Патент на изобретение №2179435
|
||||||||||||||||||||||||||
(54) КОСМЕТИЧЕСКАЯ КОМПОЗИЦИЯ ДЛЯ ОБРАБОТКИ КЕРАТИНОВЫХ ВОЛОКОН, СПОСОБ ИХ ОКРАШИВАНИЯ, УПАКОВКИ НАБОРА ДЛЯ ИХ ОКРАШИВАНИЯ, СПОСОБ ОБРАБОТКИ КЕРАТИНОВЫХ ВОЛОКОН
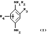
(57) Реферат: Изобретение относится к косметической композиции для обработки волос, содержащей в подходящем для кератиновых волокон носителе: (а) фермент типа 2-электронной оксидоредуктазы в присутствии донора для указанного фермента, (б) одну неионную гуаровую смолу, а также к способам обработки кератиновых волокон, в частности к способам окрашивания, перманентной завивки или обесцвечивания волос с помощью предложенной композиции. Изобретение обеспечивает более хроматические расцветки, неизбирательные, устойчивые к агрессивным факторам, увеличивает сохранение завивки волос, а также однородное их обесцвечивание. 5 с. и 22 з. п. ф-лы. Изобретение относится к окисляющей композиции, предназначенной для обработки кератиновых волокон, содержащих, по меньшей мере, один фермент типа 2-электронной оксидоредуктазы в присутствии, по меньшей мере, одного донора для указанного фермента и, по меньшей мере, одного неионного гуммиарабика, а также к ее использованию для окрашивания, для перманентного (т. е. , сохраняющегося в дальнейшем) изменения формы или для отбеливания кератиновых волокон, в частности волос человека. Известен способ окрашивания кератиновых волокон, и, в частности, волос человека, при помощи окрашивающих композиций, содержащих вещества-предшественники оксидационных красителей, в частности пара-фенилендиамины, орто- и пара-аминофенолы и гетероциклические основания, которые обычно называют оксидационными основаниями. Предшественники оксидационных красителей или оксидационные основания являются бесцветными или слабоокрашенными соединениями, которые при соединении с окисляющими веществами могут служить источником окрашенных соединений и красителей за счет процесса окислительной конденсации (дегидроконденсации). Известно также, что оттенки, получаемые при помощи таких оксидационных оснований, могут изменяться посредством сочетания последних с краскообразующими компонентами или модификаторами цвета, причем последние выбираются, в частности, из ароматических мета-диаминов, мета-аминофенолов, мета-дифенолов и определенных гетероциклических соединений. Разнообразие соединений, используемых в качестве оксидационных оснований и краскообразующих компонент, позволяет получать широкий спектр цветов. Так называемое перманентное окрашивание, получаемое при помощи этих оксидационных красителей, должно, кроме того, отвечать определенному ряду требований. Так, оно должно быть безопасным с точки зрения токсикологии, с его помощью должно быть возможным получать оттенки желаемой интенсивности, и оно должно быть способно выдерживать воздействие внешних факторов (свет, плохая погода, мытье, перманентная завивка, потение, трение). Красители также должны быть способны покрывать седые волосы и, наконец, они должны быть не избирательными, насколько это возможно, т. е. они должны давать наименьшие возможные различия в цвете на протяжении одной и той же длины кератиновых волокон, которые фактически могут быть в различной степени сенсибилизированы (т. е. повреждены) между их корнями и их кончиками. Окислительное окрашивание кератиновых волокон обычно проводится в щелочной среде в присутствии перекиси водорода. Однако использование щелочной среды в присутствии перекиси водорода имеет тот недостаток, что оно вызывает заметную деструкцию волокон, а также значительное отбеливание кератиновых волокон, которое не всегда является желательным. Окислительное окрашивание кератиновых волокон может также проводиться с использованием иных, чем перекись водорода, окисляющих систем, таких как ферментные системы. Так, уже было предложено, в частности, в заявке на патент ЕР-А-0310675 окрашивать кератиновые волокна при помощи композиций, содержащих предшественник оксидационного красителя в сочетании с такими ферментами, как пиранозооксидаза, глюкозооксидаза или уриказа, в присутствии донора для указанных ферментов. Хотя эти окрашивающие составы используются в условиях, которые не приводят к деструкции кератиновых волокон, сравнимой с деструкцией, которая вызывается красителями, используемыми в присутствии перекиси водорода, тем не менее, их применение приводит к окраске, которая все еще является недостаточной, как в том, что касается однородности распределения цвета вдоль волокна (“унисон”), так и в отношении цветности (яркости), окрашивающей способности и устойчивости к различным агрессивным факторам, воздействию которых могут подвергаться волосы. Известно, что наиболее общая методика для получения перманентного изменения формы волос состоит в раскрытии на первой стадии -S-S-дисульфидных (цистеиновых) связей в кератине с использованием композиции, содержащей подходящий восстановитель (стадия восстановления), с последующим после проведения ополаскивания обработанного таким образом волосяного покрова головы воссозданием на второй стадии указанных дисульфидных связей посредством нанесения на волосы, на которые было заранее оказано воздействие в виде механического натяжения (бигуди и тому подобное), окисляющей композиции (стадия окисления, известная так же как стадия фиксации), так чтобы окончательно придать волосам желательную форму. Таким образом, эта методика делает в равной степени возможным либо придавать волосам волнистость, либо выпрямлять их, либо удалять их завитки. Новая форма, приданная волосам при помощи химической обработки, такой, как описана выше, является чрезвычайно долговременной и, в частности, является устойчивой к воздействию мытьем водой или шампунями, в противоположность простым стандартным методикам для временного изменения формы, таким как укладка волос. Восстанавливающие композиции, которые могут использоваться для того, чтобы провести первую стадию операции перманентной завивки, обычно содержат в качестве восстановителей сульфиты, бисульфиты, алкилфосфины или предпочтительно тиолы. Из числа тиолов обычно используется цистеин и его различные производные, цистеамин и его производные, тиомолочная кислота или тиогликолевая кислота, их соли и сложные эфиры, в частности глицерилтиогликолят. Что касается окисляющей композиции, необходимой для проведения стадии фиксации, то на практике обычно применяются композиции на основе перекиси водорода, бромата натрия или солей перкислот, как, например, перборат натрия, в водной среде, которые имеют тот недостаток, что у них имеется вероятность нанести ущерб волосам. Проблема методики операций перманентной завивки, известной в настоящее время, состоит в том, что их применение к волосам вызывает долгосрочные неблагоприятные изменения качества волос. Существенными причинами этих неблагоприятных изменений качества волос являются снижение их косметических свойств, таких как их блеск и вызываемые ими осязательные ощущения, и ухудшение их механических свойств, более конкретно ухудшение их механической прочности вследствие разбухания кератиновых волокон в процессе ополаскивания между стадией восстановления и стадией окисления, которое может также сказываться в увеличении их пористости. Волосы ослабляются и становятся ломкими в процессе последующей обработки, например сушки феном. Та же проблема неблагоприятных изменений в кератиновых волокнах встречается и в процессах отбеливания волос. Известно, что перманентное изменение формы или отбеливание кератиновых волокон может также проводиться в более мягких условиях с использованием иных, чем перекись водорода, окисляющих систем, таких как системы на основе ферментов. Так, уже были предложены, в частности, в заявке на патент ЕР-А-0310675, способы перманентного изменения формы или отбеливания кератиновых волокон при помощи композиций, содержащих фермент, такой как пиранозооксидаза, глюкозооксидаза или уриказа, в присутствии донора для указанного фермента. Хотя указанные окисляющие составы используются в таких условиях, которые не приводят к деградации кератиновых волокон, сравнимой с деградацией, вызываемой стандартными способами перманентной завивки или отбеливания, тем не менее, применение этих окисляющих составов ведет к результатам, которые еще нельзя признать достаточными в том, что касается фиксации завивки, в том, что касается возможности сочетания перманентной завивки или отбеливания волос с последующими видами обработки, в том, что касается снижения механической прочности подвергнутых перманентной завивке волос, в частности, снижения пористости волос, и в том, что касается снижения косметических свойств, таких как вызываемые ими осязательные ощущения, или в альтернативном варианте в том, что касается однородности отбеливания вдоль кератиновых волокон. Цель настоящего изобретения состоит в том, чтобы решить упомянутые выше проблемы. Заявитель открыл, к своему удивлению, новые композиции, содержащие в качестве окисляющей системы, по меньшей мере, один фермент типа 2-электронной оксидоредуктазы в присутствии, по меньшей мере, одного донора указанного фермента и, по меньшей мере, одной неионной гуаровой смолы, которые могут образовывать совместно с предшественниками оксидационных красителей (оксидационными основаниями) и необязательно краскообразующими компонентами готовые к употреблению окрашивающие составы, которые дают более однородные, более интенсивные и более хроматические расцветки без сколько-нибудь значительной деградации обрабатываемых волокон, причем эти расцветки являются относительно неизбирательными и проявляют хорошую устойчивость к различным агрессивным факторам, воздействию которых могут подвергаться волосы. Заявитель также неожиданно установил, что применение в процессе перманентного изменения формы кератиновых волокон окисляющих композиций, содержащих в качестве окисляющей системы, по меньшей мере, один фермент типа 2-электронной оксидоредуктазы в присутствии, по меньшей мере, одного донора указанного фермента и по меньшей мере, одной неионной гуаровой смолы, делает возможным решение упомянутых выше технических проблем. В частности, этот тип окисляющей композиции увеличивает степень сохранения завивки с течением времени, существенно снижает пористость подвергнутых перманентной завивке волос и улучшает совместимость перманентной завивки волос с последующими видами их обработки. Заявитель, к своему удивлению, установил также, что применение в процессе отбеливания кератиновых волокон окисляющей композиции, содержащей, в качестве окисляющей системы, по меньшей мере, один фермент типа 2-электронной оксидоредуктазы в присутствии, по меньшей мере, одного донора для указанного фермента и, по меньшей мере, одной неионной гуаровой смолы делает возможным решение упомянутых выше технических проблем, в частности позволяет улучшить совместимость отбеливания волос с последующими видами их обработки. Этот тип окисляющей композиции обеспечивает более однородное отбеливающее воздействие на волосы и улучшает их косметические свойства, такие как вызываемые ими осязательные ощущения. Указанные открытия образуют основу настоящего изобретения. Таким образом, целью настоящего изобретения является, во-первых, косметическая и/или дерматологическая композиция, предназначенная для обработки кератиновых волокон, в частности кератиновых волокон человека и более конкретно волос человека, которая содержит в подходящем для кератиновых волокон носителе: (а) по меньшей мере, один фермент типа 2-электронной оксидоредуктазы в присутствии, по меньшей мере, одного донора для указанного фермента, (б) по меньшей мере, одну неионную гуаровую смолу типа гуммиарабика. 2-электронная оксидоредуктаза(-ы), используемая(-ые) в окислительных композициях согласно настоящему изобретению, может быть выбрана, в частности, из числа пиранозооксидаз, глюкозооксидаз, глицеролоксидаз, лактатоксидаз, пируватоксидаз и уриказ. В соответствии с настоящим изобретением 2-электронная оксидоредуктаза предпочтительно выбирается из уриказ животного, микробиологического или биотехнологического происхождения. В качестве примера можно привести уриказу, экстрагированную из печени кабана, уриказу из Arthrobacter globiformis, а также уриказу из Aspergillus fiavus. 2-электронная оксидоредуктаза(-ы) может(могут) использоваться в чистой кристаллической форме или в разбавленной форме – в разбавителе, который является инертным по отношению к указанной 2-электронной оксидоредуктазе. 2-электронная оксидоредуктаза(-ы) согласно настоящему изобретению предпочтительно составляет(-ют) приблизительно от 0,01 до 20% по массе по отношению к общей массе композиции, и еще предпочтительнее приблизительно от 0,1 до 5% по массе по отношению к общей массе композиции. Согласно настоящему изобретению, подразумевается, что термин “донор” обозначает различные субстраты, также необходимые для функционирования указанной 2-электронной оксидоредуктазы(-аз). Природа донора (или субстрата) для указанного фермента изменяется в зависимости от природы используемой 2-электронной оксидоредуктазы. Например, в качестве доноров для пиранозооксидаз могут быть упомянуты D – глюкоза, L – сорбоза и D-ксилоза; в качестве донора для глюкозооксидаз может быть упомянута D – глюкоза; в качестве доноров для глицеролоксидаз могут быть упомянуты глицерин и дигидроксиацетон; в качестве доноров для лактатоксидаз могут быть упомянуты молочная кислота и ее соли; в качестве доноров для пируватоксидаз могут быть упомянуты пировиноградная кислота и ее соли; и наконец, в качестве доноров для уриказ могут быть упомянуты мочевая кислота и ее соли. Донор(-ы) (или субстрат(-ы)), используемые в соответствии с настоящим изобретением, предпочтительно составляют приблизительно от 0,01 до 20% по массе по отношению к общей массе композиции согласно настоящему изобретению, и еще предпочтительнее приблизительно от 0,1 до 5% по массе по отношению к общей массе композиции. Согласно настоящему изобретению, могут применяться немодифицированные или химически модифицированные неионные гуаровые смолы. Немодифицированные неионные гуммиарабики представляют собой, например, продукты, продаваемые под торговым названием Vidogum GH 175 компанией Unipectine и под торговым названием Jaguar С компанией Meyhall. Неионные гуаровые смолы, которые могут использоваться согласно настоящему изобретению, предпочтительно модифицируют при помощи гидроксиалкильных групп C1-C6. Среди гидроксиалкильных групп могут быть упомянуты, например, группы гидроксиметил, гидроксиэтил, гидроксипропил и гидроксибутил. Эти гуммиарабики хорошо известны в современной технике и могут быть получены, например, посредством взаимодействия соответствующих алкиленоксидов, таких как, например, пропиленоксиды, с гуаровой смолой, таким образом, чтобы получить гуаровую смолу, модифицированную гидроксипропильными группами. Степень гидроксиалкилирования, которая соответствует количеству молекул алкиленоксида, поглощенных в расчете на свободные гидроксильные функции, присутствующие в гуаровой смоле, предпочтительно изменяется в интервале от 0,4 до 1,2. Такие, неионные гуаровые смолы, дополнительно модифицированные гидроксиалкильными группами, продаются, например, под торговыми названиями Jaguar HP8, Jaguar HP60 и Jaguar HP120, Jaguar DC293 и Jaguar HP105 компанией Rhone-Poulenc (Meyhall) и под торговым названием Galactosal 4H4FD2 компанией Aqualon. Концентрация неионного гуммиарабика может изменяться приблизительно от 0,01 до 10% по массе по отношению к общей массе композиции, и предпочтительно приблизительно от 0,1 до 5%. Целью настоящего изобретения является также готовая к употреблению композиция для оксидационного окрашивания кератиновых волокон, и, в частности, кератиновых волокон человека, таких как волосы, такого типа, что в ней содержится в подходящей для процесса окрашивания среде, по меньшей мере, одно оксидационное основание и там, где это целесообразно, одно или несколько краскообразующих веществ, которая характеризуется тем, что она содержит: (а) по меньшей мере, один фермент типа 2-электронной оксидоредуктазы в присутствии, по меньшей мере, одного донора для указанного фермента, (б) по меньшей мере, одну неионную гуаровую смолу. Природа оксидационного основания(-ий), используемых в готовой к употреблению окрашивающей композиции, не является решающим фактором. Они могут, в частности, выбираться из числа пара-фенилендиаминов, двойных оснований, пара-аминофенолов, орто-аминофенолов и гетероциклических оксидационных оснований. Среди пара-фенилендиаминов, которые могут использоваться в качестве оксидационных оснований в окрашивающих композициях согласно настоящему изобретению, могут быть упомянуты, в частности, соединения нижеприведенной формулы (I) и их кислотно-аддитивные соли. ![]() в которой R1 представляет собой атом водорода, С1-С4-алкильный радикал, С2-С4-моногидроксиалкильный радикал, С2-С4-полигидроксиалкильный радикал, (C1-C4)-алкокси-(C1-C4)-алкильный радикал, C1-C4-алкильный радикал, замещенный азотсодержащей группой, фенильным радикалом или 4′-аминофенильным радикалом; – R2 представляет собой атом водорода, С1-С4-алкильный радикал, С1-С4-моногидроксиалкильный радикал, С2-С4-полигидроксиалкильный радикал, (C1-C4)-алкокси(C1-C4)-алкильный радикал или С1-С4-алкильный радикал, замещенный азотсодержащей группой; – R3 представляет собой атом водорода, атом галогена, как, например, атом хлора, брома, йода или фтора, С1-С4-алкильный радикал, С1-С4-моногидроксиалкильный радикал, C1-C4-гидроксиалкоксильный радикал, ацетиламино-(C1-C4)-алкоксильный радикал, C1-C4-мезиламиноалкоксильный радикал или карбамоиламино-(C1-C4)-алкоксильный радикал; – R4 представляет собой атом водорода или галогена, или же С1-C4-алкильный радикал. Среди азотсодержащих групп в вышеуказанной формуле (I) могут быть упомянуты, в частности, группы амино, моно(C1-C4)-алкиламино, ди(C1-C4)-алкиламино, три(C1-C4)-алкиламино, моногидрокси(C1-C4)-алкиламино, радикалы имидазолиний и аммоний. Среди пара-фенилендиаминов вышеуказанной формулы (I) более конкретно могут быть упомянуты пара-фенилендиамин, пара-толуилендиамин, 2-хлор-пара-фенилендиамин, 2,3-диметил-пара-фенилендиамин, 2,6-диметил-пара-фенилендиамин, 2,6-диэтил-пара-фенилендиамин, 2,5-диметил-пара-фенилендиамин, N, N-диметил-пара-фенилендиамин, N, N-диэтил-пара-фенилендиамин, N, N-дипропил-пара-фенилендиамин, 4-амино-N, N-диэтил-3-метил-анилин, N, N-бис(( -гидроксиэтил)-пара-фенилендиамин, 4-амино-N, N-бис(( -гидроксиэтил)-2-метиланилин, 4-амино-2-хлор-N, N-бис(( -гидроксиэтил)анилин, 2- -гидрокси-этил-пара-фенилендиамин, 2-фтор-пара-фенилендиамин, 2-изопропил-пара-фенилендиамин, N-(-( -гидроксипропил)-пара-фенилендиамин, 2-гидроксиметил-пара-фенилендиамин, N, N-диметил-3-метил-пара-фенилендиамин, N, N-(этил– -гидрокси-этил)-пара-фенилендиамин, N-(-( , -дигидроксипропил)-пара-фенилеидиамин, N-(4′-аминофенил)-пара-фенилендиамин, N-фенил-пара-фенилендиамин, 2- -гидроксиэтилокси-пара-фенилендиамин, 2– -ацетиламиноэтилокси-пара-фенилендиамин и N-(-( -метоксиэтил)-пара-фенилендиамин, а также их кислотно-аддитивные соли.
Среди пара-фенилендиаминов вышеуказанной формулы (I) наиболее предпочтительными являются пара-фенилендиамин, пара-толуилендиамин, 2-изопропил-пара-фенилендиамин, 2- -гидроксиэтил-пара-фенилендиамин, 2- -гидроксиэтилокси-пара-фенилендиамин, 2,6-диметил-пара-фенилендиамин, 2,6-диэтил-пара-фенилендиамин, 2,3-диметил-пара-фенилендиамин, N, N-бис(( -гидроксиэтил)-пара-фенилендиамин, 2-хлор-пара-фенилен-диамин и 2- -ацетиламиноэтилокси-пара-фенилендиамин, а также их килотно-аддитивные соли.
В соответствии с настоящим изобретением подразумевается, что термин “двойные основания” обозначает соединения, содержащие, по меньшей мере, два ароматических кольца, несущих аминогруппы и/или гидроксильные группы.
Среди двойных оснований, которые могут использоваться в качестве оксидационных оснований в окрашивающих композициях согласно настоящему изобретению, могут быть упомянуты, в частности, соединения, соответствующие нижеприведенной формуле (II) и их кислотно-аддитивные соли.
![]() в которой Z1 и Z2, которые могут быть одинаковыми или различными, представляют собой гидроксил или радикал -NH2, который может быть замещен С1-С4-алкильным радикалом или связывающей цепью Y; – связывающая цепь Y представляет собой линейную или разветвленную алкиленовую цепь, содержащую от 1 до 14 атомов углерода, которая может прерываться или завершаться одной или несколькими азотсодержащими группами и/или одним или несколькими гетероатомами, такими как атомы кислорода, серы или азота и необязательно быть замещенной одним или несколькими гидроксильными или С1-С4-алкоксильными радикалами; – R5 и R6 представляют собой атом водорода или галогена, С1-С4-алкильный радикал, С1-С4-моногидроксиалкилькый радикал, С1-С4-полигидроксиалкильный радикал, С1-С4-аминоалкильный радикал или связывающую цепь Y; – R7, R8, Р9, R10, R11 и R12, которые могут быть одинаковыми или различными, представляют собой атом водорода, связывающую цепь Y или С1-С4-алкильный радикал; причем подразумевается, что соединения формулы (II) содержат лишь по одной связывающей цепи Y в каждой молекуле. Среди азотсодержащих групп в вышеуказанной формуле (II) могут быть упомянуты, в частности, группы амино, моно-(C1-С4)-алкиламино, ди(C1-C4)-алкиламино, три-(С1-С4)-алкиламино, моно-гидрокси(C1-C4)-алкиламино, радикалы имидазолиний и аммоний. В числе двойных оснований вышеуказанной формулы (II) могут быть более конкретно упомянуты N, N’-бис(( -гидроксиэтил)-N, N’бис(4′-аминофенил)-1,3-диаминопропанол, N, N’-бис(( -гидроксиэтил)-N, N’-бис (4′-аминофенил)этилендиамин, N, N’-бис(4-аминофенил)тетраметилендиамин, N, N’-бис(( -гидроксиэтил)-N, N’-бис(4-аминофенил)тетраметилендиамин, N, N’-бис(4-метиламинофенил)-тетраметилендиамин, N, N’-бис(этил)-N, N’-бис(4′-амино-3′-метилфенил)этилендиамин и 1,8-бис(2,5-диаминофенокси)-3,5-диоксаоктан, а также их кислотно-аддитивные соли.
Среди эти двойных оснований формулы (II) особенно предпочтительными являются N, N’-бис(( -гидроксиэтил)-N, N’-бис(4′-аминофенил)-1,3-диаминопропанол и 1,8-бис(2,5-диаминофенокси)-3,5-диоксаоктан, или одна из их кислотно-аддитивных солей.
В числе пара-аминофенолов, которые могут использоваться в качестве оксидационных оснований в окрашивающих композициях согласно настоящему изобретению, могут быть упомянуты, в частности, соединения, соответствующие нижеприведенной формуле (III) их кислотно-аддитивные соли: .
![]() в которой R13 представляет собой атом водорода или галогена либо С1-С4-алкильный, С1-С4-моногидроксиалкильный, (C1-C4)-алкокси-(C1-C4)-алкильный, С1-С4-аминоалкильный или гидрокси(C1-C4)алкиламино-(C1-C4)-алкильный радикал, – R14 представляет собой атом водорода или галогена либо C1-С4-алкильный, С1-С4-моногидроксиалкильный, С1-С4-полигидрокси-алкильный, С1-С4-аминоалкильный, С1-С4-цианоалкильный или (C1-C4)-алкокси-(C1-C4)-алкильный радикал, причем подразумевается, что, по меньшей мере, один из радикалов R13 и R14 представляет собой атом водорода. В числе пара-аминофенолов вышеуказанной формулы (III) могут быть более конкретно упомянуты пара-аминофенол, 4-амино-3-метилфенол, 4-амино-3-фторфенол, 4-амино-3-гидрокси-метилфенол, 4-амино-2-метилфенол, 4-амино-2-гидроксиметил-фенол, 4-амино-2-метоксиметилфенол, 4-амино-2-аминометилфенол, 4-амино-2-(-( -гидроксиэтиламинометил)фенол и 4-амино-2-фторфенол, а также их кислотно-аддитивные соли.
В числе орто-аминофенолов, которые могут использоваться в качестве оксидационных оснований в окрашивающих композициях согласно настоящему изобретению, более конкретно могут быть упомянуты 2-аминофенол, 2-амино-5-метилфенол, 2-амино-6-метилфенол и 5-ацетамидо-2-аминофенол, а также их кислотно-аддитивные соли.
В числе гетероциклических оснований, которые могут использоваться в качестве оксидационных оснований в окрашивающих композициях согласно настоящему изобретению, более конкретно могут быть упомянуты производные пиридина, производные пиримидина, производные пиразола и производные пиразолпиримидина, а также их кислотно-аддитивные соли.
В числе производных пиридина более конкретно могут быть упомянуты соединения, описанные, например, в патентах Великобритании 1026978 и 1153196, такие как 2,5-диаминопиридин, 2-(4-метоксифенил)амино-3-аминопиридин, 2,3-диамино-6-метоксипиридин, 2(-( –метоксиэтил)амино-3-амино-6-метоксипиридин и 3,4-диаминопиридин, а также их кислотно-аддитивные соли.
В числе производных пиримидина более конкретно могут быть упомянуты соединения, описанные, например, в патенте Германии 2359399, или в патенте Японии 88-169571, или в заявке на патент WO 96/15765, такие как 2,4,5,6-тетрааминопиримидин, 4-гидрокси-2,5,6-триаминопиримидин, 2-гидрокси-4,5,6-триаминопиримидин, 2,4-дигидрокси-5,6-диаминопиримидин и 2,5,6-триаминопиримидин, а также их кислотно-аддитивные соли.
В числе производных пиразола более конкретно могут быть упомянуты соединения, описанные, например, в патентах Германии 3843892 и 4133957 и в заявках на патент WO 94/08969, WO 94/08970, FR-A-2733749 и DE 195 43 988, такие как 4,5-диамино-1-метилпиразол, 3,4-диаминопиразол, 4,5-диамино-1-(4′-хлорбензил)пиразол, 4,5-диамино-1,3-диметил-пиразол, 4,5-диамино-3-метил-1-фенилпиразол, 4,5-диамино-1-метил-3-фенилпиразол, 4-амино-1,3-диметил-5-гидразинпиразол, 1-бензил-4,5-диамино-3-метилпиразол, 4,5-диамино-3-трет-бутил-1-метилпиразол, 4,5-диамино-1-трет-бутил-3-метил-пиразол, 4,5-диамино-1(( -гидроксиэтил)-3-метилпиразол, 4,5-диамино-1-этил-3-метилпиразол, 4,5-диамино-1-этил-3,4′-метоксифенил)-пиразол, 4,5-диамино-1-этил-3-гидроксиметил-пиразол, 4,5-диамино-3-гидроксиметил-1-метилпиразол, 4,5-лиамино-3-гидроксиметил-1-изопропилпиразол, 4,5-диамино-3-метил-1-изопропилпиразол, 4-амино-5-(2′-аминоэтил-амино-1,3-диметилпиразол, 3,4,5-триаминопиразол, 1-метил-3,4,5-триаминопиразол, 3,5-диамино-1-метил-4-метиламинопиразол и 3,5-диамино-4-(( -гидроксиэтил)-амино-1-метилпиразол, а также их кислотно-аддитивные соли.
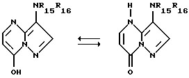
В числе производных пиразолпиримидина более конкретно могут быть упомянуты пиразоло[1,5-a] пиримидины нижеприведенной формулы (IV), а также их кислотно-аддитивные соли или щелочно-аддитивные соли и их таутомерные формы, в случае, когда существует таутомерное равновесие:![]() в которой R15, P16, R17 и R18, которые могут быть одинаковыми или различными, обозначают атом водорода, С1-С4-алкильный радикал, арильный радикал, С1-С4-гидроксиалкильный радикал, С2-С4-полигидроксиалкильный радикал, (C1-C4)-алкокси-(C1-C4)-алкильный радикал, С1-С4-аминоалкильный радикал (допускается, чтобы амин был защищен ацетильным, уреидо- или сульфонильным радикалом), (C1-C4)алкиламино-(C1-C4)-алкильный радикал, ди[(C1-C4)алкил] амино(С1-С4)-алкильный радикал (допускается, чтобы диалкильные радикалы образовывали 5- или 6-членный карбоцикл или гетероцикл), гидрокси (C1-C4) алкил или ди[гидрокси(C1-C4)алкил] амино-(C1-C4)-алкильный радикал; – радикалы X, которые могут быть одинаковыми или различными, обозначают атом водорода, С1-С4-алкильный радикал, арильный радикал, С1-С4-гидроксиалкильный радикал, С1-С4-полигидроксиалкильный радикал, C1-C4-аминоалкильный радикал, (C1-C4)алкиламино-(C1-C4)-алкильный радикал, ди[(C1-C4)алкил] амино(C1-C4)-алкильный радикал (допускается, чтобы диалкильные радикалы образовывали 5- или 6-членный карбоцикл или гетероцикл), гидрокси (C1-C4) алкил- или ди[гидрокси(C1-C4) алкил] амино-(C1-C4)-алкильный радикал, аминовый радикал, (C1-C4)-алкил- или ди[(C1-C4)алкил] аминовый радикал, атом галогена, группа карбоновой кислоты (карбоксильная группа) или группа сульфоновой кислоты (сульфоксильная группа); – i равняется 0, 1, 2 или 3; – p равняется 0 или 1; – q равняется 0 или 1; – n равняется 0 или 1; при условии, что: – сумма p+q не равняется 0; – когда p+q равняется 2, тогда n равняется 0, и группы NR15R16 и NR17R18 занимают положения (2, 3); (5, 6); (6, 7); (3, 5) или (3, 7); – когда p+q равняется 1, тогда n равняется 1, и группа NR15R16 (или NR17R18) и группа ОН занимают положения (2, 3); (5, 6); (6, 7); (3, 5) или (3,7). Когда пиразоло[1,5-a] пиримидины вышеприведенной формулы (IV) таковы, что они содержат гидроксильную группу в одном из положений 2, 5 или 7 отношению к атому азота, в этом случае существует таутомерное равновесие, представляемое, например, следующей схемой:![]() В числе пиразоло[1,5-a] пиримидинов вышеприведенной формулы (IV) могут быть упомянуты, в частности: – пиразоло[1,5-a] пиримидин-3,7-диамин; – 2,5-диметилпиразоло[1,5-a] пиримидин-3,7-диамин; – пиразоло[1,5-a] пиримидин-3,5-диамин; – 2,7-диметилпиразоло[1,5-a] пиримидин-3,5-диамин; – 3-аминопиразоло[1,5-a] пиримидин-7-ол; – 3-аминопиразоло[1,5-a] пиримидин-5-ол; – 2-(3-аминопиразоло[1,5-а] пиримидин-7-иламино)этанол; – 2-(7-аминопиразоло[1,5-а] пиримидин-3-иламино)этанол; – 2-[(3-аминопиразоло[1,5-а] пиримидин-7-ил)-(2-гидроксиэтил)-амино] этанол; – 2-[(7-аминопиразоло[1,5-а] пиримидин-3-ил)-(2-гидроксиэтил)-амино] этанол; – 5,6-диметилпиразоло[1,5-а] пиримидин-3,7-диамин; – 2,6-диметилпиразоло[1/5-а] пиримидин-3,7-диамин; – 2,5, N7, N7-тетраметилпиразоло[1,5-а] пиримидин-3,7-диамин; а также их кислотно-аддитивные соли и их таутомерные формы в том случае, когда существует таутомерное равновесие. Пиразоло[1,5-а] пиримидины вышеприведенной формулы (IV) могут быть получены посредством циклизации с использованием в качестве исходного вещества аминопиразола, согласно синтезам, описанным в следующих источниках: – Европейский патент ЕР 628559 Beiersdorf-Lilly. – R. Vishdu, H. Navedul, Indian J. Chem. , 34b (6), 514, 1995. – N. S. Ibrahim, K. U. Sadek, F. A. Abdel-Ai, Arch. Pharm. , 320, 240, 1987. – R. H. Springer, M. B. Scholten, D. E. O’Brien, T. Novinson, J. P. Miller, R. K. Robins, J. Med. Chem. , 25, 235, 1982. – Т. Novinson, R. K. Robins, T. R. Matthews, J. Med. Chem. , 20, 296, 1977. – Патент США 3907799 ICN Pharmaceuticals. Пиразоло[1,5-а] пиримидины вышеприведенной формулы (IV) могут быть также получены посредством циклизации с использованием в качестве исходного вещества гидразина, согласно синтезам, описанным в следующих источниках: – A. McKillop and R. J. Kobilecki, Heterocycles, 6(9), 1355, 1977. – E. Alcade, J. DeMendoza, J. M. Marcia-Marquina, C. Almera, J. Elguero, J. Heterocyclic Chem. , 11(3), 423, 1974. – К. Saito, I. Hori, M. Higarashi, H. Midorikawa, Bull. Chem. Soc. Japan, 47(2), 476, 1974. Оксидационное(-ые) основание(-я) согласно настоящему изобретению предпочтительно составляют приблизительно от 0,0005 до 12% по массе по отношению к общей массе готовой к употреблению окрашивающей композиции, и еще предпочтительнее приблизительно от 0,005 до 6% по массе по отношению к общей массе композиции. Краскообразующие вещества, которые могут быть использованы, представляют собой вещества, традиционно используемые в композициях с оксидационными красителями, т. е. мета-фенилендиамины, мета-аминофенолы и мета-дифенолы, моно- или полигидроксилированные производные нафталина, сезамол и его производные и гетероциклические соединения, такие как, например, производные индола, производные индолина, производные бензимидазола, производные бензоморфолина, производные сезамола, производные пиразолазола, производные пирролазола, производные имидазолазола, производные пиразолпиримидина, производные пиразолин-3,5-диона, производные пиррол[3,2-d] оксазола, производные пиразол[3,4-d] тиозала, производные S-оксида тиазолазола и производные S, S-диоксида тиазолазола, а также их кислотно-аддитивные соли. Эти краскообразующие вещества могут выбираться, в частности, из 2-метил-5-аминофенола, 5-N-( -[3-гидроксиэтил)амино-2-метилфенола, 3-аминофенола, 1,3-дигидроксибензола, 1,3-дигидрокси-2-метилбензола, 4-хлор-1,3-дигидроксибензола, 2,4-диамино-1-(-( -гидроксиэтилокси)бензола, 2-амино-4-( -гидроксиэтиламино)-1-метоксибензола, 1,3-диаминобензола, 1,3-бис(2,4-диаминофенокси)пропана, сезамола, ( -нафтола, 6-гидроксииндола, 4-гидроксииндола, 4-гидрокси-N-метилиндола, 6-гидроксииндолина, 2,6-дигидрокси-4-метилпиридина, 1Н-3-метилпиразол-5-она и 1-фенил-3-метилпиразол-5-она, и их кислотно-аддитивных солей.
В том случае, когда они присутствуют, эти краскообразующие вещества составляют приблизительно от 0,0001 до 10% по массе по отношению к общей массе готовой к употреблению композиции, и еще предпочтительнее приблизительно от 0,005 до 5% по массе по отношению к общей массе композиции.
В общем случае кислотно-аддитивные соли, которые могут использоваться применительно к окрашивающим композициям согласно настоящему изобретению (оксидационные основания и краскообразующие вещества), выбираются, в частности, из числа гидрохлоридов, гидробромидов, сульфатов, тартратов, лактатов и ацетатов.
Окрашивающая композиция согласно настоящему изобретению может также содержать в дополнение к оксидационным основаниям, определенным выше, и к сочетающимся с ними краскообразующим веществам (необязательно присутствующим), прямые красители с целью обогатить тона блеском (отливом). Эти прямые красители могут выбираться, в частности, из числа нитрокрасителей, азокрасителей и антрахиноновых красителей.
Целью настоящего изобретения является также способ окрашивания кератиновых волокон, и, в частности, кератиновых волокон человека, а именно волос, с использованием готовой к употреблению окрашивающей композиции, как описано выше.
Согласно этому способу, по меньшей мере, одну готовую к употреблению окрашивающую композицию, как описано выше, помещают на волокна, на такой период времени, который является достаточным для того, чтобы получить желаемую окраску, после чего волокна споласкивают, необязательно промывают шампунем, снова споласкивают и сушат.
Время, требуемое для того, чтобы получить окраску на кератиновых волокнах, обычно составляет от 3 до 60 мин и более точно от 5 до 40 мин.
В соответствии с первым конкретным вариантом осуществления изобретения, способ включает первую стадию, которая состоит в раздельном хранении, с одной стороны, композиции (А), содержащей в среде, которая является подходящей для окрашивания, по меньшей мере, одно оксидационное основание и необязательно по меньшей мере, одно краскообразующее вещество, как описано выше, и, с другой стороны, композиции (Б), содержащей в среде, которая является подходящей для окрашивания, по меньшей мере, один фермент типа 2-электронной оксидоредуктазы в присутствии, по меньшей мере, одного донора для указанного фермента и, по меньшей мере, одну неионную гуаровую смолу, содержащую, по меньшей мере, одну гидрофильную единицу и, по меньшей мере, одну насыщенную (алифатическую) цепь, а затем в смешении их вместе во время использования перед тем, как нанести эту смесь на кератиновые волокна.
В соответствии с другим конкретным вариантом осуществления изобретения неионная гуаровая смола включается в состав композиции (А).
Другой целью настоящего изобретения является многосекционное устройство или “набор” для окрашивания, или любая другая система многосекционной упаковки, первый отсек которой содержит композицию (А), как она определена выше, а ее второй отсек содержит композицию (Б), как она определена выше. Эти устройства могут быть оборудованы средствами для нанесения желаемой смеси на волосы, такими как устройства, описанные в патенте Франции 2586913, выданном на имя заявителя настоящего патента.
Целью настоящего изобретения является также новый способ обработки состоящих из кератина объектов, в частности, волос, с целью получить перманентное изменение формы указанных волос, в частности в виде перманентной завивки волос, причем указанный способ включает стадии: (i) восстанавливающую композицию наносят на состоящий из кератина объект, который нужно обработать, причем состоящий из кератина объект подвергают механическому натяжению до, в ходе или после указанного нанесения, (ii) состоящий из кератина объект необязательно ополаскивают, (iii) на необязательно ополоснутый состоящий из кератина объект наносят окисляющую композицию, описанную выше, (iv) состоящий из кератина объект снова необязательно ополаскивают.
Первая стадия (i) этого способа состоит в нанесении восстанавливающей композиции на волосы. Это нанесение проводится последовательно прядь за прядью или на все волосы сразу.
Восстанавливающая композиция содержит, например, по меньшей мере, один восстановитель, который может быть выбран, в частности, из тиогликолевой кислоты, цистеина, цистеамина, глицерилтиогликолята, тиомолочной кислоты или солей тиомолочной либо тиогликолевой кислоты.
Общепринятая стадия помещения волос в условия механического натяжения в форме, соответствующей желаемой конечной форме для этих волос (например, локоны), может проводиться при помощи любых подходящих средств, в частности механических средств, которые сами по себе известны как средства для сохранения волос в условиях натяжения, таких как, например, различные виды бигуди и тому подобное.
Форма волосам также может быть придана без помощи внешних средств, просто при помощи пальцев.
Перед проведением следующей, необязательной стадии ополаскивания (ii) волосы, на которые была нанесена восстанавливающая композиция, следует, как правило, оставить на некоторое время, обычно от 5 минут до одного часа, предпочтительно от 10 до 30 минут, так чтобы дать восстановителю достаточно времени для того, чтобы произвести должное воздействие на волосы. Эта стадия ожидания предпочтительно происходит при температуре от 35 до 45oС, причем является также предпочтительным защитить волосы при помощи капюшона (чепца).
На необязательной второй стадии способа (стадия (ii)) волосы, пропитанные восстанавливающей композицией, затем тщательно ополаскиваются при помощи композиции на водной основе.
Затем, на третьей стадии (стадия (iii)) на ополоснутые таким образом волосы наносят окисляющую композицию согласно настоящему изобретению с целью фиксации новой формы, приданной волосам.
Как и при нанесении восстанавливающей композиции, волосы, на которые была нанесена окисляющая композиция, затем, как правило, оставляют на период выдерживания или ожидания продолжительностью в несколько минут, обычно от 3 до 30 мин, предпочтительно от 5 до 15 мин.
Если волосы поддерживали в условиях натяжения при помощи внешних средств, эти средства (различные виды бигуди и т. п. ) могут быть удалены из волос до или после стадии фиксации.
Наконец, на последней стадии способа согласно настоящему изобретению (стадия (iv)), которая также является необязательной, волосы, пропитанные окисляющей композицией, тщательно ополаскивают, обычно водой.
В конечном счете получаются волосы, которые являются мягкими и которые легко разделять на пряди. Эти волосы являются волнистыми (вьющимися).
Окислительная композиция согласно настоящему изобретению может также использоваться в способе отбеливания кератиновых волокон и, в частности, волос.
Процесс отбеливания согласно настоящему изобретению включает стадию нанесения окисляющей композиции в соответствии с настоящим изобретением на кератиновые волокна в присутствии или в отсутствии дополнительного окислителя. Как правило, второй стадией процесса отбеливания согласно настоящему изобретению является стадия ополаскивания кератиновых волокон.
Подходящая для кератиновых волокон среда (или носитель) для готовой к употреблению окрашивающей композиции и для окисляющих композиций, используемых для перманентного изменения формы или отбеливания кератиновых волокон, согласно настоящему изобретению, обычно состоит из воды или из смеси воды и, по меньшей мере, одного органического растворителя, для того чтобы растворить соединения, которые не были бы в достаточной степени растворимы в воде. В качестве примеров органических растворителей можно упомянуть, например, спирты C1-C4, такие как этанол и изопропанол; глицерин; гликоли и простые эфиры гликолей, такие как 2-бутоксиэтанол, пропиленгликоль, монометиловый эфир пропиленгликоля, моноэтиловый эфир и монометиловый эфир диэтиленгликоля, и ароматические спирты, такие как бензиловый спирт или феноксиэтанол, подобные им продукты и их смеси.
Растворители могут присутствовать в соотношениях предпочтительно приблизительно от 1 до 40% по массе по отношению к общей массе окрашивающей композиции, и еще предпочтительнее приблизительно от 5 до 30% по массе.
pН готовых к употреблению окрашивающих композиций и окисляющих композиций, используемых для перманентного изменения формы или отбеливания кератиновых волокон согласно настоящему изобретению, выбирают таким образом, чтобы ферментативная активность 2-электронной оксиредуктазы не подвергалась неблагоприятному воздействию. Обычно pН составляет приблизительно от 5 до 11, и предпочтительно приблизительно от 6,5 до 10. pН может быть доведен до желаемого значения с использованием подкисляющих или подщелачивающих агентов, обычно используемых при окрашивании кератиновых волокон.
В числе подкисляющих агентов могут быть упомянуты в качестве примера неорганические и органические кислоты, такие как соляная кислота, ортофосфорная кислота, серная кислота, карбоновые кислоты, как, например, уксусная кислота, винная кислота, лимонная кислота или молочная кислота, и сульфоновые кислоты.
В числе подщелачивающих агентов могут быть упомянуты в качестве примера нашатырный спирт, карбонаты щелочных металлов, алканоламины, такие как моно- ди- и триэтаноламины, 2-метил-2-аминопропанол и его производные, гидроксид натрия, гидроксид калия и соединения нижеприведенной формулы (V):![]() в которой W представляет собой пропиленовый остаток, необязательно замещенный гидроксильной группой или C1-C4-алкильным радикалом; R13, R14, R15 и R16, которые могут быть одинаковыми или различными, обозначают атом водорода, или С1-С4-алкильный радикал, или С1-С4-гидроксиалкильный радикал. Готовые к употреблению окрашивающие композиции и окисляющие композиции для перманентного изменения формы или отбеливания кератиновых волокон согласно настоящему изобретению могут также содержать различные адъюванты, традиционно используемые в композициях для окрашивания, перманентного изменения формы или отбеливания волос, такие как анионогенные, катионогенные, неионогенные, амфотерные или цвиттерионные поверхностно-активные вещества либо их смеси, анионные, катионные, неионные, амфотерные или цвиттерионные полимеры либо их смеси, неорганические или органические загустители, антиоксиданты, ферменты, не являющиеся 2-электронными оксиредуктазами, используемыми в соответствии с настоящим изобретением, такие как, например, пероксидазы, смачиватели, разделяющие агенты, ароматические вещества, буферирующие агенты, диспергаторы, кондиционеры (средства ухода), такие как, например, силиконы, пленкообразующие агенты, консерванты и глушители (вещества, делающие материал непрозрачным). Несомненно квалифицированный специалист сможет выбрать такое необязательное дополнительное соединение или эти соединения таким образом, чтобы намеченная добавка или добавки не оказала или не оказали в существенной степени неблагоприятного воздействия на полезные свойства, присущие композициям согласно настоящему изобретению. Готовые к употреблению окрашивающие композиции и окисляющие композиции для перманентного изменения формы или отбеливания кератиновых волокон согласно настоящему изобретению могут находиться в различных формах, как, например, в форме жидкостей, кремов или гелей, которые необязательно находятся под повышенным давлением или в любой другой форме, которая является подходящей для окрашивания, перманентного изменения формы или отбеливания кератиновых волокон и, в частности, волос человека. В случае готовой к употреблению композиции оксидационный краситель(-ли) и 2-электронная оксиредуктаза(-ы) присутствуют в указанной композиции, из которой должен быть удален газообразный кислород, так чтобы избежать любого преждевременного окисления оксидационного красителя(-лей). Далее будут даны конкретные примеры, иллюстрирующие изобретение. В предшествующем и последующем тексте процентные доли выражаются на основе массовых отношений, если специально не указано иначе. Следующие примеры иллюстрируют изобретение, не являясь по своей природе ограничивающими. ПРИМЕР 1: Окрашивающая композиция Была приготовлена следующая готовая к употреблению окрашивающая композиция (содержание в граммах): Уриказа из Arthrobacter giobiformis в концентрации 20 международных единиц (м. е. )/мг, продукт компании Sigma – 1,5 г Мочевая кислота – 1,5 г (С6-С10)-алкилполиглюкозид в виде водного раствора, содержащего 60% активного вещества, выпускаемый под торговым названием Oramix CG110 компанией SEPPIC – 8,0 г Пара-фенилендиамин – 0,324 г Резорцин – 0,32 г Гидроксипропиловый гуммиарабик, выпускаемый под торговым названием Jaguar HP 60 компанией Mayhall – 1,6 г Этанол – 20,0 г Моноэтаноламин – до pН 9,5 Деминерализованная вода, до – 100 г Эту готовую к употреблению композицию наносили на 30 мин на пряди волос естественного пепельного цвета, содержащих 90% седых волос. Затем волосы ополаскивали, промывали стандартным шампунем и затем сушили. Были получены пряди волос, окрашенные в матовый цвет “темный блондин”. ПРИМЕР 2: Окисляющая композиция для перманентной завивки или отбеливания Уриказа из Arthrobacter globiformis в концентрации 20 международных единиц (м. е. )/мг, продукт компании Sigma – 1,8 г Мочевая кислота – 1,65 г Этанол – 20,0 г (С8-С10)-алкилполиглюкозид в виде водного раствора, содержащего 60% активного вещества, выпускаемый под торговым названием Oramix CG110 компанией SEPPIC – 8,0 г Гидроксипропиловый гуммиарабик, выпускаемый под торговым названием Jaguar HP 60 компанией Mayhall – 0,25 г 2-Метил-2-амино-1-пропанол – до pН 9,5 Деминерализованная вода, до – 100 г Формула изобретения
MM4A Досрочное прекращение действия патента Российской Федерации на изобретение из-за неуплаты в установленный срок пошлины за поддержание патента в силе
Дата прекращения действия патента: 23.09.2004
Извещение опубликовано: 20.02.2006 БИ: 05/2006
|
||||||||||||||||||||||||||


-гидроксиэтил)-пара-фенилендиамин, 4-амино-N, N-бис((
-дигидроксипропил)-пара-фенилеидиамин, N-(4′-аминофенил)-пара-фенилендиамин, N-фенил-пара-фенилендиамин, 2-


отношению к атому азота, в этом случае существует таутомерное равновесие, представляемое, например, следующей схемой:
