Патент на изобретение №2179453
|
||||||||||||||||||||||||||
(54) ПЕРОРАЛЬНЫЕ ФАРМАЦЕВТИЧЕСКИЕ ЛЕКАРСТВЕННЫЕ ФОРМЫ, ВКЛЮЧАЮЩИЕ ИНГИБИТОР ПРОТОННОГО НАСОСА И АНТАЦИДНОЕ ВЕЩЕСТВО ИЛИ АЛЬГИНАТ
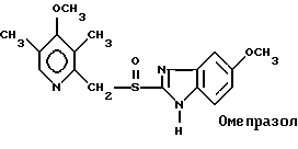
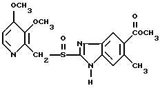
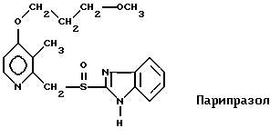
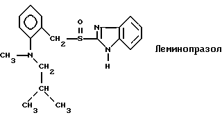
(57) Реферат: Изобретение относится к медицине и касается пероральной фармацевтической лекарственной формы, содержащей чувствительный к кислоте ингибитор протонного насоса и одно или несколько антацидных веществ или альгинат в фиксированном составе, в которой ингибитор протонного насоса защищен слоем энтеросолюбильного покрытия и необязательным разделительным слоем между ингибитором протонного насоса и энтеросолюбильным покрытием, фиксированный состав имеет форму многослойных таблеток, саше или сложных таблетированных лекарственных форм. Изобретение относится также к способам получения лекарственных форм. Новый фиксированный состав особенно применим при лечении расстройств, связанных с диспепсией, таких как изжога. Лекарственные формы упрощают для больного режим и схему лечения. 4 с. и 21 з. п. ф-лы, 3 ил. Область техники Настоящее изобретение относится к новым пероральным фармацевтическим препаратам, особенно для использования с целью профилактики и лечения диспептических симптомов, таких как боль и чувство дискомфорта в верхней части брюшной полости и изжога. Данные препараты включают сочетание различных веществ, подавляющих желудочный сок, таких как кислоточувствительный ингибитор протонного насоса и антацидное вещество (вещества) и/или альгинат в новой фиксированной сложной лекарственной форме, особенно в таблетированной форме. Далее, настоящее изобретение относится к способу получения таких препаратов и их использованию в медицине, особенно для устранения диспептических симптомов. Предпосылки изобретения Диспепсия представляет собой обычное расстройство, и пациенты обращаются по такому поводу как к гастроэнтерологам, так и к терапевтам. Симптомом диспепсии является изжога. Подсчитано, что 44% американцев страдают от изжоги по крайней мере ежемесячно, а некоторые из них вынуждены обращаться к врачу, но только около 25% пациентов обращаются к врачу по поводу диспепсии. Симптомами, ассоциируемыми с диспепсией, являются, например, боль и чувство дискомфорта в верхней части брюшной полости и изжога, расстройство пищеварения, повышенная кислотность желудка, изжога и другие желудочно-пищеводные расстройства, включая желудочно-кишечный рефлюкс. Большое разнообразие симптомов и тяжести заболеваний, связанных с желудочно-пищеводным рефлюксом, привело к необходимости более индивидуального подхода к лечению. Терапевтические вещества, эффективные при лечении диспепсии, включают вещества, подавляющие желудочный сок, такие как антагонисты рецептора Н2, ингибиторы протонного насоса, другими веществами, представляющими интерес, являются антациды/альгинаты и прокинетические вещества. Эти вещества могут различаться по механизму их действия, безопасности, фармакокинетическим свойствам и показаниям. WО 95/01780 описывает композицию для лечения, например, изжоги, включающую антагонист рецептора Н2, такой как фамотидин, и альгинат и, необязательно, симетикон. Антацидные вещества и альгинаты могут использоваться отдельно для лечения изжоги. У них короткий срок действия, однако они недороги и безопасны. Антацидные вещества оказывают местное действие через нейтрализацию желудочной кислоты. Кроме того, альгинаты механически защищают пищевод от рефлюкса или желудочной кислоты. Главным преимуществом антацидных веществ и альгинатов является то, что они обеспечивают быстрое облегчение симптомов. Главным недостатком антацидных веществ и альгинатов является то, что для избавления пациентов от симптомов, их прием необходимо часто повторять, а также то, что антациды во многих случаях не обеспечивают разрешения симптомов, т. е. их полного устранения. Для системного уменьшения секреции желудочной кислоты часто прописывают антагонисты рецептора Н2. Ингибиторы протонного насоса, такие как омепразол, быстро завоевывают свое место рядом с антагонистами рецептора Н2. Известно, что омепразол имеет значительные преимущества над антагонистами рецептора Н2 относительно разрешения симптомов, лечения и профилактики рецидивов. Ингибиторы протонного насоса обеспечивают разрешение симптомов, но обычно не сразу. В ходе клинических испытаний ингибиторы протонного насоса показали свою высокую эффективность при обеспечении разрешения симптомов (обычно в течение 24 – 28 часов) у пациентов, страдающих от диспепсии, вызванной язвами желудка, язвами двенадцатиперстной кишки, рефлюкс-эзофагитом и желудочно-пищеводным рефлюксом без эзофагита. Например, было установлено, что омепразол превосходит антагонисты рецептора Н2 в отношении заживления гастродуоденальных и пищеводных поражений, а также обеспечения разрешения диспептических симптомов при этих заболеваниях, см. Eriksson S. , Euro Journ of Gastroenterology & Hepatology, 1995, 7: 465. ЕР 338861 описывает твердый фармацевтический препарат – антацид с наполнителями. Предлагается использовать этот препарат в сочетании с ингибитором протонного насоса или любым другим веществом, ингибирующим секрецию желудочной кислоты. Объединение этих веществ в одной фиксированной единичной лекарственной форме не упоминается. US 5244670 описывает фармацевтическую композицию для приема внутрь, включающую вещество, выбранное из группы, состоящей из антацидных веществ, веществ, предотвращающих секрецию кислоты, веществ, содержащих висмут, и их смесей, а также наполнитель 3-1-метокси пропан 1,2-диол. Ни одна из этих ссылок не упоминает о возможности решения задачи, при которой одним из компонентов является чувствительный к кислоте ингибитор протонного насоса. Сочетание воздействия ингибитора протонного насоса и антацида или альгината обеспечивает немедленное облегчение симптомов, вызываемое местным действием антацидного вещества или альгината, совместно с долговременным разрешением симптомов, вызванным системным действием ингибитора протонного насоса. Такое сочетание является идеальным для целевого лечения диспепсии, а также для разрешения симптомов. Совместная терапия, включающая вещество, подавляющее кислоту, например ингибитор протонного насоса, вместе с антацидным веществом или альгинатом может также служить альтернативой каждому из них по отдельности в случае неудачи. Хорошо известно, что соблюдение больным режима и схемы лечения является главным фактором для получения хороших результатов медицинского лечения. Прием двух или более различных таблеток пациентом не является удобным или удовлетворительным для достижения оптимальных результатов. Настоящее изобретение теперь обеспечивает новые пероральные лекарственные формы, включающие два или более активных веществ, объединенных в одной фиксированной единичной лекарственной форме, предпочтительно таблетке. Некоторые вещества, подавляющие желудочную кислоту, такие как ингибиторы протонного насоса, являются чувствительными к распаду/превращению реактивно-кислой и нейтральной среды. Что касается устойчивости, очевидно, что если одним из активных веществ является ингибитор протонного насоса, необходима его защита от контакта с кислым желудочным соком с помощью энтеросолюбильного покрытия. Существуют различные препараты – ингибиторы протонного насоса с энтеросолюбильным покрытием, описанные в данной области, см. например, US-А 4786505 (АВ Hаssle), описывающий препарат, содержащий омепразол. Существуют проблемы при производстве фиксированной сложной лекарственной формы, включающей достаточно большое количество активного вещества. Различные активные вещества в одном и том же препарате создают дальнейшие проблемы. Приготовление сложной таблетированной лекарственной формы порождает специфические проблемы, когда гранулы энтеросолюбильного покрытия, включающие чувствительный к кислоте ингибитор протонного насоса в качестве активного вещества, прессуют в таблетки. Если энтеросолюбильное покрытие не выдержит прессования гранул в таблетки, после приема чувствительное активное вещество будет разрушено в результате проникновения кислого желудочного сока, т. е. кислотоустойчивость энтеросолюбильного покрытия гранул окажется недостаточной в таблетке после прессования. Краткое изложение существа изобретения Настоящее изобретение обеспечивает пероральные, фиксированные единые лекарственные формы, т. е. сложные таблетированные лекарственные формы, слоеные составы, включающие сердцевину таблетки, с энтеросолюбильным покрытием, многослойные таблетки или саше, наполненные двумя и более фармацевтически активными соединениями. Активными соединениями, присутствующими в лекарственных формах, предпочтительно являются чувствительный к кислоте ингибитор протонного насоса и антацидные вещества. Альтернативно в некоторых составах антацидные вещества могут быть заменены альгинатом. Эти новые лекарственные формы упростят для больного режим и схему лечения. Краткое описание чертежей Фиг. 1 иллюстрирует поперечный разрез сложной таблетированной лекарственной формы, включающей чувствительный к кислоте ингибитор протонного насоса в виде гранул с энтеросолюбильным покрытием (1) в смеси с антацидным веществом (веществами) и фармацевтическими наполнителями (2). Таблетку необязательно покрывают слоем пленки, т. е. оболочкой для таблеток (7). Фиг. 2 иллюстрирует поперечный разрез таблетки с двумя отдельными слоями, один из которых включает гранулы чувствительного к кислоте ингибитора протонного насоса с энтеросолюбильным покрытием (1) в смеси с наполнителями (3), а другой слой включает смесь фармацевтических наполнителей и антацидного вещества (веществ) или альгинат (2). Эти слои необязательно разделены противосклеивающим слоем. Далее, таблетки могут быть, необязательно, покрыты слоем пленки (7). Фиг. 3 иллюстрирует поперечный разрез таблетки, включающей смесь фармацевтических наполнителей и чувствительного к кислоте ингибитора протонного насоса в сердцевине таблетки (5), окруженной энтеросолюбильным покрытием (8) и, необязательно, разделительный слой между сердцевиной таблетки и энтеросолюбильным покрытием, а на этом покрытии слой – смесь антацидного вещества (веществ) в смеси с фармацевтическими наполнителями (6). Таблетка необязательно покрыта слоем пленки (7). Подробное описание изобретения Одной целью настоящего изобретения является обеспечение пероральной, сложной таблетированной лекарственной формы, включающей чувствительный к кислоте ингибитор протонного насоса в виде отдельных частиц с энтеросолюбильным покрытием вместе с одним или несколькими антацидными веществами в виде порошка или гранул, спрессованных в таблетки. Энтеросолюбильное покрытие (покрытия), покрывающее отдельные частицы чувствительного к кислоте ингибитора протонного насоса, имеет такие свойства, что прессование частиц в таблетки не оказывает сильного влияния на отдельные частицы с энтеросолюбильным покрытием. Более того, сложная таблетированная лекарственная форма обеспечивает хорошую стабильность активных веществ во время длительного хранения. Другой целью настоящего изобретения является обеспечение сложных таблетированных лекарственных форм, которые могут быть разделены и легко проглочены. Такие сложные таблетированные лекарственные формы, включающие гранулы ингибитора протонного насоса с энтеросолюбильным покрытием и антацидное вещество (вещества), также могут быть диспергированы в слегка подкисленной водной жидкости и могут приниматься пациентами, имеющими сложности с глотанием, и в педиатрии. Такая суспензия диспергированных частиц/гранул соответствующего размера может быть использована для перорального введения и для кормления через назогастральный зонд. Следующей целью настоящего изобретения является обеспечение препарата для таблеток, включающего ингибитор протонного насоса в смеси с наполнителями в сердцевине таблетки и отдельный слой, окружающий эту сердцевину, включающий один или несколько антацидных веществ в смеси с фармацевтическими наполнителями, напрессованными на сердцевину таблетки. Сердцевина таблетки покрывается энтеросолюбильным покрытием перед нанесением окружающего слоя, включающего антацидные вещества. На сердцевину таблетки перед нанесением энтеросолюбильного покрытия необязательно наносится разделительный слой. Альтернативно приготавливаемая таблетка разделяется на отдельные слои, каждый из которых содержит различные активные вещества. Один из слоев включает ингибитор протонного насоса в виде гранул с энтеросолюбильным покрытием в смеси с фармацевтическими наполнителями, а другой слой (слои) включает антацидный агент(ы)/альгинат соответственно в смеси с фармацевтическими наполнителями. Два слоя необязательно разделяют разделительным слоем с целью предупреждения склеивания между ними. Новые фиксированные лекарственные формы включают в качестве активных веществ одно средство, подавляющее желудочную кислоту, такое как чувствительный к кислоте ингибитор протонного насоса, и антацидное вещество(а)/альгинат. Альтернативно ингибитор протонного насоса в виде гранул с энтеросолюбильным покрытием может быть смешан с альгинатом и, необязательно, с фармацевтическими наполнителями для введения в саше, предназначенные для перорального введения после диспергирования в слегка подкисленном водном растворе. Новая фиксированная лекарственная форма предпочтительно имеет форму сложной таблетированной лекарственной формы, включающей частицы с энтеросолюбильным покрытием, содержащие активное вещество, представляющее собой чувствительный к кислоте ингибитор протонного насоса, и гранулы, содержащие другое активное вещество(а), т. е. антацидное вещество(а), как показано на фиг. 1. Антацидное вещество(а) может предпочтительно представлять собой препарат, предназначенный для быстрого высвобождения. Альтернативно компоненты могут быть приготовлены в виде шипучего состава. Различные терапевтически активные компоненты, используемые в лекарственных формах, приводятся ниже. Активные вещества Вещество, подавляющее желудочную кислоту, предпочтительно представляет собой чувствительный к кислоте ингибитор протонного насоса. Такими ингибиторами протонного насоса являются, например, соединения общей формулы 1 ![]() где Het1 представляет собой ![]() или ![]() Het2 представляет собой ![]() или ![]() или ![]() X= ![]() или ![]() где N в бензимидазольном остатке означает, что один из атомов углерода, замещенный R6-R9, может быть необязательно заменен атомом азота без каких-либо заместителей; R1, R2 и R3, одинаковые или различные, выбирают из водорода, алкила, алкокси, необязательно замещенного фтором, алкилтио, алкоксиалкокси, диалкиламино, пиперидино, морфолино, галогеном, фенилом и фенилалкокси; R4 и R5, одинаковые или различные, выбирают из водорода, алкила и аралкила; R‘ 6 представляет собой водород, галоген, трифторметил, алкил и алкокси; R6-R9, одинаковые или различные, выбирают из водорода, алкила, алкокси, галогена, галоалкокси, алкилкарбонила, алкоксикарбонила, оксазолила, трифторалкила, или смежные группы R6-R9 образуют кольцевые структуры, которые могут быть в дальнейшем замещены; R10 представляет собой водород или вместе с R3 образует алкиленовую цепь и R11 и R12, одинаковые или различные, выбирают из водорода, галогена или алкила, алкильных групп, алкоксильных групп и их остатков, они могут иметь разветвленные или прямые цепи С1-С9 или включать циклические алкильные группы, такие как циклоалкилалкил. Примерами ингибиторов протонного насоса в соответствии с формулой 1 являются ![]() ![]() ![]() ![]() ![]() ![]() ![]() ![]() ![]() ![]() ![]() ![]() Ингибиторы протонного насоса, используемые в лекарственных формах в соответствии с настоящим изобретением, могут использоваться в нейтральном виде или в виде щелочной соли, такой как, например, соли Mg2+, Са2+, Na+ К+ или Li+, предпочтительно соли Мg2+. Далее, по возможности, вышеперечисленные соединения могут использоваться в рацемической форме или в виде их по существу чистых энантиомеров или щелочных солей отдельных энантиомеров. Подходящие ингибиторы протонного насоса описываются, например, в ЕР-А1-0005129, ЕР-А1-174726, ЕР-А1-166287, GB 2163747 и WО 90/6925, WО 91/19711, WО 91/19712 и далее наиболее подходящие соединения описаны в WО 95/01977 и WО 94/27988. Веществом, подавляющим желудочную кислоту, предпочтительно является чувствительный к кислоте ингибитор протонного насоса, однако антагонисты рецептора Н2, такие как ранитидин, циметидин или фамотидин могут быть использованы в фармацевтических композициях с альгинатом, как предлагается в WO 95/017080, или вместе с антацидным веществом (веществами). В соответствии с настоящим изобретением в комбинации с соответствующим ингибитором протонного насоса в фиксированной лекарственной форме может быть использовано большое разнообразие антацидных веществ и/или альгинатов. Такие антацидные вещества включают, например, гидроксид алюминия, карбонат кальция, гидроксид магния, карбонат магния и карбонат гидроксида алюминия магния (гидротальцит) по отдельности или в сочетании друг с другом. Альгинатами могут быть альгинаты, выбранные из альгиновой кислоты, или альгината натрия, или других фармацевтически приемлемых солей, гидратов, эфиров и т. д. альгината. Особенно предпочтительными антацидными веществами являются антацидные вещества, основанные на магнии или кальции, а также комплекс гидроксид алюминия/карбонат магния. Подходящие антацидные вещества описаны, например, в US 5409709. Предпочтительные сложные таблетированные лекарственные формы, включающие ингибитор протонного насоса в виде рацемата, щелочной соли или одного из ее отдельных энантиомеров в сочетании с антацидным веществом (веществами), характеризуются следующим образом. Частицы с энтеросолюбильным покрытием (небольшие горошины, гранулы или шарики), содержащие чувствительный к кислоте ингибитор протонного насоса и необязательно содержащие щелочные реагенты, смешиваются с антацидом (антацидами) и подходящими наполнителями таблеток. Антацид(ы) и наполнители для таблеток могут быть сформованы в гранулы с помощью сухого или влажного перемешивания. Смесь частиц с энтеросолюбильным покрытием, антацидное вещество(а) и необязательно наполнители прессуются в сложные таблетированные лекарственные формы. Выражение “отдельные частицы” означают небольшие горошины, гранулы или шарики, в дальнейшем называемые гранулами ингибитора протонного насоса. Процесс прессования при изготовлении сложных таблетированных лекарственных форм не должен оказывать сильного воздействия на кислотную устойчивость гранул с энтеросолюбильным покрытием. Другими словами, механические свойства, такие как эластичность и твердость, а также толщина энтеросолюбильного покрытия, должны отвечать требованиям, предъявляемым к продуктам с энтеросолюбильными покрытиями, изложенным в Фармакопее США, таким образом, чтобы во время прессования гранул в таблетки кислотоустойчивость не снижалась более чем на 10%. Кислотоустойчивость определяется как количество ингибитора протонного насоса в таблетках или гранулах, подвергнутого воздействию искусственной желудочной жидкости в соответствии с Ф США, или 0,1 М НС1 (водн. ) по сравнению с необработанными таблетками и гранулами соответственно. Тест проводится следующим образом. Отдельные таблетки или гранулы подвергают воздействию искусственной желудочной жидкости, имеющей температуру 37oС. Таблетки быстро распадаются и обнажают гранулы с энтеросолюбильным покрытием. Через 2 часа эти гранулы достают и анализируют на содержание ингибитора протонного насоса, используя жидкостную хроматографию высокого разрешения (HPLC). Дальнейшие отдельные компоненты, используемые в фиксированных лекарственных формах в соответствии с настоящим изобретением, описываются ниже. Материал сердцевины – для гранул с энтеросолюбильным покрытием, включающих ингибитор протонного насоса Материал сердцевины для гранул с энтеросолюбильным покрытием может быть получен различными способами. В качестве материала сердцевины для дальнейшей обработки могут быть использованы шарики, покрытые ингибитором протонного насоса, необязательно смешанные со щелочными веществами. Шарики для покрытия ингибитором протонного насоса могут быть водонерастворимыми и включать различные окиси, целлюлозы, органические полимеры и другие материалы по отдельности или в смесях, или растворимыми в воде шариками, включающими различные неорганические соли, сахара, нонпарели и другие материалы по отдельности или в смесях. Далее, шарики могут включать ингибитор протонного насоса в виде кристаллов, агломератов, брикетов и т. д. Размер шариков не имеет значения для настоящего изобретения, однако он может составлять приблизительно 0,1-2 мм. Шарики, покрытые ингибитором протонного насоса, получают путем нанесения порошка или раствора/суспензии с использованием, например, оборудования для нанесения гранулированного или распыляемого покрытия. Перед покрытием шариков ингибитор протонного насоса может быть смешан с дополнительными компонентами. Такими компонентами могут быть связующие, поверхностно-активные вещества, наполнители, расщепители, щелочные добавки и пр. , и/или фармацевтически приемлемые ингредиенты по отдельности или в смесях. Связующими являются, например, полимеры, такие как гидроксипропил метилцеллюлоза (ГПМЦ), гидроксипропил-целлюлоза (ГПЦ), карбоксиметил целлюлоза натрий, поливинил пирролидон (ПВП), сахара, крахмалы или другие фармацевтически приемлемые вещества, обладающие когезионными свойствами. Подходящие поверхностно-активные вещества входят в группу фармацевтически приемлемых неионных или ионных поверхностно-активных веществ, таких как, например, натрий лаурил сульфат. Альтернативно ингибитор протонного насоса, необязательно смешанный со щелочными веществами и далее смешанный с подходящими компонентами, может быть сформован в материал сердцевины. Указанный материал для сердцевины может быть получен путем экструзии/сферонизации, образования шариков или прессования с использованием обычного соответствующего оборудования. Размер сформованного материала сердцевины приблизительно составляет 0,1-4 мм, предпочтительно 0,1-2 мм. Сформованный материал сердцевины может быть далее покрыт дополнительными компонентами, включающими ингибитор протонного насоса и/или быть использован для дальнейшей обработки. Ингибитор протонного насоса смешивается с фармацевтическими компонентами для получения предпочтительных свойств для обработки и подходящей концентрации вещества в конечной смеси. Используют фармацевтические вещества, такие как наполнители, связующие, смазывающие вещества, расщепители, поверхностно-активные вещества и другие фармацевтически приемлемые добавки. Далее, ингибитор протонного насоса может быть также смешан со щелочным, фармацевтически приемлемым веществом (веществами). Такие вещества могут быть выбраны, но не ограничиваются ими, среди солей натрия, калия, кальция, магния и алюминия фосфорной кислоты, угольной кислоты, лимонной кислоты или других подходящих слабых неорганических или органических кислот; совместного осадка гидроксида алюминия/бикарбоната натрия; веществ, обычно используемых в антацидных препаратах, таких как гидроксиды алюминия, кальция и магния; окись магния или композитные вещества, такие как А12O3. 6МgО. СО2. 12Н2О, (Мg6А12(ОН)16СO3. 4Н2О), МgО. Al2O3. 2SiO. nH2O или подобные соединения; органические рН-буферные вещества, такие как тригидроксиметил-аминметан, основные аминокислоты и их соли или другие подобные фармацевтически приемлемые рН-буферные вещества. Альтернативно вышеперечисленные материалы сердцевины могут быть приготовлены путем высушивания или затвердевания с помощью распыления. Энтеросолюбильное покрытие Перед нанесением энтеросолюбильного покрытия на материал сердцевины в виде отдельных гранул или таблеток эти гранулы или таблетки могут быть необязательно покрыты одним или несколькими разделительными слоями, включающими фармацевтические наполнители, необязательно содержащие щелочные соединения, такие как рН-буферные соединения. Этот разделительный слой (слои) отделяет материал сердцевины от наружных энтеросолюбильных слоев. Разделительный слой (слои), защищающий ингибитор протонного насоса, должен быть растворимым или быстро распадаться в воде. Разделительным слой (слои) может наноситься на материал сердцевины с помощью процедур нанесения покрытий и соответствующего оборудования, такого как ванна для нанесения покрытий, гранулятор или аппарат с псевдоожиженным слоем с использованием для процесса покрытия воды и/или органических растворителей. В качестве альтернативы разделительный слой (слои) может быть нанесен на материал сердцевины с использованием метода порошкового напыления. Материалами для разделительного слоя служат фармацевтически приемлемые соединения, такие как, например, сахар, полиэтилен гликоль, поливинилпирролидон, поливиниловый спирт, поливинил ацетат, гидроксипропил целлюлоза, метил целлюлоза, этил целлюлоза, гидроксипропил метил целлюлоза, карбоксиметилцеллюлоза натрий и другие, по отдельности или в смесях. Разделительный слой (слои) может также включать добавки, такие как пластификаторы, красители, пигменты, наполнители, противосклеивающие и антистатические вещества, такие как, например, стеарат магния, диоксид титана, тальк и другие добавки. При нанесении на материал сердцевины необязательный разделительный слой может давать различную толщину. Максимальная толщина разделительного слоя (слоев) обычно ограничивается только условиями обработки. Разделительный слой может играть роль как диффузного барьера, так и рН-буферной зоны. рН-буферные свойства разделительного слоя (слоев) могут быть далее усилены путем введения в него веществ, выбранных из группы соединений, обычно используемых в антацидных композициях, таких как, например, окись, гидроксид или карбонат магния, гидроксид, карбонат или силикат алюминия или кальция; композитные соединения алюминия/магния, такие как, например, А12O3. 6МgО. СО2. 12Н2О, (Мg6А12(ОН)16СО3. 4Н2О), МgО. A12O3. 2SiO2. nH2O, совместный осадок гидроксида алюминия/бикарбоната натрия или подобные соединения; или другие фармацевтически приемлемые рН-буферные соединения, такие как, например, соли натрия, калия, кальция, магния и алюминия фосфорной, угольной, лимонной кислоты или других подходящих слабых неорганических или органических кислот; или подходящие органические основания, включая их основные аминокислоты и соли. Для увеличения толщины слоя (слоев) и, следовательно, усиления диффузного барьера, могут быть добавлены тальк или другие соединения. Необязательно нанесенный разделительный слой (слои) не имеет большого значения для данного изобретения. Однако разделительный слой (слои) может улучшить химическую стабильность активного вещества и/или физические свойства новой сложной таблетированной лекарственной формы. Альтернативно, разделительный слой может быть образован на месте посредством реакции между полимерным энтеросолюбильным покрытием, нанесенным на материал сердцевины, и щелочным реагентом, содержащимся в этом материале. Таким образом, образовавшийся разделительный слой включает соль, образованную в результате реакции между полимером (полимерами) энтеросолюбильного покрытия и щелочным реагентом, способным образовывать соль. Разделительный слой может также быть использован для разделения двух различных слоев таблетки, как показано на фиг. 2. Одно или несколько энтеросолюбильных покрытий наносят на материал сердцевины или на указанный материал покрытий разделительным слоем (слоями) с использованием подходящих способов нанесения покрытий. Материал, составляющий энтеросолюбильное покрытие, может быть диспергирован или растворен либо в воде, либо в подходящих органических растворителях. В качестве полимеров для энтеросолюбильного покрытия может быть использовано одно или несколько, по отдельности или в сочетании, из следующих веществ: растворы или дисперсии сополимеров метакриловой кислоты, целлюлоза ацетат фталата, гидроксипропил метилцеллюлоза фталата, гидроксипропил метилцеллюлоза ацетат сукцината, поливинил ацетат фталата, целлюлоза ацетат триметиллитата, карбоксиметилэтил целлюлозы, шеллак или другие подходящие полимеры для энтеросолюбильного покрытия. Энтеросолюбильные покрытия могут содержать фармацевтически приемлемые пластификаторы для получения желаемых механических свойств, таких как гибкость и твердость энтеросолюбильного покрытия. Такими пластификаторами являются, например, но не ограничиваются ими, триацетин, эфиры лимонной кислоты, эфиры фталевой кислоты, дибутиловый себацат, цетиловый спирт, полиэтилен гликоли, полисорбиты или другие пластификаторы. Количество пластификатора оптимизируется для каждого состава энтеросолюбильного покрытия в зависимости от выбранного полимера (полимеров) для энтеросолюбильного покрытия, выбранного пластификатора (пластификаторов) и используемого количества указанного полимера (полимеров) таким образом, чтобы получить такие механические свойства, т. е. гибкость и твердость энтеросолюбильного покрытия, например твердость по Виккерсу, которые бы обеспечивали кислотоустойчивость гранул с энтеросолюбильным покрытием, не уменьшающуюся значительно во время прессования гранул в таблетки. Количество пластификатора обычно превышает на 10 мас. % количество полимера (полимеров), содержащегося в энтеросолюбильном покрытии, предпочтительно на 15-50% и наиболее предпочтительно на 20-50%. Добавки, такие как диспергаторы, красители, пигменты, полимеры, например поли (этилакрилат, метилметакрилат), противосклеивающие и противовспенивающие вещества также могут быть включены в состав энтеросолюбильных покрытий. Другие соединения могут быть добавлены с целью увеличения толщины пленки и уменьшения диффузии кислых желудочных соков в материал, чувствительный к кислоте. Для защиты чувствительного к кислоте вещества, ингибитора протонного насоса, и получения приемлемой кислотной устойчивости лекарственной формы в соответствии с настоящим изобретением, энтеросолюбильное покрытие должно иметь толщину по крайней мере приблизительно 10 мкм, предпочтительно более 20 мкм. Максимальная толщина используемого энтеросолюбильного покрытия обычно ограничивается условиями обработки и желаемым уровнем растворяемости. Альтернативно описанное выше энтеросолюбильное покрытие может также быть использовано для энтеросолюбильного покрытия обычных таблеток, включающих чувствительный к кислоте ингибитор протонного насоса. Такая таблетка с энтеросолюбильным покрытием затем подвергается покрытию с помощью прессования антацидными гранулами и фармацевтическими наполнителями. Дополнительное покрытие Гранулы, имеющие энтеросолюбильное покрытие, могут быть далее покрыты одним или двумя дополнительными слоями. Эти слои должны быть растворимы в воде или быстро распадаться в ней. Дополнительные слои могут быть нанесены на гранулы с энтеросолюбильным покрытием с помощью процедур нанесения покрытий и соответствующего оборудования, такого как ванна или гранулятор для нанесения покрытий, или аппарат с псевдоожиженным слоем с использованием воды и/или органических растворителей для процесса нанесения покрытия. Материалами для дополнительных покрытий служат фармацевтически приемлемые соединения, такие как, например, сахар, полиэтилен гликоль, поливинилпирролидон, поливиниловый спирт, поливинил ацетат, гидроксипропил целлюлоза, метил целлюлоза, этил целлюлоза, гидроксипропил метил целлюлоза, карбоксиметил целлюлоза натрий и др. , по отдельности или в смесях. Дополнительный слой (слои) может также включать добавки, такие как пластификаторы, красители, пигменты, наполнители, противосклеивающие и антистатические вещества, такие как, например, стеарат магния, диоксид титана, тальк и другие добавки. Указанное дополнительное покрытие может также предотвращать потенциальную агломерацию гранул с энтеросолюбильным покрытием, защищать энтеросолюбильное покрытие от растрескивания во время процесса прессования и улучшать процесс изготовления таблеток. Максимальная толщина дополнительного слоя (слоев) обычно лимитируется условиями обработки и желаемым уровнем растворимости. Вышеописанное дополнительное покрытие может также быть использовано в качестве пленочного покрытия для таблеток с целью улучшения их внешнего вида. Антацидное вещество(а) или альгинат Активное вещество в виде одного или нескольких антацидов смешивают в сухом виде с неактивными добавками, такими как наполнители, связующие, расщепители и другие фармацевтически приемлемые добавки. Смесь увлажняют грануляционной жидкостью. Влажная масса высушивается предпочтительно до потери при сушке менее 3 мас. %. Затем сухая масса перемалывается для получения гранул нужного размера: менее 4 мм, предпочтительно менее 1 мм. Подходящими неактивными наполнителями являются, например, маннит, кукурузный и картофельный крахмал, низкозамещенная гидроксипропил целлюлоза, микрокристаллическая целлюлоза и поперечно сшитый поливинилпирролидон. Сухая смесь, включающая антацидное вещество(а) смешивается с подходящей жидкостью для гранулирования, содержащей, например, гидроксипропил целлюлозу или поливинилпирролидон, растворенный в очищенной воде или спирте, или их смесь. Альтернативно антацидное вещество(а) смешивают в сухом виде с фармацевтически приемлемыми наполнителями в соответствии с вышеизложенным. Альгинат также следует готовить путем сухого смешивания с фармацевтически приемлемыми наполнителями. Сложные таблетки Гранулы с энтеросолюбильным покрытием, включающие ингибитор протонного насоса, смешивают с приготовленными антацидными гранулами или с приготовленной сухой смесью, содержащей антацидное вещество(а). Смесь смешивают со смазывающим агентом и прессуют в сложную таблетированную лекарственную форму. Подходящими смазывающими агентами для процесса таблетирования являются, например, натрий стеарил фумарат, стеарат магния и тальк. Прессованную таблетку необязательно покрывают веществом, образующим пленку, для получения гладкой поверхности таблетки и дальнейшего улучшения ее стабильности во время упаковки и транспортировки. Такое покрытие может также включать добавки, такие как противосклеивающие вещества, красители и пигменты или другие добавки для получения хорошего внешнего вида таблетки. Далее, различные активные вещества могут образовывать различные слои, при этой слой, содержащий ингибитор протонного насоса, предпочтительно представляет собой сложную таблетированную лекарственную форму, покрытую приготовленной смесью антацидного вещества (веществ) или альгината. Два слоя могут быть разделены третьим слоем, включающим противосклеивающие вещества. Фракция гранул с энтеросолюбильным покрытием составляет менее 75 мас. % от общей массы таблетки и, предпочтительно, менее 60%. Путем увеличения количества гранул, содержащих антацидное вещество(а) и наполнители, фракция гранул с энтеросолюбильным покрытием ингибитора протонного насоса в сложной таблетированной лекарственной форме может быть уменьшена. При использовании небольших гранул с энтеросолюбильным покрытием в составе в соответствии с настоящим изобретением можно получить большое количество гранул в каждой таблетке, что, в свою очередь, позволяет делить таблетку, сохраняя точность дозировки. Таким образом, предпочтительный сложный состав таблетки состоит из гранул с энтеросолюбильным покрытием, содержащих чувствительный к кислоте ингибитор протонного насоса, необязательно в смеси со щелочным реагентом, спрессованных в таблетки вместе с приготовленной антацидной смесью и, необязательно, наполнителями для таблеток. Добавление щелочного реагента к ингибитору протонного насоса не является обязательным, однако такое вещество может еще больше увеличить стабильность ингибитора протонного насоса или некоторые щелочные реактивы могут реагировать на месте с энтеросолюбильным покрытием для образования разделительного слоя. Энтеросолюбильное покрытие(я) делает гранулы лекарственной формы нерастворимыми в кислотной среде, но распадающимися/растворяющимися в нейтрально-щелочной среде, такой как, например, жидкости, присутствующие в проксимальной части тонкого кишечника, где желательно растворение ингибитора протонного насоса. Гранулы с энтеросолюбильным покрытием перед формованием в таблетки могут быть также покрыты дополнительным слоем, они также могут включать один или несколько разделительных слоев, расположенных между материалом сердцевины и слоями энтеросолюбильного покрытия. Способ Способ изготовления лекарственной формы представляет собой дальнейший аспект данного изобретения. После приготовления гранул с помощью покрытия, наносимого распылением, или нанесения ингибитора протонного насоса на шарики, или с помощью экструзии/сферонизации или гранулирования, т. е. роторного гранулирования гомогенных гранул, гранулы сначала необязательно покрывают разделительным слоем (слоями), а затем энтеросолюбильным покрытием, или же разделительный слой между материалом сердцевины и материалом энтеросолюбильного покрытия образуют непосредственно на месте. Покрытие осуществляется, как описано выше и в нижеследующих примерах. Приготовление антацидной смеси также описывается выше и в примерах. Фармацевтические процессы предпочтительно полностью основаны на воде. Гранулы с энтеросолюбильным покрытием, с дополнительным покрытием или без него, смешивают с приготовленными антацидными гранулами, наполнителями для таблеток и другими фармацевтически приемлемыми добавками и прессуют в таблетки. Альтернативно гранулы с энтеросолюбильным покрытием могут быть тщательно смешаны с наполнителями для таблеток, предварительно спрессованы, а затем покрыты антацидом или альгинатом и окончательно спрессованы в таблетки. В качестве еще одной альтернативы, ингибитор протонного насоса в виде порошка может быть смешан с наполнителями для таблеток и спрессован в таблетки, которые необязательно покрывают разделительным слоем, а затем энтеросолюбильным слоем. Указанная сердцевина таблетки затем покрывается под давлением антацидным препаратом. Наконец таблетки могут быть покрыты покрытием для таблеток. В качестве следующей альтернативы ингибитор протонного насоса в виде гранул с энтеросолюбильным покрытием может быть помещен в саше вместе с альгинатом, необязательно перемешанным с наполнителями. Использование препарата Лекарственные формы в соответствии с настоящим изобретением особенно успешно могут применяться для лечения диспепсии и других желудочно-кишечных расстройств для обеспечения немедленного устранения симптомов и их длительного разрешения. Лекарственные формы назначают один или несколько раз в день, предпочтительно один или два раза в сутки. Обычная суточная доза активных веществ колеблется и зависит от различных факторов, таких как индивидуальные требования пациентов, способ введения и заболевание. В целом, каждая лекарственная форма включает 0,1-200 мг ингибитора протонного насоса и 0,1-1000 мг антацидного вещества/альгината. Предпочтительно каждая лекарственная форма включает 5-80 мг ингибитора протонного насоса и 100-900 мг антацидного вещества/альгината и более предпочтительно 10-40 мг ингибитора протонного насоса и 250-650 мг антацидного вещества/альгината соответственно. Сложный препарат для таблеток также подходит для диспергирования в водной жидкости, имеющей невысокую кислотную величину рН, с целью перорального введения или кормления через назогастральный зонд. Данное изобретение иллюстрируется более подробно с помощью следующих примеров. Пример 1 Сложная таблетированная лекарственная форма, включающая омепразол магния и антацидные вещества (партия – 400 таблеток). Материал сердцевины Омепразол магния – 5,0 кг Сахарные сферические шарики – 10,0 кг Гидроксипропил метил целлюлоза – 0,75 кг Очищенная вода – 20,7 кг Разделительный слой Материал для сердцевины (как указано выше) – 10,2 кг Гидроксипропил целлюлоза – 1,02 кг Тальк – 1,75 кг Стеарат магния – 0,146 кг Очищенная вода – 21,4 кг Энтеросолюбильное покрытие Гранулы, покрытые разделительным слоем (как указано выше) – 11,9 кг Сополимер метакриловой кислоты (30%-ная суспензия) – 19,8 кг Триэтил цитрат – 1,79 кг Моно- и диглицериды (НФ) – 0,297 кг Полисорбат 80 – 0,03 кг Очищенная вода – 11,64 кг Дополнительное покрытие Гранулы с энтеросолюбильным покрытием (как указано выше) – 20,0 кг Гидроксипропил метил целлюлоза – 0,238 кг Стеарат магния – 0,007 кг Очищенная вода – 6,56 кг Таблетки Приготовленные гранулы, содержащие омепразол Мg -соль (как указано выше) – 31,3 г Микрокристаллическая целлюлоза – 140,0 г Карбонат кальция – 100,0 г Гидроксид алюминия/карбонат магния – 100,0 г Картофельный крахмал – 46,4 г Очищенная вода – 314 г Перекрестно сшитый поливидон – 38,0 г Фумарат стеарила натрия – 4,6 г Покрытие суспензией производилось в аппарате с псевдоожиженным слоем. Омепразол магния распыляли на сахарные сферические шарики из водной суспензии, содержащей растворенное связующее. Размер сахарных сферических шариков составлял от 0,25 до 0,35 мм. Приготовленный материал сердцевины покрывали разделительным слоем раствора гидроксипропил целлюлозы, содержащего тальк и стеарат магния. Слой энтеросолюбильного покрытия, состоящего из сополимера метакриловой кислоты, моно- и диглицеридов, триэтилцитрата и полисорбата распыляли на гранулы, покрытые разделительным слоем, в аппарате с псевдоожиженным слоем. В указанном аппарате гранулы с энтеросолюбильным покрытием покрывали гидроксипропил метилцеллюлозой, содержащей стеарат магния. Гранулы с дополнительным покрытием пропускали через сито. Небольшое количество картофельного крахмала растворяли в горячей очищенной воде для образования грануляционной жидкости. Карбонат кальция, гидроксид алюминия/карбонат магния, картофельный крахмал и микрокристаллическую целлюлозу смешивали в сухом виде. К сухой смеси добавляли грануляционную жидкость и влажную массу перемешивали. Влажную массу высушивали в паровой сушилке при 50oC. Полученные гранулы перемалывали через сито 1 мм в осцилляционной мельнице. Гранулы с энтеросолюбильным покрытием, имеющие дополнительный слой, приготовленные шарики, поперечно-сшитый поливидон и фумарат стеарила натрия смешивали и прессовали в таблетки, используя таблеточную машину, оборудованную овальными штампами размером 9 20 мм. Количество омепразола в каждой таблетке составляло приблизительно 10 мг, а общее количество антацидного вещества составляло приблизительно 500 мг. Твердость таблеток измеряли до 110 N.
На полученные таблетки необязательно наносили покрытие.
Результаты“Кислотоустойчивость, т. е. %, оставшийся после воздействия 0,1 N HC1 в течение 2 часов Пример 1 Таблетки – 93% Пример 2 Сложная таблетированная лекарственная форма, включающая омепразол магния и антацидные вещества (размер партии – 500 таблеток). Материал сердцевины Омепразол магния – 10,0 кг Сахарные сферические шарики – 10,0 кг Гидроксипропил метил целлюлоза – 1,5 кг Очищенная вода – 29,9 кг Разделительный слой Материал сердцевины (как указано выше) – 20,0 кг Гидроксипропил целлюлоза – 2,0 кг Тальк – 3,43 кг Стеарат магния – 0,287 кг Очищенная вода – 41,0 кг Энтеросолюбильное покрытие Гранулы, покрывающие разделительным слоем (как указано выше) – 24,5 кг Сополимер метакриловой кислоты – 32,7 кг Триэтил цитрат – 2,94 кг Моно- и диглицериды (НФ) – 0,49 кг Полисорбат 80 – 0,049 кг Очищенная вода – 19,19 кг Дополнительное покрытие Гранулы с энтеросолюбильным покрытием (как указано выше) – 37,8 кг Гидроксипропил метил целлюлоза – 0,49 кг Стеарат магния – 0,0245 кг Очищенная вода – 11,6 кг Таблетки Приготовленные гранулы, содержащие омепразол магния (как указано выше) – 47,45 г Карбонат кальция – 123,9 г Гидроксид магния – 123,9 г Картофельный крахмал – 52,2 г Очищенная вода – 435 г Микрокристаллическая целлюлоза – 175 г Поперечносшитый поливидон – 50 г Натрий стеарил фумарат – 6,0 г Гранулы омепразола магния с энтеросолюбильным покрытием, имеющие дополнительный верхний слой, приготавливали как в Примере 1. Небольшое количество картофельного крахмала растворяли в горячей очищенной воде для приготовления грануляционной жидкости. Карбонат кальция, гидроксид магния и картофельный крахмал смешивали в сухом виде. К сухой смеси добавляли грануляционную жидкость и влажную массу перемешивали. Влажную массу высушивали в паровой сушилке при 40oС. Полученные гранулы перемалывали через сито 1 мм сито в осциляционной мельнице. Гранулы с энтеросолюбильным покрытием, имеющие дополнительный верхний слой, приготовленные шарики, микрокристаллическую целлюлозу, поперечно-сшитый поливидон и натрий стеарил фумарат смешивали и прессовали в таблетки, используя таблеточную машину, оборудованную овальными штампами размером 9 20 мм. Количество омепразола в каждой таблетке составляло приблизительно 20 мг, а общее количество антацидного вещества составляло приблизительно 500 мг. Твердость таблеток измеряли до 30-40 N.
На полученные таблетки необязательно наносили покрытие.
Пример 3Сложная таблетированная лекарственная форма, включающая магниевую соль S-омепразола и антацидные вещества (размер партии – 500 таблеток). Материал сердцевины Магниевая соль S-омепразола – 120 г Сахарные сферические шарики – 150 г Гидроксипропил метил целлюлоза – 18 г Полисорбат 80 – 2,4 г Очищенная вода – 562 г Разделительный слой Материал сердцевины (как указано выше) – 200 г Гидроксипропил целлюлоза – 30 г Тальк – 51,4 г Стеарат магния – 4,3 г Очищенная вода – 600 г Энтеросолюбильное покрытие Гранулы, покрытые разделительным слоем (как указано выше) – 250 г Сополимер метакриловой кислоты (30%-ная суспензия) – 333,7 Триэтил цитрат – 30 г Моно- и диглицериды (НФ) – 5 г Полисорбат 80 – 0,5 г Очищенная вода – 196 г Таблетки Приготовленные гранулы, содержащие Мg-соль (S)-омепразола – 63,7 г Карбонат кальция – 123,9 г Гидроксид магния – 123,9 г Картофельный крахмал – 52,2 г Очищенная вода – 435 г Микрокристаллическая целлюлоза – 175 г Поперечно-сшитый поливидон – 50,0 г Натрий стеарил фумарат – 6,0 г Покрытие суспензией производили в аппарате с псевдоожиженным слоем. Магниевую соль S-омепразола распыляли на сахарные сферические шарики из водной суспензии, содержащей растворенное связующее и полисорбат 80. Размер сахарных сферических шариков составлял от 0,25 до 0,35 мм. Приготовленный материал для сердцевины покрывали разделительным слоем раствора гидроксипропил целлюлозы, содержащего тальк и стеарат магния, в аппарате с псевдоожиженным слоем. Слой энтеросолюбильного покрытия, состоящего из сополимера метакриловой кислоты, моно- и диглицеридов, триэтил цитрата и полисорбата распыляли на гранулы, покрытые разделительным слоем, в аппарате с псевдоожиженным слоем. Гранулы с энтеросолюбильным покрытием классифицировали, пропуская через сито. Небольшое количество картофельного крахмала растворяли в горячей очищенной воде для приготовления грануляционной жидкости. Карбонат кальция, гидроксид магния и картофельный крахмал смешивали в сухом виде. К сухой смеси добавляли грануляционную жидкость, и влажную массу перемешивали. Влажную массу высушивали в паровой сушилке при 40oС. Полученные гранулы перемалывали через сито 1 мм в осциляционной мельнице. Гранулы с энтеросолюбильным покрытием, приготовленные шарики, поперечно-сшитый поливидон, микрокристаллическую целлюлозу и натрий стеарил фумарат смешивали и прессовали в таблетки, используя таблеточную машину, оборудованную овальными штампами размером 9 20 мм. Количество S-омепразола в каждой таблетке составляло приблизительно 20 мг, а общее количество антацидного вещества составляло приблизительно 500 г. Твердость таблеток измеряли до 30 N.
На полученные таблетки необязательно наносили покрытие.
Пример 4Трехслойная таблетированная лекарственная форма с быстро распадающимся слоем, содержащим омепразол, разделительный слой и слой, содержащий альгиновую кислоту (размер партии – 1000 таблеток). ТАБЛЕТКИ Первый слой таблетки Альгиновая кислота – 500 г Натрий водород карбонат – 150 г Микрокристаллическая целлюлоза – 87 г Поперечно-сшитый поливинил пирролидон – 13 г Натрий стеарил фумарат – 3,8 г Разделительный слой Микрокристаллическая целлюлоза – 80 г Второй слой таблетки Гранулы с энтеросолюбильным покрытием, содержащие Мg-соль омепразола (приготовление и состав как описано в Примере 1) – 78,3 г Микрокристаллическая целлюлоза – 174 г Поперечно-сшитый поливинил пирролидон – 26 г Натрий стеарил фумарат – 1,4 г Альгиновую кислоту, натрий водород карбонат, микрокристаллическую целлюлозу, поливинил пирролидон и натрий стеарил фумарат смешивали в сухом виде и предварительно прессовали как первый слой на таблеточной машине, оборудованной овальными штампами размером 10 21 мм. Поверх первого слоя наносили микрокристаллическую целлюлозу для образования разделительного слоя перед следующим слоем.
Гранулы с энтеросолюбильным слоем, микрокристаллическую целлюлозу, поливинил пирролидон и натрий стеарил фумарат смешивали в сухом виде и наносили поверх разделительного слоя. Три слоя прессовали в трехслойную таблетку.
На эту таблетку необязательно наносили покрытие. Количество омепразола в каждой таблетке составляло приблизительно 10 мг, а количество альгиновой кислоты составляло приблизительно 500 мг.
Наилучший способ осуществления изобретения описывается в Примерах 1 и 4.
Гранулы с энтеросолюбильным покрытием, содержащие ингибитор протонного насоса, могут быть также приготовлены, как описано в нижеследующих Примерах.
Пример 5Приготовление гранул с энтеросолюбильным покрытием экструзией/сферонизацией. Материал сердцевины Омепразол магния – 600 г Маннит – 1000 г Микрокристаллическая целлюлоза – 300 г Гидроксипропил целлюлоза – 100 г Натрий лаурил сульфат – 6 г Очищенная вода – 802 г Разделительный слой Материал для сердцевины – 400 г Гидроксипропил метил целлюлоза – 48 г Очищенная вода – 960 г Энтеросолюбильное покрытие Гранулы, покрытые разделительным слоем – 200 г Сополимер метакриловой кислоты – 100 г Триэтил цитрат – 30 г Моно- и диглицериды (НФ) – 5 г Полисорбат 80 – 0,5 г Очищенная вода – 309 г Натрий лаурил сульфат растворяют в очищенной воде для получения грануляционной жидкости. Омепразол магния, маннит, микрокристаллическую целлюлозу и гидроксипропил целлюлозу смешивают в сухом виде. К грануляционной жидкости добавляют порошковую смесь, и влажную массу перемешивают. Влажную массу пропускают через экструдер, оборудованный ситами, имеющими размер 0,5 мм. Экструдату придают сферическую форму на фрикционной пластинке в сферонизирующем аппарате. Материал сердцевины высушивают в сушилке с псевдоожиженным слоем и классифицируют. Полученный материал сердцевины покрывают разделительным слоем в аппарате с псевдоожиженным слоем с помощью раствора гидроксипропил метил целлюлозы/воды. Энтеросолюбильное покрытие наносят на гранулы, покрытые разделительным слоем с помощью водной дисперсии сополимера метакриловой кислоты, пластифицированного триэтил цитратом, к которому добавляют дисперсию моно-и диглицеридов/полисорбата. Гранулы высушивают в аппарате с псевдоожиженным слоем. Пример 6 Приготовление гранул с энтеросолюбильным покрытием порошковым нанесением на сахарные сферические шарики. Материал сердцевины Омепразол магния – 1500 г Сахарные сферические шарики – 1500 г Гидроксипропил метил целлюлоза – 420 г Аэросил – 8 гОчищенная вода – 4230 г Разделительный слой Материал для сердцевины – 500 г Гидроксипропил целлюлоза – 40 г Тальк – 67 г Стеарат магния – 6 г Очищенная вода – 800 г Энтеросолюбильное покрытие Гранулы, покрытые разделительным слоем – 500 г Сополимер метакриловой кислоты – 200 г Триэтил цитрат – 60 г Очищенная вода – 392 г Омепразол магния, часть гидроксипропил метил целлюлозы и Аэросил смешивают в сухом виде, образуя порошок. Сахарные сферические шарики (0,25-0,40 мм) покрывают этим порошком в центрифужном, флюидизирующем грануляторе для нанесения покрытий, распыляя раствор гидроксипропил метил целлюлозы (6%, мас. /мас. ).
Приготовленный материал сердцевины высушивают и покрывают разделительным слоем в центрифужном, флюидизирующем грануляторе для нанесения покрытий. Для нанесения энтеросолюбильного покрытия используют аппарат с псевдоожиженным слоем.
Пример 7Приготовление гранул с энтеросолюбильным покрытием с использованием шириков из двуокиси кремния. Материал сердцевины Омепразол магния – 8,00 кг Двуокись кремния – 8,00 кг Гидроксипропил метил целлюлоза – 1,41 кг Натрий лаурил сульфат – 0,08 кг Очищенная вода – 28,00 кг Разделительный слой Материал сердцевины (как указано выше) – 10,00 кг Гидроксипропил метил целлюлоза – 0,80 кг Очищенная вода – 10,00 кг Энтеросолюбильное покрытие Гранулы, покрытые разделительным слоем (как указано выше) – 300 г Сополимер метакриловой кислоты – 124 г Полиэтилен гликоль 400 – 25 г Моно- и диглицериды (НФ) – 3 г Полисорбат 80 – 1 г Очищенная вода – 463 г Покрытие суспензией осуществляют в аппарате с псевдоожиженным слоем. Омепразол магния напыляют на шарики из двуокиси кремния, используя водную суспензию, содержащую растворенное связующее и поверхностно-активный ингредиент. Приготовленный материал сердцевины покрывают разделительным слоем в аппарате с псевдоожиженным слоем с помощью раствора гидроксипропил метил целлюлозы. Энтеросолюбильное покрытие, состоящее из сополимера метакриловой кислоты, моно- и диглицеридов, полиэтилен гликоля 400 и полисорбата, распыляют на гранулы, покрытые разделительным слоем, в аппарате с псевдоожиженным слоем. Пример 8 Приготовление гранул с энтеросолюбильным покрытием. Энтеросолюбильное покрытие Гранулы, покрытые разделительным слоем (приготовление и состав как в Примере 5) – 500 г Сополимер метакриловой кислоты – 250 г Полиэтиленгликоль 6000 – 75 г Моно- и диглицериды (НФ), – 12,5 г Полисорбат 80 – 1,2 г Очищенная вода – 490 г Пример 9 Приготовление гранул с энтеросолюбильным покрытием. Энтеросолюбильное покрытие Гранулы, покрытые разделительным слоем (приготовление и состав как в Примере 1) – 500 г Фталат гидроксипропил метил целлюлозы – 250 г Цетанол – 50 г Этанол (95%) – 1000 г Ацетон – 2500 г Пример 10 Приготовление гранул с энтеросолюбильным покрытием. Материал сердцевины Омепразол – 225 г Маннит – 1425 г Гидроксипропил целлюлоза – 60 г Микрокристаллическая целлюлоза – 40 г Безводная лактоза – 80 г Натрий лаурил сульфат – 5 г Дигидрат динатрия водород фосфата – 8 г Очищенная вода – 350 г Разделительный слой Материал седрцевины – 300 г Гидроксипропил целлюлоза – 30 г Тальк – 51 г Стеарат магния – 4 г Энтеросолюбильное покрытие Гранулы, покрытые разделительным слоем – 300 г Сополимер метакриловой кислоты – 140 г Триэтил цитрат – 42 г Моно- и диглицериды (НФ) – 7 г Полисорбат 80 – 0,7 г Сухие ингредиенты для приготовления материала сердцевины хорошо перемешивают в миксере. Добавляют грануляционную жидкость, и смесь замешивают и гранулируют до нужной консистенции. Влажную массу пропускают через сито экструдера, и гранулам придают сферическую форму в сферонизаторе. Материал сердцевины высушивают в аппарате с псевдоожиженным слоем и разделяют на частицы подходящего размера, т. е. 0,5-1,0 мм. Приготовленный материал для сердцевины покрывают разделительным слоем и энтеросолюбильным покрытием, как описано в предыдущих Примерах. Приготовление активного вещества Омепразол магния, используемый в некоторых примерах, приготавливают в соответствии с процессом, описанным в WО 95/01977, отдельные энантиомеры солей омепразола приготавливают, как описано в WО 94/27988, а омепразол приготавливают в соответствии с процессом, раскрытым в ЕР-А1 0005129. Данные документы приводятся здесь в качестве ссылки. Формула изобретения
РИСУНКИ
MM4A – Досрочное прекращение действия патента СССР или патента Российской Федерации на изобретение из-за неуплаты в установленный срок пошлины за поддержание патента в силе
Дата прекращения действия патента: 21.12.2008
Извещение опубликовано: 20.07.2010 БИ: 20/2010
|
||||||||||||||||||||||||||





















20 мм. Количество омепразола в каждой таблетке составляло приблизительно 10 мг, а общее количество антацидного вещества составляло приблизительно 500 мг. Твердость таблеток измеряли до 110 N.
На полученные таблетки необязательно наносили покрытие.
Результаты
– 8 г