Патент на изобретение №2179557
|
||||||||||||||||||||||||||
(54) ПРОИЗВОДНЫЕ 2,3-БЕНЗОДИАЗЕПИНА, ПРОМЕЖУТОЧНЫЕ СОЕДИНЕНИЯ ДЛЯ ИХ ПОЛУЧЕНИЯ И СРЕДСТВО, ОБЛАДАЮЩЕЕ ИНГИБИРУЮЩЕЙ АКТИВНОСТЬЮ В ОТНОШЕНИИ АМРА-РЕЦЕПТОРОВ
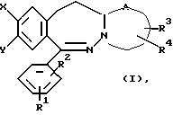
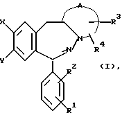
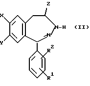
(57) Реферат: Описываются производные 2,3-бензодиазепина общей формулы I, где R1 обозначает водород, нитро, галоген, NH2, R2 обозначает водород, R3 и R4, одинаковые или различные, обозначают водород, галоген, C1-6-алкокси, PO3R13R14, C1-6-алканоил, в случае необходимости замещенный галогеном или С1-6-алкоксигруппой C1-6-алкил, С3-7-циклоалкил, фенил или пиридил, R13, R14, одинаковые или различные, обозначают водород или C1-6-алкил, Х обозначает водород или галоген, Y обозначает C1-6-алкокси или Х и Y вместе обозначают – O-(СН3)n-O-, где n обозначает 1, А вместе с атомом азота образует насыщенный или ненасыщенный пятичленный гетероцикл, который может содержать 1-3 атома азота или один атом азота и один атом кислорода, и/или одну или две карбонильные группы, а также их изомеры и физиологически приемлемые соли; промежуточные соединения IIa и IIIa, используемые в их синтезе, и средство, обладающее ингибирующей активностью в отношении АМРА-рецепторов и содержащее соединение I. Соединения I являются ингибиторами АМРА-рецепторов и могут быть использованы для лечения заболеваний центральной нервной системы. 3 с. и 2 з. п. ф-лы. ![]() ![]()
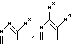
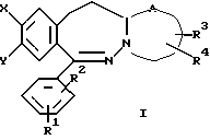
Данное изобретение относится к новым производным 2,3-бензодиазепина, их получению и применению в качестве лекарственных средств. Уже известно, что избранные производные 2,3-бензодиазепина обладают модуляторной активностью в отношении рецепторов хисквалата и благодаря этому свойству пригодны в качестве лекарственных средств для лечения заболеваний центральной нервной системы. Было обнаружено, что производные 2,3-бензодиазепина согласно данному изобретению пригодны для лечения заболеваний центральной нервной системы, причем эти соединения отличаются улучшенными свойствами по сравнению с указанным уровнем техники. Данное изобретение относится к соединениям формулы I ![]() где R1 и R2, одинаковые или различные, обозначают водород, C1-6-алкил, нитро, галоген, циано, группу -NR8R9, -O-C1-4-алкил, -СF3, ОН или C1-6-алканоилокси, R3 и R4, одинаковые или различные, обозначают водород, галоген, C1-6-алкокси, гидрокси, тиоцианато, C1-6-алкилтио, циано, COOR12, PO3R13R14, C1-6-алканоил, C1-6-алканоилокси, в случае необходимости замещенный C1-4-алкокси или фенилом, C2-6-алкинил, в случае необходимости замещенный C1-4-алкокси или фенилом, С2-6-алкенил, в случае необходимости замещенный галогеном, гидрокси, C1-6-алкокси, C1-6-тиоалкилом, NR10-R11C1-6-aлкил, С3-7-циклоалкил или в случае необходимости замещенный арильный или гетероарильный радикал, R8 и R9, одинаковые или различные, обозначают водород, C1-6-алкил или группу -CO-C1-6-алкил, R10 и R11, одинаковые или различные, обозначают водород, C1-6-алкил или C1-6-алканоил или вместе с атомом азота образуют 5-7-членный насыщенный гетероцикл, который может содержать дополнительно атом кислорода, серы или азота и быть замещенным, R12, R13, R14 одинаковы или различны и обозначают Н или C1-6-алкил, Х обозначает водород или галоген, Y обозначает C1-6-алкокси или Х и Y вместе обозначают -О-(CH2)n-О-, n равно 1, 2 или 3 и А вместе с азотом образует насыщенный или ненасыщенный пятичленный гетероцикл, который может содержать 1-3 атома азота и/или один атом кислорода, и/или одну или две карбонильные группы, или их изомерам или физиологически переносимым солям. Под алкилом следует понимать неразветвленный или разветвленный алкильный радикал, такой как, например, метил, этил, пропил, изопропил, бутил, изобутил, втор-бутил, пентил, изопентил или гексил. R3 и R4 в значении С2-6-алкенила содержат, по меньшей мере, одну двойную связь и представляют собой, например, винил, пропенил, бутен-1-ил, изобутенил, пентен-1-ил, 2,2-диметилбутен-1-ил, 3-метилбутен-1-ил, гексен-1-ил. Если R3 или R4 обозначает С2-6-алкинил, то присутствует, по меньшей мере, одна тройная связь, как, например, в радикалах этинил, пропинил, бутин-1-ил, пентин-1-ил, пентин-2-ил, 3-метилбутин-1-ил, гексин-1-ил. Алкенильный и алкинильный радикалы могут быть замещенными, например, C1-4-алкокси или фенилом, который может быть замещен галогеном. При наличии галогенированного алкильного радикала он может один раз или несколько раз галогенированным или пергалогенированным, как, например, CF3. Под галогеном следует понимать, смотря по обстоятельствам, фтор, хлор, бром или иод. Арильный или гетероарильный остаток R3 и R4 может быть одинаково или различно моно-, ди- или тризамещенным галогеном, C1-4-алкокси или C1-4-алкилом. Арильный и гетероарильный радикалы могут присутствовать в виде моно- или бицикла и содержать 5-12 атомов в цикле, предпочтительно 5-9 атомов в цикле, как, например, фенил, бифенил, нафтил, инденил в качестве арильного радикала и тиенил, фурил, пиранил, пирролил, пиразолил, пиридил, пиримидинил, пиридазинил, оксазолил, изооксазолил, тиазолил, изотиазолил, 1,3,4-оксадиазол-2-ил, 1,2,4-оксадиазолил-5-ил, 1,2,4-оксадиазол-3-ил, хинолил, изохинолил, бензо[1] тиенил, бензофуранил в качестве гетероарильного радикала с 1-3 гетероатомами, такими как сера, кислород и/или азот. В качестве предпочтительных можно было бы назвать 2-тиенил, 3-тиенил, пиридин-2-ил, пиридин-3-ил, пиридин-4-ил и фенил. Под циклоалкилом имеют в виду, смотря по обстоятельствам, циклопропил, циклобутил, циклопентил, циклогексил и циклогептил, в частности, С3-5-циклоалкил. В качестве алканоильных радикалов пригодны, смотря по обстоятельствам, неразветвленные или разветвленные алифатические остатки карбоновых кислот, такие как формил, ацетил, пропионил, бутаноил, изопропилкарбонил, капроил, валероил, триметилацетил и др. Если R10 и R11 вместе с атомом азота образуют гетероцикл, то в качестве примеров могут быть названы пиперидин, пирролидин, тиоморфолин, гексагидроазепин, морфолин, пиперазин, имидазолин, гексагидродиазепин. Если гетероцикл является замещенным, то может 1-2 раза присутствовать заместитель, например, как в случае N-метилпиперазина, N-фенилпиперазина, 2,6-диметилморфолина. Если А образует вместе с атомом азота насыщенный гетероцикл, то он может быть замещен по атомам углерода или по дополнительному атому азота. В этом случае А обозначает, например, С3-алкилен, который может быть замещен R3 и R4 и у которого 1, 2 или 3 алкиленовых группы могут быть заменены кислородом, карбонидом или -NR3-, как например, -(СН2)3-, -CH2-NR3-CH2-, CH2-О-CH2-, СН2-О-СО-, -СH2NR3-СО-, -CO-NR3-CO- или CH2-O-CR3R4, причем карбонильная группа связана с атомом азота бензодиазепина и R3 и R4 предпочтительно обозначают C1-4-алкил. Эти соединения формулы I содержат хиральный центр в 4-положении 2,3-бензодиазепинового остатка и могут существовать в виде рацемата или оптических изомеров. Если А образует вместе с атомом азота ненасыщенный 5-членный гетероцикл, то в 4-положении 2,3-бензодиазепинового остатка нет хирального атома углерода, но присутствует экзоциклическая двойная связь. Ненасыщенный 5-членный гетероцикл может быть частично ненасыщенным или ароматическим. Предпочтительны гетероароматы с 1-3 атомами азота, где А имеет, например, следующее значение: ![]() ![]() ![]() Физиологически переносимые соли образуются из неорганических и органических кислот. Пригодны такие неорганические кислоты, как, например, галогенводородные кислоты, такие как хлористоводородная кислота, бромистоводородная кислота, фосфорная кислота, серная кислота, или органические кислоты, такие как, например, алифатические или ароматические моно- или дикарбоновые кислоты, такие как муравьиная кислота, уксусная кислота, малеиновая кислота, фумаровая кислота, янтарная кислота, молочная кислота, винная кислота, лимонная кислота, щавелевая кислота, глиоксиловая кислота или сульфоновые кислоты, например, C1-4-алкилсульфоновые кислоты, такие как метансульфоновая кислота, или необязательно замещенные галогеном или C1-4-алкилом бензолсульфоновые кислоты, такие как п-толуолсульфокислота. Соединения формулы I включают также все возможные стереоизомеры и их смеси, такие как диастереомеры, рацематы и энантиомеры. Предпочтительны соединения общей формулы I, где R2 обозначает водород. Соединения общей формулы I, а также их физиологически переносимые соли благодаря их неконкурентному ингибированию АМРА-рецепторов применимы в качестве лекарственных средств. Благодаря своему действию соединения данного изобретения пригодны для лечения заболеваний, которые обусловлены гиперактивностью возбуждающих аминокислот, таких как, например, глутамат или аспартат. Поскольку новые соединения действуют как неконкурентные антагонисты возбуждающих аминокислот, они пригодны, в частности, для лечения таких заболеваний, которые опосредованы рецепторами возбуждающих аминокислот, в частности, АМРА-рецептором. Фармакологическую эффективность соединений формулы I определяли при помощи описанных ниже тестов. Самцов мышей NMRI с весом 18-22 г содержали при контролируемых условиях (600-1800 часов свет/темнота, при свободном доступе к корму и воде) и распределение на группы рандомизировали. Группы состояли из 5-16 животных. Наблюдение животных проводили между 600 и 1300 ч. АМРА вводили инъекцией в левый желудочек мозга свободно подвижных мышей. Аппликатор состоял из полой иглы с приспособлением из нержавеющей стали, которое ограничивало глубину инъекции до 3,2 мм. Аппликатор был подключен к инъекционному насосу. Инъекционную иглу вводили перпендикулярно поверхности черепа согласно координатам Montemurro и Dukelow. Животных наблюдали до возникновения клонических или тонических судорог до 180 секунд. Клонические движения, которые продолжались более 5 секунд, считались судорогами. Начало клонических судорог использовали в качестве конечной точки для определения порога судорог. Дозу, которая необходима для повышения или понижения порога судорог на 50% (THRD50), определяли в 4-5 экспериментах. THRD50 и доверительную границу определяли регрессионным анализом. Результаты этого опыта показывают, что соединение формулы I и его кислотно-аддитивные соли влияют на функциональные нарушения АМРА-рецепторов. Поэтому они пригодны для приготовления лекарственных средств для симптоматического и профилактического лечения заболеваний, которые обусловлены изменением функции комплексов АМРА-рецептор. Лечение соединениями данного изобретения тормозит или замедляет возникающие вследствие заболевания клеточные повреждения и функциональные нарушения и уменьшает возникающие вследствие этого симптомы. Согласно изобретению эти соединения применяются для лечения нейрологических и психиатрических расстройств, которые провоцируются избыточной стимуляцией АМРА-рецепторов. К нейрологическим заболеваниям, которые можно лечить функционально и профилактически, относятся, например, нейродегенеративные нарушения, такие как болезнь Паркинсона, болезнь Альцгеймера, Хорея Хангтингтона, амиотрофический боковой склероз и оливопонто-мозжечковая дегенерация. Согласно изобретению эти соединения могут применяться для предупреждения постишемической гибели клеток, гибели клеток после травмы мозга, при ударе (инсульте), гипоксии, кислородной недостаточности и гипогликемии и для лечения старческой деменции, деменции при СПИДе, нейрологических симптомов, которые связаны с ВИЧ-инфекциями, мультиинфарктной деменции, а также эпилепсии и мышечных спазмов. К психиатрическим заболеваниям относятся фобии, шизофрения, мигрень, болевые состояния, а также нарушения сна и симптомы отмены после злоупотребления наркотическими веществами, например, при отмене алкоголя, кокаина, бензодиазепинов или опиатов. Кроме того, эти соединения могут найти применение в предупреждении развития привыкания во время долгосрочного лечения седативными лекарственными средствами, такими как, например, бензодиазепины, барбитураты и морфин. Кроме того, эти соединения могут использоваться в качестве анестезирующих средств (наркоза), обезболивающих средств и противорвотных средств. Для применения соединений данного изобретения в качестве лекарственных средств их готовят в форме фармацевтического препарата, который наряду с активным веществом в эффективном количестве содержит пригодные для энтерального или парентерального введения фармацевтические органические или неорганические носители, как например, воду, желатин, гуммиарабик, молочный сахар, крахмал, стеарат магния, тальк, растительные масла, полиалкиленгликоли и т. д. Фармацевтические препараты могут быть в твердой форме, например в виде таблеток, драже, суппозиториев, капсул, или в жидкой форме, например в виде растворов, суспензий или эмульсий. Кроме этого, они необязательно содержат вспомогательные вещества, такие как консерванты, стабилизаторы, смачивающие вещества или эмульгаторы, соли для изменения осмотического давления или буферы. Для парентерального применения особенно пригодны инъекционные растворы или суспензии, в частности, водные растворы активных соединений в полигидроксиэтоксилированном касторовом масле. В качестве системы носителей могут также использоваться поверхностно-активные добавки, такие как соли желчных кислот или животные или растительные фосфолипиды, а также их смеси, а также липосомы или их компоненты. Для перорального применения особенно пригодны таблетки, драже или капсулы с тальком и/или углеводородным носителем или связующим, таким как, например, лактоза, кукурузный или картофельный крахмал. Соединения могут применяться также в жидкой форме, например в виде сока, к которому необязательно добавляют подслащивающее вещество. Дозирование активного вещества может варьироваться в зависимости от способа введения, возраста и веса пациента, типа и тяжести заболевания, подвергаемого лечению, и подобных факторов. Суточная доза составляет 0,5-1000 мг, предпочтительно 50-200 мг, причем эта доза может предоставляться в виде отдельной одноразовой дозы, или может быть разделена на две или несколько доз в день. Получение соединений согласно данному изобретению осуществляется, например, таким образом, что а) соединение общей формулы II ![]() где R1, R2, Х и Y имеют указанное выше значение, циклизуют путем взаимодействия ) Z= COOC1-6-алкил с R3-N= O= O до получения соединений с А в значении -CO-NR3-CO- ) Z= CH2OH или -CH2NHR3 с фосгеном до получения соединений с А в значении -СН2-О-СО- или -CH2-NR3-CO- ) Z= -СН2ОН с R3-CO-R4 до получения соединений с А в значении -CH2O-CR3R4, где R3 и R4 имеют указанное выше значение,b) соединение формулы III или IV ![]() или ![]() где R1, R2, Х и Y имеют указанное выше значение, циклизуют путем взаимодействия ) Z’= -СН= СН= СООС1-6-алкил с борантриметиламиновым комплексом и бортрифторидэфиратом до получения соединений с А в значении -(СН2)3– и (СН2)2-СО- ) Z’= -CH= N-NH2 в присутствии сульфата меди до получения соединений с А в значении = CH-N= N- ) Z’= -S-C1-4-алкил с гидразингидратом и ангидридами кислот или гидразидами кислот до получения соединений с А в значении = N-N= CR3– ) Z’= -S-C1-4-алкил с -аминоацеталями до получения соединений с А в значении = N-CR3= CR4– ) Z’= СН2ОН переводят в CH2NH2, ацилируют и циклизуют до получения соединений с А в значении = CH-N= CR3-,с) соединение формулы V, ![]() где R1, R2, X и Y имеют указанное выше значение, подвергают взаимодействию с -аминокислотами, -аминокеталями, H2N-CH2 C-R3 или аммиаком и -галогенкетонами и затем, если желательно, нитрогруппу R1 и/или R2 восстанавливают, аминогруппу ацилируют или алкилируют или переводят в галоген или гидрокси или циано-группу или дезаминируют или Х одновременно с восстановлением нитрогруппы или после этого дегалогенируют или водород замещают галогеном или галоген заменяют другим галогеном, -PO3R13R14, цианогруппой, C1-6-алканоилом, C1-6-алканоилокси, гидрокси, необязательно замещенным С2-6-алкинилом, необязательно замещенным С2-6-алкенилом, необязательно замещенным C1-6-алкилом, C1-6-алкокси, СF3, C1-6-тиоалкилом, COOR12 или Y переэтерифицируют или изомеры разделяют или образуют соли.
Присоединение конденсацией гетероцикла осуществляют целенаправленно в 4-положении подходящим образом замещенных 2,3-бензодиазепинов.
Взаимодействие алкильных радикалов, где Z= -COO-C1-6-алкил, с R3-N= C= О в апротонных растворителях, таких как галогенированные углеводороды, при комнатной температуре или при повышенной температуре приводит к соединениям формулы I с А в значении -CO-NR3-CO-. Если соединения формулы II, где Z= -CH2OH или -CH2-NHR3, подвергают взаимодействию с фосгеном в присутствии третичных аминов в инертных растворителях, в случае необходимости таких, как галогенированные углеводороды, получают соединения формулы I с А в значении -СН2-О-СО- или -CН2-NR3-CO-.
Если соединения формулы II, где Z= -СН2ОН, подвергают взаимодействию с карбонильными соединениями в присутствии кислот, таких как соляная кислота, получают в качестве продукта циклизации соединения формулы I, где А обозначает -CH2O-CR3R4.
Если 2,3-бензодиазепин содержит в 4-положении формильную группу, то он может быть превращен, например, в реакции Виттига обычным путем в соединение формулы III, где Z’ обозначает СН= СН-СОО-С1-6-алкил.
При обработке полученного сложного эфира акриловой кислоты борантриметиламиновым комплексом и бортрифторидэфиратом в галогенированном углеводороде, таком как дихлорметан, получают соединения формулы I с А = -(СН2)3– и (СН2)2-СО-, которые могут быть разделены колоночной хроматографией. При взаимодействии формилированного в 4-положении 2,3-бензодиазепина с гидразингидратом получают соответствующее производное гидразона, которое растворяют в полярном растворителе и смешивают с раствором сульфата меди в воде. Получают продукт циклизации соединений формулы I, где А обозначает CH-N= N-.
При взаимодействии соединения формулы III или IV, где Z’ обозначает C1-4-алкил-S-, с гидразидами кислот в присутствии кислоты, например сульфоновой кислоты, в органическом растворителе получают соединения формулы I, где А обозначает = N-N= CR3-. Реакцию можно также проводить таким образом, что алкилтиопроизводное нагревают в органическом растворителе с гидразингидратом и затем подвергают взаимодействию с ангидридом кислоты до получения желаемого продукта.
При нагревании метилтиопроизводного бензодиазепина с -аминоацеталями H2N-CR3Н-CH-(O-алкил)2, H2N-CH2CR4-(О-алкил)2 или H2N-CR3H-CR4-(О-aлкил)2 в присутствии кислоты, такой как п-толуолсульфокислота, получают соединения формулы I с А в значении = N-CR3= CH-, = N-CH= CR4– или = N-СR3= CR4-.
Те же самые соединения формулы I могут быть получены путем взаимодействия соединения формулы V с соответствующим -аминоацеталем NH2CHR3-CR4(Oalk)2 в случае необходимости в растворителях, таких как Cellosolv , путем пропускания инертного газа, такого как, например, аргон или азот, для удаления сероводорода или в присутствии улавливателей серы, таких как, например, оксид ртути. Под радикалом (Oalk)2 следует понимать открытые или – иногда более предпочтительно – также циклические ацетали или кетали. Соединения формулы I могут быть также получены согласно известному в литературе способу путем взаимодействия соединений формулы V с пропаргиламинами H2N-CH2-C CR3 (Eur. J. Med. Chem. 30, 429 (1995) или Ann. Chem. 1987. (2), 103).
Соединения формулы I получают также взаимодействием соединения формулы V с аммиаком в растворителях, таких как метанол или Cellosolv , в случае необходимости под давлением или при добавлении улавливателя серы, такого как трифлат серебра или оксид ртути, до получения соответствующего имина и затем подвергают взаимодействию с -галогенкетонами.
Если Z’ представляет собой группу СН2ОН, то можно перевести спирт известным способом путем взаимодействия согласно Mitsunobu в азид или фталимид. Азид может быть превращен согласно известным из литературы способам при помощи восстановителя или при помощи трифенилфосфина в амин. Фталимид может быть также превращен в амин обработкой гидразином. Ацилирование амина удается хлоридами или ангидридами кислот согласно известным способам. Последующая циклизация с оксихлоридом фосфора приводит к образованию соединений формулы I со значением А= CH-N= CR3-.
Восстановление в нитрогруппе проводят в полярных растворителях при комнатной температуре или при повышенной температуре. В качестве катализаторов для восстановления пригодны металлы, такие как никель Ренея, или благородные металлы, такие как палладий или платина или также гидроксид палладия, в случае необходимости на носителях. Вместо водорода могут известным образом использоваться также, например, формиат аммония, циклогексен или гидразин. В качестве восстановителя могут также применяться хлорид цинка-II или хлорид титана-III в виде комплексных гидридов металлов, необязательно в присутствии солей тяжелых металлов. В качестве восстановителя пригодно также железо. В этом случае реакцию проводят в присутствии кислоты, такой как уксусная кислота, или хлорида аммония, в случае необходимости при добавлении растворителя, такого как, например, вода или метанол.
Если желательно алкилирование аминогруппы, то ее можно алкилировать обычными способами, например, алкилгалогенидами, или по варианту Mitsonubo путем взаимодействия со спиртом в присутствии трифенилфосфина и эфира азодикарбоновой кислоты, или амин подвергают восстановительному аминированию альдегидами или кетонами, в случае необходимости друг за другом, с двумя различными карбонильными соединениями, причем получают смешанные производные [Литература, например, Verardo et al. , Synthesis (1993), 121; Synthesis (1991), 447; Kawaguchi, Synthesis (1985), 701; Micovic et al. , Synthesis (1991), 1043] .
Ацилирование аминогруппы осуществляют обычным способом, например, галогенидом кислоты или ангидридом кислоты, в случае необходимости, в присутствии основания, такого как диметиламинопиридин, в растворителях, таких как метиленхлорид, тетрагидрофуран или пиридин, по варианту Шоттена-Баумана в водном растворе при слабощелочном рН или взаимодействием с ангидридом в уксусной кислоте.
Введение галогенов хлора, брома или иода через аминогруппу может осуществляться, например, по Сандмееру, взаимодействием солей диазония, образующихся промежуточно с нитритами, с хлоридом меди (I) или бромидом меди (I) в присутствии соответствующей кислоты, такой как соляная кислота или бромистоводородная кислота, или с иодидом калия. Вместо солей диазония могут иногда также использоваться триазены. При использовании органического эфира азотистой кислоты могут быть также введены галогены, например, добавлением метилениодида или тетрабромметана в растворителе, таком как, например, диметилформамид. Удаление аминогруппы может быть осуществлено либо взаимодействием с органическим эфиром азотистой кислоты в тетрагидрофуране, либо с фосфористой кислотой, в случае необходимости, при добавлении оксида меди (I).
Введение фтора удается, например, при помощи реакции Бальца-Шиманна тетрафторбората диазония или по J. Fluor. Chem. 76, 1996, 59-62 посредством диазотирования в присутствии HF x пиридина и последующего выпаривания, в случае необходимости, в присутствии источника ионов фторида, такого как, например, фторид тетрабутиламмония.
Замену аминогруппы гидроксигруппой проводят согласно известным из литературы способам, предпочтительно переведением в триазен и последующей обработкой сильнокислым ионообменником (согласно Tetr. Letters 1990, 4409).
Введение галогенов в аннелированное кольцо проводят согласно известным из литературы способам, например взаимодействием с N-бром- или N-иодсукцинимидом в полярных растворителях, таких как тетрагидрофуран, ацетонитрил или диметилформамид, или также взаимодействием с йодистой кислотой и иодом по Lieb. Ann. Chem. 634, 84, (1960).
Обмен галогена в аннелированном кольце осуществляют согласно известным в литературе способам, в случае необходимости, при катализе тяжелыми металлами, например соединениями палладия (II) или палладия (0) при помощи оловоорганических или борорганических соединений, С2-6-алкина, С2-6-алкена, ди- или моноалкилфосфита, цианида в растворителях, таких как толуол, тетрагидрофуран или диметилформамид (М. Kosugi et al. , Chem. Lett. 7, 1225, 1984). Иногда необходимо добавлять основание, такое как триэтиламин или карбонат натрия, и иногда сокатализатор, такой как, например, иодид меди (I).
Галоген, такой как бром или иод, может также подвергаться взаимодействию с солями меди, такими как цианид меди (I) (введение нитрильной группы), ацетат меди (введение алканоилоксигруппы), алкоголят натрия в присутствии иодида меди (I) (введение алкоксигруппы) или смесь иодида меди (I) и трифторацетата натрия (введение трифторметильной группы).
Галоген можно также подвергать, например, взаимодействию с бутиллитием при температурах от 0oС до -78oС в растворителях, таких как эфир или тетрагидрофуран, при добавлении, в случае необходимости, комплексообразующих агентов, таких как тетраметилэтилендиамин, а также обмену галогена на металл, и затем известным из литературы образом улавливать электрофильными соединениями, такими как, например, диметилформамид, алкилгалогениды, такие как иодиды или хлориды, или альдегиды.
Смеси изомеров могут быть разделены на энантиомеры обычными способами, такими как, например, кристаллизация, хроматография или солеобразование.
Получение солей осуществляют обычным образом путем смешивания раствора соединения формулы I с эквивалентным количеством или с избытком кислоты, которая, в случае необходимости, находится в растворе, и отделения осадка или обработки раствора обычным образом.
Если получение исходных соединений не описано, они являются известными или аналогичными известным соединениям.
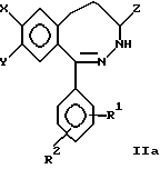
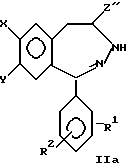
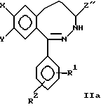
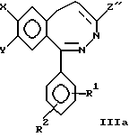
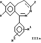
Данное изобретение включает в себя также соединения формул IIа и IIIa, их изомеры и соли![]() ![]() где R1, R2, Х и Y имеют указанное выше значение и Z” обозначает CH2OH, -CHO-, -COO-C1-6-алкил, CH2NHR3, и R3 имеет указанное выше значение, которые представляют собой ценные промежуточные продукты для получения фармакологически эффективных соединений. Превращение этих промежуточных соединений в активные вещества происходит согласно вышеописанным способам.
Получение промежуточных продуктов осуществляют согласно известным и описанным здесь способам. Если 2,3-бензодиазепин содержит в положении 4 метильную группу, она может быть окислена до формила, например, при помощи SеО2. Если желательно, формильная группа может быть восстановлена до -СН2ОН или окислена до карбоксильной группы, которая может быть затем этерифицирована, или формильная группа может быть превращена в CH2NHR3 или подвергнута реакции Виттига.
Нижеследующие примеры приведены для разъяснения способа данного изобретения.
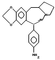
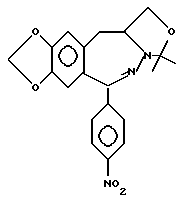
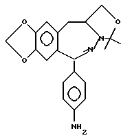
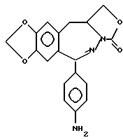
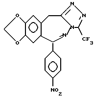
Получение исходных соединенийI) 8-гидроксиметил-7-метилкарбамоил-5-(4-нитрофенил)-8,9-дигидро-7Н-1,3-диоксоло[4,5-h] [2,3] бензодиазепин А. 8-формил-5-(4-нитрофенил)-9Н-1,3-диоксоло[4,5-h] [2,3] бензодиазепин 1,0 г (3,1 ммоль) 8-метил-5-(4-нитрофенил)-9Н-1,3-диоксоло[4,5-h] [2,3] бензодиазепина (French Patent 2566774) растворяют при 90oС в 15 мл ДМФ. Добавляют 0,38 г (3,4 ммоль) SeO2 и перемешивают в течение 40 минут при 90oС. После отфильтровывания твердых веществ продукт осаждают 100 мл воды, неочищенный продукт отфильтровывают, промывают водой и сушат. Получают 1,04 г соединения. После очистки колоночной хроматографией (силикагель, элюент бензол/этилацетат 20: 1) и последующего суспендирования кристаллического соединения в этаноле получают 0,52 г (50%) продукта. Точка плавления 228-230oС (разложение). В. 8-гидроксиметил-5-(4-нитрофенил)-8,9-дигидро-7Н-1,3-диоксоло[4,5-h] [2,3] бензодиазепин Суспензию 7,0 г (20,7 ммоль) полученного согласно стадии А альдегида в 420 мл этанола охлаждают при перемешивании до 20oС и смешивают с 7,84 г (0,21 моль) NaBH4. Реакционную смесь нагревают в течение 1 часа до кипения, затем смешивают с активированным углем и проводят фильтрование при нагревании. Растворитель удаляют, остаток помещают в дихлорметан, обрабатывают и получают 6,37 г (90%) неочищенного продукта, который очищают колоночной хроматографией на силикагеле со смесью бензол/этилацетат 1: 1 в качестве элюента. Получают 5,46 г (77%) чистого продукта с точкой плавления 132-134oС. С. 8-гидроксиметил-7-метилкарбамоил-5-(4-нитрофенил)-8,9-дигидро-7Н-1,3-диоксоло[4,5-h] [2,3] бензодиазепин 1,0 г (2,9 ммоль) полученного согласно стадии В спирта растворяют в 40 мл дихлорметана и смешивают с 0,5 мл (8,8 ммоль) метилизоцианата. Раствор оставляют стоять в течение 3 дней при комнатной температуре и затем концентрируют. Кристаллический остаток суспендируют в 10 мл этанола и нагревают до кипения. Получают 1,02 г (87%) желтого продукта с точкой плавления 242-243oС (разложение). II) 5-(4-аминофенил)-8-гидроксиметил-7-метилкарбонил-8,9-дигидро-7Н-1,3-диоксоло[4,5-h] [2,3] бензодиазепин Суспензию 1,02 г (2,56 ммоль) 8-гидроксиметил-7-метил-карбамоил-5-(4-нитрофенил)-8,9-дигидро-7Н-1,3-диоксоло[4,5-h] [2,3] бензодиазепина (Стадия С) в 40 мл этанола смешивают при перемешивании с 0,45 мл (9 ммоль) 98% гидразингидрата и катализатором Ренея (RaNi). Спустя 30 минут катализатор отфильтровывают и раствор концентрируют. Остаток перекристаллизовывают в этаноле и получают 0,83 г (88%) продукта с точкой плавления 136-138oС. III) 8-гидроксиметил-5-(4-нитрофенил)-9Н-1,3-диоксоло[4,5-h] [2,3] бензодиазепин 2,5 г (7,41 ммоль) 8-формил-5-(4-нитрофенил)-9Н-1,3-диоксоло[4,5-h] [2,3] бензодиазепина (I, Стадия А) суспендируют в смеси ТГФ: вода 1: 1 и при перемешивании и охлаждении до 20oС смешивают с 0,14 г (3,7 ммоль) бораната натрия. Спустя 45 минут раствор фильтруют и из фильтрата осаждают неочищенный продукт 130 мл воды. Получают 2,35 г продукта, который перекристаллизовывают из смеси 6,3 мл диметилформамида и 1,3 мл воды. Получают 1,97 г (78%) соединения заголовка с точкой плавления 175oС (разложение). Пример 1 9-метил-5-(4-нитрофенил)-11Н-1,3-диоксоло[4,5-h] имидазо[3,4-с] [2,3] бензодиазепин-8,10(9Н, 10аН)-дион ![]() А. 5-(4-нитрофенил)-9Н-[1,3-] диоксоло[4,5-h] [2,3] бензодиазепин-8-карбоновая кислота К раствору 3,0 г AgNO3 в воде (50 мл) добавляют 42 мл 4%, раствора NaOH. К гетерогенной смеси медленно добавляют раствор 3,0 г 8-формил-5-(4-нитрофенил)-9Н-1,3-диоксоло[4,5-h] [2,3] бензодиазепина в 120 мл диоксана и реакционную смесь перемешивают в течение 30 минут при 25oС. После добавления активированного угля смесь фильтруют, фильтрат концентрируют в вакууме при 50-60oС, полученную суспензию разбавляют водой и охлаждают. После выдерживания в течение ночи ее отфильтровывают, осадок промывают 2 10 мл ледяной воды и получают 1,94 г натриевой соли, которую растворяют в горячей воде и после охлаждения подкисляют 1 мл уксусной кислоты. После фильтрования и промывания водой получают 1,66 г (53%) продукта с точкой плавления 196-198oС (разложение).
В.
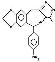
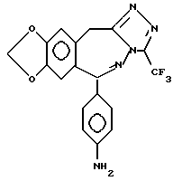
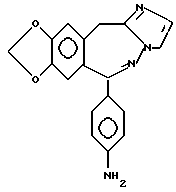
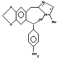
8-(метоксикарбонил)-5-(4-нитрофенил)-9Н-1,3-диоксоло[4,5-h] [2,3] бензодиазепин8,0 г (22,0 ммоль) полученного согласно стадии А соединения суспендируют в 390 мл метанола и после добавления 4,2 мл (34,4 ммоль) бортрифторидэфирата смесь нагревают в течение 3 часов с обратным холодильником. Растворитель сливают, остаток помещают в дихлорметан и 100 мл 10% раствора Na2CO3 и перемешивают в течение 30 минут. Полученный после обработки (здесь и в последующих примерах “обработка” означает: органическую фазу промывают водой, фильтруют и концентрируют) неочищенный продукт очищают колоночной хроматографией (силикагель, элюент: бензол/этилацетат 20: 1) и получают 3,86 г (46%) соединения, указанного в заголовке, с точкой плавления 235-238oС (разложение). С. 8-(метоксикарбонил)-5-(4-нитрофенил)-8,9-дигидро-7Н-1,3-диоксоло[4,5-h] [2,3] бензодиазепин Суспензию 2,94 г (8,0 ммоль) полученного согласно стадии В соединения в 30 мл дихлорметана соединяют при перемешивании с 15 мл трифторуксусной кислоты. Добавляют 6,3 мл (40 ммоль) триэтилсилана и перемешивают в течение 24 часов при комнатной температуре. Затем смешивают с 30 мл дихлорметана и при перемешивании и охлаждении ледяной водой добавляют раствор 12,3 г Na2CO3 в 60 мл воды. Полученный после обработки остаток обрабатывают 20 мл метанола и получают 2,85 г (96%) соединения, указанного в заглавии, с точкой плавления 161-164oC. D. 9-метил-5-(4-нитрофенил)-11Н-1,3-диоксоло[4,5-h] имидазо[3,4-с] [2,3] бензодиазепин-8,10(9Н, 10аН)-дион 0,85 г (2,3 ммоль) полученного согласно стадии С соединения растворяют в 30 мл дихлорметана и дают реагировать в течение 3 недель при комнатной температуре с 1,0 мл (17,5 ммоль) метилизоцианата. Растворитель сливают и остаток очищают кипячением с метанолом. После отсасывания получают 0,77 г (84%) продукта с точкой плавления 242-244oС (разложение). Пример 2 5-(4-аминофенил)-9-метил-11Н-1,3-диоксоло[4,5-h] имидазо[3,4-с] [2,3] бензодиазепин-8,10(9Н, 10аН)-дион ![]() 0,61 г (1,55 ммоль) полученного согласно Примеру 1 нитросоединения восстанавливают смесью RaNi/гидразингидрат в смеси дихлорметан/метанол 2: 1. Катализатор отфильтровывают, раствор концентрируют, кристаллический остаток промывают водой и получают 0,54 г (54%) целевого соединения с точкой плавления >270oС (разложение). Пример 3 9-метил-5-(4-нитрофенил)-9,10,10а, 11-тетрагидро-8Н-1,3-диоксоло[4,5-i] имидазо[3,4-с] [2,3] бензодиазепин-8-он ![]() А. 8-[(метилимино)метил] -5-(4-нитрофенил)-9Н-1,3-диоксоло[4,5-h] [2,3] бензодиазепин 2,0 г (5,9 ммоль) 8-формил-5-(4-нитрофенил)-9Н-1,3-диоксоло[4,5-h] [2,3] бензодиазепина растворяют в 100 мл смеси дихлорметан-метанол 1: 1, смешивают с 40 мл 33% раствора метиламина в этаноле и выдерживают в течение 24 часов при комнатной температуре. Затем растворитель сливают и остаток кипятят с 25 мл этанола. После фильтрования получают 1,95 г (93%) целевого соединения с точкой плавления 245-247oС (разложение). В. 5,5 г (15,7 ммоль) полученного согласно стадии А имина суспендируют в 800 мл этанола и соединяют порциями при перемешивании с 26 мл концентрированной НСl. К полученному раствору добавляют 13,6 г (0,36 ммоль. ) NaBH4 на протяжении 1 часа небольшими порциями. Смесь перемешивают в течение 30 минут, фильтруют, концентрируют фильтрат и очищают остаток колоночной хроматографией с метанолом в качестве элюента. Получают 3,67 г (66%) 8-[(метиламинометил] -5-(4-нитрофенил)-9Н-1,3-диоксоло[4,5-h] [2,3] бензодиазепина с точкой плавления 110-112oС. С. 9-метил-5-(4-нитрофенил)-9,10,10а, 11-тетрагидро-8Н-1,3-диоксоло[4,5-i] имидазо[3,4-с] [2,3] бензодиазепин-8-он К охлаждаемому и перемешиваемому раствору 1,05 г (3,0 ммоль) метиламинометильного соединения, полученного на стадии В, и 0,99 мл (7,2 ммоль) триэтиламина в 15 мл дихлорметана добавляют по каплям 2,26 мл (3,6 ммоль) 15,6% раствора фосгена в толуоле. Смесь перемешивают в течение 2 часов и концентрируют досуха. Остаток обрабатывают водой и получают 1,08 г неочищенного продукта, который очищают кипячением в 10 мл этанола. После отсасывания получают 0,96 г (84%) целевого соединения с точкой плавления 252-255oС. Пример 4 5-(4-аминофенил)-9-метил-9,10,10а, 11-тетрагидро-8Н-1,3-диоксоло[4,5-h] имидазо[3,4-с] [2,3] бензодиазепин ![]() 0,38 г (1,0 ммоль) нитросоединения Примера 3 восстанавливают в 20 мл метанола RaNi и гидразингидратом аналогично примеру 2. После кипячения с этанолом получают 0,25 г (71%) целевого соединения с точкой плавления 280-289oС (разложение). Пример 5 5-(4-нитрофенил)-9,10,10a, 11-тетрагидро-8Н-1,3-диоксоло[4,5-h] пирроло[1,2-с] [2,3] бензодиазепин ![]() А. Метил-3-[5-(4-нитрофенил)-9Н-1,3-диоксоло[4,5-h] [2,3] -бензодиазепин-8-ил] -пропенолат К раствору 4,0 г (11,8 ммоль) 8-формил-5-(4-нитрофенил)-9Н-1,3-диоксоло[4,5-h] [2,3] бензодиазепина в 200 мл смеси дихлорметана и метанола 1: 1 добавляют последовательно при перемешивании 1,9 мл (13,6 ммоль) триэтиламина и 5,64 г (13,6 ммоль) бромида метоксикарбонилметилтрифенилфосфония. После 2 часов при комнатной температуре растворитель суспензии удаляют, остаток суспендируют в 70 мл этанола и фильтруют. После трехкратного промывания 10 мл этанола и трехкратного промывания 50 мл воды и последующего высушивания отобранных твердых веществ получают 4,44 г (95%) метил-3-[5-(4-нитрофенил)-9Н-1,3-диоксоло[4,5-h] [2,3] бензодиазепин-8-ил] -пропенолата с точкой плавления >260oС. В. 5-(4-нитрофенил)-9,10,10а, 11-тетрагидро-8Н-1,3-диоксоло[4,5-h] пирроло[1,2-с] [2,3] бензодиазепин К суспензии 9,0 г (22,9 ммоль) полученного согласно стадии А соединения в сухом дихлорметане (660 мл) добавляют 2,22 г (30,4 ммоль) борантриметиламинового комплекса и при сильном перемешивании добавляют по каплям 5,0 мл (40,6 ммоль) бортрифторидэфирата. После перемешивания в течение ночи смесь соединяют с 300 мл 10% раствора Na2CO3, отделяют органическую фазу и обрабатывают обычным образом. Остаток очищают колоночной хроматографией (силикагель, элюент бензол: этилацетат 4: 0,5). Получают 0,72 г (9%) целевого соединения с точкой плавления 170-172oС (разложение). Пример 6 5-(4-нитрофенил)-9,10,10а, 11-тетрагидро-8Н-1,3-диоксоло[4,5-h] пирроло[1,2-с] [2,3] бензодиазепин[4,5-h] 8-он ![]() При хроматографировании полученного согласно Примеру 5 неочищенного продукта на силикагеле с полярной смесью этилацетат-бензол 4: 1 в качестве элюента получают 1,26 г (15%) целевого соединения с точкой плавления 251-253oС (разложение). Пример 7 5-(4-аминофенил)-9,10,10а, 11-тетрагидро-8Н-1,3-диоксоло[4,5-h] пирроло[1,2-с] [2,3] бензодиазепин[4,5-h] 8-он ![]() 0,68 г (1,94 ммоль) нитросоединения Примера 5 восстанавливают в метаноле смесью RaNi/гидразингидрат аналогично Примеру 2. Получают после перекристаллизации из смеси 50% этанол/вода 0,48 г (77%) целевого соединения с точкой плавления 153-155oС. Пример 8 5-(4-аминофенил)-9,10,10а, 11-тетрагидро-8Н-1,3-диоксоло[4,5-h] пирроло[1,2-с] [2,3] бензодиазепин[4,5-h] 8-он ![]() Полученное согласно примеру 6 соединение восстанавливают в смеси дихлорметан/метанол 1: 1 при помощи смеси RaNi/гидразингидрат аналогично примеру 2. После перекристаллизации из этанола получают 0,8 г (80%) целевого соединения с точкой плавления 291-292oС (разложение). Пример 9 5-(4-нитрофенил)-11Н-1,3-диоксоло[4,5-i] [1,2,3] триазоло[4,3-с] [2,3] бензодиазепин ![]() А. 8-формил-6-(4-нитрофенил)-9Н-1,3-диоксоло[4,5-h] [2,3] бензодиазепин-гидразон 3,0 г (8,9 ммоль) 8-формил-4-(4-нитрофенил)-9Н-1,3-диоксоло[4,5-h] [2,3] бензодиазепина суспендируют в 18 мл ДМФ и смешивают с 1,3 мл (26,7 ммоль) 98% гидразингидрата и нагревают в течение 1 часа до 110-120oС. После охлаждения до комнатной температуры смесь выливают в воду, отсасывают и остаток промывают водой и сушат. Этот неочищенный продукт перекристаллизовывают из смеси ДМФ-вода. Получают 2,51 г (80%) целевого соединения с точкой плавления 221-223oС (разложение). В. 5-(4-нитрофенил)-11Н-1,3-диоксоло[4,5-i] [1,2,3] триазоло[4,3-с] [2,3] бензодиазепин 2,0 г (5,7 ммоль) полученного согласно стадии А соединения растворяют при слабом нагревании в смеси ТГФ-метанол 1: 1 и при перемешивании соединяют с раствором 7,0 г CuS04 5H2O в 190 мл воды. После 30 минут органический растворитель удаляют и остаток растворяют в хлороформе и воде. Органическую фазу отделяют, промывают водой, сушат и концентрируют. Получают после перекристаллизации из смеси ДМФ и воды 10: 1 1,33 г (67%) целевого соединения с точкой плавления 257-258oС (разложение).
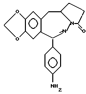
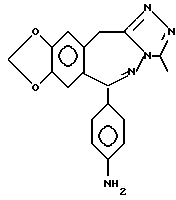
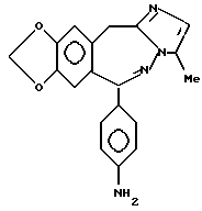
Пример 105-(4-аминофенил)-11Н-1,3-диоксоло[4,5-i] [1,2,3] триазоло[4,3-с] [2,3] бензодиазепин ![]() 1,17 г (3,35 ммоль) нитросоединения примера 9 восстанавливают в 100 мл смеси дихлорметан-метанол 1: 1 смесью RaNi/гидразингидрат аналогично примеру 2. Получают после кристаллизации из смеси ДМФ-вода (10: 1) 0,8 г (74%) целевого соединения с точкой плавления >260oС (разложение). Пример 11 10а, 11-дигидро-8,8-диметил-5-(4-нитрофенил)-10Н-1,3-диоксоло[4,5-h] оксазоло[3,4-с] [2,3] бензодиазепин ![]() 1,87 г (5,48 ммоль) 8-гидроксиметил-5-(4-нитрофенил)-8,9-дигидро-7Н-1,3-диоксоло[4,5-h] [2,3] бензодиазепина растворяют в 25 мл ацетона и смешивают с 0,54 мл (6,67 ммоль) 37% НСl. После 30 минут реакционную смесь охлаждают и гидрохлорид отфильтровывают. Суспензию в дихлорметане этой соли встряхивают с 20 мл 8% раствора NaHCO3 до растворения соли. Органическую фазу отделяют, промывают водой, сушат и концентрируют. Получают после перекристаллизации 1,7 г (81%) целевого соединения с точкой плавления 171-173oС. Пример 12 5-(4-аминофенил)-10а, 11-дигидро-8,8-диметил-10Н-1,3-диоксоло[4,5-h] оксазоло[3,4-с] [2,3] бензодиазепин ![]() Аналогично примеру 2 получают из 1,7 г (4,46 ммоль) соединения примера 11 со смесью RaNi/гидразингидрат в метаноле 1,2 г (76%) целевого соединения с точкой плавления 133-135oС (этанол-вода 1: 1). Пример 13 10а, 11-дигидро-5-(4-нитрофенил)-10Н-1,3-диоксоло[4,5-h] оксазоло[3,4-с] [2,3] бензодиазепин-8-он ![]() При перемешивании и охлаждении раствор 1,0 г (2,93 ммоль) 8-гидроксиметил-5-(4-нитрофенил)-8,9-дигидро-7Н-1,3-диоксоло[4,5-h] [2,3] бензодиазепина соединяют последовательно с 0,98 мл (7,03 ммоль) триэтиламина и 2,23 мл (3,52 ммоль) 15,6% раствора фосгена в толуоле. Затем реакционную смесь нагревают в течение 3 часов при 25oС. Осадок неочищенного продукта отделяют, фильтрат концентрируют и остаток обрабатывают водой. Очищенные остатки кипятят с этанолом и получают после отсасывания 0,72 г (67%) целевого соединения с точкой плавления >250oС (разложение). Пример 14 5-(4-аминофенил)-10а, 11-дигидро-10Н-1,3-диоксоло[4,5-h] оксазоло[3,4-с] [2,3] бензодиазепин-8-он ![]() 0,5 г (1,36 ммоль) полученного в Примере 13 нитросоединения восстанавливают в ДМФ со смесью RaNi/гидразингидрат аналогично Примеру 2. Неочищенный продукт очищают в 4,5 мл горячего этанола и получают 0,49 г (85%) целевого соединения с точкой плавления 173-175oС. Пример 15 5-(4-нитрофенил)-8-метил-11Н-1,3-диоксоло[4,5-h] [1,2,4] триазоло[4,3-с] [2,3] бензодиазепин ![]() А. 5-(4-нитрофенил)-1,3-диоксоло[4,5-g] -изохроман 36,0 г (0,21 ммоль) 2-(1,3-бензодиоксол-5-ил)-этанола подвергают взаимодействию с эквивалентным количеством 4-нитробензальдегида аналогично С. А. 105, 1986, 226357 и получают 50,7 г (81%) целевого соединения с точкой плавления 149-150oС (этанол). В. 4,5-метилендиокси-2-(4-нитробензоил)-фенилуксусная кислота 10,0 г (33,4 ммоль) полученного согласно стадии А изохромана окисляют по Jones до целевого соединения (F. Gatta et al. , II Farmaco 40, 1985, 942-955). Выход 46%, точка плавления 237-239oC (Methylcellosolve ).
С.
5-(4-нитрофенил)-7Н-1,3-диоксоло[4,5-h] [2,3] бензодиазепин-8(9Н)-он5,0 г (15,2 ммоль) полученного согласно стадии В соединения в (Methylcellosolve ) при 110oС подвергают взаимодействию с 5,0 мл 98% гидразингидрата в течение 2,5 часов. Растворитель удаляют в вакууме, остаток растворяют в дихлорметане (200 мл) и 40% уксусной кислоте (20 мл). Органическую фазу отделяют, промывают водой и сушат. Добавляют 4,0 г (19,4 ммоль) 1,3-дициклогексилкарбодиимида и выдерживают в течение ночи при комнатной температуре. Осадок отфильтровывают, фильтрат концентрируют. Оба твердые вещества нагревают с 60 мл этанола и затем отсасывают. Получают 1,95 г (39%) целевого соединения, точка плавления 292-294oС.
D.
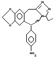
5-(4-нитрофенил)-7Н-1,3-диоксоло[4,5-h] [2,3] бензодиазепин-8(9Н)-тион6,5 г (20,0 ммоль) полученного согласно стадии С соединения и 7,6 г (30,0 ммоль) пентасульфида фосфора нагревают в 100 мл пиридина до 80oС. Спустя 1,5 часа реакционную смесь выливают в 400 мл воды и рН раствора доводят до 6,5 уксусной кислотой. Осадок отфильтровывают, промывают и сушат. Получают 4,36 г (64%) продукта, точка плавления 257-258oС (ацетон). Аналогичным образом получают согласно стадиям A-D: 5-(4-хлорфенил)-7Н-1,3-диоксоло[4,5-h] [2,3] бензодиазепин-8(9Н)-тион, 5-(4-фторфенил)-7Н-1,3-диоксоло[4,5-h] [2,3] бензодиазепин-8(9Н)-тион, 5-(2-фторфенил)-7Н-1,3-диоксоло[4,5-h] [2,3] бензодиазепин-8(9Н)-тион, 5-(3-хлорфенил)-7Н-1,3-диоксоло[4,5-h] [2,3] бензодиазепин-8(9Н)-тион, 5-(2-хлорфенил)-7Н-1,3-диоксоло[4,5-h] [2,3] бензодиазепин-8(9Н)-тион, 5-фенил-7Н-1,3-диоксоло[4,5-h] [2,3] бензодиазепин-8(9Н)-тион. Е. 8-(метилтио)-5-(4-нитрофенил)-9Н-1,3-диоксоло[4,5-h] [2,3] бензодиазепин 2,2 г (6,45 ммоль) полученного согласно стадии D соединения растворяют в 500 мл ацетона и смешивают с 2,22 г 2CO3 и 2 мл (32 ммоль) метилиодида. Смесь перемешивают приблизительно в течение 2 дней, выливают в воду, отделяют осадок и промывают его водой. После высушивания получают 2,0 г (87%) продукта, точка плавления 280-281oС. Аналогично получают: 5-(2-фторфенил)-8-(метилтио)-9Н-1,3-диоксоло[4,5-h] [2,3] бензодиазепин 5-(3-хлорфенил)-8-(метилтио)-9Н-1,3-диоксоло[4,5-h] [2,3] бензодиазепин 5-(2-хлорфенил)-8-(метилтио)-9Н-1,3-диоксоло[4,5-h] [2,3] бензодиазепин 8-(метилтио)-5-фенил-9Н-1,3-диоксоло[4,5-h] [2,3] бензодиазепин F. 5-(4-нитрофенил)-8-метил-11Н-1,3-диоксоло[4,5-h] [1,2,4] триазоло[4,3-с] [2,3] бензодиазепин 0,53 г (1,50 ммоль) полученного согласно стадии Е соединения, 0,22 г (3,0 ммоль) гидразида уксусной кислоты и 0,1 г п-толуолсульфокислоты нагревают при перемешивании до 120oС. Спустя 45 минут реакционную смесь выливают в воду, осадок отделяют, промывают водой и сушат. Получают 0,45 г (83%) продукта, точка плавления 292-294oC (разложение). Пример 16 5-(4-аминофенил)-8-метил-11Н-1,3-диоксоло[4,5-h] [1,2,4] триазоло[4,3-с] [2,3] бензодиазепин ![]() 0,45 г полученного согласно Примеру 15 нитросоединения в метаноле восстанавливают аналогично примеру 2 со смесью RaNi/гидразингидрат и получают 0,40 г (97%) продукта, точка плавления 278-280oС (этанол). Пример 17 5-(4-нитрофенил)-8-этил-11Н-1,3-диоксоло[4,5-h] [1,2,4] -триазоло[4,3-с] [2,3] бензодиазепин ![]() Аналогично Примеру 15 получают продукт согласно стадии F с гидразидом пропионовой кислоты. Выход 71%, точка плавления 234-235oС. В основном аналогично получают: 5-(4-нитрофенил)8-пропил-11Н-1,3-диоксоло[4,5-h] -[1,2,4] триазоло[4,3-с] [2,3] бензодиазепин (Т. пл. 124-126oС), 5-(4-нитрофенил)-8-циклопропил-11Н-1,3-диоксоло[4,5-h] -[1,2,4] триазоло[4,3-с] [2,3] бензодиазепин (Т. пл. 154-156oС), 5-(4-нитрофенил)-8-н-бутил-11Н-1,3-диоксоло[4,5-h] -[1,2,4] триазоло[4,3-с] [2,3] бензодиазепин (Т. пл. 124-125oС), 5-(4-нитрофенил)-8-метоксиметил-11Н-1,3-диоксоло[4,5-h] [1,2,4] триазоло[4,3-с] [2,3] бензодиазепин (Т. пл. 142-143oС), 5-(4-хлорфенил)-8-метил-11Н-1,3-диоксоло[4,5-h] [1,2,4] триазоло[4,3-с] [2,3] бензодиазепин, 5-(3-хлорфенил)-8-метил-11Н-1,3-диоксо[4,5-h] [1,2,4] -триазоло[4,3-с] [2,3] бензодиазепин, 5-(4-фторфенил)-8-метил-11Н-1,3-диоксоло[4,5-h] [1,2,4] -триазоло[4,3-с] [2,3] бензодиазепин, 8-метил-5-фенил-11Н-1,3-диоксоло[4,5-h] [1,2,4] триазоло[4,3-с] [2,3] бензодиазепин, 8-этил-5-фенил-11Н-1,3-диоксоло[4,5-h] [1,2,4] триазоло[4,3-с] [2,3] бензодиазепин, 8-циклопропил-5-фенил-11Н-1,3-диоксоло[4,5-h] [1,2,4] -триазоло[4,3-с] [2,3] бензодиазепин, 8-(4-нитрофенил)-5-фенил-11Н-1,3-диоксоло[4,5-h] -[1,2,4] триазоло[4,3-с] [2,3] бензодиазепин. Пример 18 5-(4-аминофенил)-8-этил-11Н-1,3-диоксоло[4,5-h] [1,2,4] -триазоло[4,3-с] [2,3] бензодиазепин ![]() Полученное согласно Примеру 17 нитросоединение восстанавливают аналогично Примеру 16. Выход 84%, точка плавления 265-266oС (этанол). Аналогично получают: 5-(4-аминофенил)-8-пропил-11Н-1,3-диоксоло[4,5-h] [1,2,4] триазоло[4,3-с] [2,3] бензодиазепин (Т. пл. 202-203oС, этилацетат), 5-(4-аминофенил)-8-циклопропил-11Н-1,3-диоксоло[4,5-h] [1,2,4] триазоло[4,3-с] [2,3] бензодиазепин (Т. пл. 191-192oС, этилацетат/диэтиловый эфир), 5-(4-аминофенил)-8-н-бутил-11Н-1,3-диоксоло[4,5-h] -[1,2,4] триазоло[4,3-с] [2,3] бензодиазепин (Т. пл. 186-187oС, этилацетат), 5-(4-аминофенил)-8-метоксиметил-11Н-1,3-диоксоло[4,5-h] [1,2,4] триазоло[4,3-с] [2,3] бензодиазепин (Т. пл. 261-263oС, этанол), 8-(4-аминофенил)-5-фенил-11Н-1,3-диоксоло[4,5-h] -[1,2,4] триазоло[4,3-с] [2,3] бензодиазепин. Пример 19 5-(4-нитрофенил)-8-(4-пиридил)-11Н-1,3-диоксоло[4,5-h] [1,2,4] триазоло[4,3-с] [2,3] бензодиазепин ![]() Описанное в Примере 15Е метилтиопроизводное аналогично Примеру 15F подвергают взаимодействию с гидразидом изоникотиновой кислоты в ДМФ и концентрированной соляной кислотой в качестве катализатора. Выход 76%, точка плавления 305-308oС (разложение). Аналогично получают 5-фенил-8-(4-пиридил)-11Н-1,3-диоксоло[4,5-h] [1,2,4] триазоло[4,3-с] [2,3] бензодиазепин. Пример 20 5-(4-аминофенил)-8-(4-пиридил)-11Н-1,3-диоксоло[4,5-h] [1,2,4] триазоло[4,3-с] [2,3] бензодиазепин ![]() Нитросоединение Примера 19 восстанавливают аналогично Примеру 2. Выход 46%, точка плавления 301-302oС (разложение). Пример 21 5-(4-нитрофенил)-11Н-1,3-диоксоло[4,5-h] [1,2,4] триазоло[4,3-с] [2,3] бензодиазепин ![]() 0,53 г полученного согласно Примеру 15Е метилтиосоединения аналогично Примеру 15F подвергают взаимодействию с 0,18 г гидразида муравьиной кислоты в ДМФ и концентрированной НСl в качестве катализатора. После хроматографии на силикагеле со смесью хлороформ: метанол 95: 5 в качестве элюента получают 0,34 г (71%) продукта. Точка плавления 182-183oС. Аналогично получают 5-фенил-11Н-1,3-диоксоло[4,5-h] -[1,2,4] триазоло[4,3-с] [2,3] бензодиазепин. Пример 22 5-(4-аминофенил)-11Н-1,3-диоксоло[4,5-h] [1,2,4] триазоло[4,3-с] [2,3] бензодиазепин ![]() Полученное согласно Примеру 21 нитросоединение восстанавливают аналогично Примеру 2. Выход 70%. Точка плавления 280-281oС (этанол). Пример 23 5-(4-нитрофенил)-8-(трифторметил)-11Н-1,3-диоксоло[4,5-h] [1,2,4] триазоло[4,3-с] [2,3] бензодиазепин ![]() 0,53 г (1,50 ммоль) полученного согласно Примеру 15Е метилтиосоединения нагревают до кипения с 1,5 мл гидразингидрата в 25 мл (Methylcellosolve ). После 1 часа растворитель удаляют, остаток помещают в воду и осадок отфильтровывают. После высушивания соединение растворяют в дихлорметане и при перемешивании и охлаждении ледяной водой по каплям соединяют с 0,40 мл трифторуксусного ангидрида. Реакционную смесь нагревают в течение 1 часа до кипения и затем концентрируют досуха. Остаток помещают в толуол, нагревают 20 минут и затем растворитель удаляют. После хроматографии на силикагеле со смесью хлороформ: метанол 95: 5 в качестве элюента получают 0,27 г (43%) продукта. Точка плавления 244-246oС (метанол).
Аналогично получают 5-фенил-8-(трифторметил)-11Н-1,3-диоксоло[4,5-h] [1,2,4] триазоло[4,3-с] [2,3] бензодиазепин.
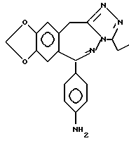
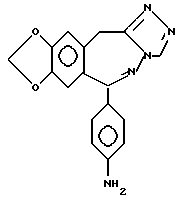
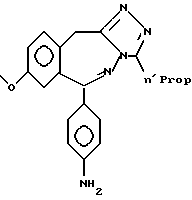
Пример 245-(4-аминофенил)-8-(трифторметил)-11Н-1,3-диоксоло[4,5-h] [1,2,4] триазоло[4,3-с] [2,3] бензодиазепин ![]() Полученное согласно Примеру 23 нитросоединение восстанавливают аналогично Примеру 2. Выход 68%, точка плавления 206-208oС (метанол). Пример 25 5-(4-нитрофенил)-11Н-1,3-диоксоло[4,5-h] имидазо[1,2-с] -[2,3] бензодиазепин ![]() 0,53 г (1,50 ммоль) полученного в Примере 15Е метилтиопроизводного нагревают до 120oС с 0,10 г п-толуолсульфокислоты и 0,32 г (3,00 ммоль) аминоацетальдегиддиметилацеталя. После 10 часов реакционную смесь выливают в воду и осадившееся промежуточное соединение отфильтровывают. Это соединение растворяют в 20 мл смеси концентрированной НСl и этанола 1: 1 и нагревают в течение 4 часов до кипения. После охлаждения получают гидрохлорид целевого соединения при помощи фильтрования. Выход 0,32 г (55%), точка плавления 237-239oС. По существу аналогичным образом получают 5-фенил-11Н-1,3-диоксоло[4,5-h] имидазо[1,2-с] [2,3] бензодиазепин. Пример 26 5-(4-аминофенил)-11Н-1,3-диоксоло[4,5-h] имидазо[l, 2-с] [2,3] бензодиазепин ![]() Полученное в Примере 25 нитросоединение восстанавливают аналогично Примеру 3. Выход 0,2 г (76%), точка плавления 264-265oС (этанол). Пример 27 6-(4-аминофенил)-8-метокси-3-пропил-11Н-[1,2,4] триазоло[4,3-с] [2,3] бензодиазепин ![]() А. 3,90 г (10,0 ммоль) 7-бром-8-метокси-1-(4-нитрофенил)-4,5-дигидро-3Н-2,3-бензодиазепин-4-она растворяют в безводном пиридине и смешивают с пентасульфидом фосфора (5,70 г 25,6 ммоль). После 2 часов при 80oС смесь выливают на 450 г льда и перемешивают в течение 1 часа. Выпавшие кристаллы фильтруют и промывают водой. После перекристаллизации из ацетонитрила получают 2,88 г (71%) 7-бром-8-метокси-1-(4-нитрофенил)-4,5-дигидро-3Н-2,3-бензодиазепин-4-тиона с точкой плавления 245-247oС. В. 2,84 г (7,0 ммоль) соединения из стадии А растворяют в 10 мл безводного ДМФ и 100 мл ацетона и после добавления 1,93 г (14,0 ммоль) карбоната калия и 1,75 мл (28,0 ммоль) метилиодида смесь перемешивают при комнатной температуре в течение 20 часов. Затем ацетон сливают и остаток помещают в 80 мл воды. Выпавшие кристаллы отсасывают и промывают водой. Неочищенный продукт перекристаллизовывают дважды из ацетонитрила. Получают 1,68 г (57%) 7-бром-8-метокси-4-метилтио-1-(4-нитрофенил)-5Н-2,3-бензодиазепина с точкой плавления 225-227oС. С. 1,17 г (2,78 ммоль) соединения из стадии В растворяют в 40 мл безводного ДМФ и смешивают с 0,73 г (8,4 ммоль) гидразида масляной кислоты, а также 3 каплями концентрированной НСl. Смесь перемешивают в течение 5 часов при 110-115oС. Затем смесь выливают на лед (160 г) и перемешивают в течение 1 часа. Выпавшие кристаллы отсасывают и промывают водой. Получают 1,05 г (83%) 9-бром-6-(4-нитрофенил)-8-метокси-3-пропил-11Н-[1,2,4] триазоло[4,3-с] [2,3] бензодиазепина с точкой плавления 238-240oС. Аналогично получают: 8-метокси-3-метил-6-(4-нитрофенил)-11Н-[1,2,4] триазоло-[4,3-с] [2,3] бензодиазепин, 3-этил-8-метокси-6-(4-нитрофенил)-11Н-[1,2,4] триазоло-[4,3-с] [2,3] бензодиазепин, 3-циклопропил-8-метокси-6-(4-нитрофенил)-11Н-[1,2,4] -триазоло[4,3-с] [2,3] бензодиазепин. D. 1,0 г (2,2 ммоль) соединения из стадии С растворяют в смеси 80 мл метанола и 3 мл воды и после добавления 0,8 г 10% Pd/C в качестве катализатора и 0,30 г (2,2 ммоль) карбоната калия гидрируют в течение ~ 15 часов. Затем катализатор отсасывают и фильтрат концентрируют. Неочищенный продукт перекристаллизовывают из этилацетата (3 мл) и получают 0,44 г (58%) 6-(4-аминофенил)-8-метокси-3-пропил-11Н-[1,2,4] триазоло[4,3-с] [2,3] бензодиазепина с точкой плавления 192-194oС. В основном аналогичным образом получают: 6-(4-аминофенил)-8-метокси-3-метил-11Н-[1,2,4] триазоло-[4,3-с] [2,3] бензодиазепин, 6-(4-аминофенил)-8-метокси-3-этил-11Н-[1,2,4] триазоло-[4,3-с] [2,3] бензодиазепин, 6-(4-аминофенил)-8-метокси-3-циклопропил-11Н-[1,2,4] -триазоло[4,3-с] [2,3] бензодиазепин. Пример 28 6-(4-аминофенил)-8-метокси-3-метил-11Н-имидазол[1,2-с] -[2,3] бензодиазепин ![]() Целевое соединение получают из 9-бром-8-метокси-3-метил-6-(4-нитрофенил)-11Н-имидазо[1,2-с] [2,3] бензодиазепина аналогично Примеру 27D. Т. пл. 190-193oС (этилацетат). В основном аналогично получают: 6-(4-аминофенил)-8-метокси-2-метил-11Н-имидазол[1,2-с] [2,3] бензодиазепин, т. пл. 255-260oС (этанол). (Исходный материал Примера 39). 6-(4-аминофенил)-8-метокси-3-н-пропил-11Н-имидазол[1,2-с] [2,3] бензодиазепин, т. пл. 183-185oС. (Исходный материал Примера 41). Пример 29 9-метил-5-(4-нитрофенил)-11Н-1,3-диоксоло[4,5-h] имидазо[1,2-с] [2,3] бензодиазепин ![]() 1,70 г (4,99 ммоль) 5-(4-нитрофенил)-8,9-дигидро-7Н-1,3-диоксоло[4,5-h] [2,3] бензодиазепин-8-тиона (Пример 15D) и 1,7 г (10,0 ммоль) 2-(1-аминоэтил)-1,3-диоксолана (Shinzo Kano u. a. Heterocycles 26, 1987, 2805) перемешивают с 1,08 г красного оксида ртути в (Methylcellosolve ) (50 мл) и нагревают в течение 36 часов до 120oС. Затем смесь фильтруют и концентрируют до объема 5 мл. Осаждающийся при охлаждении промежуточный продукт отсасывают и растворяют в смеси концентрированной соляной кислоты и этанола 1: 1 (25 мл) и нагревают до кипения в течение 1,5 часа. После охлаждения выделяют гидрохлорид целевого соединения. Выход: 0,70 г (35%), точка плавления 252-254oС.
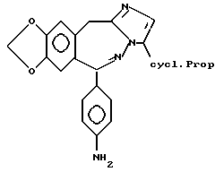
Пример 305-(4-аминофенил)-9-метил-11Н-1,3-диоксоло[4,5-h] имидазо[1,2-с] [2,3] бензодиазепин ![]() Восстановление соединения Примера 29 проводят согласно Примеру 2. Выход: 0,37 г (62%), точка плавления 165-166oС. Пример 31 8-циклопропил-5-(4-нитрофенил)-11Н-1,3-диоксоло[4,5-h] -имидазо[1,2-с] [2,3] бензодиазепин ![]() Суспензию 0,50 г (1,47 ммоль) 5-(4-нитрофенил)-8,9-дигидро-7Н-1,3-диоксоло[4,5-h] [2,3] бензодиазепин-8-тиона (Пример 15D) и 0,42 г (2,94 ммоль) 2-аминометил-2-циклопропил-1,3-диоксолана в 12 мл (Methylcellosolve ) перемешивают с 0,32 г (1,47 ммоль) красного оксида ртути в течение 12 часов при 110oС. После фильтрования смесь концентрируют до 5 мл и выливают в воду. Осадок отсасывают и растворяют в 10 мл смеси 1: 1 концентрированной соляной кислоты и ледяной уксусной кислоты и нагревают в течение 1,5 часа до кипения. При охлаждении осаждается гидрохлоридная соль целевого соединения. Выход: 0,35 г (56%), точка плавления 223-225oС.
Пример 325-(4-аминофенил)-8-циклопропил-11Н-1,3-диоксоло[4,5-h] -имидазо[1,2-с] [2,3] бензодиазепин ![]() Полученное согласно Примеру 31 нитросоединение восстанавливают аналогично Примеру 2. Неочищенный продукт очищают колоночной хроматографией (силикагель, элюент хлороформ: метанол 95: 5). Выход: 0,25 г (85%), точка плавления 227-229oС (этанол). Пример 33 8-метил-5-(4-нитрофенил)-11Н-1,3-диоксоло[4,5-h] имидазо[1,2-с] [2,3] бензодиазепин ![]() Из 2,0 г (5,86 ммоль) производного тиона из Примера 15D и 1,37 г (11,71 ммоль) 2-аминометил-2-метил-1,3-диоксолана (Jiro Adachi and Nobuhiro Sato: J. Org. Chem. 37, 1972, 221) с 1,27 г (5,86 ммоль) красного оксида ртути целевое соединение получают аналогично Примеру 31. Выделенное промежуточное соединение подвергают 5-часовому кипячению в 50 мл ледяной уксусной кислоты до образования цикла. Затем раствор концентрируют досуха и остаток растворяют в 10%-ном растворе карбоната натрия в этилацетате. После концентрирования органической фазы неочищенный продукт очищают колоночной хроматографией (силикагель, элюент хлороформ: метанол 95: 5). Выход: 0,80 г (38%), точка плавления 220-222oС. Пример 34 5-(4-аминофенил)-8-метил-11Н-1,3-диоксоло[4,5-h] имидазо-[1,2-с] [2,3] бензодиазепин ![]() Полученное согласно Примеру 34 нитросоединение восстанавливают аналогично Примеру 2. Выход: 0,51 г (68%), точка плавления 283-285oС (этанол). Пример 35 8-метил-5-(4-нитрофенил)-11Н-1,3-диоксоло[4,5-h] имидазо[3,4-с] [2,3] бензодиазепин ![]() А. 5-(4-нитрофенил)-8-(фталимидометил)-9Н-1,3-диоксоло[4,5-h] [2,3] бензодиазепин К перемешиваемому раствору 2,60 г (7,66 ммоль) 8-гидроксиметил-5-(4-нитрофенил)-9Н-1,3-диоксоло[4,5-h] [2,3] бензодиазепина (исходное соединение III), 2,11 г (8,05 ммоль) трифенилфосфина и 1,18 г (8,05 ммоль) фталимида в 130 мл сухого ТГФ при комнатной температуре добавляют по каплям раствор 1,25 мл (8,05 ммоль) диэтилазодикарбоксилата в 7 мл ТГФ. Смесь перемешивают в течение 24 часов при этой температуре. Затем осажденный продукт отсасывают и промывают этанолом. Получают 2,87 г (80%) целевого соединения, которое можно обрабатывать далее без дополнительной очистки. В. 8-аминометил-5-(4-нитрофенил)-9Н-1,3-диоксоло[4,5-h] [2,3] бензодиазепин К суспензии 1,10 г (2,35 ммоль) производного фталимида из стадии А в 75 мл метанола добавляют 0,60 мл (11,7 ммоль) 98% гидразингидрата и смесь нагревают в течение 3 часов до кипения. После выпаривания остаток растирают с 30 мл метиленхлорида и отфильтровывают. Фильтрат концентрируют в вакууме и остаток кристаллизуют добавлением воды. После отсасывания получают 0,72 г (90%) продукта с точкой плавления 143-146oС, который пригоден для следующей стадии без дополнительной очистки. С. 8-ацетаминометил-5-(4-нитрофенил)-9Н-1,3-диоксоло[4,5-h] [2,3] бензодиазепин 0,72 г (2,13 ммоль) аминометильного соединения из стадии В растворяют в 6 мл уксусного ангидрида при 25oС и выдерживают в течение 1 часа. Раствор разбавляют ледяной водой (30 мл) и перемешивают в течение 2 часов. Осажденное вещество фильтруют и после высушивания очищают колоночной хроматографией (силикагель, элюент этилацетат: бензол 4: 1). После упаривания фракций получают 0,65 г кристаллического вещества, из которого после промывания этанолом получают 0,56 г (70%) чистого целевого соединения с точкой плавления 205oС (разложение). D. 8-метил-5-(4-нитрофенил)-11Н-1,3-диоксоло[4,5-h] имидазо[3,4-с] [2,3] бензодиазепин 0,40 г (1,05 ммоль) ацетамидного соединения из стадии С суспендируют в 20 мл метиленхлорида и смешивают с 0,48 мл (5,3 ммоль) оксихлорида фосфора. Затем смесь нагревают в течение 3 часов до кипения. После концентрирования остаток помещают в метиленхлорид (30 мл) и промывают раствором карбоната натрия и водой, сушат, фильтруют и концентрируют. Получают 0,38 г твердого вещества, которое очищают колоночной хроматографией (силикагель, элюент хлороформ: метанол 95: 5). Получают 0,32 г (84%) целевого соединения с точкой плавления 305-310oC (разложение). Аналогичным образом получают согласно стадиям C-D, причем используемый для ацилирования способ указан после названия соединения в скобках: 5-(4-нитрофенил)-11Н-1,3-диоксоло[4,5-h] имидазо[3,4-с] [2,3] бензодиазепин (муравьиная кислота, DCC), 5-фенил-11Н-1,3-диоксоло[4,5-h] имидазо[3,4-с] [2,3] бензодиазепин (муравьиная кислота, DCC), 8-циклопропил-5-(4-нитрофенил)-11Н-1,3-диоксоло[4,5-h] -имидазо[3,4-с] [2,3] бензодиазепин (хлорангидрид кислоты), 5-(4-нитрофенил)-8-н-пропил-11Н-1,3-диоксоло[4,5-h] имидазо[3,4-с] [2,3] бензодиазепин (хлорангидрид кислоты). Пример 36 5-(4-аминофенил)-8-метил-11Н-1,3-диоксоло[4,5-h] имидазо[3,4-с] [2,3] бензодиазепин ![]() Полученное согласно Примеру 35 нитросоединение (0,30 г, 0,83 ммоль) восстанавливают аналогично Примеру 2. Получают 0,22 г (81%) целевого соединения с точкой плавления 282-284oС (разложение). Аналогичным образом получают: 5-(4-аминофенил)-11Н-1,3-диоксоло[4,5-h] имидазо[3,4-с] -[2,3] бензодиазепин, 8-циклопропил-5-(4-аминофенил)-11Н-1,3-диоксоло[4,5-h] -имидазо[3,4-с] [2,3] бензодиазепин, 5-(4-аминофенил)-8-н-пропил-11Н-1,3-диоксоло[4,5-h] имидазо[3,4-с] [2,3] бензодиазепин. Пример 37 8-этил-5-(4-нитрофенил)-11Н-1,3-диоксоло[4,5-h] имидазо-[3,4-с] [2,3] бензодиазепин ![]() А. 8-азидометил-5-(4-нитрофенил)-9Н-1,3-диоксоло[4,5-h] [2,3] бензодиазепин Раствор 3,06 г (9,0 ммоль) 8-гидроксиметил-5-(4-нитрофенил)-9Н-1,3-диоксоло[4,5-h] [2,3] бензодиазепина (исходное соединение III) и 2,58 г (0,9 ммоль) трифенилфосфина в 100 мл сухого тетрагидрофурана смешивают с 13,5 мл 1,2 н. раствора азотоводородной кислоты в толуоле, затем добавляют раствор 1,74 мл (9,9 ммоль) диэтилового эфира азодикарбоновой кислоты и смесь перемешивают еще в течение 2 часов. Осадившийся продукт отсасывают и промывают тетрагидрофураном и н-гексаном. Получают 2,23 г (68%) целевого соединения с точкой плавления 198-200oС. В. 8-этил-5-(4-нитрофенил)-11Н-1,3-диоксоло[4,5-h] имидазо[3,4-с] [2,3] бензодиазепин 1,98 г (5,4 ммоль) соединения из стадии А растворяют в 100 мл сухого ТГФ и соединяют с 1,56 г (5,94 ммоль) трифенилфосфина и перемешивают в течение 4 часов. Затем раствор охлаждают до -50oС и добавляют раствор 0,78 мл (6,0 ммоль) пропионового ангидрида в 3 мл ТГФ. После 1 часа при -50oС смесь перемешивают в течение ночи при комнатной температуре. После этого реакционную смесь разбавляют диэтиловым эфиром и промывают 10%-ным раствором карбоната натрия и водой, сушат и выпаривают. Остаток очищают колоночной хроматографией на силикагеле (элюент: сначала смесь н-гексан: этилацетат 1: 1, затем с постоянно растущей долей этилацетата). Получают 1,0 г продукта, из которого после кипячения в 5 мл этилацетата выделяют 0,75 г смеси веществ, которая состоит из целевого соединения и промежуточного соединения 8-пропиониламинометил-5-(4-нитрофенил)-9Н-1,3-диоксоло[4,5-h] [2,3] бензодиазепина. Для усиления циклизации указанную выше смесь растворяют в безводном дихлорэтане и после добавления 0,20 мл (2,15 ммоль) оксихлорида фосфора нагревают до кипения в течение 2 часов. Затем охлажденную реакционную смесь промывают раствором карбоната натрия и упаривают досуха. Получают 0,65 г (33%) целевого соединения с точкой плавления 243-245oС. Пример 38 5-(4-аминофенил)-8-этил-11Н-1,3-диоксоло[4,5-h] имидазо-[3,4-с] [2,3] бензодиазепин ![]() 0,38 г (1,0 ммоль) полученного согласно Примеру 37 нитросоединения восстанавливают в 10 мл смеси 1: 1 метиленхлорида и метанола согласно Примеру 2. Неочищенный продукт очищают колоночной хроматографией (силикагель, элюент: хлороформ: метанол 95: 5). Получают 0,28 г (81%) целевого соединения с точкой плавления 135-138oС. Пример 39 9-этил-5-(4-нитрофенил)-11Н-1,3-диоксоло[4,5-h] имидазо-[3,4-с] [2,3] бензодиазепин ![]() Смесь 1,0 г (2,82 ммоль) 8-метилтио-5-(4-нитрофенил)-9Н-1,3-диоксоло[4,5-h] [2,3] бензодиазепина (Пример 15, стадия Е) и 0,74 г (5,64 ммоль) 2-(1-аминопропил)-1,3-диоксолана (J. Org. Chem. 21, 1956, 115) в 60 мл Methylcellosolve перемешивают после добавления каталитического количества п-толуолсульфокислоты в течение 48 часов при 120oС. После охлаждения непрореагировавшее метилтиосоединение отфильтровывают и фильтрат концентрируют до объема 10 мл. После добавления 50 мл воды осаждается промежуточное соединение стадии конденсации и его отсасывают. Фильтровальный осадок растворяют в 10 мл смеси этанол: концентрированная соляная кислота и нагревают в течение 1,5 часа до кипения. Затем раствор выпаривают и остаток помещают в 50 мл воды. Раствор нейтрализуют карбонатом натрия и экстрагируют этилацетатом, сушат, фильтруют и концентрируют. Остаток очищают колоночной хроматографией (силикагель, элюент: хлороформ: метанол 95: 5). Получают 0,38 г (36%) целевого соединения с точкой плавления 188-190oС.
Аналогичным образом получают:9-бром-8-метокси-3-метил-6-(4-нитрофенил)-11Н-имидазо[1,2-с] [2,3] бензодиазепин, т. пл. 196-200oС 9-бром-8-метокси-2-метил-6-(4-нитрофенил)-11Н-имидазо[1,2-с] [2,3] бензодиазепин, т. пл. 265-268oС (этанол) (Исходным материалом является соединение из примера 27В). Пример 40 5-(4-аминофенил)-9-этил-11Н-1,3-диоксоло[4,5-h] имидазо[1,2-с] [2,3] бензодиазепин ![]() Нитросоединение примера 39 восстанавливают аналогично примеру 2 в смеси метиленхлорид: метанол 1: 1. После перекристаллизации из этилацетата получают 0,14 г (41%) целевого соединения с точкой плавления 192-194oС. Пример 41 Хлорид 5-(4-нитрофенил)-8-пропил-11Н-1,3-диоксоло[4,5-h] имидазо[1,2-с] [2,3] бензодиазепина ![]() Целевое соединение получают из 0,68 г (2,0 ммоль) тионового соединения (пример 15, стадия D) и 0,58 г (4,0 ммоль) 2-аминометил-2-пропил-1,3-диоксолана (полученного аналогично J. Org. Chem. , 37 1972, 221) и 0,43 г (2,0 ммоль) красного оксида ртути согласно примеру 29. После 10 часов при 110oС промежуточное соединение стадии конденсации очищают колоночной хроматографией (силикагель, элюент: хлороформ: метанол 95: 5). Реакцию циклизации осуществляют нагреванием промежуточного продукта в смеси 1: 1 уксусной кислоты и концентрированной соляной кислоты. После выпаривания получают 0,36 г целевого соединения в виде гидрохлоридной соли. Выход: 42%, точка плавления 200-201oС. Аналогично получают: 9-бром-8-метокси-6-(4-нитрофенил)-3-н-пропил-11Н-имидазо[1,2-с] [2,3] бензодиазепин, точка плавления 150-162oС. Пример 42 5-(4-аминофенил)-8-пропил-11Н-1,3-диоксоло[4,5-h] имидазо[1,2-с] [2,3] бензодиазепин ![]() Нитросоединение примера 41 восстанавливают аналогично примеру 2. После перекристаллизации из этанола получают 0,27 г (89%) целевого соединения с точкой плавления 175-176oС (из этанола). Пример 43 Хлорид 8-этил-5-(4-нитрофенил)-11Н-1,3-диоксоло[4,5-h] имидазо[1,2-с] [2,3] бензодиазепина ![]() получают аналогично примеру 41 из 0,68 г (2,0 ммоль) тиосоединения (пример 15, стадия D) и 0,53 г (4,0 ммоль) 2-амино-метил-2-этил-1,3-диоксолана (полученного аналогично J. Org. Chem. , 37 1972, 221). Целевое соединение выделяют в виде гидрохлорида (0,32 г). Выход: 39%, точка плавления 217-218oС. Пример 44 5-(4-аминометил)-8-этил-11Н-1,3-диоксоло[4,5-h] имидазо[1,2-с] [2,3] бензодиазепин ![]() получают из нитросоединения примера 43 согласно примеру 2. Получают 0,18 г целевого соединения. Выход: 67%, точка плавления 258-260oС (этанол). Пример 45 Гидрохлорид 8,9-диметил-5-(4-нитрофенил)-11Н-1,3-диоксоло[4,5-h] имидазо[1,2-с] [2,3] бензодиазепина ![]() Целевое соединение получают аналогично примеру 29 из 2,0 г (5,86 ммоль) тиооксосоединения примера 15, стадии D и 1,54 г (11,72 ммоль) 2-(1-аминоэтил)-2-метил-1,3-диоксолана (J. Org. Chem. , 37 1972, 221) с 1,279 г (5,86 ммоль) красного оксида ртути. Стадия конденсации продолжается при 110oС в течение ~ 30 часов. Промежуточный продукт очищают хроматографически, как в примере 41, и затем выполняют циклизацию посредством кипячения в 10 мл смеси этанол-концентрированная соляная кислота. Целевое соединение выделяют в виде гидрохлорида: 0,52 г (22%), точка плавления 240-243oС. Аналогично получают: 9-бром-2,3-диметил-8-метокси-6-(4-нитрофенил)-11Н-имидазо[1,2-с] [2,3] бензодиазепин, точка плавления 190-193oС. Пример 46 5-(4-аминофенил)-8,9-диметил-11Н-1,3-диоксоло[4,5-h] имидазо[l, 2-с] [2,3] бензодиазепин ![]() Нитросоединение примера 45 восстанавливают согласно примеру 2. Получают 0,33 г (75%) целевого соединения с точкой плавления 226-227oС (этанол). Пример 47 А. 4-нитробензоилгидразоны 2-гидрокси-4-метоксибензальдегида 63,4 г 4-нитробензгидразида помещают в 2,5 л 1-пропанола и смешивают с 53,3 г 2-гидрокси-4-метоксибензальдегида и кипятят с обратным холодильником в течение 1 часа. После охлаждения на бане со льдом отсасывают. Получают 104 г 4-нитробензоилгидразона 2-гидрокси-4-метоксибензальдегида. Аналогично получают: Бензоилгидразон 2-гидрокси-4-метоксибензальдегида 4-бромбензоилгидразон 2-гидрокси-4-метоксибензальдегида В. 2-(4-нитробензоил)-4-метоксибензальдегид 50 г 4-нитробензоилгидразона 2-гидрокси-4-метоксибензальдегида помещают в 1,51 мл тетрагидрофурана (высушенного с молекулярными ситами) при 8oС и порциями соединяют с 99,4 г ацетата свинца(IV) (85% раствор). По завершении добавления перемешивают в течение 30 минут, отсасывают и фильтрат концентрируют. Остаток помещают в этилацетат, последовательно промывают водой и раствором хлорида натрия, сушат, фильтруют и концентрируют. После перекристаллизации из этилацетата получают 22,8 г 2-(4-нитробензоил)-4-метоксибензальдегида. Аналогичным образом получают: 2-бензоил-4-метоксибензальдегид 2-(4-бромбензоил)-4-метоксибензальдегид. С. 1-метокси-2-(4-метокси-2-(4-нитробензоил)фенил)этилен 10 г 2-(4-нитробензоил)-4-метоксибензальдегида готовят вместе с 18 г хлорида метоксиметилтрифенилфосфония в 400 мл толуола и порциями соединяют при охлаждении льдом с 5,9 г трет-бутилата калия. После перемешивания в течение 1 часа при охлаждении льдом и последующего перемешивания в течение 3,5 часов при комнатной температуре к смеси добавляют 200 мл воды, слегка подкисляют 1 н. соляной кислотой и трижды экстрагируют этилацетатом. Фазы этилацетата промывают раствором хлорида натрия, сушат, фильтруют и концентрируют. Остаток хроматографируют через силикагель со смесью гексан: этилацетат 1: 1 в качестве элюента. Получают 6,9 г 1-метокси-2-(4-метокси-2-(4-нитробензоил)фенил)этилена в виде смеси Е- и Z-форм. Аналогичным образом получают: 1-метокси-2-(4-метокси-2-бензоилфенил)этилен. 1-метокси-2-(4-метокси-2-(4-бромбензоил)фенил)этилен. D. 2-(4-метокси-2-(4-нитробензоил)фенил)уксусная кислота 6,9 г 1-метокси-2-(4-метокси-2-(4-нитробензоил)этилена в виде смеси Е- и Z-форм готовят в 310 мл тетрагидрофурана и смешивают с 100 мл 1 н. соляной кислоты. После перемешивания в течение ночи при комнатной температуре разбавляют 300 мл воды и тетрагидрофуран отгоняют при 30oС. Водную фазу трижды экстрагируют этилацетатом. Объединенную органическую фазу промывают водой, сушат, фильтруют и концентрируют. Остаток помещают в 300 мл ацетона и при 4oC по каплям соединяют с 11,8 мл 8N-реагента Jones. После завершения добавления перемешивают в течение 2 часов при этой температуре, смешивают с 6 мл изопропанола и перемешивают еще в течение 15 минут. Затем смесь разбавляют водой и ацетон удаляют на роторном испарителе. Водную фазу трижды экстрагируют этилацетатом и объединенную органическую фазу промывают водой, сушат и концентрируют. После перекристаллизации из смеси этилацетат/гексан получают 6,3 г 2-(4-метокси-2-(4-нитробензоил)фенил)уксусной кислоты. Аналогичным образом получают: 2-(4-метокси-2-бензоилфенил)уксусную кислоту 2-(4-метокси-2-(4-бромбензоил)фенил)уксусную кислоту. Е. 8-метокси-1-(4-нитрофенил)-4,5-дигидро-3Н-2,3-бензодиазепин-4-он 7,8 г 2-(4-метокси-2-(4-нитробензоил)фенил)уксусной кислоты смешивают в 200 мл тетрагидрофурана с 2,3 мл 80% гидразингидрата и перемешивают в течение 6 часов при комнатной температуре. После выдерживания в течение ночи смешивают с 50 мл воды и тетрагидрофуран удаляют на роторном испарителе. Осаждающийся гидразид 2-(4-метокси-2-(4-нитробензоил)фенил)уксусной кислоты (4,9 г) отсасывают и перемешивают в 37 мл ледяной уксусной кислоты при комнатной температуре. Его разбавляют 37 мл воды и отсасывают. Получают 4,37 г 8-метокси-1-(4-нитрофенил)-4,5-дигидро-3Н-2,3-бензодиазепин-4-она с точкой плавления 282oС. По существу аналогичным образом, но через смешанный ангидрид кислоты с изобутиловым эфиром хлормуравьиной кислоты получают: 8-метокси-1-фенил-4,5-дигидро-3Н-2,3-бензодиазепин-4-он 8-метокси-1-(4-бромфенил)-4,5-дигидро-3Н-2,3-бензодиазепин-4-он F. 8-метокси-1-(4-нитрофенил)-4,5-дигидро-3Н-2,3-бензодиазепин-4-тион 4,3 г 8-метокси-1-(4-нитрофенил)-4,5-дигидро-3Н-2,3-бензодиазепин-4-она смешивают в 48 мл пиридина с 2,46 г дифосфорпентасульфида и перемешивают в атмосфере аргона и при исключении влажности в течение 2 часов при температуре бани 100oС. Смесь разбавляют водой и выпавший в осадок продукт отсасывают. После хроматографии на силикагеле сначала с элюцией смесью этилацетат: гексан 1: 1 и затем этилацетатом получают всего 3,13 г 8-метокси-1-(4-нитрофенил)-4,5-дигидро-3Н-2,3-бензодиазепин-4-тиона. Аналогичным образом получают: 8-метокси-1-фенил-4,5-дигидро-3Н-2,3-бензодиазепин-4-тион, 8-метокси-1-(4-бромфенил)-4,5-дигидро-3Н-2,3-бензодиазепин-4-тион. G. 8-метокси-3-метил-6-фенил-11Н-имидазо[1,2-с] [2,3] бензодиазепин ![]() 500 мг 8-метокси-1-фенил-4,5-дигидро-3Н-2,3-бензодиазепин-4-тиона перемешивают в 1,5 мл монометилового эфира этиленгликоля (Cellosolve ) и 548 мг 2-аминометил-2-метил-1,3-диоксолана при пропускании аргона в течение 10 часов при 60oС. После фильтрования и промывания холодным этанолом и диизопропиловым эфиром получают 550 мг иминосоединения, которое растворяют в 10 мл этанола, смешивают с 10 мл концентрированной соляной кислоты и кипятят с обратным холодильником в течение 3 часов. Его помещают в воду, доводят до рН 11 и экстрагируют этилацетатом. Этилацетатную фазу промывают водой, сушат, фильтруют и концентрируют. После перекристаллизации из смеси этилацетат/диизопропиловый эфир получают 240 мг 8-метокси-3-метил-6-фенил-11Н-имидазо[1,2-с] [2,3] бензодиазепина с точкой плавления 140oС.
Аналогичным образом из соответствующих тионов получают:8-метокси-2-метил-6-фенил-11Н-имидазо[1,2-с] [2,3] бензодиазепин, т. пл. 173oС. 8-метокси-3-этил-6-фенил-11Н-имидазо[1,2-с] [2,3] бензодиазепин, т. пл. 135oC. 8-метокси-6-фенил-3-(4-пиридил)-11Н-имидазо[1,2-с] -[2,3] бензодиазепин2, Т. пл. 178oC. 8-метокси-6-фенил-3-(2-пиридил)-11Н-имидазо[1,2-с] -[2,3] бензодиазепин2, разложение. 8-метокси-6-фенил-3-(3-пиридил)-11Н-имидазо[1,2-с] -[2,3] бензодиазепин2, Т. пл. 144oС. 3,6-дифенил-8-метокси-2-метил-11Н-имидазо[1,2-c] [2,3] -бензодиазепин, Т. пл. 143oC. 8-метокси-6-(4-нитрофенил)-3-(2-пиридил)-11Н-имидазо-[1,2-с] [2,3] бензодиазепин, 8-метокси-6-(4-нитрофенил)-3-(4-пиридил)-11Н-имидазо-[1,2-с] [2,3] бензодиазепин, Т. пл. 223oC. 5-(4-хлорфенил)-8,9-диметил-11Н-имидазо[-1,2-с] [2,3] бензодиазепин, Т. пл. >300oC. 9-этил-8-метил-5-(4-нитрофенил)-11Н-1,3-диоксоло[4,5-h] имидазо[1,2-с] [2,3] бензодиазепин, 8-этил-9-метил-5-(4-нитрофенил)-11Н-1,3-диоксоло[4,5-h] -имидазо[1,2-с] [2,3] бензодиазепин, 5-(4-нитрофенил)-8-(4-пиридил)-11Н-1,3-диоксоло[4,5-h] -имидазо[1,2-с] [2,3] бензодиазепин2, 8,9-диметил-5-фенил-11Н-1,3-диоксоло[4,5-h] имидазо[1,2-с] [2,3] бензодиазепин. Т. пл. 177oC. 2 Соответствующие кетели получают согласно Org. Synth. 64, 19, (1986). Пример 48 2,3-диметил-6-(4-нитрофенил)-8-метокси-11Н-имидазо[1,2-с] [2,3] бензодиазепин ![]() 2,3 г 8-метокси-1-(4-нитрофенил)-4,5-дигидро-3Н-2,3-бензодиазепин-4-тиона перемешивают с 3 мл 2-амино-3,3-диметоксибутана (полученного восстановительным аминированием согласно J. Org. Chem. 52, (12), 2616 из 3,3-диметоксибутан-2-она) при пропускании аргона в течение 4 часов при температуре бани 110oС. Исходную смесь смешивают с 50 мл 1 н. соляной кислоты, разбавляют водой до 100 мл и трижды экстрагируют 150 мл этилацетата. Водную фазу подщелачивают 1 н. гидроксидом натрия и трижды экстрагируют этилацетатом. Объединенные органические фазы сушат, фильтруют и концентрируют и остаток хроматографируют через силикагель со смесью метиленхлорид: этанол 10: 1 в качестве элюента. Получают 1,5 г 2,3-диметил-6-(4-нитрофенил)-8-метокси-11Н-имидазо[1,2-с] -[2,3] бензодиазепина. Аналогичным образом получают: 6-(4-бромфенил)-2,3-диметил-8-метокси-11Н-имидазо[1,2-с] [2,3] бензодиазепин, Т. пл. >300oС. 2,3-диметил-8-метокси-6-фенил-11Н-имидазо[1,2-с] [2,3] -бензодиазепин, Т. пл. 178oC. 8,9-диметил-5-(4-фторфенил)-11Н-1,3-диоксоло[4,5-h] -имидазо[1,2-с] [2,3] бензодиазепин. Т. пл. >300oC. Пример 49 А. 6-(4-аминофенил)-2,3-диметил-8-метокси-11Н-имидазо[1,2-с] [2,3] бензодиазепин ![]() 834 мг 2,3-диметил-8-метокси-6-(4-нитрофенил)-11Н-имидазо[1,2-с] [2,3] бензодиазепина в 33 мл ледяной уксусной кислоты вместе с 2,25 г порошка железа нагревают в нагретой до 90oС масляной бане в течение 20 минут. Смесь отсасывают в горячем виде и затем промывают ледяной уксусной кислотой. Фильтрат концентрируют и остаток распределяют в этилацетате и 1 н. растворе едкого натра. Водную фазу еще раз встряхивают с этилацетатом и объединенную органическую фазу промывают водой, сушат, фильтруют и концентрируют. Этот остаток хроматографируют через силикагель со смесью метиленхлорид: этанол 10: 1. После размешивания соответствующих сконцентрированных фракций со смесью этилацетат/гексан получают 331 мг 6-(4-аминофенил)-2,3-диметил-8-метокси-11Н-имидазо[1,2-с] -[2,3] бензодиазепина с точкой плавления 280oС. Аналогичным образом получают: 6-(4-аминофенил)-8-метокси-3-(2-пиридил)-11Н-имидазо-[1,2-с] [2,3] бензодиазепин, 6-(4-аминофенил)-8-метокси-3-(4-пиридил)-11Н-имидазо-[1,2-с] [2,3] бензодиазепин, 5-(4-аминофенил)-9-бром-8-метил-11Н-1,3-диоксоло[4,5-h] имидазо[1,2-с] [2,3] бензодиазепин, т. пл. >300oC. 5-(4-аминофенил)-8-бром-9-метил-11Н-1,3-диоксоло[4,5-h] имидазо[1,2-с] [2,3] бензодиазепин. В. 5-(4-аминофенил)-8-этил-9-метил-11Н-1,3-диоксоло[4,5-h] имидазо[1,2-с] [2,3] бензодиазепин ![]() 527 мг 8-этил-9-метил-5-(4-нитрофенил)-11Н-1,3-диоксоло[4,5-h] имидазо[1,2-с] [2,3] бензодиазепина смешивают в 11 мл этанола с 5,4 мл циклогексена и 106 мг гидроксида палладия на угле (Pearlmans катализатор) и перемешивают в течение 3 часов при температуре бани 110oС. После отфильтровывания катализатора раствор концентрируют и остаток хроматографируют на силикагеле с этилацетатом в качестве элюента. После объединения соответствующих фракций и перекристаллизации из этанола получают 348 мг 5-(4-аминофенил)-8-этил-9-метил-11Н-1,3-диоксоло[4,5-h] имидазо[1,2-с] [2,3] бензодиазепина с точкой плавления 227-228oС. Аналогичным образом получают: 5-(4-аминофенил)-8-(4-пиридил)-11Н-1,3-диоксоло[4,5-h] -имидазо[1,2-с] [2,3] бензодиазепин, Т. пл. 281oC. 5-(4-аминофенил)-9-этил-8-метил-11Н-1,3-диоксоло[4,5-h] имидазо[1,2-с] [2,3] бензодиазепин. Т. пл. 134-138oC. Пример 50 8-метил-5-фенил-11Н-1,3-диоксоло[4,5-h] имидазо[1,2-с] -[2,3] бензодиазепин ![]() 200 мг 5-(4-аминофенил)-8-метил-11Н-1,3-диоксоло[4,5-h] имидазо[1,2-с] [2,3] бензодиазепина смешивают в 30 мл тетрагидрофурана с 1,32 мл пентилнитрита и в атмосфере аргона нагревают в течение 2 часов с обратным холодильником. После концентрирования продукт хроматографирутот через силикагель со смесью метиленхлорид: этанол 10: 1 в качестве элюента. Получают 136 мг 8-метил-5-фенил-11Н-1,3-диоксоло[4,5-h] имидазо[1,2-с] [2,3] бензодиазепина. Т. пл. 214oC. Пример 51 5-(4-хлорфенил)-8-метил-11Н-1,3-диоксоло[4,5-h] имидазо[1,2-с] [2,3] бензодиазепин ![]() 160 мг 5-(4-аминофенил)-8-метил-11Н-1,3-диоксоло[4,5-h] имидазо[1,2-с] [2,3] бензодиазепина растворяют 2 мл воды и 3 мл концентрированной соляной кислоты и диазотируют при 0oС раствором 36 мг нитрита натрия в 0,5 мл воды. Перемешивание продолжают еще в течение 45 минут при 0oС. К этому раствору при комнатной температуре добавляют по каплям раствор, который готовят следующим образом: 256 мг пентагидрата сульфата меди смешивают в 1 мл воды с 87 мг хлорида натрия и по каплям смешивают с раствором 68 мг сульфита натрия в 0,6 мл воды. Белый осадок отделяют от надосадочной жидкости декантированием, дважды промывают водой и растворяют в концентрированной соляной кислоте. После добавления этого раствора нагревают в течение 10 минут на паровой бане и перемешивают 1 час при комнатной температуре. Смесь разбавляют водой, подщелачивают раствором аммиака и экстрагируют этилацетатом. Фазу этилацетата промывают раствором хлорида натрия, сушат, фильтруют и концентрируют. После хроматографии на силикагеле со смесью метиленхлорид: этанол 10: 1 получают 87 мг 5-(4-хлорфенил)-8-метил-11Н-1,3-диоксоло[4,5-h] имидазо[1,2-с] [2,3] бензодиазепина, разложение при 300oC. Пример 52 5-(4-фторфенил)-8-метил-11Н-1,3-диоксоло[4,5-h] имидазо[1,2-с] [2,3] бензодиазепин ![]() К раствору 6 мл комплекса фтористый водород-пиридин (1: 1) добавляют сначала в атмосфере аргона 200 мг 5-(4-аминофенил)-8-метил-11Н-1,3-диоксоло[4,5-h] имидазо[1,2-с] [2,3] -бензодиазепина и затем 51 мг нитрита натрия при 0-5oС. После перемешивания при 5-10oС в течение 40 минут к исходной смеси добавляют 117 мг хлорида цинка (II) и 190 мг тетрабутиламмонийдигидротрифторида. Затем температуру бани повышают до 100oС. После охлаждения смесь выливают в ледяную воду и трижды экстрагируют этилацетатом и трижды метиленхлоридом. Объединенную органическую фазу сушат, фильтруют, концентрируют и хроматографируют через силикагель сначала со смесью метиленхлорид: этанол 10: 1, затем второй раз со смесью ацетон: этилацетат 3: 1 и затем третий раз со смесью метиленхлорид: этанол 95: 5. Получают 106 мг 5-(4-фторфенил)-8-метил-11Н-1,3-диоксоло[4,5-h] имидазо[1,2-с] [2,3] бензодиазепина с точкой плавления 190oС. Пример 53 9-бром-8-метил-5-(4-нитрофенил)-11Н-1,3-диоксоло[4,5-h] имидазо[1,2-с] [2,3] бензодиазепин ![]() 900 мг 8-метил-5-(4-нитрофенил)-11Н-1,3-диоксоло[4,5-h] имидазо[1,2-с] [2,3] бензодиазепина смешивают в 10 мл диметилформамида с 441 мг N-бромсукцинимида и перемешивают в течение 1,5 часа при комнатной температуре. После разбавления 40 мл воды осажденный продукт отсасывают и получают 900 мг 9-бром-8-метил-5-(4-нитрофенил)-11Н-1,3-диоксоло[4,5-h] имидазо[1,2-с] [2,3] бензодиазепина. Т. пл. 300oC. Аналогичным образом получают: 8-бром-9-метил-5-(4-нитрофенил)-11Н-1,3-диоксоло[4,5-h] имидазо[1,2-с] [2,3] бензодиазепин, 2-бром-8-метокси-3-метил-6-фенил-11Н-имидазо[1,2-с] -[2,3] бензодиазепин, 2-бром-8-метокси-6-фенил-3-(3-пиридил)-11Н-имидазо[1,2-c] [2,3] бензодиазепин, 8,9-дибром-5-(4-нитрофенил)-11Н-1,3-диоксоло[4,5-h] имидазо[1,2-с] [2,3] бензодиазепин (при избытке N-бромсукцинимида), 3-бром-8-метокси-2-метил-6-фенил-11Н-имидазо[1,2-с] -[2,3] бензодиазепин, 8-иод-5-(4-нитрофенил)-11Н-1,3-диоксоло[4,5-h] имидазо[1,2-с] [2,3] бензодиазепин с N-иодсукцинимидом. Пример 54 2-ацетил-3-(3-пиридил)-8-метокси-6-фенил-11Н-имидазо-[1,2-с] [2,3] бензодиазепин ![]() 82 мг 2-бром-3-(3-пиридил)-8-метокси-6-фенил-11Н-имидазо[1,2-с] [2,3] бензодиазепина смешивают в 3 мл толуола и 0,5 мл диметилформамида с 650 мг (1-этоксивинил)трибутилстаннана и 10 мг палладий(0)-тетракистрифенилфосфина и нагревают в течение 4 часов до температуры бани 120oС. После этого еще раз добавляют (1-этоксивинил)трибутилстаннан и 10 мг палладий(0)-тетракистрифенилфосфина и нагревают до температуры водяной бани 120oС в течение 10 часов. После охлаждения смешивают с 2 мл 1 н. соляной кислоты, перемешивают в течение 10 минут, подщелачивают аммиаком и встряхивают с этилацетатом. Фазу этилацетата промывают водой и насыщенным раствором хлорида натрия, сушат, фильтруют и концентрируют. После хроматографии остатка на силикагеле с этилацетатом в качестве элюента получают 20 мг 2-ацетил-3-(3-пиридил)-8-метокси-6-фенил-11Н-имидазо[1,2-с] [2,3] бензодиазепина. ЯМР (СDСl3): 2,5 (3Н, S); 3,7 (3Н, S); 4,1 (2Н, шир. ); 6,3 (1Н, d, 3,5 Гц); 7,1 (1Н, dd, 3,5 Гц и 10 Гц); 7,5 (7Н, m); 8,0 (1H, dt, 1,5Гц и 7,5Гц); 8,7 (1H, dd, 1,5Гц и 5Гц); 8,8 (1H, d, 2,5Гц). Аналогично получают: 2-винил-3-(3-пиридил)-8-метокси-6-фенил-11Н-имидазо-[1,2-с] [2,3] бензодиазепин, 9-пропинил-5-фенил-11Н-1,3-диоксоло[4,5-h] имидазо[1,2-с] [2,3] бензодиазепин при добавлении Cu(I) в качестве сокатализатора. Пример 55 ![]() 120 мг 9-бром-8-метил-5-фенил-11Н-1,3-диоксоло[4,5-h] -имидазо[1,2-с] [2,3] бензодиазепина соединяют в 15 мл тетрагидрофурана при -78oС с 0,36 мл бутиллития (1 М гексан) и перемешивают в течение 15 минут. Затем соединяют при этой температуре с 0,6 мл диметилформамида и перемешивают в течение 15 минут. После перемешивания при комнатной температуре соединяют с водой, тетрагидрофуран отгоняют и экстрагируют этилацетатом. После отгонки растворителя продукт хроматографируют через силикагель со смесью дихлорметан: этанол 95: 5 в качестве элюента. Получают 46 мг 9-формил-8-метил-5-фенил-11Н-1,3-диоксоло[4,5-h] имидазо[1,2-с] [2,3] бензодиазепина. По существу аналогичным образом получают: 9-(1-гидроксипроп-1-ил)-8-метил-5-фенил-11Н-1,3-диоксоло[4,5-h] имидазо[1,2-с] [2,3] бензодиазепин, 9-этил-8-метил-5-фенил-11Н-1,3-диоксоло[4,5-h] имидазо-[1,2-с] [2,3] бензодиазепин, 9-метоксиметил-8-метил-5-фенил-11Н-1,3-диоксоло[4,5-h] -имидазо[1,2-с] [2,3] бензодиазепин. Т. пл. 77oC. Пример 56 100 мг 9-иод-8-метил-5-фенил-11Н-1,3-диоксоло[4,5-h] -имидазо[1,2-с] [2,3] бензодиазепина растворяют в 4 мл толуола и 1,5 мл этанола заранее. Добавляют 54 мг диэтил-3-пиридил-борана, 20 мг тетракис(трифенилфосфин)-палладий(0) и 0,8 мл 2 М раствора Nа2СО3 и перемешивают при 110oС в течение 3 часов. После добавления воды экстрагируют этилацетатом и органическую фазу концентрируют. Этот остаток хроматографируют через силикагель со смесью дихлорметан: этанол 95: 5 в качестве элюента. Получают 13 мг 8-метил-5-фенил-9-(3-пиридил)-11Н-1,3-диоксоло[4,5-h] -имидазо[1,2-с] [2,3] бензодиазепина. Аналогичным образом из 9-иод-5-фенил-11Н-1,3-диоксоло[4,5-h] имидазо[1,2-с] [2,3] бензодиазепина получают 9-(3-пиридил)-5-фенил-11Н-1,3-диоксоло[4,5-h] имидазо[1,2-с] [2,3] бензодиазепин. Пример 57 100 мг 9-иод-8-метил-5-фенил-11Н-1,3-диоксоло[4,5-h] -имидазо[1,2-с] [2,3] бензодиазепина перемешивают в 2 мл диметилформамида, 0,03 мл триэтиламина, 0,032 мл (30 мг) диэтилфосфита и 15 мг тетракис(трифенилфосфин)-палладий(0) при 100oС в течение 2 часов. Затем разбавляют 10 мл воды и экстрагируют этилацетатом. Концентрированную органическую фазу хроматографируют через силикагель со смесью дихлорметан: этанол 95: 5 в качестве элюента. Получают 10 мг диэтилового эфира 8-метил-5-фенил-11Н-1,3-диоксоло[4,5-h] имидазо[1,2-с] -[2,3] бензодиазепин-9-фосфоновой кислоты. ЯМР (DMSO): 1,2 (6Н, t, 7,6 Гц); 4,0 (6Н, m); 6,1 (2Н, S); 6,6 (1Н, s); 7,2 (1H, s); 7,55 (4 Гц, m); 7,7 (2Н, m). Формула изобретения
![]() где R1 обозначает водород, нитро, галоген, NH2; R2 обозначает водород; R3 и R4, одинаковые или различные, обозначают водород, галоген, C1-6-алкокси, PО3R13R14, C1-6-алканоил, в случае необходимости замещенный галогеном или C1-6-алкоксигруппой C1-6-алкил, С3-7-циклоалкил, фенил или пиридил; R13, R14, одинаковые или различные, обозначают водород или C1-6-алкил; Х обозначает водород или галоген; Y обозначает C1-6-алкокси или Х и Y вместе обозначают -О-(СН2)n-O-; n обозначает 1; А вместе с атомом азота образует насыщенный или ненасыщенный пятичленный гетероцикл, который может содержать 1-3 атома азота или один атом азота и один атом кислорода, и/или одну или две карбонильные группы, а также их изомеры и физиологически приемлемые соли. 2. Производные 2,3-бензодиазепина формулы I по п. 1, представляющие собой: 5-(4-аминофенил)-8-метил-11Н-1,3-диоксоло[4,5-h] [1,2,4] триазоло[4,3-с] [2,3] бензодиазепин, 5-(4-аминофенил)-8-циклопропил-11Н-1,3-диоксоло[4,5-h] [1,2,4] триазоло[4,3-с] [2,3] бензодиазепин, 6-(4-аминофенил)-8-метокси-3-пропил-11Н-[1,2,4] триазоло[4,3-с] [2,3] бензодиазепин, 5-(4-аминофенил)-9-метил-11Н-1,3-диоксоло[4,5-h] имидазо[1,2-с] [2,3] бензодиазепин, 5-(4-аминофенил)-8-циклопропил-11Н-1,3-диоксоло[4,5-h] имидазо-[1,2-с] [2,3] бензодиазепин, 5-(4-аминофенил)-8-метил-11Н-1,3-диоксоло[4,5-h] имидазо[1,2-с] [2,3] бензодиазепин, 5-(4-аминофенил)-9-этил-11Н-1,3-диоксоло[4,5-h] имидазо[1,2-с] [2,3] бензодиазепин, 5-(4-аминофенил)-8,9-диметил-11Н-1,3-диоксоло[4,5-h] имидазо[1,2-с] [2,3] бензодиазепин, 8-метокси-3-метил-6-фенил-11Н-имидазо[1,2-с] [2,3] бензодиазепин, 8-метокси-6-фенил-3-(3-пиридил)-11Н-имидазо[1,2-с] [2,3] бензодиазепин, 2,3-диметил-8-метокси-6-фенил-11Н-имидазо[1,2-с] [2,3] бензодиазепин, 6-(4-аминофенил)-2,3-диметил-8-метокси-11Н-имидазо[1,2-с] [2,3] -бензодиазепин, 5-(4-аминофенил)-8-(4-пиридил)-11Н-1,3-диоксоло[4,5-h] имидазо[1,2-с] [2,3] бензодиазепин, 5-(4-аминофенил)-9-этил-8-метил-11Н-1,3-диоксоло[4,5-h] имидазо[1,2-с] [2,3] бензодиазепин, 8-метил-5-фенил-11Н-1,3-диоксоло[4,5-h] имидазо[1,2-с] [2,3] бензодиазепин, 8,9-диметил-5-фенил-11Н-1,3-диоксоло[4,5-h] имидазо[1,2-с] [2,3] бензодиазепин. 3. Средство, обладающее ингибирующей активностью в отношении АМРА-рецепторов, содержащее активное вещество и фармацевтически приемлемые носители и вспомогательные вещества, отличающееся тем, что в качестве активного вещества оно содержит соединение формулы I по п. 1. 4. Соединение формулы IIа ![]() где R1, R2, Х и Y имеют указанные в п. 1 значения; Z” обозначает -СН2ОН, -СНО, -СОО-С1-6-алкил, СН2NHR3 или ![]() R3 имеет указанное в п. 1 значение, а также его изомеры и соли. 5. Соединение формулы IIIa ![]() где R1, R2, Х и Y имеют указанные в п. 1 значения; Z” обозначает -CH2ОН, -CHO, -СОО-С1-6-алкил, СН2NHR3 или ![]() R3 имеет указанное в п. 1 значение, а также его изомеры и соли. |
||||||||||||||||||||||||||








) Z= COOC1-6-алкил с R3-N= O= O до получения соединений с А в значении -CO-NR3-CO-
) Z= CH2OH или -CH2NHR3 с фосгеном до получения соединений с А в значении -СН2-О-СО- или -CH2-NR3-CO-
) Z= -СН2ОН с R3-CO-R4 до получения соединений с А в значении -CH2O-CR3R4, где R3 и R4 имеют указанное выше значение,

) Z’= -S-C1-4-алкил с
) Z’= СН2ОН переводят в CH2NH2, ацилируют и циклизуют до получения соединений с А в значении = CH-N= CR3-,
C-R3 или аммиаком и
, путем пропускания инертного газа, такого как, например, аргон или азот, для удаления сероводорода или в присутствии улавливателей серы, таких как, например, оксид ртути. Под радикалом (Oalk)2 следует понимать открытые или – иногда более предпочтительно – также циклические ацетали или кетали. Соединения формулы I могут быть также получены согласно известному в литературе способу путем взаимодействия соединений формулы V с пропаргиламинами H2N-CH2-C

и R3 имеет указанное выше значение, которые представляют собой ценные промежуточные продукты для получения фармакологически эффективных соединений. Превращение этих промежуточных соединений в активные вещества происходит согласно вышеописанным способам.
Получение промежуточных продуктов осуществляют согласно известным и описанным здесь способам. Если 2,3-бензодиазепин содержит в положении 4 метильную группу, она может быть окислена до формила, например, при помощи SеО2. Если желательно, формильная группа может быть восстановлена до -СН2ОН или окислена до карбоксильной группы, которая может быть затем этерифицирована, или формильная группа может быть превращена в CH2NHR3 или подвергнута реакции Виттига.
Нижеследующие примеры приведены для разъяснения способа данного изобретения.
Получение исходных соединений
10 мл ледяной воды и получают 1,94 г натриевой соли, которую растворяют в горячей воде и после охлаждения подкисляют 1 мл уксусной кислоты. После фильтрования и промывания водой получают 1,66 г (53%) продукта с точкой плавления 196-198oС (разложение).
В.
8-(метоксикарбонил)-5-(4-нитрофенил)-9Н-1,3-диоксоло[4,5-h] [2,3] бензодиазепин


























































