Патент на изобретение №2179554
|
||||||||||||||||||||||||||
(54) ПРОИЗВОДНЫЕ ПИПЕРАЗИНА, СОЕДИНЕНИЯ, ФАРМАЦЕВТИЧЕСКАЯ КОМПОЗИЦИЯ
(57) Реферат: Описываются производные пиперазина общей формулы I, в которой R1 представляет собой водород или низший алкил; R2 представляет собой водород, низший алкил, OR6, SR6, NHSO2R6, C(O)NR6R7, NR6R7 или N(R7)C(O)R6; R3 и R4 независимо представляют собой водород или возможно замещенные: низший алкил, циклоалкил, арил, такой как фенил или нафтил, или бензил, где указанный заместитель является галогеном, гидроксилом, низшим алкилом, низшим алкоксилом или фенилом; или R3 и R4 вместе с атомом углерода, с которым они связаны, образуют 9-ксантенил или 9-флуоренил; R5 является замещенным фенилом, в котором указанный заместитель является низшим алкилом, -CN, галогеном, гидрокси-низшим алкилом, гидроксициклоалкилом, низшим алкокси-низшим алкилом или низшим алкоксилом; и R6 и R7 независимо представляют собой водород или возможно замещенные или незамещенные: низший алкил, фенил или бензил, в котором указанный заместитель является низшим алкилом; за исключением случая, когда R3 и R4 обозначают водород, а R2 обозначает гидроксил; или одна из его фармацевтически приемлемых солей. Соединения 1 обладают сродством к 1-адренэргическому рецептору и полезны в качестве медикаментов для лечения портальной гипертонии и цирроза. 6 с. и 13 з. п. ф-лы, 5 табл.
Нейрорецепторы считаются динамическими единицами, составляющими доступное средство клинической манипуляции. Симпатический нейромедиатор норэпинефрин и надпочечный гормон эпинефрин регулируют многие физиологические процессы посредством взаимодействия с – и -адренэргическими рецепторами. 1-адренэргические рецепторы являются посредниками большого числа физиологических действий катехоламинов, в частности, гликогенолиза, сокращения васкулярной и генито-уринальной гладкой мускулатуры, гиперполяризации интестинальной гладкой мускулатуры, силы сокращения и сердечной аритмии.
В одном из аспектов изобретение относится к соединению формулы (I):![]() в которой R1 представляет собой водород, низший алкил или арил-низший алкил; R2 представляет собой водород, низший алкил, OR6, S(O)mR6 (где m= 0, 1 или 2), NHS(O)nR6 (где n= 1 или 2), ОС(O)R6, CONR6R7, NR6R7 или N(R7)C(O)R6; R3 и R4 представляют собой, независимо один от другого, водород или одно из следующих замещенных (по 1-4 атомам углерода или азота) или незамещенных соединений: низший алкил, циклоалкил, арил, арил-низший алкил, гетероцикл или гетероцикл-низший алкил, где указанный заместитель является низшим алкилом, галогеном, ОR6, SR6, NR6R7, CN, NO2, CF3, гетероциклом или арилом, или R3 и R4 составляют вместе с атомом углерода, с которым они связаны, замещенный (в 1-4 места) или незамещенный гетероцикл или арил, где указанный заместитель является низшим алкилом, ОН или гидроксил-низшим алкилом; R5 является замещенным (по 1-4 атомам углерода) или незамещенным арилом, где указанный заместитель является низшим алкилом, циклоалкилом, гидроксил-низшим алкилом, гидроксил-циклоалкилом, алкокси-низшим алкилом, алкокси-циклоалкилом галогеном, ОR6, SR6, NR6R7 или CN; R6 и R7 представляют собой, независимо один от другого, водород или одно из следующих замещенных (по 1-4 атомам углерода) или незамещенных соединений: низший алкил, арил или арил-низший алкил, где указанный заместитель является низшим алкилом, галогеном или низшим алкокси; где, если R3 или R4 представляет собой водород, R2 не представляет собой ОН, или одну из его фармацевтически применимых солей. По одному из способов осуществления, R1 представляет собой водород или низший алкил, R2 представляет собой водород, низший алкил, OR6 (где R6 представляет собой водород или арил-низший алкил), SR6 (где R6 является низшим алкилом), NH2, NHSO2R6 (где R6 является низшим алкилом или арил-низшим алкилом), ОС(O)R6 (где R6 является арил-низшим алкилом) или CONR6R7 или N(R7)C(O)R6 (где R7 представляет собой водород, a R6 представляет собой арил-низший алкил); R5 представляет собой замещенный или незамещенный фенил, в котором указанный заместитель является низшим алкилом, CN, галогеном, гидрокси-низшим алкилом, гидрокси-циклоалкилом, низшим алкокси-низшим алкилом или OR6 (где R6 является низшим алкилом); R3 и R4 представляют собой, независимо один от другого, водород или одно из следующих замещенных или незамещенных соединений: низший алкил, циклоалкил или арил, где указанный заместитель является галогеном, OR6 (где R6 является низшим алкилом) или арилом. По другому способу осуществления: R1 представляет собой водород, a R5 представляет собой 2,5-диметилфенил; R2 представляет собой OR6 (где R6 представляет собой водород, низший алкил или арил-низший алкил); R3 представляет собой низший алкил, а R4 представляет собой фенил. По другому способу осуществления: R3 и R4 образуют, вместе с атомом углерода, с которым они связаны, арил или гетероцикл; R1 представляет собой водород, а R5 представляет собой 2-метоксифенил или 2,5-диметилфенил; R2 представляет собой OR6 (где R6 представляет собой водород, низший алкил или арил-низший алкил). По еще одному способу осуществления: R3 и R4 образуют, вместе с атомом углерода, с которым они связаны, 9-ксантенил или 9-фторенил. Следующие примеры являются примерами соединений по настоящему изобретению: ![]() ![]() ![]() ![]() ![]() ![]() ![]() ![]() ![]() ![]() ![]() ![]() ![]() ![]() ![]() ![]() ![]() ![]() ![]() ![]() ![]() ![]() ![]() ![]() ![]() ![]() ![]() ![]() ![]() ![]() ![]() ![]() ![]() ![]() ![]() ![]() ![]() ![]() ![]() ![]() ![]() ![]() ![]() ![]() ![]() ![]() ![]() ![]() ![]() ![]() ![]() ![]() ![]() ![]() ![]() ![]() В другом аспекте настоящее изобретение относится к применению в качестве медикаментов продуктов общей формулы 1, как она описана выше, а также к фармацевтической композиции, содержащей соединение формулы I: ![]() в которой R1 представляет собой водород, низший алкил или арил-низший алкил; R2 представляет собой водород, низший алкил, OR6, S(O)mR6 (где m= 0, 1 или 2), NHS(O)nR6 (где n= 1 или 2), CONR6R7, NR6R7 или N(R7)C(O)R6; R3 и R4 представляют собой, независимо один от другого, водород или одно из следующих замещенных или незамещенных соединений: низший алкил, циклоалкил, арил, арил-низший алкил, гетероцикл или гетероцикл-низший алкил, где указанный заместитель является низшим алкилом, галогеном, OR6, SR6, NR6R7, CN, NO2, CF3, гетероциклом или арилом, или R3 и R4 вместе с атомом углерода, с которым они связаны, образуют гетероцикл; R5 является замещенным или незамещенным арилом, в котором указанный заместитель является низшим алкилом, гидроксил-низшим алкилом, алкокси-низшим алкилом, галогеном, ОR6, SR6, NR6R7 или CN; R6 и R7 представляют собой, независимо один от другого водород или одно из следующих замещенных или незамещенных соединений: низший алкил, арил или арил-низший алкил, где указанный заместитель является низшим алкилом, галогеном или низшим алкокси, или одну из его фармацевтически применимых солей. Согласно одному способу осуществления, R1 представляет собой водород, R5 представляет собой 2,5-диметилфенил; R2 представляет собой OR6 (где R6 представляет собой водород, низший алкил или арил-низший алкил); R3 представляет собой низший алкил; R4 представляет собой фенил. Термин “низший алкил” включает в себя насыщенные алифатические углеводородные группы, линейные, разветвленные или с прямой цепочкой, включающие от 1 до 6 атомов углерода. Примеры низших алкильных групп включают в себя метил, этил, пропил, изопропил, бутил, t-бутил и пр. Термин “циклоалкил” включает в себя любой неароматический циклический углеводородный фрагмент, включающий от 3 до 10 атомов углерода, где от 3 до 8 атомов углерода составляют цикл. Примеры таких фрагментов включают в числе прочих циклопропил, метилциклопропил, этилциклопропил, циклобутил, циклопентил, циклогексил, циклопропилметил, циклопропилэтил и циклогексилэтил. Термин “арил” включает в себя любое моноциклическое, бициклическое или трициклическое стабильное углеродное ядро(а), или цикл(ы), содержащее до 7 членов в каждом цикле, причем, по меньшей мере один, цикл является ароматическим. Примеры таких арильных групп включают фенил, нафтил, антраценил, бифенил, тетрагидронафтил, инданил, фенантренил и пр. Термин “низший алкокси” включает в себя насыщенные алифатические углеводородные группы, линейные, разветвленные и с прямой цепочкой, включающие от 1 до 6 атомов углерода и атом кислорода. Примеры низших алкокси включают метокси, этокси, пропокси, изопропокси, бутокси и пр. Под гетероциклом понимают гетероциклическое ядро или цикл, включающее стабильный моноцикл из 5-7 членов или стабильный бицикл из 8-11 членов, или стабильный трицикл из 11-15 членов, являющееся насыщенным или ненасыщенным и состоящее из атомов углерода и из 1-4 гетероатомов, выбранных из N, О и S, и включающее в себя любую бициклическую группу, в которой один из гетероциклических циклов, определенных выше, связан с бензольным ядром. Гетероциклический цикл может быть связан с любым гетероатомом или атомом углерода с образованием стабильной структуры. Примеры таких гетероциклических элементов включают, в числе прочих, азепинил, бензимидазолил, бензизоксазолил, бензофуразанил, бензопиранил, бензотиопиранил, бензофурил, бензотиазолил, бензотиенил, бензоксазолил, хроманил, циннолинил, дигидробензофурил, дигидробензотиенил, дигидробензотиопиранил, дигидробензотиопиранилсульфон, фурил, имидазолидинил, имидазолинил, имидазолил, индолинил, индолил, изохроманил, изоиндолинил, изоквинолинил, изотиазолидинил, изотиазолил, изотиазолидинил, морфолинил, нафтиридинил, оксадиазолил, 2-оксоазепинил, 2-оксопиперазинил, 2-оксопиперидинил, 2-оксопирролидинил, пиперидил, пиперазинил, пиридил, пиридил-N-оксид, квиноксалинил, тетрагидрофурил, тетрагидроизоквинолинил, тетрагидроквинолинил, тиаморфолинил, тиаморфолинилсульфоксид, тиазолил, тиазолинил, тиенофурил, тиенотиенил, тиенил, 9-ксантенил и пр. Галоген представляет собой хлорил, фторил, броминил или йодо. Соединения настоящего изобретения могут включать в себя асимметричный центр и представлять собой рацематы, рацемические смеси или индивидуальные диастереомеры со всеми возможными изомерами, включая оптические изомеры, при этом все перечисленные формы входят в состав настоящего изобретения. Упрощенно говоря, если никакая специфическая конфигурация не описана в структурных формулах, это означает, что энантиомерные формы и их смеси входят в состав изобретения. По одному способу осуществления, атом углерода, связанный с R2, R3 и R4, находится в конфигурации “S”. Соединения данного изобретения могут находиться в форме фармацевтически применимых солей. Применимые соли включают в себя, в числе прочих, кислые соли присоединения с неорганическими кислотами, например, хлоргидрат, сульфат, фосфат, дифосфат, гидробромид и нитрат, или с органическими кислотами: ацетат, малеат, фумарат, тартрат, сукцинат, цитрат, лактат, метансульфонат, р-толуолсульфонат, памоат, салицилат, оксалат и стеарат. Также в настоящее изобретение входят, по мере возможности, соли, образованные с основаниями такими, как гидроксид натрия или калия. Другие примеры фармацевтически применимых солей см. в “Pharmaceutical Salts”, J. Pharm. Sci. 66: 1 (1977). Настоящее изобретение также относится к методике лечения расстройств, медиатором которых является 1-адренэргический рецептор. Примеры таких расстройств включают гипертонию, расстройства внутренней выделительной системы (например, доброкачественная гиперплазия простаты), аритмию, ишемическую болезнь миокарда, повышенную концентрацию липидов в сыворотке, глаукому, моторные нарушения желудочно-кишечного тракта, синтез холестерина, эректильную дифункцию, болезнь Рено, воспалительные патологии сердца, портальную гипертонию, множественную лекарственную устойчивость, цирроз.
Изобретение также относится к применению продуктов общей формулы I, как она описана выше для получения медикамента, предназначенного для лечения доброкачественной гиперплазии простаты, портальной гипертонии и цирроза.
По другому способу осуществления изобретение относится к методике лечения портальной гипертонии, которая включает введение эффективного терапевтического количества соединения с Kb ингибирования сокращения воротной вены крысы, по меньшей мере, в 5 раз ниже (например, по меньшей мере, в десять или двадцать раз ниже) Kb указанного соединения в отношении ингибирования сокращения аорты крысы, в которой указанное соединение связывается с 1-адренэргическим рецептором с Ki не менее 1 мкМ (например, не менее 10 нМ или 1 нМ), т. е. с таким, как описывается в приведенных здесь исследованиях.
По другому способу осуществления, Kb ингибирования сокращения воротной вены кролика составляет для данного соединения, по меньшей мере в пять раз (например, по меньшей мере в десять или двадцать раз) меньше, чем Kb указанного соединения в отношении ингибирования сокращения аорты кролика, т. е. как описано в приведенных исследованиях. По еще одному способу осуществления, Kb ингибирования сокращения воротной вены кролика, по меньшей мере, в два раза (например, по меньшей мере в пять или девять раз) ниже, чем Kb указанного соединения в отношении ингибирования сокращения бедренной вены кролика, т. е. как описано в приведенных примерах.
Объектом изобретения также является применение соединений с Kb ингибирования сокращения воротной вены крысы по меньшей мере в пять раз (например, по меньшей мере в десять или двадцать раз) более низким, чем Kb указанного соединения в отношении ингибирования сокращения аорты крысы, при котором указанное соединение связывается с 1-адренэргическим рецептором с Ki не менее 1 мкМ (например, не менее 10 нМ или 1 нМ), для получения медикамента, предназначенного для лечения портальной гипертонии или цирроза.
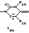
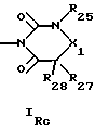
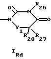
Также объектом изобретения является методика лечения портальной гипертонии, которая включает введение терапевтически эффективного количества соединения формулы IM:![]() в которой W представляет собой атом азота или углерода; R1 представляет собой водород, низший алкил, арил-низший алкил, CN, CO2R9, CON(R9)2, циклоалкил или (СН2)рСО2R9; R2‘ представляет собой водород, низший алкил, OR6, S(O)mR6, где m= 0, 1 или 2, NНS(O)nR6, где n= 1 или 2, ОС(O)R6, C(O)NR6R7, NR6R7, N(R7)C(O)R6, CO2R10, (CH2)p-CO2R10, OR12, N-R12-R13, (CH2)pCN(R10)2 или CR2‘ образует циклопропиловый цикл, a R3‘ или R4‘ отсутствует. R3‘ и R4‘ представляют собой, независимо один от другого, водород или одно из следующих замещенных или незамещенных соединений: алкил или низший алкокси, циклоалкил, арил, арил-низший алкил, гетероцикл, гетероцикл-низший алкил или NR10‘R10”, где указанный заместитель является низшим алкилом, который может быть замещен одним или несколькими атомами галогена, галогеном, OR6, SR6, NR6R7, CN, NO2, гетероцикло, арилом или метилендиокси по двум смежным атомам углерода, или R3‘ и R4‘ вместе с атомом углерода, с которым они связаны, образуют арил или гетероцикл, замещенный или незамещенный, где указанный заместитель является низшим алкилом, ОН или гидрокси-низшим алкилом; R5‘ является низшим алкилом, арилом или гетероциклом, замещенным или незамещенным, где указанный заместитель является низшим алкилом, который может быть замещен одним или несколькими атомами галогена, циклоалкилом, гидрокси-низшим алкилом, гидроксициклоалкилом, алкокси-низшим алкилом, алкоксициклоалкилом, галогеном, метилендиокси по двум смежным атомам углерода, OR6, SR6, NR6R7, CN, CO2R10, (CH2)pCON(R10)2 или (СН2)pCO2R10; R6 и R7 представляют собой, независимо один от другого, водород или одно из следующих замещенных или незамещенных соединений: низший алкил, арил или арил-низший алкил, где указанный заместитель является низшим алкилом, галогеном или низшим алкокси; R8 выбирают из водорода, циано, СО2R9, CON(R9)2 или арила, при этом, если W является атомом азота, R8 отсутствует; R9, R10, R10‘, R10” и R11, независимо друг от друга являются водородом, низшим алкилом или циклоалкилом, причем алкил и циклоалкил могут быть замещены одним или несколькими галогенами; R12 и R13 представляют собой, независимо один от другого, водород, низший алкил или циклоалкил, замещенный или незамещенный, СНО, COR10, CONR10R11 или (CH2)pOR10, V выбирают из: -CH2-, CHF, CHR10, CR10R11, CF2, ![]() или СО; q является целым числом от 0 до 3; p является целым числом от 0 до 3; X выбирают из кислорода, серы или NR14, где R14 является водородом, циано или SO2R10; R15 является водородом или гидрокси; при этом, если n= p= 0, V не является СН2ОR10; или одной из его фармацевтически применимых солей. Также объектом изобретения является использование продуктов формулы IM для получения медикамента, предназначенного для лечения портальной гипертонии или цирроза. Продукты формулы IM, получение которых не описывается в настоящей заявке, могут быть получены по способу, описанному в заявке WO 96/40136, содержание которой включено для справки в настоящую заявку. Также объектом изобретения является использование соединений, описанных в заявке WO 96/40136, для получения медикамента, предназначенного для лечения портальной гипертонии или цирроза. Также объектом изобретения является методика лечения портальной гипертонии или цирроза, включающая введение терапевтически эффективного количества соединения формулы IM: ![]() в которой R5‘, R9 и R10 имеют значения, приведенные в п. 38 формулы изобретения; Z представляет собой радикал CHR18 или NHR9; Rx выбирают из радикалов: ![]() или ![]() в которых R19 представляет собой атом водорода или атом хлора; Т представляет собой радикал -NН-(СН2)3 или ![]() R16, R17 и R18 выбирают из водорода и радикалов циано, арила, гетероцикла, CONR9R10, CO2R9 или SO2R9; а также использование продуктов формулы IN для получения медикамента, предназначенного для лечения портальной гипертонии или цирроза. Продукты формулы IN могут быть получены по способу, описанному в заявке WO 96/40135, содержание которой включено для справки в настоящую заявку. Также объектом изобретения является использование соединений, описанных в заявке WO 96/40135 для получения медикамента, предназначенного для лечения портальной гипертонии или цирроза. Также объектом изобретения является методика лечения портальной гипертонии, включающая введение терапевтически эффективного количества соединения формулы IR: ![]() в которой R20 представляет собой ацетиламино, амино, циано, трифторацетиламино, галоген, водород, гидрокси, нитро, метилсульфониламино, 2-пропинилокси или один из следующих замещенных 1-3 атомами галогена или незамещенных радикалов: низший алкил, низший циклоалкил, циклоалкил-низший алкил, низший алкокси, циклоалкокси, циклоалкил-низший алкокси или низший алкилтио, или один из следующих радикалов: арил, арилалкил, гетероцикл, гетероцикл-низший алкил, арилокси, арил-низший алкокси, гетероциклокси или гетероцикл-низший алкокси, где арил или гетероцикл могут быть замещены одним или двумя независимыми радикалами, выбранными из атома галогена и цианорадикала; R21 представляет собой CN, галоген, водород, гидрокси или один из следующих радикалов, которые могут быть замещены 1-3 атомами галогена: низший алкил или низший алкокси; R22 и R23 представляют собой, независимо один от другого, водород или метил, или вместе, этилен; R24 представляет собой одно из соединений формулы IRa, IRb, IRc и IRd: ![]() ![]() ![]() ![]() в которых X1 представляет собой С(O), СН2 или СН(ОН); Y1 представляет собой CH2 или СН(ОН); Z1 представляет собой N или C(R29), где R29 представляет собой водород, низший алкил или гидрокси; R25 представляет собой водород, один из следующих радикалов, которые могут быть замещены 1-3 атомами галогена: низший алкил, циклоалкил, циклоалкил-низший алкил; или один из следующих радикалов: арил, гетероцикл, арил-низший алкил или гетероцикл-низший алкил, где арил или гетероцикл могут быть замещены 1-3 радикалами, выбранными из атома галогена, циано, низшего алкокси, низшего алкила или арила; R26 представляет собой R30С(О)-, карбамоил, циано, ди(низший алкил)амино, галоген, водород, гидрокси, гидроксииминометил, R30S, R30SO2; один из следующих радикалов, замещенных 1-3 радикалами, выбранными из галогена, гидрокси или низшего алкокси, или незамещенных: низший алкил, циклоалкил, низший алкокси или низший алкокси-низший алкил; или один из следующих радикалов: арил, гетероцикл, арил-низший алкил или гетероцикл-низший алкил, в которых арил или гетероцикл могут быть замещены 1-3 радикалами, выбранными из галогена, циано, низшего алкокси, низшего алкила или арила; или R26 и R29 образуют вместе радикал -CH2-(СН2)2-СН2-; R27 и R28 представляют собой, независимо один от другого, водород, гидрокси, метил или этил; R30 представляет собой низший алкил; или одной из его фармацевтически применимых солей, или одного из его N-оксидов; в частности, в случае, если соединение IR представляет собой дион 3-[3-[4-[4-фтор-2- (2,2,2-трифторэтокси) фенил] -1-пиперазинил] пропил] -дигидро-2,4-(1Н, 3Н) -пиримидина. Также объектом изобретения является применение продукта формулы IR, как она определена выше, для получения медикамента, предназначенного для лечения портальной гипертонии или цирроза. Продукты формулы IR могут быть получены по способу, описанному в заявке ЕР 748800, содержание которой включено для справки в настоящую заявку. Также объектом изобретения является использование соединений, описанных в заявке ЕР 748800, для получения медикамента, предназначенного для лечения портальной гипертонии или цирроза. Эффективное терапевтическое количество соединения по данному изобретению и фармацевтически применимый носитель (например, карбонат магния, лактоза или фосфолипид, с которым терапевтическое соединение может образовывать мицеллу), вместе образуют фармацевтическую композицию (например, пилюлю, таблетку, капсулу или жидкость) для введения (например, перорального, внутривенного, чрескожного или подкожного) в случае необходимости применения указанного соединения. Пилюля, таблетка или капсула могут быть покрыты веществом, защищающим композицию от желудочных кислот или интестинальных ферментов в желудке пациента в течение времени, достаточного для того, чтобы композиция в непереваренном виде проникла в тонкий кишечник пациента. Дозировка соединения по настоящему изобретению для лечения заболеваний или нарушений, отмеченных выше, варьирует в зависимости от пути введения, возраста и массы тела пациента, а также от состояния пациента и определяется окончательно лечащим врачом или ветеринаром. Такое количество соединения, определяемое лечащим врачом или ветеринаром, называется здесь “эффективное терапевтическое количество”. Также составной частью изобретения считается способ получения соединения формулы (I) или формулы (II) и новые химические промежуточные вещества, используемые в описываемых здесь видах синтеза. Прочие характеристики и преимущества изобретения объясняются в детальном описании изобретения. Мы считаем, что технолог может, основываясь на данном здесь описании, использовать настоящее изобретение в полном объеме. Следующие специфические способы осуществления представлены в качестве простой иллюстрации, ни в коей мере не ограничивающей изобретение. За исключением случаев, если они определены по-другому, все технические и научные термины, которые здесь используются, имеют привычное для специалистов, которым адресовано изобретение, значение. Также все публикации, заявки, патенты и другие отмеченные здесь источники, включены в качестве справочных материалов. СИНТЕЗ Как показано в Схеме I (см. в конце описания), соединения по изобретению в общем могут быть получены конденсацией производных 3-амино-1-пропанола общей формулы (II) (Kim, J. K. и др. , J. Org. Chem. 54: 1714 (1989) и Koepke, S. R. и др. , J. Org. Chem. 44: 2718 (1979)) с соответствующими кислыми производными общей формулы (III). В схеме I R1-R5 определены выше, а Х представляет собой удаляемую группу, например, метансульфонилокси, р-толуолсульфонилокси, хлор, бром или йод. Производные бензиловой кислоты (III), в которых R3 и R4 представляют собой ароматические соединения, a R2 представляет собой ОН, получают или нагреванием до 80oС бензиловых производных и гидроксида щелочного металла (например, КОН) в твердом состоянии (Toda, F. и др. , Chem. Letts, стр. 373-376, The Chemistry Society of Japan (1990)), как показано в примере 25, или нагреванием до 95oС в водных органических растворителях (Rzeszotarski, W. J. и др. J. Med. Chem. 27: 156 (1984)). Кислые производные (III), в которых R3 представляет собой алкильную цепочку, R4 представляет собой ароматическое вещество, a R2 представляет собой ОН, могут быть получены по другим методикам. Одна методика предлагает реакцию между производными ацетофенона с триметилсилилцианидом в присутствии каталитического количества ZnI2 при комнатной температуре, чтобы получить цианогидрины после кислого гидролиза (Gassman, P. G. и др. , Tetrahedron Lett. 40: 3773 (1978)). Далее эти цианогидрины преобразуют в -гидроксикислоты путем кипячения с обратным холодильником в концентрированной НСl (Org. Synth. Coll. Vol. 1: 289 (1941). Другая методика заключается в алкилировании трианионов -гидроксикарбоновых кислот при -78oС алкилхлоридами (Newcomb. M. , и др. , J. Org. Chem. 43: 3963 (1978)), в результате чего также образуются требуемые алкилированные кислоты, как показано в примере 28. Еще одна методика представляет собой синтез сложных -арилалкановых сложных эфиров -арилалканов, начиная со сложных -кетоэфиров, например, этилпирувата, и из нуклеофильных арилов, таких как магний-арилбромиды (Salomon R. G. и др. , J. Org. Chem. 47: 4692 (1982)). Производные арила магния получают путем кипячения с обратным холодильником бромида арила и порошка магния в THF или сухого или безводного (“dry”) диэтилэфира. Конденсацию проводят, пропуская через систему трубочек (“cannulating”) холодное производное арила магния на предварительно охлажденный (-78oС) сложный -кетоэфир, как показано в примере 40. Омыление легко осуществляется при взбалтывании этих эфиров в присутствии КОН в метаноле в течение нескольких часов. Сложные хиральные -арил- -гидроксиалкановые эфиры получают главным образом добавлением органометаллических реактивов к сложным хиральным -кетоэфирам (Basavaiah, D. and Bharathi, Т. К. , Tetrahedron Lett. 32: 3417 (1991)), используя, например, транс-2-фенилциклогексанол в качестве хиральной добавки.
Кислые производные (III), в которых R3 представляет собой водород или алкильную цепочку, R4 представляет собой ароматическое вещество, a R2 представляет собой аминокарбонил, получают из сложных фенилмалоновых диэфиров. Факультативную стадию алкилирования проводят в безводных условиях, в присутствии сильного основания, такого как NaH, и агента алкилирования 6-X, как он определен выше в сухом полярном растворителе, например DMF или THF. Омыление этаноловым эквивалентом КОН при комнатной температуре позволяет получить монокислотные производные, легко преобразуемые в карбоксамидные производные с помощью реакции с амином NR6R7, как он определен выше в обычных пептидных условиях. Такую конденсацию проводят в присутствии дициклогексилкарбодиимида и гидроксибензотриазола в качестве реактивов соединения в инертном растворителе, предпочтительно, дихлорметане или DMF (Bodanszky, М. и Bodanszky, A. , The Practice of Peptide Synthesis, 145 (Springer-Verlag, 1984)). По другому эти карбоксамидные производные можно получить прямой конденсацией амина NR6R7, как он описан выше со сложными фенилмалоновыми диэфирами, нагревая их в такой смеси растворителей, как THF/Толуол в присутствии натрийдиэтилдигидроалюмината (Sim, Т. В. и Yoon, N. M. , Synlett 827 (1994)). Снятие защиты второй кислотной функции проводят точно так же, как описано выше.
Реакция пептидного сцепления соединений общих формул (II) и (III) хорошо известна (Bodanszky, M. и Bodanszky, A. , The Practice of Peptide Synthesis, 145 (Springer-Verlag, 1984)). Первичная гидроксильная группа соединений общей формулы (IV) может быть легко превращена в удаляемую группу, например, сульфонилоксигруппу, с помощью реакции с хлоридом метансульфонила в присутствии триэтиламина в дихлорметане или хлориде р-толуолсульфонила в пиридине. Если R2 представляет собой ОН, избирательная активация первичного спирта может быть осуществлена только благодаря реакциям типа галогенирования, например, с йодидами общей формулы (V), в которой Х представляет собой I, которые получают реакцией с йодом, трифенилфосфином и имидазолом (Garegg, P. J. и др. , J. Chem. Soc. Perkin 1, 681 (1982)), как показано в примере 1.2. Реакция конденсации соединения общей формулы (V) с соединением общей формулы (VI) (см. схему I) может быть проведена при нагревании смеси до 80oС в полярном растворителе, например, ацетонитриле, в течение нескольких часов.
По другому, соединения общей формулы (I) могут быть получены обычной пептидной конденсацией производного первичного амина общей формулы (VII) (для практического получения, см. Wu, Y. H. и др. , J. Med. Chem. 12: 876 (1969)) с кислотным производным общей формулы (III).
Как показано в Схеме II (см. с конце описания), соединения общей формулы (VI), например, формул (VIa), (VIb) и (VIc) с низшим алкилом, гидроксиалкилом или алкоксиалкилом в качестве заместителей могут быть получены.
В Схеме II R6, как он определен выше, представляет собой алкильную группу, Subst представляет собой такой заместитель, как определено в R5, a X представляет собой удаляемую группу, например, метансульфонилокси, р-толуолсульфонилокси, хлор, бром или йод. Конденсация между бензальдегидными производными общей формулы (VIII) (Walter, H. N. и др. , Synthesis, стр. 641-645 (1987)) и алкильными реактивами Гриньяра (Grignard) в диэтилэфире или THF позволяет получить соответствующий вторичный спирт общей формулы (IX), как показано в примере 36 на промежуточной стадии 36.2. Соединения общей формулы (VIa) получают снятием защиты соединений общей формулы (IX) согласно основным известным методам дебензилирования, например, каталитической гидрогенацией или реакцией с хлороформатом, например, винилхлороформатом или -хлорэтилхлороформатом, с последующим гидролизом или метанолизом. Другие методы дебензилирования, например, обнаруженные в Green, T. W. и Wuts, P. G. M. , Protective Groups in Organic Synthesis, 2-е изд. , 364, (John Wiley & Sons Inc. , 1991) могут также применяться при условии их совместимости с заместителями арильного цикла соединения общей формулы (IX). Соединения общей формулы (IX) могут быть О-алкилированы в безводных условиях при комнатной температуре в присутствии сильного основания, например, NaH, и агента алкилирования R6-X, как он определен выше в сухом полярном растворителе, например, DMF или THF. Дебензилирование соединений общей формулы (X), в соответствии с уже описанной процедурой, позволяет получить соединения общей формулы (VIb).
По другому, соединения общей формулы (VIII) могут быть преобразованы в соединение общей формулы (XI) с помощью реакции типа реакции Виттига (Wittig), в которой используют алкилфосфорановый реактив, получаемый из соли алкилфосфония и сильного основания, например, nBuli или фениллитий, в THF или сухом диэтилэфире. Соединения общей формулы (VIc) получают с помощью восстановления двойной связи и сопутствующего дебензилирования в условиях каталитической гидрогенации.
Соединения общей формулы (I), в которой R2 представляет собой ОН, могут быть О-алкилированы в безводных условиях в присутствии сильного основания, такого как NaH, и агента алкилирования R6-X в сухом полярном растворителе, например, DMF или THF. Соединения общей формулы (I), в которой R2 представляет собой измененный амин (например, сульфониламид или карбоксамид), синтезируют в реакции хлорсульфонила или кислотного галогенированного производного со свободной аминокислотой в условиях, аналогичных условиям процедуры Schotten-Baumann (Bodanszky, M. и Bodanszky, A. , The Practice of Peptide Synthesis, 9 (Springer-Verlag, 1984)).
Нижеследующее описывает специфический химический синтез соединений 1-56. Другие соединения по изобретению могут быть получены технологом аналогичным образом.
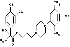
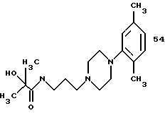
Пример 1: Дихлоргидрат -гидрокси-N-[3-{ 4-(3-метилфенил)-1-пиперазинил} -пропил] – -фенил- бензолацетамида (Соединение 1):1.1) -гидрокси-N-(3-гидроксипропил)- -фенил-бензолацетамид:11,34 г (55 ммоль) дициклогексилкарбодиимида добавляют в один прием к холодному (0-5oС) раствору 3,82 мл (50 ммоль) 3-амино-1-пропанола, 7,43 г (55 ммоль) гидроксибензотриазола и 11,4 г (50 ммоль) бензиловой кислоты в 60 мл DMF. Раствору дают нагреться до комнатной температуры и взбалтывают 15 часов. В результате фильтрации дициклогексилового осадка и последующего выпаривания жидкости, получают масляный осадок, который растворяют в 150 мл этилацетата. Этот раствор промывают, поочередно, водой (2 100 мл), NaOH 1 N (2 100 мл) и насыщенным раствором NaCl (100 мл). Органическую фазу высушивают на сульфате натрия, а растворитель выпаривают при пониженном давлении и получают 12,8 г (89%) соединения в виде белого твердого вещества. Т. пл. : 126-127oС.
1H ЯМР (100 МГц, CDCl3, ): 7,40 (м, 10Н, 2 Рh); 6,95 (м, 1Н, CO-NH); 3,98 (с, 1Н, ОН); 3,45 (м, 4Н, ); 2,88 (м, 1Н, ); 1,63 (м, 2Н, CH2).
1.2) -гидрокси-N-(3-йодопропил)- -фенил-бензолацетамид:14,26 г (56 ммоль) йода добавляют в несколько приемов в холодный (0-5oС) раствор 14,7 г (56 ммоль) трифенилфосфина и 3,82 г (56 ммоль) имидазола в смеси 90 мл диэтилэфира и 30 мл ацетонитрила. В ходе взбалтывания в течение 1 часа при комнатной температуре образуется желтый осадок. К этой желтой суспензии добавляют по каплям раствор 8 г (28 ммоль) -гидрокси-N-(3-гидроксипропил)- -фенил-бензолацетамида в 90 мл диэтилэфира и 30 мл ацетонитрила и продолжают взбалтывание еще 15 часов. Конечную смесь фильтруют и концентрируют таким образом, чтобы получить масляный коричневый осадок, который очищают быстрой хроматографией (элюент: легкая нефть (вр. 40-65oС)/этилацетат: 8/2, затем 6/4). Выпаривание соответствующих фаз при пониженном давлении позволяет получить 8,86 г (80%) требуемого соединения в виде светло-желтого твердого вещества. Т. пл. : 105-106oС.
1Н ЯМР (100 МГц, CDCl3, ): 7,35 (м, 10Н, 2 Ph); 6,57 (м, 1Н, CO-NH); 3,81 (с, 1Н, ОН); 3,40 (м, 2Н, ); 3,09 (т, 2Н, ); 2,00 (м, 2Н, CH2).
1.3) Дихлоргидрат -гидрокси-N-[3-{ 4- (3-метилфенил)-1-пиперазинил} -пропил] – -фенил- бензолацетамида:Смесь 0,6 г (3,4 ммоль) 1-(3-метилфенил)-пиперазина и 1,34 г (3,4 ммоль) -гидрокси-N-(3-йодпропил)- – фенил-бензолацетамида в 20 мл ацетонитрила кипятят с обратным холодильником в течение 3 часов. После остывания до комнатной температуры, реакционную смесь концентрируют при пониженном давлении. Масляный осадок растворяют в 50 мл этилацетата и промывают с NaOH 1 N (2 50 мл) и водой (2 50 мл). После обычной обработки, неочищенный продукт очищают быстрой хроматографией (элюент: этилацетат). Выпаривание растворителя при пониженном давлении дает 0,78 г (52%) основания Соединения 1, которое превращают в хлоргидратную соль с помощью эфирного раствора НСl. Т. пл. 195-196oС.
1Н ЯМР (400 МГц, DMSO d6, ): 11,04 (шир. с. , 1Н, +NН); 8,42 (т, 1Н, NH-CO); 7,35 (м, 10Н, 2 Ph); 7,14 (м, 1Н, ); 6,80 (м, 2Н, ); 6,70 (м, 1Н, ); 6,34 (шир. с. , 1H, ОН); 3,75 (д, 2Н, ); 3,45 (д, 2Н, ); 3,10 (м, 8Н, пиперазин); 2,27 (с, 3Н, СН3); 1,91 (м, 2Н, СН2).
Элементный анализ для С28Н33N3O2, 2НСl:% подсчит. : С 65,11; Н 6,83; N 8,14; % получ. : С 65,02; Н 6,80; N 8,10. Пример 2: Дихлоргидрат -гидрокси-N-[3-{ 4- (2-метилфенил)-1-пиперазинил} – пропил] -фенил- бензолацетамида, 0,5 H2O (Соединение 2):Соединение 2 получают таким же образом, как в примере 1, за исключением того, что используют 1-(2-метилфенил)-пиперазин вместо 1-(3-метилфенил)-пиперазина. 1H ЯМР (400 МГц, DMSO d6, ): 10,97 (шир. с. , 1H, +NН); 8,43 (т, 1H, NH-CO); 7,34 (м, 10Н, 2 Ph); 7,18 (м, 2Н, ); 7,00 (м, 2Н, ), 4,49 (шир. с. , 1H, ОН); 3,44 (д, 2Н, ); 3,23 (м, 2Н, ); 3,09 (м, 8Н, пиперазин); 2,26 (с, 3Н, СН3); 1,94 (м, 2Н, CH2).
Элементный анализ для С28Н33N3О2, 2НСl, 0,5 Н20:% подсчит. : С 64,00; Н 6,90; N 8,00; % получен. : С 63,89; Н 6,87; N 7,92; Т. пл. 191-192oС. Пример 3: Дихлоргидрат -гидрокси-N-[3-{ 4- (4-метилфенил)-1-пиперазинил} -пропил] – -фенил- бензолацетамида (Соединение 3):Соединение 3 получают таким же образом, как в примере 1, но используют 1-(4-метилфенил)-пиперазин вместо 1-(3-метилфенил)-пиперазина. Т. пл. 204,5oС. 1H ЯМР (400 МГц, DMSO d6, ): 11,00 (шир. с. , 1Н, +NН); 8,42 (т, 1Н, NH-CO); 7,33 (м, 10Н, 2 Ph); 7,00 (м, 4Н, ); 6,78 (шир. с. , 1Н, ОН); 3,68 (д, 2Н, ); 3,45 (д, 2Н, ); 3,15 (м, 8Н, пиперазин); 2,22 (с, 3Н, СН3); 1,93 (м, 2Н, CH2).
Элементный анализ для С28Н33N3O2, 2НСl:% подсчит. : С 65,11; Н 6,83; N 8,14; % получен. : С 64,91; Н 6,89; N 8,11. Пример 4: Хлоргидрат N-[3-{ 4-(2,3-диметилфенил)-1-пиперазинил} -пропил] – -гидрокси- -фенил- бензолацетамида, 0,25 H2O (Соединение 4):Соединение 4 получают таким же образом, как в примере 1, но используют 1-(2,3-диметилфенил)-пиперазин вместо 1-(3-метилфенил)-пиперазина. Т. пл. 125-126oС. 1H ЯМР (400 МГц, DMSO d6, ): 11,05 (шир. с. , 1Н, +NН); 8,43 (т, 1Н, NH-CO); 7,39 (м, 10Н, 2 Ph); 7,07 (м, 1Н, ); 6,93 (м, 1Н, ); 6,89 (м, 1Н, ); 4,34 (шир. с. , 1H, ОН); 3,43 (д, 2Н, ); 3,23 (м, 2Н, ); 3,06 (м, 8Н, пиперазин); 2,22 (с, 3Н, СН3); 2,17 (с, 3Н, СН3); 1, 93 (м, 2Н, СН2).
Элементный анализ для С29Н35N3O2, НСl, 0,25 Н2О:% подсчит. : С 69,86; Н 7,38; N 8,43; О 7,22; % получен. : С 69,93; Н 7,63; N 8,53; О 7,41. Пример 5: Фумарат, моногидрат N-[3-{ 4-(2,4-диметилфенил)-1-пиперазинил} -пропил] – -гидрокси- – фенил-бензолацетамид (Соединение 5):Соединение 5 получают таким же образом, как в примере 1, но используют 1-(2,4-диметилфенил)-пиперазин вместо 1-(3-метилфенил)-пиперазина. Т. пл. 177oС. 1H ЯМР (400 МГц, DMSO d6, ): 8,35 (т, 1H, NH-CO); 7,35 (м, 10Н, 2 Ph); 6,93 (м, 3Н, ); 6,75 (шир. с. , ОН, СООН); 6,62 (с, 2Н, СН= СН); 3,39 (м, 2Н, ); 2,87 (шир. с. , 4Н, пиперазин); 2,71 (шир. с. , 4Н, пиперазин); 2,56 (м, 2Н, ); 2,20 (с, 6Н, 2 СН3); 1,71 (м, 2Н, СН2).
Элементный анализ для С29Н35N3О2, фумарат, моногидрат:% подсчит. : С 66,99; Н 6,98; N 7,10; О 18,93; % получен. : С 67,21; Н 6,72; N 6,87; О 18,80. Пример 6: Хлоргидрат N-[3-{ 4-(2,6-диметилфенил)-1-пиперазинил} -пропил] _ -гидрокси- – фенил-бензолацетамида, 0,5 H2O (Соединение 6):Соединение 6 получают таким же образом, как в примере 1, но используют 1-(2,6-диметилфенил)-пиперазин вместо 1-(3-метилфенил)-пиперазина. Т. пл. 183-184oС. 1H ЯМР (400 МГц, DMSO d6, ): 10,69 (шир. с. , 1Н, +NН); 8,44 (т, 1Н, NH-CO); 7,35 (м, 10Н, 2 Ph); 7,04 (м, 1Н, ); 6,97 (м, 2Н, ); 3,65 (т, 2Н, ); 3,34 (шир. с. , 1Н, ОН); 3,71-2,93 (м, 8Н, пиперазин); 3,22 (м, 2Н, ); 2,29 (с, 3Н, СН3); 2,27 (с, 3Н, СН3); 1,93 (м, 2Н, СН2).
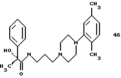
Элементный анализ для С29H35N3O2, НСl, 0,5 H2O:% подсчит. : С 69,24; Н 7,41; N 8,35; О 7,95; % получен. : С 69,59; Н 7,72; N 8,42; О 7,65. Пример 7: N-[3-{ 4-(2,5-диметилфенил)-1-пиперазинил} -пропил] – -гидрокси- -фенил-бензолацетамид, 1,5 НСl, 0,25 H2O (Соединение 7):Соединение 7 получают таким же образом, как в примере 1, но используют 1-(2,5-диметилфенил)-пиперазин вместо 1-(3-метилфенил)-пиперазина. Т. пл. 171-172oС. 1H ЯМР (400 МГц, DMSO d6, ): 11,01 (шир. с. , 1Н, +NH); 8,43 (т, 1Н, NH-CO); 7,34 (м, 10Н, 2 Ph); 7,06 (д, 1Н, , J= 7,5 Гц); 6,82 (д, 2Н, ); 6,90 (шир. с. , 1Н, ОН); 3,43 (м, 2Н, ); 3,22 (м, 2Н, ); 3,10 (м, 8Н, пиперазин); 2,26 (с, 3Н, СН3); 2,20 (с, 3Н, СН3); 1,93 (м, 2Н, СН2).
Элементный анализ для С30Н37N3O2, 1,5 НСl, 0,25 Н2О:% подсчит. : С 67,40; Н 7,22; N 8,13; О 6,97; % получен. : С 67,10; Н 7,17; N 8,22; О 7,25. Пример 8: N-[3-{ 4-(2-этоксифенил)-1-пиперазинил} -пропил] -гидрокси- -фенил-бензолацетамид, 2 НСl, 0,25 Н2О (Соединение 8):Соединение 8 получают таким же образом, как в примере 1, но используют 1-(2-этоксифенил)-пиперазин вместо 1-(3-метилфенил)-пиперазина. Т. пл. 189oС. 1Н ЯМР (400 МГц, DMSO d6, ): 11,01 (шир. с. , 1Н, +NН); 8,43 (т, 1Н, NH-CO); 7,34 (м, 10Н, 2 Ph); 6,96 (м, 4Н, ); 5,36 (шир. с. , 1Н, ОН); 4,04 (кв, 2H, OCH2, J= 6,95 Гц); 3,48 (м, 4Н, ); 3,22 (м, 2H, ); 3,05 (м, 6Н, пиперазин); 1,93 (м, 2H, СН2); 1,37 (т, 3Н, СН3).
Элементный анализ для С29Н35N3О2, 2 НСl, 0,25 H2O:% подсчит. : С 63,21; Н 6,86; N 7,63; О 9,44; % получен. : С 63,16; Н 6,85; N 7,60; О 9,64. Пример 9: Фумарат N-[3-{ 4-(2-хлорфенил)-1-пиперазинил} -пропил] – -гидрокси- -фенил-бензолацетамида (Соединение 9):Соединение 9 получают таким же образом, как в примере 1, но используют 1-(2-хлорфенил)-пиперазин вместо 1-(3-метилфенил)-пиперазина. Т. пл. 190oС. 1Н ЯМР (400 МГц, DMSO d6, ): 8,38 (т, 1Н, NH-CO); 7,34 (м, 12Н, 2 Ph + Ph-Cl); 7,16 (м, 1H, Ph-Cl); 7,03 (м, 1Н, Ph-Cl); 6,68 (шир. с. , 1H, ОН); 6,61 (с, 2Н, СН= СН); 3,20 (м, 2Н, ); 3,00 (шир. с. , 4Н, пиперазин); 2,58 (шир. с. , 4Н, пиперазин); 2,43 (м, 2Н, CH2-N); 1,66 (м, 2Н, СН2).
Элементный анализ для С27Н30СlN3O2, фумарат:% подсчит. : С 64,19; Н 5,91; N 7,24; % получен. : С 64,13; Н 5,90; N 7,27. Пример 10: Хлоргират, моногидрат N-[3-{ 4- (2-цианофенил)-1-пиперазинил} -пропил] – -гидрокси- -фенил- бензолацетамида (Соединение 10):Соединение 10 получают таким же образом, как в примере 1, но используют 1-(2-цианофенил)-пиперазин вместо 1-(3-метилфенил)-пиперазина. Т. пл. 168oС. 1H ЯМР (400 МГц, DMSO d6, ): 10,91 (шир. с. , 1H, +NН); 8,43 (т, 1H, NH-CO); 7,78 (м, 1H, Ph-CN); 7,66 (м, 1H, Ph-CN); 7,34 (м, 12Н, 2 Ph + Ph-CN); 3,57 (м, 4Н, ); 3,35 (м, ОН + пиперазин); 3,22 (м, 2Н, ); 3,10 (м, 4Н, пиперазин); 1,93 (м, 2Н, CH2).
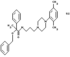
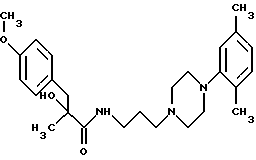
Элементный анализ для C28H30N4O2, HCl, H2O:% подсчит. : С 66,07; Н 6,53; N 11,01; % получен. : С 65,91; Н 6,50; N 11,01. Пример 11: Хлоргидрат, моногидрат N-[3-{ 4-(2,5-диметилфенил) -1-пиперазинил} -пропил] – -метокси- – фенил-бензолацетамида (Соединение 11):0,51 г (1 ммоль) N-[3-{ 4-(2,5-диметилфенил)-1-пиперазинил} -пропил] – -гидрокси- -фенил-бензолацетамида (Пример 7) вводят в трехгорловый безводный баллон, оснащенный устройством для подачи азота и пробками типа “септа”. Добавляют сухой DMF (10 мл) и охлаждают раствор до 0-5oС на ледяной бане. Затем добавляют в один прием гидрид натрия (0,08 г, 2 ммоль) и дают смеси нагреться до комнатной температуры. Через 1 час в баллон вводят с помощью спринцовки по каплям 0,06 мл (1 ммоль) йодида метила. По истечении 2 часов смешивания, смесь концентрируют и осадок растворяют в 25 мл этилацетата. Этот раствор последовательно промывают водой (2 20 мл) и насыщенным раствором NaCl (20 мл). Органическую фазу высушивают на сульфате натрия и выпаривают при пониженном давлении таким образом, чтобы получить масло, которое очищают быстрой хроматографией (элюент: дихлорметан/метанол: 95/5).
В результате выпаривания при пониженном давлении собранных фаз получают 0,18 г (38%) основания Соединения 11, которое превращают в его хлоргидратную соль, как она описана выше. Т. пл. 125-126oС.
1H ЯМР (400 МГц, DMSO d6, ): 10,82 (шир. с. , 1Н, +NН); 8,57 (т, 1Н, NH-CO); 7,36 (м, 10Н, 2 Ph); 7,07 (д, 1Н, ); 6,82 (м, 2Н, ); 3,38 (м, 2Н, ); 3,21 (м, 2Н, ); 3,17-2,80 (м, 8Н, пиперазин); 2,98 (с, 3Н, ОСН3); 2,26 (с, 3Н, СН3); 2,21 (с, 3Н, СН3); 1,90 (м, 2Н, CH2).
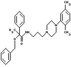
Элементный анализ для С30Н37N3O2, НСl, H2O:% подсчит. : С 68,49; Н 7,66; N 7,99; % получен. : С 68,24; Н 7,52; N 7,99. Пример 12: -бензилокси-N-[3-{ 4-2,5-диметилфенил)-1-пиперазинил} -пропил] – -фенил-бензолацетамид (Соединение 12):Соединение 12 получают таким же образом, как в примере 11, но используют бромид бензила вместо йодида метила на стадии О-алкилирования. Т. пл. 171oС. 1H ЯМР (400 МГц, DMSO d6, ): 8,53 (м, 1Н, NH-CO); 7,32 (м, 10Н, 2 Ph); 7,07 (д, 1Н, , J= 7,5 Гц); 6,82 (д, 2Н, ); 3,54 (м, 2Н, ); 3,28-3,10 (м, 8Н, пиперазин); 2,27 (с, 3Н, СН3); 2,18 (с, 3Н, СН3); 2,10 (м, 2Н, CH2).
Пример 13: Дихлоргидрат N-[3-{ 4-(2-метоксифенил)-1-пиперазинил} -пропил] – -фенил-бензолацетамида (Соединение 13):0,424 г (2 ммоль) дифенилуксусной кислоты, 0,498 г (2 ммоль) 3-[4-(2-метоксифенил)-1-пиперазинил] -пропил-1-амина (Wu, Y. H. и др. , J. Med. Chem. , 12: 876 (1969)) и 0,297 г (2,2 ммоль) гидроксибензотриазола растворяют в 15 мл THF. Раствор охлаждают до 0-5oС и добавляют 0,453 г (2,2 ммоль) дициклогексилкарбодиимида. Взбалтывают при комнатной температуре в течение 15 часов. Конечную смесь фильтруют, нерастворимые вещества промывают минимальным количеством THF и фильтрат выпаривают при пониженном давлении. Масляный осадок растворяют в 50 мл этилацетата и промывают последовательно H2O (2 25 мл), NaOH 0,1 N (25 мл) и насыщенным раствором хлорида натрия. Органическую фазу высушивают на сульфате натрия и выпаривают досуха. Осадок подвергают быстрой хроматографии на силикагеле (элюент: дихлорметан/метанол: 95/5). В результате выпаривания при пониженном давлении собранных фаз, получают 0,505 г (55%) требуемого соединения, которое превращают в соль с помощью безводного раствора НСl в диэтилэфире. Т. пл. 198-199oС.
1H ЯМР (100 МГц, CDCl3, [свободное основание] ): 7,30 (м, 10Н, 2 Ph + NH-CO); 6,90 (м, 4Н, ); 4,88 (с, 1Н, СН); 3,90 (с, 3Н, ОСН3); 3,40 (м, 2Н, ); 3,15-2,50 (м, 8Н, пиперазин); 2,50 (м, 2Н, ); 1,70 (м, 2Н, СН2).
Элементный анализ для С28Н33N3О2, 2 НСl:% подсчит. : С 65,11; Н 6,83; N 8,14; % получен. : С 64,82; Н 6,90; N 8,01. Пример 14: Дихлоргидрат -гидрокси-N-[3-{ 4-(2-метоксифенил)-1-пиперазинил} -пропил] -фенил-бензолацетамида, 0,25 H2O (Соединение 14):Соединение 14 получают таким же образом, как в примере 13, но используют бензиловую кислоту вместо дифенилуксусной кислоты. Т. пл. 191-192oС. 1H ЯМР (400 МГц, DMSO d6, ): 10,93 (шир. с. , 1Н, +NН); 8,43 (т, 1Н, NH-CO); 7,36 (м, 10Н, 2 Ph); 6,95 (м, 4Н, ); 4,85 (шир. с. , 1Н, ОН); 3,80 (с, 3Н, ОСН3); 3,45 (м, 2Н, ); 3,21 (м, 2Н, ); 3,40-2,95 (м, 8Н, пиперазин); 1,92 (м, 2Н, СН2).
Элементный анализ для С28Н33N3О3, 2 НСl, 0,25 Н2O:% подсчит. : С 62,83; Н 6,66; N 7,82; О 9,68; % получ. : С 62,59; Н 6,88; N 7,93; О 9,59. Пример 15: Дихлоргидрат N-[3-{ 4-(2-метоксифенил)-1-пиперазинил} -пропил] -9Н-ксантол-9-карбоксамида (Соединение 15): Соединение 15 получают таким же образом, как в примере 13, но используют 9Н-ксантол-9-карбоновую кислоту вместо дифенилуксусной кислоты. Т. пл. 257-258oС. 1H ЯМР (100 МГц, СDСl3, [свободное основание] ): 7,50-6,80 (м, 12Н, ксантол + Ph-ОСН3); 6,27 (м, 1Н, NH-CO); 4,92 (с, 1Н, СН); 3,85 (с, 3Н, ОСН3); 3,25 (м, 2Н, ); 3,00-2,30 (м, 8Н, пиперазин); 2,25 (м, 2Н, ); 1,60 (м, 2Н, СН2).
Элементный анализ для С28Н31N3O3, 2 НСl:% подсчит. : С 63,40; Н 6,27; N 7,92; % получ. : С 63,22; Н 6,30; N 7,74. Пример 16: Дихлоргидрат, моногидрат 9-гидрокси-N-[3-{ 4-(2-метоксифенил) -1-пиперазинил} -пропил] -9Н- фтор-9-карбоксамида (Соединение 16): Соединение 16 получают таким же образом, как в примере 13, но используют 9-гидрокси-9-фторкарбоновую кислоту вместо дифенилуксусной кислоты. Т. пл. 186-187oС. 1H ЯМР (100 МГц, СDСl3, [свободное основание] ): 7,70-7,25 (м, 8Н, фтор); 6,97 (м, 4Н, ); 6,30 (м, 1Н, NH-CO); 3,85 (с, 3Н, ОСН3); 3,30 (м, 2Н, CH2-NH-CO); 2,90-2,30 (м, 8Н, пиперазин); 2,20 (м, 2Н, ); 1,65 (м, 3Н, ОН-СН2).
Элементный анализ для С28Н31N3O3, 2 НСl, Н2O:% подсчит. : С 61,31; Н 6,43; N 7,66; % получ. : С 61,32; Н 6,25; N 7,64. Пример 17: Монохлоргидрат, моногидрат 2-хлор- -(2-хлорфенил) – -гидрокси-N-[3-{ 4- (2-метоксифенил)-1-пиперазинил} -пропил] – -фенил-бензолацетамида (Соединение 17):Соединение 17 получают таким же образом, как в примере 13, но используют 2,2′-дихлорбензиловую кислоту вместо дифенилуксусной кислоты. Т. пл. 185-186oС. 1H ЯМР (100 МГц, CDCl3, [свободное основание] ): 7,75 (м, 1Н, NH-CO); 7,30 (м, 8Н, 2 Ph-Cl); 6,90 (м, 4Н, Рh-ОСН3); 3,88 (с, 3Н, ОСН3); 3,52 (м, 2Н, ); 3,10-2,40 (м, 8Н, пиперазин); 2,50 (м, 2Н, ); 1,80 (м, 2Н, СН2).
Элементный анализ для C28H31Cl2N3O3, HCl, H2O:% подсчит. : С 57,69; Н 5,88; N 7,21; % получ. : С 57,42; Н 5,84; N 6,67. Пример 18: Дихлоргидрат, моногидрат ( )- -циклогексил-N- [3-{ 4-(2-метоксифенил)-1-пиперазинил} -пропил] -бензолацетамида (Соединение 18):Соединение 18 получают таким же образом, как в примере 13, но используют ( )-циклогексилфенилуксусную кислоту вместо дифенилуксусной кислоты. Т. пл. 160-161oС.
1H ЯМР (400 МГц, DMSO d6, ): 10,94 (шир. с. , 1Н, +NН); 8,32 (м, 1Н, NH-CO); 7,28 (м, 5Н, Ph); 6,95 (м, 4Н, Рh-ОСН3); 3,80 (с, 3Н, ОСН3); 3,42 (м, 2Н, ); 3,42-2,90 (м, 8Н, пиперазин); 3,05 (м, 2Н, ); 2,00-0,68 (м, 13Н, циклогексил+СН2).
Элементный анализ для С28Н39N3O2, 2 НСl, H2O:% подсчит. С 62,21; Н 7,83; N 7,77; % получ. : С 62,09; Н 7,89; N 7,60. Пример19: Дихлоргидрат, моногидрат ( )- -гидрокси-N-[3-{ 4-(2-метоксифенил)-1-пиперазинил} -пропил] -бензолацетамида (Соединение 19):Соединение 19 получают таким же образом, как в примере 13, но используют ( )-манделовую кислоту вместо дифенилуксусной кислоты. Т. пл. 169oС.
1H ЯМР (400 МГц, DMSO d6, ): 10,94 (шир. с. , 1Н, +NН); 8,27 (м, 1Н, NH-CO); 7,35 (м, 5Н, Ph); 6,95 (м, 4Н, Ph-ОСН3); 5,70 (шир. с. , ОН); 4,95 (с, 1Н, СН); 3,80 (с, 3Н, ОСН3); 3,42 (м, 2Н, ); 3,25-3,02 (м, 10Н, ); 1,90 (м, 2Н, CH2).
Элементный анализ для С22Н29N3O3, 2 НСl, H2O:% подсчит. : С 55,70; Н 7,01; N 8,86; % получ. : С 55,23; Н 6,90; N 8,84. Пример 20: N-[3-{ 4-(2,5-диметилфенил) -1-пиперазинил} -пропил] _ – фенилбензолацетамид, 1,5 НСl, H2O (Соединение 20):20.1) 3-[4-(2,5-диметилфенил)-1-пипераэинил] -пропил-1-амин: Это промежуточное соединение получают по способу, описанному Wu Y. H. и др. , J. Med. Chem. , 12: 876 (1969); Т. пл. : 102oС. 1H ЯМР (100 МГц, CDCl3, ): 7,10 (д, 1Н, J= 7,5 Гц); 6,80 (м, 2Н, ); 3,10 (м, 12Н, ); 2,30 (с, 3Н, СН3); 2,26 (с, 3Н, СН3); 1,70 (м, 2Н, СН2); 1,62 (с, NH2).
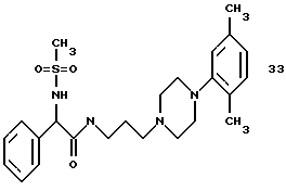
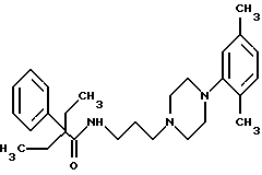
20.2) N-[3-{ 4-(2,5-диметилфенил) -1-пиперазинил} -пропил] -фенилбензолацетамид, 1,5 НСl, Н2О:Соединение 20 получают таким же образом, как в примере 13, но используют 3-[4-(2,5-диметилфенил) -1-пиперазинил] -пропил-1-амин вместо 3-[4-(2-метоксифенил) -1-пиперазинил] -пропил -1-амина. Т. пл. 151oС. 1H ЯМР (400 МГц, DMSO d6, ): 10,96 (шир. с. , 1Н, +NН); 8,62 (м, 1Н, NH-CO); 7,27 (м, 10Н, 2 Ph); 7,06 (д, 1Н, Ph-СН3, J= 7,5 Гц); 6,82 (д, 1H, ); 4,99 (с, 1Н, СН); 3,44 (м, 2Н, ); 3,18 (м, 2Н, ); 3,12 (м, 8Н, пиперазин); 2,26 (с, 3Н, СН3); 2,19 (с, 3Н, СН3); 1,91 (м, 2Н, CH2).
Элементный анализ для С29Н35N3О, 1,5 НСl, Н2О:% подсчит. : С 67,72; Н 7,55; N 8,17; О 6,22; % получ. : С 67,56; Н 7,51; N 8,17; О 6,48. Пример 21: Фумарат 4-хлор- -(4-хлорфенил)-N-[3-{ 4-(2,5-диметилфенил) -1-пиперазинил} -пропил] -бензолацетамида (Соединение 21):Соединение 21 получают таким же образом, как в примере 20, но используют 4,4′-дихлордифенилуксусную кислоту вместо дифенилуксусной кислоты. Т. пл. 139oС. 1H ЯМР (400 МГц, DMSO d6, ): 8,36 (м, 1Н, NH-CO); 7,34 (м, 8Н, 2 Ph-Cl); 7,01 (д, 1Н, Ph-СН3, J= 8 Гц); 6,79 (с, 1Н, ); 6,75 (д, 1Н, ); 6,61 (с, 2Н, СН= СН); 4,95 (с, 1Н, СН); 3,13 (м, 2Н, ); 2,81 (шир. с. , 4Н, пиперазин); 2,52 (шир. с. , 4Н, пиперазин); 2,38 (м, 2Н, CH2-N); 2,23 (с, 3Н, СН3); 2,17 (с, 3Н, СН3); 1,62 (м, 2Н, CH2).
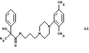
Элементный анализ для С29Н33Сl2N3О, фумарата:% подсчит. : С 63,26; Н 5,95; N 6,71; % получ. : С 63,60; Н 6,03; N 6,78. Пример 22: ( )-N-[3-{ 4-(2,5-диметилфенил)-1-пиперазинил} -пропил] – -гидрокси- -метил-бензолацетамид, 1,25 НСl, 0,75 H2O (Соединение 22):Соединение 22 получают таким же образом, как в примере 20, но используют ( )-атромолочную кислоту вместо дифенилуксусной кислоты. Т. пл. 155oС.
1H ЯМР (400 МГц, DMSO d6, ): 10,82 (шир. с. , 1Н, +NH); 8,16 (м, 1Н, NH-CO); 7,56 (м, 2Н, Ph); 7,34 (м, 2Н, Ph); 7,24 (м, 1Н, Ph); 7,06 (д, 1Н, J= 8 Гц); 6,82 (м, 2Н, ); 4,87 (шир. с. , ОН); 3,39 (м, 2Н, ); 3,17-2,97 (м, 10Н, ); 2,26 (с, 3Н, ); 2,20 (с, 3Н, ); 1,86 (м, 2Н, СН2); 1,64 (с, 3Н, СН3).
Элементный анализ для С24Н33N3O2, 1,25 НСl, 0,75 Н2О:% подсчит. : С 63,41; Н 7,93; N 9,24; О 9,68; % получ. : С 63,56; Н 7,83; N 9,15; О 9,46. Пример 23: N-[3-{ 4-(2,5-диметилфенил) -1-пиперазинил} -пропил] – -метил- – фенил-бензолацетамид, 1,5 НСl, 1,25 H2O (Соединение 23):Соединение 23 получают таким же образом, как в примере 20, но используют 2,2-дифенилпропионовую кислоту вместо дифенилуксусной кислоты. Т. пл. 90oС. 1H ЯМР (400 МГц, DMSO d6, ): 7,67 (м, 1Н, NH-CO); 7,26 (м, 10Н, 2 Ph); 7,07 (д, 1Н, J= 8 Гц); 6,82 (м, 2Н, ); 6,56 (шир. с. , 1Н, +NH); 3,39 (м, 2Н, ); 3,20-2,97 (м, 10Н, ); 2,26 (с, 3Н, ); 2,21 (с, 3Н, ); 1,88 (м, 5Н, СН2+СН3).
Элементный анализ для С30Н37N3О, 1,5 НСl, 1,25 H2O:% подсчит. : С 67,62; Н 7,76; N 7,89; О 6,76; % получ. : С 67,82; Н 7,80; N 7,51; О 6,57. Пример 24: 0,5 фумарат N-[3-{ 4-(2,5-диметилфенил)-1-пиперазинил} -пропил] – -этилтио- -фенил-бензолацетамида (Соединение 24):Соединение 24 получают таким же образом, как в примере 20, но используют 2-этилтио-2,2-дифенилуксусную кислоту вместо дифенилуксусной кислоты. Т. пл. 157oС. 1Н ЯМР (400 МГц, DMSO d6, ): 7,94 (м, 1Н, NH-CO); 7,32 (м, 10Н, 2 Ph); 7,01 (д, 1H, Ph-СН3, J= 7,4 Гц); 6,75 (м, 2Н, ); 6,60 (с, 1H, 1/2 СН= СН); 3,60 (шир. с. , СООН); 3,19 (м, 2Н, ); 2,77 (шир. с. , 4Н, пиперазин); 2,50 (м, 4Н, пиперазин); 2,33 (м, 2Н, ); 2,24 (с, 3Н, ); 2,16 (м, 5Н, ); 1,62 (м, 2Н, СН2); 0,99 (т, 3Н, J= 7,5 Гц).
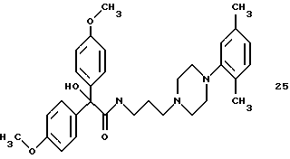
Элементный анализ для С31Н39N3OS, 0,5 фумарата:% подсчит. : С 70,81; Н 7,38; N 7,51; S 5,73; % получ. : С 70,69; Н 7,33; N 7,11; S 5,96. Пример 25: N-[3-{ 4-(2,5-диметилфенил)-1-пиперазинил} -пропил] – -гидрокси-4-метокси- – (4-метоксифенил)-бензолацетамид, НСl, 0,5 H2O (Соединение 25):Соединение 25 получают таким же образом, как в примере 20, но используют 4,4′-диметоксибензиловую кислоту (Toda, P. и др. , Chem. Letts. , стр. 373-376 (1990)) вместо дифенилуксусной кислоты. Т. пл. 173oС. 1H ЯМР (400 МГц, DMSO d6, ): 11,19 (шир. с. , 1Н, +NH); 8,37 (м, 1Н, NH-CO); 7,70 (шир. с. , ОН); 7,29 (д, 4Н, J= 8,6 Гц); 7,05 (д, 1Н, J= 7,7 Гц); 6,87 (д, 4Н, ); 6,83 (м, 2Н, ); 3,73 (с, 6Н, 2 ОСН3); 3,42 (м, 2Н, ); 3,30-2,95 (м, 10Н, ); 2,26 (с, 3Н, ); 2,20 (с, 3Н, ); 1,94 (м, 2Н, СН2).
Пример 26: Дихлоргидрат, моногидрат N-[3-{ 4-(2,5-диметилфенил)-1-пиперазинил} -пропил] -2-этил-2-фенил-бутирамида (Соединение 26):Соединение 26 получают таким же образом, как в примере 20, но используют 2-этил-2-фенилбутировую кислоту вместо дифенилуксусной кислоты. Т. пл. 195oС. 1H ЯМР (400 МГц, DMSO d6, ): 11,12 (шир. с. , 1Н, +NН); 7,65 (м, 1Н, NH-CO); 7,28 (м, 10Н, 2 Ph); 7,06 (д, 1Н, J= 8 Гц); 6,82 (м, 2Н, ); 3,40 (м, 2Н, ); 3,05 (м, 8Н, пиперазин); 2,92 (м, 2Н, ); 2,26 (с, 3Н, ); 2,20 (с, 3Н, ); 1,91 (м, 6Н, 3 СН2); 0,63 (т, 6Н, J= 7,2 Гц).
Элементный анализ для C27H39N3O, 2 НСl, Н2О:% подсчит. : С 63,27, Н 8,46; N 8,20; О 6,24; % получ. : С 63,67; Н 8,57; N 8,19; О 6,43. Пример 27: Фумарат ( )-N-[3-{ 4- (2,5-диметилфенил)-1-пиперазинил} -пропил] -2-гидрокси-2-фенил- бутирамид (Соединение 27):Соединение 27 получают таким же образом, как в примере 20, но используют -гидрокси- -фенилбутировую кислоту вместо дифенилуксусной кислоты. Т. пл. 179oС.
1H ЯМР (400 МГц, DMSO d6, ): 8,03 (м, 1Н, NH-CO); 7,55 (д, 2Н, Ph, J= 7,5 Гц); 7,30 (м, 2Н, Ph); 7,22 (м, 1Н, Ph); 7,02 (д, 1Н, J= 7,5 Гц); 6,81 (с, 1Н, ); 6,76 (д, 1Н, ); 6,60 (с, 2Н, СН= СН); 3,10 (м, 2Н, ); 2,86 (шир. с. , 4Н, пиперазин); 2,58 (шир. с. , 4Н, пиперазин); 2,41 (м, 2Н, CH2-N); 2,24 (с, 3Н, СН3); 2,21 (м, 1Н, ); 2,17 (с, 3Н, СН3); 1,86 (м, 1Н, ); 1,60 (м, 2Н, СН2); 0,79 (т, 3Н, СН2-СН3, J= 7,2 Гц).
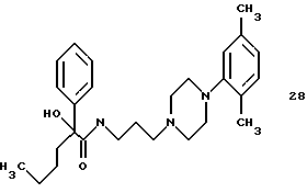
Элементный анализ для С25Н35N3O2, фумарата:% подсчит. : С 66,27; Н 7,48; N 7,99; % получ. : С 66,28; Н 7,35; N 7,98. Пример 28: Фумарат ( )-N-[3-{ 4- (2,5-диметилфенил)-1-пиперазинил} -пропил] -2-гидрокси-2- фенилгексанамида (Соединение 28):28.1) ( )-2-гидрокси-2-фенилгексановая кислота:Это промежуточное соединение описано Newcomb M. , и др. (J. Org. Chem. , 43: 3963 (1978)); Т. пл. 102oС. 1H ЯМР (100 МГц, СDСl3, ): 7,52 (м, 5Н, Ph); 5,75(шир. с. , ОН+СООН); 2,10 (м, 2Н, ); 1,33 (м, 4Н, CH2-CH2); 0,90 (м, 3Н, СН3).
28.2) Фумарат ( )-N-[3-{ 4-(2,5-диметилфенил)-1-пиперазинил} -пропил] -2-гидрокси-2-фенил-гексанамида:Соединение 28 получают таким же образом, как в примере 20, но используют ( )-2-гидрокси-2-фенил-гексановую кислоту вместо дифенилуксусной кислоты. Т. пл. 147oС.
1H ЯМР (400 МГц, DMSO d6, ): 8,01 (м, 1Н, NH-CO); 7,55 (д, 2Н, Ph, J= 7,5 Гц); 7,25 (м, 3Н, Ph); 7,02 (д, 1Н, J= 7,5 Гц); 6,81 (s, 1H, ); 6,76 (д, 1Н, ); 6,60 (с, 2Н, СН= СН); 5,85 (шир. с. , ОН+СООН); 3,10 (м, 2Н, ); 2,85 (шир. с. , 4Н, пиперазин); 2,57 (шир. с. , 4Н, пиперазин); 2,39 (м, 2Н, CH2-N); 2,24 (с, 3Н, ); 2,17 (с, 3Н, ); 2,14 (м, 1H, ); 1,84 (м, 1H, ); 1,59 (м, 2Н, CH2); 1,25 (м, 4Н, ); 1,18 (т, 3Н, J= 6,9 Гц).
Элементный анализ для С27Н39N3O2, фумарата:% подсчит. : С 67,25; Н 7,83; N 7,59; % получ. : С 66,76; Н 7,69; N 7,58. Пример 29: Фумарат, моногидрат ( )-2-хлор-N-[3-{ 4-(2,5-диметилфенил) -1-пиперазинил} -пропил] – -гидрокси- -метил- бензолацетамида (Соединение 29):29.1) ( )-2-хлор- -гидрокси- -метилбензолацетонитрил:Это соединение получают по способу, описанному Gassman, P. G. и др. , Tetrahedron Lett. , 40: 3773 (1978). 1H ЯМР (100 МГц, СDСl3, ): 7,50 (м, 4Н, Ph); 3,78 (шир. с. , 1H, ОН); 2,06 (с, 3Н, СН3).
29.2) ( )-2-хлор- -гидрокси- -метилбензолуксусная кислота:Нагревают при 60oС в течение 3 часов смесь 2,3 г (12,7 ммоль) ( )-2-хлор- -гидрокси- -метил-бензолацетонитрила и 20 мл концентрированной НСl, затем подвергают кипячению с обратным холодильником в течение 2 часов. После охлаждения реакционную смесь концентрируют при пониженном давлении и разделяют осадок между диэтилэфиром (50 мл) и NaOH 1 N (50 мл). Органическую фазу экстрагируют дважды с помощью 25 мл NaOH 1 N, а все основные фазы объединяют и окисляют концентрированной НСl. Продукт экстрагируют с 2 50 мл диэтилэфира, затем раствор высушивают на сульфате натрия и выпаривают в вакууме, чтобы получить 930 мг (36%) белого порошка. Т. пл. : 110-111oС.
1H ЯМР (100 МГц, СDСl3, ): 7,50 (м, 4Н, Ph); 6,47 (шир. с. , 2Н, ОН+СООН); 1,90 (с, 3Н, СН3).
29.3) Фумарат, моногидрат ( )-2-хлор-N-[3-{ 4-(2,5-диметилфенил) -1-пиперазинил} -пропил] – -гидрокси- -метил- бензолацетамид:Соединение 29 получают таким же образом, как в примере 20, но используют ( )-2-хлор- -гидрокси- -метил- бензолуксусную кислоту вместо дифенилуксусной кислоты. Т. пл. 84oС.
1H ЯМР (400 МГц, DMSO d6, ): 7,90 (м, 1Н, ); 7,62 (м, 1Н, ); 7,34 (м, 3Н, ); 7,03 (д, 1Н, J= 7,5 Гц); 6,78 (м, 2Н, ); 6,61 (с, 2Н, СН= СН); 6,02 (шир. с. , ОН+СООН); 3,19 (м, 2Н, ); 2,90 (шир. с. , 4Н, пиперазин); 2,76 (шир. с. , 4Н, пиперазин); 2,62 (м, 2Н, CH2-N); 2,24 (с, 3Н, СН3); 2,18 (с, 3Н, СН3); 1,72 (м, 5Н, CH2+СН3).
Элементный анализ для С24Н32СlN3O2, фумарата, Н2O;% подсчит. С 59,62; Н 6,79; N 7,45; % получ. : С 59,54; Н 6,47; N 7,10. Пример 30: ( )-4-хлор-N-[3-{ 4-(2,5-диметилфенил)-1-пиперазинил} -пропил] – -гидрокси- -метил-бензолацетамид, 1,25 НСl, 0,5 Н2О (Соединение 30):30.1) ( )-4-хлор- -гидрокси- -метил-бензолуксусная кислота:Это соединение получают таким же образом, как промежуточное соединение 29.2, но используют ( )-4-хлор- -гидрокси- -метил-бензолацетонитрил (Gassman, P. G. и др. , Tetrahedron Lett. , 40: 3773 (1978)) вместо ( )-2-хлор- -гидрокси- -метилбензолацетонитрила.
1H ЯМР (100 МГц, СDСl3, ): 7,45 (м, 4Н, Ph); 6,80 (шир. с. , 2Н, ОН+СООН); 1,80 (с, 3Н, СН3).
30.2) ( )-4-хлор-N-[3-{ 4-(2,5-диметилфенил)-1-пиперазинил} -пропил] – -гидрокси- -метил-бензолацетамид, 1,25 НСl, 0,5 Н2O:Соединение 30 получают таким же образом, как в примере 20, но используют ( )-4-хлор- -гидрокси- -метил- бензолуксусную кислоту вместо дифенилуксусной кислоты. Т. пл. : 161,5oС.
1H ЯМР (400 МГц, DMSO d6, ): 10,95 (шир. с. , 1Н, +NН); 8,20 (м, 1Н, NH-CO); 7,56 (м, 2Н, Ph-Cl); 7,39 (м, 2Н, Ph-Cl); 7,06 (д, 1Н, J= 8 Гц); 6,82 (м, 2Н, ); 5,70 (шир. с. , ОН); 3,44 (м, 2Н, ); 3,16-2,99 (м, 10Н, ); 2,26 (с, 3Н, ); 2,20 (с, 3Н, ); 1,87 (м, 2Н, СН2); 1,62 (с, 3Н, СН3).
Элементный анализ для С24Н32СlN3О2, 1,25 НСl, 0,5 H2O:% подсчит. : С 59,49; Н 7,12; N 8,67; % получ. : С 59,46; Н 7,01; N 8,51. Пример 31: Фумарат ( )-3-хлор-N-[3-{ 4- (2,5-диметилфенил)-1-пиперазинил} -пропил] – -гидрокси- -метил- бензолацетамида (Соединение 31):31.1) Сложный этил-эфир ( )-3-хлор- -гидрокси- -метил-бензолуксусной кислоты:В безводный трехгорловый баллон, оборудованный устройством для подачи азота, воронкой и конденсатором для кипячения с обратным холодильником, вводят 400 мг (0,016 а. д. ) порошка магния, несколько капель раствора 3-бромхлорбензола (1,94 мл, 16,5 ммоль) в 10 мл сухого диэтилэфира и кристалл йода. Смесь аккуратно нагревают до момента начала реакции, затем добавляют по каплям 3-бромхлорбензол в количестве, необходимом для поддержания кипячения с обратным холодильником. Продолжают взбалтывание до полного исчезновения магния (приблизительно, 1 час). Полученный таким образом бромид 3-хлорфенилмагния вносят через систему трубок в предварительно охлажденный (-78oС) раствор 1,64 мл (15 ммоль) этилпирувата в 15 мл сухого диэтилэфира. После внесения, медленно поднимают температуру реакции до 20oС и взбалтывают смесь в течение ночи. Реакционную смесь резко охлаждают до 0oС внесением 3 N НСl (10 мл) и экстрагируют 2 20 мл диэтилэфира. Органический экстракт промывают водой (2 20 мл), насыщенным раствором хлорида натрия (20 мл) и высушивают на сульфате натрия. Выпаривание растворителя при пониженном давлении позволяет получить желтое масло, которое очищают в хроматографической колонке (элюент: легкая нефть (вр. 40-65oС)/этил-ацетат: 95/5). Получают 2,16 г (57%) чистого бесцветного масла.
1H ЯМР (100 МГц, СDСl3, ): 7,60-7,25 (м, 4Н, Ph); 4,23 (кв. , 2Н, CH2, J= 7,0 Гц); 3,89 (с, 1Н, ОН); 1,75 (с, 3Н, СН3); 1,29 (т, 3Н, СН2-СН3).
31.2) ( )-3-хлор- -гидрокси- -метил-бензолуксусная кислота:К раствору 2,16 г (9,44 ммоль) сложного этил-эфира ( )-3-хлор- -гидрокси- -метил-бензолуксусной кислоты в 20 мл охлажденного (0-5oС) этанола добавляют по каплям раствор 1,24 г (18,8 ммоль) КОН в 10 мл Н2O. Взбалтывают в течение 3 часов при 25oС и выпаривают растворитель. Осадок разделяют между H2O и диэтилэфиром. После отстаивания водный слой подкисляют при 0oС с помощью 3 N НСl и экстрагируют в 2 50 мл диэтилэфира. Диэтилэфирный экстракт высушивают на сульфате натрия и выпаривают растворитель при пониженном давлении, чтобы получить 1,76 г (93%) белого порошка. Т. пл. : 110-111oС.
1H ЯМР (100 МГц, СD3OD, ): 7,80 7,42 (м, 4Н, Ph); 1,89 (с, 3Н, СН3).
31.3) Фумарат ( )-3-хлор-N-[3-{ 4-(2,5-диметилфенил)-1-пиперазинил} -пропил] – -гидрокси- -метил-бензолацетамида:Соединение 31 получают таким же образом, как в примере 20, но используют ( )-3-хлор- -гидрокси- -метил- бензолуксусную кислоту вместо дифенилуксусной кислоты. Т. пл. 80-81oС.
1H ЯМР (400 МГц, DMSO d6, ): 8,17 (м, 1Н, NH-CO); 7,57 (с, 1Н, Ph-Cl); 7,49 (д, 1Н, Ph-Cl, J= 7,63 Гц); 7,34 (м, 2Н, Ph-Cl); 6,61 (с, 2Н, -СН= СН-); 3,10 (м, 2Н, ); 2,86 (шир. с. , 4Н, пиперазин); 2,58 (шир. с. , 4Н, пиперазин); 2,40 (м, 2Н, CH2-N); 2,24 (с, 3Н, ); 2,18 (с, 3Н, ); 1,59 (м, 5Н, СН2+СН3).
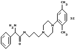
Элементный анализ для С24Н32СlN3O2 фумарата:% подсчит. : С 61,59; Н 6,65; N 7,70; % получит. : С 61,18; Н 6,60; N 7,60. Пример 32: Дифумарат ( )_ -амино-N- [3-{ 4-(2,5-диметилфенил) -1-пиперазинил} -пропил] – бензолацетамида (Соединение 32):32.1) ( )- -терт-бутоксикарбониламино-N-[3-{ 4-(2,5-диметилфенил) -1-пиперазинил} -пропил] -бензолацетамид.
Это соединение получают таким же образом, как в примере 20, но используют ( )-Вос-фенилглицин вместо дифенилуксусной кислоты.
1H ЯМР (100 МГц, СDСl3, ): 7,35 (м, 6Н, Ph+NH-CO); 7,01 (д, 1Н, J= 7,5 Гц); 6,85 (с, 1Н, ); 6,79 (д, 1Н, ); 5,90 (м, 1Н, ); 5,10 (д, 1Н, СН); 3,38 (м, 2Н, ); 3,00-2,30 (м, 10Н, пиперазин + CH2-N); 2,35 (с, 3Н, СН3); 2,25 (с, 3Н, СН3); 1,65 (м, 2Н, CH2); 1,40 (с, 9Н, tBu).
32.2) Дифумарат ( )- -амино-N-[3-{ 4-(2,5-диметилфенил)-1-пиперазинил} -пропил] -бензолацетамида:Раствор 1,47 г (3 ммоль) ( )- -терт- бутоксикарбониламино- N-[3-{ 4-(2,5-диметилфенил) -1-пиперазинил} -пропил] -бензолацетамида в 20 мл 1,4-диоксана охлаждают до ОoC и добавляют 7,5 мл (30 ммоль) раствора 4 N НСl в 1,4-диоксане. После взбалтывания в течение ночи при комнатной температуре, реакционную смесь концентрируют в вакууме. Осадок вносят в 50 мл этилацетата и полученную суспензию промывают 2 50 мл NaOH 1 N. После высушивания на безводном сульфате натрия, концентрируют органическую фазу и получают 1,10 г (95%) бесцветного масла, которое превращают в вышеописанную фумаратовую соль. Т. пл. 122-123oС.
1H ЯМР (400 МГц, DMSO d6, ): 9,90 (шир. с. , NH3 +); 8,52 (м, 1Н, NH-CO); 7,47 (м, 5Н, Ph); 7,03 (д, 1Н, J= 7,5 Гц); 6,79 (с, 1Н, ); 6,75 (д, 1Н, ); 6,55 (с, 4Н, 2 -СН= СН-); 4,82 (с, 1Н, СН); 3,12 (м, 2Н, ); 2,80 (шир. с. , 4Н, пиперазин); 2,50 (шир. с. , 4Н, пиперазин); 2,32 (м, 2Н, CH2-N); 2,23 (с, 3Н, СН3); 2,17 (с, 3Н, СН3); 1,59 (м, 2Н, CH2).
Элементный анализ для С23Н32N4O, дифумарата:% подсчит. : С 60,77; Н 6,58; N 9,14; % получ. : С 60,61; Н 6,51; N 8,87. Пример 33: ( )-N-[3-{ 4-(2,5-диметилфенил) -1-пиперазинил} – пропил] – -(метилсульфониламино) -бензолацетамид, НСl, 0,5 H2O (Соединение 33):33.1) (+)- -(метилсульфониламино)-бензолуксусная кислота:К суспензии 3,78 г (25 ммоль) (+)-фенилглицина в 10 мл Н2О добавляют по каплям при взбалтывании раствор NaOH 1 N (25 мл) до полного растворения. При сильном взбалтывании добавляют 2,7 мл (35 ммоль) метансульфонилхлорида, затем небольшое количество NaOH 1 N для поддержания щелочности смеси на уровне около рН 9. После стабилизации рН, взбалтывание продолжают при комнатной температуре в течение часа. Затем реакционную смесь окисляют с помощью НСl 4 N и экстрагируют с помощью 2 50 мл этилацетата. Органическую фазу промывают 50 мл НСl 1 N, затем 2 25 мл насыщенного раствора хлорида натрия и, наконец, высушивают на сульфате натрия. В результате фильтрации и выпаривания растворителя, получают желтое масло, медленно кристаллизующееся в течение ночи при комнатной температуре. Желтые кристаллы фильтруют и промывают смесью легкой нефти (вр. 40-65oС) и диэтилэфира, и получают 1,87 г (32%) белого порошка. Т. пл. : 117oС.
1Н ЯМР (100 МГц, CDC13, ): 9,79 (шир. с. , 1Н, СООН); 7,40 (шир. с. , 5Н, Ph); 5,93 (д, 1Н, SO2NH, J= 7,0 Гц); 5,25 (д, 1Н, СН); 2,74 (с, 3Н, СН3).
33.2) ( )-N-[3-{ 4-(2,5-диметилфенил) -1-пиперазинил} -пропил] – – (метилсульфониламино) -бензолацетамид, НСl, 0,5 H2O:Соединение 33 получают таким же образом, как в примере 20, но используют ( )- -(метилсульфониламино) -бензолуксусную кислоту вместо дифенилуксусной кислоты. Т. пл. 151-152oС,1H ЯМР (400 МГц, DMSO d6, ): 11,05 (шир. с. , 1Н, +NН); 8,64 (м, 1Н, NH-CO); 7,98 (м, 1Н, NHSO2); 7,50 (д, 2Н, Ph, J= 7,55 Гц); 7,36 (м, 3Н, Ph); 7,06 (д, 1H, J= 7,5 Гц); 6,82 (м, 2Н, ); 5,03 (д, 1Н, СН, J= 6,8 Гц); 3,48 (м, 2Н, ); 3,09 (м, 10Н, ); 2,76 (с, 3Н, СН3-SО2); 2,26 (с, 3Н, ); 2,20 (с, 3Н, ); 1,90 (м, 2Н, СН2); 1,62 (с, 3Н, СН3).
Элементный анализ для С24Н34СlN4O3S, НСl, 0,5 Н2О:% подсчит. : С 57,19; Н 7,20; N 11,11; S 6,36; % получ. : С 57,27; Н 7,09; N 11,04; S 6,09. Пример 34: Фумарат ( )-N-[3-{ 4- (2,5-диметилфенил)-1-пиперазинил} -пропил] -2-гидрокси-2-метил -4-метокси- бензолпропионамида (Соединение 34):34.1) ( )-2-гидрокси-2-метил-4-метокси-бензолпропионитрил:Это соединение синтезируют по способу, описанному Gassman, P. G. и др. , Tetrahedron Lett. , 40: 3773 (1978). 1H ЯМР (100 Гц, СDСl3, ): 7,10 (м, 4Н, Ph); 3,81 (с, 3Н, ОСН3); 2,98 (АВ, 2Н, СН2, Jab= 14 Гц); 2,70 (шир. с. , 1Н, ОН); 1,64 (с, 3Н, СН3).
34.2) ( )-2-гидрокси-2-метил-4-метокси-бензолпропионовая кислота:Это соединение получают таким же образом, как промежуточное соединение 29.2, но используют ( )-2-гидрокси-2-метил-4-метокси-бензолпропионитрил вместо ( )-2-хлор- -гидрокси- – метил-бензолацетонитрила.
1H ЯМР (100 Гц, CDC13, ): 7,00 (м, 4Н, Ph); 5,66 (шир. с. , 2Н, ОН+СООН); 3,79 (с, 3Н, ОСН3); 3,00 (АВ, 2Н, СН2, Jab= 13,7 Гц); 1,51 (с, 3Н, СН3).
34.3) Фумарат ( )-N-[3-{ 4-(2,5-диметилфенил)-1-пиперазинил} -пропил] -2-гидрокси-2-метил-4-метокси-бензолпропионамида:Соединение 34 получают таким же образом, как в примере 20, но используют ( )-2-гидрокси-2-метил-4- метокси- бензолпропионовую кислоту вместо дифенилуксусной кислоты. Т. пл. 142oС.
1H ЯМР (400 МГц, DMSO d6, ): 7,66 (м, 1Н, NH-CO); 7,08-6,73 (м, 7Н, ); 6,61 (с, 2Н, СН= СР); 5,30 (шир. с. , ОН+СООН); 3,69 (с, 3Н, ОСН3); 3,16 (м, 1Н, ); 2,95 (м, 1Н, ); 2,82 (шир. с. , 4Н, пиперазин); 2,78 (АВ, 2Н, , Jab= 13,35 Гц); 2,50 (шир. с. , 4Н, пиперазин); 2,32 (м, 2Н, CH2-N); 2,25 (с, 3Н, СН3); 2,17 (с, 3Н, СН3); 1,47 (м, 2Н, СН3); 1,26 (с, 3Н, СН3).
Элементный анализ для С26Н37N3O3, фумарата:% подсчит. : С 64,85; Н 7,44; N 7,56; % получ. : С 64,59; Н 7,42; N 7,49. Пример 35: 0,75 фумарат N-[3-{ 4-(2,5-диметилфенил)-1-пиперазинил} -пропил] -N-метил- -фенил-бензолацетамида (Соединение 35):35.1) N-(3-гидроксипропил)-N-метил- -фенил-бензолацетамид:Это соединение получают таким же образом, как промежуточное соединение 1.1, но используют N-метил-3-гидроксипропиламид (Koepke, S. R. и др. , J. Org. Chem. 44: 2718 (1979)) вместо 3-амино-1-пропанола. 1H ЯМР (100 МГц, СDСl3, ): 7,29 (м, 10Н, 2 Рh); 5,24 (с, 1Н, СН); 3,58 (м, 2Н, CH2-NCO); 3,48 (м, 2Н, СН2OН); 3,00 (с, 3Н, СН3); 1,71 (м, 2Н, СН2).
35.2) N-(йодопропил)-N-метил- -фенил-бензолацетамид:Данное соединение получают таким же образом, как промежуточное соединение 1.2, но используют N-(3-гидроксипропил)-N-метил- -фенил-бензолацетамид вместо -гидрокси-N- (3-гидроксипропил)- – фенил-бензолацетамида.
1H ЯМР (400 МГц, CDC13, ): 7,32 (м, 10Н, 2 Рh); 5,18 (с, 1Н, СН); 3,50 (м, 2Н, CH2-NCO); 3,12 (м, 2Н, CH2-I); 3,00 (с, 3Н, СH3); 2,10 (м, 2Н, СН2).
35.3) 0,75 фумарат N-[3-{ 4-(2,5-диметилфенил)-1-пиперазинил} -пропил] -N-метил- -фенил-бензолацетамидаКипятят с обратным холодильником в течение 4 часов смесь 2 г (5 ммоль) N-(3-йодопропил)- N-метил- -фенил -бензолацетамида и 970 мг (5 ммоль) 1-(2,5-диметилфенил)-пиперазина в 15 мл ацетонитрила. После охлаждения растворитель выпаривают при пониженном давлении, а осадок обрабатывают таким образом, как описано в примере 1, за исключением хроматографической колонки (элюент: этилацетат/этанол: 90/10). Превращение в соль проводят в присутствии 1 эквивалента фумаровой кислоты в этаноле, кипятят с обратным холодильником и получают требуемое соединение в виде белого твердого вещества. Т. пл. : 192oС.
1H ЯМР (400 МГц, DMSO d6, ): 7,25 (м, 10Н, 2 Ph); 7,02 (д, 1Н, J= 7,5 Гц); 6,77 (м, 2Н, ); 6,61 (с, 1,5Н, 0,75 СН= СН); 5,52 (с, 0,5Н, СН); 5,45 (с, 0,5Н, СН); 3,37 (м, 2Н, ); 2,98 (с, 1,5Н, NCH3); 2,86 (с, 1,5Н, NСН3); 2,82 (шир. с. , 4Н, пиперазин); 2,60 (шир. с. , 4Н, пиперазин); 2,40 (м, 1Н, CH2-N); 2,34 (м, 1Н, CH2-N); 2,23 (с, 3Н, ); 2,17 (с, 3Н, ); 1,67 (м, 2Н, СН2).
Элементный анализ для С30Н37N3О, 0,75 фумарата:% подсчит. : С 73,04; Н 7,43; N 7,74; % получ. : С 72,54; Н 7,30; N 7,29. Пример 36: Фумарат ( )-N-[3-{ 4-(2-(1-гидроксипропил)-фенил)-1-пиперазинил} -пропил] – -фенил-бензолацетамида (Соединение 36):36.1) 2-(4-бензил-1-пиперазинил)-бензальдегид: 4,24 мл (40 ммоль) 2-фторбензальдегида, 8,34 мл (48 ммоль) N-бензилпиперазина и 6,62 г (48 ммоль) К2СО3 в 60 мл DMF нагревают при 150oС в течение 7 часов. После охлаждения, смесь покрывают 200 мл этилацетата, и промывают органическую фазу последовательно 2 50 мл H2O и 2 50 мл насыщенного раствора NaCl. После высушивания на Na2SO4, выпаривают этилацетат и получают коричневое масло, которое очищают хроматографией на силикагеле (элюент: легкая нефть (вр. 40-65oС)/этилацетат: 9/1, затем 8/2). Выпаривают соответствующие фракции при пониженном давлении и получают 10,91 г (91%) твердого белого вещества. Т. пл. : 60oС.
1H ЯМР (100 МГц, CDC13, ): 10,32 (с, 1Н, СНО); 7,78 (м, 1Н, ); 7,47 (м, 1Н, ); 7,32 (с, 5Н, Ph); 7,10 (м, 2Н, ); 3,60 (с, 2Н, ); 3,12 (м, 4Н, пиперазин); 2,68 (м, 4Н, пиперазин).
36.2) ( )-2-(4-бензил-1-пиперазинил)- -этил-бензолметанол:В безводный трехгорловый баллон, оснащенный устройством для подачи азота, вводят раствор 1,8 мл (5,3 ммоль, раствор 3 М в диэтилэфире) бромида этилмагния в 10 мл сухого диэтилэфира. К этому предварительно охлажденному (0-5oС) раствору добавляют по каплям 1 г (3,5 ммоль) 2-(4-бензил-1-пиперазинил)-бензальдегида, разведенного в 5 мл сухого диэтилэфира, и проводят взбалтывание в течение 30 минут при комнатной температуре. Затем реакционную смесь гидролизуют при 0oС концентрированным раствором хлорида аммония и разбавляют 50 мл этилацетата. После отстаивания, промывают органическую фазу последовательно 2 20 мл воды и 20 мл концентрированного раствора NaCl. После высушивания на Na2SO4, выпаривают в вакууме этилацетат и получают 880 мг (81%) бесцветного масла, которое медленно кристаллизуется при комнатной температуре. Т. пл. 87oС.
1H ЯМР (100 МГц, СDСl3, ): 7,25 (м, 9Н, 2 Ph); 6,55 (шир. с. , ОН); 4,70 (т, 1Н, СН, J= 7 Гц); 3,55 (с, 2Н, ); 2,98 (м, 4Н, пиперазин); 2,60 (м, 4Н, пиперазин); 1,78 (м, 2Н, ); 1,00 (т, 3Н, , J= 7 Гц).
36.3) ( )-2-(1-пиперазинил)- -этил-бензолметанол:456 мг (1,5 ммоль) 2-(4-бензил-1-пиперазинил)- -этил-бензолметанола растворяют в 30 мл этанола и гидрогенизируют на Pd/C 10% при 40 PSI 40oС в аппарате Parr. Через 4 часа реакционную смесь фильтруют через Celite и концентрируют при пониженном давлении; получают 330 мг (100%) требуемого соединения в виде белого твердого вещества. Т. пл. : 95oС.
1H ЯМР (100 МГц, СDСl3, ): 7,21 (м, 4Н, Ph); 4,72 (т, 1Н, СН, J= 7 Гц); 3,00 (м, 8Н, пиперазин); 2,30 (шир. с. , (ОН); 1,80 (м, 2Н, ); 1,05 (т, 3Н, , J= 7 Гц).
36.4 N-(3-гидроксипропил)- -фенил-бензолацетамид:Данное соединение получают таким же образом, как промежуточное соединение 1.1, но используют дифенилуксусную кислоту вместо бензиловой кислоты. Т. пл. 85oC. 1H ЯМР (400 МГц, CDC13, ): 7,26 (м, 10Н, 2 Ph); 6,18 (м,1Н, NH-CO); 4,92 (с, 1Н, СН); 3,55 (м, 2Н, ); 3,41 (м, 2Н, ); 3,18 (шир. с. , ОН); 1,60 (м, 2Н, СН2).
36.5 N-(3-йодпропид)- -фенил-бензолацетамид:Данное соединение получают таким же образом, как промежуточное соединение 1.2, но используют N-(3-гидроксипропил)- -фенил-бензолацетамид вместо -гидрокси-N-(3-гидроксипропил)- -фенил-бензолацетамида. Т. пл. : 114oС.
1H ЯМР (400 МГц, СDСl3, ): 7,30 (м, 10Н, 2 Ph); 5,75 (м, 1Н, NH-CO); 4,92 (с, 1Н, СН); 3,38 (кв, 2Н, J= 6,53 Гц); 3,09 (т, 2Н, CH2I, J= 6,75 Гц); 2,02 (м, 2Н, СН2).
36.6) Фумарат ( )-N-[3-{ 4-(2-(1-гидроксипропил)-фенил)-1-пиперазинил} -пропил] – -фенил-бензолацетамида710 мг (3,22 ммоль) ( )-2-(1-пиперазинил)- -этил-бензолметанола и 1,21 г (3,22 ммоль) N-(3-йодпропил)- -фенил-бензолацетамида подвергают кипячению с обратным холодильником в 20 мл ацетонитрила в течение 4 часов. После охлаждения, удаляют растворитель при пониженном давлении, а осадок обрабатывают так, как описано в примере 1, кроме хроматографической колонки (элюент: этилацетат/метанол: 98/2). Выпаривают при пониженном давлении собранные фракции и получают 0,74 г (49%) основания указанного соединения, которое превращают в его фумаратовую соль путем нагревания с 1 эквивалентом фумаровой кислоты в абсолютном этаноле. Т. пл. 76oС.
1H ЯМР (400 МГц, DMSO d6, ): 8,29 (м, 1H, NH-CO); 7,41-7,09 (м, 14H, 2 Ph + Ph-N); 6,61 (с, 2Н, СН= СН); 4,92 (с, 1Н, СН); 4,85 (м, 1Н, ); 3,13 (м, 2Н, ); 2,95 (м, 2Н, пиперазин); 2,69 (м, 2Н, пиперазин); 2,50 (шир. с. , 4Н, пиперазин); 2,37 (м, 2Н, CH2N); 1,55 (м, 4Н, ); 0,86 (т, 3Н, J= 7,4 Гц).
Элементный анализ для С30Н37N3O2, фумарата:% подсчит. : С 69,49; Н 7,03; N 7,15; % получ. : С 69,31; Н 7,22; N 7,33. Пример 37: Фумарат ( )-N-[3-{ 4-(2-(1-метоксипропил)-фенил)-1-пиперазинил} -пропил] – -фенил-бензолацетамида (Соединение 37):37.1) ( )-1-бензил-4-[2-(метоксипропил)-фенил] -пиперазин:В безводном трехгорловом баллоне, оснащенном устройством для подачи азота, растворяют 1,55 г (5 ммоль) промежуточного соединения 36.1 в 50 мл сухого DMF. Добавляют в 1 прием 220 мг (5,5 ммоль) гидрата натрия (дисперсия 60% в масле) и взбалтывают реакционную смесь в течение ночи при комнатной температуре, после чего добавляют 0,22 мл (5,5 ммоль) йодида метила, разбавленного 2 мл сухого DMF. Продолжают взбалтывание в течение 2 часов, концентрируют смесь при пониженном давлении и фракционируют осадок между 50 мл этилацетата и 25 мл NaOH 1 N. После отстаивания, промывают органическую фазу последовательно 25 мл NaOH 1 N и 25 мл концентрированного раствора хлорида натрия. В результате фильтрации и выпаривания растворителя получают масло, которое очищают быстрой хроматографией (элюент: легкая нефть (вр. 40-65oС)/этилацетат: 80/20). Чистые фракции собирают и концентрируют; получают 0,71 г (68%) бесцветного масла. 1H ЯМР (100 МГц, СDСl3, ): 7,30 (м, 9Н, 2 Ph); 4,70 (м, 1Н, СН); 3,60 (с, 2Н, ); 3,19 (с, 3Н, ОСН3); 3,10-2,40 (м, 8Н, пиперазин); 1,70 (м, 2Н, ); 0,92 (т, 3Н, J= 7,0 Гц).
37.2) ( )-1-[2-(1-метоксипропил)-фенил] -пиперазин:Гидрогенацию осуществляют так, как показано для промежуточного соединения 36.3. 1H ЯМР (100 МГц, CDCl3, ): 7,28 (м, 4Н, Ph); 4,70 (м, 1Н, СН); 3,18 (с, 3Н, ОСН3); 3,12-2,70 (м, 8Н, пиперазин); 1,70 (м, 2Н, ); 0,92 (т, 3Н, J= 7,0 Гц).
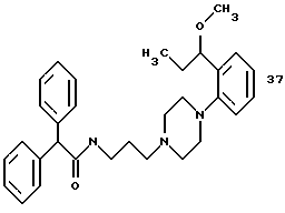
37.3) Фумарат ( )-N-[3-{ 4-(2-(1-метоксипропил)-фенил)-1-пиперазинил} -пропил] – -фенил-бензолацетамида:Соединение 37 получают таким же образом, как в примере 36, но используют ( )-1-[2-(1-метоксипропил)-фенил] -пиперазин вместо ( )-2-(1-пиперазинил)- -этил -бензолметанола.
1H ЯМР (400 МГц, DMSO d6, ): 8,31 (м, 1Н, NH-CO); 7,22 (м, 14Н, 2 Ph + Ph-N); 6,61 (с, 2Н, СН= СН); 4,93 (с, 1Н, СH); 4,59 (м, 1Н, ); 3,14 (м, 2Н, ); 3,07 (с, 3Н, ОСН3); 2,95-2,50 (м, 8Н, пиперазин); 2,43 (м, 2Н, CH2N); 1,60 (м, 4Н, ); 0,86 (т, 3Н, J= 7,33 Гц).
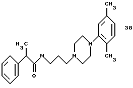
Пример 38: Фумарат ( )-N-[3-{ 4-(2,5-диметилфенил)-1-пиперазинил} -пропил] – -метил-бензолацетамида (Соединение 38):Данное соединение получают таким же образом, как в примере 20, но используют ( )-2-фенилпропионовую кислоту вместо дифенилуксусной кислоты. Т. пл. 136oС.
1H ЯМР (400 МГц, DMSO d6, ): 7,97 (м, 1Н, NH-CO); 7,25 (м, 5Н, Ph); 7,02 (д, 1Н, J= 7,5 Гц); 6,80 (с, 1Н, ); 6,78 (д, 1H, ); 6,60 (с, 2Н, СН= СН); 3,58 (м, 1Н, СН); 3,07 (м, 2Н, ); 2,82 (шир. с. , 4Н, пиперазин); 2,57 (шир. с. , 4Н, пиперазин); 2,39 (м, 2Н, CH2-N); 2,23 (с, 3Н, ); 2,17 (с, 3Н, ); 1,59 (м, 2Н, СН2); 1,32 (д, 3Н, СН3, J= 7 Гц).
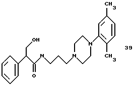
Элементный анализ для C24H33N3O, фумарата:% подсчит. : С 67,86; Н 7,52; N 8,48; % получ. : С 67,51; Н 7,44; N 8,19. Пример 39: Монохлоргидрат ( )-N-[3-{ 4- (2,5-диметилфенил)-1-пиперазинил} -пропил] – – гидроксиметилбензолацетамида, 0,5 H2O (Соединение 39):Соединение 39 получают таким же образом, как в примере 20, но используют ( )-тропную кислоту вместо дифенилуксусной кислоты. Т. пл. : 168-169oС.
1H ЯМР (400 МГц, DMSO d6, ): 10,77 (шир. с. , 1Н, +NН); 8,34 (м, 1Н, NH-CO); 7,28 (м, 5Н, Ph); 7,06 (д, 1Н, J= 7,6 Гц); 6,82 (м, 2Н, ); 4,48 (шир. с. , 1Н, ОН); 3,96 (м, 1Н, СН); 3,61 (м, 1Н, ); 3,53 (м, 1Н, ); 3,45 (м, 2Н, ); 3,17 (м, 2Н, ); 3,10 (м, 10Н, пиперазин); 2,26 (с, 3Н, ); 2,20 (с, 3Н, ); 1,87 (м, 2Н, CH2).
Элементный анализ для С24Н33N3О2, НСl, 0,5 H2O:% подсчит. : С 65,36; Н 8,00; N 9,53; % получ. : С 65,72; Н 7,85; N 9,31. Пример 40: 1,25 фумарат ( )-N- [3-{ 4-(2,5-диметилфенил)- 1-пиперазинил} -пропил] – -гидрокси- -метил-4- метокси- бензолацетамида, 0,6 Н2О (Соединение 40):40.1) Сложный этил-эфир ( )- -гидрокси- -метил-4-метокси-бензолуксусной кислоты:Промежуточное соединение 40.1 получают таким же образом, как промежуточное соединение 31.1, но используют 4-броманизол вместо 3-бромхлорбензола. 1H ЯМР (100 МГц, СDСl3, ): 7,51-6,82 (м, 4Н, Ph); 4,25 (кв, 2Н, СН2, J= 7,0 Гц); 3,81 (с, 3Н, ОСН3); 3,65 (с, 1Н, ОН); 1,82 (с, 3Н, СН3); 1,30 (т, 3Н, ).
40.2) ( )- -гидрокси- -метил-4-метокси-бензолуксусная кислота:Промежуточное соединение 40.2 получают таким же образом, как промежуточное соединение 31.2, но используют сложный этил-эфир ( )- -гидрокси- -метил-4-метокси-бензолуксусной кислоты вместо сложного этил-эфира ( )-3-хлор- -гидрокси- -метил-бензолуксусной кислоты. Т. пл. : 129-130oС.
1H ЯМР (100 МГц, СDСl3, ): 7,52-6,85 (м, 4Н, Ph); 4,70 (шир. с. , 2Н, ОН+СО2Н); 3,81 (с, 3Н, ОСН3); 1,75 (с, 3Н, СН3).
40.3) 1,25 фумарат ( )-N-[3-{ 4-(2,5-диметилфенил)-1-пиперазинил} -пропил] – -гидрокси- -метил-4-метокси-бензолацетамида, 0,6 H2O:Соединение 40 получают таким же образом, как в примере 20, но используют ( )- -гидрокси- -метил-4- метокси- бензолуксусную кислоту вместо дифенилуксусной кислоты. Т. пл. : 90-91oС.
1H ЯМР (400 МГц, DMSO d6, ): 8,12 (м, 1Н, NH-CO); 7,45 (д, 2Н, , J= 8,7 Гц); 7,06 (д, 1Н, J= 7,57 Гц); 6,86 (д, 2Н, ); 6,81 (с, 1Н, ); 6,76 (д, 1Н, ); 6,60 (с, 2,5Н, 1,25 -СН= СН-); 3,71 (с, 3Н, ОСН3); 3,10 (м, 2Н, ); 2,86 (шир. с. , 4Н, пиперазин); 2,59 (шир. с. , 4Н, пиперазин); 2,41 (м, 2Н, CH2-N); 2,24 (с, 3Н, ); 2,17 (с, 3Н, Ph-СН3); 1,59 (м, 5Н, СН2, СН3).
Элементный анализ для С25Н35N3О3, 1,25 фумарата, 0,6 H2O:% подсчит. : С 61,97; Н 7,14; N 7,23; % получ. : С 62,41; Н 7,02; N 7,22. Пример 41: Дихлоргидрат ( )-N-[3-{ 4-(2,5-диметилфенил) -1-пиперазинил} _ – гидрокси- -метил- 4-метил-бензолацетамида (Соединение 41):41.1) Сложный этил-эфир ( )- -гидрокси- -метил-4-метил-бензолуксусной кислоты:Промежуточное соединение 41.1 получают таким же образом, как промежуточное соединение 31.1, но используют 4-бромтолуол вместо 3-бромхлорбензола. 1H ЯМР (100 МГц, CDCl3, ): 7,51-7,11 (м, 4Н, Ph); 4,24 (кв, 2H, J= 7,0 Гц); 3,78 (с, 1Н, ОН); 2,40 (с, 3Н, Ph-СН3); 1,75 (с, 3Н, СН3); 1,30 (т, 3Н, ).
41.2) ( )- -гидрокси- -метил-4-метил-бензолуксусная кислота:Промежуточное соединение 41.2 получают таким же образом, как промежуточное соединение 31.2, но используют сложный этил-эфир ( )- -гидрокси- -метил-4-метил-бензолуксусной кислоты вместо сложного этил-эфира ( )-3-хлор- -гидрокси- -метил-бензолуксусной кислоты. Т. пл. : 105-106oС.
1H ЯМР (100 МГц, СDСl3, ): 7,55-7,15 (м, 4Н, Ph); 4,80 (шир. с. , 2H, ОН+CO2H); 2,41 (с, 3Н, ); 1,81 (с, 3Н, СН3).
41.3) Дихдоргидрат ( )-N-[3-{ 4- (2,5-диметилфенил)-1-пиперазинил} -пропил] – -гидрокси- – метил-4-метил- бензолацетамида:Соединение 41 получают таким же образом, как в примере 20, но используют ( )- -гидрокси- -метил-4- метил- бензолуксусную кислоту вместо дифенилуксусной кислоты. Т. пл. : 145-147oС.
1H ЯМР (400 МГц, DMSO d6, ): 10,93 (шир. с. , 1Н, +NH); 8,12 (м, 1Н, NH-CO); 7,42 (д, 2Н, J= 8 Гц); 7,20 (д, 2Н, ); 7,06 (д, 1Н, J= 7,9 Гц); 6,82 (м, 2Н, ); 5,23 (шир. с. , ОН); 3,41 (м, 2Н, ); 3,10 (м, 10Н, ); 2,26 (с, 6Н, ); 2,20 (с, 3Н, ); 1,86 (м, 2Н, СН2); 1,61 (с, 3Н, СН3).
Элементный анализ для C25H35N3O2, 2 НСl:% подсчит. : С 62,23; Н 7,73; N 8,71; % получ. : С 62,24; Н 7,94; N 8,76. Пример 42: Фумарат ( )-N-[3-{ 4-(2,5-диметилфенил)-1-пиперазинил} -пропил] – -гидрокси- -метил-1-нафталинацетамида (Соединение 42):42.1) Сложный этил-эфир ( )- -гидрокси- -метил-1-нафталинуксусной кислоты:Промежуточное соединение 42.1 получают таким же образом, как промежуточное соединение 31.1, но используют 1-бромнафталин вместо 3-бромхлорбензола. 1H ЯМР (100 МГц, СDСl3, ): 8,30-7,35 (м, 7Н, нафталин); 4,19 (кв, 2Н, CH2, J= 7 Гц); 3,69 (с, 1Н, ОН); 2,01 (с, 3Н, СН3); 1,09 (т, 3Н, ).
42.2) ( )- -гидрокси- -метил-1-нафталинуксусная кислота:Промежуточное соединение 42.2 получают таким же образом, как промежуточное соединение 31.2, но используют сложный этил-эфир ( )- -гидрокси- -метил-1-нафталинуксусной кислоты вместо сложного этил-эфира ( )-3-хлор- -гидрокси- – метил- бензолуксусной кислоты. Т. пл. : 152-153oС.
1H ЯМР (100 МГц, CD3OD, ): 8,54 (м, 1Н, нафталин); 8,10-7,50 (м, 6Н, нафталин); 2,18 (с, 3Н, СН3).
42.3) Фумарат ( )-N-[3-{ 4-(2,5-диметилфенил)-1-пиперазинил} -пропил] – -гидрокси- -метил-1-нафталинацетамида:Соединение 42 получают таким же образом, как в примере 20, но используют ( )- -гидрокси- -метил-1- нафталинуксусную кислоту вместо дифенилуксусной кислоты. Т. пл. 136-137oС.
1H ЯМР (400 МГц, DMSO d6, ): 8,41 (д, 1Н, нафталин); 8,29 (м, 1Н, NH-CO); 7,89 (д, 1Н, нафталин, J= 7,39 Гц); 7,84 (д, 1Н, нафталин, J= 8,10 Гц); 7,63 (д, 1Н, нафталин, J= 7,21 Гц); 7,45 (м, 3Н, нафталин); 7,01 (д, 1Н, J= 7,52 Гц); 6,79 (с, 1Н, ); 6,74 (д, 1Н, ); 6,60 (с, 2Н, -СН= СН-); 6,25 (шир. с. , 1Н, ОН); 3,19 (м, 2Н, ); 2,84 (шир. с. , 4Н, пиперазин); 2,56 (шир. с. , 4Н, пиперазин); 2,43 (м, 2Н, СН2-N); 2,22 (с, 3Н, ); 2,17 (с, 3Н, ); 1,83 (с, 3Н, СН3); 1,66 (м, 2Н, CH2).
Элементный анализ для С28Н35N3O2, фумарата:% подсчит. : С 68,43; Н 7,00; N 7,48; % получ. : С 68,58; Н 7,16; N 7,53. Пример 43: 0,75 фумарат ( )-N-[3-{ 4-(2,5-диметилфенил)-1-пиперазинил} -пропил] – -гидрокси- -метил-2-нафталинацетамида (Соединение 43):43.1) Сложный этил-эфир ( )- -гидрокси- -метил-2-нафталинуксусной кислоты:Промежуточное соединение 43.1 получают таким же образом, как промежуточное соединение 31.1, но используют 2-бромнафталин вместо 3-бромхлорбензола. 1H ЯМР (100 МГц, CDCl3, ): 8,10-7,40 (м, 7Н, нафталин); 4,25 (кв, 2Н, СН2, J= 7 Гц); 3,95 (с, 1Н, ОН); 1,90 (с, 3Н, СН3); 1,29 (т, 3Н, ).
43.2) ( )- -гидрокси- -метил-2-нафталинуксусная кислота:Промежуточное соединение 43.2 получают таким же образом, как промежуточное соединение 31.2, но используют сложный этил-эфир ( )- -гидрокси- -метил-2-нафталинуксусной кислоты вместо сложного этил-эфира ( )-3-хлор- – гидрокси- – метил- бензолуксусной кислоты. Т. пл. : 169-170oС.
1H ЯМР (100 МГц, СD3OD, ): 8,75-7,56 (м, 7Н, нафталин); 2,05 (с, 3Н, СН3).
43.3) 0,75 фумарат ( )-N-[3-{ 4- (2,5-диметилфенил)-1-пиперазинил} -пропил] – -гидрокси- – метил-1- нафталинацетамида:Соединение 43 получают таким же образом, как в примере 20, но используют ( )- -гидрокси- -метил-2- нафталинуксусную кислоту вместо дифенилуксусной кислоты. Т. пл. : 132-133oС.
1H ЯМР (400 МГц, DMSO d6, ): 8,17 (м, 1Н, NH-CO); 8,03 (с, 1Н, нафталин); 7,89 (м, 3Н, нафталин); 7,71 (дд, 1Н, нафталин, J12= 8,60 Гц, J13= 1,42 Гц); 7,47 (м, 2Н, нафталин); 7,02 (д, 1Н, J= 7,57 Гц); 6,80 (с, 3Н, ); 6,76 (д, 1Н, ); 6,61 (с, 1,5Н, 0,75 -СН= СН-); 3,12 (м, 2Н, ); 2,82 (шир. с. , 4Н, пиперазин); 2,54 (шир. с. , 4Н, пиперазин); 2,39 (м, 2Н, CH2-N); 2,24 (с, 3Н, ); 2,16 (с, 3Н, ); 1,73 (с, 3Н, СН3); 1,16 (м, 2Н, CH2).
Элементный анализ для C28H35N3O2, 0,75 фумарата:% подсчит. : С 69,90; Н 7,19; N 7,89; % получ. : С 69,64; Н 7,12; N 7,56. Пример 44: Фумарат ( )-N-[3-{ 4-(2,5-диметилфенил)-1-пиперазинил} -пропил] _ -гидрокси- -метил-1,1′-бифенил-3-ацетамида (Соединение 44):44.1) Сложный этил-эфир ( )- -гидрокси- -метил-1,1′-бифенил-3-уксусной кислоты:Промежуточное соединение 44.1 получают таким же образом, как промежуточное соединение 31.1, но используют 3-бромбифенил вместо 3-бромхлорбензола. 1H ЯМР (100 МГц, СDСl3, ): 7,80-7,35 (м, 9Н, бифенил); 4,25 (кв, 2Н, CH2, J= 7,0 Гц); 3,83 (с, 1Н, ОН); 1,81 (с, 3Н, СН3); 1,29 (т, 3Н, ).
44.2) ( )- -гидрокси- -метил-1,1′-бифенил-3-уксусная кислота:Промежуточное соединение 44.2 получают таким же образом, как промежуточное соединение 31.2, но используют сложный этил-эфир ( )- -гидрокси- -метил-1,1′-бифенил-3-уксусной кислоты вместо сложного этил-эфира ( )-3-хлор- -гидрокси- -метил-бензолуксусной кислоты. Т. пл. : 118-119oС.
1H ЯМР (100 МГц, CDCl3, ): 7,82-7,35 (м, 9Н, бифенил); 6,20 (шир. с. , 2Н, ОН, СO2Н); 1,90 (с, 3Н, СH3).
44.3) Фумарат ( )-N-[3-{ 4-(2,5-диметилфенил)-1-пиперазинил} -пропил] – -гидрокси- -метил-1,1′-бифенил-3-ацетамида:Соединение 44 получают таким же образом, как в примере 20, но используют ( )- -гидрокси- – метил-1,1′-бифенил-3- уксусную кислоту вместо дифенилуксусной кислоты. Т. пл. : 90-91oС.
1H ЯМР (400 МГц, DMSO d6, ): 8,19 (м, 1H, NH-CO); 7,83 (с, 1Н, бифенил); 7,63-7,34 (м, 8Н, бифенил); 7,02 (д, 1H, J= 7,54 Гц); 6,79 (с, 1Н, ); 6,75 (д, 1Н, ); 6,61 (с, 2Н, -СН= СН-); 3,12 (м, 2Н, ); 2,89 (шир. с. , 4Н, пиперазин); 2,50 (шир. с. , 4Н, пиперазин); 2,39 (м, 2Н, CH2-N); 2,23 (с, 3Н, ); 2,15 (с, 3Н, ); 1,68 (С, 3Н, СН3); 1,16 (м, 2Н, СН2).
Элементный анализ для C30H37N3O2, фумарата:% подсчит. : С 69,49; Н 7,03; N 7,15; % получ. : С 69,65; Н 6,94; N 7,38. Пример 45: Фумарат S-(+)-N-[3-{ 4-(2,5-диметилфенил)-1-пиперазинил} -пропил] – -гидрокси- -метил-бензолацетамида (Соединение 45):Соединение 45 получают таким же образом, как в примере 20, но используют S-(+)-атромолочную кислоту вместо дифенилуксусной кислоты. Т. пл. : 190-191oС. ([ ]D = +10,75 (с= 0,12, EtOH, t= 20oC)).
1H ЯМР (400 МГц, DMSO d6, ): 8,09 (м, 1Н, NH-CO); 7,53 (м, 2Н, Ph); 7,31 (м, 2Н, Ph); 7,22 (м, 1H, Ph); 7,02 (д, 1Н, J= 7,57 Гц); 6,81 (с, 1H, ); 6,76 (д, 1H, ); 6,60 (с, 2Н, -СН= СН-); 3,10 (м, 2Н, ); 2,86 (шир. с. , 4Н, пиперазин); 2,58 (шир. с. , 4Н, пиперазин); 2,41 (м, 2Н, CH2-N); 2,24 (с, 3Н, ); 2,17 (с, 3Н, ); 1,61 (С, 3Н, СН3); 1,59 (м, 2Н, СН2).
Элементный анализ для C24H33N3O2, фумарата:% подсчит. : С 65,73; Н 7,29; N 8,21; % получ. : С 65,78; Н 7,51; N 8,07. Пример 46: 0,8 фумарат R-(-)-N-[3-{ 4-(2,5-диметилфенил)-1-пиперазинил} -пропил] – -гидрокси- -метил-бензолацетамида (Соединение 46):Соединение 46 получают таким же образом, как в примере 20, но используют R-(-)-атромолочную кислоту вместо дифенилуксусной кислоты. Т. пл. : 190-191oС. ([ ]D = -7,25 (с= 0,10, EtOH, t= 20oC)).
Элементный анализ для С24Н33N3O2, 0,8 фумарата:% подсчит. : С 66,89; Н 7,47; N 8,60; % получ. : С 66,43; Н 7,25; N 8,56. Пример 47: Фумарат ( )-N-[3-{ 4-(2,5-диметилфенил)-1-пиперазинил} -пропил] – -бензиламинокарбонилбензолацетамида (Соединение 47):47.1) Сложный бензил-эфир ( )- -бензиламинокарбонил-бензолуксусной кислоты:4,05 г (15 ммоль) сложного монобензил-эфира фенилмалоновой кислоты, 1,64 мл (15 ммоль) бензиламина и 2,23 г (16,5 ммоль) гидроксибензотриазола растворяют в 40 мл дихлорметана. После охлаждения до 0-5oC, добавляют в один прием 3,4 г (16,5 ммоль) дициклогексилкарбодиимида и взбалтывают при 20oС в течение 4 часов. Фильтруют образовавшийся во время реакции белый осадок, и промывают фильтрат последовательно NaOH 1 N (2 50 мл) и насыщенным раствором хлорида натрия (50 мл). После высушивания на сульфате натрия, выпаривают растворитель и преципитируют осадок в присутствии дихлорметана. В результате фильтрации получают 3,19 г (59%) белого порошка. Т. пл. : 150-151oС.
1H ЯМР (100 МГц, СD3ОD, ): 7,70-7,35 (м, 15Н, Ph); 5,35 (с, 2Н, СН2-О); 5,05 (с, 1Н, СН); 4,51 (д, 2Н, CH2-N).
47.2) ( )- -бензиламинокарбонил-бензолуксусная кислота:В бутыль Парра (Parr) вводят 1 г (2,78 ммоль) сложного бензил-эфира ( )- -бензиламинокарбонил-бензолуксусной кислоты, растворенной в смеси 40 мл этанола и 30 мл уксусной кислоты и 200 мг Pd/C 10%. Проводят гидрогенацию при 15 PSI H2 и 30oС. После 15 часов взбалтывания, смесь фильтруют через Celite, и концентрируют фильтрат при пониженном давлении. Фракционируют осадок между 30 мл диэтилэфира и 30 мл насыщенного раствора NаНСО3. Водный экстракт отстаивают и промывают с помощью 30 мл диэтилэфира. После окисления с помощью НСl 3 N при 0oС, экстрагируют водную фазу с помощью 2 30 мл диэтилэфира. Эфирный раствор высушивают на сульфате натрия, фильтруют, выпаривают растворитель и получают 451 мг (60%) белого порошка. Т. пл. : 132-133oС.
1H ЯМР (100 МГц, CD3OD, ): 7,70-7,35 (м, 10Н, Ph); 4,80 (с, 1Н, СН); 4,57 (м, 2Н, CH2-N).
47.3) Фумарат ( )-N-[3-{ 4-(2,5-диметилфенил)-1-пиперазинил} -пропил] – – бензиламинокарбонил- бензолацетамидаСоединение 47 получают таким же образом, как в примере 20, но используют ( )- -бензиламинокарбонил-бензолуксусную кислоту вместо дифенилуксусной кислоты. Т. пл. : 90-91oС.
1H ЯМР (400 МГц, DMSO d6, ): 8,69 (м, 1Н, NH-CH2Ph); 8,26 (м, 1Н, NH-CO); 7,32 (м, 10Н, 2 Ph); 7,02 (д, 1Н, J= 7,51 Гц); 6,80 (с, 1Н, ); 6,76 (д, 1Н, ); 6,61 (с, 2Н, -СН= СН-); 4,47 (с, 1Н, СН); 4,31 (м, 2Н, ); 3,15 (м, 2Н, ); 2,83 (шир. с. , 4Н, пиперазин); 2,58 (шир. с. , 4Н, пиперазин); 2,42 (м, 2Н, CH2-N); 2,23 (с, 3Н, ); 2,17 (с, 3Н, ); 1,63 (м, 2Н, СН2).
Элементный анализ для C31H38N4O2, фумарата:% подсчит. : С 68,38; Н 6,89; N 9,11; % получ. : С 68,70; Н 7,06; N 8,81. Пример 48: ( )-N-[3-{ 4-(2,5-диметилфенил)-1-пиперазинил} -пропил] – – (4-метилфенил)-сульфониламино- бензолацетамид, 1,5 НСl, 0,5 H2O (Соединение 48):48.1) ( )-(4-метилфенил)-сульфониламино-бензолуксусная кислота:Промежуточное соединение 48.1 получают таким же образом, как промежуточное соединение 33.1, но используют хлорид р-толуолсульфонила вместо хлорида метансульфонила. Т. пл. : 188-189oС. 1H ЯМР (100 МГц, СD3ОD, ): 7,65 (м, 4Н, р-толуол); 7,42 (с, 5Н, Ph); 5,09 (д, 1Н, СН); 2,55 (с, 3Н, СН3).
48.2) ( )-N-[3-{ 4-(2,5-диметилфенил)-1-пиперазинил} -пропил] – -(4-метилфенид) -сульфониламино- бензолацетамид, 1,5 НСl, 0,5 Н2О:Соединение 48 получают таким же образом, как в примере 20, но используют ( )-(4-метилфенил)- сульфониламино- бензолуксусную кислоту вместо дифенилуксусной кислоты. Т. пл. : 180-181oС.
1H ЯМР (400 МГц, DMSO d6, ): 11,19 (шир. с. , 1Н, +NН); 8,54 (м, 2Н, NH-CO, NH-SO2); 7,63 (м, 2Н, Ph-SO2); 7,26 (м, 7Н, Ph-SO2, Ph); 7,06 (д, 1Н, J= 7,05 Гц); 6,83 (шир. с. , 2Н, ); 4,92 (д, 1Н, СН, J= 8,80 Гц); 3,37 (м, 2Н, ); 3,12 (шир. с. , 4Н, пиперазин); 2,97 (м, 6Н, пиперазин, ); 2,35 (с, 3Н, ); 2,26 (с, 3Н, ); 2,20 (с, 3Н, ); 1,77 (м, 2Н, СН2).
Элементный анализ для С30Н38N4O3S, 1,5 НСl, 0,5 Н2О:% подсчит. : С 60,21; Н 6,82; N 9,36; S 5,36; % получ. : С 60,59; Н 6,81; N 9,21; S 5,69. Пример 49: Фумарат ( )-N-[3-{ 4-(2,5-диметилфенил)-1-пиперазинил} -пропил] – -бензилкарбониламино-бензолацетамида, 0,5 H2O (Соединение 49):49.1) ( )- -бензилкарбониламино-бензолуксусная кислота:Промежуточное соединение 49.1 получают таким же образом, как промежуточное соединение 33.1, но используют хлорид фенилацетила вместо хлорида метансульфонила. 1H ЯМР (100 МГц, СDСl3, ): 8,80 (шир. с. , 1Н, СO2Н); 7,30 (шир. с. , 10Н, 2 Ph); 5,52 (д, 1Н, NHCO, J= 7,0 Гц); 3,60 (м, 3Н, СН+CH2).
49.2) Фумарат ( )-N-[3-{ 4-(2,5-диметилфенил) -1-пиперазинил} -пропил] – -бензилкарбониламино- бензолацетамида, 0,5 H2O:Соединение 49 получают таким же образом, как в примере 20, но используют ( )- -бензилкарбониламино-бензолуксусную кислоту вместо дифенилуксусной кислоты. Т. пл. : 158-159oС.
1H ЯМР (400 МГц, DMSO d6, ): 8,73 (д, 1Н, J= 8,0 Гц); 8,32 (м, 1Н, NH-CO); 7,42-7,20 (м, 10Н, 2 Ph); 7,02 (д, 1Н, J= 7,52 Гц); 6,80 (с, 1Н, ); 6,75 (с, 1Н, ); 6,61 (с, 2Н, -СН= СН-); 5,43(д, 1H, CH); 3,56 (с, 2Н, ); 3,10 (м, 2Н, ); 2,80 (шир. с. , 4Н, пиперазин); 2,50 (шир. с. , 4Н, пиперазин); 2,34 (м, 2Н, CH2-N); 2,23 (с, 3Н, ); 2,17 (с, 3Н, ); 1,58 (м, 2Н, СН2).
Элементный анализ для С31Н38N4O2, фумарата, 0,5 Н2O:% подсчит. : С 67,40; Н 6,95; N 8,98; % получ. : С 67,57; Н 6,86; N 8,98. Пример 50: Фумарат ( )-N-[3-{ 4-(2,5-диметилфенил)-1-пиперазинил} -пропил] – -бензиламинокарбонил- – метил- бензолацетамида, 0,5 Н2О (Соединение 50):50.1) Сложный диэтил-эфир ( )- -метилфенилмалоновой кислоты:Промежуточное соединение 50.1 получают таким же образом, как в примере 11, но используют сложный диэтил-эфир фенилмалоновой кислоты вместо ( )-N-[3-{ 4-(2,5-диметилфенил) -1-пиперазинил} -пропил] – -гидрокси- – фенил-бензолацетамида.
1H ЯМР (100 МГц, CDCl3, ): 7,39 (шир. с. , 5Н, Ph); 4,28 (кв, 4H, OCH2, J= 7,0 Гц); 1,88 (с, 3Н, СН3); 1,26 (т, 3Н, ).
50.2) Сложный моноэтил-эфир ( )- -метилфенилмалоновой кислоты:Промежуточное соединение 50.2 получают таким же образом, как промежуточное соединение 31.2, но используют сложный диэтил-эфир ( )- -метил-фенилмалоновой кислоты вместо сложного этил-эфира ( )-3-хлор- -гидрокси- -метил-бензолуксусной кислоты.
1H ЯМР (100 МГц, CDCl3, ): 9,38 (шир. с. , 1Н, CO2H); 7,38 (м, 5Н, Ph); 4,25 (кв, 2H, OCH2, J= 7,0 Гц); 1,90 (с, 3Н, СН3); 1,28 (т, 3Н, ).
50.3) Сложный этил-эфир ( )- -бензиламинокарбонил- -метил-бензолуксусной кислоты:Промежуточное соединение 50.3 получают таким же образом, как промежуточное соединение 47.1, но используют сложный моноэтил-эфир ( )- -метил-фенилмалоновой кислоты вместо сложного монобензил-эфира фенилмалоновой кислоты.
1H ЯМР (100 МГц, CDCl3, ): 7,30 (м, 10Н, 2 Ph); 6,82 (м, 1Н, NH-CO); 4,48 (м, 2H, СН2); 4,27 (кв, 2H, ОСН2, J= 7,0 Гц); 1,87 (с, 3Н, СН3); 1,26 (т, 3Н, ).
50.4) ( )- -бензиламинокарбонил- -метил-бензолуксусная кислота:Промежуточное соединение 50.4 получают таким же образом, как промежуточное соединение 31.2, но используют сложный этил-эфир ( )- -бензиламинокарбонил- -метил-бензолуксусной кислоты вместо сложного этил-эфира ( )-3-хлор- -гидрокси – -метил- бензолуксусной кислоты.
1H ЯМР (100 МГц, CDCl3, ): 7,25 (м, 10Н, 2 Ph); 6,26 (м, 1Н, NH-CO); 4,45 (м, 2H, СН3); 1,95 (с, 3Н, СН3).
50.5) Фумарат ( )-N-[3-{ 4-(2,5-диметилфенил)-1-пиперазинил} -пропил] – -бензиламинокарбонил- -метил- бензолацетамида, 0,5 H2O:Соединение 50 получают таким же образом, как в примере 20, но используют ( )- -бензиламинокарбонил – -метил- бензолуксусную кислоту вместо дифенилуксусной кислоты. Т. пл. : 159-160oС.
1H ЯМР (400 МГц, DMSO d6, ): 8,40 (м, 1Н, ); 7,93 (м, 1Н, NH-CO); 7,26 (м, 10Н, 2 Ph); 7,02 (д, 1Н, J= 7,52 Гц); 6,79 (с, 1H, ); 6,75 (д, 1Н, ); 6,61 (с, 2Н, -СН= СН-); 4,33 (д, 2Н, J= 5,85 Гц); 3,19 (м, 2Н, ); 2,79 (шир. с. , 4Н, пиперазин); 2,54 (шир. с. , 4Н, пиперазин); 2,39 (м, 2Н, CH2-N); 2,24 (с, 3Н, ); 2,17 (с, 3Н, ); 1,71 (с, 3Н, СН3); 1,63 (м, 2Н, CH2).
Элементный анализ для C32H40N4O2, фумарата, 0,5 Н2O:% подсчит. : С 67,80; Н 7,11; N 8,78; % получ. : С 68,20; Н 7,08; N 8,91. Пример 51: 0,5 фумарат ( )-N-[3-{ 4-(2,5-диметилфенил)-1-пиперазинил} -пропил] – -метокси- -метил-бензолацетамида (Соединение 51):Соединение 51 получают таким же образом, как в примере 11, но используют ( )-N-[3-{ 4-(2,5-диметилфенил)-1- пиперазинил} -пропил] – -гидрокси- -метил- бензолацетамид вместо ( )-N-[3-{ 4-(2,5-диметилфенил)-1-пиперазинил} -пропил] – -гидрокси- -фенил-бензолацетамида. Т. пл. : 172,5-173,5oС.
1H ЯМР (400 МГц, DMSО d6, ): 8,16 (м, 1Н, NH-CO); 7,35 (м, 5Н, Ph); 7,02 (д, 1Н, J= 7,54 Гц); 6,80 (с, 1Н, ); 6,75 (С, 1Н, ); 6,60 (с, 1Н, 0,5 -СН= СН-); 3,13 (м, 5Н, ); 2,84 (шир. с. , 4Н, пиперазин); 2,54 (шир. с. , 4Н, пиперазин); 2,37 (м, 2Н, CH2-N); 2,23 (с, 3Н, ); 2,18 (с, 3Н, ); 1,64 (с, 3Н, СН3); 1,61 (м, 2Н, СН2).
Элементный анализ для С25Н35N3О2, 0,5 фумарата:% подсчит. : С 69,35; Н 7,98; N 8,99; % получ. : С 69,34; Н 7,99; N 8,69. Пример 52: 0,5 фумарат ( )-N-[3-{ 4-(2,5-диметилфенил)-1-пиперазинил} -пропил] – -бензилокси- -метил-бензолацетамида (Соединение 52):Соединение 52 получают таким же образом, как в примере 11, но используют ( )-N-[3-{ 4-(2,5-диметилфенил) -1-пиперазинил} -пропил] – -гидрокси- -метил- бензолацетамид и бромид бензила вместо ( )-N-[3-{ 4-(2,5-диметилфенил) -1-пиперазинил} -пропил] – -гидрокси- -фенил- бензолацетамида и йодида метила. Т. пл. : 153-154oС.
1H ЯМР (400 МГц, DMSO d6, ): 7,94 (м, 1Н, NH-CO); 7,50-7,26 (м, 10Н, 2 Ph); 7,00 (д, 1Н, J= 7,46 Гц); 6,74(д, 1H, ); 6,71 (с, 1H, ); 6,61 (с, 1H, 0,5 -СН= СН-); 4,35 (АВ, 2Н, Jab= 12,25 Гц); 3,17 (м, 2Н, ); 2,73 (шир. с. , 4Н, пиперазин); 2,50 (шир. с. , 4Н, пиперазин); 2,34 (м, 2Н, CH-N); 2,22 (с, 3Н, ); 2,15 (с, 3Н, ); 1,74 (с, 3Н, СН3); 1,61 (м, 2Н, СН3).
Элементный анализ для C31H39N3O2, 0,5 фумарата:% подсчит. : С 72,90; Н 7,60; N 7,73; % получ. : С 73,01; Н 7,46; N 7,27. Пример 53: Фумарат ( )-3,4-дихлор-N-[3-{ 4-(2,5-диметилфенил) -1-пиперазинил} -пропил] – – гидрокси- – метил- бензолацетамида (Соединение 53):Соединение 53 получают таким же образом, как в примере 31, но используют 1-бром-3,4-дихлорбензол вместо 3-бромхлорбензола. Т. пл. : 174-175oС. 1H ЯМР (400 МГц, DMSO d6, ): 8,19 (м, 1Н, NH-CO); 7,73 (д, 1Н, Ph-Cl, J= 1,17 Гц); 7,59 (д, 1Н, PhCl, J= 8,44 Гц); 7,50 (дд, 1Н, PhCl); 7,02 (д, 1Н, J= 7,52 Гц); 6,81 (с, 1Н, ); 6,76 (с, 1Н, ); 6,60 (с, 2Н, -СН= СН-); 3,10 (м, 2Н, ); 2,85 (шир. с. , 4Н, пиперазин); 2,56 (шир. с. , 4Н, пиперазин); 2,38 (м, 2Н, CH2-N); 2,24 (с, 3Н, ); 2,17 (с, 3Н, ); 1,59 (м, 5Н, СН3+CH2).
Элементный анализ для C24H31Cl2N3O2, фумарата:% подсчит. : С 57,93; Н 6,08; N 7,24; % получ. : С 57,99, Н 6,24; N 7,03. Пример 54: Фумарат ( )-N-[3- { 4-(2,5-диметилфенил)-1-пиперазинил} -пропил] -2-гидрокси-2-метил- пропиониламида (Соединение 54):Соединение 54 получают таким же образом, как в примере 20, но используют 2-гидроксиизобутировую кислоту вместо диметилфенилуксусной кислоты. Т. пл. : 150-151oС. 1H ЯМР (400 МГц, DMSO d6, ): 7,85 (м, 1Н, NH-CO); 7,02 (д, 1Н, J= 7,52 Гц); 6,81 (с, 1Н, ); 6,76 (д, 1Н, ); 6,60 (с, 2Н, -СН= СН-); 3,13 (м, 2Н, ); 2,88 (шир. с. , 4Н, пиперазин); 2,67 (шир. с. , 4Н, пиперазин); 2,38 (м, 2Н, CH2-N); 2,24 (с, 3Н, ); 2,18 (с, 3Н, ); 1,66 (м, 2Н, СН2); 1,24 (с, 6Н, 2 СН3).
Элементный анализ для С19H31N3O2, фумарата:% подсчит. : С 61,45; Н 7,85; N 9,35; % получ. : С 61,99; Н 7,89; N 9,22. Пример 55: 1,25 фумарат ( )-N-[3-{ 4- (2-(циклопропил-гидроксиметил)-фенил) -1-пиперазинил} -пропил] – -фенил- бензолацетамида, 0,5 Н2О (Соединение 55):Соединение 55 получают таким же образом, как в примере 36, но используют бромид циклопропилмагния вместо бромида этилмагния. Т. пл. : 151-152oС. 1H ЯМР (400 МГц, DMSO d6, ): 8,31 (м, 1Н, NH-CO); 7,49-7,09 (м, 14Н, 3 Ph); 6,61 (с, 2,5Н, 1,25 -СН= СН-); 4,92 (с, 1Н, ); 4,51 (д, 1H, J= 6,71 Гц); 3,13 (м, 2Н, ); 3,00 (шир. с. , 2Н, пиперазин); 2,72 (шир. с. , 2Н, пиперазин); 2,58 (шир. с. , 4H, пиперазин); 2,41 (м, 2Н, СН2-N); 1,63 (м, 2Н, СН2); 1,05 (м, 1Н, СН); 0,36 (м, 4Н, циклопропан).
Элементный анализ для C31H37N3O2, 1,25 фумарата:% подсчит. : С 67,80; Н 6,80; N 6,59; % получ. : С 68,21; Н 6,82; N 6,12. Пример 56: 0,75 фумарат ( )-N-[3-{ 4-(2-(пропил)-фенил)-1-пиперазинил} -пропил] – -гидрокси- -фенил-бензолацетамида (Соединение 56):56.1) (Z, E)-1-бензил-4-[2-(1-пропенил)-фенил] -пиперазин: В безводный трехгорловый баллон, оснащенный устройством для подачи азота и содержащий 80 мл сухого THF, вводят 5,7 г (15,3 ммоль) бромида этилтрифенилфосфония. К этой смеси по каплям добавляют, при 20oС, 8,45 мл (16,9 ммоль) раствора фениллития (2 М в циклогексане/диэтилэфире: 7,3). Взбалтывают в течение часа и к этой темно-красной смеси, охлажденной до 0oС, добавляют по каплям раствор 4,3 г (15,3 ммоль) промежуточного соединения 36.1 в 30 мл сухого THF. После взбалтывания на протяжении ночи, осадок фильтруют и промывают этилацетатом. Фильтрат концентрируют в вакууме и масляный коричневый осадок подвергают хроматографии на селикагеле (элюент: легкая нефть (вр. 40-65oС)/этилацетат: 90/10); получают 2,71 г (60%) чистого бледно-желтого масла. 1Н ЯМР (100 МГц, СDСl3, ): 7,45-6,90 (м, 9Н, 2 Ph); 6,60 (м, 1H, ); 6,20 (м, 1,2 СН, ); 5,79 (м, 1,2 СН, ); 3,60 (м, 2Н, ); 3,00 (м, 4Н, пиперазин); 2,60 (м, 4Н, пиперазин); 1,90 (м, 3Н, СН3).
56.2) 1-[2-(1-пропенил)-фенил] -пиперазин:Смесь 2,71 г (9,3 ммоль) (Z, Е)-1-бензил-4-[2(1-пропенил)-фенил] -пиперазина и 100 мг Pd/C 10% в 30 мл этанола гидрогенируют при 40 PSI H2 и 40oС в течение 15 часов в аппарате Парра (Parr). Затем реакционную смесь фильтруют на слое Celite и выпаривают растворитель при пониженном давлении; получают 1,78 г (94%) белого порошка. Т. пл. : 145-146oС. 1H ЯМР (100 МГц, СDСl3, ): 7,18 (м, 4Н, Ph); 4,55 (шир. с. , NH); 3,30-2,90 (м, 8Н, пиперазин); 2,60 (м, 2Н, ); 1,68 (м, 2Н, СН2); 1,00 (т, 3Н, СН3, J= 7,0 Гц).
56.3) 0,75 фумарат ( )-N-[3-{ 4-(2-(пропил)-фенил) -1-пиперазинил} -пропил] – – гидрокси- -фенил- бензолацетамида:Соединение 56 получают таким же образом, как в примере 1, но используют ( )-1-[2-(1-пропенил)-фенил] -пиперазин вместо 1-(3-метилфенил)-пиперазина. Т. пл. : 152-153oС.
1H ЯМР (400 МГц, DMSO d6, ): 8,37 (м, 1H, NH-CO); 7,40-6,99 (м, 14Н, 3 Ph); 6,60 (с, 1,5Н, 0,75 -СН= СН-); 3,20 (м, 2Н, ); 2,84 (м, 4Н, пиперазин); 2,59 (м, 6Н, ); 2,44 (м, 2Н, CH2-N); 1,67 (м, 2Н, СН2); 1,60 (м, 2Н, ); 0,92 (т, 3Н, СН3, J= 7,46 Гц).
Элементный анализ для С30Н37N3O2, 0,75 фумарата:% подсчит. : С 70,94; Н 7,22; N 7,52; % получ. : С 70,71; Н 7,28; N 7,07. Исследования связывания с 1-адренэргическим рецептором:Средство различных соединений по изобретению с 1-адренэргическими рецепторами определяли измерением ингибирования связывания [3H] празозина (Du Font NEN, Les Ulis, Франция) с корой головного мозга крысы в соответствии с методикой, разработанной на основе методики Морроу и Криза (Morrow, Creese, Mol. Pharmacol. 29: 321 (1986)). Кору головного мозга самцов крыс Sprague Dawley гомогенизировали при 4oС в Tris-НСl 50 мМ, рН 7,7 и центрифугировали при 50000 g в течение 30 минут при 4oС. Осадок разводили тем же буферным раствором и полученную суспензию опять центрифугировали при 50000 g в течение 30 минут при 4oС.
Конкурентное ингибирование связывания 0,2 нМ [3Н] празозина проводили троекратно с немечеными опытными соединениями по изобретению в концентрациях от 10-11 М до 10-2 М. Мембраны клеток коры головного мозга крысы (5 мг (влажн. )/мл) инкубировали в течение 30 минут при 25oС в Tris-HCl 50 мМ, рН 7,7. Связанный [3Н] празозин сразу отделяли от свободного [3H] празозина фильтрацией через фильтры из стекловолокна Whatman GF/B, используя клеточные рекуператоры Brandel. Фильтры промывали три раза тем же буфером при 0-4oС, и тестировали их радиоактивность с помощью сцинтилляционной жидкостной спектрометрии.
Специфическое связывание рассчитывают, вычитая из общего связывания неспецифическое связывание (определяемое в присутствии 10 мкМ фентоламина (Sigma Chemical Co. , St. Louis МО)). Данные по связыванию анализировали методом анализа по нелинейной итеративной регрессии с помощью компьютера, используя программу Lagand (Munson, P. J. , Rodbard, D. Anal. Biochem. 107: 220 (1980)).
В Таблице 1 представлена IC50 (концентрация, необходимая для ингибирования 50% специфического связывания) каждого из опытных соединений.
ИССЛЕДОВАНИЯ СОКРАЩЕНИЯ УРЕТРЫ:Удаляли уретры у самцов кроликов New Zealand и очищали их от прилежащих тканей. Уретральные полосы простаты (3 мм шириной, 10-15 мм длиной) подвешивали (растяжение 1 г) в жидкости для органов, содержащих 10 мл физиологического раствора (рН 7,4) при 37oС в атмосфере 95% О2 г/5% CO2; NaCl (118 мМ), КСl (4,7 мМ); CaCl (2,5 мМ); KH2PO4 (1,2 мМ), MgSO4 (1,2 мМ); NаНСО3 (25 мМ); глюкоза (11 мМ). Ответные сокращения измеряли с помощью трансдукторов с принудительным перемещением (“force displacement transducers”), соединенных с полиграфом Gould 8000 S. Перед началом эксперимента был предусмотрен период уравновешивания, или часовое уравновешивание. После уравновешивания, препараты сенсибилизируют субмаксимальной концентрацией фенилэфрина. Через сорок пять минут после сенсибилизации устанавливают кривую концентрация – эффект для фенилэфрина. Для определения эффекта действия опытных соединений, используют параллельно различные препараты, полученные от одного и того же животного. Один препарат служит для контроля, а остальные получают концентрацию опытного соединения, которое вводят в жидкость с препаратами за 30 минут до фенилэфрина (Auguet, М. , и др. European J. Pharmacol. 217: 153 (1995)). Константы диссоциации (Kb) опытных соединений определяли, используя следующее уравнение: Kb= [В] /(соотношение доз – 1), где [В] представляет собой концентрацию опытного соединения, а (соотношение доз) – EC50 фенилэфрина в присутствии опытного соединения, деленная на EC50 контрольного препарата. Эти результаты выражают в виде отрицательного логарифма Kb. Величины EC50 рассчитывают на основе максимального ответного сокращения на фенилэфрин методом компьютерного анализа, используя линейную регрессию средних значений растяжения. Максимальное ответное сокращение каждого препарата, подвергающегося воздействию опытного соединения, определяли сравнением ответа, вызванного применением сенсибилизирующей концентрации фенилэфрина, с ответом, вызванным в контрольном препарате (в которой не вводили опытные соединения). Полученные результаты представлены в Таблице II. ИССЛЕДОВАНИЯ СОКРАЩЕНИЯ ВОРОТНОЙ ВЕНЫ И АОРТЫ КРЫСЫ: Самцам крыс Sprague Dawley ломают позвоночник в шейном отделе и забирают аорту и воротную вену, которые очищают от окружающих тканей. Продольные полосы (одна от каждого животного) тканей воротной вены (3 мм шириной, 10-15 мм длиной) и кольцевые препараты эндотелия ( 2 мм шириной) аорты подвешивают (растяжение: воротная вена = 0,5 г; аорта – 2 г) в жидкости для органов, содержащей 10 мл физиологического раствора (состав: NaCl (118 мМ), КСl (4,7 мМ), СаСl2 (2,5 мМ), КН2РO4 (1,2 мМ), MgSO4 (1,2 мМ), NаНСО3 (25 мМ), глюкоза (11 мМ)) с температурой 37oС и газовым составом 95% О2/5% CO2. Ответные сокращения измеряют с помощью трансдукторов с принудительным перемещением, подсоединенных к полиграфу Could 8000 S или к системе рекуперации данных (IOS, Dei Lierre, Mitry-Mory, Франция). Перед началом эксперимента предусматривают период уравновешивания, или часовое уравновешивание. После уравновешивания, препараты сенсибилизируют субмаксимальной концентрацией фенилэфрина (1 мкМ для аорты; 3 мкМ для воротной вены). Когда вызванное фенилэфрином сокращение стабилизируется, отсутствие расслабления после добавления карбахола (10 мкМ) указывает на удавшуюся дезорганизацию эндотелия аорты. Через семьдесят пять минут после сенсибилизации выстраивают кривую концентрация-эффект для фенилэфрина. Для определения эффекта действия опытных соединений используют параллельно различные препараты. Один служит для контроля, а остальные получают различные опытные соединения, которые вводят в жидкость с препаратами за 60 минут до введения фенилэфрина.
Результаты выражают в виде средних S. E. M. или процента сокращения. Максимальное ответное сокращение каждого препарата, подвергавшегося воздействию опытного соединения, определяют сравнением ответа, вызванного применением сенсибилизирующей концентрации фенилэфрина, с ответом, вызванным в контрольном препарате (в который вводили только фенилэфрин). Значения EC50 рассчитывают на основе максимального ответного сокращения с помощью компьютерного анализа, используя линейную регрессию значений среднего растяжения. Константы диссоциации (Kb) опытных соединений рассчитывают для каждого опытного соединения по следующему уравнению: Kb= [В] /(соотношение доз – 1), где [В] представляет собой концентрацию опытного соединения, а (соотношение доз) EC50 агониста в присутствии опытного соединения, деленную на EC50 в контрольном препарате.
В таблице III представлена Kb соединения 45 и 1-антагониста – празозина (Sigma, Clery en Vescin, Франция).
ИССЛЕДОВАНИЯ СОКРАЩЕНИЯ АОРТЫ И ВОРОТНОЙ ВЕНЫ КРОЛИКА:Самцам кроликов New Zealand (2,5-3,5 кг, Dombes Romans, Франция) ломают шейный отдел позвоночника и забирают аорту и воротную вену, которые очищают от окружающих тканей. Продольные полосы (4 от каждого животного – 3 мм шириной, 10-15 мм длиной) или кольцевые препараты эндотелия (1 мм шириной) аорты подвешивают (растяжение: воротная вена = 0,5 г; аорта = 2 г) в жидкости для органов, содержащей 10 мл физиологического раствора (состав: NaCl (118 мМ), КСl (4,7 мМ), CaCl2 (2,5 мМ), КН2РO4 (1,2 мМ), MgSO4 (1,2 мМ), NaHCO3 (25 мМ), глюкоза (11 мМ)) с температурой 37oС и газовым составом 95% O2/5% СО2. Ответные сокращения измеряют с помощью трансдукторов с принудительным перемещением, подсоединенных к полиграфу Gould RS 3400. Перед началом эксперимента предусматривают период уравновешивания, или часовое уравновешивание. После уравновешивания препараты сенсибилизируют субмаксимальной концентрацией фенилэфрина (1 мкМ для воротной вены; 3 мкМ для аорты). Когда вызванное фенилэфрином сокращение стабилизируется, вводят карбахол (10 мкМ), чтобы проконтролировать дезорганизацию эндотелия в сосудах. Через семьдесят пять минут после сенсибилизации выстраивают кривую концентрация-эффект для фенилэфрина. Чтобы определить эффект действия опытных соединений, используют параллельно различные препараты. Один оставляют для контроля, а в остальные вводят различные концентрации опытных соединений, которые вносят в жидкости с препаратами за 60 минут до фенилэфрина. Результаты выражают в виде средних S. E. M. или процента сокращения. Максимальное ответное сокращение каждого препарата, подвергавшегося воздействию опытного соединения, определяют сравнением ответа, вызванного применением сенсибилизирующей концентрации фенилэфрина, с ответом, вызванным в контрольном препарате (в который вводили только фенилэфрин). Значения EC50 рассчитывают на основе максимального ответного сокращения с помощью компьютерного анализа, используя линейную регрессию значений среднего растяжения. Константы диссоциации опытных соединений (Kb) рассчитывают для каждого антагониста с помощью следующего уравнения: Kb= [В] /(соотношение доз – 1), где [В] представляет собой концентрацию опытного соединения, а (соотношение доз) EC50 агониста в присутствии опытного соединения, деленную на EC50 в контрольном препарате. В Таблице IV представлены Kb соединения 45 и Празозина.
Исследования сокращения бедренной вены кролика:Самцам кроликов New Zealand (2,5-3 кг, Dombes Romans, Франция) ломают шейный отдел позвоночника и забирают бедренную вену, которую очищают от окружающих тканей. Вырезают кольца шириной 2-3 мм, которые подвешивают при растяжении 1 г и t= 37oC в жидкости для органов, содержащей 10 мл физиологического раствора (состав: NaCl (118 мМ), КСl (4,7 мМ), СаСl2 (2,5 мМ), КН2РO4 (1,2 мМ), MgSO4 (1,2 мМ), NaHCO3 (25 мМ), глюкоза (11 мМ)) с температурой 37oС и газовым составом 95% O2/5% СО2. Ответные сокращения измеряют с помощью трансдукторов с принудительным перемещением, подсоединенных к полиграфу Gould RS 3400. Удаляют с помощью мелких щипцов эндотелий, в течение 5 минут проводят перфузию слабым током карбогена через вену. Перед началом эксперимента предусматривают период уравновешивания, или часовое уравновешивание. В течение этого периода уравновешивания ослабляют растяжение венозных колец и фиксируют конечное растяжение на уровне 0,5 г. После уравновешивания, препараты сенсибилизируют субмаксимальной концентрацией (3 мкМ) фенилэфрина. Когда вызванное фенилэфрином сокращение стабилизируется, вводят карбахол (10 мкМ), чтобы проконтролировать дезорганизацию эндотелия в сосудах. Через семьдесят пять минут после сенсибилизации выстраивают кривую концентрация-эффект для фенилэфрина. Для определения эффекта действия опытных соединений используют параллельно различные препараты. Один оставляют для контроля, а в остальные вводят различные опытные соединения, которые вносят в жидкость с препаратами за 60 минут до фенилэфрина. Результаты выражают в виде средних S. E. M. или процента сокращения. Максимальное ответное сокращение каждого препарата, подвергавшегося воздействию опытного соединения, определяют сравнением ответа, вызванного применением сенсибилизирующей концентрации фенилэфрина с ответом, вызванным в контрольном препарате (в который вводили только фенилэфрин). Значения ЕС50 рассчитывают на основе максимального ответного сокращения с помощью компьютерного анализа, используя линейную регрессию значений среднего растяжения. Константы диссоциации опытного соединения (Kb) рассчитывают для каждого опытного соединения с помощью следующего уравнения: Kb= [В] /соотношение доз – 1), где [В] представляет собой концентрацию опытного соединения, а (соотношение доз) EC50 агониста в присутствии опытного соединения, деленную на EC50 в контрольном препарате. В Таблице V представлена Kb соединения 45 и Празозина.
Другие способы осуществления:Само собой, представленное детальное описание изобретения носит иллюстративный, а не лимитирующий характер; границы изобретения определяются в приложенной формуле изобретения. В нее же включены прочие аспекты, преимущества и модификации. Формула изобретения
![]() в которой R1 представляет собой водород или низший алкил; R2 представляет собой водород, низший алкил, ОR6, SR6, NHSO2R6, С(О)NR6R7, NR6R7 или N(R7)C(О)R6; R3 и R4 представляют собой, независимо один от другого, водород или возможно замещенные: низший алкил, циклоалкил, арил, такой как фенил или нафтил, или бензил, где указанный заместитель является галогеном, гидроксилом, низшим алкилом, низшим алкоксилом или фенилом; или R3 и R4 вместе с атомом углерода, с которым они связаны, образуют 9-ксантенил или 9-флуоренил; R5 является замещенным фенилом, в котором указанный заместитель является низшим алкилом, -CN, галогеном, гидрокси-низшим алкилом, гидроксициклоалкилом, низшим алкокси-низшим алкилом или низшим алкоксилом; R6 и R7 представляют собой, независимо один от другого, водород или возможно замещенные: низший алкил, фенил или бензил, в котором указанный заместитель является низшим алкилом; за исключением случая, когда R3 и R4 обозначают водород, а R2 обозначает гидроксил; или одна из его фармацевтически приемлемых солей. 2. Соединение по п. 1, в котором R2 представляет собой водород, низший алкил, ОR6, где R6 представляет собой водород или бензил, SR6, где R6 представляет собой низший алкил, NH2, NHSO2R6, где R6 представляет собой низший алкил или бензил, С(О)NR6R7, или N(R7)C(O)R6, где R7 представляет собой водород, а R6 представляет собой бензил; или одна из его фармацевтически приемлемых солей. 3. Соединение по п. 2, в котором R3 и R4 представляют собой, независимо один от другого, водород или возможно замещенные: низший алкил, циклоалкил или арил, такой как фенил или нафтил, где указанный заместитель является галогеном, низшим алкоксилом или фенилом; или одна из его фармацевтически приемлемых солей. 4. Соединение по п. 3, в котором R1 представляет собой водород, а R5 представляет собой 2,5-диметилфенил; или одна из его фармацевтически приемлемых солей. 5. Соединение по п. 4, в котором R2 представляет собой OR6, где R6 представляет собой водород, низший алкил или бензил; или одна из его фармацевтически приемлемых солей. 6. Соединение по п. 4, в котором R3 представляет собой низший алкил, а R4 представляет собой фенил; или одна из его фармацевтически приемлемых солей. 7. Соединение по п. 2, в котором R3 и R4 вместе с атомом углерода, с которым они связаны, образуют 9-ксантенил или 9-флуоренил; или одна из его фармацевтически приемлемых солей. 8. Соединение по п. 7, в котором R1 представляет собой водород, а R5 представляет собой 2-метоксифенил или 2,5-диметилфенил; или одна из его фармацевтически приемлемых солей. 9. Соединение по п. 8, в котором R2 представляет собой OR6, где R6 представляет собой водород, низший алкил или бензил; или одна из его фармацевтически приемлемых солей. 10. Соединение по п. 1, отвечающее формуле ![]() ![]() ![]() ![]() ![]() ![]() ![]() ![]() ![]() ![]() ![]() ![]() ![]() ![]() ![]() ![]() ![]() ![]() ![]() ![]() ![]() ![]() ![]() ![]() ![]() ![]() ![]() ![]() ![]() ![]() ![]() ![]() ![]() ![]() ![]() ![]() ![]() ![]() ![]() ![]() ![]() ![]() ![]() ![]() ![]() ![]() ![]() ![]() ![]() ![]() ![]() ![]() ![]() ![]() ![]() ![]() или одна из его фармацевтически приемлемых солей. 11. Соединение по п. 1, отвечающее формуле ![]() или одна из его фармацевтически приемлемых солей. 12. Фармацевтическая композиция, обладающая сродством к 1-адренэргическим рецепторам, включающая в себя, в качестве активного начала, соединение формулы Iа![]() в которой R1 представляет собой водород или низший алкил; R2 представляет собой водород, низший алкил, OR6, SR6, NHSO2R6, C(O)NR6R7, NR6R7 или N(R7)С(O)R6; R3 и R4 представляют собой, независимо один от другого, водород или возможно замещенные: низший алкил, циклоалкил, арил, такой как фенил или нафтил, или бензил, где указанный заместитель является галогеном, гидроксилом, низшим алкилом, низшим алкоксилом или фенилом; или R3 и R4 вместе с атомом углерода, с которым они связаны, образуют 9-ксантенил или 9-флуоренил; R5 является замещенным фенилом, в котором указанный заместитель является низшим алкилом, -CN, галогеном, гидрокси-низшим алкилом, гидрокси-циклоалкилом, низшим алкокси-низшим алкилом или низшим алкоксилом; и R6 и R7 представляют собой, независимо один от другого, водород или возможно замещенные: низший алкил, фенил или бензил, где указанный заместитель является низшим алкилом; или одну из его фармацевтически приемлемых солей. 13. Фармацевтическая композиция по п. 12, в которой R1 представляет собой водород, а R5 представляет собой 2,5-диметилфенил. 14. Фармацевтическая композиция по п. 13, в которой R2 представляет собой ОR6, где R6 является водородом, низшим алкилом или бензилом, R3 представляет собой низший алкил, а R4 представляет собой фенил. 15. Фармацевтическая композиция по п. 14, в которой указанное соединение отвечает формуле ![]() 16. Соединение формулы Iа, как она определена в п. 12, предназначенное для получения лекарственного средства для лечения портальной гипертонии. 17. Соединение формулы Iа, как она определена в одном из пп. 13-15, предназначенное для получения лекарственного средства для лечения портальной гипертонии. 18. Соединение формулы Iа, как она определена в п. 12, предназначенное для получения лекарственного средства для лечения цирроза. 19. Соединение формулы Iа, как она определена в одном из пп. 13-15, предназначенное для получения лекарственного средства для лечения цирроза. РИСУНКИ
PD4A – Изменение наименования обладателя патента СССР или патента Российской Федерации на изобретение
(73) Новое наименование патентообладателя:
Адрес для переписки:
Извещение опубликовано: 27.04.2010 БИ: 12/2010
|
||||||||||||||||||||||||||

1-адренэргическому рецептору и полезны в качестве медикаментов для лечения портальной гипертонии и цирроза. 6 с. и 13 з. п. ф-лы, 5 табл.
-адренэргическими рецепторами. 


























































CHF, CHR10, CR10R11, CF2,










100 мл), NaOH 1 N (2
): 7,40 (м, 10Н, 2
); 2,88 (м, 1Н,
); 1,63 (м, 2Н, CH2).
1.2)
); 3,09 (т, 2Н,
); 2,00 (м, 2Н, CH2).
1.3) Дихлоргидрат
); 6,80 (м, 2Н,
); 6,70 (м, 1Н,
); 6,34 (шир. с. , 1H, ОН); 3,75 (д, 2Н,
); 3,45 (д, 2Н,
); 3,10 (м, 8Н, пиперазин); 2,27 (с, 3Н, СН3); 1,91 (м, 2Н, СН2).
Элементный анализ для С28Н33N3O2, 2НСl:
); 7,00 (м, 2Н,
), 4,49 (шир. с. , 1H, ОН); 3,44 (д, 2Н,
); 3,23 (м, 2Н,
); 3,09 (м, 8Н, пиперазин); 2,26 (с, 3Н, СН3); 1,94 (м, 2Н, CH2).
Элементный анализ для С28Н33N3О2, 2НСl, 0,5 Н20:
); 6,78 (шир. с. , 1Н, ОН); 3,68 (д, 2Н,
); 3,45 (д, 2Н,
); 3,15 (м, 8Н, пиперазин); 2,22 (с, 3Н, СН3); 1,93 (м, 2Н, CH2).
Элементный анализ для С28Н33N3O2, 2НСl:
); 6,93 (м, 1Н,
); 6,89 (м, 1Н,
); 4,34 (шир. с. , 1H, ОН); 3,43 (д, 2Н,
); 3,23 (м, 2Н,
); 3,06 (м, 8Н, пиперазин); 2,22 (с, 3Н, СН3); 2,17 (с, 3Н, СН3); 1, 93 (м, 2Н, СН2).
Элементный анализ для С29Н35N3O2, НСl, 0,25 Н2О:
); 6,75 (шир. с. , ОН, СООН); 6,62 (с, 2Н, СН= СН); 3,39 (м, 2Н,
); 2,87 (шир. с. , 4Н, пиперазин); 2,71 (шир. с. , 4Н, пиперазин); 2,56 (м, 2Н,
); 2,20 (с, 6Н, 2
); 6,97 (м, 2Н,
); 3,65 (т, 2Н,
); 3,34 (шир. с. , 1Н, ОН); 3,71-2,93 (м, 8Н, пиперазин); 3,22 (м, 2Н,
); 2,29 (с, 3Н, СН3); 2,27 (с, 3Н, СН3); 1,93 (м, 2Н, СН2).
Элементный анализ для С29H35N3O2, НСl, 0,5 H2O:
, J= 7,5 Гц); 6,82 (д, 2Н,
); 6,90 (шир. с. , 1Н, ОН); 3,43 (м, 2Н,
); 3,22 (м, 2Н,
); 3,10 (м, 8Н, пиперазин); 2,26 (с, 3Н, СН3); 2,20 (с, 3Н, СН3); 1,93 (м, 2Н, СН2).
Элементный анализ для С30Н37N3O2, 1,5 НСl, 0,25 Н2О:
); 5,36 (шир. с. , 1Н, ОН); 4,04 (кв, 2H, OCH2, J= 6,95 Гц); 3,48 (м, 4Н,
); 3,22 (м, 2H,
); 3,05 (м, 6Н, пиперазин); 1,93 (м, 2H, СН2); 1,37 (т, 3Н, СН3).
Элементный анализ для С29Н35N3О2, 2 НСl, 0,25 H2O:
); 3,00 (шир. с. , 4Н, пиперазин); 2,58 (шир. с. , 4Н, пиперазин); 2,43 (м, 2Н, CH2-N); 1,66 (м, 2Н, СН2).
Элементный анализ для С27Н30СlN3O2, фумарат:
); 3,35 (м, ОН + пиперазин); 3,22 (м, 2Н,
); 3,10 (м, 4Н, пиперазин); 1,93 (м, 2Н, CH2).
Элементный анализ для C28H30N4O2, HCl, H2O:
); 6,82 (м, 2Н,
); 3,38 (м, 2Н,
); 3,21 (м, 2Н,
); 3,17-2,80 (м, 8Н, пиперазин); 2,98 (с, 3Н, ОСН3); 2,26 (с, 3Н, СН3); 2,21 (с, 3Н, СН3); 1,90 (м, 2Н, CH2).
Элементный анализ для С30Н37N3O2, НСl, H2O:
, J= 7,5 Гц); 6,82 (д, 2Н,
); 3,54 (м, 2Н,
); 3,28-3,10 (м, 8Н, пиперазин); 2,27 (с, 3Н, СН3); 2,18 (с, 3Н, СН3); 2,10 (м, 2Н, CH2).
Пример 13: Дихлоргидрат N-[3-{ 4-(2-метоксифенил)-1-пиперазинил} -пропил] –
); 4,88 (с, 1Н, СН); 3,90 (с, 3Н, ОСН3); 3,40 (м, 2Н,
); 3,15-2,50 (м, 8Н, пиперазин); 2,50 (м, 2Н,
); 1,70 (м, 2Н, СН2).
Элементный анализ для С28Н33N3О2, 2 НСl:
); 4,85 (шир. с. , 1Н, ОН); 3,80 (с, 3Н, ОСН3); 3,45 (м, 2Н,
); 3,21 (м, 2Н,
); 3,40-2,95 (м, 8Н, пиперазин); 1,92 (м, 2Н, СН2).
Элементный анализ для С28Н33N3О3, 2 НСl, 0,25 Н2O:
); 3,00-2,30 (м, 8Н, пиперазин); 2,25 (м, 2Н,
); 1,60 (м, 2Н, СН2).
Элементный анализ для С28Н31N3O3, 2 НСl:
); 6,30 (м, 1Н, NH-CO); 3,85 (с, 3Н, ОСН3); 3,30 (м, 2Н, CH2-NH-CO); 2,90-2,30 (м, 8Н, пиперазин); 2,20 (м, 2Н,
); 1,65 (м, 3Н, ОН-СН2).
Элементный анализ для С28Н31N3O3, 2 НСl, Н2O:
); 3,10-2,40 (м, 8Н, пиперазин); 2,50 (м, 2Н,
); 1,80 (м, 2Н, СН2).
Элементный анализ для C28H31Cl2N3O3, HCl, H2O:
)-
); 3,42-2,90 (м, 8Н, пиперазин); 3,05 (м, 2Н,
); 2,00-0,68 (м, 13Н, циклогексил+СН2).
Элементный анализ для С28Н39N3O2, 2 НСl, H2O:
); 3,25-3,02 (м, 10Н,
); 1,90 (м, 2Н, CH2).
Элементный анализ для С22Н29N3O3, 2 НСl, H2O:
J= 7,5 Гц); 6,80 (м, 2Н,
); 3,10 (м, 12Н,
); 2,30 (с, 3Н, СН3); 2,26 (с, 3Н, СН3); 1,70 (м, 2Н, СН2); 1,62 (с, NH2).
20.2) N-[3-{ 4-(2,5-диметилфенил) -1-пиперазинил} -пропил]
); 4,99 (с, 1Н, СН); 3,44 (м, 2Н,
); 3,18 (м, 2Н,
); 3,12 (м, 8Н, пиперазин); 2,26 (с, 3Н, СН3); 2,19 (с, 3Н, СН3); 1,91 (м, 2Н, CH2).
Элементный анализ для С29Н35N3О, 1,5 НСl, Н2О:
); 6,75 (д, 1Н,
); 6,61 (с, 2Н, СН= СН); 4,95 (с, 1Н, СН); 3,13 (м, 2Н,
); 2,81 (шир. с. , 4Н, пиперазин); 2,52 (шир. с. , 4Н, пиперазин); 2,38 (м, 2Н, CH2-N); 2,23 (с, 3Н, СН3); 2,17 (с, 3Н, СН3); 1,62 (м, 2Н, CH2).
Элементный анализ для С29Н33Сl2N3О, фумарата:
J= 8 Гц); 6,82 (м, 2Н,
); 4,87 (шир. с. , ОН); 3,39 (м, 2Н,
); 3,17-2,97 (м, 10Н,
); 2,26 (с, 3Н,
); 2,20 (с, 3Н,
); 1,86 (м, 2Н, СН2); 1,64 (с, 3Н, СН3).
Элементный анализ для С24Н33N3O2, 1,25 НСl, 0,75 Н2О:
J= 8 Гц); 6,82 (м, 2Н,
); 6,56 (шир. с. , 1Н, +NH); 3,39 (м, 2Н,
); 3,20-2,97 (м, 10Н,
); 2,26 (с, 3Н,
); 2,21 (с, 3Н,
); 1,88 (м, 5Н, СН2+СН3).
Элементный анализ для С30Н37N3О, 1,5 НСl, 1,25 H2O:
); 6,60 (с, 1H, 1/2 СН= СН); 3,60 (шир. с. , СООН); 3,19 (м, 2Н,
); 2,77 (шир. с. , 4Н, пиперазин); 2,50 (м, 4Н, пиперазин); 2,33 (м, 2Н,
); 2,24 (с, 3Н,
); 2,16 (м, 5Н,
); 1,62 (м, 2Н, СН2); 0,99 (т, 3Н,
J= 7,5 Гц).
Элементный анализ для С31Н39N3OS, 0,5 фумарата:
J= 8,6 Гц); 7,05 (д, 1Н,
J= 7,7 Гц); 6,87 (д, 4Н,
); 6,83 (м, 2Н,
); 3,73 (с, 6Н, 2
); 3,30-2,95 (м, 10Н,
); 2,26 (с, 3Н,
); 2,20 (с, 3Н,
); 1,94 (м, 2Н, СН2).
Пример 26: Дихлоргидрат, моногидрат N-[3-{ 4-(2,5-диметилфенил)-1-пиперазинил} -пропил] -2-этил-2-фенил-бутирамида (Соединение 26):
J= 8 Гц); 6,82 (м, 2Н,
); 3,40 (м, 2Н,
); 3,05 (м, 8Н, пиперазин); 2,92 (м, 2Н,
); 2,26 (с, 3Н,
); 2,20 (с, 3Н,
); 1,91 (м, 6Н, 3
J= 7,2 Гц).
Элементный анализ для C27H39N3O, 2 НСl, Н2О:
J= 7,5 Гц); 6,81 (с, 1Н,
); 6,76 (д, 1Н,
); 6,60 (с, 2Н, СН= СН); 3,10 (м, 2Н,
); 2,86 (шир. с. , 4Н, пиперазин); 2,58 (шир. с. , 4Н, пиперазин); 2,41 (м, 2Н, CH2-N); 2,24 (с, 3Н, СН3); 2,21 (м, 1Н,
); 2,17 (с, 3Н, СН3); 1,86 (м, 1Н,
); 1,60 (м, 2Н, СН2); 0,79 (т, 3Н, СН2-СН3, J= 7,2 Гц).
Элементный анализ для С25Н35N3O2, фумарата:
); 1,33 (м, 4Н, CH2-CH2); 0,90 (м, 3Н, СН3).
28.2) Фумарат (
J= 7,5 Гц); 6,81 (s, 1H,
); 6,76 (д, 1Н,
); 6,60 (с, 2Н, СН= СН); 5,85 (шир. с. , ОН+СООН); 3,10 (м, 2Н,
); 2,85 (шир. с. , 4Н, пиперазин); 2,57 (шир. с. , 4Н, пиперазин); 2,39 (м, 2Н, CH2-N); 2,24 (с, 3Н,
); 2,17 (с, 3Н,
); 2,14 (м, 1H,
); 1,84 (м, 1H,
); 1,59 (м, 2Н, CH2); 1,25 (м, 4Н,
); 1,18 (т, 3Н,
J= 6,9 Гц).
Элементный анализ для С27Н39N3O2, фумарата:
); 7,62 (м, 1Н,
); 7,34 (м, 3Н,
); 7,03 (д, 1Н,
J= 7,5 Гц); 6,78 (м, 2Н,
); 6,61 (с, 2Н, СН= СН); 6,02 (шир. с. , ОН+СООН); 3,19 (м, 2Н,
); 2,90 (шир. с. , 4Н, пиперазин); 2,76 (шир. с. , 4Н, пиперазин); 2,62 (м, 2Н, CH2-N); 2,24 (с, 3Н, СН3); 2,18 (с, 3Н, СН3); 1,72 (м, 5Н, CH2+СН3).
Элементный анализ для С24Н32СlN3O2, фумарата, Н2O;
J= 8 Гц); 6,82 (м, 2Н,
); 5,70 (шир. с. , ОН); 3,44 (м, 2Н,
); 3,16-2,99 (м, 10Н,
); 2,26 (с, 3Н,
); 2,20 (с, 3Н,
); 1,87 (м, 2Н, СН2); 1,62 (с, 3Н, СН3).
Элементный анализ для С24Н32СlN3О2, 1,25 НСl, 0,5 H2O:
); 2,86 (шир. с. , 4Н, пиперазин); 2,58 (шир. с. , 4Н, пиперазин); 2,40 (м, 2Н, CH2-N); 2,24 (с, 3Н,
); 2,18 (с, 3Н,
); 1,59 (м, 5Н, СН2+СН3).
Элементный анализ для С24Н32СlN3O2 фумарата:
J= 7,5 Гц); 6,85 (с, 1Н,
); 6,79 (д, 1Н,
); 5,90 (м, 1Н,
); 5,10 (д, 1Н, СН); 3,38 (м, 2Н,
); 3,00-2,30 (м, 10Н, пиперазин + CH2-N); 2,35 (с, 3Н, СН3); 2,25 (с, 3Н, СН3); 1,65 (м, 2Н, CH2); 1,40 (с, 9Н, tBu).
32.2) Дифумарат (
J= 7,5 Гц); 6,79 (с, 1Н,
); 6,75 (д, 1Н,
); 6,55 (с, 4Н, 2
); 2,80 (шир. с. , 4Н, пиперазин); 2,50 (шир. с. , 4Н, пиперазин); 2,32 (м, 2Н, CH2-N); 2,23 (с, 3Н, СН3); 2,17 (с, 3Н, СН3); 1,59 (м, 2Н, CH2).
Элементный анализ для С23Н32N4O, дифумарата:
J= 7,5 Гц); 6,82 (м, 2Н,
); 5,03 (д, 1Н, СН, J= 6,8 Гц); 3,48 (м, 2Н,
); 3,09 (м, 10Н,
); 2,76 (с, 3Н, СН3-SО2); 2,26 (с, 3Н,
); 2,20 (с, 3Н,
); 1,90 (м, 2Н, СН2); 1,62 (с, 3Н, СН3).
Элементный анализ для С24Н34СlN4O3S, НСl, 0,5 Н2О:
); 6,61 (с, 2Н, СН= СР); 5,30 (шир. с. , ОН+СООН); 3,69 (с, 3Н, ОСН3); 3,16 (м, 1Н,
); 2,95 (м, 1Н,
); 2,82 (шир. с. , 4Н, пиперазин); 2,78 (АВ, 2Н,
, Jab= 13,35 Гц); 2,50 (шир. с. , 4Н, пиперазин); 2,32 (м, 2Н, CH2-N); 2,25 (с, 3Н, СН3); 2,17 (с, 3Н, СН3); 1,47 (м, 2Н, СН3); 1,26 (с, 3Н, СН3).
Элементный анализ для С26Н37N3O3, фумарата:
J= 7,5 Гц); 6,77 (м, 2Н,
); 6,61 (с, 1,5Н, 0,75 СН= СН); 5,52 (с, 0,5Н, СН); 5,45 (с, 0,5Н, СН); 3,37 (м, 2Н,
); 2,98 (с, 1,5Н, NCH3); 2,86 (с, 1,5Н, NСН3); 2,82 (шир. с. , 4Н, пиперазин); 2,60 (шир. с. , 4Н, пиперазин); 2,40 (м, 1Н, CH2-N); 2,34 (м, 1Н, CH2-N); 2,23 (с, 3Н,
); 2,17 (с, 3Н,
); 1,67 (м, 2Н, СН2).
Элементный анализ для С30Н37N3О, 0,75 фумарата:
); 7,47 (м, 1Н,
); 7,32 (с, 5Н, Ph); 7,10 (м, 2Н,
); 3,60 (с, 2Н,
); 3,12 (м, 4Н, пиперазин); 2,68 (м, 4Н, пиперазин).
36.2) (
); 2,98 (м, 4Н, пиперазин); 2,60 (м, 4Н, пиперазин); 1,78 (м, 2Н,
); 1,00 (т, 3Н,
, J= 7 Гц).
36.3) (
); 1,05 (т, 3Н,
, J= 7 Гц).
36.4 N-(3-гидроксипропил)-
); 3,41 (м, 2Н,
); 3,18 (шир. с. , ОН); 1,60 (м, 2Н, СН2).
36.5 N-(3-йодпропид)-
J= 6,53 Гц); 3,09 (т, 2Н, CH2I, J= 6,75 Гц); 2,02 (м, 2Н, СН2).
36.6) Фумарат (
); 3,13 (м, 2Н,
); 2,95 (м, 2Н, пиперазин); 2,69 (м, 2Н, пиперазин); 2,50 (шир. с. , 4Н, пиперазин); 2,37 (м, 2Н, CH2N); 1,55 (м, 4Н,
); 0,86 (т, 3Н,
J= 7,4 Гц).
Элементный анализ для С30Н37N3O2, фумарата:
); 3,19 (с, 3Н, ОСН3); 3,10-2,40 (м, 8Н, пиперазин); 1,70 (м, 2Н,
); 0,92 (т, 3Н,
J= 7,0 Гц).
37.2) (
); 0,92 (т, 3Н,
J= 7,0 Гц).
37.3) Фумарат (
); 3,14 (м, 2Н,
); 3,07 (с, 3Н, ОСН3); 2,95-2,50 (м, 8Н, пиперазин); 2,43 (м, 2Н, CH2N); 1,60 (м, 4Н,
); 0,86 (т, 3Н,
J= 7,33 Гц).
Пример 38: Фумарат (
J= 7,5 Гц); 6,80 (с, 1Н,
); 6,78 (д, 1H,
); 6,60 (с, 2Н, СН= СН); 3,58 (м, 1Н, СН); 3,07 (м, 2Н,
); 2,82 (шир. с. , 4Н, пиперазин); 2,57 (шир. с. , 4Н, пиперазин); 2,39 (м, 2Н, CH2-N); 2,23 (с, 3Н,
); 2,17 (с, 3Н,
); 1,59 (м, 2Н, СН2); 1,32 (д, 3Н, СН3, J= 7 Гц).
Элементный анализ для C24H33N3O, фумарата:
J= 7,6 Гц); 6,82 (м, 2Н,
); 4,48 (шир. с. , 1Н, ОН); 3,96 (м, 1Н, СН); 3,61 (м, 1Н,
); 3,53 (м, 1Н,
); 3,45 (м, 2Н,
); 3,17 (м, 2Н,
); 3,10 (м, 10Н, пиперазин); 2,26 (с, 3Н,
); 2,20 (с, 3Н,
); 1,87 (м, 2Н, CH2).
Элементный анализ для С24Н33N3О2, НСl, 0,5 H2O:
).
40.2) (
, J= 8,7 Гц); 7,06 (д, 1Н,
J= 7,57 Гц); 6,86 (д, 2Н,
); 6,81 (с, 1Н,
); 6,76 (д, 1Н,
); 6,60 (с, 2,5Н, 1,25 -СН= СН-); 3,71 (с, 3Н, ОСН3); 3,10 (м, 2Н,
); 2,86 (шир. с. , 4Н, пиперазин); 2,59 (шир. с. , 4Н, пиперазин); 2,41 (м, 2Н, CH2-N); 2,24 (с, 3Н,
); 2,17 (с, 3Н, Ph-СН3); 1,59 (м, 5Н, СН2, СН3).
Элементный анализ для С25Н35N3О3, 1,25 фумарата, 0,6 H2O:
J= 7,0 Гц); 3,78 (с, 1Н, ОН); 2,40 (с, 3Н, Ph-СН3); 1,75 (с, 3Н, СН3); 1,30 (т, 3Н,
).
41.2) (
); 1,81 (с, 3Н, СН3).
41.3) Дихдоргидрат (
J= 8 Гц); 7,20 (д, 2Н,
); 7,06 (д, 1Н,
J= 7,9 Гц); 6,82 (м, 2Н,
); 5,23 (шир. с. , ОН); 3,41 (м, 2Н,
); 3,10 (м, 10Н,
); 2,26 (с, 6Н,
); 2,20 (с, 3Н,
); 1,86 (м, 2Н, СН2); 1,61 (с, 3Н, СН3).
Элементный анализ для C25H35N3O2, 2 НСl:
).
42.2) (
J= 7,52 Гц); 6,79 (с, 1Н,
); 6,74 (д, 1Н,
); 6,60 (с, 2Н, -СН= СН-); 6,25 (шир. с. , 1Н, ОН); 3,19 (м, 2Н,
); 2,84 (шир. с. , 4Н, пиперазин); 2,56 (шир. с. , 4Н, пиперазин); 2,43 (м, 2Н, СН2-N); 2,22 (с, 3Н,
); 2,17 (с, 3Н,
); 1,83 (с, 3Н, СН3); 1,66 (м, 2Н, CH2).
Элементный анализ для С28Н35N3O2, фумарата:
).
43.2) (
J= 7,57 Гц); 6,80 (с, 3Н,
); 6,76 (д, 1Н,
); 6,61 (с, 1,5Н, 0,75
); 2,82 (шир. с. , 4Н, пиперазин); 2,54 (шир. с. , 4Н, пиперазин); 2,39 (м, 2Н, CH2-N); 2,24 (с, 3Н,
); 2,16 (с, 3Н,
); 1,73 (с, 3Н, СН3); 1,16 (м, 2Н, CH2).
Элементный анализ для C28H35N3O2, 0,75 фумарата:
).
44.2) (
J= 7,54 Гц); 6,79 (с, 1Н,
); 6,75 (д, 1Н,
); 6,61 (с, 2Н, -СН= СН-); 3,12 (м, 2Н,
); 2,89 (шир. с. , 4Н, пиперазин); 2,50 (шир. с. , 4Н, пиперазин); 2,39 (м, 2Н, CH2-N); 2,23 (с, 3Н,
); 2,15 (с, 3Н,
); 1,68 (С, 3Н, СН3); 1,16 (м, 2Н, СН2).
Элементный анализ для C30H37N3O2, фумарата:
J= 7,57 Гц); 6,81 (с, 1H,
); 6,76 (д, 1H,
); 6,60 (с, 2Н, -СН= СН-); 3,10 (м, 2Н,
); 2,86 (шир. с. , 4Н, пиперазин); 2,58 (шир. с. , 4Н, пиперазин); 2,41 (м, 2Н, CH2-N); 2,24 (с, 3Н,
); 2,17 (с, 3Н,
); 1,61 (С, 3Н, СН3); 1,59 (м, 2Н, СН2).
Элементный анализ для C24H33N3O2, фумарата:
J= 7,51 Гц); 6,80 (с, 1Н,
); 6,76 (д, 1Н,
); 6,61 (с, 2Н, -СН= СН-); 4,47 (с, 1Н, СН); 4,31 (м, 2Н,
); 3,15 (м, 2Н,
); 2,83 (шир. с. , 4Н, пиперазин); 2,58 (шир. с. , 4Н, пиперазин); 2,42 (м, 2Н, CH2-N); 2,23 (с, 3Н,
); 2,17 (с, 3Н,
); 1,63 (м, 2Н, СН2).
Элементный анализ для C31H38N4O2, фумарата:
J= 7,05 Гц); 6,83 (шир. с. , 2Н,
); 4,92 (д, 1Н, СН, J= 8,80 Гц); 3,37 (м, 2Н,
); 3,12 (шир. с. , 4Н, пиперазин); 2,97 (м, 6Н, пиперазин,
); 2,35 (с, 3Н,
); 2,26 (с, 3Н,
); 2,20 (с, 3Н,
); 1,77 (м, 2Н, СН2).
Элементный анализ для С30Н38N4O3S, 1,5 НСl, 0,5 Н2О:
J= 8,0 Гц); 8,32 (м, 1Н, NH-CO); 7,42-7,20 (м, 10Н, 2
J= 7,52 Гц); 6,80 (с, 1Н,
); 6,75 (с, 1Н,
); 6,61 (с, 2Н, -СН= СН-); 5,43
); 3,10 (м, 2Н,
); 2,80 (шир. с. , 4Н, пиперазин); 2,50 (шир. с. , 4Н, пиперазин); 2,34 (м, 2Н, CH2-N); 2,23 (с, 3Н,
); 2,17 (с, 3Н,
); 1,58 (м, 2Н, СН2).
Элементный анализ для С31Н38N4O2, фумарата, 0,5 Н2O:
).
50.2) Сложный моноэтил-эфир (
).
50.3) Сложный этил-эфир (
).
50.4) (
); 7,93 (м, 1Н, NH-CO); 7,26 (м, 10Н, 2
J= 7,52 Гц); 6,79 (с, 1H,
); 6,75 (д, 1Н,
); 6,61 (с, 2Н, -СН= СН-); 4,33 (д, 2Н,
J= 5,85 Гц); 3,19 (м, 2Н,
); 2,79 (шир. с. , 4Н, пиперазин); 2,54 (шир. с. , 4Н, пиперазин); 2,39 (м, 2Н, CH2-N); 2,24 (с, 3Н,
); 2,17 (с, 3Н,
); 1,71 (с, 3Н, СН3); 1,63 (м, 2Н, CH2).
Элементный анализ для C32H40N4O2, фумарата, 0,5 Н2O:
J= 7,54 Гц); 6,80 (с, 1Н,
); 6,75 (С, 1Н,
); 6,60 (с, 1Н, 0,5
); 2,84 (шир. с. , 4Н, пиперазин); 2,54 (шир. с. , 4Н, пиперазин); 2,37 (м, 2Н, CH2-N); 2,23 (с, 3Н,
); 2,18 (с, 3Н,
); 1,64 (с, 3Н, СН3); 1,61 (м, 2Н, СН2).
Элементный анализ для С25Н35N3О2, 0,5 фумарата:
J= 7,46 Гц); 6,74
); 6,71 (с, 1H,
); 6,61 (с, 1H, 0,5
Jab= 12,25 Гц); 3,17 (м, 2Н,
); 2,73 (шир. с. , 4Н, пиперазин); 2,50 (шир. с. , 4Н, пиперазин); 2,34 (м, 2Н, CH-N); 2,22 (с, 3Н,
); 2,15 (с, 3Н,
); 1,74 (с, 3Н, СН3); 1,61 (м, 2Н, СН3).
Элементный анализ для C31H39N3O2, 0,5 фумарата:
J= 7,52 Гц); 6,81 (с, 1Н,
); 6,76 (с, 1Н,
); 6,60 (с, 2Н, -СН= СН-); 3,10 (м, 2Н,
); 2,85 (шир. с. , 4Н, пиперазин); 2,56 (шир. с. , 4Н, пиперазин); 2,38 (м, 2Н, CH2-N); 2,24 (с, 3Н,
); 2,17 (с, 3Н,
); 1,59 (м, 5Н, СН3+CH2).
Элементный анализ для C24H31Cl2N3O2, фумарата:
J= 7,52 Гц); 6,81 (с, 1Н,
); 6,76 (д, 1Н,
); 6,60 (с, 2Н, -СН= СН-); 3,13 (м, 2Н,
); 2,88 (шир. с. , 4Н, пиперазин); 2,67 (шир. с. , 4Н, пиперазин); 2,38 (м, 2Н, CH2-N); 2,24 (с, 3Н,
); 2,18 (с, 3Н,
); 1,66 (м, 2Н, СН2); 1,24 (с, 6Н, 2
); 4,51 (д, 1H,
J= 6,71 Гц); 3,13 (м, 2Н,
); 3,00 (шир. с. , 2Н, пиперазин); 2,72 (шир. с. , 2Н, пиперазин); 2,58 (шир. с. , 4H, пиперазин); 2,41 (м, 2Н, СН2-N); 1,63 (м, 2Н, СН2); 1,05 (м, 1Н, СН); 0,36 (м, 4Н, циклопропан).
Элементный анализ для C31H37N3O2, 1,25 фумарата:
); 6,20 (м, 1,2 СН,
); 5,79 (м, 1,2 СН,
); 3,60 (м, 2Н,
); 3,00 (м, 4Н, пиперазин); 2,60 (м, 4Н, пиперазин); 1,90 (м, 3Н, СН3).
56.2) 1-[2-(1-пропенил)-фенил] -пиперазин:
); 1,68 (м, 2Н, СН2); 1,00 (т, 3Н, СН3, J= 7,0 Гц).
56.3) 0,75 фумарат (
); 2,84 (м, 4Н, пиперазин); 2,59 (м, 6Н,
); 2,44 (м, 2Н, CH2-N); 1,67 (м, 2Н, СН2); 1,60 (м, 2Н,
); 0,92 (т, 3Н, СН3, J= 7,46 Гц).
Элементный анализ для С30Н37N3O2, 0,75 фумарата:
2 мм шириной) аорты подвешивают (растяжение: воротная вена = 0,5 г; аорта – 2 г) в жидкости для органов, содержащей 10 мл физиологического раствора (состав: NaCl (118 мМ), КСl (4,7 мМ), СаСl2 (2,5 мМ), КН2РO4 (1,2 мМ), MgSO4 (1,2 мМ), NаНСО3 (25 мМ), глюкоза (11 мМ)) с температурой 37oС и газовым составом 95% О2/5% CO2. Ответные сокращения измеряют с помощью трансдукторов с принудительным перемещением, подсоединенных к полиграфу Could 8000 S или к системе рекуперации данных (IOS, Dei Lierre, Mitry-Mory, Франция). Перед началом эксперимента предусматривают период уравновешивания, или часовое уравновешивание. После уравновешивания, препараты сенсибилизируют субмаксимальной концентрацией фенилэфрина (1 мкМ для аорты; 3 мкМ для воротной вены). Когда вызванное фенилэфрином сокращение стабилизируется, отсутствие расслабления после добавления карбахола (10 мкМ) указывает на удавшуюся дезорганизацию эндотелия аорты. Через семьдесят пять минут после сенсибилизации выстраивают кривую концентрация-эффект для фенилэфрина. Для определения эффекта действия опытных соединений используют параллельно различные препараты. Один служит для контроля, а остальные получают различные опытные соединения, которые вводят в жидкость с препаратами за 60 минут до введения фенилэфрина.
Результаты выражают в виде средних 


























































