Патент на изобретение №2179305
|
||||||||||||||||||||||||||
(54) СПОСОБ ИСКЛЮЧЕНИЯ ВЛИЯНИЯ ОТРАЖЕННЫХ УЛЬТРАЗВУКОВЫХ ИМПУЛЬСОВ В ЧАСТОТНО-ИМПУЛЬСНОМ РАСХОДОМЕРЕ
(57) Реферат: Изобретение относится к измерительной технике и предназначено для использования при необходимости повышения точности измерения расхода жидких и газообразных веществ, транспортируемых по трубопроводам. В вычислительном устройстве расходомера программным путем формируют цифровой код, соответствующий задержке сигнала в схеме расходомера, который затем вычитают из цифровых кодов, соответствующих длительностям зондирования потока ультразвуковыми импульсами в двух противоположных направлениях. При этом результат измерения расхода оказывается соответствующим случаю, когда задержка рабочего сигнала в схеме расходомера отсутствует. Изобретение позволяет с помощью электрической линии задержки устранить влияние паразитных сигналов, вызываемых отражением ультразвука от границы раздела измеряемой среды и поверхности пьезопреобразователя, но в то же время избежать появления зависимости результата измерения расхода от скорости звука. Предлагаемое изобретение относится к области измерительной техники и предназначено для повышения точности измерения расхода жидких и газообразных веществ, транспортируемых по трубопроводам. В известных ультразвуковых расходомерах одним из существенных источников погрешности измерения являются паразитные сигналы, вызываемые отражением ультразвука от границы между измеряемой средой и пьезопреобразователем (см. Кремлевский П. П. Расходомеры и счетчики количества. Л. , “Машиностроение”, 1989 г. , с. 468). В результате сложения в приемном пьезопреобразователе рабочего и отраженного сигналов происходит искажение формы рабочего сигнала, что приводит к появлению дополнительной погрешности. Для устранения влияния отраженных импульсов используются различные способы. Известен способ, заключающийся в покрытии активной поверхности пьезопреобразователя звукопоглощающим материалом, например фторопластом (см. Филатов В. И. Реверберация в ультразвуковом расходомере. В сб. : “Материалы научно-технической конференции 17-18 марта 1992 г. “Ленинградский Дом научно-технической пропаганды, общество “Знание”, СПб, 1992 г. ). Ближайшим аналогом предлагаемого изобретения является способ исключения влияния паразитных отражений в акустических каналах частотно-импульсных ультразвуковых расходомеров по авторскому свидетельству N 157807, G 01 F; 42e (Бюллетень изобретений и товарных знаков, 1963 г. , N 19), заключающийся в формировании с помощью линии задержки искусственного сдвига рабочего сигнала относительно отраженного сигнала. Это позволяет избежать наложения отраженного сигнала на рабочий сигнал. Однако введение в электросхему расходомера линии задержки приводит к значительному увеличению времени прохождения сигнала через электрическую схему прибора, а в связи с этим к потере существенного преимущества частотно-импульсных расходомеров, заключающегося в независимости (или очень слабой зависимости) показаний расходомера от скорости звука, которая в свою очередь зависит от различных физических параметров измеряемой среды. Действительно, информативным параметром частотно-импульсного расходомера является разность ![]() где T1 и T2 – периоды излучения ультразвуковых импульсов по потоку (T2) и против него (T1) соответственно. Упрощенная статическая характеристика частотно-импульсного расходомера имеет вид ![]() где L – расстояние между пьезопреобразователями; C – скорость звука в измеряемой среде; V – скорость потока вещества, усредненная вдоль акустического луча; – угол излучения ультразвуковых импульсов;tз – время задержки сигнала в схеме расходомера. Естественная задержка сигнала в материале защитного слоя пьезопреобразователей, звукопроводах и электросхеме обычно невелика, и в ряде случаев ею можно пренебречь (Кремлевский П. П. Расходомеры и счетчики количества. Л. , “Машиностроение”, 1989, с. 456-457), и тогда статическая характеристика приобретает вид (Килсбейли А. Ш. и др. Частотно-временные ультразвуковые расходомеры и счетчики. М. : Машиностроение, 1984) ![]() то есть результат измерения оказывается практически не зависящим от скорости звука. Однако формирование с помощью линии задержки искусственного сдвига сигнала с целью устранения влияния отраженных импульсов приводит к существенному увеличению общей задержки t3 (при измерении расхода жидких веществ, например воды, помеха создается даже шестикратно отраженным паразитным сигналом – см. : Громов Г. В. и др. Помехоустойчивость и стабильность показаний одноканального частотно-импульсного ультразвукового расходомера. В сб. “Теоретические и экспериментальные исследования в области создания измерительных преобразователей расхода”. М. , 1984). Таким образом, введение искусственного сдвига сигнала неизбежно приведет к появлению существенной зависимости f, а следовательно, и результата измерения расхода от скорости звука.
Задачей предлагаемого изобретения является устранение влияния отраженных ультразвуковых импульсов на работу расходомера при одновременном сохранении практической независимости показаний расходомера от скорости звука.
Указанная задача достигается тем, что при реализации способа исключения влияния паразитных отражений путем формирования временного сдвига рабочего сигнала относительно отраженного сигнала посредством электрической линии задержки осуществляют операцию преобразования периодов излучения ультразвуковых импульсов T1 и T2 в цифровой код по алгоритму ni = Fс Ti (где Fс – частота счетных импульсов, i = 1, 2) и вводят операцию вычитания из полученного числа ni, программно введенного в вычислительное устройство числа компенсирующего суммарную задержку сигнала в схеме расходомера с линией задержки. Число где среднее суммарное время задержки сигнала в материале защитного слоя пьезопреобразователей, звукопроводах и в электросхеме, в том числе в линии задержки.
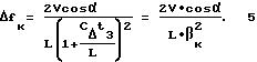
При отсутствии компенсации задержки вычислительное устройство расходомера вычисляет параметр![]() При введении в программу вычислительного устройства подпрограммы компенсации задержки вычисляемый параметр ![]() где tз – задержка сигнала в схеме конкретного образца, t3 – абсолютная погрешность компенсации задержки сигнала.
При c>>v аналогично (2),![]() Согласно yp. (2) – (5) параметр Fк отличается от F тем, что его вычисленное значение соответствует тому случаю, когда задержка сигнала равна не tз, а .
Так как ,то величиной t3 можно пренебречь, и тогда с учетом ур. (4)![]() ,то есть результат измерения оказывается не зависящим (или слабо зависящим) от скорости звука. Предлагаемый способ использован в опытных образцах ультразвукового датчика расходомера газа, успешно прошедших в 1996 г. государственные испытания с целью утверждения типа расходомера. Для трех изготовленных образцов датчика t3 = 0,3 мкс, L = 0,141 м. Температура газа в трубопроводе может меняться в диапазоне от -30oC до 50oC, при этом скорость звука, например, в метане изменяется от 406 м/с до 468 м/с соответственно. При отсутствии компенсации задержки в схеме расходомера параметр 2 в ур. (2), определяющий зависимость результата измерения от скорости звука, в указанном диапазоне изменения температуры газа изменяется более чем на 2%. При введении компенсации задержки сигнала по предлагаемому способу параметр 2к в ур. (5) в том же самом диапазоне изменения температуры газа изменяется менее чем на 0,03%, то есть практически исключается зависимость результата измерения от скорости звука в измеряемой среде.
Формула изобретения
MM4A Досрочное прекращение действия патента Российской Федерации на изобретение из-за неуплаты в установленный срок пошлины за поддержание патента в силе
Дата прекращения действия патента: 17.12.2001
Номер и год публикации бюллетеня: 10-2003
Извещение опубликовано: 10.04.2003
|
||||||||||||||||||||||||||



– угол излучения ультразвуковых импульсов;
f, а следовательно, и результата измерения расхода от скорости звука.
Задачей предлагаемого изобретения является устранение влияния отраженных ультразвуковых импульсов на работу расходомера при одновременном сохранении практической независимости показаний расходомера от скорости звука.
Указанная задача достигается тем, что при реализации способа исключения влияния паразитных отражений путем формирования временного сдвига рабочего сигнала относительно отраженного сигнала посредством электрической линии задержки осуществляют операцию преобразования периодов излучения ультразвуковых импульсов T1 и T2 в цифровой код по алгоритму ni = Fс
Ti (где Fс – частота счетных импульсов, i = 1, 2) и вводят операцию вычитания из полученного числа ni, программно введенного в вычислительное устройство числа
компенсирующего суммарную задержку сигнала в схеме расходомера с линией задержки. Число
где
среднее суммарное время задержки сигнала в материале защитного слоя пьезопреобразователей, звукопроводах и в электросхеме, в том числе в линии задержки.
При отсутствии компенсации задержки вычислительное устройство расходомера вычисляет параметр


.
Так как
,
,
0,3 мкс, L = 0,141 м. Температура газа в трубопроводе может меняться в диапазоне от -30oC до 50oC, при этом скорость звука, например, в метане изменяется от 406 м/с до 468 м/с соответственно. При отсутствии компенсации задержки в схеме расходомера параметр
2 в ур. (2), определяющий зависимость результата измерения от скорости звука, в указанном диапазоне изменения температуры газа изменяется более чем на 2%. При введении компенсации задержки сигнала по предлагаемому способу параметр