Патент на изобретение №2179379
|
||||||||||||||||||||||||||
(54) ИНФЛЕКТОР
(57) Реферат: Изобретение относится к инфлекторам для систем аксиальной инжекции для циклотронов, к классу инфлекторов, в которых осевая частица пучка движется по электрической эквипотенциальной поверхности, и может использоваться в циклотронной технике. Форма поверхностей электродов такова, что создаваемое между ними электрическое поле заставляет осевую частицу пучка двигаться по плоской кривой. Пытающаяся закрутить траекторию магнитная сила Лоренца уравновешивается противоположно направленной составляющей электрической силы. Форма электродов и электрического потенциала в инфлекторе описываются несложными точными аналитическими выражениями. Форма осевой траектории – дуга окружности, лежащей в вертикальной плоскости. Технический результат – упрощение изготовления конструкции инфлектора. 3 ил. Изобретение относится к циклотронам, конкретно – к инфлекторам для систем аксиальной инжекции циклотронов, и может использоваться в физике и технике ускорителей заряженных частиц. Известны инфлекторы для системы аксиальной инжекции циклотрона – устройства, служащие для отклонения инжектируемого вертикально извне ионного пучка в горизонтальную медианную плоскость циклотрона. Инфлектор включает в себя пару электродов определенной формы. При подаче на электроды постоянного напряжения между ними создается электрическое поле, поворачивающее входящий в инфлектор пучок на 90o. Среди прочих, известны инфлекторы, в которых отклоняемая частица движется без изменения своей энергии (движется по электрической эквипотенциальной поверхности). Такие инфлекторы обладают рядом принципиальных достоинств: могут работать при сравнительно низких напряжениях на электродах, имеют хорошую оптику, продолжительное время жизни на пучке. Задачей изобретения является создание инфлекторов с движением частицы по эквипотенциальной поверхности, который должен быть проще уже известных вариантов, ввиду следующих характерных его особенностей: осевая траектория для частиц пучка в заявляемом инфлекторе представляет собой простую плоскую кривую – дугу окружности, лежащей в вертикальной плоскости; распределение электрического потенциала в заявляемом инфлекторе, обеспечивающее данное движение (и с ним форма электродов), описывается несложным точным аналитическим выражением. Технический результат достигается за счет того, что поверхности электродов инфлектора строятся как эквипотенциальные поверхности для потенциала) вида ![]() где x, y, z, – координаты правой декартовой системы координат, ориентированной осью у параллельно вектору магнитного поля, u = x2 + y2, Вy – y-проекция вектора магнитного поля, R0 – постоянная с размерностью координаты, v – абсолютная величина скорости инжекции, q – заряд, m – масса частицы, С – произвольно задаваемая постоянная. В электрическом поле, соответствующем потенциалу (1), возникающем между электродами при подаче на них соответствующей разности потенциалов, частица, вошедшая в инфлектор при начальных условиях y= z= 0, x= R0, (dx/dt)t=0= (dz/dt)t=o= 0, (dy/dt)t=0= v (t – время), будет двигаться по дуге окружности радиуса 0, лежащей в вертикальной плоскости, с постоянной скоростью v. При этом траектория будет целиком лежать на одной из эквипотенциальных поверхностей. Плоское движения частицы в данном поле есть результат точной компенсации магнитной силы Лоренца, пытающейся закрутить траекторию, противоположно направленной составляющей электрических сил. Сказанное поясняется чертежами. На фиг. 1 показаны геометрия электродов инфлектора и осевая траектория пучка (магнитное поле направлено вверх, магнитная сила Лоренца – влево). На фиг. 2 показаны, используемая при расчетах, ориентация системы координат, осевая траектория и направление вектора магнитного поля. Далее на фиг. 3, для рассматриваемого ниже примера инфлектора, рассчитанного для конкретных условий, показано одно из возможных положений инфлектора в центральной области циклотрона. На чертежах: 1-2 – осевая траектория, 3 – электроды инфлектора, 4 – контур инфлектора в медианной плоскости, 5 – проекция на медианную плоскость точки входа пучка в инфлектор, 6 – траектория пучка в центральной области, 7 – середина ускоряющего промежутка, 8 – геометрический центр циклотрона. В соответствии с изображенным на фиг. 1,2, частица входит в инфлектор в точке 1, движется по дуге окружности в плоскости x-y и выходит из инфлектора в точке 2, изменив направление движения на 90o. Легко понять, что, для такого движения, магнитная сила Лоренца, которая действует только вдоль оси z, должна, в каждой точке траектории, уравновешиваться противоположно направленной составляющей электрических сил. Докажем сделанные выше утверждения. Будем отыскивать форму потенциала при которой осевая частица в инфлекторе будет двигаться вышеописанным образом. Прежде, по известному движению, найдем силы на осевой траектории. Закон движения осевой частицы имеет вид ![]() ![]() Сумма всех сил действующих на частицу при данном движении:![]() ![]() где x0, y0, z0 – координаты осевой траектории, m – масса частицы. Проекция действующей на частицу магнитной силы Fm, на плоскость xy равна нулю, поэтому две первых строчки в системе (1) – есть выражения для проекций только электростатических сил:![]() ![]() где – электрический потенциал, q – заряд частицы.
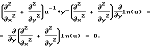
Проекция вектора на ось Z отлична от нуля, поэтому![]() Вектор электрического поля, найденный на осевой траектории, остается все время перпендикулярным к вектору скорости – это можно проверить, взяв скалярное произведение. Перпендикулярность вектора электрического поля к вектору скорости означает, что частица движется по эквипотенциальной поверхности. Нахождение электрического потенциала (какого нибудь одного из всех возможных, решающих задачу), сводится теперь к отысканию функции (x,y,z), удовлетворяющей во всем пространстве уравнению Лапласа и, одновременно, обеспечивающей электрическое поле на осевой траектории, найденное выше, то есть такой, что![]() и одновременное ![]() ![]() ![]() Покажем, что функция, определенная выражением (1), удовлетворяет необходимым условиям. Функция ln(u) удовлетворяет уравнению Лапласа (показывается элементарной проверкой). Для второго слагаемого – дважды дифференцирование по z обращает его в нуль, далее: ![]() поэтому ![]() Для электрических сил в плоскости z= 0 имеем ![]() ![]() ![]() После подстановки x = x0, y = y0, с учетом x0 2 + y0 2 = R0 2, получаем то, что требовалось доказать. Заданный потенциал однозначно, в соответствии с уравнениями = const, задает все свои эквипотенциальные поверхности, любая пара которых, охватывающая осевую траекторию, может быть выбрана за поверхности электродов инфлектора. Произвольная постоянная С в выражении (1) определяется из соображений удобства.
Ниже приводятся некоторые параметры инфлектора, рассчитанного для конкретных условий. Рассматриваемые условия: циклотрон с одним 180-градусным дуантом, сорт инжектируемых ионов – Ar1+ (A/Z= 10), магнитное поле в центре – 1.5 Т, потенциал инжекции – 15 кВ, напряжение на дуанте – 60 кВ.
При построении поверхностей электродов, постоянная C определялась так, чтобы осевая траектория лежала на поверхности = 0, для чего следует положить:![]() Поверхности электродов инфлектора задавались уравнениями = U/2, (3)где U – напряжение на электродах. Значение U было выбрано 8 кВ, радиус траектории частицы в инфлекторе, определяющий его размеры, – R0 = 5.6 см. При задании величины напряжения на инфлекторе и радиуса R0, расстояние между электродами однозначно задается уравнениями (3). На входе в инфлектор оно получается равным 1.4 см, на выходе ~ 1 см. Чтобы обеспечить хорошую сходимость центров орбит к центру циклотрона, частица, по расчетам, должна пересечь ускоряющий промежуток при первом ускорении на расстоянии от центра x1 = 6.7 см. Эта задача может быть легко решена при различных положениях инфлектора, при этом инфлектор обходится пучком на первом обороте. Одно из решений показано на фиг. 4. Заявляемый инфлектор может, в ряде случаев, оказаться предпочтительнее традиционных спирального и гиперболического инфлекторов, так как, элементарная форма осевой траектории, вместе с несложными точными аналитическими выражениями для потенциала и для поверхностей электродов, делают заявляемое устройство, в оптимизации его конструкции и его позиции в циклотроне, в расчете, в изготовлении – в совокупности, более простым. Формула изобретения
![]() где – символ для пространственного распределения потенциала;х, у, z – координаты правой декартовой системы координат, ориентированной осью y параллельно вектору магнитного поля циклотрона; u= х2+y2; Ву – y – проекция вектора магнитного поля; R0 – параметр с размерностью координаты; v – абсолютная величина скорости иона; q – заряд; m – масса иона; С – постоянная. РИСУНКИ
MM4A Досрочное прекращение действия патента Российской Федерации на изобретение из-за неуплаты в установленный срок пошлины за поддержание патента в силе
Дата прекращения действия патента: 13.07.2002
Номер и год публикации бюллетеня: 13-2004
Извещение опубликовано: 10.05.2004
|
||||||||||||||||||||||||||




действующих на частицу при данном движении:

Fm, на плоскость xy равна нулю, поэтому две первых строчки в системе (1) – есть выражения для проекций только электростатических сил:

– электрический потенциал, q – заряд частицы.
Проекция вектора
на ось Z отлична от нуля, поэтому










U/2, (3)