Патент на изобретение №2179553
|
||||||||||||||||||||||||||
(54) ЗАМЕЩЕННЫЕ БЕНЗИЛАМИНЫ И СОДЕРЖАЩАЯ ИХ ФАРМАЦЕВТИЧЕСКАЯ КОМПОЗИЦИЯ ДЛЯ ЛЕЧЕНИЯ ДЕПРЕССИИ
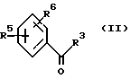
(57) Реферат: Изобретение относится к новым замещенным бензиламинам формулы I, каждый из R1 и R2, которые могут быть одинаковые или различные, выбирают из группы, включающей фенил, фенил-С1-алкил, в котором фенильная часть может быть необязательно замещена заместителем, выбранным из C1-6-алкокси, тиазолила, 1,2-бензизоксазолила, C1-6-алкилкарбоксамида, С2-4-гетероарил-С1-6-алкила; водород, С1-6-алкил, необязательно замещенный гидроксигруппой, С2-6-алкенил; каждый из R3 и R4, которые могут быть одинаковые или различные, выбирают из группы, включающей фенил, который может быть необязательно замещен галогеном, фенил- C1-6-алкил, С2-4-гетероарил-С1-6-алкил, водород, C1-6-алкил, С3-6-циклоалкил, С4-6-циклоалкенил, С2-6-алкенил, С2-6-алкинил, галоген- C1-6-алкенил, циано; или один из R3 и R4 вместе с одним из R1 и R2 и N-атомом, к которому они присоединены, образуют 5- или 6-членный гетероцикл; R5 – галоген, водород; R6 – заместитель кольца формулы II, где пунктирная линия представляет необязательную связь; Y – О или -NR8, R8 – водород или C1-6-алкил; R7 – водород, галоген, галоген-С1-6-алкил, или их фармацевтически приемлемые соли или сольваты. Фармацевтическая готовая препаративная форма обладает антидепрессивной активностью и содержит соединение формулы I и фармацевтически приемлемый носитель. 2 с. и 4 з. п. ф-лы, 2 табл. ![]()
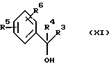
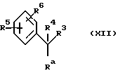
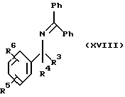
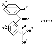
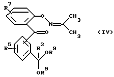
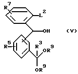
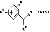
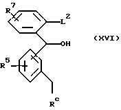
Изобретение относится к некоторым новым производным бензиламина, способам их получения, содержащим их фармацевтическим готовым препаративным формам и их использованию в медицинской терапии, особенно при лечении депрессии. В описании Европейского патента 0 299 349 описываются некоторые производные пропил-1,2-бензиоксазола, имеющие аналгезирующую и гипотензивную активность. Ряд производных арилэтиламина, которые можно использовать для лечения или профилактики нарушения мелатонинергической системы, описываются в патенте США 5 276 051. В настоящий момент обнаружена группа производных бензиламина, которые проявляют активность в качестве антидепрессантов и которые можно использовать при лечении ряда других, описанных здесь состояний. Таким образом, задачей настоящего изобретения является создание новых соединений формулы (I) ![]() где каждый из R1 и R2, которые могут быть одинаковые или разные, и каждые выбирают из группы, включающей С6-12-арил, С2-14-гетероарил, С6-12-арил-С1-6-алкил, С2-14-гетероарил-С1-6-алкил, где алкильная, арильная или гетероарильная часть может быть необязательно замещена одним или несколькими заместителями, выбранными из группы, включающей C1-6-алкокси, C1-6-алкил, С3-6-циклоалкил, С4-6-циклоалкенил, С6-12-арил, С2-14-гетероарил, галоген, амино, гидрокси, галоген-С1-6-алкил, нитро, C1-6-алкилтио, сульфонамид, C1-6-алкилсульфонил, гидрокси-С1-6-алкил, C1-6-алкоксикарбонил, карбоксил, карбокси-C1-6-алкил, карбоксамид и C1-6-алкилкарбоксамид, водород, C1-6-алкил, С3-6-циклоалкил, С3-6-циклоалкил-С1-6-алкил, С4-6-циклоалкенил, С2-6-алкенил, С2-6-алкинил и С1-6-алкокси-С1-6-алкил, где алкильные, циклоалкильные, циклоалкенильные, алкенильные, алкинильные или алкоксиалкильные части могут быть необязательно замещены одним или несколькими заместителями, выбранными из амино, галогена, гидрокси, C1-6-алкилкарбоксамида, карбоксамида, карбокси, C1-6-алкоксикарбонила, C1-6-алкилкарбокси и карбокси-С1-6-алкила или один из R1 и R2 такой, как определено выше, и один представляет гидроксигруппу; каждый из R3 и R4, которые могут быть одинаковые или разные, выбирают из группы, включающей С6-12-арил, С2-14-гетероарил, С6-12-арил-С1-6-алкил, С2-14-гетероарил-С1-6-алкил, где алкильная, арильная или гетероарильная часть может быть необязательно замещена одним или несколькими заместителями, выбранными из группы, включающей C1-6-алкокси, C1-6-алкил, С3-6-циклоалкил, С4-6-циклоалкенил, С6-12-арил, С2-14-гетероарил, галоген, амино, гидрокси, галоген-С1-6-алкил, нитро, C1-6-алкилтио, сульфонамид, C1-6-алкилсульфонил, гидрокси-С1-6-алкил, C1-6-алкоксикарбонил, карбоксил, карбокси-С1-6-алкил, C1-6-алкилкарбоксамид и карбоксамид; водород, C1-6-алкил, C3-6-циклоалкил, С3-6-циклоалкил-С1-6-алкил, С4-6-циклоалкенил, С2-6-алкенил, С2-6-алкинил, С1-6-алкокси-С1-6-алкил, галоген-С1-6-алкил, галоген-С2-6-алкенил, гaлoгeн-C2-6-алкинил, циано, карбоксил, C1-6-алкилкарбокси и карбокси-С1-6-алкил, где алкильные, циклоалкильные, циклоалкенильные, алкенильные, алкинильные или алкоксиалкильные части могут быть необязательно замещены одним или несколькими заместителями, выбранными из амино, гидрокси, C1-6-алкилкарбоксамида, карбоксамида, карбокси, C1-6-алкоксикарбонила, C1-6-алкилкарбокси и карбокси-С1-6-алкила или один из R3 и R4 вместе с одним из R1 и R2 и N-атомом, к которому они присоединены, образуют 5- или 6-членное гетероциклическое кольцо; R5 представляет один или несколько заместителей кольца, выбранных из галогена, водорода, C1-6-алкила и C1-6-алкокси; и R6 представляет один заместитель кольца формулы ![]() где пунктирная линия представляет необязательную связь; Y представляет кислород или -NR8, где R8 представляет водород или C1-6-алкил и R7 представляет один или несколько заместителей, выбранных из водорода, галогена, галоген-С1-6-алкила, C1-6-алкила и C1-6-алкокси; или их фармацевтически приемлемые соли или сольваты. Настоящее изобретение кроме того включает соединения формулы (I), где: 1. Один из R1 и R2 представляет водород и другой представляет С6-12-арил-С1-6-алкил, С2-14-гетероарил-С1-6-алкил, где алкильная, арильная или гетероарильная часть может быть необязательно замещена одним или несколькими заместителями кольца, выбранными из C1-6-алкокси, С2-14-гетероарила и карбоксамида; водород, C1-6-алкил, С2-6-алкенил и гидрокси; или их фармацевтически приемлемые соли или сольваты. 2. Один из R1 и R2 представляет водород и другой представляет С6-12-арил-С1-6-алкил, С2-14-гетероарил-С1-6-алкил, где алкильная, арильная или гетероарильная часть может быть необязательно замещены одним или несколькими заместителями кольца, выбранными из C1-6-алкокси, С2-14-гетероарила, С1-6-алкилкарбоксамида и карбоксамида; водород, C1-6-алкил, С2-6-алкенил или гидрокси, где алкильные или алкенильные части могут быть необязательно замещены одним или несколькими заместителями, выбранными из гидрокси, C1-6-алкилкарбокси и карбокси-С1-4-алкила; или их фармацевтически приемлемые соли или сольваты. 3. R1 и R2, оба представляют C1-6-алкил. 4. Один из R3 и R4 представляет водород и другой представляет С6-12-арил-С1-6-алкил, водород, C1-6-алкил, С2-6-алкенил, C2-6-алкинил, циано, или их фармацевтически приемлемые соли или сольваты. 5. Один из R3 и R4 представляет водород и другой представляет С6-12-арил, С6-12-арил-С1-6-алкил, где арильная часть может быть необязательно замещена галогеном; C1-6-алкилкарбокси, галоген-C1-6-алкил, галоген-С2-6-алкенил, С2-6-циклоалкил-С1-6-алкил, С4-6-циклоалкенил, C2-14-гeтepoаpил-C1-6-aлкил. 6. R6 находится в орто-положении. 7. R6 находится в мета- или пара-положении. 8. Y представляет кислород или -NCH3, R7 представляет водород и пунктирная линия представляет собой связь. 9. R представляет галоген, галоген-С1-6-алкил. 10. R1, R2, R3, R4, R5, R6, R7, Y и пунктирная линия такие как определено в пунктах от 1 до 9 (см. выше); или их фармацевтически приемлемые соли или сольваты. Настоящее изобретение далее представляет соединения формулы (I), где R1, R2, R5 и R6 такие, как определено в отношении формулы (I) (см. выше), каждый из R3 и R4, которые могут быть одинаковые или разные, выбирают из группы, включающей С6-12-арил, С2-14-гетероарил, С6-12-арил-С1-6-алкил, C2-14-гетероарил-С1-6-алкил, где алкильная, арильная или гетероарильная часть может быть необязательно замещена одним или несколькими заместителями, выбранными из группы, включающей C1-6-алкокси, C1-6-алкил, С3-6-циклоалкил, С4-6-циклоалкенил, С6-12-арил, С2-14-гетероарил, галоген, амино, гидрокси, галоген-С1-6-алкил, нитро, C1-6-алкилтио, сульфонамид, C1-6-алкилсульфонил, C1-6-алкилкарбоксамид и карбоксамид; водород, C1-6-алкил, С3-6-циклоалкил, С4-6-циклоалкенил, С2-6-алкенил, C2-6-алкинил, C1-6-алкокси-C1-6-алкил, циано, карбоксил и карбокси-С1-6-алкил; и R7 представляет водород, галоген, C1-6-алкил или C1-6-алкокси; или их фармацевтически приемлемые соли или сольваты. Следующие примеры соединений приведенной выше формулы (I) включают примеры от 1 до 40. Используемый здесь термин алкил, как группа или часть группы, означает алкильную группу с неразветвленной или разветвленной цепью. Такие алкильные группы включают метил, этил, изопропил, н-пропил, н-бутил, втор-бутил, трет-бутил, н-пентил, изопентил, неопентил, н-гексил, изогексил и неогексил. Алкенильные группы включают группы, которые могут быть в Е- или Z-форме или их смеси и которые, когда они содержат по меньшей мере три атома углерода, могут быть разветвленные. Примеры отдельных алкенильных групп включают винил, аллил, бутенил, изобутенил, пентенил, изопентенил, гексенил, изогексенил, неогексенил и 1-метил-2-пропенил. Термины алкокси и алкинил включают неразветвленные и разветвленные цепи. Примеры алкоксигрупп включают метокси и этокси и примеры алкинильных групп включают этинил, пропинил и бутинил. Используемые здесь термины циклоалкил и циклоалкенил включают циклопропил, циклобутил, циклобутенил, циклопентил, циклопентенил, циклопентадиенил, циклогексил, циклогексенил и циклогексадиенил. Термин галоген включает хлор, бром, фтор и йод. Термин галоген-С1-4-алкил означает алкильную группу, в которой один или несколько атомов водорода заменяется на галоген, предпочтительно содержащую один, два или три атома галогена. Примеры таких групп включают трифторметил и фторизопропил. Используемый здесь термин арил, как группа или часть группы, означает С6-12-арильные ароматические группы и включает одно или два С6-ароматических кольца. Термин включает системы конденсированных колец, а также системы, в которых кольца соединены через соединяющую группу, например, -N-, -С-, -О- или -S-, или связь. Примеры таких групп включают фенил, нафтил или бифенил. Используемый здесь термин гетероарил, как группа или часть группы, означает С2-14-гетероарильные ароматические группы, необязательно замещенные одним или несколькими заместителями, независимо выбранными из водорода, галогена, C1-6-алкила или C1-6-алкокси и включает одно или два С5-7-ароматических кольца, содержащих один или несколько (например, от одного до трех) гетероатомов, выбранных из кислорода, серы и азота. Термин включает заместитель R6, как определено здесь выше, системы конденсированных колец, а также системы, в которых кольца соединены через соединяющую группу, например, -N-, -С-, -О- или -S-, или связь. Примеры таких групп включают 1,2-бензоизоксазолил, пиридил, тиадиазолил, индазолил, бензофурил, хинолил, тиенил и изохинолил. Термин 5- или 6-членное гетероциклическое кольцо означает насыщенное или частично насыщенное 5- или 6-членное кольцо. Примеры таких насыщенных групп включают пиперидинил и пирролидинил и частично насыщенные группы включают тетрагидропиридинил. Термин галоген-С1-6-алкил означает алкильную группу, в которой один или несколько водородов заменены на галоген и, предпочтительно, содержащую, один, два или три атома галогена. Примеры таких групп включают трифторбутил и трифторметил. Термин галоген-С2-6-алкенил означает алкенильную группу, в которой один или несколько водородов заменены на галоген и, предпочтительно, содержащую один, два или три атома галогена. Атомы галогена могут присутствовать на насыщенных или ненасыщенных атомах углерода. Примеры таких групп включают 2-хлорпропенил, 3,3-дифторпропенил и 1,1-дифторпропенил. Термин галоген-С2-6-алкинил означает алкинильную группу, в которой один или несколько водородов заменены на галоген и, предпочтительно, содержащую один, два или три атома галогена. Термин включает алкинильные группы с концевым атомом галогена. Примеры таких групп включают 3-хлорпропинил и 3-бромпропинил. Некоторые из соединений формулы (I) и их соли и сольваты могут содержать один или несколько центров хиральности и существуют в виде стереоизомеров, включая диастереомеры и энантиомеры. Настоящее изобретение включает вышеупомянутые стереоизомеры в пределах его объема и каждый из индивидуальных (R)- и (S)-энантиомеров соединений формулы (I) и их соли и сольваты, по существу не содержащие другой энантиомер, т. е. ассоциированные менее чем с 5%, предпочтительно менее чем 2%, особенно менее чем 1%, другого энантиомера, и смеси таких энантиомеров в любых отношениях, включая рацемические смеси, содержащие по существу равные количества двух энантиомеров. Предпочтительными энантиомерами являются (S)-энантиомеры. Предпочтительные соединения по настоящему изобретению включают соединения формулы (I), где один из R1 и R2 представляет водород, или их фармацевтически приемлемые соли или сольваты. R6, предпочтительно, находится в орто-положении. Следующие предпочтительные соединения формулы (I) включают соединения, где один из R1 и R2 представляет водород и другой представляет С6-12-арил-С1-6-алкил, где алкильная или арильная часть может быть необязательно замещена одним или несколькими заместителями, выбранными из C1-6-алкокси и С2-14-гетероарила; R3, R4 и R5 представляют водород, Y представляет кислород, пунктирная линия представляет связь и R7 представляет водород или галоген; или их фармацевтически приемлемые соли или сольваты. В другом предпочтительном осуществлении настоящего изобретения соединения формулы (I) включают соединения, где 1 и R2, оба представляют водород; один из R3 и R4 представляет водород и другой представляет C1-6-алкил, С2-6-алкенил, С2-6-алкинил, С1-6-алкокси-С1-6-алкил или С6-12-арилалкил; R5 представляет водород, Y представляет кислород или -NCH3, пунктирная линия представляет связь и R7 представляет водород или галоген; или их фармацевтически приемлемые соли или сольваты. Следующее предпочтительное осуществление настоящего изобретения включает соединения формулы (I), где R1 и R2, оба представляют водород; один из R3 и R4 представляет водород и другой представляет C1-6-алкил, С2-6-алкенил, С2-6-алкинил, С1-6-алкокси-С1-6-алкил, С6-12-арилалкил, галоген-С1-6-алкил или галоген-С2-6алкенил; R5 представляет водород, Y представляет кислород или -NCH3, пунктирная линия представляет связь и R7 представляет водород или галоген; или их фармацевтически приемлемые соли или сольваты. Особенно предпочтительные соединения формулы (I) включают соединения, где R1 и R2, оба представляют водород; один из R3 и R4 представляет водород и другой представляет C1-6-алкил, С2-6-алкенил, С2-6-алкинил; R5 представляет водород, Y представляет кислород, пунктирная линия представляет связь и R7 представляет водород или галоген; или их фармацевтически приемлемые соли или сольваты. Особенно предпочтительными соединениями по данному изобретению, которые, как было обнаружено, можно использовать при лечении депрессии, являются: 2-(1,2-бензизоксазол-3-ил)бензолметанамин; 2-(1,2-бензизоксазол-3-ил)- -2- пропенилбензолметанамин;(R)-(+)-2-(1,2-бензизоксазол-3-ил)- -2-пропенилбензолметанамин;(S)-(-)-2-(1,2-бензизоксазол-3-ил)- -2-пропенилбензолметанамин;2-(1,2-бензизоксазол-3-ил)- -бутилбензолметанамин;2-(1,2-бензизоксазол-3-ил)- -2-пропинилбензолметанамин;2-(1-метил-1Н-индазол-3-ил)- -2-пропенилбензолметанамин;(-)-2-(6-хлор-1,2-бензизоксазол-3-ил) – -2-пропинилбензолметанамин;(S)-(-)-2-(6-хлор-1,2-бензизоксазол-3-ил)- -2- пропенилбензолметанамин;и их фармацевтически приемлемые соли и сольваты. Для терапевтического использования соли соединений формулы (I) являются солями, где противоион фармацевтически приемлем. Однако, соли кислот и оснований, которые фармацевтически неприемлемы, могут также найти использование, например, при получении или очистке фармацевтически приемлемого соединения. Все соли, независимо от того, фармацевтически приемлемы ли они или нет, включаются в пределы границ настоящего изобретения. Соли по настоящему изобретению включают аммониевые соли, соли щелочных металлов, такие как соли калия или натрия, соли щелочноземельных металлов, такие как соли кальция и магния, соли с неорганическими основаниями, такими как дициклогексиламин и N-метил-D-глюкамин, и соли с аминокислотами, такими как аргинин и лизин. Примеры фармацевтически приемлемых кислотно-аддитивных солей включают соли, полученные из минеральных кислот, таких как хлористоводородная, бромистоводородная, йодистоводородная, фосфорная, метафосфорная, азотная и серная кислоты, и органических кислот, таких как винная, уксусная, трифторуксусная, лимонная, яблочная, молочная, малеиновая, малоновая, фумаровая, бензойная, аскорбиновая, пропионовая, гликолевая, глюконовая, янтарная и метансульфоновая и арилсульфоновые, например п-толуолсульфоновая, кислоты. Предпочтительные соли по данному изобретению включают аддитивные соли хлористоводородной, фумаровой ((Е)-бутендиоат) и малеиновой кислоты ((Z)-бутендиоат). Сольваты по изобретению включают гидраты. В следующем аспекте этого изобретения предлагаются соединения формулы (I) и их фармацевтически приемлемые соли и сольваты для использования в терапии, более конкретно, при лечении или профилактике депрессии. Депрессивные состояния, при лечении которых соединения формулы (I) и их фармацевтически приемлемые соли и сольваты особенно полезны, являются депрессивными состояниями, классифицируемыми как аффективные расстройства в Диагностическом и Статистическом руководстве по нарушению умственных способностей (Diagnostic and Statistical Manual of Mental Disorders), Fourth Edition-Revised, American Psychiatric Association, Washington, D. C. (1994), включая нарушения настроения, другие специфические аффективные расстройства и биполярные и депрессивные нарушения, не указанные иначе. Другие использования в терапии человека соединений формулы (I) или их фармацевтически приемлемых солей и сольватов включают лечение следующих состояний: нарушений, связанных с состоянием страха, включая невроз фобии, панический невроз, невроз страха, послетравматическое стрессовое нарушение и острое стрессовое нарушение, нарушений, связанных с дефицитом внимания, нарушений питания, включая ожирение, анорексический невроз и булимию, изменения личности, включая пограничное личностное расстройство, шизофрении и других психотических нарушений, включая шизоаффективные расстройства, дилюзиональные нарушения, разделенное психотическое расстройство, краткое психотическое расстройство и психотическое расстройство, синдром нарколепсии-каталепсии, расстройства, связанные с веществом, нарушения сексуальной функции, нарушения сна. Настоящее изобретение далее включает способ лечения животного, например, млекопитающего, включая человека, страдающего депрессией или любым из вышеуказанных нарушений или предрасположенного к ним, который предусматривает введение эффективного количества соединения формулы (I) или его фармацевтически приемлемой соли или сольвата. Еще в одном следующем аспекте настоящее изобретение представляет использование соединения формулы (I) или его фармацевтически приемлемой соли или сольвата при изготовлении лекарственного препарата для лечения или профилактики депрессии или любого из вышеуказанных нарушений. Количество соединения формулы (I) или его фармацевтически приемлемой соли или сольвата, также называемого здесь в качестве активного компонента, которое требуется для достижения терапевтического действия, будет, конечно, изменяться в зависимости от определенного соединения, пути введения, возраста и состояния реципиента и определенного нарушения или болезни, которую лечат. Подходящая суточная доза для любого из вышеуказанных нарушений будет в диапазоне от 0,01 до 125 мг на килограмм веса тела реципиента (например, человека) в день, предпочтительно в диапазоне от 0,1 до 50 мг на килограмм веса тела в день, и очень предпочтительно, в диапазоне от 0,25 до 25 мг на килограмм веса тела в день. Нужная доза может быть представлена в виде одной, двух, трех, четырех, пяти или более субдоз, вводимых с подходящими интервалами на всем протяжении дня. Хотя возможно активный ингредиент вводить отдельно, предпочтительно присутствие его в виде фармацевтической готовой препаративной формы. Соответственно, настоящее изобретение далее представляет фармацевтическую готовую препаративную форму, содержащую соединение формулы (I) или его фармацевтически приемлемую соль или сольват вместе с его фармацевтически приемлемым носителем и необязательно другими терапевтическими средствами. Носитель должен быть “приемлемый” в том смысле, что он совместим с другими ингредиентами готовой препаративной формы и не вреден для его реципиентов. Готовые препаративные формы включают формы, подходящие для перорального, ректального, назального, местного (включая чрескожный, трансбуккальный и подъязычный), вагинального или парентерального (включая подкожный, внутримышечный, внутривенный, внутрикожный и внутривитреальный) введения. Готовые препаративные формы можно получить любым из способов, хорошо известных в области фармации, например, с использованием способов, таких как способы, описанные в Gennaro et al. , Remington’s Pharmaceutical Sciences (18th ed. , Mack Publishing company, 1990, см. особенно Часть 8: Фармацевтические препараты и их изготовление). Такие способы включают стадию ассоциации активного ингредиента с носителем, который составлен из одного или нескольких вспомогательных ингредиентов. Такие вспомогательные ингредиенты включают ингредиенты, общепринятые в данной области, такие как наполнители, связующие, разбавители, дезинтеграторы, смазывающие вещества, красящие вещества, отдушки и увлажняющие средства. Готовые препаративные формы для перорального введения могут быть представлены в виде дискретных единиц, таких как пилюли, таблетки или капсулы, причем каждая содержит заданное количество активного ингредиента; в виде порошка или гранул; в виде раствора или суспензии. Активный ингредиент может быть представлен также в виде болюса или пасты или может содержаться в липосомах. Готовые препаративные формы для ректального введения могут быть представлены в виде суппозитория или клизмы. Для парентерального введения подходящие готовые препаративные формы включают водную и неводную стерильную инъекцию. Готовые препаративные формы могут быть представлены в контейнерах с унифицированной дозой или несколькими дозами, например запаянных пузырьках и ампулах, их можно хранить в высушенном замораживанием состоянии, требующем только добавления стерильного жидкого носителя, например, воды, перед использованием. Готовые препаративные формы для введения назальной ингаляцией включают тонкоизмельченный порошок или аэрозоли, которые можно генерировать при помощи аэрозолей, распылителей или инсуффляторов с измеренной дозой, подаваемой под давлением. Настоящее изобретение далее включает следующие способы получения соединений формулы (I). В следующем описании символы R1, R2, R3, R4, R5, R6, R7, R8 и Y имеют значения, описанные для них в формуле (I), если не оговорено особо. В соответствии с первым общим способом А, соединения формулы (I), где R3 такой, как определено здесь ранее, и R4 представляет водород, можно получить восстановительным аминированием, путем реакции соединения формулы (II) ![]() с амином формулы R1-NH-R2, где R1 и R2 не являются оба водородом, для получения промежуточного имина. Реакцию можно проводить азеотропной перегонкой или с осушителем, таким как хлорид титана (IV) или, что более предпочтительно, с использованием молекулярных сит, в апротонном растворителе, например, гексане, толуоле или тетрагидрофуране, при температуре от 0 до 110oС. Может быть благоприятно добавление кислотного катализатора, такого как п-толуолсульфоновая кислота. Получаемый промежуточный имин затем восстанавливают, например, реакцией с водородом в присутствии подходящего катализатора гидрирования, либо гетерогенного, либо гомогенного. Альтернативно, для проведения восстановления можно использовать металлы, такие как цинк или активированный цинк, в присутствии кислоты, например хлористоводородной, или боран или муравьиную кислоту. Восстановление предпочтительно проводят в присутствии гидрида, такого как цианборгидрид натрия, триацетоксиборгидрид натрия или боргидрид натрия, в полярном растворителе, предпочтительно низшем спирте, например метаноле или изопропаноле, при температуре от 0 до 100oС. В соответствии со вторым общим способом В, соединения формулы (I), где R3 такой, как определено здесь выше, и R4 не является водородом, можно синтезировать обработкой промежуточных иминов, полученных методикой, описанной в указанном выше способе А, подходящим металлорганическим реагентом, таким как реактив Гриньяра или литиевый или цинковый реагент, полученный из R4-L1, в котором L1 представляет подходящую уходящую группу, например, галоген, такой как атом хлора или брома, в присутствии апротонного растворителя, такого как гексан, толуол или тетрагидрофуран, при температуре от -100oС до 100oС, обычно при комнатной температуре. Заместитель R4 можно ввести стереоселективно путем использования хиральных аминов, т. е. аминов формулы R1-NH-R2, где R1 и R2 хиральные и оптически чистые. Например, хирально чистых эфиров аминокислот, таких как валин или аланин. Реакцию можно удобно проводить способом, аналогичным способу, разработанному для энантиоселективного синтеза гомоаллиловых аминов (А. Восоum et al. , J. Chem. Soc, Chem. Commun. , 1993, 1542-1544). Альтернативно, соединения формулы (I), где R3 такой, как определен здесь выше, R4 не являются водородом и R1 и R2, оба представляют водород, можно получить реакцией соединения формулы (II) с подходящим амидом, например, бис(триметилсилил)амидом, в тетрагидрофуране при пониженной температуре от 0 до -100oС, с последующей обработкой подходящим металлорганическим реагентом, таким как описано выше. В соответствии с третьим общим способом С, соединения формулы (I), где R1 и R2 оба представляют водород, можно получить реакцией соединения формулы (X) ![]() где R10 представляет азидогруппу, с подходящим восстановителем, например, литийалюминийгидридом, боргидридом натрия или гидразином в присутствии комплексов палладия или олова. Альтернативно, реакцию можно проводить в атмосфере водорода с подходящим катализатором гидрирования или трифенилфосфином в смеси растворителей, таких как вода и диэтиловый простой эфир или теграгидрофуран, при повышенной температуре, например, от 20 до 60oС. Альтернативно, соединения формулы (I), где R1 и R2, оба представляют водород, можно синтезировать из соединений формулы (X), где R10 представляет подходящую уходящую группу, такую как мезилат, трифлат или галоген, например, атом хлора, брома или йода, синтезом Габриэля. Синтез Габриэля можно, например, проводить с использованием фталимида калия в полярном апротонном растворителе, таком как N, N-диметилформамид, при повышенной температуре, например от 25 до 140oС, с последующим гидролизом гидразином в полярном растворителе, таком как этанол, при повышенной температуре, например, от 25 до 80oС. Соединения формулы (X), где R10 представляет мезилатную или трифлатную группу, можно получить способами, описанными в Advanced Organic Chemistry, March G. , 4th Ed, pages 404-405. Соединения формулы (X), где R10 представляет азидогруппу, можно получить из соединений формулы (X), где R10 представляет уходящую группу, такую, как определено здесь ранее, путем замещения неорганическими азидными солями в полярном растворителе при повышенной температуре или реакцией соединения формулы (XI) ![]() со смесью трифенилфосфина, диэтилазодикарбоксилата и дифенилфосфорилазида в неполярном растворителе, таком как толуол или бензол, при повышенной температуре, например, от 20 до 60oС. Соединения формулы (XI), где R4 представляет водород, можно удобно получить восстановлением соединения формулы (II) с использованием способов, известных специалистам данной области. Подходящие восстановители включают гидриды, такие как алкилборгидрид лития, литийалюминийгидрид или боран или замещенные бораны. Реакцию можно проводить в апротонном растворителе, таком как диэтиловый простой эфир и/или тетрагидрофуран. Другие подходящие гидриды включают боргидрид натрия в полярном растворителе, таком как спирт, при температуре от -30oС до 100oС. Соединения формулы (II), где R3 не является водородом, можно асимметрично восстановить с использованием хиральных боранов или оптически активных катализаторов и ахиральных восстановителей. Соединения формулы (XI), где R4 не является водородом, можно получить реакцией соединения формулы (II) с подходящим металлорганическим реагентом методикой, описанной выше для способа А. В соответствии с четвертым способом D, соединения формулы (I), где один из R3 или R4 представляет циано или карбоксил, можно получить из соединения формулы (I) синтезом Стрекера. Этот способ можно проводить по методике, аналогичной методике, описанной для DL-2-аминофенилуксусной кислоты (Vogel, Textbook of Practical Organic Chemistry, 5th Edition, 1989, p. 754). Полученную карбоновую кислоту можно этерифицировать в карбокси-С1-6-алкильные группы реакцией со спиртом. Реакцию можно проводить азеотропной перегонкой, добавлением дегидратирующего агента, такого как дициклогексилкарбодиимид, N, N’-карбонилдиимидазол или диэтилазодикарбоксилат, с трифенилфосфином или добавлением молекулярных сит. Эту реакцию можно катализировать добавлением кислоты. Альтернативно, эфиры карбоновых кислот можно получить обработкой соединения формулы (I), где R3 или R4 представляет карбоксильную группу, простым алкиловым эфиром, таким как C1-6-алкил-трет-бутиловые эфиры, в присутствии кислотного катализатора, алкилированием с использованием диазосоединения, такого как диазометан, в апротонном растворителе, например, тетрагидрофуране или диэтиловом простом эфире, при температуре от -30oС до 30oС. Эфиры можно также получить путем переэтерификации в основных или кислотных условиях или путем алкилирования неорганических солей соединения карбоновой кислоты с использованием способов, известным лицу, сведущему в данной области. В соответствии с пятым способом Е, соединения формулы (I), где один из R3 и R4 представляет водород и другой такой, как определено здесь ранее, и один из R1 и R2 представляет водород и другой представляет С6-12-арил-С1-6-алкил, где арильная или алкильная часть может быть замещена так, как описано здесь ранее, можно получить восстановительным диалкилированием путем реакции соответствующего соединения формулы (II) с аммиаком или солью аммония, такой как ацетат аммония, для получения промежуточного имина. Восстановление имина можно проводить в соответствии с методикой, описанной в указанном выше способе А. В соответствии с шестым способом F, соединения формулы (I) можно получить синтезом в твердой фазе с использованием методов, известных специалисту данной области или доступных из химической литературы. Например, соединения формулы (I), где один из R1 и R2 представляет водород и другой представляет С6-12-арил-С1-6-алкил, С2-14-гетероарил-С1-6-алкил или C1-6-алкил, где алкильная часть замещена заместителем, выбранным из амино, гидрокси, C1-6-алкилкарбоксамида, карбоксамида, карбокси и карбокси-С1-6-алкила и, кроме этого, алкильная, арильная или гетероарильная часть может быть необязательно замещена одним или несколькими заместителями, выбранными из группы, включающей амино, гидрокси, C1-6-алкокси, C1-6-алкил, С3-6-циклоалкил, С4-6-циклоалкенил, С6-12-арил, С2-14-гетероарил, галоген, амино, гидрокси, галоген-С1-6 алкил, нитро, C1-6-алкилтио, сульфонамид, C1-6-алкилсульфонил, гидрокси-С1-6-алкил, карбоксил, карбокси-С1-6-алкил, карбоксамид и C1-6-алкилкарбоксамид, и один из R3 и R4 представляет водород и другой такой, как определено здесь выше, можно удобно получить восстановительным алкилированием, арилалкилированием или гетероарилалкилированием аминокислоты, связанной со смолой бензилового спирта, такой как смола Wang или SASRIN, соединением формулы (II), где R3 представляет водород, стандартными методами (см. , например, D. W. Gordon and J. Steele, Bioorganic Med. Chem. Lett. , 1995, 5, 47-50 and G. C. Look et al. , Tetrahedron Lett. , 1995, 36, 2937-2940). Подходящие восстановители включают гидриды, например, цианборгидрид, триацетоксиборгидрид натрия или боргидрид натрия. Реакцию можно проводить в триметилортоформиате, диметилформамиде или их смеси в присутствии небольшого количества уксусной кислоты (обычно 1 об. /об. %). Соединения формулы (I) можно удобно получить обработкой твердой фазы аммиаком или низшим алкиламином, таким как метиламин, способом, аналогичным способу, использованному для получения амидов пептидов из связанных со смолой пептидов (М. Mergler and Nyfeler, Solid Phase Synthesis, 1992, R. Epton (Ed). Andover, p. 429). В соответствии с седьмым способом G, соединения формулы (I), где R1 и R2, оба представляют водород и R3, R4, R5 и R6 такие, как определено здесь выше, можно получить обработкой соединения формулы (XII) ![]() где R3 представляет карбоксильную группу, с подходящим агентом, который превращает группу карбоновой кислоты в амин. Это превращение можно проводить с использованием способов, хорошо известных в данной области или легкодоступных из химической литературы. Такие способы включают перегруппировку Курциуса, перегруппировку Гофмана или реакцию Шмидта. В соответствии с восьмым способом Н, соединения формулы (I), где R1, R2 и R3 представляют водород и R4, R5 и R6 такие, как определено здесь выше, можно получить из соединений формулы (XVIII) гидролизом. Реакцию можно удобно проводить в присутствии кислоты, например 1 М HCl в ацетоне. Соединения формулы (XVIII) можно получить из имина формулы (XIX), например, депротонизацией путем добавления основания, предпочтительно трет-бутоксида калия, в инертном растворителе, предпочтительно тетрагидрофуране, при температуре от -100 до 25oС с последующим добавлением реагента R4-La, в которой La представляет подходящую уходящую группу, такую как мезилатнал или трифлатная группа или атом галогена, включая йод, бром или хлор. Этот общий способ описывается С. Gianfranco et al. (J. Org. Chem. , 1996, 61, 5134). ![]() ![]() Соединения формулы (XIX) можно получить реакцией соединения формулы (II), где R3 представляет водород и R5 и R6 такие, как определено здесь выше, с дифенилметанамином. Реакцию можно проводить азеотропной перегонкой или с осушителем, таким как хлорид титана (IV) или молекулярные сита, в апротонном растворителе, предпочтительно с сульфатом магния в метиленхлориде. Соединения формулы (I), где один из R3 и R4 вместе с одним из R1 и R2 и атомом N, к которому он присоединен, образуют 5- или 6-членное гетероциклическое кольцо, можно подобным образом получить гидролизом соединения формулы (XVIII), как описано выше. Соединения формулы (XVIII) можно получить реакцией соединения формулы (XIX) и соединения формулы (XX), где Lb и Lc могут быть одинаковыми или разными и представляют уходящие группы, такие как мезилатная или трифлатная группа или атом галогена, включая йод, бром, хлор и фтор, и Rd представляет С6-12-арил, С2-14-гетероарил, С6-12-арил-С1-6-алкил, С2-14-гетероарил-С1-6-алкил, С3-6-циклоалкил, С4-6-циклоалкенил, Lb-СН2-Rd-СН2-Lc. (XX) Где необходимо или желательно, после одного или нескольких указанных выше способов от А до Н можно проводить одну или несколько следующих дальнейших стадий в любом порядке: (i) удаление любой оставшейся защитной группы (групп); (ii) превращение соединения формулы (I) или его защищенной формы в другое соединение формулы (I) или его защищенную форму; (iii) превращение соединения формулы (I) или его защищенной формы в фармацевтически приемлемую соль или сольват соединения формулы (1) или его защищенной формы; (iv) превращение фармацевтически приемлемой соли или сольвата соединения формулы (I) или его защищенной формы в соединение формулы (I) или его защищенную форму; (v) превращение фармацевтически приемлемой соли или сольвата соединения формулы (I) или его защищенной формы в другую фармацевтически приемлемую соль или сольват формулы (I); (vi) где соединение формулы (I) получают в виде смеси (R)- и (S)-энантиомеров, разделение (расщепление) смеси для получения целевого энантиомера; (vii) отщепление соединения формулы (I) от смолы, являющейся твердой фазой. Соединения формулы (II), см. выше, где R6 представляет бензизоксазол-3-ильную группу, можно получить из соединения формулы (III) ![]() где L2 представляет уходящую группу, такую как нитро или галоген, предпочтительно атом фтора, и R9 представляет C1-4-алкил, например метил или этил, через промежуточное соединение формулы (IV) ![]() с использованием способа, описанного Shutske G. M. (J. Org. Chem. , 1984, 49, 180-183) для синтеза 3-фенил-1,2-бензизоксазола. Гидролиз в альдегид можно проводить с использованием различных катализаторов, например, разбавленных кислот, таких как хлорид водорода, при повышенной температуре, например, от 20oС до 100oС. Соединения формулы (III) можно получить окислением соответствующего соединения формулы (V) ![]() Окисление можно проводить в присутствии сильного окислителя, такого как перманганат калия, бром, тетроксид рутения или хромовые реагенты, например, реагент Джонса или Кори, предпочтительно триоксида хрома в пиридине. Реакцию можно проводить при температуре от 0 до 40oС в апротонном растворителе, таком как дихлорметан. Соединения формулы (III) можно получить добавлением металлорганического реагента, полученного с использованием способов, хорошо известных специалисту из соединения формулы (VI), к соединению формулы (XXI), где L2 такой, как определено здесь выше. Добавление типично проводят в присутствии апротонного растворителя, такого как диэтиловый простой эфир или тетрагидрофуран, при пониженной температуре, например, от -100oС до 0oС. ![]() Соединения формулы (XXI) можно получить коммерчески или можно получить из коммерческих соединений, использующих общий способ, описанный S. Nahm and S. Weinreb (Tetrahedron Lett. , 1981, 22, 3815), с использованием способов, хорошо известных специалисту данной области. Соединения формулы (V) можно получить добавлением металлорганического реагента, такого как реактив Гриньяра или ариллитий, полученного с использованием способов, хорошо известных специалисту, из соединения формулы (VI) ![]() где R9 такой, как определено здесь ранее, и L1 представляет подходящую уходящую группу, такую как нитро-, мезилат- или трифлатгруппу или атом галогена, включая йод, фтор, бром или хлор, к альдегиду формулы (VII) ![]() где L2 такой, как определено здесь выше. Добавление типично проводят в присутствии апротонного растворителя, такого как диэтиловый простой эфир или тетрагидрофуран, при пониженной температуре, например, от -100oС до 0oС. Альдегиды формулы (VII) можно получить коммерчески или можно получить способами, хорошо известными лицу, сведущему в данной области, или легко доступными из химической литературы. Соединения формулы (VI) можно получить из соединений формулы (VIII) ![]() где L1 такой, как здесь определено ранее, способами, известными специалисту данной области. Это превращение можно, например, проводить добавлением спирта, такого как этанол или метанол, в присутствии кислотного катализатора, например, толуолсульфоновой кислоты, или с использованием осушителя, такого как оксид алюминия или молекулярные сита. В альтернативном случае, превращение можно проводить переацеталированием с использованием ортоэфира, такого как триэтилортоформиат, в присутствии кислотного катализатора, такого, как хлорид аммония при температуре от 0 до 80oС. Альдегиды формулы (VIII) можно получить коммерчески или можно получить способами, известными специалисту или легко доступными из химической литературы. Для способа G, см. выше, соединения формулы (XII) можно получить из соединений формулы (XIII) ![]() где R13 представляет карбокси-С1-16-алкил, например, метилового, этилового или хирального эфира (такого как эфир, полученный из (+)- или (-)-ментола), реакцией с водным раствором щелочи, таким как 10 М гидроксид калия, в растворителе, таком как 2-метоксиэтанол, при повышенной температуре, такой как от 60 до 125oС. Соединения формулы (XIII) можно получить из соединений формулы (XII) описанными в литературе способами, хорошо известными специалисту, например, образованием хлорангидрида с последующей этерификацией. Соединения формулы (XIII) можно получить обработкой соединения формулы (XIV) диизопропиламидом лития и соединением формулы R4-La, где R4 такой, как определено здесь выше, и La такой, как определено здесь выше, при температуре от -78oС до 25oС общим способом, описанным L. A. Paquette and J. P. Gilday (J. Org. Chem. , 1988, 53, 4972). ![]() Соединения формулы (XIV) можно получить из соединения формулы (XV) ![]() где Rb, R5 и R6 такие, как определено здесь выше, путем обработки диизопропиламидом лития и соединением формулы R3-La, где R3 и La такие, как определено здесь выше, при температуре от -78oС до 25oС. Соединения формулы (XV) можно получить из соединения формулы (XVI) ![]() где Rc представляет C1-6-ортоэфир, такой как триметиловый ортоэфир, триэтиловый ортоэфир или 2,6,7-триоксабицикло[2.2.2] октан, такой как описан E. J. Corey and N. Raju (Tetrahedron Lett. , 1983, 24, 5571), и R5, R7 и L2 такие, как определено здесь выше, общим способом, описанным G. M. Shutske (J. Org. Chem. , 1984, 49, 180) для синтеза 3-фенил-1,2-бензизоксазола и с использованием способов, описанных здесь для превращения соединений формулы (V) в соединения формулы (II), где R6 представляет бензизоксазол-3-ильную группу. Соединения формулы (XVI) можно получить добавлением металлорганического реагента, полученного с использованием способов, хорошо известных специалисту из соединения формулы (XVII) ![]() к соединению формулы (VII), определенному здесь ранее. Добавление типично проводят в присутствии апротонного растворителя, такого диэтиловый простой эфир или тетрагидрофуран, при пониженной температуре, например, от -100oС до 0oС. Соединения формулы (XVII) можно получить способами, хорошо известными специалисту, из коммерчески доступных исходных материалов. Соединения формулы (II), где R6 представляет индазол-3-ильную или 1-C1-6-алкилбензопиразол-3-ильную группу, можно получить из соединений формулы (IX) ![]() где R9 такой, как определено здесь выше, гидролизом. Гидролиз можно проводить в условиях, описанных выше для гидролиза соединения формулы (III). Такие соединения формулы (IX) можно получить из соединений формулы (III), см. выше, по способу В. Bradley (J. Chem. Soc. , 1954, 1894-1897). Соли по настоящему изобретению можно получить обработкой соединения формулы (I) подходящим основанием, например, гидроксидом щелочного металла, щелочноземельного металла или аммония, или подходящей органической или неорганической кислотой, такой как хлористоводородная, фумаровая или малеиновая кислота. Соединения формулы (I), полученные любым из способов, описанных здесь выше, можно превратить в другие соединения формулы (I) способами, хорошо известными лицу, сведущему в данной области, или легко доступными из химической литературы. Например, соединения формулы (I), где R1 и/или R2 представляет водород, можно превратить в соединения, где R1 и/или R2 представляет алкильные, арилалкильные или гетероарилалкильные группы, как определено здесь выше, путем реакции с подходящим алкилирующим агентом. Подходящие алкилирующие агенты включают галогениды и органические или неорганические сложные эфиры. Реакцию можно проводить в присутствии основания в полярном растворителе, таком как этанол или N, N-диметилформамид, при повышенной температуре. В альтернативном случае, эти соединения можно получить восстановительным алкилированием, например, реакцией Лейкарта-Валлаха, с использованием карбонильных соединений, таких как кетоны или альдегиды и муравьиная кислота или формамиды, или реакцией Эшвайлера-Кларка. Индивидуальные энантиомеры соединений формулы (I) можно получить, как описано здесь выше, или можно получить из смеси стереоизомеров с использованием любого способа, хорошо известного в данной области для разделения таких изомеров на их составляющие энантиомеры. Например, с использованием способов, описанных в Stereochemistry of Organic Compounds, E. L. Eliel and S. H. Wilen, chapter 7, 1994. В особенности, их можно получить превращением в диастереомеры с последующим разделением составляющих диастереомеров такими способами, как образование соли с оптически активными кислотами с последующей фракционной кристаллизацией или путем различной абсорбции с использованием колонок, заполненных хиральным материалом, например, препаративной хиральной жидкостной или газовой хроматографией. Настоящее изобретение далее включает все новые промежуточные продукты, описанные здесь ранее, особенно соединения формулы (II), при условии, что соединение формулы (II) не является 4-(1,2-бензизоксазол-3-ил)бензальдегидом или 4-(6-хлор-1,2-бензизоксазол-3-ил)бензальдегидом. Предпочтительные соединения формулы (II) включают соединения, где R5 и R6 такие, как определено здесь выше, и R3 представляет водород, C1-6-алкил, С2-6-алкенил, С2-6-алкинил, С1-6-алкокси-С1-6-алкил или С6-12-арилалкил. Включаются также промежуточные продукты формул (X) и (XI), при условии, что соединение формулы (X) не является 3-(4-бромметилфенил)-1,2-бензизоксазолом или 3-(4-бромметил-фенил)-6-хлор-1,2-бензизоксазолом. Особенно предпочтительные промежуточные продукты по настоящему описанию включают: 2-(Диэтоксиметил)- -(2-фторфенил) бензолметанол[2-(Диэтоксиметил)фенил] (2-фторфенил) метанон 0-[2-[2-(Диэтоксиметил) бензоилфенил] оксим-2- пропанона 2-(1,2-Бензизоксазол-3-ил) бензальдегид 2-(1-Метил-1Н-индазол-3-ил) бензальдегид Метиловый эфир (S)-N- [1-[2-(1,2-бензизоксазол-3-ил) фенил] -3-бутенил] -L-валина [S-(R*, R*)] -2[[1-[2-(1,2-Бензизоксазол-3-ил) фенил] -3-бутенил] амино] -3-метил-1- бутанол 2-(1,2-Бензизоксазол-3-ил)- -2- пропенилбензолметанол3-[2-(1-Азидо-3-бутинил)фенил] -1,2- бензизоксазол 2-(1,2-Бензизоксазол-3-ил) бензолметанол 2-[[2-(1,2-Бензизоксазол-3-ил) фенил] метил] -1H -изоиндол-1,3(2Н)-дион N-Метокси-N-метил-4-хлор-2- фторбензамид [2-(Диэтоксиметил) фенил] (4-хлор-2-фторфенил) метанон 2-(6-Хлор-1,2-бензизоксазол-3-ил) бензальдегид Метиловый эфир (S)-N- [1-[2-(6-хлор-1,2-бензизоксазол-3- ил)фенил] -3-бутенил] -L-валина [S-(R*, R*)] -2-[[1-[2- (6-хлор-1,2-Бензизоксазол-3-ил) фенил] -3-бутенил] амино] -3-метил-1-бутанол N-[2-(6-Хлор-1,2-бензизоксазол-3-ил) бензилиден] -1,1-дифенил -метанамин. Следующие примеры предназначаются только для иллюстрации и никоим образом не ограничивают объем этого изобретения. Пример 1: Диэтилацеталь 2-бромбензальдегида К раствору 634 г 2-бромбензальдегида и 7,17 г хлорида аммония в 400 мл этанола добавляли 633 мл триэтилортоформиата. Смесь перемешивали в течение 16 ч при комнатной температуре. После фильтрования оставшихся солей фильтрат выпаривали досуха при пониженном давлении, получая 894 г масла. Перегонка при пониженном давлении дала диэтилацеталь 2-бромбензальдегида в виде жидкости, кипящей при 135-140oС при 270 Па. Пример 2: 2-(Диэтоксиметил)- -(2-фторфенил)бензолметанолРаствор 345 г диэтилацеталя 2-бромбензальдегида в 3 л сухого тетрагидрофурана охлаждали до -40oС. При энергичном перемешивании добавляли в виде одной порции 913 мл 1,6 М раствор бутиллития в гексане. Получаемый раствор перемешивали в течение 0,5 ч при -25oС, после чего по каплям добавлял раствор 140 мл 2-фторбензальдегида в 350 мл тетрагидрофурана. Смеси давали реагировать при комнатной температуре в течение 4 ч. Получаемую смесь выливали на смесь лед-вода и экстрагировали несколько раз этилацетатом. Органические слои объединяли, промывали водой, сушили над сульфатом магния и выпаривали досуха при пониженном давлении, получая 404 г 2-(диэтоксиметил)- -(2-фторфенил)бензолметанола в виде масла. MC (C. I. ) (m/z): 305 [М+Н] +.
Пример 3: [2-(Диэтоксиметил)фенил] (2-фторфенил)метанонВ атмосфере азота 758 мл пиридина и 469 г дикалита добавляли к 6 л сухого дихлорметана. При энергичном перемешивании добавляли 469 г триоксида хрома. Получаемую смесь перемешивали в течение 0,5 ч при комнатной температуре, после чего добавляли раствор 238 г 2-(диэтоксиметил)- -(2-фторфенил)бензолметанола в 600 мл сухого дихлорметана. После перемешивания при комнатной температуре в течение 2 ч смесь фильтровали. Фильтрат промывали 3 1 л 1 н. гидроксида натрия в воде и 1 л воды, сушили над сульфатом магния и выпаривали досуха при пониженном давлении, получая 224 г [2-(диэтоксиметил)фенил] (2-фторфенил)метанона в виде масла. MC (C. I. ) (m/z): 303 [М+Н] +.
Пример 4: 0-[2-[2-(Диэтоксиметил)бензоилфенил] оксим 2-пропанонаК перемешиваемому раствору 63,76 г оксима ацетона в 2 л сухого тетрагидрофурана добавляли 97,93 г трет-бутоксида калия в атмосфере азота. После перемешивания в течение 0,5 ч при комнатной температуре получаемую суспензию обрабатывали раствором 242 г [2-(диэтоксиметил)фенил] (2-фторфенил)метанона в 1 л тетрагидрофурана. Эту смесь нагревали при кипячении с обратным холодильником в течение 24 ч. После охлаждения до комнатной температуры добавляли воду. Смесь экстрагировали несколько раз этилацетатом, органические слои собирали, промывали водой, сушили над сульфатом магния и выпаривали досуха при пониженном давлении, получая 269,5 г 0-[2-[2-(диэтоксиметил) бензоилфенил] -оксима 2- пропанона. МС (C. I. ) (m/z): 356[М+Н] +. Пример 5: 2-(1,2-Бензизоксазол-3-ил)бензальдегид К раствору 252 г 0-[2-[2-(диэтоксиметил)бензоилфенил] -оксима 2-пропанона в 710 мл этанола добавляли 710 мл 2 н. водного раствора хлорида водорода. Смесь перемешивали при 70oС в течение 1 ч и давали ей охладиться до комнатной температуры. рН Раствора устанавливали до 7 водным раствором карбоната калия. Осадок отделяли фильтрованием и сушили, получая 159 г твердого продукта. Соединение перекристаллизовали из смеси этанол/гексан, получая чистый 2-(1,2-бензизоксазол-3-ил)бензальдегид, плавящийся при 149oС. Пример 6: 2-(1-Метил-1Н-индазол-3-ил)бензальдегид Раствор 1,5 г [2-(диэтоксиметил)фенил] (2-фторфенил)-метанона и 0,5 г метилгидразина в 50 мл толуола кипятили с обратным холодильником в течение 24 ч. Добавляли воду и смесь экстрагировали этилацетатом. Объединенные органические слои промывали солевым раствором, сушили над сульфатом магния и выпаривали досуха при пониженном давлении, получая 1,12 г 2,1 диэтилацеталь 2-(1-метил-1Н-индазол-3-ил)-бензальдегида в виде масла. К раствору 1,1 г этого масла в 50 мл этанола добавляли 50 мл 2 н. водного раствора хлорида водорода. Смесь перемешивали при 70oС в течение 1 ч и давали ей охладиться до комнатной температуры, рН раствора устанавливали до 7 водным раствором карбоната калия. Этот раствор экстрагировали несколько раз дихлорметаном. Объединенные органические слои промывали солевым раствором, сушили над сульфатом магния и выпаривали досуха при пониженном давлении, получая 0,78 г 2-(1-метил-1Н-индазол-3-ил)бензальдегида в виде твердого продукта, плавящегося при 106oС. Пример 7: Диэтилацеталь 2-бром-4-фторбензальдегида К раствору 6,5 г 2-бром-4-фторбензальдегида (получен окислением 2-бром-4-фтортолуола способом, описанным V. J. Bauer, B. J. Duffy, D. Hoffman, S. S. Klioze, R. W. Kosley, Jr. , A. R. McFadden, L. L. Martin, H. H. Ong and K. M. Geyer III, J. Med. Chem. , 1976, 19, 1315) в 25 мл этанола добавляли триэтилортоформиат, затем 0,05 г п-толуолсульфоновой кислоты. Раствор перемешивали при комнатной температуре в течение 2,25 ч, затем разбавляли 100 мл 5% раствора карбоната натрия и экстрагировали двумя порциями по 100 мл эфира. Объединенные органические слои промывали 50 мл солевого раствора и сушили над сульфатом натрия. Выпаривание растворителя давало 8,8 г диэтилацеталя 2-бром-4-фторбензальдегида в виде масла, 1H ЯМР (200 МГц; CDCl3) Н 5,60 (СНО3).
Сходным образом были получены:1. Диэтилацеталь 2-бром-5-фторбензальдегида; исходя из 2-бром-5-фторбензальдегида (F. В. Mallory, С. W. Mallory, W. М. Ricker, J. Org. Chem. , 1985, 50, 4), 1H ЯМР (200 МГц; CDCl3) Н 5, 60 (СНО3).
2. Диэтилацеталь 2-бром-4-хлорбензальдегида; исходя из 2-бром-4-хлорбензальдегида (К. Murakami, 8. Shuhei, Т. Yano, M. Itoh, Eur. Pat. Appl. EP 684235 A1 951129), 1H ЯМР (200 МГц; CDCl3) Н 5, 60 (СНО3).
3. Диэтилацеталь 3-бромбензальдегида; исходя из 3-бромбензальдегида, кипящий при 102-110oС при 2,5 мм Hg.
4. Диэтилацеталь 4-бромбензальдегида; исходя из 4-бромбензальдегида, 1H ЯМР (200 МГц; CDCl3) Н 5,48 (СНО3).
Пример 8: N-Метокси-N-метил-4-хлор-2-фторбензамидСуспензию 19,7 г 4-хлор-2-фторбензойной кислоты в 80 мл тионилхлорида кипятили с обратным холодильником в течение 1,5 ч. Избыток тионилхлорида удаляли при пониженном давлении, получая сырой промежуточный хлорангидрид в виде масла. Этот сырой хлорангидрид растворяли в 300 мл метиленхлорида и добавляли 20 мл пиридина. Раствор охлаждали до 0oС и в виде одной порции добавляли 12,9 г гидрохлорида N, 0-диметилгидроксиламина. Раствор перемешивали при комнатной температуре в течение ночи, затем разбавляли 200 мл метиленхлорида и промывали по 100 мл каждого из воды, 2 М хлористоводородной кислоты, 5% раствора карбоната натрия и солевого раствора. Органический слой сушили над сульфатом натрия и выпаривали, получая 23,5 г N-метокси-N-метил-4-хлор-2-фторбензамида в виде смолы, ГХ-МС (E. I. ) (m/z): 217 [М] +. Сходным образом были получены: 1. N-Метокси-N-метил-2-фторбензамид, 1H ЯМР (200 МГц; CDCl3) Н 3,60, 3,35 (СН3).
2. N-Метокси-N-метил-2,4-дифторбензамид, 1H ЯМР (200 МГц; COCl3) Н 3,56, 3,35 (CH3).
3. N-Метокси-N-метил-2,5-дифторбензамид, 1H ЯМР (200 МГц; СОСl3) Н 3,55, 3,36 (СН3).
4. N-Метокси-N-метил-4-хлор-2-фторбензамид, 1H ЯМР (200 МГц; СОСl3) Н 3,56, 3,35 (CH3).
5. N-Метокси-N-метил-4-трифторметил-2-фторбензамид, 1H ЯМР (200 МГц; CDCl3) Н 3,53, 3,38 (CH3).
Пример 9: [2-(Диэтоксиметил)фенил] (4-хлор-2-фторфенил)метанонПеремешиваемый раствор 10,6 г диэтилацеталя 2-бромбензальдегида в 100 мл диэтилового простого эфира охлаждали до -40oС. К этому холодному раствору быстро добавляли 46 мл 1,2 М раствора бутиллития в гексане. Раствор нагревали до 0oС на протяжении 30 мин. Раствор охлаждали до -40oС и посредством трубочки добавляли раствор 11,9 г N-метокси-N-метил-4-хлор-2-фторбензамида в 10 мл диэтилового простого эфира. Раствор нагревали до 0oС и перемешивали в течение 0,75 ч, затем гасили добавлением 100 мл воды и добавляли 200 мл эфира. Органический слой отделяли и водный слой экстрагировали 200 мл простого эфира. Объединенные органические слои сушили над сульфатом натрия и выпаривали, получая 19,6 г сырого [2-(Диэтоксиметил)фенил] (4-хлор-2-фторфенил)метанона в виде смолы, ГХ-МС (E. I. ) (m/z): 336 [M] +. Сходным образом были получены: 1. [2-(Диэтоксиметил)фенил] -(2,4-дифторфенил)метанон; исходя из N-метокси-N-метил-2,4-дифторбензамида и 2-бромбензальдегида [2-(Диэтоксиметил)фенил] -(2,5-дифторфенил)метанон; исходя из N-метокси-N-метил-2,5-дифторбензамида и диэтилацеталя 2-бромбензальдегида, 1H ЯМР (200 МГц; CDCl3) Н 5,77 (СНО2).
2. [2-(Диэтоксиметил)-5-фторфенил] -(2-фторфенил)метанон; исходя из N-метокси-N-метил-2-фторбензамида и диэтилацеталя 2-бром-4-фторбензальдегида, 1H ЯМР (200 МГц; CDCl3) Н 5,83 (СНО2).
3. [2-(Диэтоксиметил)-4-фторфенил] -(2-фторфенил)метанон; исходя из N-метокси-N-метил-2-фторбензамида и диэтилацеталя 2-бром-5-фторбензальдегида, 1Н ЯМР (200 МГц; CDCl3) Н 5,62 (СНO2).
4. [4-Хлор-2-(диэтоксиметил)фенил] -(2-фторфенил)метанон; исходя из N-метокси-N-метил-2-фторбензамида и диэтилацеталя 2-бром-5-хлорбензальдегида, 1H ЯМР (200 МГц; CDCl3) Н 5,76 (СНO2).
5. [2-(Диэтоксиметил)-5-фторфенил] -(2,5-дифторфенил)метанон; исходя из N-метокси-N-метил-2,5-дифторбензамида и диэтилацеталя 2-бром-4-фторбензальдегида, 1H ЯМР (200 МГц; CDCl3) Н 5,68 (СНO2).
6. [2-(Диэтоксиметил)-4-фторфенил] -(2,5-фторфенил)метанон; исходя из N-метокси-N-метил-2,5-дифторбензамида и диэтилацеталя 2-бром-5-фторбензальдегида, 1H ЯМР(200 МГц; CDCl3) Н 5,80 (CHO2).
7. [2-(Диэтоксиметил)-4-фторфенил] -(4-хлор-2-фторфенил)метанон; исходя из N-метокси-N-метил-4-хлор-2-фторбензамида и диэтилацеталя 2-бром-5-фторбензальдегида, 1H ЯМР (200 МГц; CDCl3) Н 5,77 (СНO2).
8. [4-Хлор-2-(диэтоксиметил)фенил] -(4-хлор-2-фторфенил)метанон; исходя из N-метокси-N-метил-4-хлор-2-фторбензамида и диэтилацеталя 2-бром-5-хлорбензальдегида, 1H ЯМР (200 МГц; CDCl3) Н 5,73 (СНО2).
9. [(2-Диэтоксиметил) -4-трифторметилфенил] – (2-фторфенил) метанон; исходя из N-метокси-N- метил-4- трифторметил-2- фторбензамида и диэтилацеталя 2-бромбензальдегида, 1H ЯМР (200 МГц; CDCl3) Н 5,76 (CHO2).
10. [(2-Диэтоксиметил)фенил] -(2-фторфенил)метанон; исходя из N-метокси-N-метил-2-фторбензамида и диэтилацеталя 2-бромбензальдегида, 1H ЯМР (200 МГц; CDCl3) Н 5,75 (СНO2).
11. [(3-Диэтоксиметил)фенил] -(2-фторфенил)метанон; исходя из N-метокси-N-метил-2-фторбензамида и диэтилацеталя 3-бромбензальдегида, 1H ЯМР (200 МГц; CDCl3) Н 5,55 (СНO2).
12. [(4-Диэтоксиметил)фенил] -(2-фторфенил)метанон; исходя из N-метокси-N-метил-2-фторбензамида и диэтилацеталя 4-бромбензальдегида, 1H ЯМР (200 МГц; CDCl3) Н 5,56 (СНO2).
Пример 10: 2-(6-Хлор-1,2-бензизоксазол-3-ил)бензальдегидК раствору 3,3 г оксима ацетона в 80 мл тетрагидрофурана добавляли 5,3 г трет-бутоксида калия. Суспензию перемешивали в течение 30 мин, затем добавляли раствор 14,5 г сырого [2-(диэтоксиметил)фенил] (4-хлор-2-фторфенил)метанона в 20 мл тетрагидрофурана и раствор кипятили с обратным холодильником в течение 3,5 ч. Раствор охлаждали до комнатной температуры и разбавляли 200 мл воды, затем экстрагировали порциями 400 мл, затем 200 мл этилацетата. Объединенные органические слои промывали 200 мл солевого раствора, затем сушили над сульфатом натрия и выпаривали, получая 14,6 г сырого 0-[(2-(диэтоксиметил) бензоил)-4-хлорфенил] -оксим 2-пропанона в виде смолы. Этот материал суспендировали в 40 мл этанола и нагревали. К этой суспензии добавляли 80 мл метанола и раствор нагревали для кипячения с обратным холодильником. К этому раствору добавляли 27 мл 2 М хлористоводородной кислоты в виде одной порции. Выделялся твердый продукт, его отделяли фильтрованием при охлаждении, промывали водой и сушили в вакууме над силикагелем, получая 6,3 г 2-(6-хлор-1,2-бензизоксазол-3-ил)бензальдегида, плавящегося при 160-162oС. Сходным образом были получены: 1. 2-(6-Фтор-1,2-бензизоксазол-3-ил)бензальдегид; исходя из [2-(диэтоксиметил)фенил] (2,4-дифторфенил)метанона, плавящийся при 168-170oС. 2. 2-(5-Фтор-1,2-бензизоксазол-3-ил)бензальдегид; исходя из [2-(диэтоксиметил)фенил] (2,5-дифторфенил)метанона, плавящийся при 140-142oС. 3. 2-(1,2-Бензизоксазол-3-ил)-4-фторбензальдегид; исходя из [2-(диэтоксиметил)-5-фторфенил] (2-фторфенил)метанона, плавящийся при 126-129oС. 4. 2-(1,2-Бензизоксазол-3-ил)-5-фторбензальдегид; исходя из [2-(диэтоксиметил)-4-фторфенил] (2-фторфенил)метанона, плавящийся при 149-154oС. 5. 2-(1,2-Бензизоксазол-3-ил)-5-хлорбензальдегид; исходя из [4-хлор-2-(диэтоксиметил)фенил] (2-фторфенил)метанона, плавящийся при 178-179oС. 4-Фтор-2-(5-фтор-1,2- бензизоксазол-3-ил) бензальдегид; исходя из [2-(диэтоксиметил) -5-фторфенил] (2,5-дифторфенил) метанона, плавящийся при 165-166oС. 6. 3-Фтор-6- (5-фтор-1,2-бензизоксазол-3-ил) бензальдегид; исходя из [2-(диэтоксиметил) -4-фторфенил] (2,5-дифторфенил) -метанона, плавящийся при 167-173oС. 7. 2-(6-Хлор-1,2-бензизоксазол-3-ил) -5-фторбензальдегид; исходя из [2-(диэтоксиметил) -4-фторфенил] (4-хлор-2-фтор-фенил) метанона, плавящийся при 188-192oС. 8. 3-Хлор-6- (6-фтор-1,2-бензизоксазол-3-ил) бензальдегид; исходя из [4-хлор-2-(диэтоксиметил) фенил] (4-хлор-2-фторфенил) метанона, плавящийся при 225-228oС. 9. 2-(6-Трифторметил- 1,2-бензизоксазол-3-ил) бензальдегид; исходя из [(2-диэтоксиметил) -4-трифторметилфенил] (2-фторфенил) метанона, плавящийся при 105-106oС. 10. 2-(1,2-Бензизоксазол-3-ил) бензальдегид; исходя из [(2-(диэтоксиметил) фенил] (2-фторфенил) метанона, плавящийся при 149-155oС. 3-(1,2-Бензизоксазол-3-ил) бензальдегид; исходя из [(3-(диэтоксиметил) фенил] (2-фторфенил) метанона, 1Н ЯМР (200 МГц; DMSO-d6) Н 10,15 (СНО).
11. 4-(1,2-Бензизоксазол-3-ил) бензальдегид; исходя из [(4-(диэтоксиметил) фенил] (2-фторфенил) метанона, плавящийся при 116-117oС.
Пример 11: Гидрохлорид 2- (1,2-бензизоксазол-3-ил)- – 2- пропенилбензолметанаминаК раствору 4,1 г 2-(1,2-бензизоксазол-3-ил) бензальдегида в 50 мл сухого тетрагидрофурана, охлажденному до -78oС, в атмосфере азота добавляли 20 мл 1 М раствора бис(триметилсилил)амида лития в гексане. Смеси давали нагреться до комнатной температуры за период 1 ч. После охлаждения до -78oС в реакционную смесь по каплям добавляли 20 мл 1 М раствора аллилмагнийбромида в тетрагидрофуране, охлажденного при -78oС, в атмосфере азота. Получаемой суспензии давали нагреться и перемешивали при комнатной температуре в течение 2 ч. Добавляли воду и смесь экстрагировали этилацетатом. Объединенные органические слои промывали солевым раствором, сушили над сульфатом магния и выпаривали досуха при пониженном давлении, получая 4,7 г твердого продукта. Соединение очищали хроматографией на силикагеле, элюируя 5% этанолом в толуоле. Твердый продукт растворяли в этаноле и растирали с раствором хлорида водорода в диэтиловом простом эфире. Осажденную гидрохлоридную соль отделяли фильтрованием и перекристаллизовали из смеси этанол/диэтиловый эфир/гексан, получая гидрохлорид 2-(1,2-бензизоксазол-3-ил)- -2-пропенилбензолметанамина, плавящийся при 191oС.
Сходным образом были получены следующие соединения:1. Гидрохлорид 2-(6-фтор-1,2-бензизоксазол-3-ил)- -2-пропенилбензолметанамина, исходя из 2-(6-фтор-1,2-бензизоксазол-3-ил)бензальдегида, плавящийся при 192-195oС.
2. Гидрохлорид 2-(6-хлор-1,2-бензизоксазол-3-ил)- -2-пропенилбензолметанамина, исходя из 2-(6-хлор-1,2-бензизоксазол-3-ил)бензальдегида, плавящийся при 174-185oС.
3. Гидрохлорид 2-(5-фтор-1,2-бензизоксазол-3-ил)- -2-пропенилбензолметанамина, исходя из 2-(5-фтор-1,2-бензизоксазол-3-ил)бензальдегида, плавящийся при 209-214oС.
4. (Е)-Бутендиоат 2-(1,2-бензизоксазол-3-ил)-4-фтор- -2-пропенилбензолметанамина (соль 2: 1); исходя из 2-(1,2-бензизоксазол-3-ил)-4-фторбензальдегида, плавящийся при 168-176oС.
5. (Е)-Бутендиоат 2-(1,2-бензизоксазол-3-ил)-5-фтор- -2-пропенилбензолметанамина, исходя из 2-(1,2-бензизоксазол-3-ил)-5-фторбензальдегида, плавящийся при 176-180oС.
6. (Е)-Бутендиоат 2-(1,2-бензизоксазол-3-ил)-5-хлор- -2-пропенилбензолметанамина, исходя из 2-(1,2-бензизоксазол-3-ил)-5-хлорбензальдегида, плавящийся при 174-177oС.
7. (Е)-Бутендиоат 3-фтор-6- (5-фтор-1,2-бензизоксазол -3-ил)- – (2-пропенил) бензолметанамина, исходя из 3-фтор-6- (5-фтор-1,2-бензизоксазол-3-ил) бензальдегида, плавящийся при 168-173oС.
8. (Е)-Бутендиоат 4-фтор-6- (5-фтор-1,2-бензизоксазол- 3-ил) – – (2-пропенил) бензолметанамина, исходя из 4-фтор-6- (5-фтор-1,2-бензизоксазол -3-ил) бензальдегида, плавящийся при 164-169oС.
9. (Z)-Бутендиоат 2-(6-хлор-1,2-бензизоксазол-3-ил) -5-фтор- -(2-пропенил) бензолметанамина, исходя из 2-(6-хлор- 1,2-бензизоксазол-3-ил) -5-фторбензальдегида, плавящийся при 162-164oС.
10. (Е)-Бутендиоат 2-(6-трифторметил-1,2- бензизоксазол-3-ил) – -(2-пропенил) бензолметанамина, исходя из 2-(6-трифторметил- 1,2-бензизоксазол-3-ил) -5-фторбензальдегида, плавящийся при 179-186oС.
11. Гидрохлорид 2-(1,2-бензизоксазол-3-ил)- – (1-метил-2-пропенил) бензолметанамина в виде смеси 8: 2 диастереомеров по данным 1H ЯМР, исходя из 2-(1,2-бензизоксазол-3-ил) бензальдегида и кротилмагнийхлорида, 1H ЯМР (400 МГц; DMSO-d6) H 4,48, 4,42 (CHNH2).
12. Гидрохлорид 2-(1,2-бензизоксазол-3-ил) – -(2-метил-2-пропенил) бензолметанамина, исходя из 2-(1,2-бензизоксазол-3-ил) бензальдегида и 2-метил-2- пропенилмагнийбромида, плавящийся при 170-200oС.
13. (Z)-Бутендиоат 3-(1,2-бензизоксазол-3-ил)- – (2-пропенил) бензолметанамина, исходя из 3-(1,2-бензизоксазол- 3-ил) бензальдегида, плавящийся при 148-150oС.
Пример 12: Гидрохлорид (R)-2-(1,2-бензизоксазол-3-ил)- -(2-пропенилбензолметанаминаВсего 3 г 2-(1,2-бензизоксазол-3-ил)- -2-пропенилбензолметанамина разделяли хиральной ВЭЖХ с использованием колонки 250 4,6 мм с Chiracel OJ (Baker), элюируя смесью гексан/этанол, 90/10, содержащей 0,1-0,2% диэтиламина, при расходе 1 мл/мин при комнатной температуре. Первые фракции объединяли, выпаривали досуха при пониженном давлении и превращали в его гидрохлоридную соль добавлением одного эквивалента хлористоводородной кислоты в метаноле. Перекристаллизация из смеси этанол/диэтиловый простой эфир давала 1,02 г гидрохлорида (R)-2-(1,2-бензизоксазол-3-ил)- -2-пропенилбензолметанамина, плавящегося при 191oС, (с= 0,5 в метаноле): +19,0.
Сходным образом были получены следующие соединения:1. Гидрохлорид (R)-(+)-2-(6-фтор-1, 2-бензизоксазол-3-ил)- -2-пропенилбензолметанамина, плавящийся при 148-150oС, (с= 0,5 в метаноле) +10,7.
2. Гидрохлорид (R)-(+)-2-(6-хлор-1,2-бензизоксазол-3-ил)- -2-пропенилбензолметанамина, плавящийся при 144-159oС, (с= 0,7 в метаноле) +21,0.
3. (Е)-Бутендиоат (R)-(+)-2-(1,2-бензизоксазол-3-ил)-4-фтор- -2-пропенилбензолметанамина, плавящийся при 104-109oС, (с= 0,5 в метаноле) +9,4.
4. (Е)-Бутендиоат (R)-(+)-2-(1,2-бензизоксазол-3-ил)-5-фтор- -2-пропенилбензолметанамина, плавящийся при 171-173oС, (с= 0,5 в метаноле) +14,0.
5. (Е)-Бутендиоат (+)-2-(1,2-бензизоксазол-3-ил)- -2-пропинилбензолметанамина, плавящийся при 165-170oС, (с= 0,7 в метаноле) +9,4.
6. (Е)-Бутендиоат (+)-2-(6-хлор-1,2-бензизоксазол-3-ил)- -2-пропинилбензолметанамина (соль 1: 2), плавящийся при 176-179oС, (с= 0,5 в метаноле) +20,7.
Пример 13: Гидрохлорид (S)-2-(1,2-бензизоксазол-3-ил)- -2-пропенилбензолметанаминаВторые фракции разделения хиральной ВЭЖХ, описанного в примере 12, объединяли, выпаривали досуха при пониженном давлении и превращали в его соль хлористоводородной кислоты путем добавления одного эквивалента хлористоводородной кислоты в метаноле. Перекристаллизация из смеси этанол/диэтиловый простой эфир дала 1,0 г гидрохлорида (S)-2-(1,2-бензизоксазол-3-ил)- -2-пропенилбензолметанамина, плавящегося при 191oС, (с= 0,5 в метаноле): -19,5.
Сходным образом были получены следующие соединения:1. (Е)-Бутендиоат (S)-(-)-2- (6-фтор-1,2-бензизоксазол-3-ил)- -2- пропенилбензолметанамина, плавящийся при 146-149oС, (с= 0,5 в метаноле): -9,4. 2. (Е)-Бутендиоат (S)-(-)-2-(1,2-бензизоксазол-3-ил)-4-фтор- -2-пропенилбензолметанамина, плавящийся при 97-108oС, (с= 0,5 в метаноле): -10,9.
3. (Е)-Бутендиоат (S)-2-(1,2-бензизоксазол-3-ил) -5-фтор- -2- пропенилбензолметанамина, плавящийся при 174-176oС, (с= 0,56 в метаноле): -12,6.
4. (Е)-Бутендиоат (-)-2-(1,2-бензизоксазол-3-ил) – -2- пропинилбензолметанамина, плавящийся при 161-169oС, (с= 0,8 в метаноле): -10,4.
5. (Е)-Бутендиоат (-)-2-(6-хлор-1,2-бензизоксазол-3-ил) – -2- пропинилбензолметанамина (соль 2: 1), плавящийся при 198-202oС, (с= 0,5 в метаноле): -19,7.
Пример 14: Гидрохлорид 2-(1-метил-1H-индазол-3-ил)- -2-пропенилбензолметанамина.
Исходя из 0,6 г 2-(1-метил-1Н-индазол-3-ил)бензальдегида по методике, описанной для примера 7, было получено 0,48 г гидрохлорида 2-(1-метил-1Н-индазол-3-ил)- -2-пропенилбензолметанамина в виде твердого продукта, плавящегося при 137oС.
Пример 15: Гидрохлорид 2-(1,2-бензизоксазол-3-ил)- -бутил бензолметанаминаАналогичным путем, как описано для примера 11, был получен 2-(1,2-бензизоксазол-3-ил)- -бутилбензолметанамин с использованием бутиллития вместо аллилмагнийбромида.
Гидрохлоридиая соль плавилась при 152oС.
Пример 16: Гидрохлорид -[2-(1,2-бензизоксазол-3-ил)фенил] -N-метилбензолэтанаминаРаствор 4,9 г 2-(1,2-бензизоксазол-3-ил)бензальдегида в 250 мл сухого толуола, содержащего 20 г молекулярных сит 4 ангстрема, охлаждали до -10oС. В этот раствор медленно, в течение 0,5 ч барботировали монометиламин, высушенный над гидроксидом калия. После перемешивания при комнатной температуре в течение 2 ч раствор фильтровали. Фильтрат выпаривали досуха при пониженном давлении, получая 5,1 г сырого метиламина. Альтернативно, смесь, содержащую 2 г 2-(1,2-бензизоксазол-3-ил)бензальдегида, 0,96 г бензиламина, каталитическое количество п-толуолсульфоновой кислоты и 50 мл сухого метанола, перемешивали при комнатной температуре в атмосфере азота. Через 3 ч смесь выпаривали досуха при пониженном давлении, добавляли воду и смесь экстрагировали несколько раз этилацетатом. Органические слои объединяли, промывали водой, сушили над сульфатом магния и выпаривали досуха при пониженном давлении, получая 2,7 г сырого бензилимина. В атмосфере азота 0,53 г сырого метиламина (или, альтернативно, 0,7 г сырого бензиламина), растворенного в 10 мл сухого тетрагидрофурана, добавляли по каплям к раствору 2,25 мл 2 н. раствора бензилмагнийхлорида в сухом тетрагидрофуране, разбавляли 40 мл сухого тетрагидрофурана. Реакционную смесь перемешивали в течение 16 ч при комнатной температуре. Добавляли водный раствор хлорида аммония и смесь экстрагировали несколько раз этилацетатом. Органические слои объединяли, промывали водой, сушили над сульфатом магния и выпаривали досуха при пониженном давлении. Остаток очищали хроматографией на силикагеле, элюируя 1% этилацетатом в гептане. Это давало 0,28 г чистого соединения, которое растворяли в этаноле и превращали в его гидрохлоридную соль добавлением раствора хлорида водорода в этаноле и осаждали добавлением диэтилового простого эфира. Осажденную соль отделяли фильтрованием и перекристаллизовали из смеси этанол/диэтиловый эфир, получая 0,2 г гидрохлорида -[2-(1,2-бензизоксазол-3-ил) фенил] -N- метилбензолэтанамина, плавящегося при 175oС.
Аналогичным путем были получены:1. 2-(1,2-Бензизоксазол-3-ил)-N-метил- -2-пропенилбензолметанамин, с использованием метиламина и аллилмагнийбромида (C. I. ) (m/z): 279 [М+Н] +.
2. -[2-(1,2-Бензизоксазол-3-ил)фенил] -N-бензилбензолэтанамин; с использованием бензиламина и бензилмагнийбромида, плавящийся при 153oС.
3. 2-(1,2-Бензизоксазол-3-ил)-N-бензил- -2-пропенилбензолметанамин; с использованием бензиламина и аллилмагнийбромида, плавящийся при 132oС.
4. 2-(1,2-Бензизоксазол-3-ил)-N-фенилэтил- -2-пропенилбензолметанамин; с использованием фенилэтиламина и аллилмагнийбромида МС (C. I. ) (m/z): 369 [М+Н] +.
Пример 17: Метиловый эфир (S)-N-[1-[2- (1,2-бензизоксазол-3-ил)фенил] -3-бутенил] -L-валина28 г 2-(1,2-Бензизоксазол-3-ил)бензальдегида и 21 г гидрохлорида метилового эфира L-валина суспендировали в 250 мл этанола. После добавления 17,5 мл триэтиламина смесь перемешивали при 40oС в течение 16 ч. Реакционную смесь выпаривали досуха при пониженном давлении. К этому остатку добавляли 250 мл сухого диэтилового простого эфира. После перемешивания в течение 0,5 ч при комнатной температуре осадок отделяли фильтрованием и фильтрат выпаривали досуха при пониженном давлении, получая 42 г твердого продукта. В атмосфере азота 36 г твердого продукта растворяли в 270 мл сухого тетрагидрофурана, после чего добавляли 13,95 г цинка и 13,95 мл аллилбромида. Смесь перемешивали при комнатной температуре в течение 16 ч, после чего осадок отделяли фильтрованием. Фильтрат разбавляли водой и экстрагировали несколько раз этилацетатом. Объединенные органические слои промывали водой, сушили над сульфатом магния и выпаривали досуха при пониженном давлении, получая 39,8 г метилового эфира (S)-N-[1-[2-(1,2-бензизоксазол-3-ил)фенил] -3-бутенил] -L-валина в виде твердого вещества. Аналогичным путем были получены: метиловый эфир (S)-N-[1-[2- (6-хлор-1,2-бензизоксазол-3-ил)-фенил] -3-бутенил] -L- валина; исходя из 2-(6-хлор-1,2-бензизоксазол-3-ил) бензальдегида, метиловый эфир (S)-N-[1-[2- (6-фтор-1,2-бензизоксазол-3-ил) -фенил] -3-бутенил] -L-валина; исходя из 2-(6-фтор-1,2- бензизоксазол-3-ил) бензальдегида. Пример 18: [S-(R*, R*)] -2- [[1-[2-(1,2-Бензизоксазол-3-ил) фенил] -3-бутенил] амино] -3-метил-1- бутанол В атмосфере азота 5,6 г литийалюминийгидрида добавляли к 500 мл сухого тетрагидрофурана. Смесь охлаждали до -10oС и медленно добавляли раствор 30 г метилового эфира (S)-N-[1-[2-(1,2-бензизоксазол-3-ил)фенил] -3-бутенил] -L-валина в 500 мл сухого тетрагидрофурана. Смесь перемешивали при -10oС в течение 16 ч, после чего медленно добавляли 22 мл воды. После перемешивания при комнатной температуре в течение 0,5 ч добавляли сульфат магния. Твердую часть отделяли фильтрованием и фильтрат выпаривали досуха при пониженном давлении, получая 25 г [S-(R*, R*)] -2-[[1-[2-(1,2-бензизоксазол-3-ил)фенил] -3-бутенил] амино] -3-метил-1-бутанола. Аналогичным путем были получены: [S-(R*, R*)] -2-[[1- [2-(6-хлор-1,2-бензизоксазол-3-ил) фенил] -3-бутенил] амино] -3-метил-1- бутанол, исходя из метилового эфира (S)-N-[1-[2-(6-хлор-1,2-бензизоксазол-3-ил) фенил] -3-бутенил] -L-валина, [S-(R*, R*)] -2-[[1- [2-(6-фтор-1,2-бензизоксазол-3-ил) фенил] -3-бутенил] амино] -3-метил-1- бутанол, исходя из метилового эфира (S)-N-[1-[2-(6-фтор-1,2-бензизоксазол-3-ил) фенил] -3-бутенил] -L-валина. Пример 19: Гидрохлорид (S)-2- (1,2-бензизоксазол-3-ил)- -2- пропенилбензолметанаминаК раствору 18 г [S-(R*, R*)] -2-[[1-[2- (1,2-бензизоксазол-3-ил) фенил] -3-бутенил] амино] -3-метил -1-бутанола в 310 мл метанола добавляли 34,4 мл 40% водного метиламина в 276 мл воды. К этой смеси медленно добавляли 61,6 г периодной кислоты. После перемешивания при комнатной температуре в течение 4 ч смесь экстрагировали несколько раз диэтиловым эфиром. К объединенным органическим слоям добавляли 100 мл 4 н. водного HCl. Количество диэтилового эфира снижали при пониженном давлении до 20% его первоначального объема. После перемешивания при комнатной температуре в течение 0,5 ч оставшуюся смесь охлаждали до 0-5oС и рН устанавливали до 7 добавлением 4 н. водного гидроксида натрия. Смесь экстрагировали несколько раз этилацетатом. Объединенные органические слои промывали водой, сушили над сульфатом магния и выпаривали досуха при пониженном давлении, получая 14 г твердого продукта. Твердый продукт растворяли в этаноле и к нему добавляли раствор хлорида водорода в этаноле до достижения слабо кислотного значения рН получаемого раствора. Смесь выпаривали досуха при пониженном давлении и получаемый остаток растворяли в 25 мл сухого этанола и добавляли 50 мл сухого диэтилового простого эфира. После перемешивания при комнатной температуре в течение 16 ч осадок собирали и сушили, получая 6,5 г твердого продукта, который перекристаллизовали из смеси этанол/диэтиловый эфир, получая 6,2 г чистого гидрохлорида (S)-2- (1,2-бензизоксазол-3-ил) – -2- пропенилбензолметанамина, т. пл. 191oС, (с= 0,5 в метаноле): -19,5.
Аналогичным путем были получены:1. Гидрохлорид (S)-2-(6-фтор-1,2-бензизоксазол-3-ил) – -2- пропенилбензолметанамина, плавящийся при 166-174oС, а (с= 0,4 в метаноле): -11,2.
2. Гидрохлорид (S)-2-(6-хлор-1,2-бензизоксазол-3-ил) – -2- пропенилбензолметанамина, плавящийся при 169-178oС, а (с= 0,9 в метаноле): -7,8.
Пример 20: Гидрохлорид 2-(1,2-бензизоксазол-3-ил)-N, N-диметилбензолметанаминаК раствору 8,0 г гидрохлорида диметиламина в 70 мл метанола добавляли в виде одной порции всего 2,0 г 2-(1,2-бензизоксазол-3-ил)бензальдегида. Реакционную смесь перемешивали при комнатной температуре в течение 16 ч, после чего добавляли 2,0 г борогидрида натрия. После перемешивания при комнатной температуре в течение еще 24 ч твердую часть отделяли фильтрованием и остаток промывали дихлорметаном. Объединенный фильтрат сушили над сульфатом магния и выпаривали досуха при пониженном давлении. Полученный твердый продукт очищали хроматографией на силикагеле с элюированием этилацетатом, получая 0,89 г. Этот твердый продукт растворяли в этилацетате и растирали с раствором хлорида водорода в метаноле. Этот раствор выпаривали досуха при пониженном давлении и остаток кристаллизовали из смеси этанол/диэтиловый эфир/гексан, получая 0,54 г чистого гидрохлорида 2-(1,2-бензизоксазол-3-ил)-N, N-диметилбензолметанамина, плавящегося при 190oС. Пример 21 Промежуточные имины, полученные с использованием первичных аминов, можно выделить, как описано в примере 16, до восстановления борогидридом натрия. Аналогичным путем были получены: 1. Гидрохлорид 2-(1,2-бензизоксазол-3-ил) -N- метилбензолметанамина, плавящийся при 230oС. 2. Гидрохлорид 2-(1,2-бензизоксазол-3-ил) -N-2- пропенилбензолметанамина, плавящийся при 176oС. 3. Этандиоат 2-(1,2-бензизоксазол-3-ил) -N- бензилбензолметанамина, плавящийся при 165oС. 4. Этандиоат 2-(1,2-бензизоксазол-3-ил)-N- [(2-метоксифенил) метил] бензолметанамина, плавящийся при 184oС. 5. Гидрохлорид 2-(1,2-бензизоксазол-3-ил)-N- [[4-(1,2,3-тиазол-4-ил) фенил] метил] бензолметанамина, плавящийся при 176oС. 6. Дигидрохлорид N-[[2-(1,2-бензизоксазол-3-ил) фенил] метил] -3-пиридинметанамина, плавящийся при 154oС. 7. Гидрохлорид N-[[2-(1,2-бензизоксазол-3-ил) фенил] метил] – бензолэтанамина, плавящийся при 192oС. Пример 22: 2-(1,2-Бензизоксазол-3-ил)-N-[[2-(1,2-бензизоксазол-3-ил)фенил] метил] бензолметанамин Смесь 2,0 г 2-(1,2-бензизоксазол-3-ил)бензальдегида и 7,0 г ацетата аммония в 200 мл сухого метанола кипятили с обратным холодильником в присутствии молекулярных сит 3 в течение 12 ч, после чего добавляли 2,0 г борогидрида натрия. После перемешивания при комнатной температуре в течение еще 24 ч, твердое вещество отделяли фильтрованием и остаток промывали дихлорметаном. Объединенный фильтрат сушили над сульфатом магния и выпаривали досуха при пониженном давлении, получая 3,5 г масла. Кристаллизация из простого диэтилового эфира давала 1,7 г 2-(1,2-бензизоксазол -3-ил) -N-[[2-(1,2-бензизоксазол-3-ил) фенил] метил] бензолметанамина, плавящегося при 138oС.
Пример 23: (Z)-2-Бутендиоат- -амино-2-(1,2-бензизоксазол-3-ил)бензолацетонитрила10 г Цианида натрия и 11 г хлорида аммония растворяли в 40 мл воды. Добавляли суспензию 44,6 г 2-(1,2-бензизоксазол-3-ил) бензальдегида в 40 мл метанола и получаемую реакционную смесь энергично перемешивали в течение 2 ч. Добавляли всего 100 мл воды и смесь экстрагировали несколько раз толуолом. Объединенные органические слои промывали водой и экстрагировали двумя порциями по 200 мл 2 н. HCl. Водные слои объединяли, устанавливали рН до 7 бикарбонатом натрия и получаемую смесь экстрагировали несколько раз простым диэтиловым эфиром. Объединенные органические слои сушили над сульфатом магния и выпаривали досуха при пониженном давлении, получая 4,7 г твердого продукта, который растворяли в диэтиловом эфире. К этому раствору добавляли 2,2 г малеиновой кислоты, растворенной в диэтиловом эфире. Образованный осадок отделяли фильтрованием и сушили, получая 3 г (Z)-2-бутендиоата- -амино-2-(1,2-бензизоксазол-3-ил) бензолацетонитрила, плавящегося при 126oС.
Пример 24: Метил- -амино-2-(1,2-бензизоксазол-3-ил) бензолацетатК смеси 6 мл концентрированной хлористоводородной кислоты и 6 мл воды добавляли 2,0 г (Z)-2-бутендиоата- – амино-2- (1,2-бензизоксазол-3-ил) бензолацетонитрила. Эту смесь нагревали при кипячении с обратным холодильником в течение 20 ч, охлаждали до комнатной температуры и рН устанавливали до 8 концентрированным водным аммиаком. Осадок отделяли фильтрованием, промывали водой и растворяли в 1 н. водном гидроксиде натрия. Этот раствор промывали простым диэтиловым эфиром, нейтрализовали 2 н. водной хлористоводородной кислотой и экстрагировали несколько раз диэтиловым эфиром. Объединенные органические слои промывали водой, сушили над сульфатом магния и выпаривали досуха. Остаток растворяли в смеси 8 мл 1 н. водного гидроксида натрия и 5 мл этанола, добавляли 0,5 г обесцвечивающего угля, смесь нагревали на паровой бане и фильтровали. Фильтрат подкисляли 5 н. водной хлористоводородной кислотой. Образованный осадок отделяли фильтрованием и промывали водой. Полученную аминокислоту далее не очищали, но растворяли в 20 мл сухого диэтилового эфира. В этот раствор барботировали диазометан, полученный добавлением 33% водного гидроксида натрия к суспензии 1 г N-метил-N-нитрозо-п-толуолсульфонамида в 6 мл этанола. После перемешивания реакционной смеси при комнатной температуре в течение 2 ч в атмосфере азота добавляли 1 мл концентрированной уксусной кислоты. После выдерживания при комнатной температуры в течение 0,5 ч добавляли 50 мл 2 н. водного карбоната натрия. Органический слой собирали, промывали водой, сушили над сульфатом магния и выпаривали досуха, получая 0,6 г метил- -амино-2-(1,2-бензизоксазол-3-ил)бензолацетата.
Пример 25: 2-(1,2-Бензизоксазол-3-ил)бензолметанолСуспензию 10 г 2-(1,2-бензизоксазол-3-ил)бензальдегида и 3,4 г борогидрида натрия в 800 мл этанола перемешивали в течение 16 ч в атмосфере азота. Добавляли воду и смесь экстрагировали дихлорметаном. Объединенные органические слои промывали солевым раствором, сушили над сульфатом магния и выпаривали досуха при пониженном давлении, получая 8,5 г твердого продукта, который очищали хроматографией на силикагеле с элюированием 1% этилацетатом в гексане, получая 7,0 г 2-(1,2-бензизоксазол-3-ил)бензолметанола, плавящегося при 55oС. Пример 26: 2-(1,2-Бензизоксазол-3-ил)- -2-пропенилбензолметанолК 5 мл уксусной кислоты добавляли 3,0 г цинковой стружки и 0,3 г моногидрата ацетата меди (II). Эту смесь перемешивали при комнатной температуре в течение 0,5 ч. Твердый продукт отделяли фильтрованием и промывали диэтиловым эфиром и тетрагидрофураном. Этот твердый продукт суспендировали в 15 мл тетрагидрофурана и медленно добавляли 5,0 г 2-(1,2-бeнзизoкcaзoл-3-ил)бензальдегида и 3,75 г пропаргилбромида в 1,5 мл тетрагидрофурана. Получаемую смесь нагревали при кипячении с обратным холодильником в течение 1 ч, охлаждали до комнатной температуры и гасили 10 мл 2 н. водной хлористоводородной кислоты. Получаемую смесь экстрагировали несколько раз диэтиловым эфиром, объединенные органические слои промывали водой, сушили над сульфатом магния и выпаривали досуха при пониженном давлении, получая 4,8 г 2-(1,2-бензизоксазол-3-ил)- -2- пропенилбензолметанола в виде масла, МС (C. I. ) (m/z): 264 [М+Н] +, 246(100%) [М+Н-Н2О] +.
Пример 27: 2-(1,2-Бензизоксазол-3-ил)- -метилбензолметанолВ 500 мл сухого диэтилового эфира в атмосфере азота растворяли 9,25 г 2,6-ди-трет-бутил-4-метилфенола. К этому раствору медленно добавляли 21 мл 2 М раствора триметилалюминия в толуоле. Смесь перемешивали при комнатной температуре в течение 1 ч, после чего медленно добавляли раствор 6,25 г 2-(1,2-бензизоксазол-3-ил)бензальдегида в 500 мл сухого толуола. После перемешивания смеси при комнатной температуре в течение 60 ч, медленно добавляли воду и смесь экстрагировали несколько раз диэтиловым эфиром. Объединенные органические слои промывали водой, сушили над сульфатом магния и выпаривали досуха при пониженном давлении, получая 13,8 г твердого продукта, который очищали хроматографией на силикагеле с элюированием толуолом, получая 5,0 г 2-(1,2-бензизоксазол-3-ил)- -метилбензолметанола, МС (C. I. ) (m/z): 240 [М+Н] +, 222(100%) [M+H-H2O] +.
Пример 28: 1-[2-(1,2-Бензизоксазол-3-ил)фенил] этанон4,6 г 2-(1,2-бензизоксазол-3-ил)- -метилбензолметанола растворяли в 46 мл сухого пиридина. В атмосфере азота при комнатной температуре медленно добавляли 4,6 г триоксида хрома. После перемешивания при комнатной температуре в течение 4 ч к реакционной смеси добавляли 200 мл диэтилового эфира. Осадок отделяли фильтрованием и промывали диэтиловым эфиром. Фильтрат промывали 5 порциями по 100 мл 2 н. водной хлористоводородной кислоты и 2 порциями по 200 мл воды, сушили над сульфатом магния и выпаривали досуха, получая 4,5 г 1-[2-(1,2-бензизоксазол-3-ил)фенил] этанона, плавящегося при 108oС.
Пример 29: Этандиоат 2-(1,2-бензиаоксазол-3-ил)- , N-диметилбензолметанаминаК раствору 2 г 1-[2-(1,2-бензизоксазол-3-ил)-фенил] этанона в 20 мл сухого простого диэтилового эфира при -78oС добавляли 20 мл монометиламина. После добавления 2 мл тетрахлорида титана реакционной смеси давали нагреться. После перемешивания при комнатной температуре в течение еще 16 ч осадок отделяли фильтрованием. Получаемый фильтрат выпаривали досуха, получая 1,8 г масла. В атмосфере азота полученное масло растворяли в 100 мл сухого этанола и медленно добавляли 1,5 г борогидрида натрия. После перемешивания при комнатной температуре в течение 48 ч твердый продукт отделяли фильтрованием и остаток промывали дихлорметаном. Объединенный фильтрат сушили над сульфатом магния и выпаривали досуха при пониженном давлении, получая 1,67 г твердого продукта, который растворяли в 5 мл сухого этанола и обрабатывали раствором 0,84 г этандиовой кислоты в этаноле. Осадок фильтровали и перекристаллизовали из этанола, получая 2,0 г этандиоата 2-(1,2-бензизоксазол-3-ил)- , N-диметилбензолметанамина, плавящегося при 185oС.
Пример 30: 2-[[2-(1,2-Бензизоксазол-3-ил)фенил] метил] -1Н-изоиндол-1,3(2Н)-дионВ атмосфере азота к раствору 6,6 г 2-(1,2-бензизоксазол-3-ил)бензолметанола в 100 мл сухого дихлорметана при 0oС по каплям добавляли 24 мл метансульфонилхлорида. После перемешивания реакционной смеси при комнатной температуре в течение 4 ч добавляли воду. Органический слой собирали, промывали солевым раствором, сушили над сульфатом магния и выпаривали досуха при пониженном давлении, получая твердый продукт, который очищали хроматографией на силикагеле с элюированием 20% этилацетатом в гептане, получая 4 г твердого продукта. Этот твердый продукт растворяли в 100 мл сухого N, N-диметилформамида и добавляли 3,2 г фталимида калия. Реакционную смесь нагревали при 100oС в атмосфере азота в течение 3 ч. После охлаждения до комнатной температуры смесь выливали на смесь лед-вода и экстрагировали несколько раз этилацетатом. Объединенные органические слои промывали солевым раствором, сушили над сульфатом магния и выпаривали досуха при пониженном давлении, получая 5,3 г твердого продукта, который перекристаллизовали из смеси этилацетат/диэтиловый эфир, получая 4,9 г 2-[[2-(1,2-бензизоксазол-3-ил)фенил] метил] -1Н-изоиндол-1,3(2Н)-диона, плавящегося при 142oС. Пример 31: Гидрохлорид 2-(1,2-бензизоксазол-3-ил)бензолметанамина Смесь 100 мл сухого этанола, 4,8 г 2-[[2-(1,2-бензизоксазол-3-ил)фенил] метил] -1H-изоиндол-1,3(2Н)-диона и 4,1 г моногидрата гидразина кипятили с обратным холодильником в течение 4 ч. После охлаждения до комнатной температуры добавляли этилацетат и 1 н. водный гидроксид натрия. Органический слой собирали, промывали солевым раствором, сушили над сульфатом магния и выпаривали досуха при пониженном давлении, получая твердый продукт, который растирали с раствором хлористоводородной кислоты в метаноле. Кристаллизация из смеси этилацетат/этанол/диэтиловый эфир давала 2,2 г гидрохлорида 2-(1,2-бензизоксазол-3-ил) -бензолметанамина, плавящегося при 233oС. Пример 32: 3-[2-(1-Азидо-3-бутинил)фенил] -1,2-бензизоксазол Смесь, содержащую 4,0 г 2-(1,2-бензизоксазол-3-ил) -2-пропенилбензолметанола, 4,32 г трифенилфосфина, 2,61 г диэтилазодикарбоксилата и 4,12 г дифенилфосфорилазида в 50 мл бензола, перемешивали при комнатной температуре в течение 24 ч. Выпаривание растворителя при пониженном давлении дало твердый продукт, который очищали хроматографией на силикагеле с элюированием 5% этанолом в толуоле, получая 1,5 г 3-[2-(1-азидо-3-бутинил)фенил] -1,2-бензизоксазола в виде масла, МС (C. I. ) (m/z): 289 [М+Н] +.
Пример 33: Этандиоат 2-(1,2-бензизоксазол-3-ил)- -2-пропинилбензолметанаминСмесь, содержащую 1,0 г 3-[2-(1-азидо-3-бутинил)-фенил)] -1,2 бензизоксазола, 1,0 г трифенилфосфина, 10 мл диэтилового эфира, 10 мл тетрагидрофурана и 5 мл воды, перемешивали при комнатной температуре в течение 16 ч. Добавляли воду и смесь экстрагировали несколько раз диэтиловым эфиром. Органические слои объединяли, промывали солевым раствором, сушили над сульфатом магния и выпаривали досуха при пониженном давлении. Остаток растворяли в смеси диэтиловый эфир/этилацетат и обрабатывали 0,32 г щавелевой кислоты. Осадок отделяли фильтрованием и сушили, получая 0,82 г этандиоата 2-(1,2-бензизоксизол-3-ил)- -2-пропинил-бензолметанамина, точка плавления > 250oС.
Пример 34: 2-[2-(1,2-Бензизоксалол-3-ил)бензиламино] -3-фенилпропионамидК раствору 3,87 г N-флуоренилметоксикарбонил-L-фенилпропионамида (Gmoc-LPHe-OH, Bachem) в смеси 25 мл дихлорметана и 15 мл N, N-диметилформамида добавляли 0,63 г диизопропилкарбодиимида. После перемешивания в течение 0,5 ч дихлорметан удаляли выпариванием и добавляли 0,5 г смолы Wang (Bachem, загрузка 0,98 ммоль/г), суспендированной в 10 мл N, N-диметилформамида. Эту суспензию перемешивали в течение 1 ч при комнатной температуре, смолу отделяли фильтрованием и промывали 5 10 мл N, N-диметилформамида. Смолу суспендировали в 10 мл 25% пиперидина в N, N-диметилформамиде и перемешивали в течение 10 мин. Смолу отделяли фильтрованием и ресуспендировали в 10 мл 25% пиперидина в N, N-диметилформамиде и перемешивали в течение 10 мин. Смолу отделяли фильтрованием и промывали N, N-диметилформамидом до достижения нейтральности.
Смолу суспендировали в 5 мл N, N-диметилформамида, добавляли 400 мг 2-(1,2-бензизоксазол-3-ил)бензальдегида, затем 15 мл триметилортоформиата и получаемую суспензию перемешивали в течение 1 ч. Затем добавляли 330 мг цианоборогидрида натрия, затем, через 15 мин, 400 мкл уксусной кислоты. После перемешивания в течение 1 ч смолу отделяли фильтрованием и промывали 5 10 мл N, N-диметилформамида и 5 10 мл этанола. К смоле добавляли 1 мл N, N-диметилформамида и 10 мл 9 М раствора метиламина в метаноле и суспензию перемешивали в течение ночи. Смолу отделяли фильтрованием и промывали 3 5 мл метанола. Объединенные фильтрат и промывочную жидкость выпаривали досуха. Получаемый материал растворяли в 0,1 М хлористоводородной кислоте и лиофилизовали, получая 120 мг 2-[2-(1,2-бензизоксазол-3-ил)бензиламино] -3-фенилпропионамида (65%, FAB-MS [M+H] 385, присутствует около 20% диалкилированного материала ([М-Н] 608). Этот материал можно очищать препаративной ВЭЖХ.
Пример 35: (Е)-Бутендиоат 2-(1,2-бензизоксазол-3-ил) – -метил- -(2-пропенил) бензолметанамина(2-Бромфенил) (4-метил-2,6,7-триоксабицикло [2.2.2] октан) метан Суспензию 25,6 г 2-бромфенилуксусной кислоты в 100 мл тионилхлорида кипятили с обратным холодильником в течение 3 ч. Избыток тионилхлорида удаляли при пониженном давлении, получая 30 г сырого промежуточного 2-бромфенилацетоилхлорида в виде масла. Этот сырой хлорангидрид растворяли в 100 мл метиленхлорида и добавляли к раствору 19,3 мл пиридина и 12,5 мл 3-метил-3-оксетанметанола в 300 мл метиленхлорида при 0oС. Раствор перемешивали при 0oС в течение 1 ч, затем нагревали до комнатной температуры и перемешивали в течение 4 ч. Реакционную смесь разбавляли 600 мл метиленхлорида, затем промывали по 400 мл каждого из воды, 2 М хлористоводородной кислоты, 5% раствора карбоната натрия, воды и солевого раствора. Органический слой сушили над сульфатом натрия и выпаривали, получая 33,8 г сырого 3-метил-3-оксетанметил- 2- бромфенилацетата. Этот сырой эфир растворяли в 100 мл метиленхлорида и охлаждали до 0oС. К этому раствору добавляли 7 мл эфирата трифторида бора, раствор перемешивали в течение 1 ч, затем гасили добавлением 30 мл триэтиламина, затем 300 мл эфира. Кристаллический твердый продукт отделяли фильтрованием и фильтрат выпаривали, получая 34,8 г (2-бромфенил)(4-метил-2,6,7-триоксабицикло[2.2.2] октан)метана в виде смолы, которая медленно отверждалась, ГХ-МС (E. I. ) (m/z): 298 [М] +. (2-фторфенил) [(4-метил-2,6,7-триоксабицикло [2.2.2] октан) метил] метанон Механически перемешиваемый раствор 27,4 г (2-бромфенил)(4-метил-2,6,7-триоксабицикло[2.2.2] октан)метана в 500 мл тетрагидрофурана охлаждали до -65oС. К этому охлажденному раствору быстро добавляли 67 мл 1,5 М раствора бутиллития в гексане. Раствор нагревали до -20oС и перемешивали в течение 20 мин. Раствор охлаждали до -40oС и посредством трубки добавляли 17,2 г 2-фторбензальдегида в 50 мл тетрагидрофурана. Раствор нагревали до 0oС и перемешивали в течение 1,5 ч, затем гасили добавлением 200 мл воды и 100 мл эфира. Органический слой отделяли и водный слой экстрагировали 100 мл эфира. Объединенные органические слои сушили над сульфатом натрия и выпаривали, получая 30,9 г сырого [(4-метил-2,6,7-триоксабицикло[2.2.2] октан)метил] – -(2-фторфенил)бензолметанола в виде смолы, которая отверждается. К этому материалу добавляли 400 мл толуола и 138,3 г диоксида марганца. Суспензию кипятили с обратным холодильником в течение ночи в условиях Дина-Старка, затем охлаждали до комнатной температуры и фильтровали через дикалит. Остаток промывали 200 мм тетрагидрофурана и фильтраты выпаривали, получая 20,4 г (2-фторфенил)- [(4-метил-2,6,7 -триоксабицикло [2.2.2] октан) метил] метанона в виде смолы, ГХ-МС (E. I. ) (m/z): 342 [М] +.
Этил-[2-(1,2-бензизоксазол-3-ил)фенил] ацетатК раствору 4,78 г оксима ацетона в 250 мл тетрагидрофурана добавляли 7,38 г трет-бутоксида калия. Суспензию перемешивали в течение 20 мин, затем добавляли раствор 20,4 г (2-фторфенил) [(4-метил-2,6,7-триоксабицикло- [2.2.2] октан) метил] метанона в 100 мл тетрагидрофурана и раствор кипятили с обратным холодильником в течение 18 ч. Раствор охлаждали до комнатной температуры и разбавляли 200 мл воды, затем экстрагировали двумя порциями по 500 мл этилацетата. Объединенные органические слои промывали 200 мл солевого раствора, затем сушили над сульфатом натрия и выпаривали, получая 22,1 г сырого 0-[(2-(4-метил-2,6,7-триоксабицикло[2.2.2] октан)метил)бензоилфенил] оксима 2-пропанона. К раствору 9,2 г сырого 0-[(2-(4-метил-2,6,7-триоксабицикло[2.2.2] октан)метил)бензоилфенил] оксима 2-пропанона в 100 мл этанола добавляли 15 мл концентрированной серной кислоты с крайней предосторожностью. Раствор кипятили с обратным холодильником в течение 45 мин, затем охлаждали до комнатной температуры, затем выливали на лед и экстрагировали двумя порциями по 500 мл эфира. Объединенные органические слои сушили над сульфатом натрия и выпаривали до коричневой смолы, которую очищали два раза флэш-хроматографией с элюированием метиленхлоридом, затем смесью гептан-ацетон (4: 1), получая 1,01 г этил-[2-(1,2-бензизоксазол-3-ил)фенил] -ацетата в виде масла, ГХ-МС (E. I. ) (m/z): 281 [М] +. Этил-2- [2-(1,2-бензизоксазол-3-ил) фенил] -2-метил-4- пентеноат Раствор 0,75 мл диизопропиламина в 15 мл тетрагидрофурана охлаждали до 0oС и по каплям добавляли 3,55 мл 1,5 М раствора бутиллития в гексане. Раствор перемешивали при этой температуре в течение 10 мин, затем охлаждали до температуры ниже -60oС баней ацетон-твердый диоксид углерода и по каплям добавляли раствор 1 г этил-[2-(1,2-бензизоксазол-3-ил)фенил] ацетата, растворенного в 10 мл тетрагидрофурана. Раствор, окрашенный в глубокий оранжевый цвет, перемешивали в течение 45 мин, затем по каплям добавляли 0,45 мл аллилбромида. Раствор перемешивали при температуре ниже -60oС в течение 0,5 ч, затем нагревали до температуры ниже 0oС на протяжении 0,5 ч и перемешивали при этой температуре в течение 1,5 ч. Реакцию гасили добавлением 20 мл насыщенного раствора хлорида аммония, затем экстрагировали тремя порциями по 50 мл эфира, экстракты сушили над сульфатом натрия. Выпаривание после флэш-хроматографии с элюированием смесью 8: 2 гептан/этилацетат дало 0,91 г промежуточного этил-[2-(1,2-бензизоксазол-3-ил)фенил] -4-пентеноата в виде бледно-желтой смолы. Раствор 0,9 г этого промежуточного продукта, растворенного в 5 мл тетрагидрофурана, добавляли к раствору диизопропиламида лития, полученному из 15 мл тетрагидрофурана, 2,8 мл 1,5 М раствора бутиллития в гексане и 0,55 мл диизопропиламина, и смесь перемешивали при температуре ниже -60oС (баня ацетон-твердый диоксид углерода). Раствор перемешивали в течение 45 мин, затем добавляли метилиодид и раствор перемешивали при этой температуре и течение 10 мин. Раствор нагревали до 0oС на протяжении 15 мин, затем перемешивали при этой температуре в течение 1,25 ч. Реакцию гасили добавлением 20 мл насыщенного раствора хлорида аммония, затем экстрагировали три раза порциями по 50 мл эфира, которые сушили над сульфатом натрия. Выпаривание после флэш-хроматографии с элюированием смесью 8: 2 гептан-этилацетат дало 0,76 г этил-1-[2-(1,2-бензизоксазол-3-ил)фенил] -1-метил-4-пентеноата в виде бледно-желтой смолы. ГХ-МС (T. I. ) (m/z): 334 [М-Н] +; H (400 МГц; CDCl3) 1,61 (СН3).
2-[2-(1,2-Бeнзизoкcaзoл-3-ил)-фенил] -2-мeтил-4-пeнтeнoвaя кислотаК раствору 0,75 г 2-[2-(1,2-бензизоксазол-3-ил)фенил] -2-метил-4-пентеноата в 10 мл 2-метоксиэтанола добавляли 5 мл 10 М раствора гидроксида калия. Раствор кипятили с обратным холодильником в течение ночи, затем охлаждали до комнатной температуры и выливали на лед. Водный раствор подкисляли 5 М хлористоводородной кислотой и экстрагировали три раза порциями по 100 мл эфира. Экстракты выпаривали и подвергали азеотропной перегонке с толуолом. Флэш-хроматография остатка с элюированием от 0 до 10% метанолом в метиленхлориде дала 0,52 г 2-[2-(1,2-бензизоксазол-3-ил)фенил] -2-метил-4-пентеновой кислоты в виде смолы. 1H ЯМР (400 МГц; CDCl3) H 1,52 (Me).
(Е)-Бутендиоат 2-(1,2-бензизоксазол-3-ил) – -метил- – (2-пропенил) бензолметанаминаК раствору 2-[2-(1,2-бензизоксазол-3-ил)фенил] -2-метил-4-пентеновой кислоты в 5 мл толуола добавляли 0,36 мл дифенилфосфорилазида и 0,24 мл триэтиламина. Раствор перемешивали при 90oС в течение 1 ч, затем разбавляли 50 мл толуола и промывали по 25 мл каждого из 2 М хлористоводородной кислоты, 5% карбоната натрия и солевого раствора. Раствор выпаривали до получения 0,55 г частично твердой смолы. Образец 0,21 г этого материала обрабатывали 3 мл 2-метоксиэтанола и 2 мл 10 М раствора гидроксида калия. Этот раствор кипятили с обратным холодильником в течение ночи, затем охлаждали до комнатной температуры, разбавляли 10 мл воды и экстрагировали три раза порциями по 25 мл метиленхлорида. Объединенные органические слои промывали 50 мл солевого раствора, выпаривали и подвергали азеотропной перегонке с толуолом. Флэш-хроматография с элюированием смесью 9: 1 метиленхлорид-метанол дала 68 мг продукта. Его превращали в (Е)-бутандиоатную соль и кристаллизовали из смеси метанол-эфир, получая 78 мг (Е)-бутендиоата 2-(1,2-бензизоксазол-3-ил) – -метил- – (2-пропенил) бензолметанамина, плавящегося при 196-200oС.
Пример 36: Гидрохлорид 2-(1,2-бензизоксазол-3-ил) – -(4-фторбензил) -бензолметанаминаК перемешиваемой суспензии 2,23 г 2-(1,2-бензизоксазол-3-ил)бензальдегида и 2,6 г сульфата магния в 25 мл метиленхлорида добавляли 1,7 мл дифенилметанамина и перемешивание продолжали в течение ночи. Реакционную смесь фильтровали через дикалит и фильтрат выпаривали, получая 3,9 г сырого N-[2-(1,2-бензизоксазол-3-ил)бензилиден] -1,1-дифенилметанамина в виде смолы, которая медленно отверждалась. Перемешиваемый раствор 0,75 г N-[2-(1,2-бензизоксазол-3-ил) бензилиден] -1,1- дифенилметанамина в 15 мл тетрагидрофурана охлаждали до -65oС и по каплям добавляли 1 М раствор трет-бутоксида калия в тетрагидрофуране. Окрашенный в пурпурный цвет раствор перемешивали в течение 5 мин, затем быстро добавляли 4-фторбензилбромид и реакционной смеси давали медленно нагреваться до комнатной температуры. Реакционную смесь разбавляли 25 мл воды и затем экстрагировали 100 мл, затем 50 мл метиленхлорида. Объединенные органические экстракты сушили над сульфатом натрия, затем выпаривали, получая 1,18 г сырого N-(дифенилметилиден)-2-(1,2-бензизоксазол-3-ил)- -(4-фторфенил)бензолметанамина, который не исследовали из-за его нестабильности. К раствору 1,1 г N-(дифенилметилиден) -2-(1,2-бензизоксазол-3-ил) – – (4-фторбензил) бензолметанамина в 20 мл ацетона добавляли 9 мл 1 М хлористоводородной кислоты. Раствор перемешивали в течение ночи, затем выпаривали и добавляли 15 мл 4 М раствора гидроксида натрия. Раствор экстрагировали 100 мл, затем 50 мл метиленхлорида. Органические экстракты сушили и выпаривали до масла, которое очищали флэш-хроматографией с элюированием смесью 19: 1 метиленхлорид-метанол, получая чистый амин, не содержащий основания, который растворяли в метаноле и подкисляли раствором хлорида водорода в метаноле, выпаривали и кристаллизовали из смеси метанол-эфир, получая 0,18 г гидрохлорида 2-(1,2-бензизоксазол-3-ил)- -(4-фторбензил)-бензолметанамина, плавящегося при 238-241oС.
Аналогично были получены следующие соли первичных аминов:1. Гидрохлорид 2-(1,2-бензизоксазол-3-ил)- -бензилбензолметанамина, плавящийся при 210-246oС (разлож. ).
2. Гидрохлорид 2-(1,2-бензизоксазол-3-ил)- -[(тиен-3-ил)-метил] бензолметанамина с использованием 3-(бромметил)тиофена (получен способом, описанным Е. Campaigne and В. F. Tullar in “Organic Synthesis”, Coll. Vol. IV, 1963, pp. 921, и с использованием тетрахлорида углерода вместо бензола), плавящийся при 264-267oС.
3. (Z)-Бутендиоат 2-(1,2-бензизоксазол-3-ил)- -(3-метил-2-бутенил)бензолметанамина с использованием 4-бром-2-метил-2-бутена, плавящийся при 132-135oС.
4. Гидрохлорид 2-(1,2-бензизоксазол-3-ил)- -(2-бутенил)-бензолметанамина в виде смеси 3: 7 E/Z-геометрических изомеров с использованием 1-бром-2-бутена, 1H ЯМР H (400 МГц; DMSO-d6) H 1,38 (СН3), 1,34 (СН3).
5. Гидрохлорид 2-(1,2-бензизоксазол-3-ил)- -(3-бутенил)-бензолметанамина с использованием 1-йод-3-бутена (получен по способу L. Kaplan, J. Chem. Soc. , Chem. Commun. , 1968, 754), 1H ЯМР (400 МГц; DMSO-d6) H 4,55 (CHNH2).
6. Гидрохлорид 2-(1,2-бензизоксазол-3-ил)- -(циклопропилметил)бензолметанамина с использованием циклопропилметилиодида (получен по способу J. San Filippo, Jr. , J. Silbermann and P. J. Fagan, J. Am. Chem. Soc. , 1978, 100, 4834), 1H ЯМР (400 МГц; DMSO-d6) H 4,62 (CHNH2).
7. Гидрохлорид 2-(1,2-бензизоксазол-3-ил)- -(2-хлорпропенил)бензолметанамина с использованием 2,3-дихлор-1-пропена (400 МГц; DMSO-d6) H 4,93 (CHNH2).
8. (Е)-Бутендиоат 2-(1,2-бензизоксазол-3-ил)- – (4,4,4-трифторбутил) бензолметанамина, исходя из 2-(6-хлор-1,2-бензизоксазол-3-ил) бензальдегида и с использованием 1-йод-4,4,4-трифторбутана, плавящийся при 203-210oС.
9. Гидрохлорид 2-(6-хлор-1,2-бензизоксазол-3-ил)- -бутил-бензолметанамина, исходя из 2-(6-хлор-1,2-бензизоксазол-3-ил) бензальдегида и с использованием бутилиодида, плавящийся при 209-214oС.
10. Гидрохлорид 2-(6-хлор-1,2-бензизоксазол-3-ил) – -(2-пропинил) бензолметанамина, исходя из 2-(6-хлор-1,2-бензизоксазол-3-ил)бензальдегида и с использованием пропаргилбромида, плавящийся при 209-214oС.
Аналогично были получены следующие соли вторичных аминов:11. 2-[2-(1,2-Бензизоксазол-3-ил)фенил] -1,2,3,6-тетрагидропиридин, исходя из 1-хлор-3-йодпропана, плавящийся при 242-268oС. 12. 2-[2-(1,2-Бензизоксазал-3-ил)фенил] пирролидин, исходя из цис-1,4-дихлор-2-бутена, плавящийся при 253-261oС. Пример 37: Гидрохлорид 2-(1,2-бензизоксазол-3-ил)- -(3-циклогексенил)бензолметанаминаПеремешиваемый раствор 0,5 г 2-(1,2-бензизоксазол-3-ил)-бензальдегида в 25 мл тетрагидрофурана охлаждали до 0oС и по каплям добавляли 2,4 мл 1 М раствора бис(триметилсилил)амида лития в гексане. Смесь перемешивали при этой температуре в течение 1 ч, затем добавляли 0,36 мл 3-бромциклогексена и весь раствор затем добавляли к суспензии 0,3 г порошка цинка в 5 мл тетрагидрофурана. Суспензию перемешивали при комнатной температуре в течение ночи. Реакцию гасили добавлением 5 мл воды и смесь фильтровали. Смесь экстрагировали 60 мл метиленхлорида и органический экстракт промывали тремя порциями по 30 мл воды, затем сушили над сульфатом натрия. Растворитель удаляли в вакууме и остаток очищали флэш-хроматографией, элюируя смесью 19: 1 метиленхлорид-метанол. Чистые фракции подкисляли газообразным хлоридом водорода в метаноле и выпаренный остаток растирали с гептаном, получая 0,41 г гидрохлорида 2-(1,2-бензизоксазол-3-ил) – – (3-циклогексенил) бензолметанамина, 1Н ЯМР (400 МГц; DMSO-d6) H 4,33 (CHNH2).
Аналогичным путем был получен:1. Этандиоат 2-(1,2-бензизоксазол-3-ил)- -(2-пропинил)-бензолметанамина: исходя из 2-(1,2-бензизоксазол-3-ил)бензальдегида и с использованием пропаргилбромида, плавящийся при 230-243oС.
Пример 38: Гидрохлорид 2-(1,2-бензизоксазол-3-ил)- -пропилбензолметанаминаК раствору 1,16 г 2-(1,2-бензизоксазол-3-ил)- -(2-пропенил)бензолметанамина в 50 мл толуола добавляли 0,06 г 10% палладия на карбонате кальция и смесь гидрировали при атмосферном давлении в течение 16 ч. Смесь фильтровали черездекалит и фильтрат выпаривали и подвергали флэш-хроматографии с элюированием смесью 19: 1: 0,2 метиленхлорид-метанол-раствор аммиака, получая фракции чистого амина. Эти фракции выпаривали и подкисляли раствором хлорида водорода в метаноле и выпаривали до получения смолы и кристаллизовали из смеси ацетон-эфир, получая 0,2 г гидрохлорида 2-(1,2-бензизоксазол-3-ил)- -пропилбензолметанамина, плавящегося при 118-126oС.
Аналогичным образом были получены:1. (Е)-Бутендиоат 2-(6-фтор-1,2-бензизоксазол-3-ил) – -(2-метилпропил) бензолметанамина: исходя из гидрохлорида 2-(6-фтор-1,2-бензизоксазол-3-ил) – – (2-метил-2-пропенил) бензолметанамина, плавящийся при 174-184oС.
Пример 39: Гидрохлорид 2-(1,2-бензизоксазол-3-ил) – – метилбензолметанамина2-[2-(1,2-Бензизоксазол-3-ил] – – метилбензиловый спиртК перемешиваемому раствору 1,07 г 2-(1,2-бензизоксазол-3-ил)бензальдегида в 20 мл тетрагидрофурана при 0oС по каплям добавляли 1,8 мл 3 М раствора метилмагнийбромида в эфире. Раствор перемешивали в течение 50 мин, затем нагревали до комнатной температуры и перемешивали в течение ночи. Реакцию гасили добавлением 25 мл насыщенного хлорида аммония и смесь экстрагировали 100 мл, затем 50 мл эфира. Объединенные органические экстракты сушили над сульфатом натрии и выпаривали, получая 1,17 г 2-[2-(1,2-бензизоксазол-3-ил] – -метилбензилового спирта в виде смолы, 1H ЯМР (200 МГц; CDCl3) H 1,54 (СН3).
3-[2-(1-Азидоэтил)фенил] -1,2- бензизоксазолК перемешиваемому раствору 0,6 г 2-[2- (1,2-бензизоксазол -3-ил] – – метилбензилового спирта и 0,65 г трифенилфосфина в 10 мл тетрагидрофурана при 0oС добавляли 0,39 мл диэтилазодикарбоксилата, затем раствор 0,54 мл дифенилфосфорилазида в 5 мл тетрагидрофурана. Раствор нагревали до комнатной температуры и перемешивали в течение 1,5 ч. Реакционную смесь выпаривали и очищали флэш-хроматографией с элюированием смесью 1: 1 толуол-гептан, получая 0,27 г 3-[2-(1-азидоэтил)фенил] -1,2-бензизоксазол в виде бесцветной смолы, 1H ЯМР (200 МГц; CDCl3) H 5,10 (СНN3).
Гидрохлорид 2-(1,2-бензизоксазол-3-ил)- -метилбензолметанаминаК перемешиваемому раствору 0,64 г 3-[2-(1-азидоэтил)фенил] -1,2-бензизоксазола в 10 мл тетрагидрофурана и 0,1 мл воды добавляли 0,71 г трифенилфосфина. Раствор перемешивали в течение 2 дней, затем разбавляли 25 мл воды и раствор экстрагировали двумя порциями по 50 мл эфира и органические слои сушили над сульфатом натрия, затем выпаривали, получая бледно-желтую смолу. Остаток растворяли в небольшом количестве метанола и добавляли 0,37 г щавелевой кислоты и нагревали для растворения. Добавляли эфир и образованный белый твердый продукт отделяли и перекристаллизовали из смеси метанол-эфир. К этому твердому продукту добавляли 25 мл 5% водного раствора карбоната натрия и раствор экстрагировали 50 мл и затем 25 мл метиленхлорида. Объединенные органические слои промывали 25 мл воды, 25 мл солевого раствора, затем сушили над сульфатом натрия. Выпаривание дало бесцветное масло, которое растворяли в метаноле и добавляли хлорид водорода в метаноле до тех пор, пока раствор не стал кислотным. Выпаривание и добавление эфира дало гидрохлорид 2-(1,2-бензизоксазол-3-ил) – – метилбензолметанамина, плавящийся при 229-236oС.
Аналогичным путем был получен:1. Гидрохлорид 2- (1,2-бензизоксазол-3-ил) – -этилбензолметанамина, плавящийся при 190-204oС.
Пример 40: Гидрохлорид 2-(6-фтор-1,2-бензизоксазол -3-ил) – – фенилбензолметанамина2-(6-Фтор-1,2-бензизоксазол -3-ил) – – фенилфенилметиловый спиртК перемешиваемому раствору 1,0 г 2-(6-фтор-1,2-бензизоксазол-3-ил) бензальдегида в 20 мл тетрагидрофурана при 0oС по каплям добавляли 4,6 мл 1 М раствора фенилмагнийбромида в тетрагидрофуране. Раствор перемешивали в течение 1,25 ч, затем реакцию гасили добавлением 20 мл насыщенного хлорида аммония, затем 120 мл воды. Смесь экстрагировали тремя порциями по 30 мл этилацетата, затем объединенные органические слои промывали двумя порциями по 30 мл воды. Объединенные органические экстракты сушили над сульфатом натрия и выпаривали, получая 1,34 г 2-[2-(6-фтор-1,2-бензизоксазол-3-ил] – -фенилфенилметилового спирта в виде смолы, 1H ЯМР (200 МГц; CDCl3) H 3,90 (СНОН).
[2-(6-Фтор-1,2-бензизоксазол-3-ил) фенил] (фенил) метанолК перемешиваемому раствору 1,23 г [2-(6-фтор-1,2-бензизоксазол-3-ил)фенил] (фенил)метанона в 125 мл толуола в колбе, снабженной ловушкой Дина-Старка, добавляли 6 г диоксида марганца и суспензию кипятили с обратным холодильником в течение 1,25 ч, затем охлаждали до комнатной температуры и фильтровали через декалит. Остаток промывали 125 мл толуола и фильтраты выпаривали, получая 1,08 г [2-(6-фтор-1,2-бензизоксазол-3-ил)фенил] (фенил)метанола, ГХ-МС (E. I. )(m/z): 317 [М] +. Гидрохлорид 2-(6-фтор-1,2-бензизоксазол-3-ил)- -фенилбензолметанаминаК раствору [2-(6-фтор-1,2-бензизоксазол-3-ил)фенил] -(фенил)метанона в 10 мл формамида добавляли 5 мл муравьиной кислоты и раствор кипятили с обратным холодильником в течение 5 дней. Смесь охлаждали до комнатной температуры, затем выливали на 150 мл смеси лед-вода и выделенную твердую часть отделяли фильтрованием, промывали водой и растворяли в 100 мл метиленхлорида. Раствор промывали 50 мл 5% (масс. /об. ) раствора карбоната натрия, затем двумя порциями по 50 мл воды, сушили над сульфатом натрия и выпаривали и остаток подвергали флэш-хроматографии с элюированием смесью 9: 1 метиленхлорид – эфир. Этот продукт суспендировали в 1 М растворе хлористоводородной кислоты и перемешивали при температуре 100oС в течение 3 ч, затем добавляли 12 мл этанола и суспензию перемешивали еще в течение 2,25 ч. Горячий раствор фильтровали и фильтрат выпаривали, охлаждали, затем подщелачивали твердым карбонатом калия. Твердый продукт отделяли фильтрованием, промывали водой и растворяли в эфире. Раствор промывали 5% (масс. /об. ) раствором карбоната натрия, затем двумя порциями воды. Органический раствор сушили над сульфатом натрия и выпаривали, получая 0,16 г продукта в виде смолы. Этот материал растворяли в 5 мл метанола и подкисляли раствором хлорида водорода в метаноле. Добавление эфира и затем гептана приводило к образованию 0,15 г гидрохлорида 2-(6-фтор-1,2-бензизоксазол-3-ил)- -фенилбензолметанамина, плавящегося при 125-135oС.
Пример 41: Анализ на сон у крысПодавление REM-сна у самцов крыс линии Wistar измеряли после обработки соединениями по этому изобретению или ссылочными антидепрессантами с использованием способов, описанных Ruigt et al. (Electroencephalography and clinical Neurophysiology, 1989, 73, pages 52-63 and 64-71). Величины, представленные в таблице 1, выражаются как изменение в процентах по сравнению с плацебо для количества REM-сна в первые 3 часа после введения лекарственного средства. Пример 42: Анализ на прятание мышей Marble (Поведенческий синдром, характеризующийся поиском укрытия). Этот анализ проводили по существу по методике, описанной Treit et al. (1981) Pharmacol Biochem Behav; 15; 619-626. Результаты представляются как BUR ED50 (sc). Это эффективная доза, вызывающая 50% ингибирования прятания по сравнению с контрольными мышами (таблица 2). Пример составления композиции (таблетки), в которой в качестве активного компонента используют (-)-2-(1,2-бензизоксазол-3-ил)- – (2-пропенил) бензолметанамин гидрохлорид (продукт примера 13), мг:Активный компонент – 20,0 НРМС Метоцел К15М – 72,0 Коллоидная безводная окись кремния – 1,8 Стеарат магния (смазка) – 1,2 Дикальций фосфат. дигидрат (наполнитель) к общему весу – 120,0 Ингредиенты тщательно смешивают и помещают в устройство для таблетирования. Токсичность заявленных соединений изучена, в частности, на соединении примера 13. Указанное соединение орально вводится собакам породы Beagle в течение 4 недель ежедневно в дозах 0,75, 2,25 и 6,75 мг/кг, очевидные признаки токсичности вызывали очень высокие дозы вещества. Потенциальным органом-мешенью была центральная нервная система. Большинство эффектов были обратимы немедленно после прекращения лечения. Все изменения были обратимыми в конце постдозового периода. В отношении наблюдаемых клинических проявлений, отмечается, что мужские особи собак были более чувствительны, чем женские особи. Было отмечено, что никакого неблагоприятного воздействия на организм не оказывалось при введении больших доз вещества. Таким образом, заявляемые соединения обладают средней степенью активности. Формула изобретения
![]() где R1 и R2, которые могут быть одинаковыми или различными, выбирают из фенила, фенил-С1-6алкила, причем фенильный фрагмент может быть необязательно замещен заместителем, выбранным из С1-6-алкокси, тиазолила, 1,2-бензизоксазолила, C2-4-гетероарил-С1-6-алкила и С1-6-алкилкарбоксамида, водорода, С1-6-алкила, необязательно замещенного ОН, и С2-6-алкенила; R3 и R4, которые могут быть одинаковыми или различными, выбирают из фенила, необязательно замещенного галогеном, фенил-С1-6-алкила, С2-4-гетероарил-С1-6-алкила и водорода, С1-6-алкила, С3-6-циклоалкила, С4-6-циклоалкенила, С2-6-алкенила и С2-6-алкинила, галоген-С1-6-алкенила, циано, галоген-С1-6-алкила, или один из R3 и R4 вместе с одним из R1 и R2 и атом N, которому он присоединен, образуют 5- или 6-членное гетероциклическое кольцо; R5 – галоген или водород; R6 – заместитель формулы ![]() где пунктирная линия представляет необязательную связь; Y – О или -NR8; R8 – водород или С1-6-алкил; R7 – водород, галоген или галоген-С1-6-алкил, или их фармацевтически приемлемые соли или сольваты. 2. Соединение по п. 1, отличающееся тем, что один из R1 и R2 является водородом, а другой – фенил-С1-6-алкилом, причем фенильный фрагмент может быть необязательно замещен одним или более заместителями, выбранным из С1-6-алкокси, тиазолила, 1,2-бензизоксазолила, R3, R4 и R5 – водород, Y – О, R7 – водород или галоген, или его фармацевтически приемлемая соль или сольват. 3. Соединение по п. 1, отличающееся тем, что R1 и R2 оба – водород, один из R3 и R4 – водород, а другой – фенил-С1-6-алкил, С1-6-алкил, С2-6-алкенил и С2-6-алкинил, R5 – водород; Y – О или -NСН3, пунктирная линия представляет связь и R7 – водород или галоген, или его фармацевтически приемлемая соль или сольват. 4. Соединение по п. 1, отличающееся тем, что его выбирают из 2-(1,2-бензизоксазол-3-ил)бензолметанамина; 2-(1,2-бензизоксазол-3-ил)- -2-пропенилбензолметанамина;(R)-(+)-2-(1,2-бензизоксазол-3-ил)- -2-пропенилбензолметанамина;(S)-(-)-2-(1,2-бензизоксазол-3-ил)- -2-пропенилбензолметанамина;2-(1,2-бензизоксазол-3-ил)- -2-бутилбензолметанамина;2-[1,2-бензизоксазол-3-ил)- -2-пропинилбензолметанамина;2-(1-метил-1H-индазолил-3-ил)- -2-пропенилбензолметанамина;(-)-2-(6-хлор-1,2-бензизоксазол-3-ил)- -2-пропинилбензолметанамина;(S)-(-)-2-(6-хлор-1,2-бензизоксазол-3-ил)- -2-пропенилбензолметанамина;и их фармацевтически приемлемых солей и сольватов. 5. Соединение по пп. 1-4, или его фармацевтически приемлемая соль, или сольват, пригодные для получения лекарственного средства для лечения и профилактики депрессии. 6. Фармацевтическая готовая препаративная форма, обладающая антидепрессивной активностью, включающая активный ингредиент и фармацевтически приемлемый носитель, отличающаяся тем, что в качестве активного ингредиента она содержит эффективное количество одного из соединений по пп. 1-4. РИСУНКИ
PC4A – Регистрация договора об уступке патента Российской Федерации на изобретение
Прежний патентообладатель:
(73) Патентообладатель:
Дата и номер государственной регистрации перехода исключительного права: 12.04.2007 № РД0020650
Извещение опубликовано: 20.05.2007 БИ: 14/2007
|
||||||||||||||||||||||||||




-2- пропенилбензолметанамин;


















1 л 1 н. гидроксида натрия в воде и 1 л воды, сушили над сульфатом магния и выпаривали досуха при пониженном давлении, получая 224 г [2-(диэтоксиметил)фенил] (2-фторфенил)метанона в виде масла. MC (C. I. ) (m/z): 303 [М+Н] +.
Пример 4: 0-[2-[2-(Диэтоксиметил)бензоилфенил] оксим 2-пропанона
Н 5,60 (СНО3).
Сходным образом были получены:
в течение 12 ч, после чего добавляли 2,0 г борогидрида натрия. После перемешивания при комнатной температуре в течение еще 24 ч, твердое вещество отделяли фильтрованием и остаток промывали дихлорметаном. Объединенный фильтрат сушили над сульфатом магния и выпаривали досуха при пониженном давлении, получая 3,5 г масла. Кристаллизация из простого диэтилового эфира давала 1,7 г 2-(1,2-бензизоксазол -3-ил) -N-[[2-(1,2-бензизоксазол-3-ил) фенил] метил] бензолметанамина, плавящегося при 138oС.
Пример 23: (Z)-2-Бутендиоат-
