Патент на изобретение №2179436
|
||||||||||||||||||||||||||
(54) КОМПОЗИЦИЯ ДЛЯ ОКРАСКИ КЕРАТИНОВЫХ ВОЛОКОН, СПОСОБЫ ИХ ОКРАСКИ, УПАКОВКА НАБОРА ДЛЯ ОКРАСКИ КЕРАТИНОВЫХ ВОЛОКОН
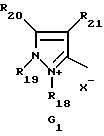
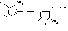
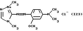
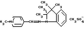
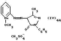
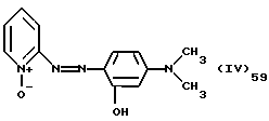
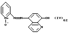
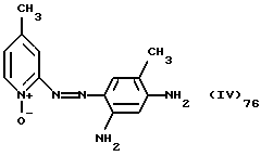
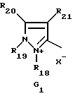
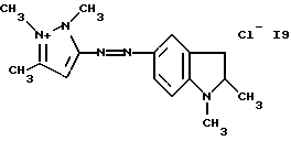
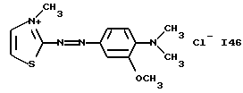
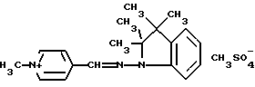
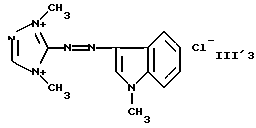
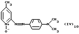
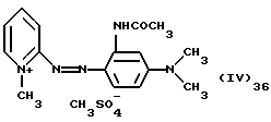
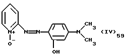
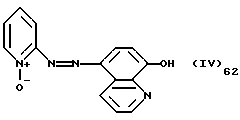
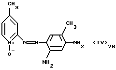
(57) Реферат: Изобретение относится к красящей композиции для волос, содержащей в подходящей для окраски среде катионный прямой краситель, композиция, кроме того, содержит полимерный загуститель, выбранный из группы, в которую входят сшитые гомополимеры акриловой кислоты, гомополимеры и сополимеры 2-акриламидо-2-метилпропансульфокислоты (полностью или частично нейтрализованные), гомополимеры акрилата аммония и сополимеры акрилата аммония и акриламида, сшитые сополимеры (мет)акриловой кислоты и С1-С6-амилакрилата, неионные гомополимеры и сополимеры, содержащие этиленненасыщенные мономеры сложноэфирного и/или амидного типа. Изобретение также относится к способам окраски волос, в которых используют эту композицию, и к упаковке набора для окраски волос. Композиции обеспечивают более интенсивную окраску, менее избирательны и устойчивы к агрессивным внешним факторам. 6 с. и 22 з. п. ф-лы, 1 табл. Изобретение относится к красящей композиции для кератиновых волокон, в частности, кератиновых волокон человека, таких как волосы, содержащей в подходящей для окраски среде по меньшей мере один катионный прямой краситель заданной формулы и по меньшей мере один особый полимерный загуститель. Изобретение также относится к способам окраски и красящим устройствам с использованием названной выше композиции. Из области обработки волос могут быть выделены два типа окраски. Первым типом является полуперманентная, или временная окраска, она же прямая окраска, в которой используются красители, способные вызывать более или менее заметное изменение естественного цвета волос, которое может сохраняться после нескольких моек волос шампунем. Эти красители называются прямыми красителями. Они могут применяться с окисляющим агентом или без него. Применение окислителя имеет целью осветляющее окрашивание. Такое окрашивание производится путем нанесения на волосы экстемпоральной смеси прямого красителя и окислителя и позволяет, в частности, получать за счет осветления меланина волос хороший эффект, такой как однородность цвета в случае седых волос или подчеркнутость цвета в случае естественно пигментированных волос. Вторым типом окраски является перманентная, или окислительная окраска. Она осуществляется с использованием так называемых “окислительных” красителей, содержащих предшественники окислительных красителей и краскообразующие вещества. Предшественники окислительных красителей, обычно называемые окисляемыми основаниями, представляют собой изначально бесцветные или слегка окрашенные соединения, которые развивают свой красящий потенциал на волосах в присутствии добавленных в момент применения окислителей, превращаясь в окрашенные соединения и красители. Образование таких окрашенных соединений и красителей происходит либо в результате окислительной конденсации молекул окисляемых оснований между собой, либо в результате окислительной конденсации молекул окисляемых оснований с молекулами модифицирующих окраску соединений, называемых обычно краскообразующими веществами и обычно присутствующих в красящих композициях, используемых при окислительной окраске. С целью варьирования оттенков, получаемых при использовании названных выше окислительных красителей, или для придания блеска иногда к окислительным красителям добавляют прямые красители. Из катионных прямых красителей, применяемых в области окраски кератиновых волокон, в частности, кератиновых волокон человека таких как волосы, в настоящее время известны соединения, структура которых раскрыта в тексте ниже. Однако эти красители дают окраски, которые обладают все же не достаточно удовлетворительными характеристиками в отношении их интенсивности, равномерности распределения цвета вдоль волокна (в этом случае говорят, что окраска слишком избирательна), а также в отношении стойкости к различным агрессивным факторам, которые могут воздействовать на волосы (свет, непогода, шампуни). В результате проведения обширных, исследований по названной проблеме, заявитель установил, что можно получить новые композиции для окраски кератиновых волокон, способные давать более интенсивные окраски, которые в то же время менее избирательны и высокоустойчивы к различным агрессивным факторам, которые могут воздействовать на волосы, путем комбинирования по меньшей мере одного специфического загущающего полимера с по меньшей мере одним из известных катионных прямых красителей, формулы которых приведены ниже. Это открытие является основой настоящего изобретения. Таким образом, первым предметом настоящего изобретения является композиция для окраски кератиновых волокон, в частности, кератиновых волокон человека, таких как волосы, содержащая в подходящей для окраски среде (i) по меньшей мере один катионный прямой краситель, структура которого соответствует приведенным ниже формулам I-IV, отличающаяся тем, что она кроме этого содержит (ii) по меньшей мере один специфический загущающий полимер. (i) Используемый в настоящем изобретении катионный прямой краситель представляет собой соединение, выбираемое из соединений, описываемых приведенными ниже формулами I, II, III, III’ и IV: а) Соединения приведенной ниже формулы I: ![]() в которой D обозначает атом азота или группу -СН; R1 и R2, одинаковые или разные, обозначают атом водорода; С1-С4-алкил, который может быть замещен радикалом -CN, -ОН или -NH2; или образуют вместе с атомом углерода бензольного цикла гетероцикл, который может быть кислород- или азотсодержащим и может быть замещен одним или несколькими С1-С4-алкилами; или радикал 4′-аминофенил. R3 и R’3, одинаковые или разные, обозначают атом водорода или галогена, выбранный из хлора, брома, иода или фтора; циано-группу, C1-C4-алкил, С1-С4-алкокси- или ацетилокси-группу; Х– обозначает анион, преимущественно выбранный из хлорида, метилсульфата и ацетата; А обозначает группу, выбранную из групп с приведенными ниже структурами A1-A19: ![]() ![]() ![]() ![]() ![]() ![]() ![]() ![]() ![]() ![]() в которых R4 обозначает С1-С4-алкил, который может быть замещен гидроксилом, и R5 обозначает С1-С4-алкокси при условии, что, когда D обозначает -СН, А обозначает А4 или A13 и R3 отличен от алкоксигруппы, то R1 и R2 не являются одновременно атомами водорода; b) Соединения приведенной ниже формулы II: ![]() в которой R6 обозначает атом водорода или С1-С4-алкил; R7 обозначает атом водорода, алкил, который может быть замещен радикалом -CN или аминогруппой; радикал 4′-аминофенил; или вместе с R6 образует гетероцикл, который может быть кислород- и/или азотсодержащим и может быть замещен С1-С4-алкилом; R8 и R9, одинаковые или разные, обозначают атом водорода или галогена, такого как хлор, бром, иод или фтор; C1-C4-алкил, С1-С4-алкокси или радикал -CN; X– обозначает анион, преимущественно выбранный из хлорида, метилсульфата и ацетата; В обозначает группу, выбранную из групп с приведенными ниже структурами B1-B6: ![]() ![]() ![]() ![]() в которых R10 обозначает С1-С4-алкил, a R11 и R12, одинаковые или разные, обозначают атом водорода или С1-С4-алкил; с) Соединения приведенных формул III и III’: ![]() ![]() в которой R13 обозначает атом водорода, радикал С1-С4-алкокси, атом галогена (бром, хлор, иод или фтор) или аминогруппу; R14 обозначает атом водорода, радикал С1-С4-алкил или образует вместе с атомом углерода бензольного цикла гетероцикл, который может быть кислородсодержащим и/или замещенным одним или несколькими С1-С4-алкилами; R15 обозначает атом водорода или галоген (бром, хлор, иод или фтор); R16 и R17, одинаковые или разные, обозначают атом водорода или С1-С4-алкил; D1 и D2, одинаковые или разные, обозначают атом азота или группу -СН; m равно 0 или 1; при условии, что, когда R13 обозначает незамещенную аминогруппу, то D1 и D2 одновременно обозначают группу -СН, а m равно 0; X– обозначает анион, преимущественно выбранный из хлорида, метилсульфата и ацетата; Е обозначает группу, выбранную из приведенных ниже структур E1-E8: ![]() ![]() ![]() ![]() ![]() в которых R’ обозначает С1-С4-алкил; когда m равно 0 и D1 обозначает атом азота, то Е может также обозначать приведенную структуру Е9: ![]() в которой R’ обозначает С1-С4-алкил. d) Соединения приведенной ниже формулы IV: G-N= N-J (IV) в которой символ G обозначает группу, выбранную из приведенных ниже структур G1-G3: ![]() ![]() ![]() в которых R18 обозначает С1-С4-алкил, фенил, который может быть замещен С1-С4-алкилом, или атом галогена, (бром, хлор, иод или фтор); R19 обозначает С1-С4-алкил или фенил; R20 и R21, одинаковые или разные, обозначают С1-С4-алкил, фенил или вместе образуют в G1 бензольный цикл, замещенный одним или несколькими С1-С4-алкилами, С1-С4-алкокси или NO2, или образуют в G2 бензольный цикл, возможно замещенный одним или несколькими 1-С4-алкилами, C1-C4-алкокси или NO2; R20 может кроме того обозначать атом водорода; Z обозначает атом кислорода, серы или группу -NR19; М обозначает группу -СН, -CR (R обозначает С1-С4-алкил) или -NR22 (Х–)r; К обозначает группу -СН, -CR (R обозначает С1-С4-алкил) или -NR22 (X–)r; Р обозначает группу -СН, -CR (R обозначает С1-С4-алкил) или -NR22(X–)r, где r равно 0 или 1; R22 обозначает атом О–, радикал С1-С4-алкокси или C1-C4-алкил; R23 и R24, одинаковые или разные, обозначают атом водорода или галогена (бром, хлор, иод или фтор), C1-C4-алкил, С1-С4-алкокси или радикал -NО2; Х– обозначает анион, преимущественно выбранный из хлорида, иодида, метилсульфата, этилсульфата, ацетата и перхлората; при условии что, если R22 обозначает О–, то r равно 0; если К или Р или М обозначает -N(С1-С4-алкил) X–, то R23 или R24 отличны от атома водорода; если К обозначает -NR22(X–)r, то М= Р обозначают -СН или -CR; если М обозначает -NR22(X–)r, то К= Р обозначают -СН или -CR; если Р обозначает -NR22(X–)r, то К= М обозначают -СН или -CR; если Z обозначает атом серы, a R21 обозначает C1-C4-алкил, то R20 отличен от атома водорода; если Z обозначает -NR22, a R19 обозначает С1-С4-алкил, то по меньшей мере один из радикалов R18, R20 или R21 группы со структурой G2 не является С1-С4-алкилом; символ J обозначает: -(а) группу, обладающую приведенной ниже структурой J1: ![]() в которой R25 обозначает атом водорода, атом галогена (бром, хлор, иод или фтор), С1-С4-алкил, С1-С4-алкокси, радикал -ОН, -NO2, – NHR28, -NR29R30, -NHCO(С1-С4-алкил) или образует вместе с R26 5- или 6-членный цикл, который может содержать один или несколько гетероатомов, выбранных из азота, кислорода или серы; R26 обозначает атом водорода, атом галогена (бром, хлор, иод или фтор), С1-С4-алкил, С1-С4-алкокси или образует вместе с R27 и R28 5- или 6-членный цикл, который может содержать один или несколько гетероатомов, выбранных из азота, кислорода или серы; R27 обозначает атом водорода, радикал -ОН, -NHR28 или -NH29R30; R28 обозначает атом водорода, С1-С4-алкил, моногидрокси-С1-С4-алкил, полигидрокси-С2-С4-алкил или фенил; R29 и R30, одинаковые или разные, обозначают С1-С4-алкил, моногидрокси-С1-С4-алкил или полигидрокси-С2-С4-алкил; -(b) азотсодержащую 5- или 6-членную гетероциклическую группу, которая может также содержать другие гетероатомы и/или карбонильные группы и быть замещенной одним или несколькими радикалами: С1-С4-алкилом, аминогруппой или фенилом, в частности, группу, имеющую приведенную ниже структуру J2: ![]() в которой R31 и R32, одинаковые или разные, обозначают атом водорода, С1-С4-алкил или фенил; Y обозначает радикал -СО- или радикал ;n равно 0 или 1, причем, когда n= 1, U обозначает радикал -СО-. В структурах I-IV С1-С4-алкил или алкокси обозначают, предпочтительно, метил, этил, бутил, метокси, этокси. Катионные прямые красители формул I, II, III и III’, пригодные для использования в красящих композициях по изобретению, являются известными соединениями и описаны, например, в заявках на патенты WO 95/01772, WO 95/15144 и ЕР-А 0714954. Красители формулы IV, пригодные для использования в красящих композициях по изобретению, являются известными соединениями и описаны, например, в заявках на патенты FR-2189006, FR-2285851 и FR-2140205, а также в дополнительных свидетельствах к ним. Из числа катионных прямых красителей формулы I, пригодных для использования в красящих композициях по изобретению, можно выделить соединения, отвечающие приведенным структурам I1-I54: ![]() ![]() ![]() ![]() ![]() ![]() ![]() ![]() ![]() ![]() ![]() ![]() ![]() ![]() ![]() ![]() ![]() ![]() ![]() ![]() ![]() ![]() ![]() ![]() ![]() ![]() ![]() ![]() ![]() ![]() ![]() ![]() ![]() ![]() ![]() ![]() ![]() ![]() ![]() ![]() ![]() ![]() ![]() ![]() ![]() ![]() ![]() ![]() ![]() ![]() ![]() ![]() ![]() ![]() Из приведенных выше структур I1-I54 особенно предпочтительны соединения, отвечающие структурам I1, I2, I14 и I31. Из числа катионных прямых красителей формулы I1, пригодных для использования в красящих композициях по изобретению, можно выделить соединения отвечающие приведенным ниже структурам II1-II9: ![]() ![]() ![]() ![]() ![]() ![]() ![]() ![]() ![]() Из числа катионных прямых красителей формулы III, пригодных для исользования в красящих композициях по изобретению, можно выделить соединения, отвечающие приведенным ниже структурам III1-III18: ![]() ![]() ![]() ![]() ![]() ![]() ![]() ![]() ![]() ![]() ![]() ![]() ![]() ![]() ![]() ![]() ![]() ![]() Из приведенных выше структур III1-III18 особенно предпочтительны соединения, отвечающие структурам III4, III5 и III13. Из числа катионных прямых, красителей формулы III’, пригодных для использования в красящих композициях по изобретению, можно выделить соединения, отвечающие приведенным ниже структурам III’1-III’3: ![]() ![]() и ![]() Из числа катионных прямых, красителей формулы IV, пригодных для использования в красящих композициях по изобретению, можно выделить соединения, отвечающие приведенным ниже структурам (IV)1-(IV)77: ![]() ![]() ![]() ![]() ![]() ![]() ![]() ![]() ![]() ![]() ![]() ![]() ![]() ![]() ![]() ![]() ![]() ![]() ![]() ![]() ![]() ![]() ![]() ![]() ![]() ![]() ![]() ![]() ![]() ![]() ![]() ![]() ![]() ![]() ![]() ![]() ![]() ![]() ![]() ![]() ![]() ![]() ![]() ![]() ![]() ![]() ![]() ![]() ![]() ![]() ![]() ![]() ![]() ![]() ![]() ![]() ![]() ![]() ![]() ![]() ![]() ![]() ![]() ![]() ![]() ![]() ![]() ![]() ![]() ![]() ![]() ![]() ![]() ![]() ![]() ![]() ![]() Катионный прямой краситель или красители, используемые согласно изобретению, составляют преимущественно от 0,001 до 10 и, предпочтительно, от 0,005 до 5% от общей массы красящей композиции. (ii) Пригодный для настоящего изобретения загущающий полимер выбирают из группы, в которую входят: 1 – сшитые гомополимеры акриловой кислоты; 2 – частично или полностью нейтрализованные гомополимеры и сополимеры 2-акриламидо-2-метилпропансульфокислоты; 3 – гомополимеры акрилата аммония и сополимеры акрилата аммония и акриламида; 4 – сшитые сополимеры (мет)акриловой кислоты и C1-C6-алкилакрилата; 5 – неионные гомополимеры и сополимеры, образованные этиленненасыщенными мономерами сложноэфирного и/или амидного типов. Из сшитых гомополимеров акриловой кислоты, в качестве примера, могут быть названы продукты, выпускаемые фирмой GOODRICH под названиями CARBOPOLS 980, 981, 954, 2984, 5984 и продукты, выпускаемые фирмой 3 VSA под названиями SYNTHALEN М и SYNTHALEN К. Из гомополимеров 2-акриламидо-2-метилпропансульфокислоты можно назвать гомополимеры, описанные в заявке ЕР-А-0815828 (являющейся составной частью настоящего описания). Можно также назвать продукт, поставляемый фирмой HENKEL под названием COSMEDIA HSP 1160. Из частично или полностью нейтрализованных (основанием, таким как сода, поташ или амин) сополимеров 2-акриламидо-2-метилпропансульфокислоты можно, в частности, назвать продукт, описанный в примере 1 документа ЕР-А-503853 (являющегося составной частью настоящего описания), и в частности продукта, поставляемого фирмой SEPPIC под названием SEPIGEL 305. Из гомополимеров акрилата аммония может быть назван продукт, выпускаемый фирмой HOECHST под названием MICROSAP РАS 5193. Из сополимеров акрилата аммония и акриламида можно назвать продукты, выпускаемые фирмой HOECHST под названиями BOZEPOL С NOUYEAU или РАS 5193 (они описаны и получены в документах FR 2416723, USP 2798053 и USP 2923692). Из сшитых сополимеров (мет)акриловой кислоты и C1-C6-алкилакрилата можно назвать продукт, выпускаемый фирмой СОАТЕХ под названием VISCOATEX 538С, который представляет собой 38%-ную водную дисперсию активного вещества сшитого сополимера метакриловой кислоты и этилакрилата, или продукт, выпускаемый фирмой ROHM & HAAS под названием ACULYN 33, который представляет собой 28%-ную водную дисперсию активного вещества сшитого сополимера акриловой кислоты и этилакрилата. Из неионных гомополимеров и сополимеров, образованных этиленненасыщенными мономерами сложноэфирного и/или амидного типов, могут быть названы продукты под названиями CYANAMER Р250 фирмы CYTEC (полиакриламид), РММА МВХ8С фирмы US COSMETICS (сополимер метилметакрилата и диметакрилата этиленгликоля), ACRYLOID В66 RHOM & HAAS (сополимер бутилметакрилата и метилметакрилата), ВРА 500 фирмы КОВО (полиметилметакрилат). Согласно настоящему изобретению, более предпочтительно использование загущающих полимеров, представленных выше в классах 1-, 2-, 3- и 4-, т. е. полимеров, выбираемых из группы, в которую входят: 1 – сшитые гомополимеры акриловой кислоты; 2 – частично или полностью нейтрализованные гомополимеры и сополимеры 2-акриламидо-2-метилпропансульфокислоты; 3 – гомополимеры акрилата аммония и сополимеры акрилата аммония и акриламида; и 4 – сшитые сополимеры (мет)акриловой кислоты и C1-С6-алкилакрилата. Используемые в изобретении загущающие полимеры (ii) преимущественно составляют приблизительно от 0,01 до 10 и, более предпочтительно, приблизительно от 0,1 до 5% от общей массы красящей композиции. Подходящая для окраски среда (или носитель) состоит обычно из воды или смеси воды с по меньшей мере одним органическим растворителем для солюбилизации соединений, которые недостаточно растворимы в воде. В качестве органического растворителя можно, например, назвать низшие (C1-C4)-алканолы такие как этанол и изопропиловый спирт, ароматические спирты такие как бензиловый спирт, а также аналогичные соединения и их смеси. Растворители предпочтительно могут присутствовать в количествах приблизительно от 1 до 40 и, более предпочтительно, приблизительно от 5 до 30% от общей массы красящей композиции. рН красящей композиции в соответствии с изобретением обычно составляет приблизительно от 2 до 11 и, предпочтительно, приблизительно от 5 до 10. Его можно довести до желаемого значения с помощью подкисляющих или подщелачивающих агентов, обычно применяемых при окраске кератиновых волокон. Из подкисляющих агентов, в качестве примера, можно назвать такие минеральные и органические кислоты как соляная кислота, ортофосфорная кислота, серная кислота, карбоновые кислоты: уксусная, винная, лимонная и молочная и сульфоновые кислоты. Из подщелачивающих агентов, в качестве примера, можно назвать аммиак, карбонаты щелочных металлов, алканоламины такие как моно-, ди- и триэтаноламины, а также их производные, гидроксиды натрия или калия и соединения приведенной ниже формулы V: ![]() в которой W обозначает пропиленовый остаток, который может быть замещен гидроксильной группой или C1-С6-алкилом; R33, R34, R35 и R36, одинаковые или разные, обозначают атом водорода, C1-С6-алкил или гидрокси-С1-С6-алкил. Красящая композиция согласно изобретению может наряду с определенным выше катионным прямым красителем или красителями (i) содержать один или несколько дополнительных прямых красителей, которые выбирают из красителей группы азотпроизводных бензола, антрахиноновых красителей, нафтохиноновых красителей, триарилметановых красителей, ксантеновых красителей, некатионных азокрасителей. Если красящая композиция по изобретению предназначена для окислительной окраски, она содержит наряду с катионным прямым красителем или красителями (i) одно или несколько окисляемых оснований, которые выбирают из окисляемых оснований, традиционно используемых при окислительной окраске, из которых, можно, в частности, назвать п-фенилендиамины, бисфенилалкилдиамины, п-аминофенолы, о-аминофенолы и гетероциклические основания. В случае использования окисляемых оснований их количества преимущественно составляют приблизительно от 0,0005 до 12 и, предпочтительно, приблизительно от 0,005 до 6% от общей массы красящей композиции. В том случае, когда красящая композиция по изобретению предназначена для окислительной окраски, она может также содержать наряду с катионным прямым красителем или (i) и загущающим полимером (ii), а также окисляемыми основаниями одно или несколько краскообразующих веществ, подобранных таким образом, чтобы модифицировать или обогатить бликами оттенки, получаемые при применении катионного прямого красителя или красителей (i) и окисляемых оснований. Краскообразующие вещества, пригодные для использования в красящей композиции по изобретению, могут быть выбраны из краскообразующих веществ, традиционно используемых при окислительной окраске, и из них, в частности, могут быть названы м-фенилендиамины, м-аминофенолы, м-дифенолы и гетероциклические краскообразующие вещества. В случае их присутствия количества краскообразующих веществ преимущественно составляют приблизительно от 0,0001 до 10 и, предпочтительно, приблизительно от 0,005 до 5% от общей массы красящей композиции. Красящая композиция по изобретению может также содержать различные добавки, традиционно применяемые в композициях для окраски волос, такие как антиоксиданты, катализаторы окрашивания, комплексообразователи, отдушки, буферы, диспергирующие агенты, ПАВ, пленкообразующие агенты, керамиды, консерванты, фильтрационные агенты и матирующие агенты. Разумеется, специалист должен выбирать эти возможные дополнительные соединения таким образом, чтобы полезные свойства, присущие красящей композиции по изобретению, при введении добавок не были бы ухудшены или существенно ухудшены. Красящая композиция по изобретению может находиться в различных формах: в виде жидкостей, шампуней, кремов, гелей или в любой другой форме, подходящей для проведения окраски кератиновых волокон, в частности, волос человека. Она может быть получена путем смешения в момент применения композиции (возможно в порошкообразной), содержащей катионный прямой краситель или красители с композицией, содержащей особый загущающий полимер. Если в композиции, предназначенной для окислительной окраски, использована комбинация катионного прямого красителя (i) и загущающего полимера (ii), соответствующих настоящему изобретению (в этом случае используются одно или несколько окисляемых оснований, возможно, в присутствии одного или нескольких краскообразующих веществ) или когда эта комбинация использована в композиции, предназначенной для осветляющей прямой окраски, красящая композиция по изобретению в этом случае содержит также по меньшей мере один окислительный агент, который выбирают из перекиси водорода, перекиси мочевины, броматов щелочных металлов, персолей таких как пербораты и персульфаты, и ферментов, таких как пероксидазы, лакказы и двухэлектронные оксидоредуктазы. Использование перекиси водорода или ферментов является особенно предпочтительным. Другим предметом изобретения является способ окраски кератиновых волокон, в частности, кератиновых волокон человека, таких как волосы, с использованием определенной выше красящей композиции. В соответствии с первым вариантом соответствующего изобретению способа окраски, на волокна наносят по меньшей мере одну определенную выше красящую композицию на время, достаточное для проявления желаемой окраски, после чего волокна ополаскивают, промывают при необходимости шампунем, вновь ополаскивают и сушат. Время, необходимое для проявления окраски на кератиновых волокнах, обычно составляет от 3 до 60 и, более точно, от 5 до 40 мин. В соответствии со вторым вариантом соответствующего изобретению способа окраски, на волокна наносят по меньшей мере одну определенную выше красящую композицию на время, достаточное для проявления желаемой окраски, без заключительного ополаскивания. В соответствии с особым вариантом способа окраски, когда красящая композиция изобретения содержит по меньшей мере одно окисляемое основание и по меньшей мере один окисляющий агент, способ окраски включает предварительную стадию, состоящую в раздельном хранении, с одной стороны, композиции А1, содержащей в подходящей для окраски среде по меньшей мере один определенный выше катионный прямой краситель (i) и по меньшей мере одно окисляемое основание, и, с другой стороны, композиции В1, содержащей в подходящей для окраски среде по меньшей мере один окисляющий агент, после чего, в момент применения, осуществляют смешение обеих композиций и последующее нанесение смеси на кератиновые волокна, причем определенный выше загущающий полимер (ii) содержится либо в композиции А1, либо в композиции В1. В соответствии с другим особым вариантом способа окраски, когда красящая композиция по изобретению содержит по меньшей мере один окисляющий агент, способ окраски включает предварительную стадию, состоящую в раздельном хранении, с одной стороны, композиции А2, содержащей в подходящей для окраски среде по меньшей мере один определенный выше катионный прямой краситель (i), и, с другой стороны, композиции В2, содержащей в подходящей для окраски среде по меньшей мере один окисляющий агент, после чего, в момент применения, осуществляют смешение обеих композиций и последующее нанесение смеси на кератиновые волокна, причем определенный выше загущающий полимер (ii) содержится либо в композиции А2, либо в композиции В2. Еще одним предметом изобретения является устройство с несколькими отделениями, или “набор” для окраски, или любая другая система упаковки с несколькими отделениями, из которых первое отделение содержит определенную выше композицию А1 или А2 и второе отделение содержит определенную выше композицию В1 или В2. Устройства могут быть дополнены приспособлением, позволяющим нанесение на волосы желаемой смеси. Такие устройства описаны в патенте FR 2586913, выданном на имя заявителя. Следующие примеры иллюстрируют изобретение, не ограничивая его объема. ПРИМЕРЫ ПРИМЕРЫ 1-4 Приготовляют четыре композиции для прямой окраски, приведенные в таблице (все содержания компонентов приведены в граммах). Приведенные выше композиции были нанесены на пряди натуральных седых волос с 90% седины и выдерживались на прядях в течение 30 мин. Пряди после этого были ополоснуты, промыты стандартным шампунем и затем высушены. Пряди оказались окрашенными в следующие оттенки: Пример 1 – насыщенный красный. Пример 2 – насыщенный оранжевый. Пример 3 – насыщенный пурпурный. Пример 4 – насыщенный красный. Формула изобретения
а) Соединения приведенной ниже формулы I ![]() в которой D обозначает атом азота или группу -СН, R1 и R2 одинаковые или разные, обозначают атом водорода: С1-С4-алкил, который может быть замещен радикалом -CN, -ОН или -NH2; или образуют вместе с атомом углерода бензольного цикла гетероцикл, который может быть кислород- или азотсодержащим и который может быть замещен одним или несколькими С1-С4-алкилами или радикал 4′-аминофенил; R3 и R’3, одинаковые или разные, обозначают атом водорода или галогена, выбранный из хлора, брома, йода или фтора; цианогруппу, С1-С4-алкил, С1-С4-алкокси- или ацетилоксигруппу; Х– обозначает анион, преимущественно выбранный из хлорида, метилсульфата и ацетата; А обозначает группу, выбранную из групп с приведенными ниже структурами А1-А19; ![]() ![]() ![]() ![]() ![]() ![]() ![]() ![]() ![]() ![]() в которых R4 обозначает С1-С4-алкил, который может быть замещен гидроксилом, и R5 обозначает радикал С1-С4-алкокси при условии, что когда D обозначает -СН, А обозначает А4 или А13 и R3 отличен от алкоксигруппы, то R1 и R2 не являются одновременно атомами водорода; b) Соединения приведенной ниже формулы II ![]() в которой R6 обозначает атом водорода или С1-С4-алкил; R7 обозначает атом водорода, алкил, который может быть замещен радикалом – СN или аминогруппой; радикал 4′-аминофенил; или вместе с R6 образует гетероцикл, который может быть кислород- и/или азотсодержащим и который может быть замещен С1-С4-алкилом; R8 и R9, одинаковые или разные, обозначают атом водорода или галоген, такой как хлор, бром, иод или фтор; С1-С4-алкил, С1-С4-алкокси или радикал -СN; Х– обозначает анион, преимущественно выбранный из хлорида, метилсульфата и ацетата; В обозначает группу, выбранную из групп с приведенными ниже структурами В1-В6; ![]() ![]() ![]() ![]() в которых R10 обозначает С1-С4-алкил, а R11 и R12, одинаковые или разные обозначают атом водорода или С1-С4-алкил; с) Соединения приведенных ниже формул III и III’ ![]() ![]() в которой R13 обозначает атом водорода, радикал С1-С4-алкокси, атом галогена (бром, хлор, иод или фтор) или аминогруппу; R14 обозначает атом водорода, радикал С1-С4-алкил или образует вместе с атомом углерода бензольного цикла гетероцикл, который может быть кислородсодержащим и/или замещенным одним или несколькими С1-С4-алкилами; R15 обозначает атом водорода или галоген (бром, хлор, иод или фтор); R16 и R17, одинаковые или разные, обозначают атом водорода или С1-С4-алкил; D1 и D2, одинаковые или разные, обозначают атом азота или группу -СН; m = 0 или 1; при условии, что, когда R13 обозначает незамещенную аминогруппу, то D1 и D2 одновременно обозначают группу -СН, а m = 0; Х– обозначает анион, преимущественно выбранный из хлорида, метилсульфата и ацетата; Е обозначает группу, выбранную из приведенных ниже структур Е1-Е8; ![]() ![]() ![]() ![]() ![]() в которых R’ обозначает С1-С4-алкил; когда m = 0 и D1 обозначает атом азота, то Е может также обозначать приведенную ниже структуру Е9: ![]() в которой R’ обозначает С1-С4-алкил; d) Соединения приведенной ниже формулы IV G-N= N-J (IV), в которой G обозначает группу, выбранную из приведенных ниже структур G1-G3: ![]() ![]() ![]() в которых R18 обозначает С1-С4-алкил, фенил, который может быть замещен С1-С4-алкилом, или атом галогена, (бром, хлор, иод или фтор); R19 обозначает С1-С4-алкил или фенил; R20 и R21, одинаковые или разные, обозначают С1-С4-алкил, фенил или вместе образуют в G1 бензольный цикл, замещенный одним или несколькими С1-С4-алкилами, С1-С4-алкокси или NO2 или образуют в G2 бензольный цикл, возможно замещенный одним или несколькими 1-С4-алкилами, С1-С4-алкокси или NO2; R20 может, кроме того, обозначать атом водорода; Z обозначает атом кислорода, серы или группу -NR19; М обозначает группу -СН, -СR (R обозначает С1-С4-алкил) или -NR22(Х–)r; К обозначает группу -СН, -СR (R обозначает С1-С4-алкил) или NR22(Х–)r; Р обозначает группу -СН, -СR (R обозначает С1-С4-алкил) или NR22(Х–)r, где r = 0 или 1; R22 обозначает атом О–, радикал С1-С4-алкокси или С1-С4-алкил; R23 и R24, одинаковые или разные, обозначают атом водорода или галогена (бром, хлор, иод или фтор), С1-С4-алкил, С1-С4-алкокси или радикал -NO2; Х– обозначает анион, преимущественно выбранный из хлорида, иодида, метилсульфата, этилсульфата, ацетата и перхлората; при условии, что, если R22 обозначает О–, то r = 0; если К или Р или М обозначает -N(С1-С4-алкил)Х–, то R23 или R24 отличен от атома водорода; если К обозначает -NR22(Х–)r, то М = Р и обозначают -СН или -СR; если М обозначает -NR22(Х–)r, то К = Р и обозначают -СН или -СR; если Р обозначает -NR22(Х–)r, то К = М и обозначают -СН или -СR; если Z обозначает атом серы, а R21 обозначает С1-С4-алкил, то R20 отличен от атома водорода; если Z обозначает -NR22, а R19 обозначает С1-С4-алкил, то по меньшей мере один из радикалов R18, R20 и R21 группы со структурой G2 не является С1-С4-алкилом; J обозначает: -(а) группу, обладающую приведенной ниже структурой J1 ![]() в которой R25 обозначает атом водорода, атом галогена (бром, хлор, иод или фтор), С1-С4-алкил, С1-С4-алкокси, радикал -ОН, -NO2 -NHR28, -NR29R30, -NHCO(С1-С4-алкил) или образует вместе с R26 5- или 6-членный цикл, который может содержать один или несколько гетероатомов, выбранных из азота, кислорода или серы; R26 обозначает атом водорода, атом галогена (бром, хлор, иод или фтор), С1-С4-алкил, С1-С4-алкокси или образует вместе с R27 и R28 5- или 6-членный цикл, который может содержать один или несколько гетероатомов, выбранных из азота, кислорода или серы; R27 обозначает атом водорода, радикал -ОН, -NHR28 или -NR29R30; R28 обозначает атом водорода, С1-С4-алкил, моногидрокси-С1-С4-алкил, полигидрокси – С2-С4-алкил или фенил; R29 и R30, одинаковые или разные, обозначают С1-С4-алкил, моногидрокси-С1-С4-алкил или полигидрокси-С2-С4-алкил; -(b) азотсодержащую 5- или 6-членную гетероциклическую группу, которая может также содержать другие гетероатомы и/или карбонильные группы и быть замещенной одним или несколькими радикалами: С1-С4-алкилом, аминогруппой или фенилом, в частности, группу, имеющую приведенную ниже структуру J2 ![]() в которой R31 и R32, одинаковые или разные, обозначают атом водорода, С1-С4-алкил или фенил; Y обозначает радикал -СО- или радикал ;n = 0 или 1, причем, когда n= 1, U обозначает радикал -СО-; причем названная выше композиция отличается тем, что она дополнительно содержит (ii) по меньшей мере один загущающий полимер, выбираемый из группы, в которую входят: 1 – сшитые гомополимеры акриловой кислоты; 2 – частично или полностью нейтрализованные гомополимеры и сополимеры 2-акриламидо-2-метилпропансульфокислоты; 3 – гомополимеры акрилата аммония и сополимеры акрилата аммония и акриламида; 4 – сшитые сополимеры (мет)акриловой кислоты и С1-С6-алкилакрилата; 5 – неионные гомополимеры и сополимеры, образованные этиленненасыщенными мономерами сложноэфирного и/или амидного типов. 2. Композиция по п. 1, отличающаяся тем, что катионные прямые красители формулы I выбирают из соединений, отвечающим приведенным ниже структурам I1-I54: ![]() ![]() ![]() ![]() ![]() ![]() ![]() ![]() ![]() ![]() ![]() ![]() ![]() ![]() ![]() ![]() ![]() ![]() ![]() ![]() ![]() ![]() ![]() ![]() ![]() ![]() ![]() ![]() ![]() ![]() ![]() ![]() ![]() ![]() ![]() ![]() ![]() ![]() ![]() ![]() ![]() ![]() ![]() ![]() ![]() ![]() ![]() ![]() ![]() ![]() ![]() ![]() ![]() ![]() 3. Композиция по п. 2, отличающаяся тем, что катионные прямые красители отвечают структурам I1, I2, I14 и I31. 4. Композиция по п. 1, отличающаяся тем, что катионные прямые красители формулы II выбирают из соединений, отвечающих приведенным ниже структурам II1-II9 ![]() ![]() ![]() ![]() ![]() ![]() ![]() ![]() ![]() 5. Композиция по п. 1, отличающаяся тем, что катионные прямые красители формулы III выбирают из соединений, отвечающих приведенным ниже структурам III1-III18: ![]() ![]() ![]() ![]() ![]() ![]() ![]() ![]() ![]() ![]() ![]() ![]() ![]() ![]() ![]() ![]() ![]() ![]() 6. Композиция по п. 5, отличающаяся тем, что катионные прямые красители формулы III выбирают из соединений, отвечающих структурам III4, III5 и III13. 7. Композиция по п. 1, отличающаяся тем, что катионные прямые красители формулы III’ выбирают из соединений, отвечающих приведенным ниже структурам III’1-III’3: ![]() ![]() и ![]() 8. Композиция по п. 1, отличающаяся тем, что катионные прямые красители формулы IV выбирают из соединений, отвечающих приведенным ниже структурами (IV)1-(IV)77 ![]() ![]() ![]() ![]() ![]() ![]() ![]() ![]() ![]() ![]() ![]() ![]() ![]() ![]() ![]() ![]() ![]() ![]() ![]() ![]() ![]() ![]() ![]() ![]() ![]() ![]() ![]() ![]() ![]() ![]() ![]() ![]() ![]() ![]() ![]() ![]() ![]() ![]() ![]() ![]() ![]() ![]() ![]() ![]() ![]() ![]() ![]() ![]() ![]() ![]() ![]() ![]() ![]() ![]() ![]() ![]() ![]() ![]() ![]() ![]() ![]() ![]() ![]() ![]() ![]() ![]() ![]() ![]() ![]() ![]() ![]() ![]() ![]() ![]() ![]() ![]() ![]() 9. Композиция по п. 1, отличающаяся тем, что катионные прямые красители формул I, II, III, III’ или IV составляют 0,001 – 10% от общей массы композиции. 10. Композиция по п. 9, отличающаяся тем, что катионные прямые красители формул I, II, III, III’ или IV составляют 0,005 – 5% от общей массы композиции. 11. Композиция по п. 1, отличающаяся тем, что загущающий полимер класса (4-) является сшитым сополимером метакриловой кислоты и этилакрилата. 12. Композиция по п. 1, отличающаяся тем, что загущающий полимер класса (4-) является сшитым сополимером акриловой кислоты и этилакрилата. 13. Композиция по любому из пп. 1, 11 и 12, отличающаяся тем, что загущающий полимер (ii) составляет 0,01 – 10% от общей массы композиции. 14. Композиция по п. 13, отличающаяся тем, что загущающий полимер (ii) составляет 0,1 – 5% от общей массы композиции. 15. Композиция по п. 1, отличающаяся тем, что подходящая для окраски среда (или носитель) состоит из воды или смеси воды с по меньшей мере одним органическим растворителем. 16. Композиция по п. 1, отличающаяся тем, что ее рН составляет 2 – 11 и, предпочтительно 5 – 10. 17. Композиция по п. 1, отличающаяся тем, что для окислительной окраски она дополнительно содержит одно или несколько окисляемых оснований, выбранных из п-фенилендиаминов, бис-фенил-алкилендиаминов, п-аминофенолов, о-аминофенолов и гетероциклических оснований. 18. Композиция по п. 17, отличающаяся тем, что окисляемые основания составляют 0,0005 – 12% от общей массы красящей композиции. 19. Композиция по п. 18, отличающаяся тем, что окисляемые основания составляют 0,005 – 6% от общей массы красящей композиции. 20. Композиция по любому из пп. 17-19, отличающаяся тем, что она дополнительно содержит одно или несколько краскообразующих веществ, выбранных из м-фенилендиаминов, м-аминофенолов, м-дифенолов и гетероциклических краскообразующих веществ. 21. Композиция по п. 20, отличающаяся тем, что краскообразующие вещества составляют 0,0001 – 10% от общей массы красящей композиции. 22. Композиция по п. 21, отличающаяся тем, что краскообразующие вещества составляют 0,005 – 5% от общей массы красящей композиции. 23. Композиция по любому из предыдущих пунктов, отличающаяся тем, что для осветляющей прямой окраски или окислительной окраски она содержит по меньшей мере один окисляющий агент. 24. Способ окраски кератиновых волокон, в частности волос, отличающийся тем, что на волокна наносят по меньшей мере одну красящую композицию по пп. 1-23 на время, достаточное для проявления желаемой окраски, после чего волокна ополаскивают, промывают при желании шампунем, вновь ополаскивают и сушат. 25. Способ окраски кератиновых волокон, в частности волос, отличающийся тем, что на волокна наносят по меньшей мере одну красящую композицию по пп. 1-23 на время, достаточное для проявления желаемой окраски без заключительного ополаскивания. 26. Способ окраски кератиновых волокон, в частности волос, отличающийся тем, что композицию А1, содержащую в подходящей для окраски среде по меньшей один катионный прямой краситель по пп. 1-10 и по меньшей мере одно окисляемое основание, смешивают с композицией В1, содержащей в подходящей для окраски среде по меньшей мере один окисляющий агент с последующим нанесением смеси на кератиновые волокна, причем загущающий полимер по пп. 1 и 11-14 содержится либо в композиции А1, либо в композиции В1. 27. Способ окраски кератиновых волокон, в частности волос, отличающийся тем, что композицию А2, содержащую в подходящей для окраски среде по меньшей мере один катионный прямой краситель по пп. 1-10, смешивают с композицией В2, содержащей в подходящей для окраски среде по меньшей мере один окисляющий агент и наносят смесь на кератиновые волокна, причем загущающий полимер по пп. 1 и 11-14 содержится либо в композиции А2, либо в композиции В2. 28. Упаковка набора для окраски кератиновых волокон, в частности волос, с отделением под композицию А1, содержащую в подходящей для окраски среде по меньшей мере один катионный прямой краситель по пп. 1-10 и по меньшей мере одно окисляемое основание, или под композицию А2, содержащую в подходящей для окраски среде по меньшей мере один катионный прямой краситель по пп. 1-10, и с отделением под композицию В1 или В2, содержащие в подходящей для окраски среде по меньшей мере один окисляющий агент, причем загущающий полимер по пп. 1 или 11-14 содержится либо в композиции А1, В1 либо в композиции А2, В2. РИСУНКИ
MM4A – Досрочное прекращение действия патента СССР или патента Российской Федерации на изобретение из-за неуплаты в установленный срок пошлины за поддержание патента в силе
Дата прекращения действия патента: 09.07.2006
Извещение опубликовано: 20.12.2007 БИ: 35/2007
|
||||||||||||||||||||||||||






























;






























































































































































































;































































































































































