Патент на изобретение №2179555
|
||||||||||||||||||||||||||
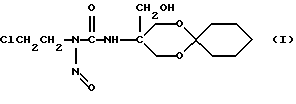
(54) 5-ОКСИМЕТИЛ-5-[3-(2-ХЛОРЭТИЛ)-3-НИТРОЗОУРЕИДО]-2-ЦИКЛОГЕКСИЛ-1,3-ДИОКСАН, ОБЛАДАЮЩИЙ ПРОТИВООПУХОЛЕВОЙ АКТИВНОСТЬЮ
(57) Реферат: Изобретение относится к медицине, а именно к биологически активным соединениям, обладающим противоопухолевой активностью в отношении опухолей мышей и крыс. Описывается новое соединение 5-оксиметил-5-[3-(2-хлорэтил)-3-нитрозоуреидо] -2-циклогексил-1,3-диоксана формулы I, обладающее противоопухолевой активностью. Соединение I является высокоактивным цитотоксическим средством, обладающим выраженным терапевтическим эффектом на всех 3 штаммах исследованных перевивных опухолей. Сравнение противоопухолевой активности заявляемого соединения и ССNU на мышах с лейкемией Р-388 показало преимущество заявляемого соединения. 3 табл.
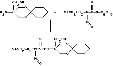
Изобретение относится к области медицины, а именно к области биологически активных соединений, обладающих противоопухолевой активностью в отношении опухолей мышей и крыс. Задачей изобретения является создание нового, более эффективного противоопухолевого средства. Поставленная задача достигнута синтезом соединения формулы ![]() Это соединение может быть использовано в качестве противоопухолевого лекарственного средства. Предлагаемое соединение синтезировано в НИИ онкологии им. проф. Н. Н. Петрова. Прототипом предлагаемого соединения является препарат CCNU – 1-циклогексил-3-(2-хлорэтил)-3-нитрозомочевина, применяемый в медицинской практике и синтезированный в США. Недостатком прототипа является его низкая растворимость в воде, что делает невозможным создание инъекционной лекарственной формы. (Переводчикова Н. И. Химиотерапия опухолевых заболеваний. М. , 2000, 384 с. ). Синтез этого соединения осуществляется по следующей схеме. Взаимодействием 2-циклогексил-5-амино-1,3-диоксана с пентахлорфениловым эфиром N-нитрозо-N-(2-хлорэтил)карбаминовой кислоты в безводном диметилформамиде получен к 5-[3-(2-хлорэтил)-3-нитрозоуреидо] -2-циклогексил-1,3-диоксан. ![]() Предлагаемое соединение – низкоплавкое вещество светло-желтого цвета. Состав данного соединения доказан элементным анализом, индивидуальность ТСХ, строение ИК и ЯМР спектрами. Получение предлагаемого соединения и его биологические свойства иллюстрируются следующими примерами. Исходный 2-циклогексил-5-амино5-оксиметил-1,3-диоксан получен методом, описанным в работе: Крайз Б. О. , Шенберг Н. Н. , Ивин Б. А. VI. Соединения с электрофильной реакционной способностью. Синтез и свойства новых 2,2-диметил-5-[2,4-бис(1-азиридинил)-1,3,5-триазин-6-ил] амино-1,3-диоксанов и 2-[2,4-бис(1-азиридинил)-1,3,5-триазин-6-ил] амино-1,3-пропандиолов. – Жорх. 1985, т. 21, вып. 2, с. 419-427. Пентахлорфениловый эфир N-нитрозо-N-(2-хлор-этил)карбаминовой кислоты синтезирован методом, описанным в работе: J. Martinez, J. Oiry, J. Imbach, F. Winternitz. Activated N-Nitrosocarbamates for Regioselective Synthesis of N-Nitrosoureas. – J. Med. Chem. 1982, v. 25, p. 178-182. Пример 1. Синтез 5-оксиметил-5-[3-(2-хлорэтил)-3-нитрозоуреидо] -2-циклогексил-1,3-диоксана. Раствор 0,01 моля 2-циклогексил-5-амино-5-оксиметил-1,3-диоксана и 0,01 моля пентахлорфенилового эфира N-нитрозо-N-(2-хлорэтил)карбаминовой кислоты в 10 мл безводного ДМФА перемешивали 4 ч при 0-5oС. Затем реакционную массу выливали в 50 мл ледяной воды, выпавший желтый осадок отфильтровывали, промывали водой (3 10 мл), остаток очищали переосаждением из ацетона пятикратным по объему количеством гексана. Выход 2,23 г (75%). Т. пл. 66-70oС (с разл. ), ТСХ на пластинках Силуфол УФ-254, Rf= 062 (элюент ацетон: гексан 1: 2).
Найдено, %: Сl 11,87. Вычислено, %: Сl 11,70.
ПМР спектр (в CDCl3), м.д.: 1,3-1,85 м (10Н, 2-С6Н10), 3,98 д. (2Н, 4,6-СН2-экваториальные), 4,10 д. (2Н, 4,6-СН2-аксиальные), 3,45 т (2Н, СlСН2), 4,11 т (2Н, CH2N), 4,84 с (2Н, СН2OН), 7,62 с (1Н, NH).
ЯМР 13С (в CDCl3), м.д.: 38,5 (СlСН2), 39,7 (CH2N), 152,8 (С= O), 62,4 (С4, С6), 55,1 (С5), 79,8, 62,9 (СН2OН), 98,8 (С5), 22,2, 25,2, 29,4, 34,6 (2-С6Н10).
ИК-спектр суспензии в вазелиновом масле, см-1: 3280 (NH), 1727 (С= O), 1480 (N= O), 1047, 1085, 1153 (С-O), 736 (С-Сl).
Пример 2. Изучение токсичности предлагаемого соединения.
Острая токсичность соединения изучалась на мышах SHR. Навеску вещества растворяли в спирте, полученный спиртовой раствор разбавляли изотоническим раствором хлористого натрия и вводили мышам внутрибрюшинно. ЛД50 у мышей при однократном внутрибрюшинном введении составила 49 мг/кг. Максимально переносимая доза при однократном внутрибрюшинном введении равнялась 20 мг/кг.
Пример 3. Влияние предлагаемого соединения на лейкемию Р-388.
Лейкемию Р-388 перевивали внутрибрюшинно мышам ДВА2 введением 106 опухолевых клеток. При однократном внутрибрюшинном введении предлагаемого соединения в дозе 20 мг/кг на 3 день после перевивки продолжительность жизни мышей возросла на 451% по отношению к контролю, тогда как под влиянием CCNU, введенного в максимально переносимой дозе 40 мг/кг, продолжительность жизни мышей увеличилась на 298% (табл. 1).
Пример 4. Влияние предлагаемого соединения на рост плоскоклеточной карциномы легких Льюис.
Карцинома легких Льюис была перевита подкожно мышам С57ВL введением 0,2 мл 10% взвеси опухолевых клеток в физиологическом растворе. Предлагаемое соединение было введено внутрибрюшинно в дозе 20 мг/кг в 3 день после перевивки. В результате лечения торможение роста опухоли по сравнению с контролем достигало 82% (табл. 2).
Пример 5. Влияние предлагаемого соединения на рост карциносаркомы Уокер у крыс.
Карциносаркома Уокер была перевита крысам подкожно введением 0,4 мл 10% взвеси измельченной опухолевой ткани в физиологическом растворе. Предлагаемое соединение было введено однократно на 6 день после перевивки, в дозе 20 мг/кг внутрибрюшинно. Торможение роста опухоли в различные сроки после введения предлагаемого соединения составило 92-98% (табл. 3).
Таким образом, предлагаемое соединение является высокоактивным цитостатическим средством, обладающим выраженным терапевтическим эффектом на всех 3 штаммах исследованных перевиваемых опухолей. Сравнение противоопухолевой активности предлагаемого соединения и CCNU на мышах с лейкемией Р-388 показало преимущество предлагаемого соединения.
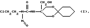
Формула изобретения
![]() обладающий противоопухолевой активностью. РИСУНКИ
MM4A Досрочное прекращение действия патента Российской Федерации на изобретение из-за неуплаты в установленный срок пошлины за поддержание патента в силе
Дата прекращения действия патента: 14.06.2002
Номер и год публикации бюллетеня: 32-2003
Извещение опубликовано: 20.11.2003
|
||||||||||||||||||||||||||



10 мл), остаток очищали переосаждением из ацетона пятикратным по объему количеством гексана. Выход 2,23 г (75%). Т. пл. 66-70oС (с разл. ), ТСХ на пластинках Силуфол УФ-254, Rf= 062 (элюент ацетон: гексан 1: 2).
Найдено, %: Сl 11,87. Вычислено, %: Сl 11,70.
ПМР спектр (в CDCl3),
м.д.: 1,3-1,85 м (10Н, 2-С6Н10), 3,98 д. (2Н, 4,6-СН2-экваториальные), 4,10 д. (2Н, 4,6-СН2-аксиальные), 3,45 т (2Н, СlСН2), 4,11 т (2Н, CH2N), 4,84 с (2Н, СН2OН), 7,62 с (1Н, NH).
ЯМР 13С (в CDCl3), 