Патент на изобретение №2179442
|
||||||||||||||||||||||||||
(54) ФАРМАЦЕВТИЧЕСКИЕ КОМПОЗИЦИИ, СОДЕРЖАЩИЕ ПРОИЗВОДНЫЕ ЭСТРА-1,3,5(10)-ТРИЕНА
(57) Реферат: Изобретение относится к медицине. Фармацевтические композиции, содержащие в качестве активных ингредиентов производные эстра-1,3,5(10)-триена, несущие в их С3-положении группу общей формулы R-SO2-O-, где R обозначает группу R1R2N, в которой R1 и R2 не зависят друг от друга и обозначают атом водорода, С1-С5алкильный радикал или вместе с атомом азота обозначают полиметилениминогруппу, содержащую 4-6 атомов углерода, или морфолиногруппу, предназначены для гормональной контрацепции и для гормонзаместительной терапии (HRT). Они проявляют низкую эстрогенность в отношении печени. 2 з. п. ф-лы, 10 табл. Изобретение относится к фармацевтическим композициям, содержащим в качестве активных ингредиентов производные эстра-1,3,5(10)-триена, несущие группу R-SO2-О в С3-положении. Эстрогены играют основную роль в гормональной контрацепции, в заместительной терапии менопаузального гормона (HRT) и при лечении гинекологических (например, карциномы молочной железы) и андрологических (например, карциномы предстательной железы) заболеваний. Для HRT и контрацепции эстрогены в основном применяют вместе с гестагеном, например, леворногестрелом, дезогестрелом, гестоденом, дроспирореноном, норэфистероном, пипротеронацетатом, хлормадинонацетатом, диеногестом. При использовании для контрацепции эстрогены нужны для безопасного подавления созревания фолликулов и овуляции, однако, кроме того, они замещают подавленную в значительной степени эндогенную секрецию яичниками эстрадиола. Это замещение важно для поддержания искусственного менструального цикла и других половых функций, что не может быть осуществлено в достаточной степени даже при использовании гестагена. Более того, эндогенные эстрогены выполняют важные функции в центральной нервной системе и в процессах метаболизма женского организма. Нормальные уровни эстрогена играют значительную роль для здоровья индивидуумов (L. Zichella; Clinical Management of the Menopausal Woman; Int. J. of Fertil. and Menop. Studies, 38, Suppl. 1 (1993), стр. 15-22). Эстрогены противодействуют развитию сердечно-сосудистых заболеваний с помощью различных механизмов, в частности создавая “предпочтительные” режимы липопротеинов в крови (G. Samsioe; Hormone Replacement and Cardiovascular Disease; Int. J. of Fertil. and Menop. Studies, 38, Suppl. 1 (1993), стр. 23-29), ингибируя отложения липидов в стенке сосудов (В. Clarkson; Experimental Effects of Progesterone versus Progestins on Arterial Wall; Gynecol. Endocrinol. , 6, Suppl. 1 (1992), стр. 15), оказывая благоприятное воздействие на сосудистый тонус, снижая тем самым кровяное давление (R. A. Lobo; Estrogen and Cardiovascular Disease; Ann. New York Acad. Sciences, 592 (1990), стр. 286-294), снижая сопротивление кровотоку в важных участках сосудов и уменьшая сократительные стимулы к мышцам сосудов (С. Jiang и др. , Acute effect of 17 -estradiol on rabbit coronary artery contractile responses to endothelin-1; Am. J. Physiol. , 263 (1992), H271-H275). Внутренние стенки сосудов под воздействием эстрогенов высвобождают факторы (простациклин), которые противодействуют развитию тромбов в крови.
Эстрогены необходимы для защиты костной структуры у женщин. Их недостаток может быть причиной деструкции кости (остеопороз) (С. Cristiansen; Prevention and Treatment of Osteoporosis with Hormone Replacement Therapy; Int. J. of Fertil. and Menop. Studies, 38, Suppl. 1 (1993), стр. 45-54). Эти последние воздействия эстрогенов на центральную нервную систему и метаболизм являются основным аспектом HRT.
Однако, несмотря на все положительные аспекты эстрогенной терапии, также существуют нерешенные проблемы, которые ограничивают терапевтическое использование эстрогенов или вызывают нежелательные явления.
Натуральные эстрогены (эстрадиол, эстрон, эстронсульфат, сложные эфиры эстрадиола, эстриол) только в очень незначительной степени становятся биологически доступными при введении оральным путем (К. В. Lokind и др. ; Oral bioavailability of 17 -estradiol and various ester prodrugs in the rat; Int. J. Pharmaceutics, 76 (1991), стр. 177-182). Эта степень биологической доступности может так сильно изменяться от индивидуума к индивидууму, что не могут быть даны общие рекомендации по дозированию. Эти фармакокинетические факторы привели к негативной оценке натуральных эстрогенов как средств контрацепции (W. Kuhnz и др. ; Pharmacokinetics of Estradiol, Free and Total Estrone, in Young Women Following Single Intravenous and Oral Administration of 17 -Estradiol; Arzneimittel-Forschung/Drug Res. , 43 (II), 9, (1993), стр. 966-973). Другой проблемой является быстрое удаление веществ из крови. Замещение эстрогена при HRT часто следует регулировать индивидуально. Поэтому разработка пролекарства эстрадиола, направленная на улучшение биологической доступности, не имела успеха (К. В. Lokind и др. ; см. выше).
Синтетические эстрогены также обладают существенными недостатками. Наиболее важным измененным синтетическим путем эстрогенным стероидом является этинилэстрадиол (ЭЭ). Этот эстроген является основным при контрацепции оральным путем. В отличие от ЭЭ местранол применяют в небольшом количестве случаев; он представляет собой “пролекарство”, которое в организме в результате метаболизма превращается в ЭЭ (J. W. Goldzieher; Selected aspects of the pharmacokinetics and metabolism of ethinyl estrogens and their clinical implications; Am. J. Obstet. Gynecol, 163 (1990), стр. 318-322). ЭЭ при введении людям оральным путем обладает существенно более хорошей биологической доступностью, чем указанные выше натуральные эстрогены, однако его биологическая доступность при оральном введении в значительной степени изменяется от индивидуума к индивидууму. Goldzieher отметил негативное с фармакодинамической точки зрения значение изменения площади под кривой (AUC) зависимости времени полужизни и времени, при котором достигаются максимальные концентрации в крови. Наибольшее значение AUC, обнаруженное в этом исследовании при измерении от 0 до 24 ч после введения, составляло 2121 пг ч/мл. Наименьшее значение AUC составляло 284 пг ч/мл. Аналогичное 6- или 7-кратное изменение значения AUC описано у Humpel и др. (Humpel и др. ; Comparison of Serum Ethinyl Estradiol, Sex-Hormone-Binding Globulin, Corticoid-Binding Globulin and Cortisol Levels in Women Using Two Low-Dose Combined Oral Contraceptives; Horm. Res. , 33 (1990), стр. 35-39).
После резорбции из полости кишечника введенные оральным путем активные ингредиенты проникают в организм через печень. Этот факт является особенно важным для эстрогенных агентов, поскольку печень представляет собой орган-мишень для эстрогенов; оральное поглощение эстрогенов вызывает сильные эстрогенные воздействия на печень. Секреторная активность, которая контролируется эстрогенами в печени человека, включает синтез транспортных протеинов, кортикостероидсвязывающего глобулина (CBG), глобулина, связывающего половой гормон (SHBG), тироксинсвязывающего глобулина (TBG), ангиотензиногена, нескольких факторов, важных для физиологии свертывания крови, и липопротеинов.
Если натуральные эстрогены вводят в женский организм, минуя прохождение через печень (например, путем трансдермального введения), указанные выше функции печени фактически остаются неизмененными (U. Larsson-Cohn и др. ; Some biochemical consequences of post-menopausal hormone replacement treatment; в The Controversial Climacteric, ред. : Р. А. van Keep и др. ; MTP Press Ltd. (1982)). Терапевтически эквивалентные дозы натуральных эстрогенов при введении оральным путем приводят к выраженным изменениям параметров деятельности печени: увеличению SHBG, CBG, ангиотензиногена, HDL (липопротеина высокой плотности) (J. С. Stevenson и др. ; Oral Versus Transdermal Hormone Replacement Therapy; Int. J. of Fertil. and Menop. Studies, 38, Suppl. 1 (1993), стр. 30-35). Эти воздействия эстрогена на печень являются более выраженными, если вместо натуральных эстрогенов используют композиции, содержащие эквинэстроген (так называемые конъюгированные эстрогены) (С. А. Mashchak и др. ; Comparison of pharmacodynamic properties of various estrogen formulations; Am. J. Obstet. Gynecol, 144 (1982), стр. 511-518). Этинилэстрадиол и диэтилстилбестрол (ДЭС) обладают даже более высокой эстрогеницитностью в отношении печени. В отношении антигонадотрофных свойств ЭЭ оказывает приблизительно в 8-10 раз более сильное эстрогенное действие на печень, чем введенные оральным путем натуральные эстрогены. Это является очень нежелательным различием свойств (В. von Schoultz и др. ; Estrogen Therapy and Liver Function – Metabolic Effects of Oral and Parenteral Administration; The Prostate, 14, (1989), стр. 389-395).
Следующие данные показывают, что нежелательных гепатических реакций на эстроген нельзя избежать за счет снижения доз ЭЭ в контрацептивах. Подтверждено, что уменьшение содержания ЭЭ с 30 мкг до 20 мкг в каждом случае в сочетании со 150 мкг одного и того же гестагена не снижает существенно увеличенный уровень ангиотензина спустя три месяца и приводит только к незначительному снижению этих показателей спустя 6 месяцев (А. Basdevant и др. ; Hemostatic and metabolic effects of lowering the ethinyl estradiol dose from 30 mcg to 20 mcg in oral contraceptives containing desogestrel; Contraception, 48 (1993), стр. 193-204).
Известным осложнением, которое может наблюдаться после введения высоких доз эстрогена мужчинам, страдающим карциномой предстательной железы, является смертельная тромбоэмболия (В. von Schoultz и др. ; см. выше).
Способность ЭЭ вызывать побочные воздействия на печень, хотя и в более слабой форме, определяет стратегию оральной гормональной контрацепции.
Принимая во внимание, с одной стороны, требуемые контрацептивные воздействия и поддержание менструального процесса, а с другой стороны, необходимость учитывать существенные потенциальные побочные воздействия, задача регулирования уровней ЭЭ в крови может быть сравнена с хождением по канату. Вполне вероятно, что большой процент женщин не может применять оральные контрацептивы либо из-за нарушений менструальных кровотечений, либо из-за обусловленных эстрогеном побочных воздействий, превышающих порог толерантности.
Гормональные контрацептивы существенно увеличивают риск заболевания и смерти от определенных сердечно-сосудистых болезней (V. Wynn; Oral contraceptives and coronary disease; J. Reprod. Med. , 36 Suppl. 3, (1991), стр. 219-225). Поскольку такие риски зависят от возраста (J. I. Mann; Oral contraceptives and myocardial infarction in young women; Pharmacol. steroid. Contracept. Drugs, ред-ры: S. Garrattini и H. W. Berendes, Raven Press, New York, (1977), стр. 289-296), некоторые авторитеты в области медицины предостерегали женщин старше 35 лет от приема гормональных контрацептивов. Курящие женщины старше 35 лет и применяющие гормональные контрацептивы, подвергают себя сильному риску возникновения сердечно-сосудистых заболеваний (F. A. Leidenberger; Klinische Endokrinologie fur Frauenarzte, стр. 382-383; J. I. Mann; см. выше). Риск смертельных сердечно-сосудистых заболеваний возрастает в 5-6 раз у женщин, использующих оральные контрацептивы по сравнению с контрольными группами (F. A. Leidenberger; см. выше). Эти данные доказывают, что большие группы фертильных женщин совсем не могут применять оральные контрацептивы или могут применять их, только подвергая себя неоправданно большому риску.
В соответствии с уровнем данной области техники эта проблема связана с эстрогенным компонентом гормональных контрацептивов и не связана с гестагенным компонентом (Skouby и др. ; J. Obstet. Gynekol. ; (1990), 1535-1537). На “согласительном совещании” было сделано заключение, что риск смертельных инфарктов миокарда не зависит от продолжительности введения. Это открытие доказывает, что образование тромбов, вызывающих смерть, происходит не в сердце вследствие дефектов стенки артерии (атеросклероз), а в печени вследствие острых воздействий на гемостатические функции (R. A. Lobo, см. выше). Следовательно, снижение эстрогенных воздействий на печень представляет собой, как полагают, перспективный путь исключения рисков, связанных с гормональной контрацепцией, и устранения указанных ограничений по применению. Описанные для ЭЭ риски в значительной степени исключены в случае натуральных эстрогенов, т. е. эстрогенов, имеющих более низкую печеночную эстрогеницитность по сравнению с ЭЭ (R. А. Lobo, см. выше).
HRT, основанная на использовании натуральных гормонов, требует индивидуального подбора доз с использованием современных методов. Такое лечение включает целый ряд неподдающихся учету факторов; существует выраженный риск как пере-, так и недостаточной дозировки.
Следовательно, задачей, положенной в основу настоящего изобретения, является создание фармацевтических композиций, не оказывающих описанных выше нежелательных и побочных эффектов.
Эта задача решается в соответствии с изобретением путем создания фармацевтических композиций, содержащих в качестве активных ингредиентов производные эстра-1,3,5(10)-триена, несущие в их С3-положении группу общей формулыR-SО2-О-, где R обозначает группу R1R2N, в которой R1 и R2 не зависят друг от друга и обозначают атом водорода, С1-С5алкильный радикал или вместе с атомом азота обозначают полиметилениминогруппу, содержащую 4-6 атомов углерода, или морфолиногруппу. Производные эстра-1,3,5(10)-триена, входящие в состав фармацевтических композиций по изобретению и несущие в С3-положении R-SO2-O-гpyппy, где R имеет указанные выше значения, кроме того, могут необязательно содержать двойные связи между 6 и 7, 7 и 8, 8 и 9, 9 и 11, 8 и 14, 14 и 15 и/или 15 и 16 атомами углерода. Производные эстра-1,3,5(10)-триена, входящие в состав фармацевтических композиций по изобретению и несущие в С3-положении R-SO2-O-группy, где R имеет указанные выше значения, могут необязательно нести оксогруппы у 6, 7, 11, 15, 16 и/или 17 атома углерода. Производные эстра-1,3,5(10)-триена, входящие в состав фармацевтических композиций по изобретению и несущие в С3-положении R-SO2-O-группy, где R имеет указанные выше значения, могут нести дополнительные гидроксильные группы, необязательно этерифицированные в сложный или простой эфир, у 6, 7, 9, 11, 14, 16 и/или 17 атома углерода. Гидроксильные группы этерифицируют, используя обычные производные физиологически приемлемых неорганических и органических кислот, например, фосфорной кислоты, серной кислоты, щавелевой кислоты, малеиновой кислоты, фумаровой кислоты, молочной кислоты, винной кислоты, яблочной кислоты, лимонной кислоты, салициловой кислоты, валериановой кислоты, адипиновой кислоты и бензойной кислоты. Другие кислоты, которые могут применяться, описаны, например, в Fortschritte der Arzneimittelforschung, т. 10, стр. 224-225, Birkhauser Verlag, Basel и Stuttgart, 1966, и в Journal of Pharmaceutical Sciences, т. 66, стр. 1-5 (1977). Гидроксильные группы этерифицируют до простого эфира, используя обычные производные алифатических спиртов, содержащие до 6 атомов углерода. Производные эстра-1,3,5(10)-триена, входящие в состав фармацевтических композиций по изобретению и несущие в С3-положении R-SO2-O-гpyппy, где R имеет указанные выше значения, могут у 6, 7, 11, 14, 15, 16 и/или 17 атома углерода необязательно нести дополнительные алкильные группы, алкилиденовые группы, алкенильные группы и алкинильные группы, содержащие до 5 атомов углерода, причем эти группы необязательно сами могут нести аналогичные группы или галоген. Производные эстра-1,3,5(10)-триена, входящие в состав фармацевтических композиций по изобретению и несущие в С3-положении R-SO2-O-группу, где R имеет указанные выше значения, могут необязательно нести между 14 и 15 или 14 и 17 атомами углерода дополнительные группы алкилена или алкенилена, содержащие до 3 атомов углерода. Среди производных 3-сульфаматэстра-1,3,5(10)-триена, входящих в состав фармацевтических композиций по изобретению и несущих в С3-положении R-SO2-O-группу, где R имеет указанные выше значения, можно отметить, например, 17 -гидроксиэстра-1,3,5(10)-триен-3-илсульфамат,17 -гидроксиэстра-1,3,5(10)-триен-3-ил-N, N-диэтилсульфамат,17 -гидроксиэстра-1,3,5(10)-триен-3-ил-N, N-диметилсульфамат,17 -гидроксиэстра-1,3,5(10), 7-тетраен-3-ил-N, N-диэтилсульфамат,17 -гидроксиэстра-1,3,5(10), 6,8- пентаен-3-ил-N, N-диметилсульфамат,17-оксоэстра-1,3,5(10)-триен-3-илсульфамат, 17-оксоэстра-1,3,5(10)-триен-3-ил-N, N-диметилсульфамат, 17-оксоэстра-1,3,5(10)-триен-3-ил-N, N-диэтилсульфамат, 16 , 17 -дигидроксиэстра-1,3,5(10)-триен-3-илсульфамат,16 , 17 -дигидроксиэстра-1,3,5(10)-триен-3-ил-N, N-диметилсульфамат,16 , 17 -дигидроксиэстра-1,3,5(10)-триен-3-ил-N, N-диэтилсульфамат,2,17 -дигидроксиэстра-1,3,5(10)-триен-3-ил-N, N-диметилсульфамат,2-метокси-17 -гидроксиэстра-1,3,5(10)-триен-3-ил-N, N-диэтилсульфамат,17 -гидрокси-19-нор-17 -прегна-1,3,5(10)-триен-20-ин-3-илсульфамат,17 -гидрокси-19-нор-17 -прегна-1,3,5(10)-триен-20-ин-3-ил-N-метилсульфамат,17 -гидрокси-19-нор-17 -прегна-1,3,5(10)-триен-20-ин-3-ил-N, N- диметилсульфамат,17 -гидрокси-19-нор-17 -прегна-1,3,5(10)-триен-20-ин-3-ил-N, N- диэтилсульфамат,17 -гидрокси-19-нор-17 -прегна- 1,3,5(10)-триен-20-ин-3-илпирролидинсульфонат,17 -гидрокси-14 , 15 -метиленэстра-1,3,5(10)-триен-3-ил-N, N-диметилсульфамат,17 -гидрокси-14 , 15 -метиленэстра-1,3,5(10)-триен-3-ил-N, N-диэтилсульфамат,17 -гидрокси-14 , 15 -метиленэстра-1,3,5(10)-триен-3-илпирролидинсульфонат,17 -гидрокси-14 , 15 -метиленэстра-1,3,5(10)- триен-3-илморфолинсульфонат,17 -гидрокси-14 , 15 -метиленэстра-1,3,5(10)- триен-3-ил-N -метилсульфамат,17 -гидрокси-14 , 15 -метиленэстра-1,3,5(10)-триен-3-илсульфамат,17 -гидрокси-14 , 15 -метиленэстра-1,3,5(10), 7- тетраен-3-ил-N, N-диметилсульфамат,17 -гидрокси-14 , 15 -метиленэстра-1,3,5(10), 6,8- пентаен-3-ил-N, N-диэтилсульфамат,17 -гидрокси-14 , 15 -метиленэстра-1,3,5(10), 8- тетраен-3-ил-N, N-диметилсульфамат,11 -хлорметил-17 -гидроксиэстра-1,3,5(10)- триен-3-ил-N, N-диметилсульфамат,17 -гидрокси-14 ,17 -виниленэстра-1,3,5(10)- триен-3-ил-N, N-диэтилсульфамат,14 , 17 -этилен-17 -гидроксиэстра-1,3,5(10)- триен-3-илпирролидинсульфонат,16 , 17 -дигидрокси-14 , 17 -этиленэстра-1,3,5(10) -триен-3-ил-N, N-диэтилсульфамат,17 -гидрокси-7 -метилэстра-1,3,5(10)-триен-3,11 – диил-3-N, N-диметилсульфамат-11-нитрат и17 -гидрокси-11 -метокси-19-нор-17 – прегна-1,3,5(10)-триен-20-ин-3-ил-N, N- диметилсульфамат.
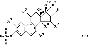
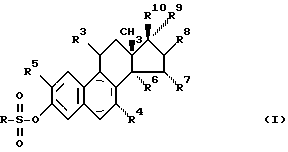
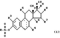
Предпочтительные фармацевтические композиции по изобретению содержат производные эстра-1,3,5(10)-триена общей формулы I![]() где R обозначает группу R1R2N, в которой R1 и R2 не зависят друг от друга и обозначают атом водорода, С1-С5алкильный радикал или вместе с атомом азота обозначают полиметилениминогруппу, содержащую 4-6 атомов углерода, или морфолиногруппу, R3 обозначает атом водорода, гидроксильную группу или алкоксигруппу, содержащую 1-5 атомов углерода, R4 обозначает атом водорода или С1-С5алкильный радикал, R5 обозначает атом водорода, гидроксильную группу, этерифицированную гидроксильную группу, галоидалкил- или алкоксигруппу, содержащую 1-5 атомов углерода, R6 и R7 обозначают атомы водорода или вместе образуют метиленовую группу, R8, R9 и R10 не зависят друг от друга и обозначают атом водорода или гидроксильную группу, причем кольцо В необязательно содержит одну или две двойные связи, или необязательно R9 обозначает алкинильный радикал, содержащий до 5 атомов углерода, или R9 и R10 вместе обозначают атом кислорода, или R6 и R9 обозначают виниленовую или этиленовую группу. Особенно предпочтительными являются фармацевтические композиции по изобретению, содержащие производные эстра-1,3,5(10)-триена общей формулы I, где R5 и R6 обозначают гидроксильные группы. Кроме того, особенно предпочтительными являются фармацевтические композиции по изобретению, содержащие производные эстра-1,3,5(10)-триена общей формулы I, и в которых R3 и R4 вместе обозначают метиленовую группу. Наиболее предпочтительными являются фармацевтические композиции, содержащие 17 -гидрокси-19-нор-17 -прегна-1,3,5(10)- тpиeн-20-ин-3-ил- N, N-диэтилсульфамат,17 -гидрокси-19-нор-17 -прегна- 1,3,5(10)-триен-20-ин-3- илпирролидинсульфонат,17 -гидроксиэстра-1,3,5(10)- триен-3-ил-N, N- диэтилсульфамат,17 -гидрокси-14 , 15 -метиленэстра- 1,3,5(10)-триен-3-ил- N, N-диэтилсульфамат,16 , 17 -дигидроксиэстра-1,3,5(10)- триен-3-ил- N, N-диметилсульфамат,эстра-1,3,5(10)-триен-17-он-3-ил-N, N- диэтилсульфамат, 17 -гидрокси-19-нор-17 -прегна- 1,3,5(10)-триен-20-ин- 3-ил-N, N-диметилсульфамат,17 -гидрокси-14 , 15 -метиленэстра-1,3,5(10)- триен-3-ил- N, N-диметилсульфамат и16 , 17 -дигидроксиэстра-1,3,5(10)-триен- 3-ил-N, N-диэтилсульфамат.
Производные эстра-1,3,5(10)-триена, входящие в состав фармацевтических композиций по изобретению, получают с помощью хорошо известного способа путем взаимодействия производного эстра-1,3,5(10)-триена с соответствующим образом замещенным амидосульфонилхлоридом, этерифицируя тем самым группу 3-ОН производного эстра-1,3,5(10)-триена.
Реакцию осуществляют обычным способом с использованием двухфазной системы в присутствии четвертичной аммониевой соли в качестве межфазного катализатора. Температуры реакций находятся в диапазоне от комнатной температуры до 100oС. Применяемые растворители представляют собой стандартные двухфазные системы, такие, как хлороформ-вода, дихлорметан-вода, толуол-вода и т. д.
Некоторые соединения, входящие в композиции по изобретению, являются известными.
Так, в заявке WO 93/05064 описано применение эстрон-3-сульфаматов в качестве ингибиторов стероидных сульфатаз.
В патенте ГДР DD 207447 описано применение N, N-диалкилсульфаматных производных этинилэстрадиола в качестве агента для борьбы с грызунами.
Кроме того, в выложенных заявках на патент Германии DE-OS 2426779, DE-OS 2426778 и в DE-OS 2426777 описаны 3-сульфаматные производные эстратриенов, несущие дополнительную гидроксильную группу в положении 1.
Кроме того, в патентах ГДР DD 77709 и в DD 114806 описано получение активных ингредиентов, входящих в состав фармацевтических композиций по изобретению.
Однако, до настоящего времени неизвестны фармацевтические композиции, которые содержат в качестве активных ингредиентов 3-сульфаматы производных эстра-1,3,5(10)-триена и которые могут применяться для контрацепции, HRT и лечения карциномы.
Другим предметом настоящего изобретения является применение производных эстра-1,3,5(10)-триена, несущих в их С3-положении группу общей формулыR-SO2-O-, где R обозначает группу R1R2N, в которой R1 и R2 не зависят друг от друга и обозначают атом водорода, С1-С5алкильный радикал или вместе с атомом азота обозначают полиметилениминогруппу, содержащую 4-6 атомов углерода, или морфолиногруппу, для получения лекарств, предназначенных для гормональной контрацепции, заместительной терапии климактерического гормона и лечения гинекологических и андрологических заболеваний, таких, как карциномы молочной железы и предстательной железы. Предпочтительными для получения лекарств, предназначенных для гормональной контрацепции, заместительной терапии климактерического гормона и лечения гинекологических и андрологических заболеваний, таких, как карциномы молочной железы и предстательной железы, являются производные эстра-1,3,5(10)-триена общей формулы I ![]() где R обозначает группу R1R2N, в которой R1 и R2 не зависят друг от друга и обозначают атом водорода, С1-С5алкильный радикал или вместе с атомом азота обозначают полиметилениминогруппу, содержащую 4-6 атомов углерода, или морфолиногруппу. R3 обозначает атом водорода, гидроксильную группу или алкоксигруппу, содержащую 1-5 атомов углерода, R4 обозначает атом водорода или С1-С5алкильный радикал, R5 обозначает атом водорода, гидроксильную группу, этерифицированную гидроксильную группу, галоидалкил- или алкоксигруппу, содержащую 1-5 атомов углерода, R6 и R7 обозначают атомы водорода или вместе образуют метиленовую группу, R8, R9 и R10 не зависят друг от друга и обозначают атом водорода или гидроксильную группу, причем кольцо В необязательно содержит одну или две двойные связи, или необязательно R9 обозначает алкинилльный радикал, содержащий до 5 атомов углерода, или R9 и R10 вместе обозначают атом кислорода, или R6 и R9 обозначают виниленовую или этиленовую группу. Например, соединения 17 -гидроксиэстра-1,3,5(10)-триен-3- илсульфамат,17 -гидроксиэстра-1,3,5(10)-триен-3-ил- N, N-диэтилсульфамат,17 -гидроксиэстра-1,3,5(10)-триен-3-ил- N, N-диметилсульфамат,17 -гидроксиэстра-1,3,5(10), 7-тетраен- 3-ил-N, N-диэтилсульфамат,17 -гидроксиэстра-1,3,5(10), 6,8-пентаен- 3-ил-N, N-диметилсулъфамат,17-оксоэстра-1,3,5(10)-триен-3- илсульфамат, 17-оксоэстра-1,3,5(10)-триен-3-ил-N, N- диметилсульфамат, 17-оксоэстра-1,3,5(10)-триен-3-ил-N, N- диэтилсульфамат, 16 , 17 -дигидроксиэстра-1,3,5(10)- триен-3-илсульфамат,16 , 17 -дигидроксиэстра-1,3,5(10)- триен-3-ил-N, N-диметилсульфамат,16 , 17 -дигидроксиэстра-1,3,5(10)- триен-3-ил-N, N-диэтилсульфамат,2,17 -дигидpoкcиэcтpa-1,3,5(10)- тpиeн-3-ил-N, N-димeтилcyльфaмaт,2-метокси-17 -гидроксиэстра- 1,3,5(10)-триен-3-ил-N, N-диэтилсульфамат,17 -гидрокси-9-нор-17![]() -гидрокси-19-нор-17 -прегна- 1,3,5(10)-триен-20-ин-3-ил -N-метилсульфамат,17 -гидрокси-19-нор-17 -прегна- 1,3,5(10)-триен-20-ин- 3-ил-N, N-диметилсульфамат,17 -гидрокси-19-нор-17 -прегна-1,3,5(10)-триен- 20-ин-3-ил -N, N-диэтилсульфамат,17 -гидрокси-19-нор-17 -прегна-1,3,5(10)- триен-20-ин-3- илпирролидинсульфонат,17 -гидрокси-14 , 15 -метиленэстра- 1,3,5(10)-триен- 3-ил-N, N-диметилсульфамат,17 -гидрокси-14 , 15 -метиленэстра-1,3,5(10) -триен-3-ил- N, N-диэтилсульфамат,17 -гидрокси-14 , 15 -метиленэстра-1,3,5(10) -триен-3- илпирролидинсульфонат,17 -гидрокси-14 , 15 -метиленэстра-1,3,5(10)- триен-3-илморфолинсульфонат,17 -гидрокси-14 , 15 -метиленэстра- 1,3,5(10)-триен- 3-ил-N-метилсульфамат,17 -гидрокси-14 , 15 -метиленэстра-1,3,5(10)- триен-3-илсульфамат,17 -гидрокси-14 , 15 -метиленэстра-1,3,5(10), 7- тетраен-3-ил-N, N-диметилсульфамат,17 -гидрокси-14 , 15 -метиленэстра- 1,3,5(10), 6,8-пентаен- 3-ил-N, N-диэтилсульфамат,17 -гидрокси-14 , 15 -метиленэстра-1,3,5(10), 8-тетраен- 3-ил- N, N-диметилсульфамат,11 -хлорметил-17 -гидроксиэстра-1,3,5(10)- триен-3-ил- N, N-диметилсульфамат,17 -гидрокси-14 , 17 -виниленэстра-1,3,5(10)-триен-3-ил -N, N-диэтилсульфамат,14 , 17 -этилен-17 -гидроксиэстра-1,3,5(10)- триен-3-илпирролидинсульфонат,16 , 17 -дигидрокси-14 , 17 -этиленэстра-1,3,5(10)- триен-3-ил- N, N-диэтилсульфамат,17 -гидрокси-7 -метилэстра-1,3,5(10)-триен-3,11- -диил-3-N, N-диметилсульфамат- 11-нитрат и17 -гидрокси-11 -метокси-19-нор-17 -прегна- 1,3,5(10)-триен-20-ин-3-ил-N, N- димeтилcyльфaмaтприменяют для получения лекарств, предназначенных для гормональной контрацепции, заместительной терапии климактерического гормона и лечения гинекологических и андрологических заболеваний, таких, как карциномы молочной железы и предстательной железы. Фармацевтические композиции по изобретению дополнительно содержат один или несколько из указанных выше гестагенов, таких, как леворногестрел, дезогестрел, гестоден, дроспироренон, норэфистерон, ципротеронацетат, хлормадинонацетат, диеногест. Кроме того, фармацевтические препараты по изобретению могут быть представлены в виде многоступенчатых или сложных композиций. Сложная композиция по изобретению может быть составлена, например, из первой ступени, содержащей комбинацию нескольких компонентов, т. е. натурального эстрогена, синтетического эстрогена, прогестина и/или производного эстра-1,3,5(10)-триена, которое несет в С3-положении группу R-SO2-O, где R имеет указанные выше значения, и необязательно одной или нескольких дополнительных ступеней, содержащих либо фармацевтически безопасное плацебо, либо натуральный или синтетический прогестин, либо биогенный или синтетический эстроген, либо производное эстра-1,3,5(10)-триена, которое несет в С3-положении группу R-SO2-O, где R имеет указанные выше значения, либо комбинацию нескольких компонентов, т. е. биогенного эстрогена, синтетического эстрогена, гестагена, производного эстра-1,3,5(10)-триена, которое несет в СЗ-положении группу R-SO2-O, где R имеет указанные выше значения, либо комбинацию синтетических эстрогенов или производного эстра-1,3,5(10)-триена, которое несет в С3-положении группу R-SO2-O, где R имеет указанные выше значения, и гестагена. Биогенный эстроген включает, например, ингредиент, представляющий собой эстрадиол, эстрон, эстран, эстриольную группу и другие биогенные эстрогены, или по крайней мере соединение, от которого вскоре после проникновения отщепляется один из указанных выше эстрогенных ингредиентов. Синтетический эстроген включает в соответствии с изобретением по крайней мере один ингредиент, представляющий собой этинилэстрадиол, местранольную группу и другие синтетические эстрогены, или по крайней мере одно соединение, от которого вскоре после проникновения отщепляется один из указанных выше эстрогенных ингредиентов. Гестаген включает в соответствии с изобретением по крайней мере один ингредиент, представляющий собой леворногестрел, дезогестрел, диеногест, прогестерон, норэфистеронацетат, хлормадинонацетат, ципротеронацетат и другие натуральные и/или синтетические гестагены, или по крайней мере одно соединение, которое вскоре после проникновения отщепляет один из указанных выше гестагенных ингредиентов. Другим предметом настоящего изобретения являются фармацевтические композиции, которые могут применяться для гормональной контрацепции, заместительной терапии климактерического гормона и лечения гинекологических и андрологических заболеваний, таких, как карциномы молочной железы и предстательной железы. Еще одним предметом настоящего изобретения являются фармацевтические композиции в виде таблеток, таблеток с регулируемым высвобождением, пастилок, пилюль, капсул, таблеток с пленочным покрытием и таблеток с пленочным покрытием с регулируемым высвобождением. Лекарства по изобретению получают известным способом, используя твердые или жидкие субстраты или растворители и обычные адъюванты, применяемые для приготовления фармацевтических препаратов, с соответствующей дозировкой в зависимости от предполагаемого способа введения. Предпочтительными композициями являются такие формы, которые пригодны для орального введения, например, таблетки, таблетки с пленочным покрытием, пастилки, капсулы, пилюли, порошки, растворы, суспензии или формы в виде депо. Таблетки могут быть получены, например, путем смешения активного вещества с известными адъювантами, например, с инертными разбавителями, такими, как декстроза, сахар, сорбит, маннит, поливинилпирролидон, с агентами, способствующими дезинтеграции, такими, как кукурузный крахмал или альгиновая кислота, связующими веществами, такими, как крахмал или желатин, замасливателями, такими, как стеарат магния или тальк и/или материалами, с помощью которых получают эффект депо, такими, как карбоксилполиметилен, карбоксиметилцеллюлоза, ацетатфталат целлюлозы или поливинилацетат. Таблетки могут состоять из нескольких слоев. Пастилки могут быть получены соответственно путем покрытия сердцевины, изготовленной по аналогии с производством таблетки, с использованием агентов, обычно применяемых для покрытия пастилки, например, поливинилпирролидона или шеллака, гуммиарабика, талька, диоксида титана или сахара. Покрытие пастилки может также состоять из нескольких слоев, в которых могут быть использованы адъюванты, указанные выше в абзаце о таблетках. Капсулы, содержащие активные ингредиенты, могут быть получены, например, путем смешения активного вещества с инертным субстратом, таким, как лактоза или сорбит, и инкапсулирования такой смеси в желатиновые капсулы. Поскольку обычные, применяемые в медицине, производные эстрогена обладают серьезными недостатками, следовательно существует настоятельная необходимость в соответствующих фармацевтических препаратах, которые лишены указанных недостатков. Несмотря на тот факт, что некоторые активные ингредиенты, входящие в фармацевтические композиции по изобретению, уже были известны в течение некоторого времени и были подробно изучены фармакологами, их предпочтительные свойства в отношении функций печени ранее не были описаны. Неожиданно было установлено, что активные агенты, применяемые в соответствии с изобретением, действуют лучше, чем ЭЭ, с точки зрения их эстрогенной эффективности, проявляя при этом максимальные эстрогенные действия в отношении матки, и не оказывают более сильного эстрогенного действия на печень по сравнению с натуральным эстрогеном эстрадиолом. Это сочетание терапевтических свойств является очевидным преимуществом активных агентов по изобретению по сравнению с натуральными или синтетическими эстрогенами. Контрацептивы по изобретению, содержащие производные эстра-1,3,5(10)-триена, которые несут в С3-положении группу R-SO2-O, где R имеет указанные выше значения, требуют разработки полностью нового подхода к определению ограничений при гормональной контрацепции, поскольку они оказывают небольшое или не оказывают совсем воздействия на гемостатическую систему. Контрацептивы по изобретению, содержащие производные эстра-1,3,5(10)-триена, которые несут в С3-положении группу R-SO2-O, где R имеет указанные выше значения, могут назначаться в таких высоких дозах вследствие очень сильно сниженных по сравнению с контролем эстрогенных воздействий на менструальный цикл, что также является преимуществом по сравнению с традиционными производными ЭЭ. Применение этинилэстрадиола (ЭЭ) в гормон-заместительной терапии в настоящее время строго запрещено из-за возможных побочных эффектов. При применении производных эстра-1,3,5(10)-триена по изобретению, которые несут в С3-положении группу R-SO2-O, где R имеет указанные выше значения, устранен риск, существующий при использовании ненатуральных (биогенных) эстрогенов. Если сравнивать с натуральными эстрогенами, которые являются в настоящее время доминирующими в гормон-заместительной терапии, способность воздействовать на орган-мишень существенно улучшена, поскольку определена биологическая доступность при оральном введении, и она не изменяется от индивидуума к индивидууму, как в случае биогенных эстрогенов. Эстрогеницитное действие на печень было подтверждено на крысах с овариэктомией. Лабораторных животных, взрослых самок крыс (линия: HSD/WIN: WU) подвергали овариэктомии на 14 день. Лечение начинали две недели спустя путем ежедневного однократного орального введения соответствующего испытуемого вещества. При введении в форме сложных эфиров дозы соотносили со стероидной частью соединений. Экспериментальные группы и количество лабораторных животных приведены в таблице 1. Исследования были проведены на трех группах (А, В и С) в различные моменты времени. Это является причиной того, что существуют отклонения в значениях для контрольной группы. Поэтому тесты серий А, В и С могут быть сопоставлены друг с другом, если принимать во внимание значения для соответствующих контрольных групп. Процедура распределения животных по группам была случайной. Эксперимент осуществляли в виде блок-теста. Животных взвешивали в начале и в конце эксперимента. Начало лечения обозначали как день 1 (= д1), лечение завершали на день 7 (= д7); животных умерщвляли на день 8, удаляли различные органы (матку, надпочечники, печень), взвешивали и подвергали глубокому замораживанию (-196oС) для дальнейшей оценки. Кровь брали из ретробульбарного сплетения под анастезией диэтиловым эфиром до начала лечения (д0) и в (д4) и (д8). В полученной сыворотке определяли содержание IGF1 (инсулин-подобного фактора роста 1), ангиотензина I, холестерина и HDL-холестерина. Методы определения: IGF1: радиоиммуноанализ (РИА) по bioMerieux Co; ангиотензин: модифицированный РИА для определения активности ренина по Sorin Co. ; холестерин/НDL-холестерин: ферментативные тесты, фотометрическое определение, реагенты фирмы Dr Bruno Lange GmbH. Результаты эксперимента представлены ниже в таблицах 2-7. Воздействия на рост матки (см. таблицу 2) Действие соединения, полученного в соответствии с примером 2, достигает плато при оральной дозе 0,01 мг/животное/день. Это свидетельствует о явном превосходстве по сравнению с ЭЭ и существенном преимуществе по сравнению с эстрадиолом. Воздействия на вес надпочечников (см. таблицу 3) В зависимости от дозы наблюдают прибавление веса надпочечников. Исключение: эстрадиол, выраженное снижение динамики роста по сравнению с ЭЭ. Воздействия на IGF1 (см. таблицу 4) Все изученные соединения в дозе 100 мкг/животное снижают в процессе эксперимента содержание IGF1. Исключение: эстрадиол. Ангиотензин I (AI) (см. таблицы 5а и 5б) Значения AI при различных дозах (1,0 или 10,0, или 100,0 мкг/животное/день, выборочные соединения) При самой низкой дозе увеличение значений AI наблюдают только под воздействием J 824. Эстрадиол не проявил видимого воздействия в любой из доз, используемых в эксперименте. ЭЭ и J 824 привели к заметному повышению содержания AI, которое может быть обнаружено уже на 4-й день при дозах 10 или 100 мкг. J 271 не оказал ярковыраженного воздействия на AI в дозе 10 мкг/день. При использовании этого соединения в дозе 100 мкг/день проявляется увеличение содержания AI, но оно существенно ниже, чем таковое, наблюдаемое под воздействием ЭЭ или J 824 в такой же дозе. Зависимости действия от дозы на день 4 и 8 для ангиотензина I, общего холестерина и HDL-холестерина (ср. таблицы 5а, 5б, 6а, 6б, 7а и 7б) Ангиотензин I (ср. таблицы 5а и 5б) Эстрадиол в лучшем случае оказывает незначительное стимулирующее влияние на уровень ангиотензина I. Данные для соединения, полученного в соответствии с примером 2, оказались существенно более низкими по сравнению с ЭЭ. Уровни общего холестерина (ср. таблицы 6а и 6б) и HDL-холестерина (ср. таблицы 7а и 7б) У крыс эстрогены в значительной степени снижают уровни холестерина в крови в зависимости от дозы. Наблюдаемые тенденции оказываются аналогичными для уровней HDL-холестерина и общего холестерина. Дозы от 10 до 100 мкг приводят к очень низким концентрациям холестерина в крови для большинства из исследованных соединений. Несколько соединений приводят к значительным изменениям уже в дозе 1 мкг/животное. Только эстрадиол (все дозы) и соединение, полученное в соответствии с примером 2 (до 10 мкг), не снижают уровни холестерина в крови. Даже, если применяют наиболее высокую дозу соединения, полученного в соответствии с примером 2, падение уровней общего холестерина и HDL-холестерина в крови остается заметно более низким по сравнению с таковым, вызываемым ЭЭ. Ниже изобретение проиллюстрировано на примерах. Пример 1 Общая методика получения производных эстра-1,3,5(10)-триена, несущих 3-амидосульфонилоксигруппу Подвергаемое этерификации до сложного эфира производное эстра-1,3,5(10)-триена, амидосульфонилхлорид, гидроксид щелочного или щелочноземельного металла и четвертичную аммониевую соль в качестве межфазного катализатора добавляют при интенсивном перемешивании к смеси соответствующего растворителя и воды. Смесь продолжают перемешивать до получения аналитического подтверждения (с использованием тонкослойной хроматографии) завершения этерификации. Для снижения времени протекания реакции необязательно можно работать при температуре в интервале от 50oС до 100oС. После этого разделяют две фазы. Водную фазу повторно экстрагируют, а объединенные органические фазы промывают в следующем порядке: в разбавленной соляной кислоте, в насыщенном растворе гидрокарбоната натрия и в воде. Затем экстракт сушат над безводным сульфатом натрия и упаривают досуха при пониженном давлении. Остаток перекристаллизовывают из соответствующего растворителя. Пример 2 (= J 271) Получение 17 -гидрокси-19-нор-17 -прегна-1,3,5(10)-триен- 20-ин-3-ил-N, N- диэтилсульфамата1 г 17 -этинилэстрадиола, 0,4 г гидроксида натрия, 0,08 г хлорида бензилтриэтиламмония и 1,16 г N, N-диэтиламидосульфонилхлорида подвергают взаимодействию по методике, описанной в примере 1, в смеси, содержащей 5 мл дихлорметана и 2,5 мл воды. Указанное в заголовке соединение получают после соответствующей обработки и перекристаллизации неочищенного продукта из диизопропилового эфира.
tпл 113-115oС; [ ] D: +3o (хлороформ, с= 1).
Пример 3 (= J 272)Получение 17 -гидрокси-19-нор-17 -прегна-1,3,5(10)- триен-20-ин-3-ил-N, N- пирролидинсульфоната1 г 17 -этинилэстрадиола, 0,57 г гидроксида калия, 0,08 г хлорида бензилтриэтиламмония и 1,15 г пирролидинсульфонилхлорида подвергают взаимодействию по методике, описанной в примере 1, в смеси, содержащей 5 мл дихлорметана и 2,5 мл воды. Указанное в заголовке соединение получают после соответствующей обработки и перекристаллизации неочищенного продукта из диизопропилового эфира.
tпл 121-122oС; [ ] D: +10o (хлороформ, с= 1).
Пример 4 (= J 981)Получение 17 -гидроксиэстра-1,3,5(10)-триен-3-ил-N, N-диэтилсульфамата0,92 г эстрадиола, 0,4 г гидроксида натрия, 0,08 г хлорида бензилтриэтиламмония и 1,16 г N, N-диэтиламидосульфонилхлорида подвергают взаимодействию по методике, описанной в примере 1, в смеси, содержащей 5 мл дихлорметана и 2,5 мл воды. Указанное в заголовке соединение получают после соответствующей обработки и перекристаллизации неочищенного продукта из метанола. tпл 175-176oС; [ ] D: +57o (хлороформ, с= 1).
Пример 5 (= J 983)Получение 17 -гидрокси-14 , 15 -метиленэстра-1,3,5(10)-триен-3-ил-N, N- диэтилсульфамата2 г 14 , 15 -метиленэстра-1,3,5(10)-триен-3,17 -диола суспендируют с 30 мл толуола, 4 мл воды, 0,32 г хлорида бензилтриэтиламмония, 2,94 г N, N-диэтиламидосульфонилхлорида и 2,1 мл 40%-ного водного раствора гидроксида натрия и нагревают при перемешивании в течение 2 ч до внутренней температуры 80oС. После того, как смеси дают охладиться до комнатной температуры, ее подвергают соответствующей обработке, как описано в примере 1. Полученный неочищенный продукт хроматографируют на силикагеле (размер частиц от 0,063 до 0,2 мм). Указанное в заголовке соединение получают после элюирования с использованием хлороформа/этилацетата и перекристаллизации из метанола.
tпл 68-73oС; [ ] D: +98o (хлороформ, с= 1).
Пример 6 (= J 989)Получение 16 , 17 -дигидроксиэстра-1,3,5(10)-триен-3-ил- N, N- диметилсульфаматаПри перемешивании объединяют 120 мл воды, 1,58 г хлорида бензилтриэтиламмония, 7,44 мл N, N-диметиламидосульфонилхлорида и 4 мл 40%-ного водного раствора гидроксида натрия с раствором из 2 г эстриола в 800 мл толуола при температуре 80oС. Эту смесь нагревают до 80o С. В течение этого времени значение рН реакционного раствора поддерживают на уровне 10, добавляя 40%-ный водный раствор гидроксида натрия. Смеси дают охладиться до комнатной температуры, когда исходные соединения полностью прореагируют, и подвергают соответствующей обработке, как описано в примере 1. Полученный остаток перекристаллизовывают из ацетона/н-гексана и получают указанное в заголовке соединение. tпл 180-181oС; [ ] D: +48o (хлороформ, с= 1).
Пример 7 (= J 804)Получение эстра-1,3,5(10)-триен-17-он-3-ил-N, N-диэтилсульфамата 0,91 г эстрона, 1,73 г гидроксида бария, 0,089 г хлорида циклогексилтриэтиламмония и 1,16 г N, N-диэтиламидосульфонилхлорида подвергают взаимодействию по методике, описанной в примере 1, в смеси, содержащей 5 мл четвертичного амилового спирта и 2,5 мл воды. Указанное в заголовке соединение получают после соответствующей обработки и перекристаллизации неочищенного продукта из метанола. tпл: 176-180oС; [ ] D: +109o (хлороформ, с= 1).
Пример 8 (= J 665)Получение 17 -гидрокси-19-нор-17 -прегна-1,3,5(10)- триен-20-ин-3-ил-N, N- диметилсульфамата1 г 17 -этинилэстрадиола, 2,4 г гидроксида натрия, 0,24 г хлорида триэтилбензиламмония и 3,6 мл N, N-диметиламидосульфонилхлорида подвергают взаимодействию по методике, описанной в примере 1, в смеси, содержащей 30 мл дихлорметана и 6,6 мл воды. Указанное в заголовке соединение получают после соответствующей обработки, хроматографической очистки и перекристаллизации реакционного продукта из ацетона/н-гексана.
tпл: 157-160oС; [ ] D: +4o (хлороформ, с= 1).
Пример 9 (= J 982)Получение 17 -гидрокси-14 , 15 -метиленэстра-1,3,5(10)-триен-3-ил-N, N- диметилсульфамата1 г 14 , 15 -метиленэстра-1,3,5(10)-триен-3,17 -диола, 2,4 г гидроксида натрия, 0,24 г хлорида триэтилбензиламмония и 3,6 мл N, N-диметиламидосульфонилхлорида подвергают взаимодействию по методике, описанной в примере 1, в смеси, содержащей 30 мл дихлорметана и 6,6 мл воды. Указанное в заголовке соединение получают после соответствующей обработки, хроматографической очистки и перекристаллизации реакционного продукта из ацетона.
tпл: 193-196oC; [ ] D: +108o (хлороформ, с= 1).
Пример 10 (= J 984)Получение 16 , 17 -дигидроксиэстра-1,3,5(10)-триен-3-ил- N, N- диэтилсульфамата2 г эстриола, 5,2 г гидроксида натрия, 1,72 г хлорида триэтилбензиламмония и 9,75 мл N, N-диэтиламидосульфонилхлорида подвергают взаимодействию по методике, описанной в примере 1, в смеси, содержащей 800 мл толуола и 128 мл воды. Указанное в заголовке соединение получают после соответствующей повторной переработки, хроматографической очистки и перекристаллизации из ацетона. tпл: 121-124oС; [ ] D: +44o (хлороформ, с= 1).
Формула изобретения
R-SO2-O-, где R обозначает группу R1R2N, в которой R1 и R2 не зависят друг от друга и обозначают атом водорода, С1-С5алкильный радикал или вместе с атомом азота обозначают полиметилениминогруппу, содержащую 4-6 атомов углерода, или морфолиногруппу, за исключением следующих соединений: 17 -гидроксиэстра-1,3,5(10)-триен-3-ил-N, N-диС1-С5алкиламидосульфонат,17 -гидроксиэстра-1,3,5(10)-триен-3-ил-пирролидинсульфонат,17 -гидроксиэстра-1,3,5(10)-триен-3-ил-морфолинсульфонат,17-оксоэстра-1,3,5(10)-триен-3-ил-N, N-диметиламидосульфонат, 17 -оксоэстра-1,3,5(10)-триен-3-ил-N, N-диэтиламидосульфонат,17-оксоэстра-1,3,5(10)-триен-3-ил-пирролидинсульфонат, 17-оксоэстра-1,3,5(10)-триен-3-ил-морфолинсульфонат, 17 -гидрокси-19-нор17 -прегна-1,3,5(10)-триен-20-ин-3-ил-N, N-диметиламидосульфонат,17 -гидрокси-19-нор17 -прегна-1,3,5(10)-триен-20-ин-3-ил-N, N-диэтиламидосульфонат,17 -гидрокси-19-нор-17 -прегна-1,3,5(10)-триен-20-ин-3-илпирролидинсульфонат,17 -гидрокси-19-нор-17 -прегна-1,3,5(10)-триен-20-ин-3-илморфолинсульфонат.
2. Фармацевтическая композиция по п. 1, содержащая активный ингредиент общей формулы 1![]() где R обозначает группу R1R2N, в которой R1 и R2 не зависят друг от друга и обозначают атом водорода, С1-С5алкильный радикал или вместе с атомом азота обозначают полиметилениминогруппу, содержащую 4-6 атомов углерода, или морфолиногруппу; R3 обозначает атом водорода, гидроксильную группу или алкоксигруппу, содержащую 1-5 атомов углерода; R4 обозначает атом водорода или С1-С5алкильный радикал; R5 обозначает атом водорода, гидроксильную группу, этерифицированную гидроксильную группу, галоидалкил- или алкоксигруппу, содержащую 1-5 атомов углерода; R6 и R7 обозначают атомы водорода или вместе образуют метиленовую группу; R8, R9 и R10 не зависят друг от друга и обозначают атом водорода или гидроксильную группу, причем кольцо В необязательно содержит одну или две двойные связи, или необязательно R9 обозначает алкинильный радикал, содержащий до 5 атомов углерода, или R9 и R10 вместе обозначают атом кислорода, или R6 и R9 обозначают виниленовую или этиленовую группу. 3. Фармацевтическая композиция по п. 1 или 2, содержащая 17 -гидроксиэстра-1,3,5(10)-триен-3-илсульфамат,17 -гидроксиэстра-1,3,5(10)-триен-3-ил-N, N-диэтилсульфамат,17 -гидроксиэстра-1,3,5(10)-триен-3-ил-N, N-диметилсульфамат,17 -гидроксиэстра-1,3,5(10), 7-тетраен-3-ил-N, N-диэтилсульфамат,17 -гидроксиэстра-1,3,5(10): 6,8-пентаен-3-ил-N, N-диметилсульфамат,17-оксоэстра-1,3,5(10)-триен-3-илсульфамат, 17-оксоэстра-1,3,5(10)-триен-3-ил-N, N-диметилсульфамат, 17-оксоэстра-1,3,5(10)-триен-3-ил-N, N-диэтилсульфамат, 16 , 17 -дигидроксиэстра-1,3,5(10)-триен-3-илсульфамат,16 , 17 -дигидроксиэстра-1,3,5(10)-триен-3-ил-N, N-диметилсульфамат,16 , 17 -дигидроксиэстра-1,3,5(10)-триен-3-ил-N, N-диэтилсульфамат,2, 17 -дигидроксиэстра-1,3,5(10)-триен-3-ил-N, N-диметилсульфамат,2-метокси- 17 -гидроксиэстра-1,3,5(10)-триен-3-ил-N, N-диэтилсульфамат,17 -гидрокси-19-нор-17 -прегна-1,3,5(10)-триен-20-ин-3-илсульфамат,17 -гидрокси-19-нор-17 -прегна-1,3,5(10)-триен-20-ин-3-ил-N-метилсульфамат,17 -гидрокси-19-нор-17 -прегна-1,3,5(10)-триен-20-ин-3-ил-N, N-диметилсульфамат,17 -гидрокси-19-нор-17 -прегна-1,3,5(10)-триен-20-ин-3-ил-N, N-диэтилсульфамат,17 -гидрокси-19-нор-17 -прегна-1,3,5(10)-триен-20-ин-3-илпирролидинсульфонат,17 -гидрокси-14 , 15 -метиленэстра-1,3,5(10)-триен-3-ил-N, N-диметилсульфамат,17 -гидрокси-14 , 15 -метиленэстра-1,3,5(10)-триен-3-ил-N, N-диэтилсульфамат,17 -гидрокси-14 , 15 -метиленэстра-1,3,5(10)-триен-3-илпирролидинсульфонат,17 -гидрокси-14 , 15 -метиленэстра-1,3,5(10)-триен-3-илморфолинсульфонат,17 -гидрокси-14 , 15 -метиленэстра-1,3,5(10)-триен-3-ил-N-метилсульфамат,17 -гидрокси-14 , 15 -метиленэстра-1,3,5(10)-триен-3-илсульфамат,17 -гидрокси-14 , 15 -метиленэстра-1,3,5(10), 7-тетраен-3-ил-N, N-диметилсульфамат,17 -гидрокси-14 , 15 -метиленэстра-1,3,5(10), 6,8-пентаен-3-ил-N, N-диэтилсульфамат,17 -гидрокси-14 , 15 -метиленэстра-1,3,5(10), 8-тетраен-3-ил-N, N-диметилсульфамат,11 -хлорметил- 17 -гидроксиэстра-1,3,5(10)-триен-3-ил-N, N-диметилсульфамат,17 -гидрокси-14 , 17 -виниленэстра-1,3,5(10)-триен-3-ил-N, N-диэтилсульфамат,14 , 17 -этилен-17 -гидроксиэстра-1,3,5(10)-триен-3-илпирролидинсульфонат,16 , 17 -дигидрокси-14 , 17 -этиленэстра-1,3,5(10)-триен-3-ил-N, N-диэтилсульфамат,17 -гидрокси-7 -метиленэстра-1,3,5(10)-триен-3, 11 -диил-3-N, N-диметилсульфамат-11-нитрат или17 -гидрокси- 11 -метокси-19-нор- 17 -прегна-1,3,5(10)-триен-20-ин-3-ил-N, N-диметилсульфамат.
РИСУНКИ
MM4A Досрочное прекращение действия патента Российской Федерации на изобретение из-за неуплаты в установленный срок пошлины за поддержание патента в силе
Дата прекращения действия патента: 04.07.2004
Извещение опубликовано: 20.04.2006 БИ: 11/2006
|
||||||||||||||||||||||||||

-estradiol on rabbit coronary artery contractile responses to endothelin-1; Am. J. Physiol. , 263 (1992), H271-H275). Внутренние стенки сосудов под воздействием эстрогенов высвобождают факторы (простациклин), которые противодействуют развитию тромбов в крови.
Эстрогены необходимы для защиты костной структуры у женщин. Их недостаток может быть причиной деструкции кости (остеопороз) (С. Cristiansen; Prevention and Treatment of Osteoporosis with Hormone Replacement Therapy; Int. J. of Fertil. and Menop. Studies, 38, Suppl. 1 (1993), стр. 45-54). Эти последние воздействия эстрогенов на центральную нервную систему и метаболизм являются основным аспектом HRT.
Однако, несмотря на все положительные аспекты эстрогенной терапии, также существуют нерешенные проблемы, которые ограничивают терапевтическое использование эстрогенов или вызывают нежелательные явления.
Натуральные эстрогены (эстрадиол, эстрон, эстронсульфат, сложные эфиры эстрадиола, эстриол) только в очень незначительной степени становятся биологически доступными при введении оральным путем (К. В. Lokind и др. ; Oral bioavailability of 17
ч/мл. Наименьшее значение AUC составляло 284 пг
, 17

