Патент на изобретение №2179556
|
||||||||||||||||||||||||||
(54) ПРОИЗВОДНЫЕ 7-[3-[4-(6-ФТОРБЕНЗО[D]ИЗОКСАЗОЛ-3-ИЛ)ПИПЕРИДИН-1-ИЛ]ПРОПОКСИ]-ХРОМЕН-4-ОНА, СПОСОБ ИХ ПОЛУЧЕНИЯ, ФАРМАЦЕВТИЧЕСКАЯ КОМПОЗИЦИЯ ДЛЯ ИНГИБИРОВАНИЯ D2-,5-HT2A– И H1-РЕЦЕПТОРОВ И СПОСОБ ИНГИБИРОВАНИЯ D2-,5-HT2A– И H1-РЕЦЕПТОРОВ ПРИ ЛЕЧЕНИИ ПСИХОЗА И ШИЗОФРЕНИИ
(57) Реферат: Изобретение относится к новым производным 7-[3-[4-(6-фторбензо[d] изоксазол-3-ил)пиперидин-1-ил] пропокси] -хромен-4-она формулы I, где R означает водород, СНО, CH2OR2 или СООН; R1 означает алкил, содержащий от 1 до 4 атомов углерода, при условии, что один из заместителей R и R1 является водородом, и их фармацевтически приемлемым солям, предназначенным для использования при лечении психоза и шизофрении, а также к способу получения этих соединений, фармацевтической композиции на их основе и способу ингибирования D2-, 5-HT2a– и Н1-рецепторов при лечении психоза и шизофрении. Технический результат – получение новых соединений, используемых в медицине в качестве лекарственных средств. 4 с. и 3 з. п. ф-лы, 3 табл.
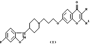
Область техники, к которой относится изобретение Изобретение относится к химическим препаратам, в частности к производным 7-[3-[4-(6-фторбензо[d] изоксазол-3-ил) пиперидин-1-ил] пропокси] -хромен-4-она и их солям, которые могут быть использованы в фармацевтической промышленности при изготовлении средства для лечения психоза и шизофрении. Уровень техники В патентных заявках Испании 9500737 и 9600323 описаны производные хромена, обладающие нейролептическим и анксиолитическим действием. Известные соединения воздействуют на D2– и 5-НТ2А-рецепторы, что характерно для психотропных средств. Однако, до настоящего времени нет публикаций об Н1-антигистаминном действии соединений, известных из предшествующих патентов. Сущность изобретения Настоящее изобретение относится к производным 7-[3-[4-(6-фторбензо[d] изоксазол-3-ил)пиперидин-1-ил] пропокси] -хромен-4-она общей формулы (I) ![]() где R означает водород, СНO, CH2OR2 или СООН; R1 означает водород или СН2ОН и R2 означает алкил, содержащий от 1 до 4 атомов углерода при условии, что один из заместителей R и R1 является водородом, а также к их фармацевтически приемлемым аддитивным солям. Соединения согласно настоящему изобретению являются новыми и их получают путем взаимодействия 2- (или 3)-замещенного 7-(3-галоидпропокси)-4Н-1-бензопиран-4-она общей формулы (II), где R и R1 определены для формулы (I), a X является галогеном, предпочтительно хлором или бромом, с 6-фтор-3-(4-пиперидинил)-бензо[d] изоксазолом (III) в соответствии со схемой 1 в присутствии основания, которое выбирают из карбонатов или бикарбонатов щелочных или щелочноземельных металлов и каталитического количества иодида калия. Реакция обычно протекает при нагревании и в неполярной среде, например, содержащей растворитель, который выбирают из N, N-диметилформамида, ацетонитрила или т. п. ![]() Согласно другому способу соединения (I, R= CHO, R1= H) и (I, R= CH2OR2, R1= H) можно получить, соответственно, путем окисления или алкилирования 7-[3-[4-(6-фторбензо[d] изоксазол-3-ил)пиперидин-1-ил] пропокси] -3-гидроксиметил) -хромен-4-она (см. заявку на выдачу патента Испании 9600323). Окисление обычно проводят в присутствии оксалилхлорида и диметилсульфоксида в галогенированном растворителе, предпочтительно дихлорметане. Алкилирование обычно проводят с использованием соответствующего спирта R2-OH (IV), где R2 определен ранее для формулы (I), в кислой среде при температуре кипения реакционной смеси. Из новых соединений формулы (I) можно получить их соли путем добавления соответствующих кислот с использованием известных методов органической химии. Свойства соединений согласно настоящему изобретению отличаются от соединений, описанных в упомянутых выше патентах. Действительно, заявителями было найдено, что соединения общей формулы (I) обладают, кроме сильного действия на D2– и 5-НТ2А-рецепторы, что характерно для психотропных средств, сильным действием на Н1-рецепторы гистамина. В противоположность этому, до настоящего времени ни в одной из публикаций не описано Н1-антигистаминное действие соединений, известных из предшествующих патентов. Сведения, подтверждающие возможность использования изобретения Специфическое связывание с рецепторами D2, 5-НТ2А и Н1 исследовали, как описано ниже. D2-рецепторы: мембранную фракцию, соответствующую 20 мг полосатого тела (striatum) крысы, инкубируют в 2 нМ растворе радиоактивного спиперона ([3Н] спиперона), который используют в качестве специфического лиганда, в Трис-НСl буферном растворе при 35oС и рН 7,4 в течение 20 мин. Затем определяют неспецифическое связывание путем добавления немеченного спиперона в микромолярной концентрации. Величину IС50 (концентрацию, при которой наблюдается 50% ингибирование) рассчитывают по степени ингибирования специфического связывания, определенного при добавлении 11 различных концентраций тестируемых соединений. После завершения инкубирования образец фильтруют через стекловолоконный фильтр и промывают три раза буферным раствором Трис-HCl. Связанная с рецептором радиоактивность удерживается на мембране и определяется с помощью жидкостного сцинтилляционного счетчика. 5-НТ2А-рецепторы: мембранную фракцию, соответствующую 1 мг коры головного мозга крысы, инкубируют в 0,5 нМ растворе радиоактивного кетансерина ([3Н] кетансерин), который используют в качестве специфического лиганда, в Трис-НСl буферном растворе при 35oС и рН 7,4 в течение 30 мин. Затем определяют неспецифическое связывание путем добавления немеченного миансерина при концентрации 5 мкМ. Величину IС50 (концентрацию, при которой наблюдается 50% ингибирование) рассчитывают по степени ингибирования специфического связывания, определенного при добавлении 11 различных концентраций тестируемых соединений. После завершения инкубирования образец фильтруют через стекловолоконный фильтр и промывают три раза буферным раствором Трис-HCl. Связанная с рецептором радиоактивность удерживается на мембране и определяется с помощью жидкостного сцинтилляционного счетчика. Н1-рецепторы: определение активности проводят путем инкубирования мембран мозжечка морской спинки в присутствии или отсутствии тестируемых соединений в 1 нМ растворе [3Н] -пириламина, используемого в качестве специфического маркера, при 25oС в течение 60 мин. Связанную радиоактивность отделяют фильтрованием (Whatman GF/B) на коллекторе клеток Brandel Harvester. Количество связанной с рецептором радиоактивности, удержанной на фильтре, определяют с использованием счетчика Packard 1800TR. Специфическое связывание оценивают с использованием трипролидина в концентрации 1 мкМ. Результаты биохимического исследования, представленные в виде величины IC50 (молярная концентрация) для D2– и 5-НТ2А-рецепторов по сравнению с соединением согласно примеру 2′, описанным в испанской заявке 9600323, и со стандартным галоперидолoм сведены в таблицу 1, а результаты для Н1-рецептора по сравнению с соединением согласно примеру 2′, описанным в патенте Испании 9600323, и со стандартным прометазином сведены в таблицу 2. На основании данных таблицы 1 можно заключить, что соединения согласно настоящему изобретению, полученные, как указано в примерах 1 и 2, проявляют в качестве лигандов D2– и 5-НТ2A-рецепторов более сильное действие, чем соединение согласно примеру 2′ испанской заявки 9600323. Соотношение D2/5-HT2A свидетельствует о том, что все соединения по активности превосходят стандартный галоперидол, что в результате свидетельствует о снижении риска экстрапирамидальных эффектов. Аналогичным образом, на основании данных таблицы 2 можно заключить, что соединения согласно настоящему изобретению, полученные, как указано в примерах 3 и 6, проявляют в качестве лигандов Н1-рецептора более сильное действие, чем соединение согласно примеру 2′ испанской заявки 9600323, и активность, равную действию прометазина. Кроме того, активность соединения согласно примеру 3 выше, чем активность стандартного прометазина. Соединения согласно настоящему изобретению сравнивали с соединением согласно примеру 2′ испанской заявки 9600323 посредством испытания, используемого в области фармакологии животных, а именно, по ингибирующему действию на инициированное апоморфином поведение “подъем на сетку” (P. Protais et al: “Psychopharmacology”, 50, 1-6, 1976). Для выполнения этого эксперимента были использованы самцы швейцарских мышей весом 22-24 г. За одну неделю до эксперимента животных выдерживают в помещении при 20-22oС, цикличности темнота-свет 12/12 ч и со свободным доступом к пище и воде. За 2 ч до эксперимента животных помещают в индивидуальные клетки без доступа к пище. Затем в момент времени эксперимента 0 животным вводят тестируемое лекарство или 0,25% агар. Через 60 мин животным вводят подкожно апоморфин в дозе 1 мг/кг и еще через 70 мин оценивают поведение животных. Две дополнительные оценки проводят с интервалом 10 мин. С целью оценки поведения каждое животное помещают на дно небольшой прямоугольной коробки (11 7,5 4,5 см). Стенки коробки изготовлены из полупрозрачного метакрилата кроме одной боковой поверхности (шириной 7,5 см), которая представляет собой 3 мм проволочную сетку. Позицию животного в течение 2 мин оценивают следующими баллами: 0 = четыре лапы на полу, 1 = три лапы на полу, 2 = две лапы на полу, 4 = четыре лапы на сетке. Если животное принимает несколько позиций в течение 2 мин наблюдения, записывают время нахождения животного в каждой позиции в секундах. Наконец, рассчитывают среднюю величину. Одновременно оценивают каталептическую активность соединений, введенных крысам оральным путем, и выражают ее в виде эффективной дозы 50% (ED50).
Полученные результаты, представленные в виде ингибирующей дозы 50% (ID50, мг/кг) по тесту “подъем на сетку” и в виде ED50 (мг/кг) по каталептическому тесту, сведены в таблицу 3. В этой таблице приведен также терапевтический индекс (TI), который является мерой безопасности использования исследованных соединений.
На основании данных таблицы 3 можно заключить, что соединения согласно настоящему изобретению, полученные, как указано в примерах 3 и 6, обладают более высоким терапевтическим индексом, чем соединение согласно примеру 2′ испанской заявки 9600323 и чем стандартный галоперидол, что подтверждает преимущество по снижению риска экстрапирамидальных эффектов при терапевтических дозах.
Соединения согласно настоящему изобретению могут быть использованы в качестве психотропных средств для лечения психоза и шизофрении путем орального введения, инъекции или введения ректальным путем, причем дневная доза составляет от 1 до 500 мг, предпочтительно от 2 до 50 мг включительно. Обычными формами для орального введения соединений в качестве психотропных средств являются растворы, таблетки, таблетки в оболочке, капсулы, гранулы, сиропы и т. п. Соединения согласно настоящего изобретения можно также использовать в качестве антигистаминных средств для лечения аллергии путем орального введения, инъекции или введения ректальным путем, причем дневная доза составляет от 1 до 500 мг, предпочтительно от 2 до 150 мг включительно. Обычными формами для орального введения этих соединений для лечения аллергии являются растворы, таблетки, таблетки в оболочке, капсулы, гранулы, сиропы и т. п. Соединения, используемые в качестве антиаллергенных агентов, можно также вводить в форме композиции для наружного применения, таких как мазь, лосьон, порошок и т. п. при концентрациях от 0,5 до 5%, предпочтительно от 1 до 2% включительно.
Изобретение иллюстрируется ниже следующими примерами.
Пример 1: 7-[3-[4-(6-фторбензо[d] изоксазол-3-ил)пиперидин-1-ил] пропокси] -3-формилхромен-4-онРаствор 3 мл (42 ммоль) диметилсульфоксида в 10 мл дихлорметана по каплям добавляют к раствору 2 мл (23 ммоль) оксалилхлорида в 35 мл сухого дихлорметана, охлажденного до -70oС, и смесь перемешивают в течение 5 мин. Затем несколькими порциями в течение 15 мин добавляют 5 г (11 ммоль) 7-[3-[4-(6-фторбензо[d] изоксазол-3-ил)пиперидин-1-ил] пропокси] -3-(гидроксиметил)хромен-4-она (испанская заявка на патент ES 9600323) и перемешивают в течение еще 30 мин при -70oС. Затем по каплям добавляют 15 мл (107 моль) триэтиламина, перемешивают в течение ночи, оставляя реакционную смесь постепенно нагреваться до комнатной температуры. При охлаждении до -20oС к реакционной смеси добавляют 50 мл воды, смеси дают нагреться до комнатной температуры, органическую фазу декантируют, сушат над сульфатом натрия и упаривают. Полученный остаток очищают хроматографией на колонке с силикагелем. При элюции колонки смесью СНСl3: СН3ОН (98: 2, об. : об. ) получают 2,12 г 7-[3-[4-(6-фторбензо[d] изоксазол-3-ил)пиперидин-1-ил] пропокси] -3-формилхромен-4-он с выходом 43%, т. пл. 163-165oС. ИК-спектр (KBr): 1691, 1652, 1619, 1441 см-1. ЯМР-спектр (CDCl3): 2,10 (m, 6 Н), 2,20 (m, 2 H), 2,60 (t, 2 H), 3,10 (m, 3 H), 4,19 (t, 2 H), 6,96 (d, 1 Н), 7,05 (m, 2 H), 7,24 (dd, 1 H), 7,69 (dd, 1 H), 8,19 (d, 1 H), 8,47 (s, 1 H), 10,37 (s, 1 H). Пример 2: гидрохлорид 7-[3-[4-(6-фторбензол[d] изоксазол-3-ил) пиперидин-1-ил] пропокси] -4-оксохромен-3-карбоновой кислоты. Смесь 0,87 г (3 ммоль) 7 (3-хлорпропокси)-4-оксохромен-3-карбоновой кислоты, 0,7 г (3 ммоль) гидрохлорида 6-фтор-3-(4-пиперидинил)бензо[d] изоксазола, 0,85 г (6 ммоль) безводного карбоната калия и каталитического количества иодида калия в 25 мл N, N-диметилформамида нагревают при 89-90oС в течение 24 ч. После охлаждения раствор выливают в 125 мг воды и затем нейтрализуют HCl до рН 7. Полученный осадок отфильтровывают, промывают водой и сушат в вакууме. Остаток растворяют в 60 мл 0,1 М NaOH, разбавляют водой до 300 мл и раствор промывают этилацетатом. Водный раствор подкисляют HCl до рН 1-2, полученный осадок отфильтровывают и сушат в вакууме, при этом получают 0,62 г гидрохлорида 7-[3-[4-(6-фторбензо[d] изоксазол-3-ил) пиперидин-1-ил] пропокси] -оксохромен-3-карбоновой кислоты с выходом 40%. ИК-спектр: 3100-3700, 1698, 1616, 1447, 1384, 1165, 1121 см-1. ЯМР-спектр (ДМСО): 2,13 (m 6Н), 2,30 (m, 2H), пиперидин-2Нa и -6Ha, 3,16 (d+m, 3H, пиперидин-2Нe, -4Н, -6Нe), 4,10 (t, J= 6 Гц, 2H, О-СН2), 6,67 (s, 1H, 8-Н), 6,79 (d, J= 8,7 Гц, 1 H, 6-Н), 7,10 (td, J= 8,4 и 2,1 Гц, 1 Н, бензизоксазол-5Н), 7,27 (dd, J= 8,4 и 2,1 Гц, 1Н, бензизоксазол-7Н), 7,79 (dd, J= 8,4 и 5,4 Гц, 1Н, бензизоксазол-4Н), 7,97 (d, J= 8,7 Гц, 1Н, -5Н), 9,86 (s, 1H, 2-H).
Пpимeр 3: гидpoxлopид 7-[3-[4-(6-фтopбoнзo[d] изокcaзoл-3-ил) пипepидин-1-ил] пропокси] -3-метоксиметил -хромен-4-она.
Раствор 2 г (4,4 ммоль) 7-[3-[4-(6-фторобензо[d] изоксазол-3-ил)пиперидин-1-ил] пропокси] -3-(гидроксиметил)-хромен-4-она в 20 мл 2 М HCl в метаноле нагревают с обратным холодильником в течение 2 ч. Растворитель упаривают, остаток растворяют в дихлорметане и промывают насыщенным раствором CO3HNa. Органическую фазу упаривают, остаток растворяют в ацетонитриле и осаждают с помощью добавления раствора HCl в эфире. Полученный осадок перекристаллизовывают из метанола, при этом получают 0,75 г гидрохлорида 7-[3-[4-(6-фторбензо[d] изоксазол-3-ил)пиперидин-1-ил] пропокси] -3-метоксиметил-хромен-4-она, выход 34%, т. пл. 219-221oС.
ИК-спектр (KBr): 1659, 1615, 1443, 1273, 1244 см-1.
ЯМР-спектр (СDСl3-СD3ОD): 2,25 (m, 2H), 2,50 (m, 2H), 2,90 (m, 2H), 3,05 (m, 2H), 3,35 (m, 2H), 3,48 (s, 3H) 3,60 (m, 1H), 3,80 (d, 2H), 4,20 (m, 2H), 4,39 (s, 2Н), 6,90 (d, 1H), 6,97 (d, 1H), 7,16 (td, 1H), 7,66 (dd, 1H), 7,95 (s, 1H), 8,10 (d, 1H), 8,20 (dd, 1H).
Пример 4: 7-гидрокси-2-(гидроксиметил)-хромен-4-он3 г боргидрида натрия добавляют несколькими порциями к суспензии 5 г (21 ммоль) этил 7-гидрокси-4-оксо-хромен-2-карбоксилата и 5 г (45 ммоль) безводного хлорида кальция в 100 мл абсолютного этанола, охлажденного до 0oС, и смесь перемешивают при комнатной температуре в течение 16 ч. Затем добавляют еще 1 г боргидрида натрия и перемешивают еще 2 ч. Реакционную смесь суспендируют в 200 мл воды и медленно подкисляют HCl. Осадок отфильтровывают, промывают водой и сушат в вакууме, при этом получают 2,7 г 7-гидрокси-2-(гидроксиметил)-хромен-4-она в виде твердого вещества, выход 66%, т. пл. 250-252oС. ИК-спектр (KBr): 2700-3500, 1650, 1634, 1570, 1458, 1326, 1250, 1101 см-1. ЯМР-спектр (d6-ДМСО): 3,50 (s, ушир. , 2Н, ОН) 4,40 (s, 2Н, СН2ОН), 6,20 (s, 1H, 3-Н), 6,82 (d, J= 2,4 Гц, 1H, 8-Н), 6,92 (dd, J= 8,7 и 2,4 Гц, 1H, 6-Н), 7,86 (d J= 8,7, 1H, 5-H). Пример 5: 7-(3-хлорпропокси)-2-(гидроксиметил)-хромен-4-он Смесь 6 г (31 ммоль) соединения, полученного согласно примеру 4, 6 мл (61 ммоль) 1-бром-3-хлорпропана, 4,3 г (31 ммоль) безводного карбоната калия в 100 мл ацетона и 25 мл N, N-диметилформамида нагревают с обратным холодильником в течение 16 ч. Реакционную смесь выливают в 100 мл воды и экстрагируют 100 мл этилацетата. Органические экстракты промывают двумя порциями по 100 мл воды, сушат над сульфатом натрия и упаривают в вакууме. Полученный остаток суспендируют в 25 мл этилового эфира, фильтруют и сушат в вакууме, при этом получают 4,2 г 7-(3-хлорпропокси) -2- (гидроксиметил) -хромен-4-она, выход 50%, т. пл. 110-112oС. ИК-спектр (KBr): 2600-3500, 1651, 1628, 1592, 1448, 1246, 1099 см-1. ЯМР-спектр (CDCl3): 3,76 (t, J= 6 Гц, 2Н, CH2C1), 4,16 (t, J= 6 Гц, 2 H, O-СН2), 6,44 (s, 1Н, 3-Н), 6,78 (d J= 2,1 Гц, 1Н, 8-Н), 6,90 (dd, J= 8,7 и 2,1 Гц, 1Н, 6-Н), 7,99 (d, J= 8,7 Гц, 1Н, 5-Н).
Пример 6: гидрохлорид 7-[3-[4-(6-фторбензо[d] изоксазол-3-ил) пиперидин-1-ил] пропокси] -2-(гидроксиметил) хромен-4-она.
Смесь 3 г (11 ммоль) соединения, полученного согласно примеру 5, 2,88 г (11 ммоль) гидрохлорида 6-фтор-3-(4-пиперидинил)-бензо[d] изоксазола, 2,16 г (26 ммоль) бикарбоната натрия и каталитического количества иодида калия в 80 мл ацетонитрила нагревают с обратным холодильником в течение 48 ч. Смесь охлаждают, выливают в 100 мл воды и экстрагируют 100 мл хлороформа. Слой хлороформа промывают водой, сушат над сульфатом натрия и упаривают. Остаток суспендируют в этиловом эфире, фильтруют и сушат в вакууме, при этом получают 2 г 7-[3-[4-(6-фторбензо[d] изоксазол-3-ил) пиперидин-1-ил] пропокси] -2-(гидроксиметил) -хромен-4-она, выход 40%.
ЯМР-спектр (СDСl3): 2,0-2,2 (m, 8H), 3,10 (d+m, 3Н, пиперидин-2Нe, -4Н и -6He), 4,13 (t,J = 6,6 Гц,2H,O-CH2-CH2-CH2), 6,41 (s, 1Н, 3-Н), 6,89 (d, J= 2,1 Гц, 1Н, 8-Н), 6,94 (dd, J= 8,7 и 2,1 Гц, 1Н, 6-Н), 7,07 (td, J= 8,7 и 2,4 Гц, 1Н, бензизоксазол-5Н), 7,25 (dd, J= 8,7 и 2,4 Гц, 1 Н, бензизоксазол-7Н), 7,71 (dd, J= 8,7 и 5,1 Гц, 1Н, бeнзизоксазол-4Н), 8,04 (d, J= 8,7 Гц, 1Н, 5-Н).
Гидрохлорид: Полученный продукт растворяют в смеси хлороформ: метанол (3: 1) и осаждают при добавлении раствора НC1 в метаноле, при этом получают 1,4 г гидрохлорида 7-[3-[4-(6-фтopбeнзo [d] изoкcaзoл-3-ил) пиперидин-1-ил] пропокси] -2-(гидроксиметил) -хромен-4-она в виде твердого вещества, т. пл. 248-251oC.
ИК-спектр (KBr): 3300, 2500, 1648, 1603, 1439, 1329, 1122, 1094 см-1.
Пример 7: 0,025% состав для инъекцийСостав композиции на 1 ампулу Соединение согласно примеру 3 – 0,5 мг Метил п-гидроксибензоат – 1,0 мг Пропил п-гидроксибензоат – 0,1 мг Бидистиллированная вода – Довести до 2,0 мл Пример 8: состав 0,1% раствора для орального введения Состав композиции на 100 мл Соединение согласно примеру 3 – 100 мг Метил п-гидроксибензоат – 135 мг Пропил п-гидроксибензоат – 15 мг Сорбитол 70% – 20 мг Сахарин натрия – 50 мг Апельсиновая эссенция – 0,25 мл Дистиллированная вода – Довести до 100 мл Пример 9: состав таблетки, содержащей 1 мг активного соединения Состав композиции на 1 таблетку Соединение согласно примеру 3 – 1,0 мг Кукурузный крахмал – 32,4 мг Тальк – 4,5 мг Гидрогенизированное касторовое масло – 1,5 мг Лактоза – До 150,0 мг Пример 10: состав таблетки, содержащей 5 мг активного соединения Состав композиции на 1 таблетку Соединение согласно примеру 3 – 5,0 мг Кукурузный крахмал – 43,2 мг Тальк – 6,0 мг Гидрогенизированное касторовое масло – 2,0 мг Лактоза – До 200,0 мг Пример 11: состав таблетки, содержащей 10 мг активного соединения Состав композици на 1 таблетку Соединение согласно примеру 3 – 10,0 мг Кукурузный крахмал – 40,0 мг Лаурилсульфат натрия – 0,50 мг Кукурузный крахмал (предварительно желатинизированный) – 8,00 мг Стеарат магния – 1,20 мг Лактоза – До 240,00 мг Пример 12: состав 1% крема для наружного применения Состав композиции весом 100 г Соединение согласно примеру 3 – 1,0 г Изопропил миристат – 9,00 г Цетостеариловый спирт – 6,00 г Пропиленгликоль – 3,00 г Полигликолевый эфир жирных кислот – 5,00 г Дециловый эфир олеиновой кислоты – 6,00 г Ароматизатор – 0,30 г Метил п-гидроксибензоат – 0,15 г Пропил п-гидроксибензоат – 0,02 г Этил п-гидроксибензоат – 0,03 г Деминерализованная вода – Довести до 100,00 г Специалисту должно быть понятно, что приведенные примеры использованы в качестве иллюстрации и не должны ограничивать объем изобретения, предполагающий различные варианты и модификации и представленный в нижеследующей формуле изобретения. Формула изобретения
![]() где R означает водород, СНO, CH2OR2 или СОOН; R1 означает водород или СН2ОН; R2 означает алкил, содержащий от 1 до 4 атомов углерода при условии, что один из заместителей R и R1 является водородом, а также их фармацевтически приемлемые соли. 2. Соединения формулы I по п. 1, отличающиеся тем, что R означает СНО, CH2OR2 или СООН и R1 означает водород или R означает водород и R1 означает СН2ОН. 3. Соединения формулы I по п. 1, отличающиеся тем, что эти соединения, а также их фармацевтически приемлемые аддитивные соли предназначены для использования при лечении психоза и шизофрении. 4. Соединения формулы I по п. 1 или 2, отличающиеся тем, что они предназначены для приготовления фармацевтической композиции для лечения психоза и шизофрении. 5. Фармацевтическая композиция для ингибирования D2-, 5-HT2A– и H1-рецепторов, содержащая эффективное количество соединения формулы I по п. 1 или 2 или его фармацевтически приемлемой соли, и фармацевтически приемлемый носитель. 6. Способ ингибирования D2-, 5-HT2A– и Н1-рецепторов при лечении психоза и шизофрении путем введения эффективного количества соединения формулы I по п. 1 или 2 или его фармацевтически приемлемой аддитивной соли. 7. Способ получения соединений формулы I или их солей, заключающийся в том, что предусматривает взаимодействие промежуточных соединений формулы II ![]() где R и R1 определены для формулы I; Х является галогеном, предпочтительно хлором или бромом, с промежуточными соединениями формулы III ![]() для получения соединений формулы I с последующей необязательной обработкой соответствующей кислотой для получения их фармацевтически приемлемых солей. РИСУНКИ
MM4A Досрочное прекращение действия патента Российской Федерации на изобретение из-за неуплаты в установленный срок пошлины за поддержание патента в силе
Дата прекращения действия патента: 30.12.2002
Извещение опубликовано: 27.09.2004 БИ: 27/2004
|
||||||||||||||||||||||||||



7,5
3,16 (d+m, 3H, пиперидин-2Нe, -4Н, -6Нe), 4,10 (t, J= 6 Гц, 2H, О-СН2), 6,67 (s, 1H, 8-Н), 6,79 (d, J= 8,7 Гц, 1 H, 6-Н), 7,10 (td, J= 8,4 и 2,1 Гц, 1 Н, бензизоксазол-5Н), 7,27 (dd, J= 8,4 и 2,1 Гц, 1Н, бензизоксазол-7Н), 7,79 (dd, J= 8,4 и 5,4 Гц, 1Н, бензизоксазол-4Н), 7,97 (d, J= 8,7 Гц, 1Н, -5Н), 9,86 (s, 1H, 2-H).
Пpимeр 3: гидpoxлopид 7-[3-[4-(6-фтopбoнзo[d] изокcaзoл-3-ил) пипepидин-1-ил] пропокси] -3-метоксиметил -хромен-4-она.
Раствор 2 г (4,4 ммоль) 7-[3-[4-(6-фторобензо[d] изоксазол-3-ил)пиперидин-1-ил] пропокси] -3-(гидроксиметил)-хромен-4-она в 20 мл 2 М HCl в метаноле нагревают с обратным холодильником в течение 2 ч. Растворитель упаривают, остаток растворяют в дихлорметане и промывают насыщенным раствором CO3HNa. Органическую фазу упаривают, остаток растворяют в ацетонитриле и осаждают с помощью добавления раствора HCl в эфире. Полученный осадок перекристаллизовывают из метанола, при этом получают 0,75 г гидрохлорида 7-[3-[4-(6-фторбензо[d] изоксазол-3-ил)пиперидин-1-ил] пропокси] -3-метоксиметил-хромен-4-она, выход 34%, т. пл. 219-221oС.
ИК-спектр (KBr): 1659, 1615, 1443, 1273, 1244 см-1.
ЯМР-спектр (СDСl3-СD3ОD): 2,25 (m, 2H), 2,50 (m, 2H), 2,90 (m, 2H), 3,05 (m, 2H), 3,35 (m, 2H), 3,48 (s, 3H) 3,60 (m, 1H), 3,80 (d, 2H), 4,20 (m, 2H), 4,39 (s, 2Н), 6,90 (d, 1H), 6,97 (d, 1H), 7,16 (td, 1H), 7,66 (dd, 1H), 7,95 (s, 1H), 8,10 (d, 1H), 8,20 (dd, 1H).
Пример 4: 7-гидрокси-2-(гидроксиметил)-хромен-4-он
3,76 (t, J= 6 Гц, 2Н, CH2C1), 4,16 (t, J= 6 Гц, 2 H, O-СН2),
6,44 (s, 1Н, 3-Н), 6,78 (d J= 2,1 Гц, 1Н, 8-Н), 6,90 (dd, J= 8,7 и 2,1 Гц, 1Н, 6-Н), 7,99 (d, J= 8,7 Гц, 1Н, 5-Н).
Пример 6: гидрохлорид 7-[3-[4-(6-фторбензо[d] изоксазол-3-ил) пиперидин-1-ил] пропокси] -2-(гидроксиметил) хромен-4-она.
Смесь 3 г (11 ммоль) соединения, полученного согласно примеру 5, 2,88 г (11 ммоль) гидрохлорида 6-фтор-3-(4-пиперидинил)-бензо[d] изоксазола, 2,16 г (26 ммоль) бикарбоната натрия и каталитического количества иодида калия в 80 мл ацетонитрила нагревают с обратным холодильником в течение 48 ч. Смесь охлаждают, выливают в 100 мл воды и экстрагируют 100 мл хлороформа. Слой хлороформа промывают водой, сушат над сульфатом натрия и упаривают. Остаток суспендируют в этиловом эфире, фильтруют и сушат в вакууме, при этом получают 2 г 7-[3-[4-(6-фторбензо[d] изоксазол-3-ил) пиперидин-1-ил] пропокси] -2-(гидроксиметил) -хромен-4-она, выход 40%.
ЯМР-спектр (СDСl3): 2,0-2,2 (m, 8H),
3,10 (d+m, 3Н, пиперидин-2Нe, -4Н и -6He), 4,13 (t,J = 6,6 Гц,2H,O-CH2-CH2-CH2),
6,41 (s, 1Н, 3-Н), 6,89 (d, J= 2,1 Гц, 1Н, 8-Н), 6,94 (dd, J= 8,7 и 2,1 Гц, 1Н, 6-Н), 7,07 (td, J= 8,7 и 2,4 Гц, 1Н, бензизоксазол-5Н), 7,25 (dd, J= 8,7 и 2,4 Гц, 1 Н, бензизоксазол-7Н), 7,71 (dd, J= 8,7 и 5,1 Гц, 1Н, бeнзизоксазол-4Н), 8,04 (d, J= 8,7 Гц, 1Н, 5-Н).
Гидрохлорид: Полученный продукт растворяют в смеси хлороформ: метанол (3: 1) и осаждают при добавлении раствора НC1 в метаноле, при этом получают 1,4 г гидрохлорида 7-[3-[4-(6-фтopбeнзo [d] изoкcaзoл-3-ил) пиперидин-1-ил] пропокси] -2-(гидроксиметил) -хромен-4-она в виде твердого вещества, т. пл. 248-251oC.
ИК-спектр (KBr): 3300, 2500, 1648, 1603, 1439, 1329, 1122, 1094 см-1.
Пример 7: 0,025% состав для инъекций

