Патент на изобретение №2179441
|
||||||||||||||||||||||||||
(54) ТЕРПЕНОИДНЫЕ ПРОИЗВОДНЫЕ, ПОЛЕЗНЫЕ КАК ПРОТИВООПУХОЛЕВЫЕ АГЕНТЫ
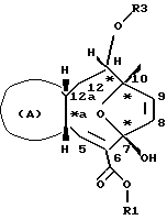
(57) Реферат: Изобретение относится к медицине, а именно к терпеноидным производным, известным как саркодиктиины, для использования в качестве терапевтических агентов и к содержащим их фармацевтическим композициям, полезными в качестве терапевтических антинеопластических агентов при лечении злокачественных опухолей человека и животных. Предложенные соединения могут быть использованы при опухолях, резистентных к другим цитостатикам. 2 с. и 3 з. п. ф-лы, 3 табл. Настоящее изобретение относится к терпеноидным производным, известным как саркодиктиины (Sarcodictyins) (Helvetica Chimica Acta, том 70, 1987, 2019-2027 и Helvetica Chimica Acta, том 71, 1988, 964-976), которые могут быть полезными в качестве терапевтических агентов. О возможном терапевтическом применении саркодиктиинов, упомянутых в настоящей заявке, ранее не сообщалось. В частности, согласно настоящему изобретению, саркодиктиины ввиду их цитотоксической активности могут использоваться в качестве терапевтических антинеопластических агентов при лечении злокачественных опухолей человека или животных. Соответственно, настоящее изобретение относится к соединению, выбранному из следующей группы: (-)-(4R, 4aR, 7R, 10S, 11S, 12aR, 1Z, 5E, 8Z)-7,10-эпокси-3,4,4а, 7,10,11,12,12а-октагидро-7-гидрокси-6-(метоксикарбонил)-1,10-диметил-4-(1-метилэтил)бензоциклодецен-11-ил (Е)-3-(1-метил-1Н-имидазол-4-ил)акрилат (саркодиктиин А); (-)-(4R, 4aR, 7R, 10S, 11S, 12aR, 1Z, 5E, 8Z)-7,10-эпокси-6-(этоксикарбонил)-3,4,4а, 7,10,11,12,12а-октагидро-7-гидрокси-1,10-диметил-4-(1-метилэтил)бензоциклодецен-11-ил (Е)-3-(1-метил-1Н-имидазол-4-ил)акрилат (саркодиктиин В); (-)-(3R, 4S, 4aS, 7S, 10R, 11R, 12aS, 1Z, 5E, 8Z)-7,10-эпокси-3,4,4а, 7,10,11,12,12а-октагидро-3,7-дигидрокси-6-(метоксикарбонил)-1,10-диметил-4-(1-метцлэтил)бензоциклодецен-11-ил (Е)-3-(1-метил-1Н-имидазол-4-ил)акрилат (саркодиктиин С); (-)-(3R, 4S, 4aS, 7S, 10R, 11R, 12aS, 1Z, 5E, 8Z)-3-ацетокси-7,10-эпокси-3,4,4а, 7,10,11,12,12а-октагидро-7-гидрокси-6-(метоксикарбонил)-1,10-диметил-4-(1-метилэтил)бензоциклодецен-11-ил (Е)-3-(1-метил-1Н-имидазол-4-ил)акрилат (саркодиктиин D); (+)-(3R, 4S, 4aS, 7S, 10R, 11R, 12aS, 1Z, 5E, 8Z)-7,10-эпокси-3,4,4а, 7,10,11,12,12а-октагидро-3,7-дигидрокси-6-(метоксикарбонил)-1,10-диметил-4-(1-метилэтил)бензоциклодецен-11-ил (Z)-3-(1-метил-1Н-имидазол-4-ил)акрилат (саркодиктин Е); и (+)-(1R, 4R, 4aR, 7R, 10S, 11S, 12aR, 2Z, 5E, 8Z)-7,10-эпокси-1,4,4а, 7,10,11,12,12а-октагидро-1,7-дигидрокси-6-(метоксикарбонил)-1,10-диметил-4-(1-метилэтил)бензоциклодецен-11-ил (Е)-3-(1-метил-1Н-имидазол-4-ил)акрилат (саркодиктиин F); для использования в качестве терапевтического агента. Структурные формулы вышеперечисленных соединений представлены в таблице 1, ниже, со ссылкой на следующие формулы: ![]() ![]() В приведенных выше формулах символ * представляет хиральный центр. В таблице 1 символ Me означает метил; символ Et означает этил; символ оАс означает ОСОСН3; символы (Е)u и (Z)u представляют соответственно (Е) и (Z) уроканоильный фрагмент формулы ![]() В частности, вышеперечисленные саркодиктиины A-F могут быть полезны в качестве терапевтических агентов при лечении злокачественных опухолей человека и животных благодаря их цитотоксической противоопухолевой активности. Злокачественная опухоль может представлять собой саркомы, карциномы, лимфомы, нейробластомы, меланомы, миеломы, опухоль Вильмса, лейкемии и аденокарциномы. Саркодиктиины настоящего изобретения могут получаться выделением из средиземноморского образующего столоны коралла “Sarcodictyon Roseum” (Rolandia rosea) (Forbes 1847), согласно методике, описанной в Helvetica Chimica Acta, том 70, 1987, стр. 2025. Биологическая активность саркодиктиинов настоящего изобретения была продемонстрирована с помощью (а) испытания in vitro по оценке их активности в отношении стимулирования сборки тубулина и (b) испытания in vitro по оценке их цитотоксической активности в отношении как клеток L 1210, так и клеток L 1210, резистентных к доксорубицину (L 1210/Dx). В качестве примера активность саркодиктиина А (внутренний код FCE 29123) и саркодиктиина С (внутренний код FCE 29119) оценивали согласно методикам, описанным в испытаниях (а) и (b). (а) испытание по сборке тубулина Тубулин из мозга теленка приготавливали посредством двух циклов сборки-деструктурирования (Shelanski, M. L. , Gaskin F. and Cantor C. R. , Proc. Natl. Acad. Sci. USA 70, 765-768, 1973) и хранили в жидком азоте в МАВ (0.1 М MES, 2.5% мМ EGTA, 0.5 мМ MgSO4, 0.1 мМ EDTA, 0.1 мМ DTT, рН 6.4). Все эксперименты выполнялись на белке, который хранился менее 4 недель. Перед каждым экспериментом тубулин хранился в течение 30 минут при 4oС. Сборку оценивали по методу Gaskin et al. (Gaskin F. , Cantor C. R. and Shelanski M. L. , J. Molec. Biol. 89, 737-758, 1974). Кювету (длина оптического пути 1 см), содержащую тубулин (1 мг/мл) и 1 мМ GTP, нагревали до 37oС и производили непрерывные измерения мутности при 340 нм на двухлучевом двухволновом спектрофотометре Perkin-Elmer 557, снабженном автоматическим регистратором и термостатически регулируемой камерой для образцов. Спустя 30 минут добавляли 4 мМ CaCl2 и измеряли деполимеризацию в течение 10 минут по уменьшению мутности. С регулярными интервалами в 15 минут добавляли масштабные дозы испытуемых соединений и оценивали изменения мутности. Данные выражали в виде процента реполимеризации, вызванной испытуемыми соединениями. Полученные результаты представлены в таблице 2. Вышеприведенные табличные данные ясно показывают, что испытуемые саркодиктиины способны стимулировать реполимеризацию тубулина даже в присутствии CaCl2, который обычно ингибирует сборку тубулина. Хорошо известно, что микротрубочки являются одними из наиболее стратегически важных субклеточных мишеней противоопухолевых химиопрепаратов (Rowinsky et al. , Review, том 82, 15, 1 августа 1990). В отличие от классических агентов, действующих против микротрубочек, таких как колхицин и винка алкалоиды, которые вызывают деполимеризацию микротрубочек, саркодиктиины, как представляется, обладают механизмом действия, сходным с таковым таксола, одного из наиболее интересных противораковых агентов, появившихся в результате скрининга природных продуктов, который заключается в индуцировании полимеризации тубулина и образовании чрезвычайно стабильных, не способных функционировать микротрубочек. Таким образом, саркодиктиины могут использоваться как терапевтические антинеопластические агенты при лечении злокачественных опухолей человека и животных ввиду их способности катализировать быстрое образование и стабилизацию микротрубочек, что приводит к приостановке деления опухолевых клеток. (b) культуры клеток и анализ чувствительности к лекарству Клеточные линии мышиной лейкемии L1210 и L1210/Dx (устойчивые к доксорубицину) выращивали in vitro в виде стационарной культуральной суспензии в среде RPMI 1640 (GIBCO, Grand island, NY) с добавлением 10% сыворотки плода коровы (Flow, Irvine, UK), 2 мМ L-глутамина (Gibco Europe, Glasgow, UK), 10 мкМ -меркаптоэтанола, 100 ЕД/мл пенициллина и 100 мкг/мл стрептомицина.
Экспоненциально растущие клетки высевали (1 105 клеток/мл) на 12-луночные планшеты (Costar, Cambridge, MA) и сразу же после высевания добавляли испытуемые соединения в различных концентрациях.
Планшеты инкубировали в течение 48 ч при 37oС в увлажненной атмосфере с содержанием 5% СO2.
Ингибирование клеточного роста оценивали путем подсчета выживших клеток на счетчике ZBI Coulter (Hialeah, FL). 50% ингибирующую концентрацию (IС50) расчитывали по полученной кривой зависимости концентрация-ответ. Для каждой концентрации испытуемого соединения использовали дубликатные культуры.
Полученные результаты представлены в таблице 3.
Как видно из приведенных в таблице данных, саркодиктиины демонстрировали хорошую цитотоксическую активность in vitro в отношении клеток L1210, а также в отношении клеток L1210, устойчивых к доксорубицину (L1210/DX).
В силу их эффективности в отношении клеток L1210/DX саркодиктиины могут быть полезны при лечении опухолей, резистентных к химиотерапевтическим агентам, таким как, например, антрациклиновые гликозиды, в частности доксорубицин.
Человека или животное можно лечить способом, который включает введение ему фармацевтически эффективного количества соединения, выбранного из саркодиктиина А, саркодиктиина В, саркодиктиина С, саркодиктиина D, саркодиктиина Е и саркодиктиина F. Посредством этого состояние человека или животного может улучшаться.
Саркодиктиины изобретения можно назначать для приема в виде множества лекарственных форм, например, перорально в форме таблеток, капсул, таблеток, покрытых сахаром или пленкой, жидких растворов или суспензий; ректально в форме суппозиториев; парентерально, например внутримышечно, или путем внутривенных инъекций или инфузий.
Доза зависит от возраста, веса, состояния пациента и способа введения; например, доза, предназначенная для перорального приема взрослыми, например, для типичного соединения настоящего изобретения, FCE 29213 (саркодиктиина А), может варьировать приблизительно от 0.01 г до 1 г в день.
Настоящее изобретение включает также фармацевтические композиции, содержащие саркодиктиин настоящего изобретения в качестве активного ингредиента в сочетании с фармацевтически приемлемым эксципиентом (которым может быть носитель или разбавитель).
Фармацевтические композиции, содержащие соединения настоящего изобретения, обычно приготавливают стандартными способами и назначают для приема в фармацевтически подходящей форме.
Например, твердые формы для перорального приема могут содержать, помимо активного соединения, разбавители, например лактозу, декстрозу, сахарозу, целлюлозу, кукурузный или картофельный крахмал; смазывающие агенты, например диоксид кремния, тальк, стеариновую кислоту, стеарат магния или кальция и/или полиэтиленгликоли; связующие агенты, например крахмалы, аравийскую камедь, желатин, метилцеллюлозу, карбоксиметилцеллюлозу или поливинилпирролидон; дезагрегирующие агенты, например крахмал, альгиновую кислоту, альгинаты или гликолят натрий-крахмала; шипучие смеси; красители; подсластители; увлажняющие агенты, такие как лецитин, полисорбаты, лаурилсульфаты и обычные нетоксичные и фармакологически неактивные вещества, которые используются в фармацевтических рецептурах.
Указанные фармацевтические препараты могут производиться известными способами, например посредством процессов смешения, гранулирования, таблетирования, нанесения пленки или покрытия из сахара.
Жидкие дисперсии для перорального приема могут представлять собой, например, сиропы, эмульсии и суспензии.
Сиропы могут содержать в качестве носителя, например, сахарозу или сахарозу с глицерином и/или маннит и/или сорбит.
Суспензии и эмульсии могут содержать в качестве носителя, например, природную смолу, агар, альгинат натрия, пектин, метилцеллюлозу, карбоксиметилцеллюлозу или поливиниловый спирт.
Суспензия или раствор для внутримышечных инъекций может содержать, например, вместе с активным соединением фармацевтически приемлемый носитель, например стерильную воду, оливковое масло, этилолеат, гликоли, например пропиленгликоль, и, если это желательно, подходящее количество гидрохлорида лидокаина.
Растворы для внутривенных инъекций или инфузии могут содержать в качестве носителя, например, стерильную воду или предпочтительно могут находиться в виде стерильных водных изотонических солевых растворов.
Суппозитории могут содержать вместе с активным соединением фармацевтически приемлемый носитель, например масло какао, полиэтиленгликоль, сложный эфир полиоксиэтиленсорбитана в качестве поверхностно-активного вещества или лецитин.
Формула изобретения
(-) – (4R, 4аR, 7R, 10S, 11S, 12аR, 1Z, 5Е, 8Z)-7,10-эпокси-3,4,4а, 7,10,11,12,12а-октагидро-7-гидрокси-6-(метоксикарбонил)-1,10-диметил-4-(1-метилэтил)бензоциклодецен-11-ил(Е)-3-(1-метил-1Н-имидазол-4-ил)акрилата (саркодиктиин А); (-) – (4R, 4аR, 7R, 10S, 11S, 12аR, 1Z, 5Е, 8Z)-7,10-эпокси-6-(этоксикарбонил)-3,4,4а, 7,10,11,12,12а-октагидро-7-гидрокси-1,10-диметил-4-(1-метилэтил)бензоциклодецен-11-ил(Е)-3-(1-метил-1Н-имидазол-4-ил)акрилата (саркодиктиин В); (-) – (3R, 4S, 4аS, 7S, 10R, 11R, 12аS, 1Z, 5Е, 8Z)-7,10-эпокси-3,4,4а, 7,10,11,12,12а-октагидро-3,7-дигидрокси-6-(метоксикарбонил)-1,10-диметил-4-(1-метилэтил)бензоциклодецен-11-ил(Е)-3-(1-метил-1Н-имидазол-4-ил)акрилата (саркодиктиин С); (-) – (3R, 4S, 4аS, 7S, 10R, 11R, 12аS, 1Z, 5Е, 8Z)-3-ацетокси-7,10-эпокси-3,4,4а, 7,10,11,12,12а-октагидро-7-гидрокси-6-(метоксикарбонил)-1,10-диметил-4-(1-метилэтил)бензоциклодецен-11-ил(Е)-3-(1-метил-1Н-имидазол-4-ил)акрилата (саркодиктиин D); (+) – (3R, 4S, 4аS, 7S, 10R, 11R, 12аS, 1Z, 5Е, 8Z)-7,10-эпокси-3,4,4а, 7,10,11,12,12а-октагидро-3,7-дигидрокси-6-(метоксикарбонил)-1,10-диметил-4-(1-метилэтил)бензоциклодецен-11-ил(Z)-3-(1-метил-1Н-имидазол-4-ил)акрилата (саркодиктиин Е); (+) – (1R, 4R, 4аR, 7R, 10S, 11S, 12аR, 2Z, 5Е, 8Z)-7,10-эпокси-1,4,4а, 7,10,11,12,12а-октагидро-1,7-дигидрокси-6-(метоксикарбонил)-1,10-диметил-4-(1-метилэтил)бензоциклодецен-11-ил(Е)-3-(1-метил-1Н-имидазол-4-ил)акрилата (саркодиктиин F) в качестве терапевтического антинеопластического агента для лечения злокачественных опухолей человека или животных. 2. Фармацевтическая цитотоксическая и антинеопластическая композиция, которая включает в качестве активного ингредиента соединение, выбранное из соединений, перечисленных в п. 1, и фармацевтически приемлемый носитель и/или разбавитель. 3. Фармацевтическая композиция по п. 2 для использования в качестве активатора сборки тубулина, вызывающего приостановку деления опухолевых клеток. 4. Фармацевтическая композиция по п. 2 для использования в качестве противоопухолевого средства. 5. Фармацевтическая композиция по п. 2 для использования в качестве терапевтического антинеопластического средства при лечении злокачественных опухолей человека или животных. РИСУНКИ
PC4A – Регистрация договора об уступке патента Российской Федерации на изобретение
Номер и год публикации бюллетеня: 4-2004
(73) Патентообладатель:
(73) Патентообладатель:
Дата и номер государственной регистрации перехода исключительного права: 21.11.2003 № 17845
Извещение опубликовано: 10.02.2004
MM4A – Досрочное прекращение действия патента СССР или патента Российской Федерации на изобретение из-за неуплаты в установленный срок пошлины за поддержание патента в силе
Дата прекращения действия патента: 24.04.2006
Извещение опубликовано: 20.12.2007 БИ: 35/2007
|
||||||||||||||||||||||||||




-меркаптоэтанола, 100 ЕД/мл пенициллина и 100 мкг/мл стрептомицина.
Экспоненциально растущие клетки высевали (1
105 клеток/мл) на 12-луночные планшеты (Costar, Cambridge, MA) и сразу же после высевания добавляли испытуемые соединения в различных концентрациях.
Планшеты инкубировали в течение 48 ч при 37oС в увлажненной атмосфере с содержанием 5% СO2.
Ингибирование клеточного роста оценивали путем подсчета выживших клеток на счетчике ZBI Coulter (Hialeah, FL). 50% ингибирующую концентрацию (IС50) расчитывали по полученной кривой зависимости концентрация-ответ. Для каждой концентрации испытуемого соединения использовали дубликатные культуры.
Полученные результаты представлены в таблице 3.
Как видно из приведенных в таблице данных, саркодиктиины демонстрировали хорошую цитотоксическую активность in vitro в отношении клеток L1210, а также в отношении клеток L1210, устойчивых к доксорубицину (L1210/DX).
В силу их эффективности в отношении клеток L1210/DX саркодиктиины могут быть полезны при лечении опухолей, резистентных к химиотерапевтическим агентам, таким как, например, антрациклиновые гликозиды, в частности доксорубицин.
Человека или животное можно лечить способом, который включает введение ему фармацевтически эффективного количества соединения, выбранного из саркодиктиина А, саркодиктиина В, саркодиктиина С, саркодиктиина D, саркодиктиина Е и саркодиктиина F. Посредством этого состояние человека или животного может улучшаться.
Саркодиктиины изобретения можно назначать для приема в виде множества лекарственных форм, например, перорально в форме таблеток, капсул, таблеток, покрытых сахаром или пленкой, жидких растворов или суспензий; ректально в форме суппозиториев; парентерально, например внутримышечно, или путем внутривенных инъекций или инфузий.
Доза зависит от возраста, веса, состояния пациента и способа введения; например, доза, предназначенная для перорального приема взрослыми, например, для типичного соединения настоящего изобретения, FCE 29213 (саркодиктиина А), может варьировать приблизительно от 0.01 г до 1 г в день.
Настоящее изобретение включает также фармацевтические композиции, содержащие саркодиктиин настоящего изобретения в качестве активного ингредиента в сочетании с фармацевтически приемлемым эксципиентом (которым может быть носитель или разбавитель).
Фармацевтические композиции, содержащие соединения настоящего изобретения, обычно приготавливают стандартными способами и назначают для приема в фармацевтически подходящей форме.
Например, твердые формы для перорального приема могут содержать, помимо активного соединения, разбавители, например лактозу, декстрозу, сахарозу, целлюлозу, кукурузный или картофельный крахмал; смазывающие агенты, например диоксид кремния, тальк, стеариновую кислоту, стеарат магния или кальция и/или полиэтиленгликоли; связующие агенты, например крахмалы, аравийскую камедь, желатин, метилцеллюлозу, карбоксиметилцеллюлозу или поливинилпирролидон; дезагрегирующие агенты, например крахмал, альгиновую кислоту, альгинаты или гликолят натрий-крахмала; шипучие смеси; красители; подсластители; увлажняющие агенты, такие как лецитин, полисорбаты, лаурилсульфаты и обычные нетоксичные и фармакологически неактивные вещества, которые используются в фармацевтических рецептурах.
Указанные фармацевтические препараты могут производиться известными способами, например посредством процессов смешения, гранулирования, таблетирования, нанесения пленки или покрытия из сахара.
Жидкие дисперсии для перорального приема могут представлять собой, например, сиропы, эмульсии и суспензии.
Сиропы могут содержать в качестве носителя, например, сахарозу или сахарозу с глицерином и/или маннит и/или сорбит.
Суспензии и эмульсии могут содержать в качестве носителя, например, природную смолу, агар, альгинат натрия, пектин, метилцеллюлозу, карбоксиметилцеллюлозу или поливиниловый спирт.
Суспензия или раствор для внутримышечных инъекций может содержать, например, вместе с активным соединением фармацевтически приемлемый носитель, например стерильную воду, оливковое масло, этилолеат, гликоли, например пропиленгликоль, и, если это желательно, подходящее количество гидрохлорида лидокаина.
Растворы для внутривенных инъекций или инфузии могут содержать в качестве носителя, например, стерильную воду или предпочтительно могут находиться в виде стерильных водных изотонических солевых растворов.
Суппозитории могут содержать вместе с активным соединением фармацевтически приемлемый носитель, например масло какао, полиэтиленгликоль, сложный эфир полиоксиэтиленсорбитана в качестве поверхностно-активного вещества или лецитин.