РТР(t) – потери давления потока -Й нагнетаемой жидкости в насосно-компрессорных трубах вследствие жидкостного трения в момент времени t, МПа; L – длина насосно-компрессорных труб (расстояние по стволу скважины от устья до башмака насосно-компрессорных труб), м; [(fluid ), t]- коэффициент гидравлических сопротивлений потоку в насосно-компрессорных трубах -Й нагнетаемой жидкости, определенный для каждого замера расхода Q (t) по корреляционной зависимости (7) [(fluid ), t] = Ф(Q (t));dНКТ – внутренний диаметр насосно-компрессорных труб, м; УСT(fluid )- плотность -Й жидкости в устьевых условиях, кг/м3;Q (t)- расход -Й жидкости в момент времени t закачки, м3/сут.
Динамическое забойное давление РС(t) на глубине башмака насосно-компрессорных труб L в текущий момент времени t равно:РC(t)= PУСТ(t)+РГ(t)-PТР(t) (9) где РС(t) – забойное давление на глубине L башмака насосно-компрессорных труб в момент t нагнетания -Й жидкости, МПа;РУСТ(t) – устьевое давление в момент t закачки -Й жидкости, МПа;РГ(t) – гидростатическое давление, создаваемое столбом -Й жидкости в момент времени t, МПа;РТР(t) – потери давления потока -Й нагнетаемой жидкости в насосно-компрессорных трубах вследствие жидкостного трения в момент времени t, МПа, определены по формуле (8).
Репрессия на пласт PC(t) в момент t закачки -Й жидкости равна: PC(t) = PC(t)-PПЛ, (10)где РПЛ – пластовое давление, приведенное к глубине L башмака насосно-компрессорных труб, МПа. Для определения коэффициента S скин-эффекта при проведении технологических операций на скважине замеряют и регистрируют устьевое давление, плотность и объемный расход -Й нагнетаемой жидкости с интервалом в 5 60 с (т. е. с периодом опроса 5 60 с). Для каждого замера в момент t по этим данным в реальном времени процесса рассчитывают потери давления РТР(t) на жидкостное трение в насосно-компрессорных трубах, гидростатическое давление РГ(t) столба -Й нагнетаемой жидкости, динамическое забойное давление РС(t) по формуле (9), репрессию на пласт PC(t) по формуле (10), объемный расход -Й жидкости Q(t) в забойных условиях. Затем для каждого текущего момента времени tN определяют величину функции репрессии Y(tN), характеризующей работу единицы расхода -Й жидкости на нестационарное течение в призабойной зоне скважины, по формуле:![]() где N= 2; 3; 4; . . . – номер текущего замера устьевого давления, плотности и объемного расхода -Й нагнетаемой жидкости;n= 0; 1; 2; 3; . . . N-1 – номера предыдущих замеров; t0 – время начала закачки (начальный замер n= 0), с; t1; . . . tn – время первого, . . . n замеров, с; tN – время текущего замера, с; PC(tO); … PC(tn)- репрессия на пласт в начале закачки и в момент времени tn предшествующего n замера, Па; PC(tN)- репрессия на пласт в момент tN текущего N замера, Па;Q0, . . . Qn – объемный расход -Й жидкости в забойных условиях в начале закачки и в момент предшествующего n замера, м3/с;Y(tN) – функция репрессии, характеризующая работу, затраченную на нестационарное течение в призабойной зоне единицы расхода -Й жидкости, в текущий момент времени tN с начала процесса, Па с; – гидропроводность пласта, м2 м/Па c:![]() k – проницаемость пласта для пластовой жидкости, м2; h – эффективная толщина продуктивного пласта, принимающего нагнетаемую жидкость, м; – вязкость пластовой жидкости, Па с.
Одновременно с функцией репрессии Y(tN) вычисляют накопленный объем жидкости в забойных условиях W(tN), поступившего в пласт к моменту времени tN с начала закачки, по формуле:![]() Полученные значения Y(tN) и W(tN) наносят на график. На фиг. 5 представлен график зависимости функции репрессии Y(tN) от накопленного объема жидкости W(tN) на примере закачки в скважину гелеобразующего состава: водного раствора сополимера “Комета” и смолы “ДЭГ”, где по оси абсцисс отложены величины накопленного объема W(tN), м3, по оси ординат – величины функции репрессии Y(tN), МПа с. На фиг. 5 приняты следующие условные обозначения: 1 – первый прямолинейный участок при закачке в пласт 6,7 м3 гелеобразующего состава, 2 – второй прямолинейный участок при дальнейшей закачке в пласт 1,2 м3 гелеобразующего состава, 3 – третий прямолинейный участок при дальнейшей закачке в пласт 4,4 м3 гелеобразующего состава, 4 – четвертый прямолинейный участок при продавке в пласт 4,2 м3 пластовой воды.
При наличии цифровой регистрации устьевых параметров и системы компьютерного анализа определение величин Y(tN), W(tN) и построение графика зависимости:Y(tN)= Y[W(tN)] (14) производят непосредственно в процессе технологического воздействия в реальном времени. Производят аппроксимацию отдельных участков графика зависимости (14) прямолинейными отрезками. В интервале времени [tj, tj+1] линейной аппроксимации определяют наклон прямолинейного участка Bj. Величину коэффициента скин-эффекта Sj, отражающего состояние призабойной зоны скважины в интервале времени [tj, tj+1] технологической операции определяют по формуле: ![]() где Sj – коэффициент скин-эффекта, отражающий дополнительные фильтрационные сопротивления потоку жидкости вследствие загрязнения и несовершенства вскрытия призабойной зоны скважины, в интервале времени [tj, tj+1] технологического воздействия; rC – радиус скважины, м; – пьезопроводность продуктивного пласта, м2/с;Bj – наклон графика зависимости (14) в интервале времени [tj, tj+1] технологического воздействия, Па с/м3.
После достижения запланированной величины скин-эффекта изменяют режим закачки вплоть до ее прекращения.
При определении гидропроводности пласта проводят закачку пластовой жидкости в добывающую или нагнетательную скважину. До проведения операции на скважине задают произвольный ряд M значений гидропроводности пласта m 1< 2 <…< m< …< M, (16)заведомо включающих истинную величину гидропроводности пласта ИСТ 1< ИСТ< M. (17)Организуют процесс импульсной нестационарной закачки пластовой жидкости в скважину. При этом на устье выполняют замеры и регистрацию устьевых давлений, плотности и объемного расхода нагнетаемой пластовой жидкости. Для каждого замера в момент времени t по этим данным в реальном времени процесса рассчитывают потери давления PТР(t) на жидкостное трение в насосно-компрессорных трубах, гидростатическое давление PГ(t) столба нагнетаемой жидкости, динамическое забойное давление РС(t) по формуле (9), репрессию на пласт PC(t) по формуле (10).
Рассчитывают объемный расход нагнетаемой жидкости Q(t) в забойных условиях. Затем для каждого из принятых значений m гидропроводности пласта определяют значения производной Ym/ Xm(tN) функции репрессии на пласт по формуле![]() где N, N-1 – номера текущего и предыдущего замеров (N= 2; 3; 4; . . . ) устьевого давления, плотности и объемного расхода нагнетаемой жидкости; i= 0; 1; 2; . . . N-2 – номера предшествующих замеров; tN, tN-1 – время текущего и предыдущего замеров, с; t0; t1; . . . ti – время предшествующих замеров, с; PC(tN), PC(tN1)- репрессия на пласт в текущем и предыдущем замерах, Па;QN, QN-1 – объемный расход жидкости в забойных условиях в текущем и предыдущем замерах, м3/с; Qi – объемный расход жидкости в забойных условиях в предшествующих замерах, м3/с; 8m(tN) – функция репрессии, характеризующая работу, затраченную на нестационарное течение единицы расхода жидкости в пласте гидропроводностью Hm, в момент времени tN с начала процесса, Па с;Hm – принятая в расчетах гидропроводность пласта, м2 м/Па с:![]() km – принятая в расчетах проницаемость пласта для пластовой жидкости, м2; h – эффективная толщина продуктивного пласта, принимающего нагнетаемую пластовую жидкость, м; П – вязкость пластовой жидкости, Па с.
Одновременно с 8m/ &m(tN) для того же момента времени tN по формуле (13) определяют накопленный объем жидкости в забойных условиях W(tN), поступившей в пласт к моменту времени tN с начала закачки.
Полученные значения наносят на график.
На фиг. 6 представлен график зависимости производной 8m/ &mtN функции репрессии на пласт от накопленного объема жидкости в забойных условиях W(tN) на примере закачки в скважину пластовой жидкости, где по оси абсцисс отложены величины накопленного объема жидкости, 3, по оси ординат – величины производной функции репрессии на пласт. На фиг. 6 приняты следующие условные обозначения: график производной, когда в расчетах принята гидропроводность пласта 5,1 мкм2 м/мПа с;– – график производной, когда в расчетах принята гидропроводность пласта 20,4 мкм2 м/мПа с;– – график производной, когда в расчетах принята гидропроводность пласта 10,3 мкм2 м/мПа с.
Графики производной 8/ & существенно зависят от принятой величины гидропроводности пласта Hm. Чем ближе значения Hm к истинной величине гидропроводности пласта HИСТ, тем ближе графики производной 8/ & к прямой, параллельной оси абсцисс. Если истинное значение HИСТ включено в диапазон (17), то среди полученных кривых зависимости![]() устанавливаются одна – две линии, ближе остальных отвечающих условию: ![]() Далее известным методом последовательного приближения находят величину гидропроводности пласта H, при которой производная 8/ & может быть принята постоянной наилучшим образом. Выбор оптимального выполнения условия (21) достигают численными методами с использованием аппарата практической физики. Величина, обеспечивающая выполнение условия наилучшим образом, и является искомым значением гидропроводности пласта H.
До определения параметров призабойной зоны предлагаемым способом на скважине организуют предварительные исследования с целью уточнения гидропроводности пласта и установления факта существенного загрязнения призабойной зоны (S>20 30).
Если полученная тем или иным известным способом величина коэффициента скин-эффекта S 20 30, реализуют предлагаемый способ.
Указанный предел обусловлен современным техническим уровнем операций по закачке жидкостей в пласты, гарантирует достоверное определение параметров призабойной зоны при регистрации расхода и давления закачки на устье и может быть снижен применением устьевой станции контроля технологических процессов.
Для реализации предлагаемого способа на устье скважины организуют основной процесс импульсной нестационарной закачки пластовой жидкости, который характеризуется колебаниями расхода от минимальных величин, обеспечивающих стабильную закачку с противодавлением на устье скважины, до максимальных, обеспечивающих при этом недопущение развития искусственной трещинности в призабойной зоне пласта. Это достигается выполнением следующего условия:![]() где PC макс – максимально допустимое забойное давление в процессе закачки пластовой жидкости, МПа; раск– давление раскрытия трещин в призабойной зоне пласта, МПа.
Установлено, что для получения достоверных результатов необходимо провести закачку на нескольких (4 6 и более) режимах нагнетания с резкой сменой расхода с большего на меньший и наоборот.
Продолжительность закачки ![]() на каждом режиме устанавливают опытным путем или приближенно оценивают так:![]() где S – значение коэффициента скин-эффекта, определенное при предварительных испытаниях скважины; – пьезопроводность пласта, м2/с.
В формуле (23) коэффициент S безразмерен, а размерность продолжительности закачки на каждом режиме такова: |![]() | = c.На основе выполненных оценок на устье организуют основной процесс импульсной нестационарной закачки пластовой жидкости так, чтобы кривая переменного расхода являлась ступенчатой функцией времени t нагнетания: ![]() где t – текущее время от начала процесса основной закачки пластовой жидкости, с; Z= 1, 2, . . . – порядковый номер режима основной закачки; время начала и окончания Z режима основной закачки (начало первого режима закачки ), с; средний расход в течение Z режима основной закачки (приближенное равенство означает, что в процессе основной закачки пластовой жидкости допускаются колебания расхода до 20 30% от средней величины расхода на данном режиме), м3/с.
В процессе закачки на скважине замеряют и регистрируют устьевое давление, плотность и объемный расход пластовой жидкости с интервалом в 5 60 с (т. е. с периодом опроса 5 60 с). Для каждого замера в момент времени t по этим данным в реальном времени процесса рассчитывают потери давления PТР(t) на жидкостное трение в насосно-компрессорных трубах, гидростатическое давление РC(t) столба нагнетаемой пластовой жидкости, динамическое забойное давление РC(t) поформуле (9), репрессию на пласт PC(t) по формуле (10), объемный расход пластовой жидкости Q(t) в забойных условиях. Затем для каждого N замера, выполненного в текущем временном интервале на Z режиме закачки, определяют функцию репрессии Z( tZ), характеризующую нестационарное течение нагнетаемой жидкости в призабойной зоне на данном режиме, по формуле: (25)где N= 2; 3; 4. . . – номер текущего замера; i= 0; 1; 2; . . . N-1 – номера предшествующих замеров; PC(tN), PC(tN-1)- репрессия на пласт в текущем и предыдущем замерах, Па;QN, QN-1 – объемный расход жидкости в забойных условиях в текущем и предыдущем замерах, м3/с; Qi – объемный расход жидкости в забойных условиях в предшествующих замерах, м3/с; tN – время текущего замера, с; t0, t1, . . . tN-1 – время предшествующих замеров, с; tZ– временной интервал текущего режима основной закачки при ![]() ![]() Ф – пьезопроводность пласта, м2/с; rc – радиус скважины, м. Величина функции репрессии < Z( tZ) безразмерна.
Расчеты по формуле (25) выполняют последовательно для всех замеров устьевых параметров. Для каждого режима Z закачки на основе выполненных замеров устьевых параметров и расчетов по приведенным формулам строят график.
На фиг. 7 представлен график зависимости функции репрессии <Z( tZ) от временного интервала tZ на примере закачки в скважину пластовой жидкости, где по оси абсцисс отложены величины ln tZ, по оси ординат – величины функции репрессии <Z( tZ), соответствующие данному временному интервалу tZ.На фиг. 7 приняты следующие условные обозначения: Z= 1, 2. . . 10 – графики функции репрессии в период времени tZ закачки пластовой жидкости в нефтедобывающую скважину на Z режиме с расходом ![]() При наличии цифровой регистрации устьевых параметров и системы компьютерного анализа определение величин ln tZ, <Z( tZ) и построение графиков зависимости Z( tZ) = Ф(ln tZ) производят непосредственно в процессе закачки жидкости в реальном времени tN текущего замера.
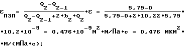
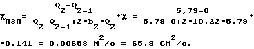
Таким образом, каждому из режимов основной закачки соответствует своя линия (фиг. 7). В общем случае на каждом из полученных графиков выделяют начальный наклонный прямолинейный участок (пример дан в табл. 1), отражающий нестационарное течение нагнетаемой жидкости в загрязненной призабойной зоне на данном Z режиме закачки и описываемый уравнением прямой линии: Z( tZ) = aZ+bZ ln tZ. (27)Известным математическим методом наименьших квадратов находят наклон bZ и начальный участок аZ выделенного прямолинейного отрезка на каждом Z режиме закачки. После этого определяют: гидропроводность призабойной зоны скважины ПЗС![]() пьезопроводность призабойной зоны скважины ПЗС![]() Поскольку все прямые уравнения (9) имеют общую точку пересечения, используя найденные коэффициенты aZ, bZ, aZ-1, bZ-1 для двух смежных режимов (Z, Z-1) закачки, определяют коэффициент скин-эффекта S: ![]() после чего рассчитывают радиус RПЗС зоны загрязнения: ![]() В формулах (28)-(31) размерности величин таковы: [ ] = м2 м/Па c; [ ] = м2/c; [R] = м, коэффициенты aZ, bZ, S безразмерны.
Примеры конкретного выполненияПример 1. На нагнетательной линии перед устьем скважины организуют измерительный участок согласно фиг. 1 и 2 длиной 6 м, позволяющей фиксировать перепады давлений при течении жидких сред с минимальными гидравлическими сопротивлениями. Измерительный участок выполняют в виде калиброванной трубы 1 с внутренним диаметром 62 мм, на которой монтируют два датчика расхода 2 марки ПЭА1, датчик давления 3 марки “МИДА” и дифференциальный манометр 4 типа “Сапфир” с импульсными трубками 5 и 6, соединенными с началом и концом измерительного участка. Замеры давления, расхода и перепада давлений при закачке рабочего агента проводят на измерительном участке 1. Измерительный участок 1 выполнен длиной, позволяющей фиксировать перепады давлений при течении жидких сред с минимальными гидравлическими сопротивлениями. Устройство соединено через нагнетательную линию 7 со скважиной 8. Выходы датчика давления 3 марки “МИДА” и дифференциального манометра 4 типа “Сапфир” соединены электрическими кабелями 9 и 10 с блоками искрозащиты 11 типа “Корунд” и 12 типа “Взлет”, размещенными в выносном блоке 13, и далее с блоком сбора информации 14. Выходы датчиков расхода 2 марки ПЭА1 соединены электрическими кабелями 15 и 16 с вторичными блоками расходомеров 17 типа “Взлет” БИИ и 18 “Днепр-7” БП и далее с блоком сбора информации 14. Блок сбора информации 14 соединен с компьютером 19 типа Ноутбук. При нагнетании рабочего агента через измерительный участок 1 в скважину 8 аналоговые сигналы с датчика давления 3 и дифференциального манометра 4 посредством электрических кабелей 9 и 10 через блоки искрозащиты 11 и 12 поступают в выносной блок 13 и далее в блок сбора информации 14. В блоках искрозащиты 11 и 12 производится гальваническая развязка электрических цепей. Частотные сигналы с датчиков расхода 2 посредством электрических кабелей 15 попадают на вторичные блоки расходомеров 17 и 18, откуда с помощью соединительных кабелей 16 поступают на вход соответствующих каналов блока сбора информации 14. В блоке сбора информации 14 сигналы, поступающие на входы измерительных каналов, преобразуются в цифровую форму и передаются в компьютер 19, где с помощью программного обеспечения поступившая информация визуализируется и заносится в память компьютера 19. При эксплуатации скважины проводят обработку призабойной зоны в нефтедобывающей скважине глубиной 2230 м с целью изоляции водопритоков. На устье скважины организуют процесс импульсной нестационарной закачки реагента с колебаниями расхода и давления с хаотичными изменениями величин по амплитуде и частоте. Расход изменяется по амплитуде от 0,084 до 7,6 л/с, по частоте – от 0,002 до 0,02 Гц. Давление изменяется по амплитуде от 1 до 10 15 МПа при той же частоте.
Процесс обработки скважины заключается в закачке в призабойную зону пласта порций гелеобразующего состава ( = 1) и его продавке пластовой водой ( = 2). В качестве гелеобразующего состава используют водный раствор сополимера “Комета” и смолы “ДЭГ”, образующих псевдопластичную систему. Закачку ведут с начальным расходом 5,3 л/с.
При закачке гелеобразующего состава на скважине выполняют замеры и регистрацию устьевого давления, перепада давлений на измерительном участке, плотности и объемного расхода нагнетаемого раствора с периодом опроса 5 с. Для каждого замера расхода нагнетаемой жидкости Q1(t) и перепада давлений на измерительном участке PИЗМ(t) в реальнoм времени процесса рассчитывают вспомогательные параметры G1, U1 по формулам (1). Так, для t= 1150 с насосно-компрессорные трубы были полностью заполнены водным раствором сополимера “Комета” и смолы “ДЭГ”, при этом устьевые замеры расхода, устьевого давления и перепада давлений на измерительном участке соответственно равны:Q1(t)= 829,44 м3/сут; РУСТ(t)= 13,614 МПа PИЗМ(t) = 0,01441 МПа.Тогда из формулы (1) для t= 1150 с вспомогательные параметры G1, U1 равны: ![]() ![]() где dИЗМ= 0,062 м – внутренний диаметр измерительного участка; LИЗМ= 6 м – длина измерительного участка (расстояние между осями импульсных трубок на измерительном участке). Величины вспомогательных параметров G1, U1, рассчитанные по формулам (1) для момента t, наносят на график зависимости (фиг. 3) U1= U1(G1), где по оси абсцисс откладывают величины lgG, по оси ординат – величины lgU. После получения первых 40 значений U1= U1(G1) производят аппроксимацию полученного массива точек корреляционной зависимостью: U1= 10-13,981 G1 1,5525В дальнейшем по мере поступления новых данных (значений пар GJ и UJ) параметры функциональной зависимости U1= U1(G1) практически не изменились. После установления вида корреляционной зависимости (2) для каждого замера расхода Q1(t) гелеобразующего состава в реальном времени процесса по формуле (3) вычисляют вспомогательный параметр Так, для t= 1150 с:![]() где dНКТ= 0,059 м – внутренний диаметр насосно-компрессорных труб. Принимая из корреляционной зависимости (2) U1= U1(G1) определяют величину ![]() ![]() Для каждого замера расхода Q(t) в реальном времени процесса по формуле (6) рассчитывают коэффициент [(fluid1), t] гидравлических сопротивлений потоку в насосно-компрессорных трубах гелеобразующего состава. Так, для t= 1150 с при расходе Q1(t)= 829,44 м3/сут:![]() где вспомогательный параметр; dНКТ= 0.059м – внутренний диаметр насосно-компрессорных труб; УСT(fluid1) = 1000 кг/м3– плотность гелеобразующего состава в устьевых условиях, кг/м3; Q1(t)= 829,44 м3/сут – расход жидкости в момент t= 1150 с; коэффициент гидравлических сопротивлений потоку в насосно-компрессорных трубах гелеобразующего состава при расходе Q1(t)= 829,44 м3/сут.
Определенные из уравнения (6) значения коэффициента [(fluid1), t] гидравлических сопротивлений потоку в насосно-компрессорных трубах гелеобразующего состава наносят на график зависимости [(fluid1), t] = Ф(Q1(t)) (фиг. 4). По оси абсцисс откладывают величины lg Q1(t), по ординат – величины lg [(fluid1), t].После получения первых 40 точек производят аппроксимацию полученного массива. Корреляционная зависимость [(fluid1), t] = Ф(Q1(t)) имеет вид [(fluid1), t] = 0,61873 Q-0,44751.В дальнейшем по мере поступления новых данных параметры функциональной зависимости U1= U1(G1) практически не изменились. Для каждого замера расхода Q1(t) по корреляционной зависимости [(fluid1), t] = 0,61873 Q-0,44751 в реальном времени процесса рассчитывают коэффициент гидравлических сопротивлений в насосно-компрессорных трубах потока гелеобразующего состава (водного раствора сополимера “Комета” и смолы “ДЭГ”, образующих псевдопластичную систему).
По этим данным для каждого замера расхода Q1(t) в реальном времени процесса по формуле (8) рассчитывают потери давления РТР(t) гелеобразующего состава на жидкостное трение в насосно-компрессорных трубах. Так, при расходе Q1(t)= 829,44 м3/сут потери давления гелеобразующего состава на жидкостное трение равны:![]() где [(fluid1), t]- коэффициент гидравлических сопротивлений гелеобразующего состава в насосно-компрессорных трубах при расходе 829,44 м3/сут;![]() L= 2230 м – длина насосно-компрессорных труб от устья до башмака. Тогда динамическое забойное давление РС(t) в текущий момент времени t= 1150 с при расходе 829,44 м3/сут по формуле (9) равно: PC(t)= PУСТ(t)+PГ(t)-PТР(t)= 13,614+21,876-7,124= 28,366 МПа; где: PУСТ(t)= 13,614 МПа – устьевое давление в момент t= 1150 с закачки гелеобразующего состава при расходе Q1(t)= 829,44 м3/сут; PГ(t)= 21,876 МПа – гидростатическое давление столба гелеобразующего состава; PТР(t)= 7,124 МПа – потери давления гелеобразующего состава на жидкостное трение при расходе Q1(t)= 829.44 м3/сут. Отсюда репрессия на пласт PC(t) в момент t= 1150 с закачки гелеобразующего состава при расходе Q1(t)= 829,44 м3/сут по формуле (10) равна: PC(t)= PC(t)-РПЛ= 28,366-14,952= 14,414 МПа,где РПЛ= 14,952 МПа – пластовое давление, приведенное к глубине L= 2230 м башмака насосно-компрессорных труб. Пример 2. На нагнетательной линии перед устьем скважины организуют измерительный участок, как в примере 1. При эксплуатации скважины глубиной 2230 м проводят обработку призабойной зоны с целью изоляции водопритоков. Процесс обработки заключается в закачке в призабойную зону скважины порций гелеобразующего состава ( = 1) и его продавке пластовой водой ( = 2). В качестве гелеобразующего состава используют водный раствор сополимера “Комета” и смолы “ДЭГ”, образующих псевдопластичную систему. Закачку ведут с начальным расходом 5,3 л/с.
На устье скважины организуют процесс импульсной нестационарной закачки реагента. Процесс импульсной нестационарной закачки реагента характеризуется значительными колебаниями расхода и давления с хаотичными изменениями величин по амплитуде и частоте. Расход изменяется по амплитуде от 0,084 до 13,6 л/с, по частоте – от 0,002 до 0,02 Гц. Давление изменяется по амплитуде от 1 до 10 15 МПа при той же частоте.
В качестве текущей проводимости используют величину, определенную по результатам кратковременного импульсного нестационарного испытания данной скважины на приемистость пластовой жидкостью. Предварительные испытания данной скважины на приемистость пластовой водой показали, что текущая проницаемость пласта k составляет 0,163 мкм2, проводимость k h равна 2,45 мкм2 м, коэффициент скин-эффекта оценен как 12,89. Вязкость пластовой жидкости составляет 1,02 мПа с, таким образом, гидропроводность пласта по формуле (19) равна:![]() Пьезопроводность пласта составляет 0,05 м2/c, радиус скважины rC равен 0,084 м.
Процесс обработки заключается в закачке в призабойную зону скважины порций гелеобразующего состава и его продавке пластовой водой. При этом на скважине выполняют замеры и регистрацию устьевых давлений, плотности и объемного расхода нагнетаемых жидкостей с периодом опроса 5 с. Для каждого момента времени t по этим данным в реальном времени процесса рассчитывают потери давления РТР(t) на жидкостное трение в насосно-компрессорных трубах, гидростатическое давление PГ(t) столба нагнетаемого реагента, динамическое забойное давление РС(t) по формуле (9), репрессию на пласт PC(t) по формуле (10), объемный расход реагента Q(t) в забойных условиях. Затем для каждого N замера (в момент времени tN) по формуле (11) рассчитывают величину функции репрессии Y, а по формуле (13) – накопленный объем реагента W в забойных условиях, поступившего в пласт к этому моменту времени.
Полученные значения Y и W наносят на график (фиг. 5). В реальном времени проводят аппроксимацию отдельных участков полученного графика Y= Y(W) прямолинейными отрезками и определяют их наклон. Первый участок соответствует закачке в призабойную зону 6,7 м3 гелеобразующего состава, при этом его наклон B1 составлял:B1= 1167,9 МПа с/м3= 1167,9 106 Пa c/м3,а коэффициент скин-эффекта S1 по формуле (15): ![]() Эта величина показывает, что проводимость призабойной зоны в результате закачки 6,7 м3 гелеобразующего состава несколько снизилась в процессе дальнейшего нагнетания реагента наклон второго прямолинейного участка, аппроксимирующего кривую Y= Y(W) в диапазоне 6,8 W 8,0 м3, возрос и составил:B2= 1988,7 МПа с/м3= 1988,7 106 Па с/м3.
Величина коэффициента скин-эффекта S2, соответствующая второму участку с наклоном 1988,7 106 Па с/м3, равна S2= 28,605.
Полученная величина указывает на проходящий в призабойной зоне скважины процесс закупорки до проектной величины 28-30. В этой связи после закачки в пласт 8,0 м3 гелеобразующего состава на устье прекращают нагнетание реагента в насосно-компрессорные трубы и начинают качать продавочную жидкость.
На графике Y= Y(W) (фиг. 5) этому соответствуют участки 3 и 4 с практически совпадающими наклонами 1958,8 и 2022,2 МПа с/м3. Участок 3 отражает продавку гелеобразующего состава из насосно-компрессорных труб в призабойную зону продавочной жидкостью (пластовой водой), коэффициент скин-эффекта на этом участке S3 равен 28,154. Следовательно, проектное снижение проводимости призабойной зоны достигнуто, дальнейшей закупорки призабойной зоны скважины не происходит и закачка гелеобразующего состава прекращена правильно. Это подтверждает коэффициент скин-эффекта на 4 участке: S4= 29,11, что соответствует проектному показателю.
Непосредственно перед проведением изоляционных работ гидродинамические исследования не проводились, поэтому в известных способах использовалась величина проводимости пласта по результатам ранее выполненных гидродинамических исследований k h= 4,59 мкм2 м. Вязкость нагнетаемого реагента составляла 15 мПа с.
В результате известные способы показали, что закупорка призабойной зоны не достигнута, а коэффициент скин-эффекта находится в пределах [-0,5–0,15] .
Пример 3. На нагнетательной линии перед устьем скважины организуют измерительный участок как в примере 1 и определяют гидропроводность пласта.
Проводят закачку пластовой жидкости в нефтедобывающую скважину глубиной 2240 м. Для оценки точности определения гидропроводности пласта предлагаемым способом проводят предварительные исследования скважины методом восстановления давления, в соответствии с которым гидропроводность пласта составляет 10,2 мкм2 м/(мПа с). Таким образом, для оценки точности определения гидропроводности пласта принято: ИСТ= 10,2 мкм2 м/(мПа с).До проведения операции на скважине задают произвольный ряд значений гидропроводности пласта m1 мкм2 м/(мПа c) m 30 мкм2 м/(мПа c);заведомо включающих истинную величину гидропроводности пласта ист= 10,2 мкм2 м/(мПа c).Процесс определения гидропроводности пласта заключается в закачке в пласт 3 м3 пластовой жидкости. Закачку ведут с начальным расходом 5,8 л/с. На устье скважины организуют процесс импульсной нестационарной закачки пластовой жидкости с колебаниями расхода от 5,2 до 6,4 л/с и частотой 0,02 Гц, аналогично изменяется давление нагнетания. При этом на скважине выполняют замеры и регистрацию с интервалом в 5 с устьевых давлений, плотности и объемного расхода нагнетаемой пластовой жидкости. Для каждого замера в момент времени t по этим данным в реальном времени процесса рассчитывают потери давления РТР(t) на жидкостное трение в насосно-компрессорных трубах, гидростатическое давление PГ(t) столба нагнетаемой жидкости, динамическое забойное давление РС(t) по формуле (9), репрессию на пласт PC(t) по формуле (10).
Рассчитывают объемный расход нагнетаемой жидкости Q(t) в забойных условиях. Затем для каждого из принятых значений m гидропроводности пласта определяют значение производной Ym/ Xm(tN) по формуле (16). Одновременно с Ym/ Xm(tN) для того же момента времени tN определяют накопленный объем жидкости в забойных условиях W(tN), поступившей в пласт к моменту времени tN с начала закачки, по формуле (13). Полученные значения наносят на график (фиг. 6), где по оси абсцисс откладывают величины W, по оси ординат – соответствующие им значения Ym/ Xm(tN).Графики производной Ym/ Xm(tN) существенно зависят от принятой величины гидропроводности пласта m. Чем ближе значения m к истинной величине гидропроводности пласта ист, тем ближе графики производной Ym/ Xm(tN) к прямой, параллельной оси абсцисс. Среди полученных кривых зависимости Ym/ Xm(tN) = Ym/ Xm[W(tN)] установлены две линии, ближе остальных отвечающих условию (21): Y/ X[t, ИСT] = const.Далее известным методом последовательного приближения находят величину гидропроводности пласта = 10,3 мкм2 м/(мПа c), при которой производная Y/ X может быть принята постоянной наилучшим образом. Выбор оптимального выполнения условия (21) достигают численными методами с использованием аппарата практической физики. Величина , обеспечивающая выполнение условия (21) наилучшим образом, и является искомым значением гидропроводности пласта, а погрешность ее определения равна 1%.
Пример 4. На нагнетательной линии перед устьем скважины организуют измерительный участок как в примере 1 и определяют параметры призабойной зоны скважины.
Предлагаемый способ реализуют на нефтедобывающей скважине глубиной 2240 м.
Для оценки точности определения параметров призабойной зоны скважины предлагаемым способом до проведения работ по реализации предлагаемого способа на скважине дополнительно выполняют гидродинамические исследования методом восстановления забойного давления и гидропрослушивания, определяя при этом гидропроводность , ПЗП и пьезопроводность , ПЗП пласта и призабойной зоны, коэффициент скин-эффекта S и радиус зоны загрязнения RПЗП: = 10,2 мкм2 м/(мПа c); ПЗП= 0,51 мкм2 м/(мПа c); = 1410 см2/c; ПЗП= 70,6 см2/c;S= 56,9; RПЗП= 1,68 м. До определения параметров призабойной зоны предлагаемым способом на скважине организуют предварительные исследования с целью уточнения гидропроводности пласта. Для этого проводят импульсную нестационарную закачку пластовой жидкости в пласт. Полученная при этом величина гидропроводности пласта совпадает с результатами гидродинамических исследований. Установлено также существенное загрязнение призабойной зоны (S>20 30). Поэтому далее реализуют предлагаемый способ, при этом достоверное определение параметров призабойной зоны достигают регистрацией параметров процесса (расхода, плотности жидкости и давления нагнетания) на устье скважины.
Для реализации предлагаемого способа на устье нефтедобывающей скважины организуют основной процесс импульсной нестационарной закачки пластовой жидкости. Основной процесс импульсной нестационарной закачки характеризуется колебаниями расхода от минимальных величин 0,58 л/с, обеспечивающих стабильную закачку с противодавлением на устье скважины, до максимальных 5,79 л/с, обеспечивающих при этом недопущение развития искусственной трещиноватости в призабойной зоне пласта, что достигается выполнением условия (22) для максимального забойного давления в процессе закачки пластовой жидкости: PC макс<30,6 МПа,где РС макс – максимально допустимое забойное давление в процессе закачки пластовой жидкости, МПа. Для получения достоверных результатов выполняют закачку пластовой жидкости на 10 режимах нагнетания с резкой сменой расхода с большего на меньший и наоборот (табл. 1). Продолжительность закачки ![]() на каждом режиме приближенно оценивают по формуле (23):![]() для реализации предлагаемого способа продолжительность закачки на каждом режиме принята ![]() = 200c (табл. 1).
Таким образом, на основе выполненных оценок на устье организуют основной процесс импульсной нестационарной закачки пластовой жидкости с резкой сменой расходов от максимальных до минимальных значений и обратно (табл. 1) каждые 200 с так, что кривая переменного расхода образует некоторую ступенчатую функцию (24) времени t нагнетания (табл. 1).
При закачке пластовой жидкости для определения параметров призабойной зоны на скважине замеряют и регистрируют с интервалом в 10 с (т. е. с периодом опроса 10 с) устьевое давление, плотность и объемный расход нагнетаемого реагента. Для каждого замера в момент времени t по этим данным в реальном времени процесса рассчитывают потери давления РТР(t) на жидкостное трение в насосно-компрессорных трубах, гидростатическое давление РГ(t) столба нагнетаемой жидкости, динамическое забойное давление РС(t) по формуле (9). Далее рассчитывают репрессию на пласт PC(t) по формуле (10). Для каждого текущего N замера, сделанного в текущем временном интервале на Z режиме закачки, рассчитывают значение функции репрессии Z( tZ), характеризующей нестационарное течение нагнетаемой жидкости в призабойной зоне скважины на данном режиме.
Расчеты выполняют последовательно для всех выполняемых замеров устьевых параметров. Для каждого режима Z закачки на основе выполненных замеров устьевых параметров и расчетов строят график, где по оси абсцисс откладывают величины ln tZ, по оси ординат – соответствующие данному временному интервалу tZ величины функции репрессии Z( tZ). На фиг. 7 представлены графики функции репрессии Z( tZ), характеризующей нестационарное течение нагнетаемой жидкости в загрязненной призабойной зоне скважины в течение Z(Z= 1; 2; . . . 9; 10) режима закачки, последовательно для всех 10 режимов импульсной нестационарной закачки пластовой жидкости в нефтедобывающую скважину при определении параметров призабойной зоны пласта предлагаемым способом в примере 1. Z= 1; 2; . . . 9; 10 – графики зависимости функции Z( tZ) = Ф(ln tZ) от времени tZ закачки пластовой жидкости в нефтедобывающую скважину на Z режиме с расходом (табл. 1).
Таким образом, каждому из 10 режимов основной закачки соответствует своя линия (фиг. 7). На каждом из 10 полученных графиков в интервале 20c tZ 140c выделяют начальный наклонный прямолинейный участок, отражающий нестационарное течение нагнетаемой жидкости в загрязненной призабойной зоне на данном Z режиме закачки и описываемый уравнением прямой линии (27) с весьма высокими (0,96 0,99) коэффициентами корреляции. Методом наименьших квадратов находят наклон bZ и начальный участок aZ выделенного прямолинейного отрезка на каждом Z режиме закачки (табл. 1). Далее определяют гидропроводность ПЗП и пьезопроводность ПЗП призабойной зоны пласта по формулам (28), (29):![]() ![]() Аналогично определяют для остальных режимов закачки (табл. 1). Используя найденные коэффициенты aZ, bZ, aZ-1, bZ-1 для двух нежных режимов Z, Z-1 закачки, по формулам (30):![]() после чего по формуле (31) рассчитывают радиус RПЗП зоны загрязнения: ![]() Аналогично определяют S и RПЗП для остальных режимов нагнетания. Итоги определений параметров призабойной зоны на 10 режимах закачки приведены в табл. 1, здесь же даны средние величины параметров. Из сопоставления с результатами гидродинамических исследований скважины известным методом восстановления давления следует, что точность предлагаемого способа вполне достаточна для использования в нефтепромысловой практике. В рассматриваемом случае погрешности определения гидропроводности и пьезопроводности призабойной зоны составляют 7,4%; коэффициента скин-эффекта 5,6%; радиуса зоны загрязнения 3,6%. Применение предложенного способа позволит повысить точность оценки эффективности воздействия. Формула изобретения
РИСУНКИ
MM4A Досрочное прекращение действия патента Российской Федерации на изобретение из-за неуплаты в установленный срок пошлины за поддержание патента в силе
Дата прекращения действия патента: 09.05.2004
Извещение опубликовано: 10.03.2005 БИ: 07/2005
Изменения:
Номер и год публикации бюллетеня: 7-2005
Извещение опубликовано: 27.04.2005 БИ: 12/2005
|
||||||||||||||||||||||||||

60 с замер и регистрацию давления, плотности и расхода закачиваемой пластовой жидкости, пересчет данных на забойные условия, для каждого замера в условиях импульсной нестационарной закачки пластовой жидкости во время каждого режима закачки определение функции репрессии, характеризующей нестационарное течение в призабойной зоне скважины на протяжении данного режима закачки жидкости, для каждого режима построение графика зависимости функции репрессии от логарифма времени закачки на данном режиме, на каждом из полученных графиков выделение начального наклонного прямолинейного участка, методом наименьших квадратов нахождение параметров выделенных прямолинейных участков, по которым определение гидропроводности и пьезопроводности загрязненной призабойной зоны, а также ее радиуса и коэффициента скин-эффекта (Патент РФ 2151858, кл. Е 21 В 43/20, опублик. 2000 г. ).
Общим недостатком известных способов является малое число измеряемых параметров, низкая точность и эффективность определения забойного давления при закачке жидкостей со сложной реологией и трудности в определении потенциала скважины.
Наиболее близким к изобретению по технической сущности является способ эксплуатации скважины, в результате осуществления которого происходит определение характеристик скважины, призабойной зоны и пласта, включающий импульсную нестационарную закачку реагента, на устье скважины замер давления закачки и расхода реагента, пересчет данных замеров на забойные условия, определение накопленного расхода и работы, затрачиваемой на нестационарное течение в призабойной зоне скважины единицы расхода реагента, по этим показателям с учетом текущей проводимости пласта рассчет коэффициента скин-эффекта, в качестве текущей проводимости использование величины, определенной по результатам кратковременного импульсного нестационарного испытания данной скважины на приемистость пластовой жидкостью, изменение режима закачки реагента при достижении необходимых фильтрационных свойств призабойной зоны скважины, определенных по скин-эффекту, рассчитанному по накопленному расходу и работе течения единицы расхода реагента в призабойной зоне скважины с учетом текущей проводимости пласта (Патент РФ 2151855, кл. Е 21 В 43/20, опублик. 2000 г. – прототип).
Недостатком известного способа является малое число измеряемых параметров и невысокая точность определения характеристик скважины, призабойной зоны и пласта.
В изобретении решается задача увеличения числа измеряемых параметров и повышение точности определения характеристик скважины, призабойной зоны и пласта.
Задача решается тем, что в способе определения характеристик скважины, призабойной зоны и пласта, включающем импульсную нестационарную закачку реагента, замер на устье скважины давления закачки и расхода реагента, пересчет данных замеров на забойные условия, определение накопленного расхода и работы, затрачиваемой на нестационарное течение в призабойной зоне скважины единицы расхода реагента, расчет коэффициента скин-эффекта по этим показателям с учетом текущей проводимости пласта, использование в качестве текущей проводимости величины, определенной по результатам кратковременного импульсного нестационарного испытания данной скважины на приемистость, изменение режима закачки реагента при достижении необходимых фильтрационных свойств призабойной зоны скважины, определенных по скин-эффекту, рассчитанному по накопленному расходу и работе течения единицы расхода реагента в призабойной зоне скважины с учетом текущей проводимости пласта, согласно изобретению, на нагнетательной линии перед устьем скважины организуют измерительный участок длиной, позволяющей фиксировать перепады давлений при течении жидких сред с минимальными гидравлическими сопротивлениями, в виде калиброванной трубы, на которой монтируют датчики расхода, датчик давления и дополнительно дифференциальный манометр с импульсными трубками, соединенными с началом и концом измерительного участка, и производят замеры давления, расхода и перепада давлений при закачке рабочего агента в скважину.
Кроме того, для каждого замера в условиях импульсной нестационарной закачки жидкости во время каждого режима закачки определяют функцию репрессии, характеризующую нестационарное течение в призабойной зоне пласта на протяжении данного режима закачки жидкости, для каждого режима строят график зависимости функции репрессии от логарифма времени закачки на данном режиме, на каждом из полученных графиков выделяют начальный наклонный прямолинейный участок, методом наименьших квадратов находят параметры выделенных прямолинейных участков, по которым определяют гидропроводность и пьезопроводность загрязненной призабойной зоны, а также ее радиус и коэффициент скин-эффекта.
Дополнительно определяют накопленный расход и производную функции репрессии, характеризующей работу, затрачиваемую на нестационарное течение в пласте единицы расхода пластовой жидкости, строят график зависимости производной функции репрессии от накопленного расхода для диапазона значений гидропроводности, заведомо включающих искомую гидропроводность продуктивного пласта, среди множества полученных кривых производной выбирают линию, ближе остальных отвечающую условию постоянства производной, по которой определяют гидропроводность продуктивного пласта.
Известно контролирующее устройство для газовой скважины. Устройство, устанавливаемое на устье газовой скважины для определения величины давления на забое скважины, содержит фиксированный измерительный комплекс. Последний имеет датчики для измерения давления и температуры газа, которые введены в газовый поток, идущий через устье скважины. Для систематического контроля за правильностью измерений, проведенных с помощью датчиков, измерительный блок содержит автоматическое устройство, обеспечивающее периодическое взятие проб из газового потока, идущего через устье скважины. С этим устройством технологически связан процессор, обеспечивающий вычисление величины давления газа на дне скважины, которые он производит на основании данных, полученных с помощью датчиков, установленных в газовом потоке, идущем через устье скважины. К процессору подсоединен блок памяти, обеспечивающий прием, запоминание и хранение данных о давлении и температуре газа, которые поступают в блок памяти процессора через заданные интервалы времени. К блоку памяти подключен дисплей, на экране которого демонстрируется цифровая информация о давлении и температуре в газовом потоке, идущем через устье скважины, а также информация о давлении газа на забое скважины (Патент США 4414846, кл. 37-151, опублик. 1983).
Известное устройство позволяет контролировать параметры среды, исходящей из скважины, и не способно контролировать параметры при закачке среды в скважину.
Наиболее близким к изобретению по технической сущности является для определения характеристик скважины, призабойной зоны и пласта, включающее датчик давления и датчики расхода, подключенные к приспособлению для регистрации параметров среды. (А. С. СССР 1469110, кл. Е 21 В 47/00, опублик. 1989 г. )
-M этапе будет закачана
PИЗМ(t) в реальном времени процесса рассчитывают вспомогательные параметры G




соответствующую величине 


[(fluid
вспомогательный параметр, определяемый выражением (5), МПа;
УСT(fluid

с;
– гидропроводность пласта, м2
– вязкость пластовой жидкости, Па

– пьезопроводность продуктивного пласта, м2/с;
PC(tN), 
график производной, когда в расчетах принята гидропроводность пласта 5,1 мкм2
– график производной, когда в расчетах принята гидропроводность пласта 20,4 мкм2

20
раск– давление раскрытия трещин в призабойной зоне пласта, МПа.
Установлено, что для получения достоверных результатов необходимо провести закачку на нескольких (4
на каждом режиме устанавливают опытным путем или приближенно оценивают так:

время начала и окончания Z режима основной закачки (начало первого режима закачки
), с;
средний расход в течение Z режима основной закачки (приближенное равенство
означает, что в процессе основной закачки пластовой жидкости допускаются колебания расхода до 20
на данном режиме), м3/с.
В процессе закачки на скважине замеряют и регистрируют устьевое давление, плотность и объемный расход пластовой жидкости с интервалом в 5
на Z режиме закачки, определяют функцию репрессии
Z(
(25)








Так, для t= 1150 с:
из корреляционной зависимости (2) U1= U1(G1) определяют величину 


вспомогательный параметр; dНКТ= 0.059м – внутренний диаметр насосно-компрессорных труб;
коэффициент гидравлических сопротивлений потоку в насосно-компрессорных трубах гелеобразующего состава при расходе Q1(t)= 829,44 м3/сут.
Определенные из уравнения (6) значения коэффициента 



W
на Z режиме закачки, рассчитывают значение функции репрессии
(табл. 1).
Таким образом, каждому из 10 режимов основной закачки соответствует своя линия (фиг. 7). На каждом из 10 полученных графиков в интервале 20c 

для остальных режимов закачки (табл. 1). Используя найденные коэффициенты aZ, bZ, aZ-1, bZ-1 для двух нежных режимов Z, Z-1 закачки, по формулам (30):
